Авторская система TeachLab CourseMaster

  • Вид работы:
    Реферат
  • Предмет:
    Педагогика
  • Язык:
    Русский
    ,
    Формат файла:
    MS Word
    562,56 kb
  • Опубликовано:
    2009-01-12
Вы можете узнать стоимость помощи в написании студенческой работы.
Помощь в написании работы, которую точно примут!

Авторская система TeachLab CourseMaster

Авторская система TeachLab CourseMaster

А.А. Пугачев, кафедра математики и информатики

Улан-Удэнский филиал Восточно-Сибирского института МВД России,

Улан-Удэ, Россия

Введение

Анализ опыта внедрения в школах, вузах и различных предприятиях, компьютерных программ учебного назначения показывает, что важным фактором, препятствующим их широкому применению, является неполное соответствие предлагаемого материала идеям и методам преподавания той или иной дисциплины. Многие педагоги проявляют значительную осторожность в использовании обучающих программ и педагогических программных средств. Идеальным решением этой проблемы является полный учет требований пользователя (преподавателя), что практически недостижимо. В настоящее время в сфере разработки обучающих и других учебных программ доминируют интересы и предпочтения производителя, то есть программистов-разработчиков компьютерных программ. В печати и на конференциях различного уровня не раз высказывалось мнение, что современному педагогу, скорее нужен не диск с полным мультимедийным курсом по предмету, а некоторые элементарные кирпичики, которые он мог бы использовать в качестве красочных иллюстраций своих идей и методов и которые более органично вписались бы в традицию использования наглядных пособий, подбираемых педагогом для своего занятия.

В связи с этим представляется целесообразным создание не законченной обучающей продукции, а своеобразных электронных конструкторов - инструментальных программных средств (авторских систем) для создания педагогом собственных ЭУК. В настоящее время существует довольно много таких систем, как коммерческих, так и исследовательского уровня, различающихся простотой освоения, предоставляемыми возможностями, стоимостью и т.д. В рамках данной статьи рассмотрена авторская система TeachLab CourseMaster ( #"95829.files/image001.jpg">,

где - коэффициенты, определяющие приоритет того или иного показателя, - поправочный коэффициент.

Существенным, в данном подходе, является использование, наряду с понятием вес вопроса, понятия - вес ответа, который определяется как степень соответствия j ответа текущему вопросу, выраженная в процентах или долях единицы.

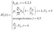
Итоговый балл, получаемый тестируемым, при выполнении i задания теста определяется выражением:

,

где

t - тип вопроса (в настоящей работе: 0 - "одиночный выбор", 1- "множественный выбор", 2 - "ввод с клавиатуры", 3 - "область на рисунке", 6 - "соответствие" и 4, 5 - "конструктор вопросов");

kij - степень соответствия j ответа содержанию i вопроса;

NF - число ответов выбранных неправильно (для вопросов "множественный выбор" и "соответствие");

NT - число ответов выбранных правильно (для вопросов "множественный выбор" и "соответствие").

Адаптация к предметной области

Адаптация к предметной области позиционирует систему CourseMaster, как совокупность инструментальных средств, на базе которых появляется возможность разработки учебных курсов из различных областей знаний. Технология положенная в основу авторской системы инвариантна к различным предметным областям. Разумеется, инвариантность не следует трактовать в абсолютном смысле. При переходе от одной предметной области к другой отдельные составляющие технологии могут модифицироваться (адаптироваться), однако ядро системы, реализующее общие принципы и механизмы построения электронных учебных курсов, остается неизменным.

Процедуры адаптации к новым предметным областям достаточно гибкие, в результате чего затраты, на настройку системы на новую предметную область, как минимум, на порядок меньше затрат на разработку новой системы "с нуля".

Практической стороной решения этой проблемы явилось:

наличие в системе визуальных средств конструирования и корректировки интерфейса и содержания учебного курса;

наличия широкой палитры обучающих компонент и простых средств их включения в учебный курс.

Процесс конструирования страниц курса аналогичен процессу разработки программ в любой среде визуального программирования, например, Delphi (Рисунок 2): проектирование интерфейса путем манипуляции набором компонент и связывание их с помощью кода на Object Pascal (VBScript или JavaScript).

Набор компонент достаточно обширен (идентичен компонентам Delphi), кроме того, предусмотрена возможность подключения дополнительных компонент и элементов управления ActiveX, для расширения функциональных возможностей программы.

Рис. 3. Подключение компонент и элементов ActiveX.

Решение некоторых типовых задач в системе TeachLab CourseMaster

При разработке электронных учебных курсов естественно возникновение ряда типовых задач и ситуаций. Методы и способы решения некоторых типовых задач рассмотрены ниже.

Объединение вопросов и упражнений в тесты

Тест - объективное и стандартизированное измерение, легко поддающееся количественной оценке, статистической обработке и сравнительному анализу.

Структурно тест представляет собой взаимосвязанный набор из серий заданий равной трудности, направленных на один объект исследования (тему, умение, навык и т.п.).

При проведении тестов с целью итогового контроля, определения общего уровня владения предметом, диагностики знаний возникает задача проверки и оценки знаний, умений и навыков испытуемого по широкому перечню областей, в то время, как каждый конкретный тест обычно направлен на какой-то один объект тестирования. В этом случае применяют так называемые "тестовые батареи". Формально тестовая батарея представляет собой один большой тест, измеряющий сразу несколько характеристик испытуемого.

Структура тестовой батареи определяется структурой предметной области, и для ее формирования разработан механизм, который позволяет из базового набора вопросов и упражнений (тестов) формировать произвольные тестовые батареи.

Для работы с тестовыми батареями, в системе TeachLab CourseMaster можно использовать обучающий компонент TTestButton и/или встроенную функцию.

Обучающий компонент TTestButton. Компонент имеет большое количество настраиваемых свойств, но непосредственно на сеанс тестирования влияют только следующие:

Таблица 2. Свойства обучающего компонента TTestButton .

Свойство

Пример

Описание

Test3

50

Процентное соотношение набранных баллов к возможному числу баллов для получения оценки "три".

Test4

75

Процентное соотношение набранных баллов к возможному числу баллов для получения оценки "четыре".

Test5

85

Процентное соотношение набранных баллов к возможному числу баллов для получения оценки "пять".

TestCount

15

Количество вопросов в сеансе тестирования.

TestQuery

Tema=0 and Gamma=1

Строка, определяющая фильтр, по которому будут выбираться вопросы для данного теста (см. следующую таблицу).

TestTime

20

Время для прохождения данного теста в минутах. Если время равно 0, то время не ограничено.

TestTitle

Основные понятия

Определяет строку для заголовка окна тестирования и переменную, в которой будут сохранены результаты тестирования в Модели пользователя.

Наиболее существенным является свойство TestQuery, определяющее фильтр, по которому будут выбираться вопросы для данной тестовой батареи.

Таблица 3. Параметры фильтра.

Переменная

Алиас

Диапазон значений

Описание

Tema

Тема

0..N

Включить в тестовую батарею вопросы только по указанной теме тестирования. N - число тем.

Уровень усвоения

0..2

Включить в тестовую батарею вопросы только указанного уровня усвоения учебного материала.

Beta

Уровень представления

0..3

Включить в тестовую батарею вопросы только указанного уровня научности учебного материала.

Gamma

Уровень осознанности

0..2

Включить в тестовую батарею вопросы только указанного уровня осознанности.

TypeQuest

Тип вопроса

0..6

Включить в тестовую батарею вопросы только указанного типа.

Page

Страница курса

0..M

Включить в тестовую батарею только вопросы, соответствующие определенной странице учебного курса. M - число страниц учебного курса.

Impotent

Важность

0..2

Включить в тестовую батарею только вопросы определенной степени важности.

Настройка данного свойства осуществляется с помощью визуального построителя запросов.

Рисунок 5. Настройка фильтра.

Обеспечение интеграции учебных курсов

Практически в каждой учебной дисциплине может потребоваться наличие знаний из другой дисциплины, т.е. при изучении тем одного учебного курса могут потребоваться сведения из другого.

Физическое объединение всех необходимых знаний в рамках одного учебного курса неизбежно приведет к их дублированию, и, как следствие, к увеличению сроков и стоимости разработки и сопровождения. Кроме того, такое объединение может оказаться неэффективным ввиду быстрого изменения самих предметных знаний.

В связи с этим обязательное свойство современной обучающей системы - возможность интеграции информации из различных учебных курсов и внешних источников (файлы на жестком диске, данные Intranet и Internet).

Для решения проблем, связанных с интеграцией знаний, в системе TeachLab CourseMaster можно использовать обучающий компонент TMHotSpot и/или встроенные функции.

Использование компонента TMHotSpot. Компонент TMHotSpot имеет большое количество настраиваемых свойств, но наиболее существенными, для решения проблемы интеграции знаний, являются следующие:

Таблица 4. Свойства обучающего компонента TMHotSpot.

Свойство

Пример

Описание

HotSpotType

hstInternet

Значение данного свойства определяет способ организации перехода:

- hstMainWnd - при активизации гиперссылки новая страница замещает текущую в главном окне программы;

- hstPopUp - при активизации гиперссылки новая страница открывается в дополнительном окне;

- hstInternet - при активации гиперссылки запускается браузер (например, IE) и открывается указанная страница;

- hstCourse - при активации гиперссылки запускается копия Проигрывателя курсов и открывается курс, указанный в свойстве

- PageName (без повторной регистрации пользователя);

- hstCustom (только для опытных разработчиков) - при активизации гиперссылки вызывается событие OnClick данного компонента.

PageName

#"95829.files/image007.jpg">

Рис. 4. Редактор диалогов.

Использование вышеописанных возможностей анимированных педагогических агентов делает возможным более точно моделировать те виды диалогов и взаимодействий, которые возникают в процессе обучения.

Для упрощения процедуры моделирования таких диалогов в авторской системе CourseMaster реализован редактор "Диалогов педагогических агентов".

Создание и использование понятийных карт (concept maps)

Использование методов инженерии знаний в качестве дидактических инструментов и в качестве формализмов представления знаний способствует более быстрому и полному пониманию структуры знаний предметной области конкретного электронного учебного курса

Представление предметных знаний в форме понятийной карты: .

дает исчерпывающее описание понятий и связей между ними;

способствует глубокой обработке знаний, что способствует их лучшему запоминанию и извлечению из памяти, а также повышает способности применять знания в новых ситуациях;

позволяет связывать новые понятия с существующими понятиями и представлениями, что улучшает понимание;

позволяет заменить оглавление в электронных учебниках, энциклопедиях и т.д. на некоторую наглядную логическую картину.

Для использования в рамках электронных учебных курсов понятийных карт в системе TeachLab CourseMaster используется обучающий компонент TConceptMap.

Компонент имеет большое количество свойств, доступных для изменения как программно, так и в визуальной среде проектирования, но наиболее существенными являются следующие:

Таблица 5. Свойства обучающего компонента TConceptMap.

Свойство

Описание

Options

Определяет опции концепт-карты

fcoCanDelete- разрешает удалять элементы концепт-карты;

fcoCanDrag- разрешает перетаскивать элементы концепт-карты;

fcoCanSelect- разрешает выделять элементы концепт-карты;

fcoMultiSelect- разрешает выделять несколько элементов концепт-карты одновременно.

Zoom

Задает масштаб концепт-карты. Принимает значения от 0 до 100%. Если равно 0, то карта масштабируется для полного помещения.

Коллекция связей между концептами концепт-карты.

Objects

Коллекция концептов предметной области

SelectedObject

Концепт предметной области, выбранный пользователем

SelectedConnection

Связь между концептами предметной области, выбранная пользователем.


Рис. 6. Создание понятийной карты.

Заключение

Разработанная система может использоваться как для работы с артикулируемыми, так и с неартикулируемыми знаниями, используя, соответственно, тематический и задачный подходы или их комбинацию [Атанов Г.А., 2001]. Это позволяет разрабатывать в системе различные педагогические программные средства: электронные учебные курсы, компьютеризированные учебники, контролирующие программы, тренажеры, справочники, энциклопедии и т.д. Причем, анализ решения типовых задач, возникающих при разработке данных педагогических средств, позволяет утверждать, что, в зависимости от потребностей разработчика и уровня его знаний, одни и те же задачи могут быть решены различными методами.

Список литературы

 [Гаврилова Т. А., Хорошевский В. Ф., 2000] Гаврилова Т. А., Хорошевский В. Ф., Базы знаний интеллектуальных систем /Т. А. Гаврилова, В. Ф. Хорошевский - СПб: Питер, 2000. - 384 с.: ил.

[Норенков Ю. И., 1993] Норенков Ю. И., Исследование и разработка принципов построения адаптивных обучающих систем: Дис. на соискание ученой степени кандидата тех. наук - М:, 1993.

[Беспалько В. П., 1977] Беспалько В. П. Основы теории педагогических систем. Воронеж: Изд-во Воронеж. ун-та, 1977. 303 с.

[Пугачев А. А., 2001] Пугачев А. А. Адаптивные компьютерные обучающие системы // Материалы международной научно-практической конференции "Информационные технологии в науке и образовании". - Шахты, 2001. C. 29-31.

[Аршинский Л. В., 1998] Аршинский Л. В. Методы обработки нестрогих высказываний. Иркутск: ВСИ МВД РФ, 1998. - 40 с.

[Аршинский Л. В., Пугачев А. А., 2002] Аршинский Л. В., Пугачев А. А. Программный комплекс диагностики знаний TeachLab TestMaster// Информатика и образование. №7, 2002. С. 68-74

[Атанов Г.А., 2001] Атанов Г.А. Деятельностный подход в обучении. - Донецк: ЕАИ-пресс, 2001.

Похожие работы на - Авторская система TeachLab CourseMaster

 

Не нашли материал для своей работы?
Поможем написать уникальную работу
Без плагиата!
Без нейросетей!