Основы обратноосмотической обработки воды
Основы обратноосмотической обработки воды
Метод обратного
осмоса заключается в фильтрации растворов под давлением через специальные
полупроницаемые мембраны, пропускающие молекулы растворителя и полностью или
частично задерживающие молекулы либо ионы растворенных веществ. В основе метода
лежит явление осмоса – самопроизвольного перехода воды через полупроницаемую
перегородку в раствор. Давление, при котором наступает равновесие, называется
осмотическим. Если со стороны раствора приложить давление, превышающее
осмотическое, то перенос растворителя будет осуществляться в обратном
направлении.
Разделение методом
обратного осмоса осуществляется без фазовых превращений, и энергия в процессе
расходуется, в основном, на создание давления исходной жидкости (практически
несжимаемой среды) и ее продавливании через мембрану. Поэтому ее расход ближе к
величине минимальной термодинамической работы разделения, чем затраты энергии в
других процессах.
Процесс обратного
осмоса следует отличать от процесса фильтрования. На очистку фильтрованием
направляют жидкость, представляющую собой гетерогенную (двухфазную) систему с
различной степенью дисперсности взвешенных частиц. Обратным осмосом очищают,
как правило, гомогенные (однородные) системы – истинные растворы. Это
обстоятельство обуславливает различия в типе фильтрующих материалов и в
величинах давлений, под действием которых идут процессы. При фильтровании
должны задерживаться взвешенные частицы размером не менее 100 – 200 А. Обратно
осмотическая мембрана должна быть настолько плотной, чтобы служить барьером для
веществ, находящихся в растворах в виде молекул и ионов, что вызывает
значительные гидравлические сопротивления при продавливании через мембраны
чистого растворителя. Кроме того, при обратноосмотическом разделении растворов
возникает еще одна дополнительная противодействующая процессу сила – разность
осмотических давлений, величина которой весьма значительна при высокой
концентрации растворенных веществ.
Другим
существенным различием этих процессов является то, что при фильтровании
задерживаемое вещество остается либо на поверхности, либо в объеме фильтрующего
материала, который при загрязнении меняют или очищают обратной промывкой. При
обратном же осмосе не должно происходить загрязнения мембраны, т.е.
задерживаемые вещества должны отводится от мембраны и не сорбироваться ни на ее
поверхности, ни в ее объеме. Загрязнение мембран является вторичным процессом,
отрицательно влияющим на обратноосмотическое разделение растворов.
Если задерживаемое
вещество не отводить от мембраны, то при идеальной ее полупроницаемости процесс
фильтрования прекратиться. Действительно, увеличение концентрации растворенных
веществ сопровождается повышением осмотического давления, и при достижении
последним величины, равной приложенному гидростатическому давлению, движущая
сила процесса будет равна нулю, а следовательно, скорость фильтрования
растворителя также обратиться в нуль. При неидеальной полупроницаемости
накопление растворенного вещества у мембраны приводит к увеличению скорости его
проникания через мембрану до значений, равных скорости подвода вещества к
мембране. В этом случае процесс фильтрования не прекратится, но эффект станет
равным нулю.
В виду
предпочтительного переноса воды через полупроницаемую мембрану у ее поверхности
увеличивается концентрация растворенных веществ по сравнению с их содержанием в
растворе в данном сечении напорной камеры. При этом устанавливается такая
величина градиента концентрации, которая обеспечивает динамическое равновесие
между подводом веществ к мембране и удалением их вследствие конвективной и
молекулярной диффузии.
Явление
возникновения градиента концентраций растворенных веществ перпендикулярно
поверхности мембраны получило название концентрационной поляризации.
Наряду с описанным
явлением в аппаратах наблюдается также возникновение градиента концентраций,
направленного вдоль поверхности мембран. Это связано с тем, что при движении
вдоль мембраны часть воды фильтруется через нее и концентрация растворенных
веществ в растворе увеличивается. Это явление называется концентрированием
растворов.
Таким образом, в
обратноосмотических аппаратах устанавливаются поперечный (концентрационная
поляризация) и продольный (концентрирование) градиенты концентраций
растворенных веществ. Оба эти явления обязательно сопутствуют
обратноосмотическому разделению растворов.
Влияние параметров на процесс обратного
осмоса
Давление. Основным
фактором, оказывающим влияние на процесс обратного осмоса и ультрафильтрации,
является рабочее давление. С увеличением давления увеличивается эффективная
движущая сила процесса и, соответственно, возрастает величина проницаемости
мембраны. В тех случаях, когда мембрана не изменяет своей структуры под
действием давления, проницаемость воды линейно возрастает с увеличением
эффективной движущей силы, и поскольку проницаемость растворенного вещества
мала по сравнению с проницаемости воды. Общая проницаемость хорошо описывается
уравнением:
(2.1)
где G –
проницаемость воды;
A – константа для
системы мембрана - раствор при определенных внешних условиях;

- разность осмотических давлений растворов по
обе стороны мембраны.
Однако при
повышенных давлениях реальные полимерные мембраны не сохраняют свою
первоначальную структуру и уплотняются, что отражается на величине константы А
в уравнении (™). В связи с этим, начиная с некоторой величины рабочего
давления, проницаемость снижается и при определенных давлениях достигает
максимума. При дальнейшем увеличении давления проницаемость снижается.
Сходный характер
носит зависимость селективности разделения от давления.
Селективность в
области малых давлений линейно возрастает с увеличением давления, затем
скорость возрастания снижается и селективность достигает максимальной величины,
определяемой типом мембраны и природой растворенного вещества. Такой характер
зависимости обусловлен тем, что в области невысоких давлений с увеличением
движущей силы возрастает лишь поток воды через мембрану, в то время как поток
растворенного вещества практически не меняется. То, что селективность остается
постоянной даже после достижения максимума проницаемости, объясняется снижением
потока растворенного вещества через мембрану при значительном ее уплотнении.
Температура.
Влияние температуры раствора на процесс имеет сложный характер. Увеличение
температуры уменьшает вязкость и плотность раствора и одновременно увеличивает
его осмотическое давление. Если уменьшение вязкости и плотности приводит к
увеличению проницаемости, то увеличение осмотического давления снижает движущую
силу и уменьшает проницаемость. Степень влияния тех или иных факторов зависит
от природы растворенного вещества и концентрации раствора. Исследования,
проведенные на чистой воде и водных растворах NaCl, показали, что в диапазоне температур
10 – 400 проницаемость и селективность возрастают. Причем влияние
температуры на селективность становиться все боле заметным с повышением
концентрации. Влияние температуры на проницаемость при разделении растворов
невысокой концентрации практически полностью определяется изменением вязкости
раствора и хорошо коррелируется соотношением:
где G –
проницаемость растворителя;
- вязкость раствора.
Для более
концентрированных растворов величина G*
уменьшается с увеличением температуры.
Влияние
температуры на производительность мембранных установок практически одинаково
как для чистой воды, так и для разбавленного щелока, если его осмотическое
давление меньше приложенного на 70%. Это объясняется тем, что осмотическое
давление разбавленного щелока почти не зависит от температуры в интервале 10 –
350. Условно проницаемость мембраны при температуре 250
принята за 100. Эту зависимость можно представить уравнением:
(2.3)
Во многих случаях
повышение температуры способствует размыванию осажденного на мембране слоя,
поэтому в пределах термостойкости мембран использование повышенных температур
может быть оправдано.
Концентрация
раствора. Увеличение концентрации раствора приводит к уменьшению движущей силы
процесса
, увеличению вязкости
и плотности раствора, что снижает величину проницаемости.
Для учета
изменения проницаемости в связи с изменением концентрации предложено следующее
эмпирическое соотношение:
(2.4)
k1, k2,
n – константы, характеризующие конкретную систему мембрана – раствор;
х – концентрация
исходного раствора;
- плотность раствора;
- вязкость раствора.
Зависимость
селективности от концентрации носит более сложный характер. В случае разделения
растворов невысокой концентрации селективность существенно не меняется с
изменением концентрации, а падение концентрации можно считать линейным.
Проницаемость
более плотных мембран ниже, чем мембран средней плотности. Это происходит
вследствие загрязнения мембран осаждающимся слоем некоторых компонентов
раствора (в различной степени для различных стоков). Происходит проникновение
инородных веществ в структуру полупроницаемой мембраны, а образовавшийся слой,
работающий как вторая мембрана, изменяет параметры процесса.
Осадкообразование на мембранах
Отечественный и
зарубежный опыт показал, что на продолжительность и надежность работы мембран
большое влияние оказывает процесс осадкообразования. Образующийся слой осадка,
который, как правило, является соленепроницаемым, забивает поверхностные поры
мембраны, создает дополнительное сопротивление потоку и массопередаче в
граничном слое, в результате чего увеличивается концентрационная поляризация на
мембранах и снижается их солезадерживающая способность и производительность.
Химический состав
осадков, образующихся при опреснении и очистке вод различного типа, весьма
разнообразен. На процессы обратного осмоса отрицательное влияние оказывает
образование в аппаратах отложений малорастворимых солей кальция, гидроокисей
железа и марганца, а также взвешенных веществ и высокомолекулярных соединений.
В подземных
минерализованных и морских водах кальций находится в равновесии с
бикарбонатными и сульфатными ионами и содержание его весьма значительно –
обычно от 100-120 до 300-400 мг/л. в процессе обратноосмотической обработки
воды происходит преимущественный перенос молекул Н2О через мембрану,
что вызывает нарушение равновесного состояния и может привести к выпадению на
мембранах осадков сульфата и карбоната кальция. Причиной образования осадка
сульфата кальция является быстрое достижение в граничном слое концентрации СаSО4,
превышающий предел его растворимости (около 2-3 г/л при 200С).
Несколько иначе
происходит образование отложений карбоната кальция. В ходе обратноосмотического
процесса при опреснении воды происходит удаление из раствора не только воды, но
и части свободной углекислоты. В результате углекислотное равновесие в воде
сдвигается с образованием избытка карбонатных ионов, которые реагируют с ионами
кальция. Образующийся карбонат кальция вследствие малой растворимости выпадает
в осадок.
Осадок гидроокиси
железа также снижает эффективность работы полупроницаемых мембран. Отложение
гидроокиси железа на мембранах приводит к резкому снижению их производительности.
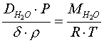
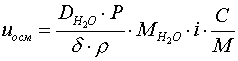
Характеристика процесса
Процесс обратного
осмоса характеризуется следующими основными параметрами.
Удельная
производительность мембран q, м3/(м2*сут), связана со
скоростью фильтрования и соотношением:
(4.1)
Задерживающая
способность мембран (их селективность) по отношению к какому-либо веществу.
Уровень
концентрационной поляризации Г зависит от гидродинамических условий в
обратноосмотическом аппарате.
Для понимания
связи между параметрами процесса рассмотрим механизм селективной проницаемости
обратноосмотических мембран.
В соответствии с
гиперфильтрационной гипотезой в мембране имеются поры, диаметр которых
достаточен, чтобы пропускать молекулы воды, но мал для прохождения ионов и
молекул растворенных веществ. При рассмотрении ситовой модели мембраны следует
иметь в виду радиусы гидратных оболочек ионов, которые равны 2-15А, что
значительно больше радиусов молекул Н2О (1,38А).
Обратноосмотическое
разделение растворов электролитов тесным образом связано с явлением осмоса. При
отсутствии рабочего давления в напорной камере аппаратов наблюдается
осмотический перенос воды через мембраны, т. е. механизм, обеспечивающий
солезадерживающую способность мембран, вызывает осмотический перенос воды. В
связи с этим рассмотрение механизма селективности начинается с исследования
осмотического переноса через ацетилцеллюлозные обратноосмотические мембраны.
Несмотря на то,
что осмотический перенос впервые наблюдался в 18 в., до сих пор нет
кинетической теории, описывающей механизм этого процесса и количественно
согласующейся с экспериментальными результатами.
В основу
рассматриваемой модели процесса осмотического переноса воды через
полупроницаемые мембраны положены следующие представления.
В мембране имеются
поры диаметром, несколько большим диаметров молекул и гидратированных ионов
растворенных веществ.
В соответствии с
теорией Я. И. Френкеля молекулы в жидкостях находятся в колебательном движении
околовременных положений равновесия: Диффузия состоит из скачков отдельных из
одного временного положения равновесия в другое.
Для диффузионного
(осмотического) переноса воды через эти поры движущей силой является разность
активных концентраций воды у правого и левого устьев поры. Но, как уже
отмечалось, осмотический перенос через поры происходит в соответствии с
рассматриваемой моделью только в том случае, когда правое устье поры свободно
от молекул воды и разность активных концентраций воды по разные стороны этих
пор равна концентрации воды в дистиллированной воде.
На основании
изложенного для количества воды, прошедшей в результате осмотического переноса
через 1м2 площади мембраны, может быть написана следующая
зависимость:
Для случая сильно
разбавленных растворов это уравнение примет вид:
(4.8)
если ввести
обозначение:
(4.9)
Полупроницаемые мембраны
Полупроницаемые
мембраны, с помощью которых осуществляется процесс разделения водных растворов,
являются основной частью любого обратноосмотического аппарата и в значительной
мере определяют не только технологические показатели процесса, но и технические
и эксплуатационные характеристики аппаратов. Существует большое число
разнообразных мембран.
Полупроницаемые
мембраны изготовляют из различных полимерных материалов, пористого стекла,
графитов, металлической фольги и др. от материала мембраны зависят ее свойства
(химическая стойкость, прочность), а также в значительной степени ее структура.
Полимерные
мембраны. Полимерные мембраны могут быть пористыми и непористыми (понятие
“непористые мембраны” условно, поскольку они могут иметь поры размером 0,5 – 1
мм).
По типам структур
мембраны могут быть симметричными и асимметричными. С тем, что бы достичь
возможно большей производительности при достаточной чистоте пермеата
(фильтрата), разделительный слой мембраны должен быть возможно тоньше и в то же
время обеспечивать высокую селективность. Будучи тонкой, мембрана должна
обеспечивать высокую механическую прочность относительно деформаций в широком
диапазоне температур. В связи с этим были разработаны асимметричные мембраны. В
асимметричных мембранах микропористый слой (99,5% толщины мембраны) является
лишь подложкой для селективного непористого рабочего слоя, не создающего
сопротивления переносу.
Классическая
асимметричная гомогенная мембрана получается из одного вещества. Однако
создание достаточно тонких рабочих слоев мембраны сопряжено с большими
трудностями. Наличие даже небольшого количества дефектов в слое в виде сквозных
пор через селективный слой асимметричной гомогенной мембраны заметно снижает
селективность из-за проскока нежелательных компонентов. Решение этой проблемы
привело к созданию мембран композитного типа, состоящих из слоев различных
веществ. Для уплотнения дефектов на асимметричную мембрану наносится тонкий
слой высокопроницаемого, но практически неселективного материала, который
перекрывает сквозные поры в селективном слое, практически не влияя на ее
проницаемость. Возможно также нанесение селективного слоя непосредственно на
отдельно изготовляемую пористую подложку из более дешевого и доступного
неселективного материала.
Практика
показывает. Что композитные материалы мембран меньше подвержены деформации под
давлением. Для создания асимметричного селективного слоя используются полимеры
с уникальными свойствами, так как из-за малой толщины селективных пленок
стоимость даже очень дорогих полимеров не является существенным препятствием.
Создание асимметричных мембран является основным направлением в мембранной
технологии.
Жидкие мембраны.
Под жидкими мембранами понимают мембраны с жидкостью, иммобилизованной внутри
пор микропористой подложки. Если мембрана смачивается жидкостью, то последняя
может удерживаться в порах за счет капиллярных сил. Давление, необходимое для
вытеснения жидкости из пор, называется капиллярным давлением и изменяется
обратно пропорционально диаметру пор, поэтому при достаточно малых порах
жидкость удерживается на подложке при разнице давлений под и над мембраной в
несколько атмосфер. Используются жидкие мембраны двух типов. К первому типу
относятся пассивные жидкие мембраны, в которых обычные жидкости, имеющие
большую проницаемость по целевому компоненту, наносятся на мембранную подложку.
Второй тип жидких мембран – мембраны с активным транспортом целевого
компонента. В этом случае в качестве жидкости используются специфические переносчики
целевого компонента, растворенные в соответствующем растворителе.
Керамические
мембраны. В последние годы успешно развивается направление с использованием
керамических мембран. Полученные мембраны (одно-, семи- и
девятнадцатиканальные) состоят из подложки на основе оксидов алюминия (с
размерами пор 10 – 15 мкм и общей пористостью приблизительно 45%) и
селективного слоя. Преимущества керамических мембран: высокая рабочая
температура – 10000С и выше, высокая механическая прочность и
долговечность, стойкость к химически агрессивным средам, удобство регенерации
мембран.
Список литературы
Для подготовки
данной работы были использованы материалы с сайта http://www.promeco.h1.ru/l