Бредли против Лоренца

  • Вид работы:
    Доклад
  • Предмет:
    История техники
  • Язык:
    Русский
    ,
    Формат файла:
    MS Word
    48,02 kb
  • Опубликовано:
    2009-01-12
Вы можете узнать стоимость помощи в написании студенческой работы.
Помощь в написании работы, которую точно примут!

Бредли против Лоренца

Бредли против Лоренца

Михаил Телегин

Астрономы давно заметили, что при годовом движении Земли по орбите звёзды описывают эллипсы. Это явление назвали звёздной аберрацией. Ещё в 1728 году английский астроном Бредли объяснил причину звёздной аберрации в работе (J.Bradley, Phil.Trans. Roy.Soc., London, 35, 637 (1728)) векторным сложением скоростей Земли и световых волн.

Рис. 1.

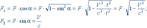
На рис.1а показано смещение изображения звезды из своего истинного положения А в положение В при движении Земли С со скоростью V по орбите. Звезда, как точечный источник, излучает сферические волны. При этом на Земле воспринимается компонент вектора электромагнитного поля звезды, повёрнутого на угол α относительно перпендикуляра к орбите планеты из-за сложения скоростей Земли и света. Вектор этот можно разложить на перпендикулярную и параллельную составляющие движению Земли. При этом составляющая, параллельная движению Земли должна подчиняться эффекту Доплера.

Из всего этого можно заключить, что Земля движется относительно преимущественной (лабораторной) системы отсчёта неподвижных звёзд. Систему эту можно принять за приближённо инерциальную. Следовательно, наблюдается запаздывание потенциалов, как показано на рис.1б. При этом эквипотенциальные поверхности впереди по движению приближаются к Земле, а силовые линии поля планеты отклоняются назад. Из этого следует, что составляющая любого поля из любой точки при движении тела или частицы в лабораторной системе отсчёта, будет видна под углом аберрации α. Угол же определяется отношением скорости тела к скорости поля.

Следовательно, появится составляющая вектора, параллельная движению объекта. А перпендикулярная составляющая уменьшится в соответствии с преобразованием Лоренца. Это явление должно было быть учтено в теоретическом обосновании опытов с интерферометром Майкельсона. С учётом сложения скоростей света и Земли результаты опытов и должны были дать ноль.

Суммой действия сил, составляющих поля от таких точек можно представить как магнитное, так и электрическое поля. Если из подобных точек поля составить какой-нибудь прибор, например конденсатор, получится картина, показанная на рис.2, соответствующая явлению аберрации.

Рис. 2.

При движении заряженной частицы параллельно пластинам конденсатора, она будет чувствовать поля не точек А и D, а точек В и Е под углом α. Предположим, что верхняя пластина заряжена так же, как частица С. Тогда при этом сила отталкивания, действующая по линии ВС разложится на составляющие F1 и F2, а сила притяжения, действующая по линии EС, – на составляющие F3 и F4.

Если частица движется посередине конденсатора, то силы F2 и F4 скомпенсируют друг друга. Если же нет, то будет наблюдаться ускорение или замедление скорости полёта. Точно таким же образом представляется и любое магнитное или гравитационное поле.

В результате проведённого анализа можно утверждать, что опыты Кауфмана и последующие демонстрировали не увеличение массы частиц, а закон аберрации и запаздывание потенциалов. Это же самое явление отвергает как лоренцево сокращение длины, так и замедление времени, о котором – отдельный разговор. Подробнее о явлении аберрации и теории поля можно прочесть в «Оптике масс» на сайте  #"93144.files/image004.gif">

где Eν – энергия при скорости V, h – постоянная Планка, а ν – частота.

Это выражение справедливо только для составляющей вектора, параллельного движению ускоряемой частицы. Однако при приближении к скорости света оно играет решающую роль.

В заключение хотелось бы акцентировать внимание на теориях относительности Эйнштейна, противоречащих не только друг другу, но и здравому смыслу. Эти теории опираются на формулу аберрации, определяющую только скорость, но не энергию частицы или тела. Всё было бы ничего, если бы эти теории не были бы признаны негласным официальным стандартом. Короче говоря, Аристотеля поменяли не на Ньютона, а на Эйнштейна. Нынче всё подгоняется под этот стандарт.

Чем грозит такая постановка вопроса? По данным «Journal of Theoretics» в Америке за критику Эйнштейна могут не только выгнать из института, но и поломать карьеру – за антисемитизм. Нашим студентам, я надеюсь, кроме неуда, это пока ничем не грозит. Но эти оторванные от природы вывихи мысли, выдаваемые за гениальность, калечат физическую логику. Заставляют людей искать чёрную кошку в тёмной комнате, – тем более, что её там нет.

Подобный «полёт мысли» выгоден только толкователям пророка, – очень удобно спекулировать. Можно придумывать разбегания галактик, чёрные дыры, плодить несуществующие и необнаружимые цветущие и пахнущие частицы, неприятности со временем и целые теории, обеспечивая себе безбедное существование. Толкование пророка было выгодно во все времена...

А воз физики и ныне там, полный застой. А виной всему – невинный эффект аберрации... Или, всё-таки, физиков начала прошлого века?

P.S.Кстати, в аэродинамике, при приближении скорости полёта к скорости звука, также применяется преобразование «Лоренца»:

где М – число Маха. При превышении скорости звука применяется несколько иная формула, дающая нам надежду на возможность межзвёздных сообщений:

Список литературы

Берклиевский курс физики, том 1. «Механика», изд-во «Наука», 1971г.

КудрявцевП.С. «История физики» том3, изд-во «Просвещение», 1971г.

Физический Энциклопедический Словарь, «Советская Энциклопедия».

Телегин М.Б.  «Оптика масс» (унифицированная теория поля).

Похожие работы на - Бредли против Лоренца

 

Не нашли материал для своей работы?
Поможем написать уникальную работу
Без плагиата!
Без нейросетей!