Анализ эквивалентной цепи взрыво-магнитного генератора частоты

  • Вид работы:
    Реферат
  • Предмет:
    История техники
  • Язык:
    Русский
    ,
    Формат файла:
    MS Word
    92,95 kb
  • Опубликовано:
    2009-01-12
Вы можете узнать стоимость помощи в написании студенческой работы.
Помощь в написании работы, которую точно примут!

Анализ эквивалентной цепи взрыво-магнитного генератора частоты

Анализ эквивалентной цепи взрыво-магнитного генератора частоты.

Онучин В.В.

Взрывомагнитный генератор частоты (ВМГЧ) состоит из спирального магнетокумулятивного генератора, гальванически связанного с конденсатором небольшой ёмкости. Для описания функционирования этого прибора используют концепцию эквивалентной схемы (ЭС). При этом, эмпирически подбирая параметры эквивалентной схемы ВМГЧ, можно вычислить ток в катушке ВМГЧ и получить хорошее согласование с экспериментальными данными для тока, полученными от пояса Роговского, что позволяет заключить, что концепция ЭС достаточно верно описывает поведение электрического тока в приборе. Однако, концепция ЭС не позволяет описать механизм высокочастотного излучения, генерируемого ВМГЧ. В данной статье анализируются как эквивалентная схема прибора, так и возможные механизмы высокочастотного излучения. Результаты анализа сравниваются с экспериментальными данными, полученными в тестах, проведеным в июне 1997 и августе 1998 гг.

Введение

Магнетокумулятивные генераторы были разработаны много лет назад, однако, только небольшое количество модификаций этих устройств, в том числе и ВМГЧ, способны генерировать высокочастотное радиоизлучение [1] (внешний вид прибора дан на рис. 1 . Это тем более кажется странным, поскольку в конструкцию стандартных моагнетокумулятивных генераторов добавлен единственный новый элемент, а именно, конденсатор. Но именно благодаря наличию конденсатора электродинамическая система ВМГЧ приобретает ряд новых свойств, одно из которых v высокочастотное излучение в полосе от 1 до 150 ГГц (результаты тестов изложены в [2, 3], хотя в работе [3] утверждается, что измеренный уровень излучения значительно ниже, чем тот, о котором сообщают создатели прибора).

 Рис. 1

Однако, перед любыми дискуссиями об уровне высокочастотного излучения от ВМГЧ желательно определить физический механизм такого излучения, особенно гармоник выше 10 МГц. После серии экспериментов из результатов измерений тока от пояса Роговского можно считать установленным тот факт, что осцилляции тока в цепи ВМГЧ не превышают 10 МГц, в то время как характерные частоты (вернее, близкий к непрерывному спектр частот) радиоизлучения находятся в полосе от 10 до 150 ГГц. Как раз наличие таких высоких частот радиоизлучения и является основной загадкой работы ВМГЧ.

 

 Рис. 2.

Впервые устройство и работа ВМГЧ была описана в статье Прищепенко и Щелкачёва [4]. Авторы также представили теоретическую модель функционирования ВМГЧ, основанную на работе эквивалентной схемы. Однако модель ЭС не объясняет некоторых экспериментальных данных, а именно, наличия ВЧ излучения и формы ?в виде рыбы¦ тока в катушке прибора (рис. 2 ). Несмотря на это, более аккуратный анализ эквивалентной схемы пробора позволяет, по крайней мере, описать возбуждаемый ?в виде рыбы¦ ток в катушке.

Модель ЭС не способна объяснить, почему ВМГЧ излучает гармоники выше чем 10 МГц. Между тем, данные спектрометров, разработанных в ФТБ ?Сириус¦, свидетельствуют о том, что большая часть энергии радиоизлучения находится в полосе частот от 10 до 150 ГГц. В этой статье мы не обсуждаем причины такого частотного распределения энергии, однако, отмечаем возможные подходы к объяснению этого загадочного, с точки зрения радиофизики, факта.

Обоснование эквивалентной схемы для ВМГЧ.

Конструкция ВМГЧ достаточно проста (рис. 3 ). Прибор состоит из так называемого лайнера v алюминиевой трубы (диаметром 40 v 50 мм), расширяющейся по диаметру под действием взрыва, катушки медного провода (диаметром 1 мм), намотанной на лайнер и изолированной от лайнера слоем лака, и конденсатора (ёмкости 0.1 - 1 мкФ) гальванически соединённого одним контактом с лайнером и другим v с катушкой.

 Рис.3.

Процесс функционирования ВМГЧ осуществляется следующим образом: при детонации взрывчатого вещества внутри лайнера электрическим импульсом одновременно на катушку разряжается внешний конденсатор большой ёмкости (?запитывающий¦ катушку). Таким образом, между катушкой и лайнером появляется магнитное поле, порождаемое током в катушке. При расширении лайнера взрывом это магнитное поле сжимается, усиливая ток в катушке, как это происходит в обычных магнетокумулятивных генераторах. Однако, в момент контакта края лайнера и крайнего витка катушки (слой изолятора при этом механически разрушается краем лайнера) происходит замыкание цепи: ?катушка - конденсатор - лайнер - катушка¦. Теперь, в отличие от обычных магнетокумулятивных генераторов, электрическая цепь ВМГЧ содержит конденсатор, благодаря которому в цепи происходят колебания тока. Более точно, в цепи имеются два тока, первый, то есть Ii, циркулирующий вокруг лайнера и параллельный току в катушке, и второй, то есть I, текущий вдоль лайнера, затем через конденсатор, в катушке. Но так как площадь проводящего слоя лайнера в срезе по диаметру много меньше площади боковой поверхности лайнера, то плотность тока I будет много больше плотности тока Ii и поэтому ток Ii и все связанные с ним эффекты можно исключить из рассмотрения.

Теперь мы способны сформировать эквивалентную схему для ВМГЧ. В этой статье мы не рассматриваем координатную зависимость электрических параметров прибора, поэтому мы будем описывать катушку одним параметром, то есть её индустивностью L, зависящей, однако, от времени. Полное сопротивление цепи мы обозначим как R(t) и ёмкость конденсатора как С, которая не зависит от времени. Кроме того, в схемы необходимо ввести элемент, отвечающий за усиление тока в приборе. Как правило, при рассмотрении магнитокумулятивных генераторов процесс усиления тока достаточно описать заданием нужной временной зависимости полной индуктивности прибора [5]. Однако, такое слишком упрощённое описание процесса усиления тока неприменимо для ВМГЧ, хотя бы потому, что ток и, следовательно, магнитное поле внутри катушки осциллируют с довольно высокой частотой 10 МГц. Задание временной зависимости индуктивности, обеспечивающей столь быстрые осцилляции тока, возможно, однако, такое задание индуктивности будет носить слишком искусственный характер и в результате некоторые эффекты, вызванные сжатием магнитного поля, будет невозможно описать. Поэтому мы введём в схему некоторый генератор напряжения G (поскольку изменение магнитного потока порождает э.д.с., а ток есть вторичный эффект). Тогда эквивалентная схема опишется следующей диаграммой:

|----L----C----R---|

| |

|------G------------|

Уравнение Кирхгофа для ЭС может быть записано как:

; (1)

где Ф есть полный магнитный поток, заключённый между лайнером и катушкой (в электродинамике магнитный поток определяется как число силовых линий магнитного поля, пересекающих некоторый замкнутый контур, поэтому величина Ф соответствует сумме всех магнитных потоков для каждого витка катушки, участвующих в процессе сжатия), LC(t) есть самоиндукция катушки и IC есть ток в катушке.

Теперь мы должны ввести связь между магнитным потоком и током в катушке. Следует учесть, что в приборе магнитный поток создаётся двумя токами, током в катушке IC и током в лайнере IL. Это вызвано определённым эффектом потери ?диффузионного сопротивления¦ катушки. Рассмотрим этот эффект более подробно.

Известно, что при пересечении магнитным потоком витков катушки, в последних, в соответствии с уравнением Максвелла, создаётся электрическое поле:

Это электрическое поле создаёт дополнительный ток d I , препятствующий проникновению магнитного поля сквозь материал провода катушки. Для обычных магнетокумулятивных генераторов пересечение магнитного потока сквозь внешнюю катушку всегда приводит к возрастанию тока в последней. Однако, в цепи ВМГЧ имеется конденсатор, который при зарядке его током катушки, создаёт собственное электрическое поле в проводе катушки. Тогда при определённом значении напряжения в проводе пересечение материала провода магнитным потоком уже не будет порождать дополнительный ток d I, поскольку создаваемое, согласно закону Фарадея, электрическое поле будет скомпенсировано электрическим полем конденсатора. А так как нет приращения тока в проводе, то не будет и экранировки проникающего в провод магнитного потока. Другими словами, глубина диффузии магнитного поля становится бесконечной и магнитный поток ?вытекает¦ из области между катушкой и лайнером, при этом тем скорее, чем больше напряжение на конденсаторе.

Несмотря на то, что ток IC в катушке равен нулю в определённые моменты времени, ток IL в лайнере (который совпадает с Ii) описывается уравнением вида

и очевидно, что нули IL не совпадают с нулями IC . Но лайнер может быть приближённо описан как соленоид, для которого если ?внешняя сила¦, то есть поле внешней катушки исчезает, ток стремится распределиться так, что магнитное поле, создаваемое током IL, концентрируется только внутри соленоида. Поэтому ток IL будет перераспределяться с внешней поверхности лайнера на внутреннюю и поэтому оно будет исключено из дальнейшего процесса сжатия потока.

Следует сказать что строго описать процесс перераспределения тока IL достаточно затруднительно, такое строгое описание нам и не требуется (оно не даст нам какой-то значимой информации), поэтому мы используем для описания этого процесса следующую аппроксимацию:

IL(t) = a IC (t-t )

то есть поведение тока на лайнере повторяет с некоторой временной задержкой повоедение тока в катушке (здесь a < 1 и величина параметра t определяется временем проникновения тока IL с внешней поверхности лайнера на внутреннюю). Тогда магнитный поток в области между катушкой и лайнером может быть описано как:

; (2)

где параметр c зависит только от геометрических размеров лайнера и катушки, и от скорости детонации V таким образом, что магнитный поток должен быть равен нулю в конце процесса работы ВМГЧ. Это отражает тот факт, что большая часть потерь магнитного потока обусловлена краевыми эффектами: когда лайнер входит в контакт с витками катушки, часть магнитного потока, ?зажатая¦ между соседними витками, ?выключается¦ из дальнейшего процесса компрессии потока. Например, мы можем принять для c зависимость, впервые введённую Павловским и Людаевым [6]:

где R радиус витков катушки, h(x) шаг витков, r(x,t) координатная зависимость поверхности лайнера в момент t и l ?рабочая длина¦ катушки. Величина r(x,t) вычисляется как

r(x,t) = max[R v (x v Vt)tg(a ) ; r0 ]

где V есть скорость детонации, a угол расширения конуса лайнера и r0 начальный радиус лайнера.

Сделаем следующую аппроксимацию

принимая во внимание то, что точные вычисления сжатия магнитного потока в форме (2) могут давать ?биение¦ (или удвоение - из-за малой временной задержки t ) частоты, что может приводить к смазыванию чёткой картины осцилляций тока Роговского. Тогда после простых вычислений мы получаем следующее уравнение:

; (3)

где мы учли, что L = LC + c , и опустили малый член d2c /dt2 .

Коэффициент при второй производной не имеет нулей, поэтому согласно теореме Пикара [7] уравнение, как линейное дифференциальное уравнение не имеет особенностей. Следовательно, уравнение (3) подобно уравнению Шрёдингера для волновой функции в квантовой механике и мы вправе распространить методы квантовой механики для анализа этого уравнения. Из экспериментальных данных по измерению тока с помощью пояса Роговского известно, что ток в катушке имеет много осцилляций, поэтому решение для IC должно иметь много (более 50) нулей на рассматриваемом интервале действительной оси переменной t. Известно, что чем больше нулей имеет волновая функция, тем лучше она описывается ВКБ приближением. Соответственно, это же утверждение верно и для ур-ния (3), и ВКБ решение для IC есть:

IC = Ienv * Ioscill

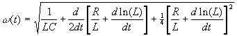
где Ienv огибающая тока и Ioscill безразмерный осциллирующий член. Оба члена выражаются как:

; (4)

; (5)

где; (6)

Очевидно, что огибающая тока не зависит от ёмкости конденсатора, а только от двух параметров прибора, R и L. Так что мы можем сравнить зависимость (4) с экспериментальными данными, то есть огибающей на осциллограмме тока Роговского. Чтобы получить форму тока ?в виде рыбы¦, мы должны предположить, что индуктивность, а именно, параметр c спадает очень быстро на временах T << toperation и затем выходит на постоянную, пока экспоненциальный член не обрезает полный ток. Формула (4) очень проста и поэтому удобна для анализа экспериментальных данных.

Относительно члена (5) (а также (6)) можно сказать, что несмотря на то, что частота есть функция времени, эта функция вполне аналитичная и не содержит сингулярностей типа ?меандров¦. Эффект появления меандров на диаграмме тока Роговского может быть объяснён удвоением частоты (эффект, вызываемый перераспределинием тока в лайнере), но даже удвоение частоты недостаточно для объяснения появления гегагерцовых гармоник в излучаемом сигнале.

Полезно также отметить один существенный недостаток модели ЭС. Для этого мы проанализируем простейшую электрическую цепь, содержащую лишь конденсатор и катушку (катушка имеет идеальную проводимость). Решение для тока в этой цепи есть:

с

Очевидно, что ток не имеет координатной зависимости, например, по х координате, где х длина провода катушки. Последнее следует из принципа непрерывности тока. Однако, при такой нагрузке антенны (в данном случае антенной является катушка) излучение будет узкополосным, и узко- направленным, и эффективность его будет низка, поскольку волновая длина нагружающего тока много больше геометрических размеров отдельного витка катушки. Аналогично и для ВМГЧ, спектр ЭМ излучения, рассчитанного из выражения для тока без учёта координатной зависимости, должен быть достаточно узким (ни наличие генератора тока, ни учёт сопротивления не меняет принципиально тип колебаний тока v несущая частота остаётся близкой к монохроматической).

Сравнение с эксперименталными данными.

Несмотря на то, что ни рассмотренная выше теоретическая модель, ни результаты других рассмотрений ВМГЧ [1, 3, 4] не объясняют механизма излучения высоких частот, возможно, что существует некоторый неизвестный фактор, обеспечивающий излучение, зарегистрированное во время тестов. Поэтому здесь мы кратко опишем имеющиеся экспериментальные данные

На тесте, проведённом на полигоне Высокогорного геофизического Института в г. Нальчике в 1997 г. были испытаны 4 образца ВМГЧ и в 1998 г. v 10 образцов ВМГЧ. На эти испытания ФБТ ?Сириус¦ поставил одноканальные спектрометры (измеряющие энергию ЭМ импульса в полосе частот 0.5 ГГц и центральными частотами полосы пропускания от 1 до 150 ГГц). Результаты измерений представлены в таблицах 1 и 2:


2.3 GHz

11.4 GHz

37.5 GHz

150 GHz

Shot # 1

2.5

20

2.5

20

Shot # 2

0.5

10

0

Shot # 3

0.5

11.2

0.2

10

Таблица 1. Плотность энергии D(E) [в пикоДж/cм2], измеренная одноканальными спектрометрами ФБТ ?Сириус¦. В верхней строке указаны центральные частоты полос пропускания входных фильтров антенн. Тест 1997 года, радиоизлучение от ВМГЧ. Расстояние между ВМГЧ и датчиками 30 м.


2.3 GHz

11.4 GHz

37.5 GHz

150 GHz

Shot # 3

1.0

4.4

-

> 25

Shot # 4

0.5

5.3

0.5

10.8

Shot # 5

0.5

-

0.2

2.5

Shot # 6

0.4

29.4

0.2

2.0

Shot # 7

-

-


2.5

Shot # 8

0.3

-

-

> 25

Shot # 11

0.35

17.5

-

> 25

Shot # 12

0.8

4.7

0.3

-

Таблица 2. Плотность энергии D(E) [в пикоДж/cм2], Тест 1998 года, радиоизлучение от ВМГЧ. Расстояние между ВМГЧ и датчиками 60 м.

Как уже было отмечено, из анализа уравнения Кирхгофа для ЭС следует, что даже несмотря на возможный эффект удвоения частоты тока в катушке, этот ток не может содержать высших гармоник, соответствующих гегагерцовым осцилляциям. Поэтому и излучение, вычисляемое как производная от тока, не может содержать таких гармоник. По мнению большинства авторов, анализировавших работу ВМГЧ, гегагерцовые гармоники в ЭМ поле могли бы быть вызваны неким электрическим пробоем между катушкой и лайнером или между соседними витками катушки. Предполагается, что пробой возможен благодаря высокому напряжению, создаваемому конденсатором. Но даже простое вычисление напряжения между двумя соседними витками катушки, или между лайнером и крайним витком катушки (для которого слой изолятора наиболее разрушен) показывает, что значение этого напряжения много ниже порогового напряжения пробоя.

Однако тут было бы интересно проанализировать некоторые экспериментальные данные, которые никогда прежде не анализировались, но которые могли бы быть ключом к объяснению возможного появления электрического пробоя и соответственно, высокочастотного ЭМ излучения.

В тесте 1997 года кроме одноканальных спектрометров, регистрирующих сигнал в полосе частот выше 10 ГГц (кроме одного, настроенного на частоту 2.3 ГГц), использовались трёхканальные спектрометы, регистрирующие сигнал при значении частоты 1.4, 2.8, 5.6 и 9.4 ГГц, и измеряющие не только полную энергию в ЭМ импульсе, но и пиковую мощность, а также и число осцилляций мощности в одном импульсе (?посылке¦). Поскольку полный импульс, излучаемый ВМГЧ, имеет очень сложную временную зависимость, современной измерительной базой удаётся измерить лишь некоторые параметры импульса. В частности, была поставлена задача измерения количества осцилляций мощности в сигнале. При испытаниях различных источников было обнаружено, что в сигналах от двух источников, от ВМГЧ и другого, имеющего сходную конструкцию, количество осцилляций мощности более чем 50 (для большого количества испытаний часть данных имела значение 99, но так как шкала спектрометров была ограничена значением 99, то точное значение количества осцилляций мощности неизвестно; можно лишь сказать, что это значение превосходит 99). Следует отметить, что такие данные по количеству осцилляций мощности в сигнале противоречили существующим концепциям функционирования ВМГЧ, поэтому эти данные не были опубликованы и содержатся лишь в тестовых отчётах (они были интерпретированы как результаты сбоев в работе спектрометров после воздействия на них сигнала от источника; однако, необходимо указать, что уровни мощности и энергии в сигналах от ВМГЧ были ниже, чем соответствующие уровни от других источников, поэтому предположения о сбоях в работе спектрометров некорректны).

Однако, такое количество осцилляций мощности в сигнале может быть объяснено ЭМ излучением от электрического пробоя, возникающим между поверхностью лайнера и ближайшим к поверхности неразрушенным витком катушки (но ещё не имеющим прямого гальванического контакта в лайнером, хотя этот виток соединён гальванически с лайнером через соседние витки).

Электрически пробой, если он есть, должен быть вызван каким-то электрическим полем, и здесь мы укажем возможную причину возникновения такого поля, которая не зависит напрямую от напряжения на конденсаторе. Впервые это было высказано Лоренцем в его парадоксе теории Эйншетейна. Лоренц показал, что ток в прямом бесконечно длинном проводе вызывает электрическое поле, направленное перпендикулярно проводу, и это нарушает принцип эквивалентности систем отсчёта. В данной статье мы не будем анализировать этот парадокс, однако, укажем, что были проведены эксперименты по обнаружению такого тока (хороший обзор и экспериментальные данные содержатся в работе [8], недавние результаты по этому вопросу даны в [9]). Причина появления такого электрического поля достаточно прозрачна: эффект вызван разностью между кулоновским полем неподвижных ионов и полем Льенарда v Вихерта движущихся электронов проводимости. Однако, для корректной экспериментальной проверки эффекта требуется выполнение следующих условий:

поддержание в течение достаточно долгого времени (достаточного для измерений) квазистационарного тока в цепи;

электронейтральность и замкнутость цепи, то есть цепь не должна быть подсоединена к внешнему источнику питания. В противном случае, заряды от источника могут пройти в цепь и нарушить распределение электронной плотности, создаваемой квазистационарным током [9].

Поэтому опыты по проверке эффекта возможны лишь для колец со сверхпроводящим током, а для таких объектов возможный эффект очень мал. В то же время оба условия выполняются в ВМГЧ. Поэтому появление Лоренцева электрического поля и, соответственно, пробой возможны в этой системе, особенно, когда изолирующий слой проводов катушки находится в предразрушаемом состоянии и ток в катушке проходит точку экстремума.

Тут может быть задан вопрос: почему такой механизм излучения не реализуется в обычных магнетокумулятивных генераторах (МКГ)? Известно, что в многосекционных МКГ ток может достигать значений до 0.5 МА и представляется, что в таких МКГ условия для возникновения пробоя лучше. Однако, отметим, что в обычных МКГ ток нарастает достаточно медленно в сравнении с ВМГЧ, при этом нарастание тока монотонное. Поэтому если такой пробой происходит, то он единичный и на фоне пробоев в МКГ (известно, что от некоторых МКГ наблюдается слабое рентгеновсое излучение, которое также может быть вызвано ускорением электронов мощным электрическим полем) не заметен. В то же время, условия для пробоя в ВМГЧ могут создаваться столько раз, сколько раз ток в катушке прибора проходит точки максимумов и минимумов, то есть не менее 100 раз. Далее, при вычислении разности кулоновских и льенард-вихертовых полей обычно рассматриваются равномерно движущиеся (на фоне ионов) электроны. Однако, в ВМГЧ электроны колеблются с частотой порядка 10 МГц , то есть ускоряются. Следует ожидать, что член с ускорением вносит определённый вклад в разность кулоновских и льенард-вихертовых полей и условия для пробоя в ВМГЧ более благоприятны, чем для МКГ, в которых ток квазистационарный.

Укажем, что описанный выше механизм пробоя может рассматриваться лишь как гипотеза, и необходима экспериментальныя проверка этой идеи.

Заключение

Поскольку из вычислений, основанных на модели ЭС, следует, что наивысшая частота тока нагрузки для катушки как антенны, не может быть выше 10 МГц, (то есть частота радиоизлучения не может существенно превосходить эту величину, и в то же самое время частота зарегистрированного в тестовых испытаниях радиоизлучения лежит в полосе от 10 до 150 ГГц) то мы вынуждены заключить, что модель ЭС не способна объяснить функционирование прибора. Тут необходимо отметить, что развитая выше модель ЭС имеет следующие недостатки:

При переходе от описания реального прибора к ЭС мы внесли упрощения в описание процесса сжатия магнитного поля. Эффекты, утерянные в ходе такого упрощения, могут быть существенны.

Для частот выше 100 МГц катушка уже не может быть представлена как идеальный соленоид. Более строгое описание требует рассмотрения катушки (как основного узла прибора) как системы с распределёнными параметрами.

Однако, по мнению автора, модель ЭС, даже с учётом двух вышеуказнных пунктов, не способна будет объяснить наличия излучения в полосе от 10 до 150 ГГц, и для корректного объяснения требуется какой-то принципиально иной подход.

Несмотря на то, что модель ЭС не способна описать наличие гегагерцового излучения, генерируемого ВМГЧ, эта модель позволяет описать два новых эффекта, которые, по мнению автора, ранее не были описаны в научной литературе: эффект проникновения магнитного поля сквозь катушку. Для частоты магнитного поля внутри катушки порядка 10 МГц и для геометрических размеров катушки медного провода глубина скин-слоя должна быть не более 0.1 мм, в то время, как толщина слоя металла в катушке в 10 раз больше. То есть, процесс проникновения магнитного поля через катушку не может быть описан в рамках концепции скин-слоя.

Эта система электрически нейтральна, изолирована от внешних источников тока и в то же время в ней поддерживается квазистационарный (по сравнению с эффектами распространения ЭМ полей) ток. Таким образом, в этой системе реализуются на макроскопическом уровне условия для проверки предположения Лоренца о существовании электрического поля, нарушающего эквивалентность систем отсчёта в специальной теории относительности.

Список литературы

Prishchepenko A.B., V.K.. Kiseljov, and L.S. Kudimov., Radio Frequency Weapon at the Future BattleField, Proceedings of the EUROEM Conference, Bordeaux, France, June 1994.,

V.A.Soshenko and V.C.Ivanov, Investigation of the Parameters of Explosive Driven Magnetic Generators of Frequency, Proceedings of EUROEM Conference, Jerusalem, Izrael, August 1998.

Прищепенко А.Б., Щелкачёв М.В. Диссипативные и диффузионные потери в спиральном взрывомагнитном генераторе. Электричество, ¦ 9, стр. 31-36, 1993.

Кнопфель , Сверхсильные магнитные поля, М. ?Мир¦, 1968. Гл. 4.

Павловский А.И., Людаев Р.З. и др., Многосекционный генератор МК-2, Материалы конференции Мегагаусс III, М. ?Наука¦, 1984, стр. 312-320.

Джеффри Г., Свирлс Б. Методы математической физики, М. ?Мир¦, 1970. Гл 16.

W.F. Edwards, C.S. Kenyon, and D.K. Lemon, Continuing investigation into possible electric fields arising from steady conduction currents, Physical Review D, Vol. 14, No. 4, pp. 922-938, 1976.

L. Baroni, E. Montanari, and A.D. Pesci, Some remarks on the question of charge densities in stationary current-carrying conductors Nuovo Cimento B 109, p. 1275, 1994.

Похожие работы на - Анализ эквивалентной цепи взрыво-магнитного генератора частоты

 

Не нашли материал для своей работы?
Поможем написать уникальную работу
Без плагиата!
Без нейросетей!