Математическое моделирование при активном эксперименте

  • Вид работы:
    Реферат
  • Предмет:
    Другое
  • Язык:
    Русский
    ,
    Формат файла:
    MS Word
    163,91 kb
  • Опубликовано:
    2009-01-12
Вы можете узнать стоимость помощи в написании студенческой работы.
Помощь в написании работы, которую точно примут!

Математическое моделирование при активном эксперименте

Министерство образования РФ

Волгоградский государственный технический университет

Кафедра «САПР и ПК»

Курсовая работа

по моделированию

на тему:

«Математическое моделирование при активном эксперименте»


Выполнил: студент II-го курса

группы ИВТ-263

Б********  Ю.В.

Проверил: Фоменков С.А.



Волгоград 2001

Основные положения теории планирования эксперимента.


         Оптимизация технологического процесса производства любой продукции содержит важный этап - определение (отыскание) математической модели - уравнения связи выходного показателя качества изделия (целевой функции, параметра оптимизации) с параметрами этого изделия или технологического процесса (входными факторами). Модель - это упрощенная система, отражающая отдельные стороны явлений изучаемого объекта. Каждый изучаемый процесс можно описать различными моделями, при этом ни одна модель не может сделать это абсолютно полно и всесторонне. Однако использование упрощенной модели, отражающей отдельные черты исследуемого объекта, позволяет яснее увидеть взаимосвязь причин и следствий, входов и выходов, быстрее сделать необходимые выводы, принять правильные решения.

           Различают физическое и математическое моделирование. При физическом моделировании исследование объекта происходит при его воспроизведении в ином масштабе. Здесь возможен количественный перенос результатов эксперимента с модели на оригинал. Однако для анализа сложных объектов и процессов, каковыми являются большинство электронных схем, конструкций и технологических процессов производства радиоэлектронной техники, приборостроения, машиностроения и других промышленных отраслей, применение физического моделирования затруднительно, поскольку приходится использовать большое число критериев и ограничений, которые могут быть несовместимы, а зачастую и невыполнимы.

           Математическое моделирование является методом качественного или количественного описания объектов или процессов, при этом реальный объект, процесс или явление упрощается, схематизируется и описывается определенным уравнением. В большинстве случаев математическая модель представляет собой уравнение регрессии, то есть геометрическое место точек математических ожиданий условных распределений целевой функции. Простейшим примером такой модели является уравнение парной корреляции, где на целевую функцию воздействует один фактор. На практике в реальном производстве на целевую функцию воздействуют много факторов и искомое уравнение регрессии становится многомерным.

         Существует много методов отыскания уравнения регрессии, которые можно условно разделить на два класса: методы активного и методы пассивного эксперимента. Под активным экспериментом будем понимать эксперимент, предварительный план которого составлен так, чтобы получить максимальную информацию о целевой функции при минимальной ее дисперсии и проведении минимального числа опытов (эффективный план). Такой план (например, полный факторный эксперимент) требует искусственного одновременного варьирования всеми факторами в довольно широких пределах. Методы активного эксперимента довольно хорошо разработаны в специальном разделе математической статистики, который называется "Теория планирования эксперимента".

         Под математической теорией планирования эксперимента будем понимать науку о способах составления экономных экспериментальных планов, которые позволяют извлекать наибольшее количество информации об объекте, о способах проведения эксперимента, о способах обработки экспериментальных данных, о способах использования полученных результатов для оптимизации исследуемых объектов (например, технологических процессов производства массовой продукции). Математический аппарат теории планирования эксперимента построен на сочетании методов математической статистики и методов решения экстремальных задач.

         В настоящее время выделяют два основных направления теории планирования эксперимента:

  1. планирование экстремальных экспериментов;
  2. планирование экспериментов по выявлению механизма явлений.

В этой курсовой работе описываются в основном методы первого направления.

Любое экспериментальное исследование содержит три этапа:

  1. этап постановки задачи;
  2. этап планирования и проведения эксперимента;
  3. анализ и интерпретация результатов.

         Главной трудностью на этапе постановки задачи является переход с языка специальности на язык планирования эксперимента, на язык математики.

        Построение математической модели технологического процесса в зависимости от поставленной задачи может преследовать следующие цели: минимизировать расход материала на единицу выпускаемой продукции при сохранении качества, произвести замену дорогостоящих материалов на более дешевые или дефицитных на распространение; сократить время обработки в целом или на отдельных операциях, перевести отдельные режимы в некритические зоны, снизить трудовые затраты на единицу продукции и т.п.; улучшить частные показатели и общее количество готовой продукции, повысить однородность продукции, улучшить показатели надежности и т.п.; увеличить надежность и быстродействие управления, увеличить эффективность контроля качества, создать условия для автоматизации процесса управления и т.п.

         Прежде всего, необходимо выбрать зависимую переменную Y, которую впредь будем называть целевой функцией или параметром оптимизации, за который принимают один из показателей качества продукции либо по каждой технологической операции отдельно, либо по всему технологическому процессу сразу. Параметр оптимизации должен соответствовать следующим требованиям:

  • параметр должен измеряться при любом изменении (комбинации) режимов технологического процесса;
  • параметр должен быть статистически эффективным, то есть измеряться с наибольшей точностью;
  • параметр должен быть информационным, то есть всесторонне характеризовать технологический процесс (операцию);
  • параметр должен иметь физический смысл, то есть должна быть возможность достижения полезных результатов при соответствующих условиях процесса;
  • параметр должен быть однозначным, то есть должно минимизироваться или максимизироваться только одно свойство изделия.

            За фактор принимают контролируемую величину объекта (изделия, процесса, операции), то есть величину, характеризующую то или иное свойство объекта или режим технологического оборудования. Эта величина, числовое значение которой измеряется в пределах (границах) изменения, должна влиять на параметр оптимизации.

         При определении величин количественных оценок во внимание должны приниматься только те факторы, которые имеют четкий метрологический смысл (возможность измерения фактора с определенной точностью).

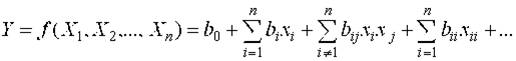
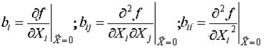
         Описание исследуемого объекта нельзя получить в виде точной формулы функции, справедливой во всем диапазоне существования аргументов. Оно может быть лишь приближенным и на небольшом участке в окрестностях выбранной базовой точки. Аппроксимация искомой математической зависимости представляет собой некоторый полином - отрезок ряда Тейлора, в который разлагается неизвестная зависимость:

Формула 5.1

(1)

где:

Формулы bi, bij, bii

В силу наличия неуправляемых и даже неконтролируемых входных переменных Xi изменение величины Y носит случайный характер, а потому уравнение (1) не дает нам точной связи между входом и выходом объекта и является лишь условным математическим ожиданием случайной величины Y, т.е. уравнением регрессии.

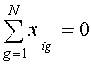
Чтобы отыскать коэффициенты уравнения регрессии по результатам экспериментов в N точках факторного пространства (что является типичной задачей регрессионного анализа), необходимо выполнение следующих предпосылок:

  1. Результаты наблюдений Y1, Y2,...,Yn выходной величины в N точках факторного пространства представляют собой независимые, нормально распределенные случайные величины.
  2. Выборочные дисперсии опытов однородны, т.е. статистически неразличимы. Это требование означает независимость выборочной дисперсии от местоположения точки факторного пространства, в которой проводится конкретный опыт (ротатабельность).
  3. Независимые переменные X1, X2,...,Xn измеряются с ошибкой много меньшей, чем величина возможного отклонения выходного параметра Y под влиянием неучтенных факторов.

Тогда задача отыскания коэффициентов уравнения регрессии сводится к решению системы так называемых нормальных уравнений:

Формула 5.2

(2)

где Yg- экспериментальные значения выходного параметра, полученные в g-й точке факторного пространства;
Y^g- значение выходного параметра, найденные по уравнению регрессии в тех же точках;
d - количество членов в уравнении регрессии.

Выражение (2) является основным критерием проверки правильности найденного уравнения регрессии.

Чтобы система нормальных уравнений, которая может быть представлена в виде матрицы, имела единственное решение, необходимо, чтобы матрица была невырожденной, т.е. чтобы вектор – столбцы были линейно – независимы. Чтобы величины коэффициентов уравнения регрессии не зависели от числа членов матрицы, нужно на нее наложить дополнительное условие ортогональности вектор столбцов.

1. Полный факторный эксперимент

          Полным факторным экспериментом (ПФЭ) называется эксперимент, реализующий все возможные повторяющиеся комбинации уровней независимых переменных, каждая из которых принудительно варьируется на двух уровнях (Рис 1)

Схема перехода в относительные координаты

Рис. 1 Схема перехода в относительные координаты

Число этих комбинаций N=2n определяет тип планирования.

         Для гарантированного получения единственного решения системы нормальных уравнений необходимо иметь ортогональную матрицу планирования, что невозможно обеспечить в абсолютной системе единиц факторов Xi, то есть тогда, когда факторы именованные (например, трудно представить 17 километров ортогональными к 12 килограммам). Поэтому необходимо провести предварительное преобразование каждого фактора - его перевод в систему относительных координат. Такое преобразование легко сделать с помощью переноса начала координат в базовую точку X* и выбора единицы отсчета DXi по каждой координате Xi.

Формула 5.3

(3)

Это дает возможность легко построить ортогональную матрицу планирования и значительно облегчает дальнейшие расчеты, так как в этом случае верхние и нижние уровни варьирования Xiв и Xiн в относительных единицах будут равны соответственно xiв = +1 и xiн = -1.

          Шаг варьирования по каждой переменной выбирается таким, чтобы приращение величины выходного параметра Y к базовому значению Y* при реализации шага можно было выделить на фоне "шума" при небольшом числе параллельных опытов. Если нет никаких указаний на величину шага DXi, то в первом приближении можно выбрать DXi= 0,15X*i, т.е. принять за шаг 15%-ное отклонение от базового уровня X*i. Такой шаг дает достаточную гарантию того, что фактор Xi вызовет заметную реакцию Y, если связь между ними существует.

Матрица планирования должна отвечать следующим условиям:

1.   Ортогональность
ортогональность

2.   Условие нормированости
нормированность

3.   Симметричность относительно центра экстремума
симметричность

4.   Ротатабельность, т.е. координаты точек факторного пространства в матрице планирования подстраиваются так, что точность предсказания значения параметра оптимизации одинакова на равных расстояниях от центра эксперимента (базовой точки) и не зависит от направления.

Матрица планирования составляется по следующим правилам:

1. Каждая g-я строка матрицы представляет собой набор координат точки g, в которой производится эксперимент;

2. Поскольку переменные xgi принимают лишь значения +1 и -1, то все остальные переменные могут принимать те же значения, что позволяет в целях упрощения записывать в таблицу вместо +1 и -1 их знаки + и -;

3. Первая строка 1 выбирается так, чтобы управляемые переменные находились на нижнем уровне, т.е. xi1 = -1. Последующие строки при составлении матрицы планирования набираются по правилу: при построчном переборе всех вариантов частота смены знака управляемых переменных для каждой последующей переменной вдвое меньше, чем для предыдущей (см. табл. 1)

Таблица 1

Матрица планирования трехфакторного эксперимента


g

x1

x2

x3

 

1

-

-

-

 

2

+

-

-

 

3

-

+

-

 

4

+

+

-

 

5

-

-

+

 

6

+

-

+

 

7

-

+

+

 

8

+

+

+

 

Следует отметить, что суть матрицы не изменится, если первая строка 1 будет выбрана так, чтобы управляемые переменные находились на верхнем уровне, т.е. xi1 = +1.

Матрицы планирования любого другого типа, например, 24, 25 и т.д. могут быть получены описаным выше способом.

Поскольку изменение выходной величины Y носит случайный характер, необходимо в каждой точке g (т.е. в точке с координатами, записаными в g-й строке) проводить m параллельных опытов и результаты наблюдений Y1g,Y2g,...,Ymg усреднять

Формула 5.4

(4)

Величина m может быть любой, но не меньше m=3. Тогда эксперимент делится на m серий опытов, в каждой из которых полностью реализуется матрица планирования (т.е. эксперимент проводится в N=2n точках факторного пространства).

Одним из важнейших положений современной теории планирования эксперимента является рандомизация. План эксперимента составляется так, чтобы рандомизировать, т.е. сделать случайными те систематически действующие факторы, которые трудно поддаются учету и контролю, для того, чтобы рассматривать их как случайные величины и учитывать статистически.

Перед реализацией плана на объекте необходимо произвести рандомизацию - с помощью таблицы равномерно распределенных случайных чисел (табл.П.6) определить последовательность реализации матрицы планирования в каждой из m серий опытов. Для этого в качестве начала выбирается любое число из табл.П.6 и записывается в столбец k1 из табл.2 на место g=1. Остальные места этого столбца заполняют числа от 1 до N, следующие по порядку из табл.П.6 за выбранным начальным. Следует обращать внимание на то, чтобы числа в столбцах табл.2 не повторялись дважды. Пусть, например, при g=4 k14=8, это значит, что в первой серии испытаний точка 4 реализуется восьмой по порядку.

Аналогично рандомизируются испытания в каждой из оставшихся серий экспериментов; порядок реализации записывается в столбцах k2,k3,...,km. Результаты эксперимента в каждой из серий испытаний записываются в столбцах Y1,Y2,...,Ym.

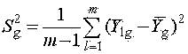
Проверка воспроизводимости - это проверка на выполнение второй предпосылки регрессионного анализа об однородности выборочных дисперсий S2g. Задача состоит в проверке гипотезы о равенстве дисперсий s2{Y1}=s2{Y2}=...s2{YN} при экспериментах соответственно в точках 1,2,...,g,...,N.

Оценки дисперсий находятся по формуле

Формула 5.5

(5)

Так как все дисперсии получены по выборкам одинакового объема m, то число степеней свободы для всех дисперсий одинаково и равно

v1 = m-1

(6)

Для проверки гипотезы об однородности оценок дисперсий следует пользоваться критерием Кохрена, который основан на законе распределения отношения максимальной эмперической дисперсии к сумме всех дисперсий, т.е.

Формула 5.7

(7)

Если вычисленное значение критерия G окажется меньше табличного значения Gкр, найденного для q%-ного уровня значимости, vзн = v2 = N - числа степеней свободы знаменателя (например для q=5%; vчисл = 3 - 1 = 2; vзн=8, Gкр = 0,5157, см. табл.П.5), то гипотеза об однородности дисперсий принимается. При этом всю группу дисперсий S2g можно считать оценкой S2{Y} одной и той же генеральной дисперсии воспроизводимости s2{Y}, откуда

Формула 5.8

(8)

Если проверка на воспроизводимость дала отрицательный результат, то остается признать либо невоспроизводимость эксперимента относительно управляемых переменных вследствие наличия флуктуаций неуправляемых и неконтролируемых переменных, создающих на выходе большой уровень "шума", либо наличие грубого промаха в строке, откуда взята дисперсия max{S2g}. В первом случае следует увеличить число параллельных опытов, во втором - найти грубый промах и заменить его на результат доброкачественного измерения при соответствующей комбинации факторов. Если это по каким-то причинам невозможно, то, чтобы не нарушать предпосылки использования критерия Кохрена, на место грубого промаха следует поместить среднюю арифметическую величину g данной строки.

Следует также отметить, что критерий Кохрена можно применять не к любой группе выборок, а только к группе выборок одинакового объема, что как раз и имеет место при полном факторном эксперименте.

Легко заметить, что исходный план (табл.1) содержит много больше строк, чем столбцев и, следовательно, из результатов эксперимента согласно условию решения нормальных уравнений (2) можно получить дополнительную информацию, т.е. расширить модель. Безусловно, это относится к средней арифметической всего эксперимента, т.е. к отклику в базовой точке b0, для расчета которого можно ввести фиктивную переменную xод = +1 для всех строк. Оставшиеся свободными столбцы можно использовать для нахождения оценок коэффициентов при парных взаимодействиях и т.п. При этом соответствующие величины xixj, xixjxl получаются простым перемножением соответствующих столбцов исходного плана.

Тогда математическая модель объекта, получающаяся в результате ПФЭ может быть представлена в виде

Y = b0 + b0x1 + bnxn + b12x1x2 + b(n-1)x1x2 + b123x1x2x3 + b123...nx1x2x3x3

(9)

Однако вследствие того, что из ограниченного числа опытов нельзя получить точные значения коэффициентов bi, а только их независимые оценки bi, вся математическая модель становится оценочной

= b0 + b1x1 +...+ bnxn + b12x1x2 + b1...nx1...xn

(10)

Пример матрицы планирования, принцыпа ее реализации и последующей обработки экспериментальных данных приведен в табл.2 на базе трехфакторного эксперимента. В разделе "Матрица планирования эксперимента" включены не только относительные переменные xi, сочетание которых и является собственно настоящей матрицей планирования, ни и их парные и тройные взаимодействия, знание которых необходимо лишь на этапе обработки экспериментальных данных.





Таблица 2

Матрица планирования ПФЭ типа N=23 и обработка его результатов


номер
строки

g

Порядок реализации опытов

Матрица планирования эксперимента

Результаты эксперимента

Первичная
обра ботка
результатов

Проверка
адекватности

l

z0

z1

z2

z3

z4

z5

z6

z7

Yg1

...

Ygl

...

Ygm

g

S2g

g

(g-g)2

k1

...

kl

...

km

x0

x1

x2

x3

x1x2

x1x3

x2x3

x1x2x3

1

1

...

6

...

8

+

-

-

-

+

+

+

-








2

7

...

5

...

4

+

+

-

-

-

-

+

+









3

3

...

7

...

6

+

-

+

-

-

+

-

+








4

8

...

2

...

7

+

+

+

-

+

-

-

-









5

6

...

3

...

2

+

-

-

+

+

-

-

+










6

4

...

4

...

1

+

+

-

+

-

+

-

-










7

2

...

1

...

5

+

-

+

+

-

-

+

-










8

5

...

8

...

3

+

+

+

+

+

+

+

+










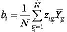
Для удобства расчетов и представления формул каждый столбец может быть представлен в виде новой переменной Zig. Тогда оценки коэффициентов уравнения регрессии легко найти по формуле

Формула 5.11

(11)

         Легко заметить, что матрица планирования является ортогональной с линейно независимыми вектор-столбцами; отсюда следует диагональность матрицы нормальной системы уравнений, а следовательно, и взаимная независимость оценок коэффициентов уравнения регрессии.

         Необходимо отметить, что получаемая модель не дает членов типа x2ii и, таким образом, является неполной. В большинстве случаев это не отражается на качестве модели, так как чаще всего bii=0. Однако в случаях, когда bii¹0, модель становится неточной (неадекватной), тогда следует от ПФЭ переходить к другим принципам планирования (как правило, это случается в окрестностях частного или глобального экстремума целевой функции).

         После определения оценок коэффициентов регрессии необходимо проверить гипотезу о значимости коэффициентов bi. Лучше всего это сделать в виде нуль-гипотезы, т.е. гипотезы о равенстве bi = 0. Если она подтвердилась, то коэффициент bi следует признать статистически незначимым и отбросить из искомой модели; если гипотеза не подтвердилась, то соответствующий коэффициент bi следует признать значимым и включить в модель.

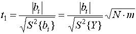
          Проверка гипотезы проводится с помощью t - критерия Стъюдента, который при проверка нуль-гипотезы формируется в виде

Формула 5.12

(12)

где S2{bi}- дисперсия ошибки определения коэффициента bi. При полном и дробном факторном планировании для всех i

Формула 5.13

(13)

Если вычисленная величина параметра ti превышает табличное значение tкр, найденное для q%-ного уровня значимости и vз=N(m-1) числа степеней свободы (например для q = 5%; vз = 16; tкр = 2,199, см.табл.П.2) то нуль-гипотеза отвергается и коэффициент считается незначимым и его следует отбросить, не включая в искомую модель.

Статистическая незначимость коэффициента bi может быть обусловлена следующими причинами:

    1. уровень базового режима * близок к точке частного экстремума по переменной Xi или по произведению переменных;
    2. шаг варьирования DXi выбран малым;
    3. данная переменная (или произведение переменных) не имеет функциональной связи с выходным параметром Y;
    4. велика ошибка эксперимента вследствие наличия неуправляемых и неконтролируемых переменных.

         Поскольку ортогональное планирование позволяет определять доверительные границы для каждого из коэффициентов регрессии в отдельности, то, если какой-либо из коэффициентов окажется незначимым, он может быть отброшен без пересчета всех остальных. После этого математическая модель объекта составляется в виде уравнения связи выходного параметра Y и переменных xi, включающего только значимые коэффициенты.

        Чтобы проверить гипотезу об адекватности представления результатов эксперимента найденному уравнению связи (иными словами, чтобы проверить, насколько найденное уравнение соответствует экспериментальным результатам), достаточно оценить отклонение выходной величины Yg, предсказанное уравнением регрессии, от результатов экспериментов g в точках факторного пространства.

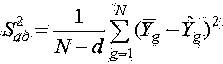
        Рассеяние результатов эксперимента вблизи уравнения связи, аппроксимирующего искомую функциональную зависимость, можно охарактеризовать с помощью дисперсии неадекватности s2ад, оценка которой S2ад находится по формуле

Формула 5.14

(14)

с числом степеней свободы vад = N-d, где d - число членов аппроксимирующего полинома.

Проверка адекватности состоит в выяснении соотношения между дисперсией неадекватности s2ад и дисперсией воспроизводимости s2{Y}. Если s2ад не превышает дисперсии опыта, то полученная математическая модель адекватно представляет результаты эксперимента, если же s2ад> s2{Y}, то описание считается неадекватным объекту.

Проверка гипотезы об адекватности проводится с использованием F-критерия Фишера.

Критерий Фишера позволяет проверить нуль-гипотезу о равенстве двух генеральных дисперсий s2ад и s2{Y}. В связи с тем, что самих генеральных дисперсий мы не знаем, F-критерий формируется как отношение

(15)

Если вычисленное по формуле (15) значение критерия F меньше табличного Fкр, найденного для q%-ного уровня значимости, vчисл = vад = v4 = N-d числа степеней свободы числителя и vзн = vз = N(m-1) числа степеней свободы знаменателя, то нуль-гипотеза принимается. В противном случае она отвергается и описание (модель) признается неадекватным объекту. Некоторые значения Fкр(q=5%;v4;vз) приведены в табл.П.4

         В ходе работы может возникнуть ситуация, когда выборочная дисперсия неадекватности S2ад не превосходит оценки дисперсии воспроизводимости S2{Y} (т.е. когда S2ад£S2{Y}). Тогда соотношение (15) будет равно F£1 и неравенство F<Fкр выполняется для любого числа степеней свободы v4 и v3, т.е. гипотеза s2ад £s2{Y} не противоречит выборочным данным и математическая модель адекватно представляет объект.

Проверка адекватности возможна только при vад = v4 > 0. Число вариантов варьирования плана ПФЭ равно числу оцениваемых коэффициентов регрессии уравнения связи (N = d). Следовательно, не остается степеней свободы (vад = 0) для проверки нуль-гипотезы об адекватности представления экспериментальных данных выбранной формой аппроксимирующего полинома. Если же некоторые коэффициенты регрессии оказались незначимыми или ими можно пренебречь в силу их малости, то число членов проверяемого уравнения в этом случае будет меньше числа вариантов варьирования (d<N), и одна или несколько степеней свободы (vад>0) останется для проверки гипотезы адекватности.

Если гипотеза адекватности отвергается, то модель признается неадекватной экспериментальным данным. Неадекватность модели не означает ее неправильности! Неадекватность модели может означать, что не весь перечень влияющих факторов был принят во внимание, или что необходимо перейти к более сложной форме уравнения связи, или выбрать другой шаг варьирования по одному или нескольким факторам и т.п. Однако все достижения неадекватной модели: отсев незначимых факторов, оценка дисперсии эксперимента и др. остаются в силе.

Пример 1. Методом ПФЭ найти математическую модель процесса напыления резисторов.

После консультации с экспертами и некоторых предварительных исследований было определено, что на величину сопротивления напыляемых резисторов могут оказывать влияние следующие факторы:

  1. Состояние испарителя - "чистое", т.е. порошок для напыления сыпется в стакан испарителя впервые после промывки его сторон, или "грязное", т.е. порошок сыпется в испаритель, в котором осталось некоторое его количество от предыдущего цикла напыления; обозначим этот фактор как x1, причем величина x1 = +1соответствует "чистому", а величина x1 = -1 соответствует "грязному" состоянию испарителя;
  2. Температура подогрева подложки x2, причем x2 = +1 соответствует верхней допустимой по техпроцессу температуре, а x2 = -1 - нижней;
  3. Температура испарителя x3, причем x3 = +1 соответствует верхней допустимой по техпроцессу температуре, а х3 = -1 - нижней.

План эксперимента, его пятикратная реализация с учетом рандомизации и первичная обработка результатов представлена в таблице.

номер
строки

g

Циклы

z0

z1

z2

z3

z4

z5

z6

z7

Результаты, кOм

Обработка

Адекватность

 

g

S2g

g

(g-g)2

k1

k2

k3

k4

k5

x0

x1

x2

x3

x1x2

x1x3

x2x3

x1x2x3

Yg1

Yg2

Yg3

Yg4

Yg5

 

1

4

2

3

6

8

+

-

-

-

+

+

-

11,4

10,5

13,8

14,0

12,1

12,36

2,303

12,10

0,0676

2

3

3

6

2

5

+

+

-

-

-

-

+

+

18,1

17,4

15,2

16,8

19,2

17,34

2,228

17,08

0,0676

 

3

8

6

2

4

1

+

-

+

-

-

+

-

+

10,8

9,3

11,6

12,1

9,8

10,72

1,387

10,98

0,0676

 

4

6

1

7

1

6

+

+

+

-

+

-

-

-

18,8

29,6

22,0

22,8

20,7

21,38

2,752

21,64

0,0676

 

5

5

8

1

3

4

+

-

-

+

+

-

-

+

12,9

12,8

13,6

15,2

14,0

13,70

0,950

13,98

0,0784

 

6

2

5

5

7

2

+

+

-

+

-

+

-

-

12,0

11,6

14,2

13,4

12,5

12,74

1,118

13,00

0,0676

 

7

1

7

4

8

7

+

-

+

+

-

-

+

-

15,1

14,8

16,8

18,1

17,0

16,36

1,913

16,10

0,0676

 

8

7

4

8

5

3

+

+

+

+

+

+

+

+

13,5

11,9

14,3

17,0

16,2

14,58

4,227

14,32

0,0676

 


å

119,18

16,878

-

0,5410

 

При первичной обработке результатов экспериментов пользуемся формулами (4) и (5), а затем проверяем воспроизводимость опытов по (7)

Критерий Кохрена (5.7)

Таким образом, подтверждена воспроизводимость опытов (отсутствие в данных грубых промахов), что позволяет, в свою очередь, найти среднюю дисперсию строчных выборок (дисперсию опытов) по (8)

оценка (5.8)

C

v3 = 8·(5-1) = 32 степенями свободы

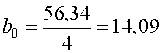
Оценки коэффициентов уравнения регрессии ищутся по формуле (11)

b0

b1

b2

и т.д. Аналогично находим b3 = -0,55; b12 = +0,61; b13 = -2,30; b23 = +0,26; b123 = -0,81

Проверяем значимость оценок коэффициентов по критерию Стьюдента по формуле (12), предварительно найдя дисперсию оценок по формуле (13)

S2{bi}

;

sqr(S2{bi})

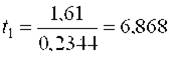
Тогда

t1

;

t2

;

t3


далее аналогично

t12 = 2,602

;

t13 = 9,812

;

t23 = 1,109

;

t123 = 3,455

Табличное значение критерия ti (табл.П.2) tкр(5%;v3=32) = 2,046, поэтому все найденные оценки коэффициентов, кроме b23, признаются значимыми и должны войти в модель

= 14,90 + 1,61x1 + 0,86x2 -0,55x3 + 0,61x1x2 -2,30x1x3 - 0,81x1x2x3

Для определения дисперсии адекватности по формуле (14) необходимо сначала найти числовые значения модели g для каждой g-ой строки матрицы планирования, а затем подсчитать сумму квадратов разностей между модельным значением и средним арифметическим g той же строки

Критерий адекватности (5.14)

Тогда критерий Фишера (15) дает

Критерий Фишера (5.15)

что доказывает адекватность найденной модели. Ее можно использовать для управления технологическим процессом испытания резисторов

 

2. Дробный факторный эксперимент

           Полный факторный эксперимент целесообразно использовать при сравнительно небольшом числе независимых факторов (обычно не больше 5), в противном случае число вариантов варьирования N = 2n становится непомерно большим и реализация эксперимента затрудняется. В то же время в большинстве практических задач взаимодействия внешних порядков, начиная с третьего (а то и второго), отсутствуют или пренебрежимо малы, вследствие чего излишне много степеней свободы остается на проверку гипотезы адекватности. Если заранее пренебречь взаимодействиями высших порядков, то имеется возможность получить математическую модель при меньшем числу опытов, реализовав не весь план ДФЭ, а только его часть (дробную реплику).

          Эксперимент, реализующий часть (дробную реплику) полного факторного эксперимента, называется дробным факторным экспериментом (ДФЭ). ДФЭ позволяет получить приближение искомой функциональной зависимости Y = f(X1,...,Xn) в некоторой небольшой окрестности точки базового режима при минимуме опытов.

Так, для решения трехфакторной задачи можно ограничиться четырьмя вариантами (N = 4), если в планировании ПФЭ типа 22 произведение x1x2 приравнять к третьей независимой переменной x3. Такое планирование, представленное матрицей табл 3, позволяет оценить свободный член b0 и три коэффициента регрессии при линейных членах b1,b2,b3 (из четырех опытов нельзя получить более четырех коэффициентов).

Таблица 3

Полуреплика от ПФЭ типа 23 (планирование типа 23-1)

g

z0

z1

z2

z3

z4

z5

z6

z7

x0

x1

x2

x3

x1x2

x1x3

x2x3

x1x2x3

1

+

-

-

+

+

-

-

+

2

+

+

-

-

-

-

+

+

3

+

-

+

-

-

+

-

+

4

+

+

+

+

+

+

+

+

       Применение ДФЭ всегда связано со смешиванием, т.е. совместной оценкой нескольких коэффициентов уравнения связи. В нашем примере, если коэффициенты регрессии bij при парных произведениях отличны от нуля, то каждый из найденных коэффициентов будет оценкой двух теоретических коэффициентов:

b0 ® b0 + b123 ; b2 ® b2 + b13 ;

b1 ® b1 + b23 ; b3 ® b3 + b12 .

Действительно, указанные коэффициенты в таком планировании не могут быть найдены раздельно, поскольку столбцы матрицы для линейных членов и парных произведений совпадают (полностью скоррелированы). Рассмотренный план ДФЭ представляет половину плана ДФЭ типа 23 и называется "полурепликой" от ПФЭ типа 23 или планированием типа N = 23-1.

При большом числе переменных можно построить дробные реплики высокой степени дробности (1/4, 1/8, 1/16 и т.д.). Дробная реплика обозначается через 2n-p, если p переменных приравнены к соответствующим произведениям переменных.

Для правильного планирования ДФЭ необходимо использовать все полученные ранее сведения об объекте теоретического и интуитивного характера и выделить из них те переменные и произведения переменных, влияние которых на процесс минимально. При этом смешивание нужно производить так, чтобы основные оценки b0,b1,...,bn были смешаны с взаимодействиями, о которых заранее известно, что они не оказывают влияния на объект. Следовательно, произвольное разбиение матрицы планирования 23 на две части выделения полуреплики типа 23-1 недопустимо.

        Генерирующее соотношение служит для построения дробной реплики. Так, в рассмотренном планировании 23-1 мы задавали полуреплику типа 23 с помощью генерирующего соотношения x3 = x1x2.

        Определяющим контрастом (ОК) называется соотношение, задающее элемент первого столбца матрицы планирования для фиктивной переменной (все они равны 1). Выражение ОК в нашем примере получается умножением левой и правой частей приведенного генерирующего соотношения на его левую часть x3

1 = x1x2x3,

так как всегда x2ig = 1.

        Знание ОК позволяет определить всю систему совместных оценок не изучая матрицу планирования ДФЭ. Соотношения, задающие эти оценки, можно найти, последовательно перемножив независимые переменные на ОК

x1 = x2x3 ; x2 = x1x3 ; x3 = x1x2.

Отсюда легко находим смешиваемые теоретические коэффициенты регрессии и их оценки

b1 ® b1 + b23 ; b2 ® b2 + b13 ; b3 ® b3 + b12 .

Разрешающая способность дробных реплик определяется генерирующими соотношениями. Она тем выше, чем выше порядок взаимодействий, с которыми смешаны линейные коэффициенты, и увеличивается с ростом числа независимых переменных.

         Для четверти реплики в пятифакторном планировании типа 25-2 могут быть заданы, например генерирующее соотношение

x4 = x1x2x3 ; x5 = x1x2

заранее полагая, что b123 = b12 = 0, т.е. что пара x1x2 и тройка x1x2x3 не дает значимого эффекта взаимодействия. Определяющими контрастами для этой четверть-реплики согласно вышеприведенным правилам будут соотношения

1 = x1x2x3x4 ; 1 = x1x2x5.

Если у дробной реплики имеются два и более определяющих контраста, их необходимо перемножить между собой, используя все возможные комбинации. В случае четвертьреплики получается одна комбинация

1 = x3x4x5

          Обобщающий определяющий контраст, построенный на основе всех полученных определяющих контрастов, полностью характеризует разрешающую способность реплик высокой степени дробности

1 = x1x2x3x4 = x1x2x5 = x3x4x5.

Совместные оценки здесь будут определяться соответствиями

x0 = x1x2x3x4 = x1x2x5 = x3x4x5 ;
x1 = x2x3x4 = x2x5 = x1x3x4x5 ;
x2 = x1x3x4 = x1x5 = x2x3x4x5 ;
x3 = x1x2x4 = x1x2x3x5 =x4x5 ;
x4 = x1x2x3 = x1x2x4x5 =x3x5 ;
x5 = x1x2x3x4x5 = x1x2 = x3x4 ;
x1x3 = x2x4 = x2x3x5 = x1x4x5 ;
x2x3 = x1x4 = x1x3x5 =x2x4x5 ;

Эти соотношения позволяют установить, оценкой каких теоретических коэффициентов является тот или иной коэффициент регрессии, полученный при обработке результатов эксперимента

b0 = b0 + b1234 + b125 + b345 ;
b1 = b1 + b234 + b25 + b1345 ;
b2 = b2 + b134 + b15 + b2345 ;
b3 = b3 + b124 + b1235 + b45 ;
b4 = b4 + b123 + b1245 + b35 ;
b5 = b5 + b12345 + b12 + b34 ;
b13 = b13 + b24 + b235 + b145 ;
b23 = b23 + b14 + b135 + b245 ;

Разрешающая способность этой четверти реплики невысокая, так как все линейные коэффициенты смешаны с парными взаимодействиями. Матрица планирования такой четверти реплики представлена в табл.4.

Следует иметь в виду, что ДФЭ всегда можно дополнить до ПФЭ, реализовав недостающие дробные реплики.

Вся дальнейшая работа по реализации матрицы планирования ДФЭ, проверке воспроизводимости полученных результатов, определению оценок коэффициентов регрессии и их значимости, проверке адекватности полученной математической модели не отличается от соответствующих процедур в ПФЭ.

 

Таблица 4

Четверть реплики от ПФЭ типа 25 (планирование типа 25-2)

g

z0

z1

z2

z3

z4

z5

z6

z7

z8

z9

z10

z11

z12

z13

z14

z15

z16

z17

z18

z19

z20

z21

z22

z23

Z24

z25

z26

z27

z28

z29

z30

z31

x0

x1

x2

x3

x4

x5

x1x2

x1x3

x1x4

x1x5

x2x3

x2x4

x2x5

x3x4

x3x5

x4x5

x1x2x3

x1x2x5

x1x3x4

x1x3x5

x1x4x5

x2x3x4

x2x3x5

x2x4x5

x3x4x5

x1x2x3x4

x1x2x3x5

x1x2x4x5

x1x3x4x5

x2x3x4x5

x1x2x3x4x5

1

+

-

-

-

-

+

+

+

+

-

+

+

-

+

-

-

-

-

+

-

+

+

-

+

+

+

+

-

-

-

-

+

2

+

+

-

-

+

-

-

-

+

-

+

-

+

-

+

-

+

-

+

-

+

-

+

-

+

+

+

-

+

+

-

-

3

+

-

+

-

+

-

-

+

-

+

-

+

-

-

+

-

+

-

+

+

-

+

-

+

-

+

+

-

+

-

+

-

4

+

+

+

-

-

+

+

-

-

+

-

-

+

+

-

-

-

-

+

+

-

-

+

-

-

+

+

-

-

+

+

+

5

+

-

-

+

+

+

+

-

-

-

-

-

-

+

+

+

+

+

+

-

-

-

-

-

-

+

+

+

+

-

-

+

6

+

+

-

+

-

-

-

+

-

-

-

+

+

-

-

+

-

+

+

-

-

+

+

+

-

+

+

+

-

+

-

-

7

+

-

+

+

-

-

-

-

+

+

+

-

-

-

-

+

-

+

+

+

+

-

-

-

+

+

+

+

-

-

+

-

8

+

+

+

+

+

+

+

+

+

+

+

+

+

+

+

+

+

+

+

+

+

+

+

+

+

+

+

+

+

+

+

+

Пример 2. Методом ДФЭ найти математическую модель процесса напыления резисторов.

          Воспользуемся результатами Примера 1 и положим в качестве генерирующего соотношения равениство x1 = x2x3 (т.к. b23 = 0). Тогда матрица планирования и результаты эксперимента (опуская промежуточные данные) будут выглядеть так

g

x0

x1

x2

x3

S2g

(-)2

1

+

+

-

-

17,34

2,228

17,41

0,0049

2

+

-

+

-

10,72

1,387

10,77

0,0025

3

+

-

-

+

13,70

0,950

13,65

0,0025

4

+

+

+

+

14,58

4,227

14,53

0,0025

Проверим воспроизводимость опытов

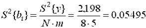
критерий Кохрена (5.7)

откуда следует, что результаты опытов получены правильно, дисперсия строчных выборок равна S2{y} = 8,792 / 4 = 2,198 с числом степеней свободы v3 = 4·4 = 16.

Оценки коэффициентов уравнения регрессии

Оценка b0 (5.11)

;

Оценка b1  (5.11)

аналогично b2 = -1,44; b3 = 0,05.

Проверка значимости полученных оценок начинается с определения их СКО

корень дисперсии ошибки определения bi (5.13)

откуда

критерий Стъюдента (5.12)

;

критерий Стъюдента (5.12)

;

критерий Стъюдента (5.12)

Табличные значения критерия tкр(5%;16) = 2,131, следовательно, модель найдена в виде

= 14,09 + 1,88x1 - 1,44x2.

Проверка адекватности модели дает

, откуда

,

т.е. модель признается адекватной экспериментальным данным.

           Сравнение моделей примера 1 и примера 2 показывает, что они имеют совершенно разный вид, а по некоторым факторам - противоположные по смыслу оценки коэффициентов. Отсюда можно сделать несколько общих выводов и рекомендаций (без подробного обоснования), пригодных для использования в рамках теории планирования экспериментов:

         Применение описанных выше методов математического моделирования полностью оправдало себя в условиях с небольшим числом факторов. Но при очень большом числе факторов и привлечение их к составлению математического описания исследуемого объекта методами ПФЭ или ДФЭ может потребовать увеличения объема экспериментальной работы, что редко может выполняться из-за экономических, технологических и прочих ограничений. Таким образом, возникает необходимость в предварительном отсеивании несущественных и выделении тех факторов процесса, которые оказывают наиболее заметное влияние на целевую функцию. Другим существенным затруднением для применения ПФЭ или ДФЭ в производственных условиях является метод получения оценок коэффициентов регрессии. Оценки вида (11) считаются оптимальными в смысле эффективности (минимума дисперсии), поскольку их вычисление базируется на методе наименьших квадратов, однако предварительным условием такой оптимальности являются требования независимости факторов, ортогональности и симметричности плана эксперимента, а также требование равенства дисперсий условных распределений плотности вероятности f(y/xk). В свою очередь симметричность плана требует равного количества наблюдений, соответствующих положительным и отрицательным значениям k-го фактора.

           На практике в производственных условиях требования симметричности плана и равенства дисперсий условных распределений плотности вероятности f(y/xk) эксперимента, как правило, нарушаются, особенно в случаях, когда исследователь пытается построить модель по результатам, зафиксированными для случайной системы комбинаций производственных факторов. При этом всегда имеется выбор: либо нарушить одно из требований факторного анализа, либо потерять часть информации, пытаясь выбрать из нее только то, что согласуется с правилами ведения ПФЭ (ДФЭ).

Похожие работы на - Математическое моделирование при активном эксперименте

 

Не нашли материал для своей работы?
Поможем написать уникальную работу
Без плагиата!
Без нейросетей!