Цифровые фильтры
Цифровые фильтры
А. Т. Бизин
Сибирская Государственная Академия
телекоммуникаций и информатики
Новосибирск 1998 г.
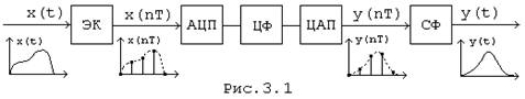
Цифровая система обработки сигналов
Обработка
дискретных сигналов осуществляется как правило в цифровой форме: каждому
отсчёту ставится в соответствие двоичное кодовое слово и, в результате,
действия над отсчётами заменяются на действия над кодовыми словами. Таким
образом дискретная цепь становится цифровой цепью, цифровым фильтром (ЦФ).
Перевод отсчётов в двоичные кодовые слова происходит в аналогово-цифровом
преобразователе (АЦП). На выходе ЦФ (рис.3.1) осуществляется обратная
операция: кодовые слова в цифро-аналоговом преобразователе превращаются в
отсчёты дискретного сигнала и, наконец, на выходе, синтезирующего фильтра (СФ)
формируется обработанный аналоговый сигнал.
Дискретная
и цифровая цепи описываются одинаковыми уравнениями. Отличие состоит в
приближённом характере представления отсчётов сигнала кодовыми словами конечной
размерности (ошибки квантования). Поэтому сигнал на выходе цифровой цепи
отличается от идеального варианта на величину погрешности квантования.
Цифровая
техника позволяет получить высокое качество обработки сигналов несмотря на
ошибки квантования: ошибки (шумы) квантования можно привести в норму
увеличением разрядности кодовых слов. Рациональные способы конструирования
цифровой цепи также способствуют минимизации уровня шумов квантования.
Расчёт
цифровой цепи по заданным требованиям к её характеристикам имеет ряд
принципиальных особенностей в зависимости от наличия обратной связи. Эти
особенности являются следствием конечной длины импульсного отклика
нерекурсивного ЦФ.
Поэтому
нерекурсивные фильтры содержат большое число элементов цепи, но вместе с тем
имеют целый ряд важных достоинств: нерекурсивные ЦФ всегда устойчивы, позволяют
строить фильтры с минимальной линейной фазой, отличаются простой настройкой. С
учётом изложенного становятся понятны причины, по которым методы расчёта
нерекурсивных ЦФ и рекурсивных цифровых фильтров принято рассматривать
отдельно.
Расчёт нерекурсивных ЦФ общего вида.
Цель
расчёта нерекурсивных цифровых фильтров (рис. 3.2,а) заключается в расчёте
значений коэффицентов
и
их числа N по допускам на системные характеристики, а так же в расчёте
разрядности кодовых слов и выборе оптимального динамического диапазона ЦФ по
нормам на помехозащищённость сигнала и вероятность перегрузки системы, что
определяется эффектами конечной разрядности кодовых слов.
Требования
к системным характеристикам чаще задаютс относительно одной из них: импульсной
или частотной. Поэтому различают расчёт ЦФ во временной области и расчёт ЦФ в
частотной области.
Расчёт
ЦФ во временной области.
Требуемая
импульсная характеристика в общем случае имеет бесконечную протяжённость во
времени. Поэтому вначале необходимо задаться конечным числом N первых отсчётов требуемой
импульсной характеристики
.
Оставшиеся
отсчёты по причине их малости отбрасывают и определяют погрешность приближения,
которую можно оценить, например, по среднеквадратичному критерию близости.
Коэффициенты
фильтра
принимаются
равными соответствующим отсчётам требуемой импульсной характеристики. После расчёта
разрядности коэффицентов, шумов квантования и масштабирующих коэффицентов
остаётся оценить погрешность реализованной импульсной характеристики по
отношению к требуемой и принять решение о необходимости повторного расчёта.
Расчёт
ЦФ в частотной области.
Вначале
необходимо продолжить требуемую частотную характеристику на диапазон [0,5wд; wд] по правилам комплексно-сопряжённой симметрии (рис.
3.2,б), что определяется вещественным характером импульсного отклика. По
характеристикам следует определить N комплексных частотных отсчётов
,
где
число N выбирается ориентировачно с таким расчётом, чтобы плавным соединением
точек
и
требуемые кривые восстановились без
заметных искажений.
Расчёт
коэффицентов фильтра выполняется по формуле обратного ДПФ
(3.1)
Затем
необходимо расчитать реализованные частотные характеристики по формулам,
которые следуют из выражения для передаточной функции фильтра.
, или
. (3.2)
Остаётся
сравнить требуемые и реализованные характеристики и принять решение о
необходимости повторного расчёта.
Расчёты
по учёту эффектов конечной разности кодовых слов остаются прежними.
Схемы и характеристики фильтров с линейной
фазой
Нерекурсивный
фильтр позволяет получить четную или нечетную импульсную характеристику и, как
результат, линейную ФЧХ или произвольной АЧХ, что следует из теоремы о спектре
четных и нечетных сигналов: спектр фаз четных и нечетных сигналов является
линейным.
Фильтры
с четными импульсными характеристиками называются симметричными, с нечетными -
антисимметричными. Каждый из отмеченных типов фильтров имеет свои особенности в
зависимости от четности числа отводов N, что удобно рассмотреть на конкретных
примерах.
Симметричные
фильтры с нечетным N.
На
рис. 3.3, а приведена схема и импульсная характеристика симметричного фильтра
для случая N=5. Передаточная функция такой цепи:
H(Z) = a2 + a1Z-1 + a0Z-2
+ a1Z-3 + a2Z-4 = Z-2 [a0
+ a1 (Z + Z-1) + a2 (Z2 + Z-2)]
Отсюда,
после подстановки Z = e jwT и
с учетом формулы Эйлера
H (jw) = e -j2wT (a0 + 2a1
cos wT + 2a2cos 2wT)
следовательно,
формулы АЧХ и ФЧХ
H(w) = a0 + 2a1 cos wT + 2a2cos 2wT, j(w) = -2wT
График
АЧХ и графики поясняющие характер АЧХ - cos wT, cos 2wT - приведены на рис. 3.4, а.
Симметричные
фильтры с четным N.
На
рис. 3.3, б приведены схема и импульсная характеристика симметричного фильтра
для случая N=4. Передаточная функция фильтра
H(Z) = a2 + a1Z-1 + a1Z-2
+ a2Z-3 = Z-1,5 [a1 (Z0,5
+ Z-0,5) + a2 (Z1,5 + Z-1,5)]
Отсюда H (jw) = e -j1,5wT (2a1 cos 0,5 wT + 2a2cos 1,5wT)
Соответствующие
формулы АЧХ и ФЧХ
H(w) = 2a1 cos 0,5 wT + 2a2cos 1,5wT, j(w) = -1,5wT
Характер
АЧХ и поясняющие графики - на рис. 3.4, б.
Антисимметричные
фильтры с нечетным N.
На
рис. 3.5, а приведены схема и импульсная характеристика антисимметричного
фильтра для случая N=5.
Передаточная
функция фильтра
H(Z)
= a2 + a1Z-1 + 0Z-2 - a1Z-3
- a2Z-4 = Z-2 [a1 (Z - Z-1)
+ a2 (Z2 - Z-2)]
отсюда H (jw) = e -j2wT j(2a1 sin wT + 2a2 sin2wT)
Поэтому
формулы АЧХ и ФЧХ
H(w) = 2a1 sin wT + 2a2 sin 2wT, j(w) =
-2wT
Характер
АЧХ и поясняющие графики - на рис. 3.6, f.
Антисимметричные
фильтры с четным N.
Схема
и импульсная характеристика для случая N=4 приведены на рис. 3.5, б.
Передаточная функция
H(Z) = a2 + a1Z-1 - a1Z-2
- a2Z-3 = Z-1,5 [a1 (Z0,5
- Z-0,5) + a2 (Z1,5 - Z-1,5)]
Отсюда
H (jw) = e -j1,5wT j(2a1 sin 0,5 wT + 2a2sin 1,5wT)
Формулы
АЧХ и ФЧХ
H(w) = 2a1 sin 0,5 wT + 2a2 sin 1,5wT, j(w) =
-1,5wT
Характер
АЧХ и поясняющие графики - на рис. 3.6, б.
Общие свойства фильтров с линейной фазой
Анализ
рассмотренных вариантов фильтров с линейной фазой позволяет сделать выводы
общего характера.
H(0)
№ 0, j(w) = -
wT (3.3)
а.
Если N - нечетное, то АЧХ - четная функция
H(w) = а0 + 2
аm cos mwT (3.4)
Применяется
при условии H(0,5wд) № 0
б.
Если N - четное, то АЧХ - нечетная функция
H(w) = 2
аm cos [(m - 0,5) wT] (3.5)
Применяется
при условии H(0,5wд) = 0
2.
Антисимметричные фильтры
H(0)
= 0, j(w) =
-
wT (3.6)
а.
Если N - нечетное, то АЧХ - нечетная функция
H(w) = 2
аm sin m wT (3.7)
Применяется
при условии H(0,5wд) = 0
б.
Если N - четное, то АЧХ - четная функция
H(w) = 2
аm sin [(m - 0,5) wT] (3.8)
Применяется
при условии H(0,5wд) № 0
На
рис. 3.7, а, б приведены графики, поясняющие отмеченные выше свойства.
Если
требуемая передаточная функция имеет в качестве множителя мнимую единицу, то
применяются исключительно антисимметричные фильтры. Например, передаточная
функция дифференциатора или интегратора
H(jw) = jw, H(jw) = 1 / jw
В
этом случае условия
Н(0)
= 0, или H(0,5wд) = 0, или H(0,5wд) № 0
при
необходимости следует воспроизвести искусственно.
Расчет ЦФ с линейной фазой. Метод
взвешивания.
Расчет
фильтров с линейной фазой начинается с выбора типа фильтра (симметричный,
антисимметричный) и четности N в соответствии с общими свойствами фильтров с
линейной фазой и требуемой АЧХ.
а.
Если Н(0) № 0, то фильтр симметричный. Отсюда:
N
- нечетное, если H(0,5wд) № 0
N
- четное, если H(0,5wд) = 0
б.
Если Н(0) = 0, то фильтр антисимметричный. Отсюда:
N
- нечетное, если H(0,5wд) = 0
N
- четное, если H(0,5wд) № 0
После
выбора типа фильтра и четности N необходимо продолжить требуемую АЧХ на
диапазон [0,5wд; wд] в соответствие с графиками на Рис. 3.7, а, б. Выбор
расчетной формулы для ФЧХ, т.е. (3.3) или (3.6), определяется типом фильтра.
После
выполненных процедур расчет фильтра осуществляется по общим правилам расчета не
рекурсивных ЦФ.
Пример.
Рассчитать ФНЧ с линейной фазой по следующим исходным данным:
ПП
® [0; 200] Гц, переходная область ® [200; 300] Гц.
Решение
Выбираем
fд = 800 Гц. Отсюда после нормирования частот W =
ПП
® [0; 0,25], ПН ® [0,375; 0,5].
Здесь
Н(0) № 0, поэтому фильтр симметричный.
H(0,5wд) = 0, поэтому N - четное.
Следовательно,
требуемую АЧХ необходимо продолжить на диапазон [0,5wд; wд] нечетным образом (Рис. 3.8, а).
Расчет
начинается с выбора величины N.
Пусть
N = 8. Отсюда интервал между выборками W1 =
= 0,125.
Формула
для ФЧХ (3.3): j(w) = -
wT . Отсюда
j (W) = -7pW, или для частот выборки j (kW1) = -7pW1,
Отсчеты
АЧХ - по требуемой АЧХ на графике Рис. 3.8, а.
Следовательно,
комплексные частотные отсчеты:
Н(jkW1) = {1e j0; 1e -j0,875p ; 1e -j1,75p ; 0; 0; 0; -1e -j5,25p ; -1e -j6,125p }
Отсюда
расчет импульсной характеристики по формуле обр. ДПФ
h
(nT) =
H (jkW1) e j (2p/N) kn =
={0,065;
-0,165; 0,025; 0,53; 0,53; 0,025; -0,165; 0,065}
что
соответствует схеме фильтра на Рис. 3.8, б
Расчетная
формула АЧХ такого типа фильтра - (3.5).
Поэтому
Н(W) = 1,06 cos pW + 0,05 cos 3pW - 0,33 cos 5pW + 0,13 cos 7pW
Результаты
расчета реализованной АЧХ приведены на графике Рис. 3.8, а (штриховая линия).
В
окрестности точек разрыва требуемой АЧХ (в данном примере это частоты 0,25 и
0,75) отклонение от нормы реализованных характеристик получается значительным вследствие
влияния эффекта Гиббса. Ослабить влияние эффекта Гиббса удается введением
весовой функции (метод взвешивания) к импульсной характеристике.
Новая
импульсная характеристика формируется по правилу:
h' (nT) = W (nt) * h (nT)
Где
W (nT) - весовая функция или "сглаживающее окно".
Находят
применение различные типы окон, например "окно" Хэмминга:
W(nT) = 0,54 + 0,46 cos [2p
], (3.9)
где
n = 0, 1, 2, ... (N - 1)
Для
рассматриваемого примера
W
(nT) = {0,08; 0,244; 0,64; 0,96; 0,96; 0,64; 0,244; 0,08}
h'
(nT) = {0,005; -0,04; 0,016; 0,51; 0,51; 0,016; -0,04; 0,005}
Отсюда
новые коэффициенты фильтра и новая передаточная функция
H'(Z)
= 0,005 - 0,04Z-1 + 0,016Z-2 + 0,51Z-3 + 0,51Z-4
+ 0,016Z-5 - 0,04Z-6 +
+ 0,005Z-7
График
АЧХ с учетом сглаживающего окна приведен на Рис. 3.9. Расчетная функция
получена из формулы для Н'(Z) после подстановки
Z = ejwT = ej2pW.
С
ростом N положительный эффект от применения "сглаживающего окна"
возрастает.
В
рассмотренном примере нормы на отклонение реализованной АЧХ от требуемой не
заданы. Если эти нормы не выполняются, то.... (строчка ксерокопии не влезла)
Метод частотной выборки
Коэффициенты
не рекурсивного ЦФ (Рис. 3.2, а) соответствуют отсчетам импульсной
характеристики. Схему не рекурсивного ЦФ можно преобразовать таким образом,
чтобы коэффициенты фильтра соответствовали отсчетам другой системной характеристики
- передаточной функции. Новая схема ЦФ является основой конструирования
фильтров по методу частотной выборки.
Схема фильтра.
Схема
фильтра формируется по результатам эквивалентных преобразований передаточной
функции не рекурсивного ЦФ
H(Z) =
an
Z-n
где
в соответствии с формулой обратного ДПФ
an = h (nT) =
H (jkw1) ej(2p/N)kn
следовательно
Н(Z) =
H (jkw1) ej(2p/N)kn Z-n =
(ej(2p/N)kn Z-1)n
Применяя
здесь формулу суммы N первых членов геометрической прогрессии
получаем
H(Z)
=
= P(Z)
(3.10)
где
P(Z)
= 1 - dZ-N, Fk(Z) = 1 / (1 - bkZ-1),
d = ej2pk,
bk = e j2pk/N
(3.11)
Схема
фильтра, соответствующего (3.10), приведена на Рис. 3.10, а. Схемы звеньев
фильтра, соответствующих (3.11), приведены на Рис. 3.10, б.
Схема
фильтра на рис. 3.10 применяется с учетом поправок, обусловленных особенностями
расположения нулей и полюсов передаточной функции.
Нули
и полюсы H(Z) (3.10), т.е. корни уравнений
1- ej2pk Z-N = 0, 1 - e j2pk/N Z-1 = 0
Расположены
на единичной окружности плоскости Z в точках
Zk = e j2pk/N
и
взаимно компенсируется. Но компенсация получается неполной по причине конечной
разрядности кодовых слов, что приводит к скачкам частотной характеристики
фильтра и, более того, не исключена вероятность самовозбуждения цепи. Поэтому
рекомендуется смещать точки Zk внутрь единичного круга на малую
величину, т.е.
Zk
= e -aT/N
e j2pk/N,
где aТ < 10-5
что
соответствует коэффициентам фильтра
d
= e-aT e
j2pk,
bk = e-aT e
j2pk/N
(3.12)
Небольшая
поправка коэффициентов фильтра (3.12) практически не отразится на
характеристиках фильтра.
Частотная характеристика фильтра
Частотная
характеристика фильтра по методу частотной выборки получается подстановкой
Z = ejwT,
в
(3.10). Отсюда, с учетом формулы Эйлера,
H(jw)=
следовательно
(3.13)
что
соответствует ряду Котельникова для спектров дискретных сигналов. Таким
образом, частотную характеристику не рекурсивного ЦФ можно представить как в
форме ряда Фурье, так и в форме ряда Котельникова.
Каждая
из отсчетных функций в (3.13)
(3.14)
на
частоте w = kw1 принимает значение частотной выборки H(jkw1); остальные отсчетные функции на этой частоте обращаются
в нуль. На графике Рис. 3.11 показана в качестве примера некоторая АЧХ и ее
составляющие - равносмещенные отсчетные функции для случая N=8, где отсчетные
функции представлены главным лепестком, кроме модуля отсчетной функции при К=0,
которая изображена полностью.
С
учетом вышеизложенного становится понятным, что регулировка частотных отсчетов
фильтра по методу частотной выборки является взаимонезависимой подобно
взаимонезависимой регулировке отсчетов импульсной характеристики не
рекурсивного ЦФ по схеме на Рис. 3.2, а.
Расчет
фильтра начинается с ориентировочного выбора величины N. Коэффициенты фильтра
приравнивают к соответствующим отсчетам требуемой частотной характеристики. Особый
случай имеет место в точках разрыва характеристики: отсчеты, расположенные в
окрестности точек разрыва, т.е. в переходной области, необходимо выбирать с
таким расчетом, чтобы получить удовлетворительное приближение реализованной
характеристики к требуемой в диапазоне частот, прилегающем к переходной
области. Наиболее часто в переходную область попадает 1 или 2 отсчетных
частоты. В этом случае удовлетворительный результат аппроксимации можно
получить простым подбором модуля отсчетов в переходной области.
После
проверочного расчета частотных характеристик по формуле 3.10 или 3.13
принимается решение о необходимости повторного расчета.
Схема фильтра с вещественными отводами
Реализация
фильтров по схеме на Рис. 3.10, а сопряжена с некоторыми особенностями,
обусловленными комплексным характером коэффициентов в отводах. Поэтому на
практике получил распространение еще один вариант схемы такого фильтра,
отличающийся вещественным характером коэффициентов.
Фильтр
с вещественными коэффициентами получается за счет объединения каждой пары
отводов с индексами К и (N-K), которая является комплексно-сопряженной по
причине комплексно-сопряженной симметрии частотных характеристик фильтра
относительно частоты 0,5wд. В результате
(3.15)
где a0k = cos jk, a1k = -bk
cos (jk - qk), b1k = -2bk
cos qk, b2k = b2k
Схема
вещественного отвода, соответствующего (3.15), приведена на Рис. 3.12.
Завершая
обсуждение фильтра с частотной выборкой следует отметить еще одно важное
качество таких фильтров: в схеме отсутствуют звенья, соответствующие нулевым значениям
требуемой АЧХ. В результате, например, схема частотно-селективного фильтра
существенно упрощается, сохраняя при этом возможность получения линейной фазы.
Расчет рекурсивных фильтров. Метод
билинейного преобразования.
Методы
расчета рекурсивных ЦФ можно разделить на прямые и косвенные. Прямые методы
предполагают расчет непосредственно рекурсивного ЦФ, косвенные используют в
качестве промежуточного этапа расчет аналогового фильтра (АФ).
К
числу косвенных методов относится метод билинейного преобразования, основанный
на таком преобразовании частот, при котором частотная ось сжимается до конечных
размеров. Формула частотного преобразования
или
где
w - реальная частота, т.е. частота проектируемого ЦФ,
- расчетная частота, т.е.
частота вспомогательного АФ,
,
- соответствующие комплексные частоты.
На
рис. 3.13, а приведен график зависимости расчетной частоты от реальной частоты,
на Рис. 3.13, б - пример соответствия кривых АЧХ фильтров АФ и ЦФ.
Связь
комплексных переменных вспомогательного АФ и реального ЦФ, т.е.
и Z определяется равенством
(3.17)
Формула
(3.17) получается подстановкой в (3.16) Z = epT. В результате
Перечислим
последовательность этапов расчета ЦФ методом билинейного преобразования.
1.
Перевести требуемые характеристики и нормы ЦФ в соответствующие требования к
АФ, применяя формулу

3.
Определить передаточную функцию ЦФ H(Z) по известной
4.
Построить схему ЦФ по H(Z).
5.
Выполнить необходимые расчеты по учету эффектов конечной разрядности.
Пример.
Рассчитать рекурсивный ЦФ нижних частот методом билинейного преобразования по
следующим исходным данным:
ПП
® [0; 200] Гц, перех. область ® [200; 300] Гц, DА = 3 дБ, Аmin = 15 дБ.
Решение
Выбираем
fд = 800 Гц.
Контрольные
частоты для перевода норм ЦФ в нормы АФ: 0; 200 Гц; 300 Гц.
Расчетная
формула для преобразования частот
В
результате
f
= 0 ®
® Wн = 0
f
= 200 Гц ®
1600 ® Wн = 1
f
= 300 Гц ®
3840 ® Wн = 2,4
где
Wн =
- нормированная частота ФНЧ,
= 1600 - частота среза ФНЧ.
Основная
формула расчета АФ
В
данном случае достаточно ограничиться аппроксимирующим полиномом Баттерворта
второго порядка. Поэтому, учитывая что Е=1 для DА = 3 дБ, получаем
следовательно
Отсюда
полюсы Н(рн): рн 1,2 = -0,707 ± j 0,707,
что
соответствует нормированной передаточной функции
Подставляя
здесь
,
получаем
денормированную передаточную функцию АФ
После
подстановки здесь (3.17), получаем передаточную функцию рекурсивного ЦФ
Что
соответствует схеме рекурсивного ЦФ, приведенной на Рис. 3.14, а.
Уместно
напомнить, что схему цепи по дробной передаточной функции от Z удобно строить в
2 этапа: вначале строится не рекурсивная часть, соответствующая числителю Н(Z),
затем каскадно с ней - рекурсивная часть, соответствующая дроби, в числителе
которой - единица.
График
реализованной АЧХ приведен на рис. 3.14, б.
Нелинейная
зависимость частотного преобразования (3.16) определяет как недостатки, так и
достоинства метода билинейного преобразования. Недостаток в том, что наклонные
участки частотной характеристики изменяют свой наклон тем больше, чем выше
частота. Поэтому, например, линейная фаза после преобразования (3.16)
становится нелинейной. Достоинство определяется отсутствием ошибок наложения
при переходе АФ ® ЦФ, что позволяет получить высокие уровни ослабления в ПН при
конструировании частотно-селективных фильтров.