Характеристики гармонических колебаний
Гармонические
колебания и их характеристики
Колебаниями
называются движения или процессы, которые характеризуются определенной
повторяемостью во времени. Колебательные процесс широко распространены в
природе и технике, например качания маятника часов, переменный электрический
ток и т.д. При колебательном движении маятника изменяется координата его центра
масс, в случае переменного тока колеблются напряжение и ток в цепи. Физическая
природа колебаний может быть разной поэтому различают колебания механические,
электромагнитные и другие. Однако различные колебательные процессы описываются
одинаковыми характеристиками и одинаковыми уравнениями. Отсюда следует
целесообразность единого подхода к изучению колебаний различной физической
природы. Например, единый подход к изучению механических и электромагнитных
колебаний применялся английским физиком Д. У. Релеем (1842-1919), а А.Г.
Столетовым, русским инженером-экспериментатором П.Н. Лебедевым (1866-1912).
Большой вклад в развитие теории колебаний внесли: Л.И. Мандельштам (1879-1944)
и его ученики.
Колебания
называются свободными (или собственными), если они совершаются за счет
первоначально совершенной энергии при последующем отсутствии внешних
воздействий на колебательную систему (систему, совершающую колебания).
Простейшим типом колебаний являются гармонические колебания - колебания, при
которых колеблющаяся величина изменятся со временем по закону синуса
(косинуса). Рассмотрение гармонических колебаний важно по двум причинам :
Колебания
встречающиеся в природе и технике, часто имеют характер, близкий к
гармоническому;
Различные
периодические процессы (процессы, повторяющиеся через равные промежутки
времени) можно представить как наложение гармонических колебаний.
Гармонические
колебания величины s описываются уравнением типа
s =A cos (w0 t +j), (1) где
А -
максимальное значение колеблющейся величины, называемое амплитудой колебания,
w0 -
круговая (циклическая) частота,
j - начальная фаза колебания в
момент времени t=0,
(w0 t +j) - фаза колебания в момент времени t.
Фаза
колебания определяет значения колеблющейся величины в данный момент времени.
Так как косинус изменяется в пределах от 1 до -1, то s может
принимать значения от +А до -А.
Определенные
состояния системы, совершающей гармонические колебания, повторяются через
промежуток времени Т, называемый периодом колебания, за который фаза колебания
получает приращение равное 2p, т.е.
w0(t+T)+ j=(w0t+ j)+2p, откуда T=2p/w0
Величина,
обратная периоду колебаний, n=1/T, т. е. число полных колебаний, совершаемых в единицу
времени, называется частотой колебаний. Сравнивая получим
w0=2p n.
Единица
частоты - герц (Гц): 1 Гц - частота периодического процесса, при которой за 1
секунду совершается 1 цикл процесса.
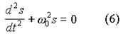
Запишем
первую и вторую производные по времени от гармонически колеблющейся величины s:

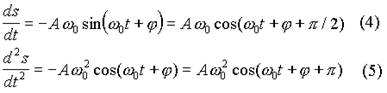
Из
выражения (5) следует дифференциальное уравнение гармонических колебаний
где s =A cos (w0 t +j). Решением этого уравнения является выражение (1).
Гармонические
колебания изображаются графически методом вращающегося вектора амплитуды, или
методом векторных диаграмм.
Для
этого из произвольной точки О, выбранной на оси x под
углом j, равным начальной фазе
колебания, откладывается вектор А, модуль которого равен амплитуде А рассматриваемого
колебания (см. рисунок 2).
Если
этот вектор привести во вращение с угловой скоростью w0, равной
циклической частоте колебаний, то проекция конца вектора будет перемещаться по
оси x и принимать значения от -А до +А , а колеблющаяся
величина будет изменяться со временем по закону s =A cos (w0 t +j). Таким
образом, гармоническое колебание можно представить проекцией на некоторую
произвольно выбранную ось вектора амплитуды А, отложенного из произвольной
точки оси под углом j,
равным начальной фазе, и вращающегося с угловой скоростью w0 вокруг этой точки.
В
физике часто применяется другой метод, который отличается от метода
вращающегося вектора амплитуды лишь по форме. В этом методе колеблющуюся
величину представляют комплексным числом. Согласно формуле Эйлера, для
комплексных чисел
В
теории колебаний принимается, что колеблющаяся величина s равна
вещественной части комплексного выражения, стоящего в этом равенстве справа.