Функционально-физический анализ фотоаппарата Зенит

  • Вид работы:
    Реферат
  • Предмет:
    Другое
  • Язык:
    Русский
    ,
    Формат файла:
    MS Word
    122,11 kb
  • Опубликовано:
    2009-01-12
Вы можете узнать стоимость помощи в написании студенческой работы.
Помощь в написании работы, которую точно примут!

Функционально-физический анализ фотоаппарата Зенит

    Российская Экономическая Академия им. Г. В. Плеханова

 

 

 

 

 

                             КАФЕДРА МЕХАНИКИ




Расчетно-аналитическая работа по курсу методы поиска и             

         принятия инновационно технических решений.

                  Функционально-физический анализ

                            фотоаппарата  «Зенит»




                                           Выполнил студент  гр.№723

                                           Фролов Александр Александрович

                                           факультет ИЭИ.

                                           Научный руководитель

                                           Колоколов В. А.








                              Москва 2001

Функционально-физический анализ

фотоаппарата

1.   Описание функции предназначения.

                                             F = {D,G,H }

     D  - экспонирование ;

     G  - светочувствительный материал ;

     H  - с определенными условиями .

2.   Описание физической операции.

                                             Q = {A, E, C}

     А  -  свет ;

     С  -  экспонированный светочувствительный материал ;

     Е  -  сбор и накопление.   

 

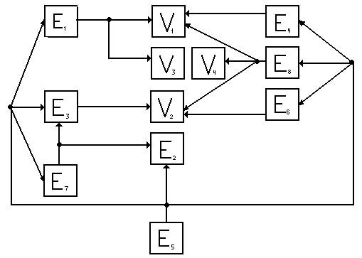
     3.Разбиваем фотоаппарат на функциональные элементы.

     Е1 – объектив;

     Е2 – затвор;

     Е3 – диафрагма;

     Е4 – лентоперематывающий механизм;

     Е5 – корпус;

     Е6 – система фокусировки;

     Е7 – система управления;

     Е8 – экспозиционное устройство.

            

4.Выделяем объекты окружающей среды.

 

V1 – светочувствительный материал (фотопленка);

V2 – свет;

V3 – объект окружающей среды;

V4 – человек.

5.Описываем функции выделенных элементов.

П/н

Наименование

ФЭ.

Обозначение

      ФЭ.

Обозначение

 функции

Описание функции

  1

  Объектив

       Е1

       F1

Создает оптическое

изображение объекта на фотопленке.

 2

    Затвор

       Е2

       F2

Обеспечивает необхо-

димое время экспони-

рования.

 3

 Диафрагма

       Е3

       F3

Регулирует количество света.

 4

Лентоперема-тывающий

механизм


       Е4


       F4

Перематывает фото-

пленку на нужную

позицию.

 5

 Корпус

       Е5

       F5

Защищает и объединяет

все элементы фотоап-парата.

 6

Система фокусировки

       Е6

       F6

Фокусирует свет на фотопленку.

 7

Система управления

       Е7

       F7

Управляет затвором и

диафрагмой.

 8

Экспозицион-ное устройство

       Е8

       F8

Регулирует время проникновения света.





6.Строим конструктивную функциональную структуру, которая описывает функциональную взаимосвязь между элементами.

 


7.Выделяем основные и вспомогательные потоки.

Свет  

Механическая энергия    

Информация       

      


8.Проводим описание физических операций выделенных элементов.

Физическая операция – это общее описание функционирования каждого элемента.

                                     Q = {A, E, C }

Наименование

ФЭ и О.о.с.

   А

     С

    Е

Физический

закон или

эффект

  №

источ

 ника

  №

прием

 ника

 1

Фотопленка V1

свет

кадр

сбор и

накопле

ние

потемнение


 6




 2

Свет V2





 

 

 3

Объект V3

свет

свет

излуче-

ние

отражение

2

5

 4

Человек V4

инфор

мация

мех.

энерг.



12

 11

 5

Объектив Е1

свет

свет

проводи

мость

преломление

3

7

 6

Затвор Е2

мех.эн.

свет.

свет

проводи

мость


7

1

 7

Диафрагма Е3

свет

свет

проводи

мость


5

6

 8

Лентоперемат.

механизм Е4

мех.эн.

мех.эн.


воздействие

4

1

 9

Корпус Е5

мех.эн.

мех.эн.

проведе

ние.

объединение


4

10

Система фоку-сировки  Е6

мех.эн.

свет

мех.эн.

сбор.

фокусирует свет

4

5

5

11

Система управ

ления    Е7

мех.эн.

мех.эн.


вохдействие

4

6,7

12

Экспозицион.

устройство Е8

свет

инфор

мация

преобра

зование



5

4



9.Строим потоковую функциональную структуру, которая описывает физическую взаимосвязь.

 

10.Проводим описание физического принципа действия.

 

Описание физического принципа действия производится на основе ПФС и поэтому ПФС и физический принцип действия могут быть совмещены.



                                    Принцип историзма.

Принцип историзма в ФФА – это история возникновения потребности и различные способы реализации этой потребности раньше, сегодня, а также возможны способы реализации потребности в будущем.

         Использование принципа историзма сводится к иерархической матрице удовлетворения потребности.

      Иерархическая матрица удовлетворения потребности.

Потребность: получение изображения объекта окружающей среды.

Эту потребность определяют следующие физические операции:

- Рисование.

- Фотографирование.

Технические решения:

- уголь, карандаш, ручка, краски

- камера обскура, механический фотоаппарат, электронный фотоаппарат, фотоаппарат с автоматической настройкой,

цифровой фотоаппарат.

Иерархическая матрица удовлетворения потребности.


                Наличие закономерностей развития.

              Закономерность стадийного развития

В процессе развития человек передает свои функции техническому объекту.

      Основные функции человека:

- Технологическая (Т)

- Энергетическая (Э)

- Управленческая (У)

- Планирующая (П)



      0

       1

      2

      3

       4

Человек

    ТЭУП

   ЭУП

    УП

     П

       -

Фотоаппарат


      -

     Т

    ТЭ

   ТЭУ

   ТЭУП


         Я считаю, что фотоаппарат «Зенит» находится на 1 стадии развития, потому что человек управляет фотоаппаратом, воздействует на него (механическая энергия) и планирует его действия.

Аппроксимация значений разрешающей способности              

                                   объективов.

Годы

Разрешающая

способность

1749

10

1862

18

1870

20

1880

22

1891

30

1895

45

1900

58

1906

70

1912

85

1918

96

1933

104

1940

110

1969

117

1982

119

1995

120



 
















Графический вид:



                                Метод ранжирования.

Недостатки фотоаппарата:

1.Громоздкий

2.Нет автоматической системы перемотки

3.Нет автоматической настройки

4.Нет встроенной вспышки

5.Тяжелый.

   -

  1

  2

  3

  4

  5

Кол. повт.

   Ранг

 1

   -

  2

  3

  4

  5

      0

       5

 2

  2

   -

  3

  2

  2

      3

       2

 3

  3

  3

   -

  3

  3

      4

       1

 4

  4

  2

  3

   -

  4

      2

       3

 5

  5

  2

  3

  4

   -

      1


Как видно из таблицы 1 ранг получил 3 недостаток – нет

автоматической настройки.           


                    




















                                        Метод гирлянд ассоциаций.

        Алгоритм

1.Формулировка проблемной ситуа-

ции. Установление объекта исследования (наименование).Опре-

деление синонимов объекта.

Пример

Проблема – необходимо усовершен

ствовать фотоаппарат.

Объект – фотоаппарат.

Синонимы – фотокамера, камера.

2.Произвольный выбор случайных объектов. Получение гирлянды случайных объектов.

Случайные объекты – игрушка, часы, сумка, подставка.

3.Составление комбинаций из элементов гирлянды синонимов и гирлянды случайных объектов.

Фотоаппарат с часовым механизмом, сумка для камеры, фотоаппарат с подставкой, игрушечный фотоаппарат.





4.Составление перечня признаков              

случайных объектов.

                                                                                 

Часы: механические, квадратные, электронные, пластмассовые, ручные, настенные, деревянные, золотые, круглые.

Подставка: металлическая, деревян

ная, высокая, пластмассовая.

Игрушка: мягкая, резиновая, деревянная, пластиковая, цветная.

Сумка: кожаная, матерчатая, объемная, маленькая, дамская.

5.Генерирование идеи путем поочередного присоединения к объекту и его синонимам признаков случайных объектов.

Механический фотоаппарат, квадратная камера, электронный фотоаппарат, пластиковый фотоаппарат, маленькая фотокамера, цветной фотоаппарат, дамский фотоаппарат, кожаная камера.

6.Из признаков случайных объектов генерируются гирлянды ассоциации.

Электроника-техника-компьютер-программа. Механика-шестеренка-механизм-машина-авария-дорога.

Пластик-окно-погода- дождь-вода.

Рисунок-портрет-стена-бетон-дом.



 




Кожа-стиль-куртка-фигура-модель-диета-вес.

Квадрат-кубик-игра-дети-огород-жара-солнце-батарея.

7.Генерирование новых идей. К элементам гирлянды синонимов постепенно нужно присоединить элементы гирлянд ассоциаций.

Электронный фотоаппарат, фотоаппарат с программным

управлением, фотоаппарат для подводной съемки, игрушечный фотоаппарат, стильный фотоаппарат, легкий фотоаппарат, фотоаппарат с солнечными батареями, кожаный фотоаппарат.

8.Оценка и выбор рациональных вариантов идей. Идеи разбивают на 3 группы:

 1 – рациональные идеи;

 2 – идеи сомнительной полезности;

 3 – нерациональные идеи.

Рациональные идеи: электронный фотоаппарат, пластиковый фотоаппарат, фотоаппарат с программным управлением,

фотоаппарат для подводной съемки

Идеи сомнительной полезности:

игрушечный фотоаппарат, стильный  фотоаппарат.

Нерациональные идеи: фотоаппарат с солнечными батареями, кожаный фотоаппарат.





                  Матричный метод принятия решений.

       Х – альтернативные решения;

       К – критерии;

       В – вес критерия     Вj = 1

       А – оценки   1<Aij <10






Критерии

Масса

Дизайн

Удобство

управлен.

* АijBj

                  Вес критер.

Альтернат.

   0,3

    0,2

      0,5

Пластиковый фотоаппарат

           2,7

9

              1,4

7

               3

6

    7,1

Фотоаппарат с программным управлением

           2,4

8

              1,4

7

              4,5

9


    8,3

Стильный фотоаппарат

           2,4

8

              1,8

9

              3,5

7

    7,7

Электронный фотоаппарат

           2,4

8

              1,4

7

              4

8

    7,8



  Как видно из таблицы, максимальное значение *АijBj  = 8,3

  следовательно, фотоаппарат с программным управлением можно считать                           

  самым лучшим.


                        Морфологический метод.

1.Стадия анализа.

Разбиваем объект на морфологические признаки.

Объект – фотоаппарат.

Фотоаппарат состоит из:

- корпуса;

- объектива;

- затвора;

- диафрагмы;

     -   системы управления.

2.Рассматриваем различные варианты реализации морфологических признаков.

Корпус (материал): пластмасса, металл.

Объектив: пластик, съемный, несъемный.

Затвор: в виде шторок, секционный.

Диафрагма: пластик.

Система управления: автоматическая, неавтоматическая.


                                              Матрица


            1

            2

           3

1.Корпус

Пластмасса

Металл


2.Объектив

Пластик

Съемный

Несъемный

3.Затвор

В виде шторок

Секционный


4.Диафрагма

Пластик



5.Сист.управлен.

Автоматическая

Неавтоматическая



3.Стадия синтеза.

Здесь мы комбинируем решения из различных вариантов реализации.

Рассматриваем все возможные комбинации.

Техническое решение 1 (ТР 1): Фотоаппарат с пластмассовым корпусом,

пластиковым объективом, затвором в виде шторок, пластиковой диафрагмой, и с неавтоматической системой управления.

ТР 2: Фотоаппарат с металлическим корпусом, съемным объективом, секционным затвором, пластиковой диафрагмой, и автоматической системой управления.

ТР 3: Фотоаппарат с пластиковым корпусом, несъемным объективом, секционным затвором, пластиковой диафрагмой, и автоматической системой управления.



                     Метод расстановки приоритетов.

Альтернативные решения:

Х1 – Фотоаппарат с программным управлением;

Х2 _ Пластиковый облегченный фотоаппарат;

Х3 – Электронный фотоаппарат.

Критерии:

К1 – удобство управления;

К2 – Масса;

К3 – Дизайн.

1.Для каждого критерия поочередно проводим сравнение альтернативных решений.

К1         X1 > X2                                 K2           X1 < X2

              X1 > X3                                                 X1 = X3         

              X2 > X3                                                 X2 > X3

K3         X1 < X2

              X1 < X3                  

              X2 = X3

2. Строим квадратичную матрицу.

    Альт

Альт

  Х1

  Х2

  Х3

*по

строке

  Рi1

      Рi1

  Х1

    1

   1,5

   1,5

    4

   11,5

    0,46

  Х2

   0,5

    1

   0,5

    2

    5,5

    0,22

  Х3

   0,5

   1,5

    1

    3

      8

    0,32

*

     25

       1


Р11= 1*4+1,5*2+1.5*3 = 11,5

Р21= 0,5*4+1*2+0,5*3 = 5,5

Р31= 0,5*4+1,5*2+1*3 = 8


    Альт

Альт

   Х1

   Х2

   Х3

* по

строке

     Рi2

       Рi2    

   Х1

    1

   0,5

    1

   2,5

       7

    0,274

   Х2

   1,5

     1

   1,5

     4

      11,5

    0,452

   Х3

    1

   0,5

     1

   2,5

        7

    0,274

*

     25,5

        1


Р12= 1*2,5+0,5*4+1*2,5 = 7

Р22= 1,5*2,.5+1*4+1,5*2,5 = 11,5

Р32= 1*2,5+0,5*4+1*2,5 = 7





    Альт

Альт

   Х1

   Х2

   Х3

* по

строке

     Рi3

       Рi3    

   Х1

    1

   0,5

   0,5

     2

     5,5

    0,216

   Х2

   1,5

    1

    1

    3,5

     10

    0,392

   Х3

   1,5

    1

    1

    3,5

     10

    0,392

*

    25,5

        1


Р13= 1*2+0,5*3,5+0,5*3,5 = 5,5

Р23= 1,5*2+1*3,5+1*3,5 = 10

Р33= 1,5*2+1*3,5+1*3,5 = 10

3.Определяем значимость критериев.

К1 > K2

K1 > K3

K2 > K3



    Крит

Крит

   К1

   К2

   К3

*по

строке

     Bj

       Bj

   К1

    1

   1,5

   1,5

     4

    11,5

     0,46

   К2

   0,5

    1

   1,5

     3

      8

     0,32

   К3

   0,5

   0,5

     1

     2

     5,5

     0,22

*

     25

        1



В1 = 1*4+1,5*3+1,5*2 = 11,5

В2 = 0,5*4+1*3+1,5*2 = 8

В3 = 0,5*4+0,5*3+1*2 = 5,5

4.  Для каждого альтернативного решения вычисляем комплексный

приоритет.

                                        Рi комп  =  *  Рij* Bj

P1 комп  = 0,46*0,46+0,274*0,32+0,216*0,22 = 0,3468

P2 комп  = 0,22*0,46+0,452*0,32+0,392*0,22 = 0,33208

P3 комп  = 0,32*0,46+0,274*0,32+0,392*0,22 = 0,32112

5. Проводим сравнение комплексных приоритетов.

Максимальное значение = 0,3468 имеет P1 комп . Следовательно альтернативное решение Х1 – Фотоаппарат с программным управлением – это самое лучшее решение.

Похожие работы на - Функционально-физический анализ фотоаппарата Зенит

 

Не нашли материал для своей работы?
Поможем написать уникальную работу
Без плагиата!
Без нейросетей!