Метод выделения единичных вызванных потенциалов из электроэнцефалограммы без использования шаблона

  • Вид работы:
    Реферат
  • Предмет:
    История техники
  • Язык:
    Русский
    ,
    Формат файла:
    MS Word
    84,41 kb
  • Опубликовано:
    2009-01-12
Вы можете узнать стоимость помощи в написании студенческой работы.
Помощь в написании работы, которую точно примут!

Метод выделения единичных вызванных потенциалов из электроэнцефалограммы без использования шаблона

Метод выделения единичных вызванных потенциалов из электроэнцефалограммы без использования шаблона.

Строкун Ф.Ф.

Ростов-на-Дону

Разработан метод выделения единичных вызванных потенциалов из электроэнцефалограммы, основанный на модели сигнала как суммы стационарного в широком смысле процесса (электроэнцефалограммы), ограниченного во времени процесса (вызванного потенциала) и случайной ошибки.

Метод состоит в (1) последовательной по набору частот комплексной модуляции сигнала, (2) фильтрации модулированных последовательностей узкополосым низкочастотным фильтром, (3) интерполяции сигнала на область вызванного потенциала по его значениям вне этой области, (4) обратной демодуляции интерполированных значений и (5) их вычитанием из исходного сигнала.

Показано, что ошибка метода может быть существенным образом уменьшена за счет увеличения числа частотных полос, на которые разбивается реализация вызванного потенциала.

Метод реального выделения единичных вызванных потенциалов (ЕВП) из фоновой электоэнцефалограммы может стать мощным исследовательским инструментом для изучения вызванных потенциалов (ВП) в таких относительно малоисследованных областях как пространственные взаимоотношения ВП, их связь с фазовыми характеристиками фоновой ритмики, изменения ВП при привыкании, ?эндогенные¦ ВП и др.

С практической точки зрения, выделение ЕВП представляет уникальную возможность использования ВП для диагностики кратковременных сдвигов функционального состояния, для оценки субъективной значимости отдельных стимулов и уровня внимания к ним.

В настоящее время задача выделения ЕВП и увеличения отношения сигнал/шум решается методами цифровой линейной [1,2], кальмановской [3], винеровской [4,5,6,7] и двумерной [8] фильтрации, усреднением и регистрацией ВП с учетом характера фоновой активности [9,10], разложением реализаций ВП по разным системам базисных функций [11,12,13,14].

Классическим приемом оценки ЕВП можно считать использование усредненного ВП или его отдельных компонентов в качестве шаблона и поиск последнего в отдельных реализациях ВП по методу наименьших квадратов [15,16,17] или по максимуму значения кросскорреляционной функции [18]. Определенного улучшения в этом способе можно достигнуть, предварительно пропустив реализации ВП через ряд узкополосых полосовых фильтров [19].

Общей чертой и основным недостатком существующих методов выделения ЕВП является необходимость априорных сведений о форме ВП или о его частотном спектре.

В настоящей работе предлагается метод выделения ЕВП, не использующий предположений о характере ВП. Метод базируется на разбиении реализации ВП на ряд частотных поддиапазонов и интерполяции электроэнцефалограммы в области ВП по предшествующему и последующему участкам отдельно для каждого поддиапазона.

Описание метода

Пусть реализация yt имеет вид

yt = xt + ut + et  t=1,-T ,

где

 

( E[ ] v оператор математического ожидания).

xt v неслучайная составляющая (ВП), которая нарушает стационарность процесса yt на отрезке (t1,t2), et v случайная ошибка.

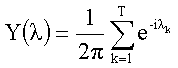
Задача состоит в том, чтобы по одной реализации электроэнцефалограммы yt найти ВП xt. Этому мешает стационарный в широком смысле процесс ut. Используя стационарность процесса ut, попытаемся оценить его на интервале вне (t1,t2) и, проинтерполировав оценку на (t1,t2), вычесть ее на всем временном интервале [0,T]. Для чего к набору частот, составляющих yt, последовательно применим метод комплексной демодуляции, низкочастотную фильтрацию [20] и интерполирование полиномиальным трендом.

Пусть

Тогда,

 t=1, -, T

Представим y(t) в виде суммы интегралов

и

,

где

т.е. yjt есть результат фильтрации y(t) полосовым фильтром с центральной частотой и шириной полосы пропускания.

Для оценки xt используем следующий алгоритм:

1) Реализацию y(t) подвергнем комплексной модуляции по набору частот

с получением последовательностей

yjC(t)=y(t) cos(n jt)

и

yjS(t)=y(t) sin(n jt)

2) Каждую из полученных последовательностей пропустим через низкочастотный фильтр Ф с частотой среза

 t=1, -,T.

3) Для каждой и методом наименьших квадратов по интервалу [0,t1]U[t2,T] найдем тренд ajC(t), ajS(t), проинтерполируем его на (t1,t2) и вычтем из соответствующих исходных последовательностей и на интервале [0,T].

4) Проведя демодуляцию этих разностей и суммирование по индексу j находим:

где v ошибка полиномиальной интерполяции (см. Приложение).

Пример использования метода

Проиллюстрируем использование метода на примере выделения единичных зрительных ВП из реализаций, зарегистрированных у одного испытуемого в отведениях P3, P4 (по системе 10-20%) с лобным референтным электродом и заземленными объединенными ушными электродами.

В качестве стимула использовалось изображение белого круга размером 8 см, предъявляемое на экране дисплея, снабженного заземленным защитным экраном. Стимулы предъявлялись на время приблизительно равное 20 мс, интервал между стимулами изменялся по равномерному случайному закону в диапазоне от 2 до 4 секунд, всего предъявлялось 75 стимулов.

Ввод электроэнцефалограммы (после соответствующего усиления) осуществлялся через 12-разрядный АЦП непрерывно в память ЭВМ в циклический буфер с частотой дискретизации 2000 Гц. В процессе ввода сигнал подвергался низкочастотной фильтрации для удаления постоянного смещения и адаптивно синхронизированной с промышленным сетевым напряжением фильтрации для удаления сетевой наводки, также использовался узкополосый режекторный фильтр для удаления 100-герцовой составляющей сетевой наводки.

Реализации ВП сохранялись в памяти ЭВМ в байтовом формате с частотой дискретизации 200 Гц и затем записывались на жесткий диск. Каждая реализация имела длительность 1500 мс, из который 500 мс приходилось на предстимульный участок. Моментом предъявления стимула считался момент начала кадровой развертки дисплея, совпадающий со 101-м отсчетом в реализации. Ошибка синхронизации составляла 0.5мс.

Программа выделения ЕВП по предлагаемому методу написана на языке Borland C++ v3.1 для работы в операционной среде MS DOS. ЕВП выделялись на интервале от 550 мс до 1000 мс. Для сокращения вычислений предполагалось, что спектральный состав ВП ограничен сверху и снизу 2 и 30 Гц, соответственно. В данном частотном диапазоне к каждой зарегистрированной реализации последовательно применялся метод комплексной демодуляции с шагом по частоте 1.6 Гц, определяемым использованным низкочастотным фильтром с частотой отсечки 0.8 Гц.

В качестве низкочастотного фильтра был применен синусный фильтр Баттерворта 3-го порядка. Фильтрация каждой модулированной последовательности проводилась дважды v в прямом и обратном направлении, что позволило скомпенсировать фазовые искажения вносимые фильтром.

Для устранения краевых эффектов в процессе фильтрации начальные и конечные участки каждой модулированной последовательности предварительно умножались на функцию, где k=0, -, 9 для фильтрации в прямом направлении и k=9, -,0 для фильтрации в обратном направлении.

Интерполирование отфильтрованных амплитудных значений каждой модулированной последовательности на участке от 550 мс до 1000 мс проводилось ортогональными вне этого участка алгебраическими полиномами до 3-го порядка включительно, которые строились с помощью процедуры ортогонализации Грама-Шмидта [21]. Ограничение порядка полиномов числом три объясняется достаточной гладкостью последовательностей на выходе фильтра. (Здесь, строго говоря, мы заменяли интерполируемую последовательность на ее аппроксимацию).

Полученные интерполированные и аппроксимированные значения подвергались демодуляции, а разница исходного и полученного рядов накапливалась с образованием последовательности, описывающей ЕВП.

Время выделения одного ЕВП при заданных условиях на IBM PC AT 486/66 составляло примерно 2 секунды. Примеры реальных выделенных единичных вызванных потенциалов приведены на Рис.1 и Рис.2. Усредненные вызванные потенциалы v полученный суммированием исходных реализаций и суммированием выделенных ЕВП v сопоставлены на Рис.3. Поскольку при выделении ЕВП не использовалась априорная информация о форме ВП, то совпадение усредненных исходных и усредненных выделенных единичных вызванных потенциалов свидетельствует о том, что предлагаемый метод не вносит систематических искажений в форму ВП.

Рис.1. Выделение единичного вызванного потенциала в реальных данных (a) в реализации с предъявлением зрительного стимула и (b) в фоновой реализации без предъявления стимуляции.

Пунктирная кривая v исходная электроэнцефалограмма, сплошная кривая v результат применения предлагаемого метода выделения единичных вызванных потенциалов. Отведение P3 (по системе 10-20%). На этом и последующих рисунках позитивность вниз.

Рис.2. Верхние 10 кривых v единичные вызванные потенциалы, выделенные из первых 10 последовательных реализаций в серии из 75 предъявлений зрительного стимула. Нижняя кривая v усредненный по всей серии ответ. Отведение P3.


Рис.3. Соответствие форм зрительных вызванных потенциалов, полученных при усреднении выделенных единичных ответов (сплошная кривая) и при традиционном усреднении исходных реализаций (пунктирная кривая) в отведения P3 и P4.

Приложение

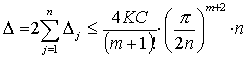
Покажем, что ошибка полиномиальной интерполяции может быть существенным образом уменьшена увеличением n v числа частот, по которым проводится модуляция-демодуляция.

Пусть

Среди t=1,..,tk,tk+p,-,T выберем m+1 точек (из которых две v tk и tk+p) и построим по ним интерполяционный алгебраический полином Lm степени m. Ошибка интерполяции в интервале (tk,tk+p) составит [21]:

 для,

где

wm(t)=(t-t1) - (t-tk)(t-tk+p) -(t-tm+1) .

Оценим максимум модуля производной (m+1)-го порядка:

Частная ошибка интерполирования для ajC и ajS имеет оценку

а v частота среза (ширина полосы пропускания) низкочастотного фильтра, используемого в методе комплексной демодуляции. Тогда суммарная ошибка интерполяции метода составит

Список литературы

1. Wastell D.J, // EEG and Clin. Neurophysiol., 1979, V.46, N 3, P.355.

2. Bacon P., Stevens J.C., Ruddy H., Ouegan S., Kingsley S.P. // Clin. Phys. and Physiol. Meas., 1990, V.11, N 2, P.135,

3. Doncarli С., Guiheneuc P. // Courr. CNRS, 1991, N 77, Р.59.

4. Walter D.O. // EEG and Clin. Neurophysiol., 1969, V.27, P.61.

5. Dayle D.J. // EEG and Clin. Neurophysiol., 1977, V.43, N 5, P.749.

6. Woestenburg J.C., Verbaten M.N., Sjouw W.P.B., Slangen J.L. // Biol. Psychol., V.13, P.215.

7. Nogawara Т., Katagama К., Tabata Y., Oshio Т., Kawahara T. // EEG and Clin. Neurophysiol., 1981, V.52, N 3, P.531.

8. Ozdamar 0., Delgado R. // In: Prос. Annu. Int. Conf. IEEE Eng. Med. and Biol. Soc., Orlando, Fla., Oct.31-Nov.3, 1991, V.13, Pt.4/5. N.Y., 1991, P.1881.

9. Mulholland Т., Goodman D. // In: Rhythmic EEG Activ. and Cortic. Funct.. Amsterdam, 1980, P. 277.

10. Ninomija S.Р., Fujikake M. // In: Images 21st Century: Proc. llth Annu. Int. Conf. IEEE Eng. Med. and Biol. Soc., Seattle, Wash., Nov.9-12, 1989 Pt.2/6. N-Y., 1989, Р.723.

11. Hsu К., Womble M.E. // In: Proc. Int. Conf. Cybern. and Soc., Atlanta, Ga., Oct.26-28, 1981. N.Y., 1981, Р.6.

12. Duan H., Zhong J., Rao W., Lu W. // In: Proc. Annu, Int. Conf. IEEE Eng. Med. and Biol. Soc., Orlando, Fla., Oct. 31-Nov.3, 1991, V.13, Pt.1/5. N.Y., 1991, P.399.

13. Gansler Т., Hansson M, // In: Proc. Annu. Int. Conf. IEEE Eng. Med. and Biol. Soc., Qrlando, Fla., Oct.31-Nov.3, 1991, V.13, Pt.1/5. N.Y., 1991, P.423.

14. Bartnik E.A., Blinowska K.J. // Med. and Biol. Eng. and Comput., 1992, V.30, N 1, P.125.

15. Aunon J.I., McGillem C.D. // In: Transactions San Diego Biomedical Symposium. 1975, V.14, P.211.

16. McGillem C.D., Aunon J.I. // In: IEEE Transactions on Biomedical Engineering.1977, BME-24, P.232.

17. Aunon J.I., McGillem C.D. // Psychophysiology, V.16, N 1, Р.71.

18. Иваницкий А.М., Татко В.Л. // В c6: Физиол. кибернет. Тез. 1-й Всес. конФ. по Физиол. кибернет., M., 1981, С.215.

19. Sattar F., Lovstrom В., Mandersson В., Salomonsson G. // In: Proc. Annu. Int. Conf. IEEE Eng. Med- and Biol. Soc., Orlando, Fla., Oct.31-Nov.3, 1991, V.13, Pt.l/5. N.Y., 1991, P.425.

20. Отнес Р., Эноксон Л, Прикладной анализ временных рядов. М.: Мир, 1982, С.429.

21. Корн Г., Корн Т. Справочник по математике, 4-е изд, М.: Наука, 1977, C.832.

Похожие работы на - Метод выделения единичных вызванных потенциалов из электроэнцефалограммы без использования шаблона

 

Не нашли материал для своей работы?
Поможем написать уникальную работу
Без плагиата!
Без нейросетей!