Фазовая, групповая и сверхсветовая скорости

  • Вид работы:
    Статья
  • Предмет:
    История техники
  • Язык:
    Русский
    ,
    Формат файла:
    MS Word
    52,75 kb
  • Опубликовано:
    2009-01-12
Вы можете узнать стоимость помощи в написании студенческой работы.
Помощь в написании работы, которую точно примут!

Фазовая, групповая и сверхсветовая скорости

Фазовая, групповая и сверхсветовая скорости

Ивченков Геннадий

Критически проанализированы понятия фазовой и групповой скоростей в дисперсной среде. На основании проведенного анализа был сделан вывод о неправомерности введения понятия “групповая скорость”. Также был сделан вывод, что модулирующий сигнал (импульс) в дисперсных средах распостраняется с фазовой скоростью несущей волны, а дисперсность среды проявляется только в уширении сигнала. Данное положение проиллюстрировано расчетом параметров линии при высокой дисперсности среды. Сделан вывод о возможности передачи сигнала и энергии со сверхсветовыми скоростями.

1. Немного истории.

Вначале прошу меня извенить за цитированеие:

“В классической механике Ньютона описание взаимодействия тел с помощью потенциальной энергии предполагает мгновенное распостранение взаимодействий. В действительности (?? Г. И.) существует максимальная конечная скорость С распостранения взаимодействия (?? Г. И.), причем в природе невозможно взаимодействие со скоростью, превышающей С (?? Г. И.). Максимальная скорость распостранения взаимодействий является универсальной постоянной (?? Г. И), одинаковой во всех инерциальных системах (?? Г. И.); она равна скорости распостранения света в вакууме (?? Г. И.)..... Соединене принципа относительности с утверждением о конечности максимальной скорости распостраненя взаимодействий называется специальным принципом относительности Эйнштейна” , Б.М.Яворский, А.А. Детлаф “Справочник по физике” стр. 480 (выделено Г. И.).

Совершенно очевидно, что ВСЕ эти положения являются допущениями (волюнтаристскими утверждениями) – т.е. постулатами.

Таким образом, в начале 20-го века Эйнштейн ввел в свою СТО ряд постулатов, в частности постулат о невозможности скоростей, превышающих скорость света в вакууме (которая также постулировалсь как мировая константа) и о постоянстве скорости света во всех системах координат. Согласно последнему, скорость света не складывалась не только со скоростью источника излучения, но и, в отличии от скорости звука в акустике, со скоростью приемника излучения. Для подтверждения этого “постулата” были использованы результаты экспериментов с механической модуляцией света и с прохождением света в средах, которые .были проведенны в 19-м веке на соответствующем оборудовании (Физо, Араго и проч.). Критический анализ этих экспериментов выходит за рамки данной статьи, хотя, надо заметить, что все они, в частности “водяные эксперименты” Физо, вызывают большие сомнения в корректности их интерпретации (теория электромагнитных волн была разработана позднее), а точности измерений соответствовала технике 19 века.

В начале 20-го века были проведены некие дополнительные эксперименты, направленные уже на “нахождение эффектов второго порядка, подтверждающих СТО”, в частности, эксперимент Айвена (описание которого кочует из учебника в учебник) по нахождению поперечного эффекта Доплера. Все эти “эксперименты по подтверждению”, конечно же с высокой точностью совпали с предсказанием СТО, так как были заранее запрограммированы на “нахождение” необходимых эффектов. Другие же эффекты, являющиеся очевидным следствием сложения скорости света со скоростью приемника (как в акустике), такие, например, как “звездная аберрация”, эффект Саньяка и фотон-фононное взаимодействие в акусто-оптике, в расчет не принимались (правда, последний был открыт только в 60-х годах). Но, так как их существование нельзя было отрицать (эффекты, отнюдь, не “второго порядка малости”), то релятивисты вынуждены были дать им объяснение. Например эффект Саньяка (лазерные гироскопы) объяснялся с помощью ОТО (?!), как “искривление пространства” при вращении гироскопа (?!).

Далее, кто-то вдруг вспомнил об аномальной дисперсии, открытой еще в середине 19-го века (Эйнштейн, по видимому, о ней просто не знал). Известно, что вблизи полос поглощения происходит разрыв зависимости коэффициента преломления от длины волны, напоминающий функцию тангенса. При этом, в области, короче длины волны поглощения, наблюдается уменьшение коэффициента, а в области, выше длины волны поглощения – его возрастание (Рис. 1).

Рис. 1

В ранних измерениях этого эффекта использовались спектрометры со слабым разрешением и относительно высокотемпературные среды, в следствии чего эффект “смазывался”. Но с возрастанием точности спектрометров, а, также при захолаживании среды, обнаружилось, что коэффициент преломления в первой области становится меньше единицы! А ведь это значит, что скорость света в данной среде выше скорости света в вакууме! Но, ведь это является ересью и подрывает “основы мироздания”, то есть “великую и бесспорную СТО”! Тут релятивисты засуетились и стали что-то срочно придумывать. И тут они вспомнили английского ученого Рэлея, “выяснившего сложный характер понятия скорости волны” и введшего понятия “групповой и фазовой” скоростей.

Под “фазовой скоростью” Рэлей подразумевал собственно скорость распостранения монохроматической волны, а вот под “групповой скоростью” – некую скорость распостранения гармоник, представляющих импульс и, даже не гармоник, а некой характерной точки импульса. Далее утверждалось, что только совокупность этих скоростей и определяет скоростью распостранения волны – то есть скоростью распостранения энергии и некой информации (в ТО философское понятие “скорости распостранения взаимодействия и информации” является очень важным и на ней построена вся “эйнштейнова философия”).

2. Фазовая и групповая скорости

Для выяснения природы этих скоростей представляется необходимым подробно рассмотеть последовательность вывода этих скоростей, приведенных, например, в университетском учебнике Г. С. Ландсберга “Оптика” [1] на стр. 428. Надо отметить, что в этом выводе приводится много общефилософских утверждений, которые автор данной статьи считает весьма спорными, и которые часто напоминают апорию Зенона об Ахиллесе и черепахе.

Начинается же вывод с философского утверждения, что “понятие фазовой скорсти применимо только к сторого монохроматическим волнам, которые реально не осуществимы, так как они должны были бы существовать неограниченно долго во времени и быть бесконечно протяженными в пространстве”, то есть принципиально не существует источника излучения, излучающего вечно. Здесь, по видимому, имеется в виду, что излучения с бесконечно длинным импульсом не бывает. Тут автор книги [1] забывает об обычной радиолампе (имеется в виду радиопередатчик с антенной), которая теоретически может излучать монохроматическую поляризованную электромагнитную волну сколь угодно долго. Далее продолжается: “В действительности мы всегда имеем более или менее сложный импульс, ограниченный во времени и пространстве”. Надо отметить, что эти высказывания вполне достойны Зенона. Очевидно, что бесконечного во времени и пространстве не бывает ничего, но бывает сколь угодно к этому приближенное!

Далее по тексту книги [1] приводится математический вывод, который должен проиллюстрировать наличие “групповой скорости”.

Вывод сразу начинается с принципиально неправильного положения, что две волны с близкими параметрами определяют некий импульс: “Для простоты вычисления мы будем представлять себе импульс как совокупность двух близких по частоте синусоид одинаковой амплитуды...”. Тут надо сразу же отметить, что в случае ЛЮБОЙ модуляции возникают, как минимум, ТРИ волны, несущая – с угловой частотой ω, первая боковая – с угловой частотой и вторая боковая , (см. стр. 34 – 35 этой же книги) и модулированный сигнал определяется сложением этих ТРЕХ частот. Как правильно написано на стр. 34 той же книги [1], “...наша волна есть ничто иное, как совокупность трех строго монохроматических волн с амплитудами А, Ѕ A, ½ A и частотами n, n + m, n – m. Совокупность этих трех монохроматических волн и составляет заданную немонохроматическую волну.”. Кроме того, совершенно очевидно, что каждая из этих волн переносят свою порцию энергии (мощности). Случай же биений ДВУХ частот к передаче импульса не имеет никакого отношения.

Если же модулирующий импульс имеет сложную форму, например, прямоугольную, его спектр содержит больше гармоник (гармоники модулирующего сигнала, не несущей!), каждая из которых модулирует несущую волну и представлена двумя боковыми частотами и, соответственно, сигнал образуется сложением всех боковых с несущим сигналом. Кроме того, не надо забывать, что в пространстве эти волны движутся независимо, не взаимодействуя друг с другом, а складываются (интерферируют) только на приемнике. Кстати, на стр. 33 книги [1], опять же, правильно написано, что “Практически весьма хорошее приближение (к исходной форме импульса, Г. И.) получается обычно, если ограничиться небльшим числом членов ряда Фурье”. Известно, например, что при воспроизведении прямоугольного импульса можно ограничиться 3-й гармоникой. В то же время, автор книги [1], видимо считая, что студенты забыли, то, что написано на стр. 33, на стр. 428 книги пишет: “..мы можем представить импульс как наложение бесконечно большого числа близких по частоте монохроматических волн (представление импульса в виде интеграла Фурье)”. Математически это, естественно, правильно, но совершенно не подходит к рассматриваемому случаю (см. выше). В дальнейшем автор, как бы вбивая гвоздь, несколько раз повторяет, что “Группой волн называют импульс, который можно представить в виде совокупности бесконечного числа синусоид, частота которых мало отличается друг от друга.”. Напрашивается вопрос, зачем надо вводить эту “бесконечную” абстракцию? Очевидно, автор понимал особую важность “групповой скорости”, а под это “понятие” надо было подвести философскую “базу”. Кстати, нынешние “опровергатели сверхсветовых скоростей” слово в слово повторяют эти “доводы”. Кроме того, интеграл Фурье, так часто упоминаемый в книге [1], не имеет никакого отношения к модуляции сигнала синусоидальным сигналом (там, как было уже сказано, присутствуют только три волны и без всякого “бесконечного количества волн с бесконечно малой амплитудой”).

На стр. 429 он рассматривает случай сложения ДВУХ волн, при котором, как уже было указано выше, образует биения, не имеющие никакого отношения к передаче импульса (информации). Очевидно, что узлы этих биений НЕ ЯВЛЯЮТСЯ ИМПУЛЬСАМИ, и выделение неких точек на биениях и нахождение “скорости их перемещения” является совершенно не правомерным!

Для определения же истинного характера прохождения модулирующего сигнала в дисперсной среде необходимо рассмотреть случай модуляции монохроматической волны, например, синусоидальным сигналом.

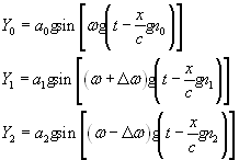
В этом простейшем случае, когда модуляция осуществляется синусоидальным сигналом, мы имеем три волны:

где , , - амплитуды, , , - коэффициенты преломления (дисперсной среды) ни частотах , , . Здесь надо помнить, что практичеси всегда Δω<<ω и глубина модуляции <100%, то есть .

Можно, конечно, вспоминая курс средней школы, сложить три синуса, получив при этом аналитическое выражение для огибающей модулирующего сигнала. Намного же проще и наглядней сложить эти синусоиды графически (см. рис. 2).

Рис. 2

Здесь на первом графике представлен сигнал (синусоидальная несущая волна, модулированная синусоидальным сигналом малой частоты, то есть ) на выходе из передатчика (при Х = 0). На втором и третьем графиках представлено положение волн на расстояниях и от передатчика.

Очевидно, что при х = 0 все три волны совпадают по фазе. Далее они начинают “расходиться”. Это значит, что первая боковая, для которой начинает отставать по фазе от несущей, а вторая боковая, для которой – опережать.

Фазовый сдвиг боковой относительно несущей может быть определен по формуле:

, где – угловая частота несущей, - угловая частота модуляции (), х – расстояние, пройденное сигналом (длина линии), с – скорость света в вакууме, - производная зависимости коэффициента преломления от частоты . При этом считалось, что . Таким образом, происходит “фазовое уширение сигнала” равное (при линейной зависимости ). При дальнейшем уширении импулса он полностью деформируется (распадается) и при фазовом сдвиге, равном 2π, форма сигнала (синусоидального) будет повторена. Если “выделить” центр импульса (чем не характерная точка!), то совершенно очевидно, что скорость распостранения сигнала будет равна ФАЗОВОЙ СКОРОСТИ НЕСУЩЕЙ ВОЛНЫ! Очевидно также, что ПОНЯТИЯ “ГРУППОВОЙ СКОРОСТИ” НЕ СУЩЕСТВУЕТ! Существует только “уширение сигнала”, которое и ограничивает скорость предачи данных и длину линии в дисперсной среде.

Кроме того, совершенно очевидно, что КАЖДАЯ ИЗ СОСТАВЛЯЮЩИХ этого “волнового пакета” является монохроматической волной и НЕСЕТ СВОЮ ДОЛЮ ЭНЕРГИИ! А “понятие” “скорости распостранения энергии поля (?) этого импульса” (стр. 430 книги [1]) является странным и совершенно бессмысленным.

Возвращаясь к биению двух частот. Если сложить ДВЕ волны с близкими частотами и выделть (как сделал Рэлей с Ландсбергом) точку на биениях с максимальной амплитудой, то, очевидно, что эта точка будет слегка отставать () от первой волны (или опережать вторую). В случае же ТРЕХ волн точка с максимальной амплитудой, выделенная на биениях первой волны с несущей (центральной) будет опережать несущую, а точка на биениях второй волны с несущей будет на столько же отставать. При этом середина импульса и, соответственно, точка импульса с максимальной амплитудой будет распостраняться с ФАЗОВОЙ СКОРОСТЬ НЕСУШЕЙ ВОЛНЫ!

Проблема распостранения сигнала в дисперсной среде имеет важное практическое значение. В частности, с ней вплотную сталкиваются специалисты, работающие с волоконно-оптическими линиями связи. В таких линиях при передаче аналогового сигнала его “уширение” проявляется как искажения сигнала и, на некотором расстоянии от источника сигнал становится нераспознаваемым. При цифровой же передаче данных (модуляция осуществляется прямоугольными импульсами) “уширение сигнала” в меньшей степени влияет на передачу информации. Влияние дисперсной среды на цифровую передачу данных проиллюстрировано на Рис. 3.

Рис. 3

Можно видеть, что сигнал читается и в случае “уширенного импульса” (средний график), так как а нем присутствуют уровни единица-нуль. Приемник же нормализует сигнал, превращая его опять в прямоугольный. И вобще, если кто-нибудь видел на осциллографе форму цифровых сигналов ЭВМ, тот знает, что эти сигналы – совсем не прямоугольные, а ближе к отрезку синусоиды. Таким образом, для предачи цифровой информации форма сигнала совершенно не обязательно должна поддерживаться прямоугольной. Очевидно также, что наличие “составляющих сколь угодно высоких частот с ничтожно малой амплитудой”, даже сильно опережающих или отстающих от несущей и полностью с ней рассинхронизированых будут проявляться как шумы и на сигнал не скажутся никак!

При дальнейшем удалении от источника, импульсы начинают перекрываться (нижний график) и, вот тогда уже сигнал не читается. Очевидно, что расстояние, на котором импульсы перестают читаться зависит от расстояния между импульсами, то есть от частоты модуляции.

Таким образом, для оптической линии важную роль играет произведение . То есть, по одной и той же линии можно передать данные с высокой скоростью (в бит/сек, не путать со скоростью распостранения сигнала!) на короткое расстояние или с малой скоростью – на большие расстояния. Кроме того, дисперсия материала линии также влияет на параметры линии – при больших значениях сокращается допустимая длина линии или скорость передачи данных.

Предположим, что допустимое фазовое уширение сигнала () не должно превышать 0.1 рад (5,7 град). Зависимость дисперсии от длины волны возьмем из Рис. 28.3 стр. 542 книги [1] для области аномальной дисперсии раствора цианина. Тогда при длине волны 600 нм ( 1/сек). Предположим, что скорость передачи информации составляет 1000 бт/сек, то есть частота модулирующего сигнала будет порядка 1 КГц (). Подставляя эти значения в вышеприведенную формулу, получим допустимую длину оптической линии, которая получается равной 200 метрам. Здесь надо отметить, что зависимость n = f (ω) для захоложенных газов (сверхсветовые скорости получены, как раз, в таких средах) может быть существенно круче. Если, например, крутизна зависимости n = f (ω) будет на порядок выше, чем в приведенном примере, то допустимая длина линии пропорционально уменьшится до 20 метров.

Таким образом, в среде с любой дисперсией можно передать информацию, но ее скорость и длина линии зависит от дисперсии.

Кроме того, абсолютно очевидно, что если все три частоты, , и укладываются в область с n < 1, то и сигнал и энергия будут распостраняться со сверхсветовой скоростью!

3. Сверхсветовая скорость

Возвращаясь к “групповой скорости” - в сноске на стр. 430 книги [1], приводятся очень оригинальные рассуждения, относящиеся уже к сверхсветовым скоростям:

“При введении понятия групповой скорости мы ограничились случаем не очень большой дисперсии, ибо в противном случае импульс быстро деформируется и понятие групповой скорости теряет смысл. Так, например, вблизи полосы поглащения вещества, где фазовая скорость очень сильно меняется с частотой, формула (125.1) могла бы дать для U значение большее скорости света в вакууме, или отрицательное значение. В этой области наша формула неприложима. Энергия импульса распостраняется со скоростью, которую можно назвать скоростью сигнала; она, как показывает специальное исследование, вне указанной области совпадает с групповой скоростью, а внутри ее остается меньше скорости света в вакууме (??? выделено Г. И.)”. Вот так вот! Не больше не меньше!

Выходит, что, даже несмотря на то, что, понятие “групповой скорости” позволяет (правда, как было показано выше, весьма вольно и ошибочно) манипулировать скоростью передачи информации и энергии, но и этого, оказывается, мало! Не может превышать и все тут! И что это за “специальное исследование”? Таким образом, понятие рэлеевой “групповой скорости”, столь часто используемое для “доказательства” отсутствия сверхсветовых скоростей, также не дает основания утверждать, что в областях с n < 1 скорость не может преышать скорость света в вакууме! Выражаясь проще, не надо привлекать сюда “групповую скорость” - она не имеет никакого отношения к вопросу о превышении или не превышении скорости света!

Следуя приведенной выше трактовке, во многих научных и научно-популярных статьях слово в слово повторяются эти рассуждения, например, вот что написано в статье [2]:

“Следует, однако, заметить, что условие Vгр > с является чисто формальным, так как понятие групповой скорости введено для случая малой (нормальной) дисперсии, для прозрачных сред, когда группа волн при распространении почти (что такое, почти? Г. И.) не меняет своей формы. В областях же аномальной дисперсии световой импульс быстро деформируется и понятие групповой скорости теряет смысл (это почему теряет? Г. И.); в этом случае вводятся понятия скорости сигнала и скорости распространения энергии (это что, как то связано с вектором Пойнтинга? Г. И.), которые в прозрачных (? Г. И.) средах совпадают с групповой скоростью (? Г. И.), а в средах с поглощением (позрачные среды что, не поглощают, что ли? Г. И.) остаются меньше скорости света в вакууме (это почему?! Г. И.)”.

Вот такие “объяснения” можно прочитать! Если в книге [1] скромно упоминается некое “специальное исследование”, то в последующих “объяснениях” забывают даже и это!

Дальше – больше!

В настоящее время исследован ряд сред, в которых возможно распостранение электромагнитной волны со скоростью, превышающей скорость света в вакууме [3]. В некоторых средах оно распостраняется даже без искажения импульса. Кроме того, эксперименты показали наличие сверхсветовых скоростей и в вакууме (волновод, ближняя зона антенны). Для релятивистов наступили трудные времена, но народ они изобретательный и вот один из “доводов”, приведенный в научно-популярной статье, взятой из того же сайта [2] с интересным названием (впрочем, эта статья кочует из сайта в сайт):

“Дело в том, что, как известно из классических учебников по электродинамике, истинная скорость распространения сигнала — это скорость самого переднего фронта импульса, так называемого предвестника. Можно сказать, что предвестник — это та точка (фронт), где мощность светового импульса отрывается от тождественного нуля. В классической электродинамике показывается, что независимо от свойств среды скорость распространения предвестника всегда равна с”. Интересно, в какой это “классической электродинамике” сказано это? И что это за “предвестник”? И представьте себе картинну, когда передний фронт отстает от несущей волны? Шарлатанство, однако!

В дополнение можно привести цитату из той же книги [1], приведенную на стр. 553, которая полностью перечеркивает все вышеупомянутые “доводы”, отрицающие наличие сверхсветовых скоростей:

“....показатель преломления n для рентгеновских лучей оказывается меньше единицы, хотя и отличается от единицы очень незначительно.... Для стекла при длине волны около 0.1 нм получено n = 0.999999. То обстоятельство, что n < 1, позволило осуществить в рентгеновской области явление полного внутреннего отражения на границе воздух – стекло....”.

Вопросы есть? Совершенно очевидно, что в данной среде и энергия и сигнал будут распостраняться со скоростью выше скорости света в вакууме.

Кроме того, рассматривая все эти “доводы” и “доказательства”, опубликованные в разных источниках и направленные на отрицание возможности сверхсветовых скоростей, приходишь к выводу, что все они, вместо объективного анализа, представляют собой смесь дешевых софизмов, умышленного передергивания и открытого шарлатанства, являются заведомым обманом и придуманы исключительно для спасения СТО. Особенно стараются здесь журналисты-популяризаторы, в частности, “объясняя” очередной эксперимент со сверхсветовыми скоростями, они повторяют одну и ту же фразу: “..в эксперименте было отмечено превышение скорости над скоростью света в вакууме, но мы то с вами знаем, что сверхсветовых скоростей не бывает...”.

4. “Принцип причинности”

Другим “доводом”, используемым для спасения СТО, является “прнцип причинности”, введенный Эйнштейном в ту же СТО. Читатель, не знакомый с этим “принципом” и взглянувший на него свежим взглядом, поразится и удивится, как такое можно было придумать.

Автор извиняется, но подробная критика СТО и ОТО выходит за рамки данной статьи, посвещенной только одному аспекту – возможности или невозможности сверхсветовых скоростей. Но так как эта тема напрямую связана с СТО, то автор вынужден рассмотреть некоторые ее положения.

Тут сразу возникает вопрос, а почему не скоростью звука? Здесь, конечно, ответят, что скорость света – максимально возможная и это подтверждено экспериментами.

Что тут возразить! Но, тем не менее:

Во первых, эксперименты достоверно установили наличие сверхсветовых скоростей в средах и число экспериментальных свидетельств того растет [4]. Кроме того, установлена возможность сверхсветовых скоростей и в вакууме (волноводы, ближняя зона антенны). Квази-сверхсветовые источники (“зайчик”, поток частиц), имеющие характеристики сверхсветовых источников (в частности, черенковское излучение) уже сейчас находят практическое применение [6]. В оправдание идеи этого эйнштейного постулата можно, разьве что, сказать, что в его времена сверхсветовые скорости еще не были открыты (хотя аномальная дисперсия была уже известна).

Во вторых, не углубляясь в общую философию, можно заметить, что, даже если принять эйнштейнов постулат о скорости света, то и из этого совершенно не следует “принцип причинности”. В доэнштеновы времена предполагалось, что время одинаково во всех частях вселенной, что, на самом деле, очень возможно. Воздействие же может распостраняться с любой скоростью от скорости пешехода или летящего камня до световой волны атомного взрыва. То есть, “горизонтов событий” можно построить сколько угодно. Можно, например отложить по одной оси время, а по другой – скорость конницы Мамая. Чем не “горизонт событий”! Кроме того, события в разных углах вселенной могут быть никак не связаны общим воздействием. Разговор о “кореляции” событий во вселенной [5] опять сводится к Зенону (и, пожалуй, к астрологии), так, как очевидно, что любое воздействие, даже сильное, на некотором расстоянии затухнет и станет пренебрежимо малым. Кстати, по поводу скорости распостранения воздействия, в свое время Лаплас оценил возможную скорость гравитационного воздействия, которая, согласно его подсчетам должна превосходить скорость света на много порядков. Вопрос этот остается открытым до сих пор, несмотря на многочисленные попытки релятивистов измерить эту скорость или обнаружить “гравитационные волны”.

Философствуя по поводу сверхсветовых скоростей, некий доктор А. Голубев в статье, опубликованной в журнале “Наука и жизнь” [7] доходчиво обьясняет почтеннейшей публике невозможность сверхсветовых скоростей:

"Предположим, что мы находимся на некоем космическом чудо-корабле, движущемся быстрее света. Тогда мы постепенно догоняли бы свет, испущенный источником во всё более и более ранние моменты времени. Сначала мы догнали бы фотоны, испущенные, скажем, вчера, затем — испущенные позавчера, потом — неделю, месяц, год назад и так далее.

Если бы источником света было зеркало, отражающее жизнь, то мы сначала увидели бы события вчерашнего дня, затем позавчерашнего и так далее. Мы могли бы увидеть, скажем, старика, который постепенно превращается в человека средних лет, затем в молодого, в юношу, в ребёнка. То есть, время повернуло бы вспять, мы двигались бы из настоящего в прошлое. Причины и следствия при этом поменялись бы местами". Каково, однако!

Теперь предположим, что мы летим на сверхзвуковом самолете. Очевидно, что мы можем догнать звуки, появившиеся еще до вылета самолета. НУ И ЧТО? Это что, “нарушение принципа причинности”? В этом случае и вспышка молнии, пришедшая раньше грома, тоже может считаться нарушением “принципа причинности”.

За такое философствование др. Голубева могли бы и побить на афинском базаре две с половиной тысячи лет назад! И, вобще, непонятно, понимал ли он, что писал?

Собственно, зачем надо комментировать этот бред? Да потому, что эти “доводы” являются стериотипными и повторяются из статьи в статью, “залетая” даже в серьезные книги.

Таким образом, очевидно, что с общефилософской точки зрения и согласно здравому смыслу (к эйнштейнову “принципу причинности” точные науки не применимы!) все доводы, основанные на этом “принципе” являются неприемлимыми, или, проще выражаясь, являются полным вздором, который не может быть использован как довод для подтверждения или отрицания чего-либо!

Вобще, этот “принцип причинности”, являющийся чисто философским, желательно было бы рассмотреть профессиональным философам. Такая попытка была предпринята в 1952 году, когда группа отечественных философов в своей книге буквально разгромила все “философские положения” ТО. Но, не тут то было! К Сталину пришла делегация “больших советских ученых атомщиков”, которая рассказала ему о крайней необходимости ТО для атомной бомбы. Сталин очень уважал атомную бомбу и, не будучи обременен академическим образованием, им поверил, хотя в упомянутых вычислениях нечасто фигурируют только преобразования Лоренца. Так была спасена отечественная наука! Надо сказать, что благодаря этому развелось множество ученых релятивистов, которые получили должности на кафедрах и в академиях, где они продолжают развивать ТО на благо страны. А что говорить о европейских и американских университетах! Там каждый уважающий себя университет должен иметь кафедру релятивизма, так же, как средневековые университеты имели кафедру алхимии.

 Список литературы

Г.С. Ландсберг, “Оптика”, Москва, “Наука” 1976 г.

#"#">http://sciteclibrary.ru/

Похожие работы на - Фазовая, групповая и сверхсветовая скорости

 

Не нашли материал для своей работы?
Поможем написать уникальную работу
Без плагиата!
Без нейросетей!