Феномен програмированного обучения
СОДЕРЖАНИЕ
Введение 3
1. Программированное обучение
4
1.1. Генезис программированного
обучения 4
1.2. Принципы и виды
программированного обучения 5
1.3. Средства представления
программ 24
1.4. Общая оценка
программированного обучения 25
1.5. Компьютеризация обучения 27
Список литературы 30
ВВЕДЕНИЕ
Информационный взрыв породил множество проблем, важнейшей из
которых является проблема обучения. В
педагогике появилось понятие информатизации обучения. Что же это такое?
Под информатизацией обучения в современной
дидактике чаще всего
понимается использование вычислительной техники и связанных
с ней информационных технологий в процессе обучения как средств управления
познавательной деятельностью школьников и предоставления
учителю и учащемуся необходимой текстовой и наглядной
информации, дополняющей содержание образования.
Как тенденция,
информатизация обучения получила наибольшее распространение в последние
десятилетия, что связано с появлением в 70-е годы персональных компьютеров,
ставших к настоящему времени относительно дешевым, доступным в системе
образования и простым в управлении видом вычислительной техники. Однако первые
попытки внедрения информационных технологий в практику обучения имеют уже
достаточно богатую историю. Здесь, прежде всего, необходимо рассмотреть феномен
программированного обучения.
Теория программированного обучения начала
развиваться в 40-50 гг. XX в. в США, затем в Европе. Она дала импульс к
развитию технологии обучения, к разработке теории и практики технически сложных
обучающих систем. Программированное обучение
— это относительно самостоятельное и индивидуальное усвоение знаний и умений по
обучающей программе с помощью компьютерных средств обучения. В традиционном
обучении ученик обычно читает полный текст учебника и воспроизводит его, при
этом его работа по воспроизведению почти никак не управляется, не
регламентируется. Главная идея программированного обучения – это управление учением,
учебными действиями обучающегося с помощью обучающей программы.
В этой работе изложен материал, касающийся
программированного обучения, его видов, принципов, средств, возможностей.
Однако была продела работа лишь по поиску того, что уже сделано. К сожалению,
не было нигде найдено такого нового вида обучения, как дистанционное
(дистантное), хотя оно относится к изучаемой теме. Материал имеется, но по
личным соображениям автор решил не загромождать работу еще и рассмотрением
дистантного образования, хотя такая возможность существует.
1 ПРОГРАММИРОВАННОЕ ОБУЧЕНИЕ
1.1 ГЕНЕЗИС ПРОГРАММИРОВАННОГО ОБУЧЕНИЯ
Существует мнение, что с элементами
программированного обучения можно встретиться уже в древние времена. Об этом
может свидетельствовать хотя бы описанный Платоном в Меноне
диалог Сократа с мальчиком о том, как можно
рассчитать площадь четырехугольника. В этом диалоге Сократ,
мастерски пользуясь эвристической беседой, заставлял собеседника сразу же
давать оценку каждому ответу на заданный ему вопрос, требовал исправления
допущенных ошибок, подчеркивал логические связи между отдельными шагами на пути от незнания к знанию, учил мыслить самостоятельно и
критически, сохраняя при этом подходящий для мальчика темп работы. До полного
перечня важнейших особенностей современной концепции программированного
обучения сократовской эвристике не хватает только двух: так называемого
самоконтроля и постепенного повышения уровня сложности работы учащегося за
счет рационального уменьшения числа наводящих указаний. -
В новое время мы также находим дидактические требования, авторы
которых могут рассматриваться как провозвестники современной версии
программированного обучения. Многие из этих положений были сформулированы в
XVII в.. Именно тогда в своем «Рассуждении о методе» Декарт заявил, что
нашел путь, который постепенно, шаг за шагом, ведет ученика от незнания к
знанию. Сложности, с которыми на этом пути встретится ученик, можно легко
преодолеть, если каждый обширный фрагмент материала разделить на «рациональные
элементы». В тот же период сформулировал указания, которыми в настоящее время
руководствуются все авторы программированных текстов. Коменский,
создавал их таким образом, чтобы учащийся переходил от простого к сложному, от
хорошо известного к неизвестному, от того, что близко, к тому, что более
отдаленно.
Элементы программированного обучения, согласно
тому же мнению, можно также обнаружить в дидактических концепциях Гербарта и его учеников, а также Дьюи, Тренбицкого* и др.. Можно встретиться даже с утверждением, что, собственно, все
программированное обучение без остатка умещается в
этих концепциях и потому носит наиболее традиционный характер: в основе и
программированного, и традиционного лежат одни и те же дидактические принципы.
Такие утверждения правильны лишь частично.
Несомненно, существуют общие принципы, действующие как в традиционном, так и в
программированном обучении. К ним, например, относятся принципы:
индивидуализации темпа и содержания обучения, систематичности, доступности,
активизации деятельности учащихся и т.д. Вместе с тем, однако, в
программированном обучении действуют принципы,
которые — так же, например, как принцип опытной проверки содержания учебников
или принцип немедленной оценки каждого ответа данного ученика, — не входят в
совокупность принципов традиционного обучения. Отсюда следует, что принципы
традиционного обучения не образуют достаточной основы программированного
обучения.
·
Станислав Тренбицкий является одним из родоначальников программированного
обучения. В 1920 г. он запатентовал «устройство, облегчающее учебу без
посторонней помощи», опередив на несколько лет аналогичную работу американского
психолога С. Л. Пресси (S, L, Presseay).
О разнице между традиционным и программированным
обучением свидетельствует и тот факт, что в рамках последнего - существуют реальные возможности воплотить
определенные принципы в жизнь. Если в традиционном обучении принципы выступают
в роли директив деятельности учителя, признаются теоретически, то из этого совсем
не следует, что они действительно реализуются на практике.
Например,
принцип индивидуализации темпа и содержания обучения признают все сторонники
классно-урочной системы, организационной структуры, лежащей в основе
традиционной системы обучения. Используя традиционные методы дидактической
работы, детерминированные, в частности, этой структурой, указанные принципы
последовательно реализовывать нельзя, потому что нельзя каждому учащемуся в
классе обеспечить условия, которые бы позволили ему продвигаться в учебе с
оптимальным для него темпом и изучать тот материал, к овладению которым он
подготовлен с точки зрения собственного,
индивидуального уровня развития. Такими возможностями как раз и располагает
программированное обучение.
Таким
образом, основное различие между традиционным (конвенциональным) и программированным
обучением заключается не столько в том, какие принципы лежат в их основе
(потому что они действительно во многом схожи, хотя, и не идентичны), сколько
в том, в какой мере эти принципы можно реализовать в сфере каждого из них.
Этот вопрос будет
раскрыт более полно в ходе описания основных особенностей программированного
обучения, определяемых также некоторыми авторами понятием «принципы», которым и
будет посвящен следующий раздел.
1.2 ПРИНЦИПЫ И
ВИДЫ ПРОГРАММИРОВАННОГО ОБУЧЕНИЯ
В настоящее время
почти установилось мнение, согласно которому программированные тексты делятся
на линейные, разветвленные и смешанные. В такой последовательности они и
будут рассмотрены. Помещенный ниже текст поделен на небольшие части, или шаги,
которые называются рамками. При изучении этого текста следует поочередно переходить
от одной рамки к другой, открывая ответы, помещенные на полях каждой рамки
только после заполнения пробелов в тексте рамки. После этого следует проверить,
правильные ли ответы вписаны в места пропусков. Если ответы правильны, то можно
переходить к изучению следующей рамки. Ошибочные же ответы следует сразу зачеркнуть
и на их место вписать правильные.
________________________________________________________________________________
1.
Теоретические основы любого программированного обучения составляют следующие
общие принципы:
а) принцип деления материала на небольшие, тесно
связанные между собой части (порции, шаги);
б) принцип активизации деятельности
учащихся, изучающих программированный текст;
в) принцип немедленной оценки каждого ответа
учащегося;
г)
принцип индивидуализации темпа и содержания учения;
д)
принцип эмпирической верификации (проверки) программированных текстов.
|
2.
Первый из названных ... программированного обучения (перечитайте их заново в
рамке 1) требует от автора программированного текста тщательного анализа
учебного материала, а также деления этого
материала на (какие?) ... шаги, тесно связанные между собой с содержательной
и логической точек зрения
|
принципов
небольшие
|
|
3.
Второй принцип ... обучения, принцип ... учащихся,
изучающих любой программированный текст, преследует цель привить каждому из них умение глубоко анализировать
содержание отдельных шагов (частей) программы (программированного текста)
|
программированного; активизации деятельности
|
|
4.
Главной задачей третьего ... программированного
обучения, принципа немедленной ... каждого ответа учащегося, является:
а) сообщение ему о том, правильно ли он
ответил;
б) переход учащегося к следующей рамке
программы только в случае правильного ответа на вопрос предыдущей
|
принципа
оценки
|
|
5.
Если учащийся не дает правильного ответа на вопрос, помещенный в данной
рамке, либо впишет неверное слово или слова на место пробела (пробелов) в
тексте, то он (переходит, не переходит)
* к следующей рамке программы
|
не переходит
|
|
6. Необходимым условием перехода учащегося к
изучению следующей рамки программы является формулировка (какого?) ...
ответа на вопрос (вопросы), помещенные в предыдущей рамке, или написание
соответствующих слов вместо имеющихся пробелов
|
правильного
(или эквивалентного)
|
|
7. Благодаря четвертому принципу программированного обучения, принципу
индивидуализации ...
и содержания обучения, каждый учащийся (может, не может) учиться в
оптимальном для него темпе, а также изучать материал, соответствующий по
трудности уровню его подготовки
|
темпа может
|
|
8.
Пятый принцип ... обучения, принцип (какой?)
... верификации
программированного текста (программы), обязывает автора приспособить степень
трудности этого текста к возможностям каждого учащегося
|
Программированного эмпирической
|
|
9. В основе любого программированного обучения лежат следующие принципы: а) принцип
деления учебного материала на небольшие ...; 1 б)
принцип ... учащихся; в) принцип ,.: оценки
каждого ответа учащегося; г) принцип ... и темпа
обучения; д) принцип эмпирической ... программированных текстов
|
части (порции, шаги);
активизации деятельности;
немедленной; индивидуализации содержания;
верификации
|
|
10. Отсутствие в
дидактической работе какого-нибудь из (скольких?)
... принципов приводит к тому, что мы имеем дело уже не с ..., а скорее с полупрограммированным, или с частично
программированным, обучением
|
пяти
программированным
|
|
11.
В традиционном обучении мы выделяем следующие принципы: а) наглядности; б) доступности
(постепенно нарастающей ...); в) сознательного и ... участия учеников в
процессе обучения; г) систематичности; д) прочности приобретаемых знаний; е)
...; ж) связи теории с практикой
|
трудности
активного
оперативности
|
|
12.
Дидактические принципы, действующие в традиционном обучении, — перечислите их
заново, не смотря в текст, и сравните ответ с содержанием рамки 11 — (образуют,
не образуют) частично основу (основы) программированного обучения.
|
образуют
|
|
13.
Принцип ... верификации содержания учебника является принципом, действующим в
... обучении
|
эмпирической программированном
|
|
14,
В чем состоит различие между программированным обучением и обучением
традиционным с точки зрения принципов, которые лежат в их основе? (Ответьте в
письменном виде.) (Если возникнут трудности с ответом, изучите заново
соответствующий фрагмент текста 1.1)
|
|
|
15.
Пять принципов программированного обучения (перечислите их заново и сравните
ответ с содержанием рамки 1) образуют общую основу различных видов программ,
а именно программ линейной, разветвленной и смешанной
|
|
|
16.
В основе ..., разветвленной и ... программ лежат
пять общих принципов программированного обучения
смешанной
|
|
17.
Линейную программу называют также скиннеровской программой, потому что ее автором был американский
психолог Б. ф. Скиннер
|
|
|
18.
Автором концепции разветвленной программы считается Н.
А. Кроудер. По этой причине такой вид программы
называют также ...
|
кроудеровской
|
|
19.
И, наконец, разновидность смешанной программы,
которая возникла в результате объединения ... и ... программ, называют
шеффилдской программой, так как она была разработана в университете в Шеффилде (Великобритания). Другую
разновидность смешанной программы представляет собой так называемая блочная
программа, разработанная в Варшавском университете
|
линейной; разветвленной
|
|
20.
Рассмотрению характерных особенностей . ... и ...
программ, входящих в шеффилдскую и блочную
программы, будут посвящены следующие страницы настоящего текста
|
линейной, разветвленной;
смешанной
|
•
БС • Синтезирующий блок
Принципы обучения
|
программированного
|
традиционного
|
|
1) малых
шагов
2) активизации
деятельности учащихся
3)
немедленной оценки ответа ученика и корректировки допущенных ошибок
4)
индивидуализации темпа и содержания обучения
5)
эмпирической верификации программированных текстов.
(Подробную характеристику этих принципов см. в следующем подразделе)
|
1 ) наглядности
2)
сознательного и активного участия учащихся в процессе обучения
3)
доступности (нарастающей трудности)
4)
прочности знаний учащихся
5)
систематичности
6)
оперативности знаний
7)
связи теории с практикой
|
Линейная программа
Теоретические основы современной версии линейного
программирования разработал американский психолог Б. Ф. Скиннер, в
прошлом профессор Гарвардского университета. Во время конференции, посвященной анализу
тенденций развития психологии, которая состоялась в марте 1954 г. в Питтсбурге, он сделал доклад на тему «Наука учения и
искусство преподавания»
(The Science of Learning and the Art of Teaching), представив в нем общий очерк своей концепции
программированного обучения. Ее главными принципами были следующие:
•
Учение, движущей силой которого является страх перед наказанием, насмешками со
стороны учителя и товарищей, плохими оценками и т. д„
доминирующее сегодня в большинстве школ мира, не дает хороших результатов.
Более того, удивительно, что «оно вообще дает какие-либо положительные
результаты».
•
Новейшие результаты лабораторных исследований обучения животных и людей
свидетельствуют о том, что такое неблагоприятное положение дел можно изменить к
лучшему. Для этого материал, который учащийся должен усвоить в ходе
собственной познавательной деятельности, нужно делить на минимальные части
(шаги, порции) и сразу же усиливать каждую правильную реакцию (ответ) с
помощью соответствующих поощрений. В случае вербального обучения, которым мы
здесь и интересуемся, поощрением является подтверждение каждого удавшегося шага
на пути, ведущем к достижению поставленной цели, к овладению определенным
запасом знаний и умений.
•
Чувство успеха, сознание успешного преодоления встреченных в работе трудностей
содействует возникновению у учащегося интереса к учебе. Поэтому программированный
текст не должен содержать трудных «шагов», несущих опасность совершения
учеником ошибок, так как это отрицательно влияет на его отношение к работе.
Учение, по Скиннеру,
— это процесс выработки у учащегося новых способов
поведения или модификации уже сложившихся. Вероятность того, что данный субъект
овладеет каким-то новым, желательным, с точки
зрения автора программы, способом поведения, новым действием или определенными
знаниями, возрастает благодаря его многократному повторению. Однако это
повторение не должно быть механическим; его результаты должны контролироваться
самим обучающимся и включаться в более широкий контекст.
Например, овладение учащимся темой «Условные и
безусловные рефлексы» требует, по крайней мере двух-трех-кратного повторения
всех обобщений, входящих в этот раздел программы и иллюстрирующих их примеров.
При этом обобщения и примеры, о которых идет речь, должны повторяться каждый
раз по-разному, в изменяющейся системе связей, поскольку каждое из них должно
создавать основу для выявления учеником сходств и различий, наблюдающихся
между отдельными обобщениями и примерами, предоставлять ему материал для новых
обобщений, словом, содействовать более глубокому пониманию и прочному
овладению содержанием прорабатываемого раздела.
В случае обучения животных активизирующим фактором
оказывается создание ситуаций, требующих удовлетворения таких биологических
потребностей, как, например, голод, жажда. Стремясь к их удовлетворению,
животные выполняют различные действия. Когда экспериментатор заметит действие,
желательное с точки зрения достижения поставленной им цели, он усиливает его
попросту с помощью корма, придавая этому действию сравнительную устойчивость.
Именно таким образом Скиннер научил своих голубей
реагировать на определенные раздражители: переступать с ноги на ногу, играть в
настольный теннис, отличать круг от эллипса и т. п.
Вербальное обучение, характерное для людей,
требует других активизирующих факторов. Стремление к удовлетворению потребностей
может быть использовано как движущая сила и здесь, однако в этом случае на
первый план выступают потребности не биологические, а познавательные,
возникшие, например, вследствие помещения учащихся в проблемные ситуации.
Особенно эффективным, по мнению Скиннера, с этой
точки зрения является сократовский метод, так как он требует от ученика
непрерывной активности, вынуждая его после каждого шага вперед снова давать
ответ на очередной вопрос.
Безусловно, ответы должны удовлетворять определенным
требованиям. Во-первых, эти ответы должны быть самостоятельно сформулированы на
основе внимательного изучения текста. Во-вторых, они должны быть доступны
внешней проверке, потому что только в этом случае ученику можно помочь в
устранении возможных ошибок. В-третьих, степень
трудности подготовки ответа должна возрастать в соответствии с принципом «от
простого к сложному», однако эта трудность не должна переходить границы,
определяемые принципом предупреждения ошибок. И, наконец, в-четвертых, методы
подтверждения (подкрепления) правильных ответов при обучении людей и животных
должны быть различными, поскольку у людей вероятность случайного нахождения
правильного ответа путем проб и ошибок значительно меньше, так как не подлежит
сомнению возможность разных реакций на идентичные раздражители. В этой
ситуации, чтобы оградить ученика от поисков ответа на ощупь и от фантазирования,
используемая в опытах с животными форма свободного поведения заменяется формой
поведения контролированного, подсказывающего ему правильный ответ. Понятно,
что сила этой подсказки снижается по мере того, как ученик переходит от первых
рамок программы к последующим, благодаря чему возрастает степень самостоятельности
его работы .
По мнению Скиннера,
охарактеризованная выше концепция учения, определяемая
как инструментальное (обусловленное) учение, существенно отличается от классической
павловской концепции условных рефлексов. Разница состоит в том, что в ходе
классического условного рефлекса закрепляется прежде всего реактивное поведение,
существенной чертой которого является непосредственная реакция на предваряющий
ее раздражитель, в то время как инструментальное учение определяет оперативное
поведение, соответствующее предвидимым следствиям. Этот вид поведения Скиннер считает основным и на его исследовании
концентрирует свое основное внимание.
Таким образом, в целом можно считать, что
инструментальное учение, по Скиннеру, формирует у
учащихся интерес к учению, активизирует их, обеспечивает каждому возможность
работы в оптимальном для него темпе, в результате чего устраняется атмосфера
страха и принуждения, пассивности и скуки, шаблона и отсутствия стимулов к
усилиям, словом, радикально изменяется существовавшая система педагогических
воздействий на учащихся.
Полезным средством достижения упомянутых перемен
может при этом оказаться, по мнению Скиннера, программированное обучение по
линейной системе, так как его принципы вытекают из положений охарактеризованной
выше концепции инструментального учения. К числу важнейших среди них относятся:
1.
Принцип малых шагов. Согласно
этому принципу, учебный материал следует делить на возможно малые части (шаги,
микроинформации), потому что ученикам ими легче овладеть, чем большими.
2.
Принцип немедленного
подтверждения ответа. По замыслу этого принципа сразу же после ответа на содержащийся
в программированном тексте (программе) вопрос или после заполнения имеющегося в
рамке пробела (пробелов) ученик должен проверить, правильно ли он ответил. Для
этого он должен сравнить собственный ответ с правильным, помещенным в программе
чаще всего с правой стороны рамки. Нужно подчеркнуть, что только в случае
полного совпадения ответов учащийся может перейти к изучению очередной рамки
программы.
3.
Принцип индивидуализации темпа учения. Этот принцип требует, чтобы учащиеся,
проходя поочередно через все рамки программы, работали в оптимальном для себя
темпе, потому что только тогда они смогут достичь соответствующих результатов в
учении.
4.
Принцип постепенного роста трудности. Следствием его соблюдения является то,
что значительное в первых рамках число так называемых наводящих указаний, которые
облегчают учащимся заполнение пробелов в тексте, постепенно уменьшается, в
результате чего увеличивается степень трудности программы.
5.
Принцип дифференцированного закрепления знаний. Применительно к этому принципу каждое обобщение,
присутствующее в тексте программы, необходимо повторить несколько раз в
различных содержательных контекстах и проиллюстрировать с помощью достаточного
количества тщательно подобранных примеров.
6.
Принцип единообразного хода инструментального учения. Этот принцип определяет процесс учения по программам
с линейной структурой следующим образом:
« ученик подвергается воздействию упорядоченной
цепи (совокупности) раздражителей (микроинформации),
• на
которые реагирует специфическим образом, т. е. конструирует
ответы, причем:
« его реакции сразу же позитивно или негативно
оцениваются путем сравнения собственных ответов с содержащимися в программе,
• в
результате, допуская мало ошибок и закрепляя верные реакции,
• он
приобретает знания «малыми шагами». Графическую структуру линейной программы
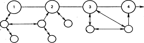
представляет схема на рис. 1.
Рис. 1. Схема линейной
программы.
Кружочки в отдельных эллипсах, символизирующих
рамки программы, означают элементы содержания, которыми учащиеся должны
овладеть. Особо важные элементы выступают дважды в пересекающихся между собою
эллипсах. Стрелка указывает путь, по которому должны пройти все учащиеся,
пользующиеся программой. Этот путь проходит по прямой линии, отсюда и
происхождение названия программы: прямолинейная, или линейная.
• ЗБ • Закрепляющий блок
|
Программа линейная (...)
1.
Согласно Скиннеру, автору линейной программы,
процесс учения протекает правильно и приводит к хорошим результатам тогда,
когда учащийся постепенно усваивает материал малыми шагами и не допускает при этом ошибок
|
скиннеровская
|
|
2.
Требование предупреждения ошибок образует основу ... программы
|
линейной
|
|
3.
Чтобы предупредить возникновение ошибок в процессе учения, материал программы
должен быть поделен, согласно ..., на возможно (малые,
большие) шаги (порции, дозы)
|
Скиннеру
малые
|
|
4.
Переходить к следующему шагу программы можно только тогда, когда ученик
хорошо овладеет содержанием ... шага
|
предыдущего
|
|
5.
Чтобы проверить, овладел ли учащийся содержанием данного шага, следует
сравнить данный им ответ с правильным ответом, помещенным с правой стороны
данной ... программы
|
рамки
|
|
6,
Только в случае (какого?) ... ответа, т. е. заполнения
пробела или пробелов соответствующим словом (словами), ученик может перейти
к ... рамке программы
|
правильного (или синоним)
следующей
|
|
7. В
линейной программе содержание всех рамок является (одинаковым, разным)
для всех учащихся, изучающих данный
программированный текст, в связи с чем индивидуализация состоит только в
выборе оптимального .,, учения
|
одинаковым
темпа
|
|
8,
Фактором, активизирующим действия учащегося во время работы с линейной
программой, оказывается построение ответа, т. е.
заполнение имеющихся в тексте ...
|
пробелов
|
|
9,
Линейная программа была создана раньше ... и смешанной программ
|
10.
Ход процесса изучения содержания по скиннеровской
программе должен быть следующим:
•
учащийся подвергается воздействию упорядоченной последовательности
раздражителей,
• на
эти стимулы он реагирует, давая ответы, т. е.
вписывая отсутствующие в рамках слова, причем
• его
реакция сразу же позитивно или негативно оценивается посредством
сравнения данного им ответа с правильным ответом, находящимся в тексте,
• в
итоге учащийся, делая мало ошибок и закрепляя
правильные реакции, • приобретает знания «малыми шагами»
|
11.
Ход процесса учения по линейно запрограммированному тексту является,
согласно Скиннеру, следующим: стимул — реакция в виде (какого?)
... ответа — усиление позитивной реакции, когда ответ является ..., и... — когда плохим
|
сконструированного хорошим (или синоним) отрицательной
|
|
12.
Основу такого учения образует так называемая инструментальная
обусловленность. (Более широкое объяснение содержания и области приложения
этого понятия см. в учебнике психологии.)
Конец линейной программы
|
|
При линейном принципе программирования ученик, работая над учебным материалом, последовательно
переходит от одного шага программы
к следующему. При этом все ученики идут одним путем, прорабатывая все шаги программы подряд.
Покажем еще один пример фрагмента из пособия,
построенного по линейному признаку:
|
1.
При перемножении степеней с
одинаковыми
основаниями показатели
степеней складываются.
Например:
|
|
|
2.
Реши следующие
примеры:
|
|
|
3. При делении
степеней с одинаковыми основаниями показатель
делителя вычитается из показателя делимого.
Например:
|
|
|
|
|
|
4. Реши:
|
|
Разветвленная
программа
Не все принципы
программирования, предложенные Скиннером,
пользуются повсеместным признанием среди научных работников,
специализирующихся в области программированного обучения.
Критике был подвергнут, прежде
всего, принцип «безошибочного прочтения текста». Сидней JL Пресси из Огайо, а
также Норман А. Кроудер из Чикаго, например,
считают, что не следует исключать возможность ошибок, допускаемых учащимися в
процессе учения, ибо эти ошибки можно использовать для рационализации этого
процесса, придав им статус контроля его качества и превратив их в средство,
позволяющее обнаружить те вопросы, которые учащийся не понял или которыми он
еще не овладел.
Возражения и критические замечания выдвигаются и
в отношении скиннеровского требования атомизации учебного материала, его деления на
«микроинформации». Ученик, которого обрекают на продвижение к цели исключительно
мелкими шажками и вследствие этого лишают возможности достигнуть цели скачком,
быстро утомляется и впадает в скуку, что неблагоприятно сказывается на
результатах учения. Принцип малых шагов, по мнению критиков, имеет еще ту
плохую сторону, что он не позволяет индивидуализировать содержание обучения,
приспосабливая к возможности отдельных учащихся лишь темп этого процесса.
Острой критике был подвергнут, наконец, постулат
скиннеровского линейного программирования о конструировании ответа учащимися.
Авторы этих критических замечаний, и прежде всего Н.
А. Кроудер, считают, что по сравнению с заполнением имеющихся в тексте пробелов
более эффективно распознание ответа, его выбор. Учащийся, выбравший правильный
ответ среди нескольких неверных или неполных, затрачивает, по мнению Кроудера, больше интеллектуальных усилий и более
самостоятелен в своей работе, чем тот, кто «учится через письмо», лишь
подбирая ответы, «подсказанные» ему автором программы.
Эти и подобные критические замечания, высказанные
в отношении концепции Скиннера, привели к возникновению
так называемого разветвленного программирования. Этот вид программирования — по
крайней мере по замыслу его автора Н. А. Кроудера
— должен был освободиться
от недостатков, приписываемых линейному программированию Скиннера.
Разветвленное
программирование непосредственно выводится из тестов знаний, а точнее — из тех
вариантов таких тестов, которые опираются на тесты выбора. Ему присуще много
черт, общих с сократическим методом наведения учащихся на правильные ответы
после предварительного исключения ложных или неполных. Основу разветвленного
программирования образуют следующие теоретические положения:
•
Учебный материал следует делить на части (порции, шаги), размеры которых
соответствуют объему минимальных подтем
традиционных текстов, ибо ученик должен иметь возможность осознать цель,
которой он должен достигнуть в ходе учения, а это может обеспечить только обширный
текст, не разбитый на искусственно отделенные друг от друга «клочки
информации».
•
После каждой дозы информации должен следовать вопрос, ставящий учащегося перед
необходимостью самостоятельного выбора правильного ответа среди нескольких
ошибочных или неполных. При этом вопросы, о которых идет речь, должны
обеспечить реализацию следующих дидактических функций:
—
служить проверке того, насколько хорошо учащийся понял и овладел материалом,
помещенным в данной рамке программы;
—
отослать к соответствующим корректировочным рамкам в случае неверного указания правильного ответа, помещенного в тексте;
—
обеспечить учащимся возможность закрепления важнейших знаний путем выполнения соответствующих упражнений;
—
заставить учащегося активно работать с текстом и тем самым исключить
механическое запоминание, основанное на многократном бессмысленном повторении
одного и того же содержания;
—
сформировать у учащегося ценностное отношение к учебе, развивая его интерес к
изучаемому предмету, и приучить его к контролю и оценке собственных результатов.
•
Непосредственно после указания ответа, избранного учащимся, необходима проверка
правильности его выбора. В связи с этим программа должна информировать учащегося
о результате каждого выбора, а в случае ошибки отсылать его к исходному пункту
с целью повторной попытки выбора правильного ответа
или к соответствующей корректирующей рамке, объясняющей причины ошибки.
• Путь
через разветвленную программу должен быть дифференцирован в отношении
проявляемых учащимися способностей. Лучшие ученики, продвинутые в учебе, должны
пользоваться более короткой дорогой, чем их сравнительно слабые товарищи,
которых нужно отсылать к корректирующим рамкам для восполнения пробелов
в их знаниях, а также для совершенствования их недостаточно отработанных
умений.
•
Уровень сложности охваченного
программой учебного материала должен возрастать, причем принцип «от
простого к сложному» действует при подготовке как вопросов, так и связанных с
ними ответов.
•
Содержание корректирующих рамок следует определять на основе тщательного
анализа ошибок, допускаемых в области отдельных учебных предметов учениками
определенных классов.
•
Суждения, понятия, законы, принципы и т. п., входящие
в содержание разветвленной программы, должны быть представлены в разных
контекстах содержательно между собой связанных рамками текста, причем в
корректирующих рамках следует приводить примеры, целью которых является
всестороннее выявление содержания каждого обобщения. Структура разветвленной
программы показана на рис. 2. Из представленной схемы следует, что самым
коротким путем продвигаются учащиеся, которые правильно отвеча--ют на вопросы, содержащиеся в основных рамках
(1, 2, 3 и т.д.). В свою очередь, остальные учащиеся отсылаются к
корректирующим рамкам, где они получают дополнительную информацию, позволяющую
им устранить ошибки, допущенные в ходе учения по
программе. Многочисленные разветвления, показанные на схеме, обосновывают
название программы — разветвленная.
Рис. 2. Схема разветвленной программы
• ЗБ • Закрепляющий блок
Кроудеровская
программа разветвленная
1. По
мнению Н. А. Кроудера,
автора разветвленной программы, успех учения зависит не столько от
«безошибочного марша прохождения текста «мелкими шагами», сколько от глубокого
и всестороннего анализа содержания, которым должен сознательно овладеть
учащийся. Такой анализ возможен тогда, когда учащийся:
1)
имеет дело с большими, чем в линейной программе, дозами информации
(шагами программы);
2)
выбирает правильный ответ на включенные в программу вопросы среди нескольких
неполных или даже ошибочных ответов;
3) и
случае выбора (узнавания)
правильного ответа переходит к следующему шагу программы или возвращается к исходному
пункту и заново изучает содержание данной рамки, если на заданные в ней вопросы
он отвечает неверно.
I. Шаги
в разветвленной программе: а) по размеру такие же, как и в линейной (см.
рамку 2); б) более мелкие, чем в линейной программе (рамка 3); в) более
крупные, чем в линейной программе (рамка 4).
II.
Изучение разветвленной программы предполагает нахождение ответа путем:
а) распознания (рамка 5); б) конструирования
(рамка 6).
III. В разветвленной программе (действует, не действует)
принцип предупреждения ошибок.
При ответе «действует» переходите к рамке 7, в
противном случае — к изучению смешанной программы .
2.
Ответ: «В разветвленной программе размер шагов такой же, как и в линейной».
Неправильно, потому что, согласно Кроудеру, глубокий и всесторонний анализ изучаемого
учащимся текста требует создания шагов (рамок) со значительно большим запасом
информации, чем тот, с которым мы сталкиваемся в отдельных рамках линейной
программы.
Вернитесь к рамке 1, прочтите ее заново и
выберите правильный ответ.
3.
Ответ: «В разветвленной программе шаги более мелкие, чем в линейной».
Неверно, так как шаги, из которых образуются
линейные программы, в целом складываются только из одного предложения. Именно
поэтому их содержание определяется понятием «микроинформация». Каждый шаг
разветвленной программы (рамка) содержит более одного предложения. Вернитесь к
рамке 1, прочтите ее еще раз и выберите правильный ответ.
4. Ответ:
«Шаги в разветвленной программе более крупные, чем в линейной».
Очень хорошо. Шаги,
из которых складывается разветвленная программа, не только «крупнее», но и
содержат больший объем информации. Переходите к рамке 1, пункт II.
5. Хорошо; в разветвленной
программе индивидуализируется не только темп, но и содержание обучения. Это
происходит оттого, что учащиеся, которые правильно отвечают на помещенные в
рамках вопросы, идут к цели более коротким путем. Те же, кто допускает ошибки,
должны заново возвращаться к уже изученным рамкам, чтобы еще раз ознакомиться с
их содержанием, понять причины допущенной ошибки и выбрать правильный ответ.
Учащиеся, допускающие ошибки, изучают дополнительно так называемые
корректирующие рамки, в результате чего идут к цели не прямым, а кружным путем.
1.
Учащийся, изучающий разветвленную программу, приходит к цели кратчайшим путем,
потому что:
а) сразу же распознает правильные ответы
(переходите к рамке II); б) допускает ошибки (рамка 8). II. В линейной
программе индивидуализируется: а) темп учения (рамка 12); б) содержание
учения (рамка 9); в) темп и содержание учения (рамка 10).
6. Ваш ответ: «Изучая разветвленный текст, мы
подбираем ответы». Неверно, потому что подбор ответа заключается во
вписывании отсутствующих слов в места пробелов,
находящихся в тексте. Такой способ ответа не типичен для разветвленной
программы.
Вернитесь к рамке 1, снова внимательно
ознакомьтесь с ее содержанием и выберите правильный ответ на вопрос,
помещенный в пункте II.
7. Ваш
ответ: «В разветвленной программе действует принцип предупреждения ошибок».
Неправильно. Этот принцип очень жестко
соблюдается не в разветвленной, а в линейной
программе. Потому-то Скиннер и рекомендовал деление
учебного материала на «микроинформации», чтобы
заранее исключить возможность совершения ошибки при изучении текста. Кроу-дер.же считает, что учащийся может допускать
ошибки в ходе изучения программы, важно лишь, чтобы его последний ответ на
помещенный в рамке вопрос был правильным, потому что от этого зависит переход к
следующей рамке. Вернитесь к рамке 1 и выберите правильный ответ.
Но ведь в таких случаях он должен их исправить, а
это требует его направления к одной из корректировочных рамок, что удлиняет его
путь учения. Вернитесь к рамке 5 (пункт II) и выберите правильный ответ.
9. Ваш
ответ: «В линейной программе индивидуализируется содержание учения».
Неверно. Индивидуализация содержания обучения
является признаком разветвленной, а не линейной программы. Нельзя
индивидуализировать содержание учения, когда каждый ученик изучает идентичную
совокупность рамок программы.
Вернитесь к рамке 5, еще раз внимательно
изучите ее содержании и
выберите правильный ответ.
10.
Ответ: «В линейной программе индивидуализируется
темп и содержание учения».
Ответ ошибочен. Познакомьтесь с содержанием рамки
9, а затем переходите к рамке 13.
11.
Хороший ответ, В разветвленной программе учащийся действительно приходит к
цели кратчайшим путем тогда, когда не допускает ошибок.
Переходите к рамке 13.
12.
Ответ правилен, потому что в линейной программе индивидуализируется только
темп обучения.
Переходите к рамке 13.
13. В
разветвленной программе важную роль играют вопросы,
на которые должен ответить учащийся. Кроудер, например, считает, что вопросы, помещенные в отдельные
рамки программы, должны обеспечивать реализацию следующих функций:
1)
служить проверке того, насколько учащийся усвоил материал, помещенный в данной
рамке;
2)
отсылать его к соответствующим корректирующим рамкам тогда, когда он не овладел
содержанием основных рамок;
3)
обеспечивать учащемуся
возможность закрепления важнейшей информации с помощью упражнений;
4)
побуждать его к сознательной
и активной работе по изучению текста и тем самым исключать механическое
заучивание, основанное на многократном, бессмысленном повторении одной и той же
информации;
5)
формировать у учащегося
ценностное отношение к учебе.
Согласно Скиннеру, заполнение пробелов,
имеющихся в линейной программе, не обеспечивает реализацию одной из
перечисленных выше функций. О какой функции идет речь? Назовите ее номер и
проверьте ответ на рамке 14.
14.
Если Ваш ответ относится ко второй функции, которая сводится к тому, чтобы
отослать учащегося, выбравшего на данный вопрос неверный или неполный ответ, к
соответствующей корректировочной рамке, то можете закончить работу с этим фрагментом текста и перейти к рамке 1, пункт III.
При наличии другого ответа вернитесь к рамке 1 и
еще раз внимательно изучите весь подраздел о разветвленной программе с самого
начала.
Конец разветвленной программы
Приведем еще один пример
фрагмента из пособия, построенного по принципу разветвленного программирования:
При
делении степеней с одинаковыми основаниями
показатель делителя вычитается из показателя делимого.
Например:
Произведи деление:
Ответы:
1) 3 (стр. 2)
2) 3 (стр. 3)
3) 3 (стр. 4)
Выбрав первый вариант, ученик
открывает стр. 2 и читает:
Твой ответ 3 неверен: ты
разделил показатель степени делимого на показатель степени делителя, а ведь нужно было
произвести вычитание! Вернись на стр. 1, прочти еще раз правило и пример.
На стр. 3 (если выбран второй вариант ученик читает:
Твой ответ 3 неверен. Совершая деление, ты перемножил
показатели степеней! Разве
ты забыл, что при делении нужно показатель степени делителя вычесть из
показателя степени делимого?
В примере 2 : 2 = _____?
Показатель делителя — 4, делимого — 6, поэтому нужно
из 6 вычесть 4. В ответе
будет — 2 . Вернись на стр. 1 и попробуй снова решить
данный там пример.
Если
ученик выбрал третий вариант ответа, то он на стр. 4 читает:
Твой ответ
3 верен. Ты
правильно произвел вычитание показателей степени. Переходи к стр. 5 и приступай к
изучению нового материала.
Смешанная программа
Разветвленное программирование, как и линейное,
было подвергнуто острой критике. Прежде всего отмечалось, что оно основано на
неправильном с психолого-дидактической точки зрения
способе нахождения ответов учащимися. Ибо распознание верного ответа среди
нескольких или нескольких десятков неполных или ошибочных и его выбор, по
мнению критиков, не только не приводит к положительным результатам обучения, но
и, наоборот, ослабляет эти результаты. Заставляя учеников выбирать ответы, мы
вынуждаем их тем самым запоминать ответы неверные или неполные, чаще всего
искусственно сконструированные авторами программы. Кроме того, ленивые или
нечестолюбивые ученики, стремясь как можно быстрее управиться со своим
заданием, каковым является изучение разветвленной программы, могут пойти по
линии наименьшего сопротивления и попросту угадывать ответы, выбирать их методом
проб и ошибок.
Возражения вызывает также характерная для кроудеровских программ организация обучения
непрерывными скачками, которые приводят к тому, что учащийся не может работать
систематически и без помех, поскольку непрерывное обращение к корректировочным
рамкам не позволяет ему сконцентрировать внимание на главной тематической
линии и, кроме того, не позволяет ему отделить действительно важное от второстепенного.
При этом малосущественные подробности переплетаются с вопросами
принципиального для данной темы значения, в результате чего в голове ученика
складывается малооперативная мозаика из разных знаний.
И еще одно критическое замечание, на этот раз
направленное как против линейных, так и против разветвленных программ. Учение
представляет собой исключительно сложный вид деятельности. Именно поэтому, как
утверждают противники описанных вариантов программирования, его нельзя
вместить в узкие рамки «учения через письмо» или «учения через угадывание».
Значительно полезнее было бы объединить в единое целое обе формы ответа
учащихся и благодаря этому создать более рациональную программу, ближе к
реальному механизму учения людей. Эта позиция находит свое выражение в стремлении к установлению внутренней целостности
программированного обучения с обучением проблемным.
Шеффилдский метод
Стремление к объединению линейных программ с разветвленными
привело к появлению так называемого смешанного программирования, которое было
разработано британскими психологами из университета в Шеффилде. Для него
характерны следующие особенности:
•
Учебный материал делится на различные по объему части (порции, шаги). Решающими
основаниями деления при этом являются: дидактическая цель, которая должна быть
достигнута благодаря изучению данного фрагмента программированного текста с
учетом возраста учащихся и характерных особенностей темы. Если, например, полагается,
что программа должна быть для учащихся единственным источником знаний по
данной теме, то она должна быть более обширной, чем в случае осуществления ею
только контрольной или корректирующей функции. В программе, разрабатываемой для
учащихся, младших классов, объем рамок, как
правило, будет меньшим, чем в текстах для студентов. Наконец, содержательные и
логические связи, существующие между отдельными блоками информации,
обусловливают определенную тематически замкнутую совокупность, целостность
передаваемой информации, что также оказывает влияние на объем рамок в смешанной
программе.
•
Учащийся дает ответы как путем их выбора, так и в ходе заполнения пробелов,
имеющихся в тексте. Основным фактором, определяющим, какая из рассмотренных
возможностей будет реализована автором программы (т. е.
выбор ответа или заполнение пробелов), является дидактическая цель, которой он
стремится достичь. Например, скиннеровский принцип
подбора ответа используется главным образом в
корректировочных рамках, чтобы облегчить учащимся безошибочное овладение
материалом, с которым они сталкиваются повторно. Кроудеровский
принцип выбора ответа используется в так называемых основных рамках, которые
заключают наиболее важную информацию.
•
Учащийся не может перейти к следующей рамке программы, пока хорошо не овладеет
содержанием предыдущей. Это положение является общим для всех вариантов
дидактического программирования, однако в смешанном программировании ему
придается особое значение, поскольку авторы смешанных программ предвидят
возможность не только индивидуальной, но и групповой работы с программированным
текстом. Успех последнего по мнению авторов, еще более зависим от строгого соблюдения рассматриваемого положения, чем
успех работы индивидуальной.
•
Содержание отдельных рамок дифференцируется применительно к способностям,
проявляемым учениками, а также к степени их продвинутости
в учебе по данному предмету. С учетом этого положения смешанная программа
ближе к разветвленной, в которой, как мы помним, индивидуализации подвержено и
содержание, и темп учения.
• В
смешанном программировании, как в линейном и разветвленном, действует принцип
дифференциации трудности и прочности знаний, приобретаемых учащимися. В тех
разновидностях смешанного программирования, которые мы называем блочным,
противопоставляя их шеффилдскому программированию, особое внимание уделяется
принципу оперативности знаний учащихся, а также объединению в обучении теории с
практикой.
Структура смешанной программы в шеффилдском варианте
графически изображена на рисунке 3.
Шеффилдская версия смешанной программы в отличие
от программ, описанных выше, до настоящего времени не вызывала особых
возражений. Причиной тому может оказаться тот факт, что эта программа
сравнительно мало распространена и ее достоинства и
недостатки еще не выявлены в ходе серьезных эмпирических исследований.
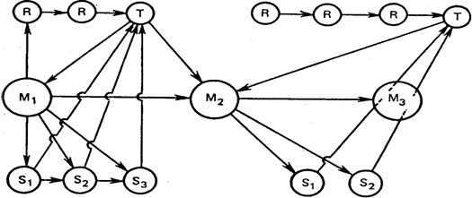
Рис. 3. Схема смешанной программы. М— информация (знания и основные умения); S-корректирующая
информация, связанная с содержанием основной информации- R — коррек- тирующая информация, не связанная непосредственно с основной
информацией; Т
— вопросы, касающиеся содержания основной информации.
• ЗБ • Закрепляющий блок
|
Смешанная программа (шеффилдский вариант)
1.
Шеффилдский вариант
смешанной программы представляет собой комбинацию принципов, лежащих в
основе ... и ... программ
2.
2. Учащийся, который изучает шеффилдский текст,
формулирует свои ответы как путем их .,., так и
путем выбора (распознания)
|
линейной; разветвленной
построения
|
|
3,
Величина шагов в шеффилдской программе (различна, одинакова)
|
различна
|
|
4. В
смешанной программе (.., вариант) индивидуализации
подлежит (темп учения, содержание обучения, темп и содержание обучения)
|
шеффилдский темп и содержание обучения
|
5.
Настоящая программа представляет пример линейной (переходите к рамке
6), разветвленной (рамка 7), смешанной программы в шеффилдском
варианте (рамка 8).
6. Ваш ответ: «Изучаю линейную программу».
Но ведь вы даете ответы не только путем их подбора, но и с помощью их
распознавания. Вернитесь к рамке 5, заново прочтите ее и найдите правильный
ответ.
7. Ваш ответ: «Изучаю разветвленную программу». Но
разве можно считать первую рамку типичной для разветвленной программы?
Вернитесь к рамке 5 и найдите правильный ответ.
|
9.
Линейную, ... и ... (шеффилдский вариант)
программы критикуют за то, что они не учат учащихся разрешать проблемы. Конец
шеффилдской программы
|
разветвленную; смешанную
|
Блочный метод
Основу блочного метода смешанного
программирования, называемого также варшавским, составляют следующие положения:
•
Классическое программированное обучение, образованное концепциями Скиннера и Кроудера, может
использоваться в образовании исключительно как дополнительный метод, один из
многих, но не единственный. Оно особенно эффективно для ознакомления учащихся с
пассивными знаниями, овладение которыми требует от них главным образом
запоминания. Кроме того, им можно пользоваться при закреплении знаний, а также
при контроле и оценке степени овладения ими.
. • Тексты, программируемые с помощью линейного,
разветвленного и шеффилдского методов, могут оказаться полезными для борьбы с
отставанием учащихся в учебе, для устранения пробелов, возникших в изучаемом
ими материале.
•
Классические программы, построенные главным образом согласно бихевиористской
схеме С — Р (стимул _
реакция), не позволяют развивать
самостоятельное, критическое мышление учащихся даже в области тех дисциплин,
которые, как, например, математика и грамматика, особенно пригодны для
программирования.
Справедливость перечисленных выше положений была
проверена в ходе эмпирических исследований, результаты которых частично
опубликованы.
Из третьего положения, содержание которого
касается проблемы, имеющей

Рис. 4. Схема блочного программирования
фундаментальное значение для школы, следует вывод, что
этим текстам следует придать такую форму, чтобы, пользуясь ими, можно было в
максимальной мере формировать и развивать самостоятельное мышление учащихся. В
связи с этим нужно предпринять попытку замены классических программ программой
более гибкой и всесторонней, учитывающей разнообразие действий, определяющих
процесс учения, программой, которая бы обеспечила учащимся выполнение
разнообразных интеллектуальных операций и оперативное использование
приобретаемых знаний при решении определенных задач.
Представляется, что этим требованиям может
удовлетворить программа, структура которой соответствует схеме, приведенной на
рис. 4
Основным компонентом этой программы является так называемый проблемный блок (П), который требует от учащегося интенсивной
интеллектуальной работы, например решения задачи с неполными данными,
формулировки или проверки гипотезы, планирования эксперимента и т. п. В процессе такой работы учащийся должен выполнять
различные умственные действия: обобщение, доказательство, объяснение (перевод)
и проверку, — постоянно обогащая объем имеющихся знаний. Остальные компоненты
блочной программы представлены блоками: информационным (И), тестово-информационным (ТИ),
тестово-проблемным (ТП),
коррекционно-информативным (КИ),
коррекционно-проблемным (КП).
Согласно названию, блок И содержит
определенный автором программы объем информации, причем эта информация может
быть представлена как в программированной форме (линейной или разветвленной),
так и в традиционной. Важно, чтобы информация была тщательно упорядочена в
соответствии с определенным критерием, например с критерием
причинно-следственных связей, и представлена в четко определенной системе
понятий (Сi). Для этой цели пригоден матричный анализ.
Задача блока ТИ состоит в том, чтобы
проверить степень овладения учащимся всеми областями понятий, которые
используются в блоке И, и направить его в соответствии с полученными
результатами к блоку П или к блоку КИ.
К блоку /7 учащийся переходит только тогда, когда хорошо овладеет материалом,
помещенным в блоке И. Если он не овладел тем или другим понятием из С1, С2,
С3, С4, ..., Сn, то ему следует перейти к соответ- ствующему корректирующему блоку, в рамках которого
он пополнит свои знания в областях, которые этого требуют и которые были
выявлены в результате теста в блоке ТИ.
Например, если учащийся не овладел только одним
из понятий, содержащихся в блоке И, например С2, то в блоке КИ он будет иметь дело с корректировочным вариантом,
относящимся исключительно к С2. В случае же
недостаточного овладения понятиями С1 и С3, представленными в блоке И, он
будет направлен через блок ТИ к корректирующим вариантам С1 и С3) в блоке К.И
и т. п.
Таким образом, к блоку /7 одни учащиеся приходят
быстрее, а другие — медленнее, одни идут к нему прямым путем, другие вынуждены
сойти с прямой дороги на боковые пути корректирующих ветвей. Структура этих
разветвлений должна быть отработана таким образом, чтобы можно было исключить
возможность очередной ошибки учащегося. Другими словами, учащийся, который
покидает блок КИ, должен хорошо овладеть
содержанием области (или областей) понятий, которым он не овладел в блоке И.
Практика показывает, что путем тщательной эмпирической проверки программы
можно достигнуть этой цели в отношении большинства учащихся. Тот же, кто не
сумел справиться с материалом, должен обратиться за помощью к преподавателю.
Аналогичным образом обстоит дело с изучением материала,
содержащегося в блоке /7 и КП, однако в этом случае к блоку КП
через блок ТП направляются лишь те учащиеся,
которые не сумели разрешить проблему, поставленную в блоке П. Они также
могут обратиться за помощью к учителю, если, несмотря на наводящие указания,
заключенные в блоке КП, они не могут справиться с проблемой. Тот же,
кто разрешил проблему, непосредственно переходит ко второй единице программы,
исходным пунктом которой обычно является блок И2.
Рассмотренные блоки являются как бы кирпичиками,
которыми автор программы может свободно манипулировать, создавая из них
программы с различной структурой. В некоторых ситуациях исходным пунктом данной
единицы программы может быть и не блок И, а, например, блок /7 или ТИ. В качестве фактора, определяющего ту
или другую структуру программы, выступает поставленная дидактическая задача.
• ЗБ • Закрепляющий блок
|
Стремление устранить существенный недостаток
классических программ (какой? Дайте ответ на
этот вопрос и сравните его с содержанием объяснения, помещенного с правой
стороны этой рамки) легло в основу концепции смешанной программы, которую
мы называем блочной программой, разработанной в Варшаве
|
Речь идет о недостаточном приобщении учащихся
к самостоятельному разрешению задач
|
|
2.
Одной из главных особенностей ... программы является стремление к насыщению
охваченного ею материала ..., разрешение которых
требует от учащегося значительной самостоятельности, а также рационального
использования уже имеющихся знаний с целью получения новых
|
блочной
проблемами
|
|
3.
Другой важной чертой ... программы является
возможность объединения .„ текстов с текстами
программированными, причем эти последние прежде всего выполняют функции ... и коррекции
|
блочной традиционных
контроля
|
|
4.
Третьей существенной особенностью ... программы является обеспечение
учащимся, которым это необходимо, непосредственной помощи со стороны ...
|
блочной
преподавателя
|
|
5.
Сущность блочной программы схематически представлена на рис. 4, Внимательно изучите его
|
|
|
6,
Блочная программа складывается из следующих блоков (приведите их обозначения): ...,
..., ..., ..., ...
|
И, Т И, КИ, П, ТП, К.П
|
|
7.
Ознакомлению учащихся с новым материалом в ... программе служат прежде всего
блоки ,.„ а также ...
|
блочной И, П
|
|
8.
Контроль за степенью овладения учащими ся информацией, охваченной программой, выполняют
блоки .., и .„
|
ТИ, ТП
|
|
9. В
целях возможного восполнения недостатков и пробелов в знаниях, охваченных
блочной программой, учащиеся отсылаются к блокам ... и ...
|
КИ,КП
|
|
10.
Система блоков, изображенных на схеме (сравните единицы блочной программы,
представленные на рис. 4), в разных случаях может
быть различной.
|
|
|
11.
Та или другая последовательность блоков в данной единице блочной программы
зависит главным образом от дидактической цели, реализации которой должна
служить эта единица
|
|
|
12.
Если, например, мы стараемся научить учащихся разрешать проблемы
определенного типа и если они имеют необходимый для этой цели запас знаний,
то исходной точкой данной единицы программы может стать блок ...
|
П
|
|
13.
Стремясь проверить знания учеников по определенной теме, исходным пунктом их
работы мы сделаем блок ... или ...
|
ТИ,ТП
|
|
14.
Следовательно, в целом можно считать, что блочная программа имеет (жесткую,
гибкую) структуру, причем эта структура определяется дидактической ..., реализации которой служат отдельные единицы
программы Конец блочной программы
|
гибкую
целью
|
1.3. СРЕДСТВА ПРЕДСТАВЛЕНИЯ
ПРОГРАММЫ
Самым важным в программированном обучении
является текст (программа), разработанный в соответствии с требованиями,
рассмотренными в предыдущем параграфе. Для реализации дидактических целей
программу можно представлять двояко: с помощью учебников или с помощью машин.
Программированные учебники различаются между собой
в зависимости от вида программы, представлению которой они и должны служить. В
соответствии с этим можно говорить об учебниках с линейной, разветвленной и
смешанной структурами. Примеры таких текстов приводились в предыдущем
параграфе.
Разными бывают и машины, предназначенные для
представления запрограммированных текстов. Наиболее часто в качестве основания
деления используются их дидактические функции. Применительно к этому основанию
выделяем:
•
информационные машины, предназначенные для передачи учащимся новой информации;
•
экзаменаторы, служащие для проверки знаний учащихся, а точнее — для контроля и
оценки знаний, которыми они овладели;
•
репетиторы, предназначенные целью закрепления знаний;
•
тренировочные машины, или тренажеры, используемые для формирования у учащихся
необходимых практических умений, как, например, печатания на машинке, алгоритмизации
поиска повреждений в технических устройствах, обслуживания машин и т. п.
Кроме перечисленных существуют также полифункциональные,
универсальные машины, которые одновременно выдают определенную информацию,
проверяют, усвоили ли ее учащиеся и в какой мере, формируют соответствующие
теоретические и практические умения и т. д. Некоторые
универсальные машины, называемые адаптивными, могут приспосабливать темп
обучения к индивидуальным особенностям учащихся, анализировать каждый ответ и
на этой основе устанавливать очередные порции учебного материала,
регистрировать ответы, увеличивать или уменьшать —
в зависимости от уровня трудности задаваемых вопросов — время, необходимое для
подготовки ответа учеником, словом, выполнять функции идеального репетитора.
Машина или программированный учебник? Эту проблему
пока не удалось разрешить однозначно на основе проведенных эмпирических
исследований. Программированные учебники значительно дешевле, но не так
успешно предупреждают «списывание» учениками правильных ответов, как это
делают машины. Последние дороги и в целом не обеспечивают лучших дидактических
результатов по сравнению с учебниками, особенно с теми, что имеют разветвленную
структуру. В связи с этим стоит еще раз подчеркнуть, что и учебники, и машины
являются только средствами, служащими представлению программированных текстов.
Их дидактическая полезность, следовательно, зависит от того, что образует
существо программированного обучения, от программы. Поэтому ядром исследований
по программированному обучению является работа, которая должна привести к
созданию программ, оптимальных для данного учебного предмета и для
определенных групп учащихся.
Таблица
1
|
Дидактическая функция
|
Виды машин
|
|
неадаптирующиеся
|
Частично адаптирующиеся
|
полностью адаптирующиеся
|
|
Представление материала (информации)
Требование ответа
Сравнение ответа учащегося с правильным
ответом
Обратная связь
Регистрация сравниваемых ответов
Отбор материала (информации):
а) вперед — стоп
б) в зависимости от характера ответа
Информационная память:
а) только основная
б) в зависимости от характера ответа
Программа:
а) без возможности интерпретации (учащийся не
решает, какой должна быть следующая рамка)
б) с возможностью интерпретации
|
+
+
-
-
-
-
-
+
-
+
-
|
+
+
+/-
+/-
+
+
+
+
+
+
-
|
+
+
+
+
+
+
+
+
+
+
+
|
Однако такой взгляд не получил эмпирического подтверждения
со стороны исследований в области программированного обучения, которых, как мы
об этом упоминали в начале данной главы, было очень много. В связи с этим
можно сформулировать следующие выводы.
Во-первых, программированное обучение не является
универсальным методом, который можно с успехом использовать вместо
общепринятых методов и с помощью
которого удается решить все дидактические задачи.
Следует отметить, что программированное обучение
имеет право на существование в нашем образовании в качестве вспомогательного
метода, причем наиболее эффективно его использование при решении следующих
дидактических задач:
•
ознакомление учащихся со знаниями пассивного характера, т. е. с информацией, требующей главным образом
запоминания;
•
закрепление пассивных знаний;
•
контроль и оценка уровня овладения этими знаниями учащимися при значительной
доле самоконтроля и самооценки;
•
преодоление разнообразных видов отставания в учебе путем ликвидации недостатков и пробелов в знаниях учащихся.
Кроме того, некоторые методы дидактического программирования
с успехом можно использовать при детальном анализе содержания обучения,
например содержания школьных учебников.
Во-вторых, автоматизация обучения, вызванная
введением в школьное обучение программированных учебников и машин, не
превращает «конвенционального» преподавателя в фигуру второплановую,
как это представляли максималисты. Оказалось, что на всех ступенях обучения
программированное обучение без участия преподавателя не приносит хороших
результатов. Полноценным «дидактическим средством» оно становится только в
руках преподавателя, причем это должен быть преподаватель, хорошо
подготовленный к использованию этого метода в различных дидактических
ситуациях.
В-третьих, результаты проведенных исследований
также не подтвердили максималистского взгляда, согласно которому
программированным обучением можно будет охватить в полном объеме все учебные
предметы и все типы учебных заведений, начиная от детского сада и кончая вузом.
В настоящее время очень отчетливо наметилась точка зрения, что даже в
отношении предметов, «удобных» для
программирования, какими, например, являются грамматика, физика, география,
математика, реализация некоторых тем с помощью этого метода не дает ожидаемых
результатов. В данном случае мы наблюдаем стремление к гармоничному
объединению программированных и конвенциональных текстов в содержательно и
логически единое целое. Одно из проявлений именно такой тенденции — концепция
блочной программы, описание которой было помещено в разделе «Принципы и виды
программированного обучения». В этой концепции выдвинуто также требование
насыщения программированных текстов элементами проблемности,
отсутствие которых неоднократно являлось причиной острой критики «классических»
программ, особенно скиннеровских.
Таким образом, программированное обучение появилось
в школьной практике и теории образования как точка пересечения трех главных
тенденций эпохи ускоренного развития, называемой эпохой научно-технической
революции. Эти три тенденции можно сформулировать следующим образом: связь
науки с практикой, автоматизация некоторых действий, выполняемых прежде человеком,
возрастание роли управления в современной организации разных аспектов жизни.
Эти тенденции современной цивилизации, перенесенные в просвещение, привели в
итоге к программированному обучению. В таком понимании оно является
исторической закономерностью развития образования в период научно-технической
революции. Не следует переоценивать программированного обучения, но не следует его и принижать. Этот метод является жизненным
и динамично развиваемым.
Примером развития программированного обучения
может служить, в частности, разработанная в середине 60-х годов нашего столетия
концепция так называемых управляющих программ [Leitprogramme].
Согласно этой концепции, программированный текст в соответствии с названием
выполняет управляющие функции. Он отсылает учащегося к учебникам,
энциклопедиям и другим источникам информации; поручает ему проведение бесед,
наблюдений и экспериментов; по результатам контроля и оценки эффективности
обучения он устанавливает необходимость повторения материала; указывает
способы использования приобретенных знаний на практике и т. д. Управляющие программы являются, таким образом, для
учащегося своеобразным путеводителем на дороге, ведущей к приобретению знаний
не только с помощью учения по программированному учебнику, как это обычно происходит
в случае текстов, программированных классическими методами, но и с помощью
других источников информации. Имея вид линейных или разветвленных программ,
они служат формированию у учащихся интереса к учебе, приучая их к контролю и
оценке хода и результатов учения, а также позволяя устранить возникающие в
ходе этого процесса пробелы в знаниях.
1. 5. КОМПЬЮТЕРИЗАЦИЯ ОБУЧЕНИЯ
Быстрое развитие электронных вычислительных машин
привело к тому, что ими начали интересоваться и как средством дидактической
работы. Оказалось, что компьютеры можно использовать не только для быстрых и
сложных расчетов, но и для сбора и переработки информации, непосредственно
пригодной для дидактической работы, особенно в области оценки результатов и
хода процесса учения.
Весьма ценной с дидактической точки зрения
является последняя из названных выше характеристик, т. е.
способность определения хода, путей и способов учения отдельных учащихся.
Существовавшие до сих пор методы контроля и оценки
результатов обучения такой возможностью не располагали. В соединении с
дидактическими тестами они в лучшем случае позволяли контролировать конечные результаты
работы учащихся и не позволяли изучить факторы,
оказывающие влияние на достижение именно этих результатов. Компьютеры же
немедленно оценивают каждый ответ учащегося на заданный ему вопрос, выявляют
возможные ошибки и определяют их источники; они могут регулировать уровень
сложности заданий, даваемых учащемуся, словом, индивидуализируют обучение
применительно к способностям, интересам, темпу работы и уровню подготовки
отдельного учащегося.
Современные средства вычислительной техники
позволяют создавать сложные электронные системы обучения, телекоммуникационные
сети, которые в перспективе обладают большими дидактическими возможностями.
Уже в настоящее время, наряду с программированным обучением, как отмечалось
ранее, в дидактических целях все более и более используются и другие
информационные технологии. Охарактеризуем важнейшие из них.
Базы данных. Под базами данных понимаются технологии ввода, систематизации,
хранения и предоставления информации с использованием компьютерной техники.
Базы данных могут включать в состав информационного массива различную
статистическую, текстовую, графическую и иллюстративную информацию в
неограниченном объеме с обязательной ее формализацией (представлением, вводом
и выводом в компьютер в определенной, характерной для данной системы форме —
формате). Для целого ряда традиционно перерабатываемой информации существуют стандартные
форматы ее представления, например: библиография, статистические данные,
рефераты, обзоры и другие. Систематизация и поиск информации в базе данных
осуществляется тремя основными способами.
Иерархическая база данных в качестве классификационной основы использует каталоги и рубрикаторы, т.е. информационно-поисковые языки
иерархического типа.
В реляционной базе данных каждой единице информации присваиваются
определенные атрибуты (автор, ключевые слова, регион,
класс информации, дескриптор тезауруса и т.п.) и ее поиск производится по
какому-либо из них или по любой их комбинации.
Статистические базы данных оперируют с числовой
информацией, организованной с помощью двухмерной (реже — трехмерной) матрицы,
так, что искомая информация находится в системе путем задания ее координат.
Статистические базы данных более известны под
названием электронные таблицы.
Базы данных используются в обучении для
оперативного предоставления учителю и учащимся необходимой, не вошедшей в учебники
и пособия, информации, как непосредственно в дидактическом процессе, так и в
режиме свободного выбора информации самим пользователем (сервисный режим).
Базы знаний. Базы знаний представляют собой
информационные системы, содержащие замкнутый, не подлежащий дополнению объем
информации по данной теме, структурированной таким образом, что каждый ее
элемент содержит ссылки на другие логически связанные с ним элементы из их
общего набора. Ссылки на элементы, не содержащиеся в данной базе знаний не
допускаются. Такая организация информации в базе знаний позволяет учащемуся
изучать ее в той логике, которая ему наиболее предпочтительна в данный момент, т.к.
он может по своему желанию легко производить переструктурирование информации
при знакомстве с ней. Привычным библиографическим аналогом базы знаний
являются энциклопедии и словари, где в статьях содержатся ссылки на другие
статьи этого же издания. Программные продукты, реализующие базы знаний,
относятся к классу
HIPERMEDIA (сверхсреда), поскольку
они позволяют не только осуществлять свободный выбор пользователем логики
ознакомления с информацией, но дают возможность сочетать текстографическую информацию со звуком, видео- и
кинофрагментами, мультипликацией. Компьютерная техника, способная работать в
таком режиме объединяется интегральным термином MULTIMEDIA (многовариантная среда).
Аппаратные средства multimedia, наряду с базами знаний, позволили создать и использовать в учебном
процессе компьютерные дидактические развивающие игры, вызывающие
особый интерес у
школьников. Такие игры можно разделить на
абстрактно-логические, сюжетные и ролевые. В учебном процессе компьютерные
игры могут обеспечить расширение кругозора учащихся, стимулировать их
познавательный интерес, формировать те или иные умения и навыки (игровые
тренажеры) и способствовать психофизическому развитию ребенка. Однако излишнее
увлечение играми может нанести ему вред.
Кроме названных информационных технологий и
программных продуктов, информатизация обучения предусматривает широкое
использование компьютерных систем тестирования
уровня обученности школьника и параметров его
психофизического развития. Это становится особенно актуально в связи с
разработкой стандартов образования. Следует отметить, однако, что наметившаяся
в последнее время тенденция перенесения зарубежных тестов в практику российского образования
небезопасна, поскольку тесты создаются с учетом ментальности
той системы образования, для которой они предназначены. Будучи применены в
другой системе, они в лучшем случае, дадут неверные результаты, а в худшем —
нанесут урон психическому состоянию учеников.
Информатизация обучения требует от учителей и
учащихся компьютерной грамотности. Так как компьютерная техника в
настоящее время стала инструментом, использующимся человеком во всех отраслях
деятельности, компьютерную грамотность можно рассматривать как часть
технологического образования. В структуру компьютерной грамотности входит:
-
знание основных понятий информатики и вычислительной техники;
-
знание принципиального устройства и функциональных возможностей компьютерной
техники;
-
знание современных операционных систем и владение их основными командами;
-
знание современных программных оболочек и операционных сред общего назначения (Norton Commander, Windows, их расширения) и владение их функциями;
-
владение хотя бы одним текстовым редактором;
-
первоначальные представления об алгоритмах, языках и пакетах программирования;
-
первоначальный опыт использования прикладных программ утилитарного назначения.
В целях обеспечения компьютерной грамотности с
1985 года в школах введен курс основ информатики и вычислительной техники.
Однако в силу неудовлетворительного обеспечения школ этой техникой и слабой
дидактической базы, уровень компьютерной грамотности сегодняшнего контингента
учащихся и учителей весьма невысок.
В заключение следует отметить, что информатизация
обучения, как направление развития образования обладает большими дидактическими
перспективами, не подменяя в то же время ведущей роли живого педагогического
общения и межличностных педагогических отношений учителя и учеников.
СПИСОК ЛИТЕРАТУРЫ
1.
Т.А. Ильина.. .Педагогика – М.: Просвещение, 1984.
2.
Ч. Куписевич.. Основы общей дидактики. – М:
Высшая школа, 1986
3.
Педагогика под ред. Пидкасистого. – М: Просвещение,1996