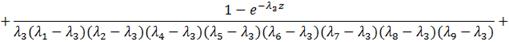
Применение математических инструментов проектного управления к задачам ликвидации аварийных ситуаций
Оглавление
Введение
Глава 1.
Ликвидация аварийных ситуаций как проект
1.1
Применение проектного управления к задачам ликвидации аварийных ситуаций
.2 Описание
тактико-технических действий подразделений пожарной охраны при реализации
проектов ликвидации аварийных ситуаций
Глава 2.
Описание предлагаемой модели экономико-математической оценки длительности
занятости пожарных служб при ликвидации аварийных ситуаций
2.1 Основные
принципы проведения исследования
.2
Предпосылки используемой модели
.3
Результирующая аналитическая зависимость вероятности ликвидации аварийной
ситуации от времени
.4 Сравнение
результатов аналитической модели с результатами численного моделирования
Глава 4.
Применение разработанной экономико-математической модели оценки длительности к
реальному проекту ликвидации аварийной ситуации
4.1
Проведение моделирования на основе данных реального подразделения пожарной
охраны
.2
Рекомендации
Заключение
Литература
Приложение
Введение
Планирование и управление сил и средств для ликвидации аварийных ситуаций
является важной областью научного знания, поскольку помогает решать серьёзные
практические проблемы. Пожар всегда сопровождается материальным или иным
ущербом, риском развития опасной для безопасности людей и животных, ситуации. В
связи с этим, предпринимаются активные усилия для увеличения эффективности
планирования и управления сил и средств на пожаре.
Однако в связи с растущей динамикой развития пожаров, увеличению
сложности зданий и сооружений, требующих тушения, данная область знаний нуждается
в углублении научного подхода в управлении. При этом, систематизация знаний
может происходить как в области инженерно-технической (в области расчётов
физических явлений), так и в области организационно-тактической (в области
принятия решений и организации процесса тушения).
Основная цель совершенствования системы управления ликвидациями аварийных
ситуаций - уменьшение времени реагирования на пожар для того, чтобы сократить
потери, произошедшие до начала тушения пожара. Кроме того, оценка длительности
всего процесса ликвидации аварийной ситуации позволит точнее планировать
необходимые силы и средства и избегать случаев дефицита техники и людей. Таким
образом, процесс управления подобной системой может быть результативным.
Область знаний о ликвидации аварийных ситуаций подразумевает, с одной
стороны, наличие жёсткой структуры процесса тушения пожара и наличия большой
статистики, с другой стороны, полезно подходить к оценке длительности процесса
ликвидации аварийной ситуации через понятие неопределённости.
Ликвидация аварийных ситуаций по своим характеристикам схожа с понятием
проект: любое тушение пожара является временным предприятием (от начала
возгорания до постановки сил и средств на боевой расчёт после ликвидации) и
вместе с тем - уникальным, поскольку характеристики, типы, время и прочие
обстоятельства для каждой аварийной ситуации индивидуальны. Таким образом,
ликвидация аварийной ситуации может рассматриваться с точки зрения проектного
управления.
Целью данного исследования является разработка методики оценки
длительности ликвидации аварийной ситуации в условиях неопределённости с
помощью математических инструментов управления проектами.
Объектом данного исследования являются проекты ликвидации аварийных
ситуаций. Предмет исследования: процессы проекта ликвидации аварийной ситуации.
Задачи исследования:
· Анализ применимости математических методов оценки неопределенности к
задачам по оценке длительности проектов ликвидации аварийных ситуаций;
· Разработка методики оценки общей длительности и рисков проекта
ликвидации аварийной ситуации;
· Апробация методики оценки длительности и рисков для
конкретной аварийно-спасательной службы;
· Разработка рекомендаций на основе полученных модельных
выводов.
Методика проведения исследования подразумевает два направления работы в
соответствии с двумя поставленными задачами. Первое направление - сбор
литературы по проблемам оценки длительности проектов ликвидации аварийной
ситуации. В ходе процесса выявляются основные теоретические компоненты, методы
и характеристики, в том числе, длительности этапов ликвидации аварийных
ситуаций. Полученные данные будут являться источником для дальнейшего
математического моделирования.
Второе направление исследования - использование экономико-математического
моделирования для оценки длительности всего проекта ликвидации аварийной
ситуации. Применение подобного подхода позволит повысить точность оценки
длительности проекта и делать более качественное планирование сил и средств и
управление рисками, связанными с превышением установленных нормативов времени
прибытия аварийных служб и ликвидации аварийных ситуаций.
Работа состоит из пяти частей. В первой даётся описание предметной
области ликвидации аварийных ситуаций и уточняется класс задач и характеристики
аварийных ситуаций, для которых проводится дальнейшее исследование. В том
числе, разбирается вопрос о применимости проектного управления к ликвидации
аварийных ситуаций. Вторая часть содержит формальное описание состава и
последовательности рассматриваемого проекта, а также основных характеристик и
предпосылок, необходимых для вывода вероятностной формулы. Приводится описание
преобразований модели и получения итогового результата исследования. В третьей
части проводится анализ полученного результата (формулы плотности распределения
вероятности длительности проекта по ликвидации аварийных ситуаций) с точки
зрения математического поведения и формы функции, а также прилагается описание
проверки полученного результата с помощью проведенного численного
моделирования, основанного на сгенерированной выборке. В четвертой части работы
описывается применение данной функции к деятельности реального пожарного
подразделения, что иллюстрируется введением функции ущерба в модель оценки
длительности проекта и выводах своевременности выполнения задач частью пожарной
охраны. В пятой части работы даются рекомендации, как технического характера по
использованию формулы, так и управленческого характера - по использованию и
внедрению результатов работы. Далее делаются выводы исходя из качества
полученной модели и приводится список литературы. Объём данной без приложений
58 страниц.
В работе рассматривались различные государственные законы и
постановления, регулирующие область пожаротушения, фундаментальные работы,
относящиеся к данной области и области управления проектами, а также ряд
современных статей, анализирующих различные аспекты планирования и управления
силами и средствами.
Глава 1. Ликвидация аварийных ситуаций как проект
1.1 Применение
проектного управления к задачам ликвидации аварийных ситуаций
В управлении ликвидацией аварийных ситуаций, основная цель - повысить
оперативность работы и максимально сократить длительности реагирования и
ликвидации всей аварийной ситуации. Это связано с прямой зависимостью между
быстрым ростом потерь и временем реагирования и ликвидации аварийной ситуации.
Потери могут быть как материальными, так и представлять собой рост риска для
человека. Таким образом, управление длительностью пожара можно считать основной
задачей системы управления ликвидацией аварийной ситуации.
Возникновение пожара происходит непредвиденно и неожиданно, часто момент
возгорания не заметен для посторонних, в случаях если возгорание произошло не
по вине людей или же они отсутствовали в этот момент в помещении. Информация о
пожаре поступает в пункт связи части, как правило, не сразу, а только спустя
5-7 минут после начала пожара. В связи с этим, возникает необходимость, чтобы
система управления была достаточно гибкой для того, чтобы обеспечить
возможность быстрого реагирования (Псарев, 2014). Однако, за это время пожар
развивается, как правило, ко второй или третьей фазе (в зависимости от
количества пожарной нагрузки, скорости горения и прочих характеристик) и к
моменту прибытия пожарных подразделений достигает экспоненциального роста
интенсивности, что представляет критическую сложность для его ликвидации. Одной
из характеристик развития пожара является непредсказуемость и быстрое развитие
процесса. В связи с этим, задачей пожарного подразделения является максимально
быстрое реагирование, поскольку при достижении определённой фазы пожара
ухудшается способность контроля ситуации. Кроме того, изменения на пожаре могут
возникать неожиданно и в процессе реализации тушения и ликвидации аварийной
ситуации. Такие ситуации будут требовать максимально быстрой адаптации и
принятия решений. (Власов, 2015)
Существующие работы, анализирующие поведение руководителей тушения
пожара, ссылаются на важность процесса принятия решений в действиях при
ликвидации аварийной ситуации (Теребнев, 2009; Хлистун, 2015). Из-за большого
количества информации, факторов неопределенности и скорости изменения ситуации,
такие способы как планирование, равно как и автоматические средства не способны
к выводу математически оптимального решения. В ходе принятия решений на
ликвидации аварийной ситуации необходим опыт и профессионализм руководителя
тушения пожара, которые зачастую, наравне со слаженностью команды, играют
критическую роль в своевременной ликвидации аварийной ситуации. (Теребнев,
2004). Таким образом, жесткие системы управления не могут дать достаточной
гибкости при принятии решений и будут сковывать действия руководителя тушения
пожара.
С точки зрения управления, традиционные методы менеджмента направлены на
операционную деятельность, основной особенностью которых является стационарность
процессов, возможность постепенно их менять в зависимости от потребностей
компании (Дафт, 2007).
Однако, исходя из того, что ситуация на пожаре развивается быстро и
неожиданно, необходима более динамично реагирующая структура управления
(Тетерин, 2008). Система управления пожаротушением сталкивается с тем, что
невозможно полноценно спланировать все действия, необходимые для успешного
завершения проекта-тушения пожара в минимальные сроки с минимальным ущербом.
Существующая система управления направлена на максимальную предпожарную
подготовку в виде формирования различных планов, карточек, заготовок мер
реагирования, информирования населения, а также работу с организациями (3,
2015). Однако такая система не в полной мере обеспечивает гибкость в принятии
решений. В связи с этим, необходимо, с одной стороны, выставлять жёсткие
иерархичные структуры управления и подчинения, распределение функций
управления; с другой стороны-поддерживать возможность гибкого реагирования на
ситуацию.
Подобное сочетание гибкости и жёсткости, по отношению к традиционному,
процессному менеджменту может способствовать применение проектного управления.
В данной проблеме существенную роль может сыграть применение математических в
условиях неопределенности за счет того, что вероятностный подход можно считать
более гибким математическим методом. При этом, возникает вопрос о применимости
использования подобного подхода, поскольку проектное управление имеет
собственные ограничения на применимость.
«Проект - это временное предприятие, направленное на создание уникального
продукта, услуги или результата» (1, 2012). Таким образом, согласно PMBOK, временность и уникальность являются
ключевыми характеристиками проекта. «Пожар - совокупность физико-химических
явлений в основе которых лежат нестационарные процессы горения, тепло- и
массообмена. Пожары обладают свойством к произвольному самораспространению»
[8]. Таким образом, за счёт произвольного самораспространения, всегда
уникальной конфигурации пожарной нагрузки, времени и места возгорания, каждый
пожар можно назвать уникальным. Вместе с этим, пожар не является аналогом
бизнес-процесса, поскольку по своей сути имеет начало, т.е. время возгорания, и
окончание-момент ликвидации. Аналогично с этим распределяется и время
ликвидации аварийной ситуации: с момента поступления сигнала о пожаре и до
возвращения пожарной бригады в часть. Таким образом, ликвидация аварийных
ситуаций, за счёт уникальности и временности может рассматриваться в качестве
проекта. Кроме того, подобный подход может дать возможность рассматривать
проект комплексно: с учетом всех временных и материальных затрат, а значит,
улучшать текущее состояние управления силами и средствами, а также управление
рисками и расписания за счёт проработки и аналитики статистического поведения
факторов неопределенности на пожаре. (Ward, 2003)
Факторы неопределенности, возникающие на пожаре, могут иметь различную
природу. В связи с тем, что пожар является уникальным явлением, условия
возникновения и протекания пожара будут различаться в зависимости, например, от
местоположения, высотности и прочих физических характеристик пожара. Кроме
того, любой проект находится под влиянием внешних рисков. В данном случае это
могут быть такие риски, как дорожная ситуация на пути следования, наличие машин
на местах парковки для пожарных машин и прочее. Более того, человеческий фактор
может влиять на всех этапах реализации ликвидации аварийной ситуации как с
точки зрения бригады, так и с точки зрения внешних лиц.
Таким образом, проработка и выделение факторов неопределенности и их
влияние на различных этапах могут дать существенное увеличение точности в
оценке возможных рисков, а также помогут точнее подходить к процессу
планирования.
1.2 Описание
тактико-технических действий подразделений пожарной охраны при реализации
проектов ликвидации аварийных ситуаций
Развитие фаз пожара хорошо известно и описано, включая физические
параметры развития процесса горения. Однако, актуальность проблемы управления
силами и средствами заключается в том, что пожарные подразделения часто не
успевают реагировать достаточно быстро для того, чтобы перехватить пожар до тех
пор, пока он не перешёл в «объёмную» фазу, характеризующуюся высокими
температурами, нарастанием показателей горения, резким ростом ущерба и слабой
возможностью контроля.
Таким образом, основная задача пожарных подразделений и системы
планирования и управления в целом, заключается в уменьшении времени
реагирования пожарных подразделений на пожар. Фактически, применяя проектное
управление можно говорить об управлении проектом (пожаротушении), цель
которого-максимально сократить сроки каждого этапа для уменьшения ущерба
ликвидации аварийной ситуации.
В ликвидации аварийных ситуаций есть ряд конфигураций действий и
процессов, используемых в качестве анализа. Основной конфигурацией в области
знаний служит Федеральный закон (4, 2015), по которому структуру ликвидации
аварийной ситуации можно выделить следующую:
· прием и обработку сообщения о пожаре (вызове);
· выезд и следование к месту пожара (вызова);
· разведку места пожара;
· аварийно-спасательные работы, связанные с тушением пожаров;
· развертывание сил и средств;
· ликвидацию горения;
· специальные работы;
· сбор и возвращение к месту постоянного расположения.
Данный состав этапов позволяет охарактеризовать и разграничить примерную
последовательность работ, но не является достаточной для оценки длительностей и
распределений этапов.
Кроме того, данный состав и последовательность действий не отвечает
полностью управленческим целям, поскольку не включается время после аварийной ситуации,
необходимое для полного возобновления работоспособности техники и постановки на
учёт сил и средств, а значит, без передачи ресурсов к следующим возможным
проектам ликвидации аварийной ситуации нельзя говорить о полном завершении
проекта. Тем не менее, состав и последовательность работ, используемых в данном
исследовании будет опираться на описанный ниже.
Далее приведено краткое описание этих этапов (5, 2008) и причины, по
которым были внесены изменения в состав работ по сравнению с ФЗ:
. Время от начала возгорания до получения диспетчером сообщения. Данный
этап не входит в список, согласно ФЗ, поскольку не включает в себя какие-либо
действия, предпринимаемые подразделениями пожарной охраны. Часто сигнал о
тушении пожара поступает в пожарную часть не разу, а спустя какое-то время: не
всегда пожар может быть сразу замечен или сразу передан сигнал тревоги. Это
время является критическим для формирования итоговой длительности ликвидации
аварийной ситуации и пожара.
2. Приём и обработка сообщений о пожаре. Согласно ФЗ, действия по
тушению пожара начинаются с приёма сообщений о пожаре (4, 2015). Таким образом,
именно принятие решение диспетчером о необходимости вызова пожарной бригады
является моментом начала обеспечения безопасности на пожаре. Информация о
пожаре поступает к дежурному диспетчеру подразделения пожарной охраны, после
чего он обязан зафиксировать поступающую информацию и принять решение о
необходимости направить силы и средства для тушения пожара. После этого он
подаёт сигнал «ТРЕВОГА» для пожарного подразделения. В дальнейшем диспетчер
должен обрабатывать поступающую информацию и поддерживать осведомлённость
руководителя тушения пожара.
. Выезд и следование к месту пожара. Данный этап начинается с
момента передачи дежурным диспетчером сигнала «ТРЕВОГА». Задача пожарного
подразделения максимально быстро прибыть на место пожара. Для этого личный
состав готовится к выезду и собирается в гараже с посадкой в транспорт.
Маршруты следования определяются заранее, в процессе разработки планов реагирования
на пожар, учений и прочих предупредительных действий в процессе планирования.
Таким образом, выбирается оптимальный маршрут, обеспечивающий максимально
быструю доставку сил и средств к месту тушения пожара. Этап следования пожара
завершается с момента прибытия пожарного подразделения на пожар.
. Разведка места пожара. Этап разведки места пожара начинается с
момента получения первой информации о пожаре дежурным диспетчером и
заканчивается на моменте ликвидации пожара. Основная задача этого этапа - сбор
как можно большего количества информации для обеспечения возможности принятия
решений для РТП (руководителя тушения пожара). Разведка может быть двух типов:
«в пути следования» (по картам, данным об объекте, деятельности, по сообщениям
от диспетчера) и с помощью оперативных групп, работающих непосредственно на
объекте. В данной конфигурации этапы разведки и развертывания сил и средств
объединены в один этап. Это связано с рядом предпосылок. Одна из них
заключается в том, что процесс разведки, как было описано выше, является
длительным процессом, который может длиться от начала поступления сообщения до
окончания ликвидации и проливки объекта. Однако для целей данного исследования
используется только разведка, которая включает в себя осмотр на местности и работу
разведывательной группы на объекте. При этом, данный этап происходит вместе с
развертыванием сил и средств, т.е. с подготовкой к началу локализации пожара,
таким образом, этот процесс может быть рассмотрен в качестве суммы.
Задачи действий разведки и развертывания сил и средств аналогичны тем,
что представлены в ФЗ (4, 2015). Однако, в данном случае необходимо подробнее
описать действия, совершаемые при реализации этих этапов, а также объяснить
схему формирования единого этапа разведки и развертывания сил и средств.
Этап разведки можно условно разделить на 2 части (Теребнев, 2009): первая
часть начинается с момента получения первой информации о возгорании диспетчером
и является сбором информации в ходе следования. На практике, диспетчер
формирует предварительную курточку о характеристиках пожара, составленную на
базе имеющейся информации об объекте и свидетельских показаниях. Эта карточка
дополняется различными планами тушения пожара, эвакуации и проч. сведениями,
подготовленными заранее и передается руководителю тушения пожара. В момент
следования к месту возгорания руководитель тушения пожара проводит изучение и
сверку полученной информации; может запросить по связи дополнительную, а также
получить такую в случае, если диспетчер получает новые свидетельские показания.
Таким образом, первая часть процесса разведки не влияет на длительность первых
3х этапов, производится параллельно и независимо.
Вторая часть разведки проводится с момента прибытия пожарного
подразделения к месту тушения пожара и заключается в получении информации
непосредственно на месте, в т.ч., с помощью формирования разведывательных
бригад, которые идут непосредственно к очагу возгорания и инспектируют
состояние пожара. Такая часть разведывательных действий производится строго
после прибытия подразделений на место пожара и до окончания этого этапа, начало
локализации не может происходить. Таким образом, если первая часть не влияет на
длительность ликвидации аварийной ситуации и её можно не включать как отдельный
этап, то вторая часть требует выделенного времени и должна рассматриваться как
отдельный временной промежуток. Однако, параллельно с разведкой происходит
развертывание сил и средств, подготовка техники к тушению пожаров, открытие
колодцев, таким образом, этап разведки объединяется с этапом развертывания сил
и средств в данной работе.
Развертывание сил и средств - это приведение сил и средств в состояние
готовности для выполнения поставленных задач на пожаре, процесс взаимодействия
номеров расчетов на пожарных автомобилях между собой и действий с применением
пожарно-технического вооружения и оборудования (Теребнев, 2008). На данный
момент существует большое количество моделей, которые определяют время
развёртывания сил и средств, исходя из различных параметров, дают оценки
коэффициентам влияния факторов и прочее.
. Локализация возгорания - «действия, направленные на предотвращение
возможности дальнейшего распространения горения и создание условий для его
успешной ликвидации имеющимися силами и средствами», согласно ГОСТ 12.1 033-81
[2, 2001]. Таким образом, локализация является действием, предшествующим
завершению ликвидации. Однако, согласно энциклопедии, ликвидация - «действия,
направленные на окончательное прекращение горения, а также на исключение
возможности его повторного возникновения» [23, 2007]. Однако, на практике,
процесс ликвидации аварийной ситуации можно считать с момента подготовки
предпожарных карточек о помещении и до полного восстановления боеготовности.
Более того, на практике, действия по тушению пожара нельзя, как правило, строго
разделить на ликвидацию и локализацию. Однако, для задач данного исследования
была выбрана структура строго параллельных этапов, в которой сначала происходит
ограничение горения в рамках определенной территории (локализация), а затем -
ликвидация возгорания на этом участке для того, чтобы избежать
распараллеливания работ при построении сетевого графика.
Локализация может рассматриваться как отдельный (в данном случае) или как
часть процесса ликвидации. Тем не менее, удобно представлять этап отдельно,
поскольку он позволяет оценить, в какой момент ситуация на пожаре была взята
под контроль пожарными подразделениями (Повзик, 2004).
. Ликвидация горения. Этап ликвидации горения подразумевает организацию
подачи огнетушащих средств для остановки процесса горения. Организация
ликвидации горения может быть разделена на два этапа: планирование необходимой
техники и объёмов огнетушащих средств, а также непосредственное управление и их
эффективное использование. На стадии планирования происходит расчёт сил и
средств, необходимых для тушения пожара. Так, их объём необходимо
минимизировать, что связано с необходимостью их доставки и минимизацией времени
реагирования на пожар.
7. Разборка конструкций/проливка. При этом, из анализа исключается
такой этап, как проведение специальных работ, поскольку на практике такие
действия не выделяются в отдельный этап, а могут производиться по мере
необходимости - от этапов разведки до сбора и возвращения в часть. Специальные
работы - это действия личного состава, направленные на обеспечение выполнения
основной задачи с использованием специальных технических средств и знаний.
Специальные работы подразделяются на: вскрытие и разборку конструкций,
подъем/спуск на высоту; организацию связи; освещение места пожара и
восстановление работоспособности технических средств. Здесь важно провести
разграничение по действиям и этапам. Исключение такого типа действий, как
специальные работы, несомненно, вызовет неполноту описываемых действий на
пожаре и размывание границ определений этапов. Однако, для целей данной работы
необходимо произвести аналитику по времени и временным этапам; таким образом,
для упрощения схемы в данной работе будет использоваться упрощение деятельности
на пожаре и включение разных по характеру действий в один этап для сохранения
четкости структуры. При этом, важно отметить, что нарушения логики в структуре
ликвидации аварийной ситуации происходить не будет, поскольку действия по своей
длительности будут включаться в различные этапы и этапы будут строиться как
агрегированные.
8. Сбор и возвращение к месту постоянного расположения происходит только
после соответствующего приказа РТП. Основная цель данного этапа: подготовить
силы и средства для возможности реагирования на следующий вызов. Сворачивание
сил и средств происходит постепенно, проверяя готовность и выводя их по
отдельным участкам. В состав работ входят: проверка наличия личного состава,
сбор и проверка комплектации оборудования, размещение и крепление пожарного
инструменты и оборудования, закрытие крышек колодцев пожарных гидрантов.
. Постановка в боевой расчет. В классификации по ФЗ, окончание тушения
пожара происходит в тот момент, когда заканчивается сбор и возвращение в часть.
Однако, при возвращении в часть, какая-то часть оборудования может требовать
ремонта или замены, проверки боеспособности и прочих процедур. При этом, нельзя
сказать, что с момента прибытия такая техника может стоять в боевом расчёте и
быть готовой к дальнейшей работе. Таким образом, включение этого этапа
необходимо, для более точного планирования сил и средств не для подразделения,
но для пожарной части в целом, в качестве оценки имеющихся ресурсов.
В связи с тем, что пожар является временным и уникальным предприятием, он
может рассматриваться как проект, включающий в себя ряд последовательных
этапов, включая точки начала и завершения проекта.
Далее, относительно конфигурации этапов помимо строгой последовательности
необходимо ввести ориентировочное время реализации каждого из этапов.
Существует статистика МЧС, основанная на данных оперативного реагирования по РФ
с 2003 по 2014 годы относительно средних времен действий на пожаре. Данные
представлены на графике:
На графике представлены данные относительно средних длительностей
различных тактико-технических действий и этапов, входящих в состав ликвидации
аварийной ситуации.
Далее, с учетом конфигурации этапов и средних показателей времени
выводится следующая структура, пропорционально отображающая длительность этапов
относительно общей длительности проекта.
Рисунок 1. Динамика изменения показателей оперативного реагирования на
пожары в РФ с 2003 по 2014 годы
Рисунок 2. Диаграмма Гантта проекта ликвидации аварийных ситуаций
На рисунке изображена диаграмма Гантта для выбранной последовательной структуры
работ с общими длительностями. Видно, что статистически самый длинный этап в
ликвидации аварийной ситуации - это разборка конструкций и проливка, в то
время, как самый короткий - сбор подразделения и следование к месту пожара.
Желтым цветом выделены этапы, предшествующие непосредственному тушению пожара,
красный цвет - этапы тушения пожара и зеленые-этапы подготовки к следующим
вызовам.
В данной главе было дано основное описание ликвидации аварийных ситуаций
как проектов. В связи с этим, были рассмотрены принципы и предпосылки, по
которым было оценено, можно ли рассматривать ликвидацию аварийных ситуаций с
точки зрения проектного управления; а также были даны цели процесса ликвидации
аварийных ситуаций для того, чтобы дать предварительный ответ на вопрос,
насколько эффективным может быть проектное управление для этой области
деятельности.
Глава 2. Описание предлагаемой модели экономико-математической оценки
длительности занятости пожарных служб при ликвидации аварийных ситуаций
2.1 Основные
принципы проведения исследования
В данной работе для оценки длительности всего проекта ликвидации
аварийной ситуации использовалось математическое моделирование. Основная задача
- с помощью разработанной модели оценить риски того, что нормативное время для
каждого из этапов и общей длительности проекта ликвидации аварийной ситуации,
будет превышено.
В последние годы в области ликвидации аварийных ситуаций различные виды
моделирования используются активно: в основном это связано с работой
автоматизированных систем поддержки принятия решений (АСППР) (Ярош, 2009;
Захаревская, 2015). Как правило, подобное моделирование используют руководители
тушения пожара при выезде на объекты. Однако, основными задачами подобных
систем является не моделирование временных параметров, а оценка дальнейшего
развития событий исходя из физических данных и законов. И уже как следствие -
появляется возможность для оценки длительности. Однако вместе с этим, важный
параметр в системе управления-время. Таким образом, моделирование носит, в основном,
физический характер.
В данной работе предлагается проектная методика по оценке временных
параметров, вне зависимости от физических характеристик пожара. Такая методика
может позволить не детализировать работу АСППР (что усложняет систему, повышает
вероятность ошибок, увеличивает время на поиск решения, но не снимает
ответственности за решение с РТП) (Влацкая, 2011; Трахтенгерц, 2003), но
абстрагировать её.
Для такого моделирования используется вероятностный подход. Особенность
ликвидации аварийных ситуаций и этих этапов заключается в том, что все
рассматриваемые этапы имеют экспоненциальное распределение с различными
показателями интенсивности. В таком случае, для оценки длительности, необходимо
произвести композицию функций плотности распределений вероятностей.
(Шоломицкий, 2005)
Однако, использование композиции функций подразумевает взятие интегралов
произведения функций этапов, вместе с заменой переменных (Вентцель, 1969).
Таким образом, задача может быть нерешаемой в прямом виде для 9 этапов с разными
параметрами. В связи с этим, в работе используется преобразование Лапласа.
Согласно определению, при переводе функции в область комплексных чисел,
существует функция, однозначно соответствующая функции в области действительных
чисел, и наоборот. Но при этом, согласно теореме о композиции, она производится
за счёт простого произведения изображений функции. (Жуковский, 2015)
Таким образом, вывод формулы и ход исследования можно описать следующим
образом:
· Сбор исходных данных относительно проблемы оценки длительности проекта
ликвидации аварийной ситуации;
· Оценка параметров интенсивности распределений длительности
каждого из этапов;
· Свертка и получение единого времени проекта ликвидации
аварийной ситуации как суммы входящих этапов;
· Оценка квантилей и рисков;
· Рекомендации.
2.2
Предпосылки используемой модели
При построении модели используются следующие предпосылки:
· Независимость длительностей этапов;
· Экспоненциальное распределение этапов;
· Строгая последовательность;
· Строго различные значения параметров интенсивности для
каждого из этапов.
Каждая из данных предпосылок существенно влияет на результат итоговой
модели, тем не менее, не является критичной для получения неточных оценок.
Независимость длительностей этапов позволяет оценивать длительность
проекта как Марковский процесс, в котором каждое будущее значение зависит
только от настоящего. Исходя из этой логики, мы можем говорить, что не имеет
значения, сколько длились предыдущие этапы до, например, локализации, важно,
что тап локализации начинается именно в некоторый момент t, в который заканчивается предыдущий
этап. Таким образом, мы отсекаем длительности предыдущих этапов и можем
рассматривать их плотности с точки зрения каждого отдельного этапа. В процессе
исследования данная предпосылка существенно упрощает процесс вычисления.
Экспоненциальное распределение этапов вводится на основе исследований в
литературе (Теребнев, 2003), но смысл именно этого выбранного распределения
заключается в том, что большая часть аварийных ситуаций ликвидируется за
какое-то среднее время (часто, нормативное). И на остаток приходится меньшая
часть наблюдений, когда происходят крупные ситуации, ошибки или прочие
непредвиденные случаи.
Как было отмечено в главе 1, в данной работе этап разведки ограничен
только процессом, который начинается с прибытия подразделений и заканчивается с
началом локализации. Более того, в связи с тем, что он протекает одновременно с
процессом развертывания сил и средств, данный этап выделен как единый.
Состав и последовательность этапов в модели выглядит следующим образом:
математический модель тактический пожарный спасательный
Рисунок 3. Последовательная схема этапов проекта ликвидации аварийной
ситуации
Серьезным ограничением в модели является строгое различие в значениях
параметров. Данное ограничение появилось в модели в результате исследования,
поскольку ввиду сложности формулы, обратное преобразование Лапласа имеет другой
вид, в зависимости от кратности значений параметров; в текущем виде формула не
существует в данной точке. Таким образом, получив итоговую результирующую
формулу в комплексном виде, без наличия конкретной статистики её нельзя
использовать, поскольку неизвестен будет её точный вид. При этом, ввиду
определённых значений статистики, вероятность, что кратность корней будет
встречаться на практике, невысока. Но итоговая формула будет выглядеть не как
сумма экспоненциальных распределений, а включать в себя также слагаемое в виде
распределения Эрланга порядка кратности значения параметра. Решением этой
проблемы стало введение предпосылки о разных значениях параметров. Важно
добавить, что разница в параметрах может отличаться на малую величину, что не
внесет ошибки в расчёты вероятности.
Важно отметить, что введение подобной предпосылки, хотя и необходимо и
кажется критичным из-за не существования функции в таких точках, не является
какой-либо помехой в обработке статистических данных по предмету. Так, функция
не существует, если параметры каких-либо этапов равны друг другу, что, исходя из
определения экспоненциального распределения означает, что средние значения
таких этапов равны друг другу. При применении формулы, полученной в п. 2.3 при
равенстве параметров интенсивности допустимо самостоятельно изменять вводимые
значения на значения менее 0,001, поскольку за счёт симметрии параметров
относительно друг друга, подобная корректировка не влияет на результат.
2.3
Результирующая аналитическая зависимость вероятности ликвидации аварийной
ситуации от времени
Функции плотности распределения вероятностей для этапов задаются
экспоненциально, следующим образом:
,
в
которой g(x) -функция, отвечающая за плотность распределения вероятности
длительности i-го этапа, где x-случайная величина, отвечающая за длительность
i-го этапа;
λi отвечает за параметр интенсивности длительности этапа. Параметр
интенсивности вычисляется согласно закону экспоненциального распределения, как
обратная величина среднему значению выборки.
Так,
например, для средней длительности этапа в 2 минуты, значение λ будет равно 0,5, а функция плотности примет вид 
.
Для
моделирования использовались следующие обозначения:
Таблица 1
Таблица обозначений при проведении моделирования этапов
|
Этапы
|
Параметр интенсивности
|
|
1. Время от начала
возгорания до получения диспетчером сообщения
|
λ1
|
|
2. Сбор подразделения и
подготовка к следованию
|
λ2
|
|
3. Выезд и следование на
пожар
|
λ3
|
|
4. Разведка и развертывание
сил и средств
|
λ4
|
|
5. Локализация
|
λ5
|
|
6. Ликвидация
|
λ6
|
|
7. Разборка конструкций и
проливка
|
λ7
|
|
8. Сбор и возвращение в
часть
|
λ8
|
|
9. Постановка в боевой
расчёт
|
λ9
|
Исходя из того, что этапы последовательны и независимы, согласно правилам
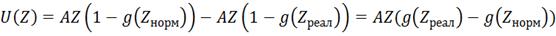
линейной композиции, необходимо найти функцию распределения длительности Z, которая равна:
Однако,
ввиду большого количества этапов и сложности данной задачи, в работе был
использован метод преобразования Лапласа, который позволяет упростить операцию
свёртки, за счёт поиска композиции в области комплексных чисел.
После
взятия изображений функций плотности и их композиции, выводится решение модели
в комплексной области. Данное решение является полноценным, т.е. фактически,
оно показывает функцию плотности длительности проекта ликвидации аварийной
ситуации. Но для использования эта формула нуждается в переводе в
действительную область. Изображение:
,
В
результате преобразования данного изображения с помощью обратного
преобразования Лапласа (взятого через вычеты по полюсам функции).
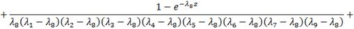
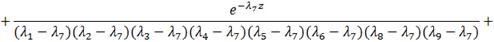
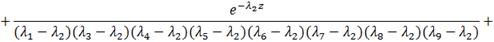
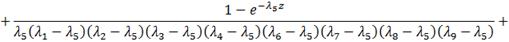
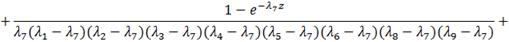
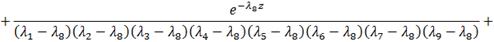
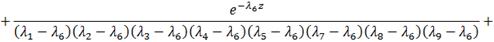
Итоговое
решение модели (функция плотности распределения вероятности) в области
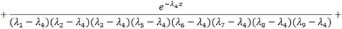
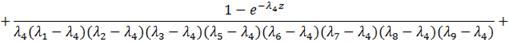
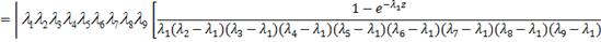
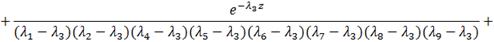
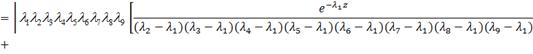
действительных чисел для n количества этапов выглядит следующим образом:
где
g(z) - значение плотности вероятности для каждого
значения общей длительности ликвидации аварийной ситуации Z,
n - количество
используемых для анализа этапов (в данной модели равно 9),
λi - параметры интенсивности
для каждого из этапов, i-порядок этапа,
=
1,…n; j = 1,…m, m = n-1 (i ≠ j)
Выше
приведена свернутая формула, поскольку в полном виде для 9 этапов она массивна,
в связи с чем, приведена в Приложении 1. Там же можно увидеть следующую из неё
функцию распределения вероятности для общей длительности проекта.
Такая
формула позволяет не только использовать результат модели для оценки длительности
всего проекта ликвидации аварийной ситуации, но и скорректировать её под
практические нужды. Так, например, можно оценить, насколько быстро пожарные
бригады могут взять под контроль ситуацию на пожаре от момента сообщения. В
таком случае, необходимо в формуле использовать не 9 этапов, а 5, оценив момент
окончания локализации, когда горение не распространяется на другие объекты и
контролируется бригадой. При подобном построении формула примет следующий вид:
Далее
можно проводить управленческий анализ о качестве работы на этих этапах и
насколько процесс локализации контролируется пожарными командами. Или же,
изменить конфигурацию этапов, сохранив последовательность и другие введенные
предпосылки.
.4 Сравнение
результатов аналитической модели с результатами численного моделирования
После получения результата в виде функции плотности распределения,
необходима проверка на её основные характеристики. Плотность распределения
функции общей длительности, несмотря на то, что входящие в её состав элементы
имеют экспоненциальное распределение, не является экспонентой. Данная функция
лучше описывается функцией Эрланга или гамма-распределением.
Область определения функции совпадает с областью определения
экспоненциального распределения от [0; +∞], что связано с диапазоном
оценок длительностей. Предел функции при стремлении Z к бесконечности равен 0, т.е. функция убывает на
бесконечности, при этом ноль является горизонтальной асимптотой.
Рисунок 4. Модельная формула плотности распределения вероятности
длительности ликвидации аварийной ситуации
Однако, оценить полученный результат без численного моделирования
невозможно, поскольку результат сильно зависит от соотношения параметров друг с
другом. Таким образом, дальше будет представлено произведенное моделирование
для проверки и для более чёткого выявления особенностей функции.
В связи с тем, что полученная аналитическая формула, ввиду своей
сложности и перед практическим применением нуждается в проверке, было принято
решение использовать численное моделирование для оценки адекватности построения
и отсутствия ошибок.
Основной задачей исследования было с помощью аналитической модели
построить формулу, которая аналитически выводила бы зависимость плотности
распределения вероятности общей длительности проекта в зависимости от
параметров интенсивности входящих этапов, но без непосредственной зависимости
от самих длительностей этапов, которые являются случайными. Таким образом,
проверка модели строится на искусственном построении выборки, длительностей
этапов, соответствующих предпосылкам модели и с данными средними длительностями
для дальнейшего сравнения аналитических результатов по этой выборке и с помощью
выведенной аналитической формулы. В случае корректного вывода аналитической
формулы, функциональная форма формулы должна совпасть с распределением в
полученной выборке.
Проверка данной модели производилась с помощью численного моделирования 9
этапов ликвидации аварийной ситуации. Моделирование проводилось в программе MS Excel по следующей схеме:
. Генерировалась выборка длительностей каждого из этапов,
распределённых экспоненциально, объём выборки - по 1000 наблюдений каждого
этапа. При этом, выборка генерировалась с учетом различий параметров. За средние
по этапам значения были взяты следующие данные:
Таблица 2
Средние значения длительности этапов проекта ликвидации аварийной
ситуации (в минутах)
|
Этапы ликвидации аварийной
ситуации
|
Средняя длительность этапа
(минуты)
|
|
1. Время от начала
возгорания до получения диспетчером сообщения
|
11,00
|
|
2. Сбор подразделения и
подготовка к следованию
|
1,98
|
|
3. Выезд и следование на
пожар
|
10,00
|
|
4. Разведка и развертывание
сил и средств
|
4,00
|
|
5. Локализация
|
7,07
|
|
6. Ликвидация
|
9,29
|
|
7. Разборка
конструкций/проливка
|
25,78
|
|
8. Сбор и возвращение в
часть
|
12,00
|
|
9. Постановка в боевой
расчёт
|
5,97
|
2. На основе сгенерированных данных считался показатель Z, как сумма фактически полученных
длительностей.
3. На основе разброса итоговых значений Z, по результатам этой работы (по формуле) считались значения
плотности.
. Данные значения сравнивались со значениями, полученными при
суммировании сгенерированных экспоненциальных распределений с заданными
средними значениями, согласно Табл. 2.
Данные в Табл. 2 соответствуют средним значениям длительностей для
каждого этапа по статистике МЧС за 2003-2014 годы по РФ. Тем не менее, в
численном эксперименте показатели значений не так важны, поскольку важно
сравнение данных построенных на одних и тех же значениях, т.е. важно, чтобы
значения были одинаковы для модельных и сгенерированных значений.
Таким образом, при генерации выборки получилось 2 ряда значений:
. Сгенерированный ряд на основе средних значений по статистике РФ как
сумма экспоненциально распределенных длительностей.
2. Модельный ряд, выдающий вероятность по аналитической формуле
(проверяемой) для разных значений случайной величины
При генерировании выборки, минимальное значение длительности проекта по
ликвидации аварийной ситуации составило 20 минут, максимальное - 275, т.е. 4,5 часов.
Для простоты подсчёта, длительности округлялись до целых минут. При этом,
показатели плотности распределились следующим образом:
Рисунок 5. Плотность распределения вероятности длительности ликвидации
аварийной ситуации
На данной диаграмме видно, что поведение сгенерированных значений точно
описывается полученной функцией в модели на большой выборке. Это означает, что
в случае соответствия фактических статистических данных предпосылкам, её
использование может существенно повысить качество оценки рисков, связанных со
временем.
Также был проведен тест на соответствие данным численного моделирования
результатам, полученным по формуле. Тест χ2 для 0,5% уровня значимости даёт значение критической
статистики 1,00, в то время как табличное значение для данного количества
степеней свободы - 217,46. По результатам теста можно говорить о соответствии
распределения численного моделирования аналитической формуле. Таким образом,
данная аналитическая функция является корректной для оценки общей длительности
проекта, состоящего из показательно распределенных этапов.
Однако, при численном моделировании можно заметить, что полученная
функция по своему виду схожа с гамма-распределением или распределением Эрланга.
При этом, был произведен численный эксперимент на разном количестве этапов,
который показал, что при росте количества этапов, усиливается сходство с
функцией Эрланга.
Кроме того, по результатам моделирования можно говорить о том, что
отклонения фактических значений вероятности общей длительности от модельных
могут иметь большую статистическую погрешность, имеющую, однако, не очень
высокую вероятность. Так, максимальный разброс фактического значения от
модельного равно 0,82 и достигается в точке 66 минут, а минимальный - 0,002 от
общей вероятности и достигается на 274 минуте. Средний разброс равен 0,13 по
шкале вероятности.
Таким образом, выведенная модель позволяет оценивать общую длительность
ликвидации аварийной ситуации исходя из средних значений и параметров
интенсивности для входящих в него этапов с учетом неопределенности. Кроме того,
полученная аналитически модель хорошо описывает данные, характеризующиеся
введенными предпосылками. Отсюда, использование такой модели в области
ликвидации аварийных ситуаций может помочь снизить риски и точнее оценить
длительность проекта.
Глава 4. Применение разработанной экономико-математической модели оценки
длительности к реальному проекту ликвидации аварийной ситуации
4.1
Проведение моделирования на основе данных реального подразделения пожарной
охраны
В рамках данного исследования была собрана статистика, относительно
средних значений времен для конкретного подразделения, занимающегося
ликвидацией аварийных ситуаций. В ходе такого сбора данных была получена
статистика следующего вида:
Таблица 3
Средняя длительность этапов ликвидации аварийной ситуации для реального
подразделения пожарной безопасности
|
Этапы ликвидации аварийной
ситуации
|
Средняя длительность этапа
(минуты)
|
Нормативы (минуты)
|
|
1. Время от начала
возгорания до получения диспетчером сообщения
|
7,0
|
10,0
|
|
2. Сбор подразделения и
подготовка к следованию
|
1,0
|
1,0
|
8,0
|
10,0
|
|
4. Разведка и развертывание
сил и средств
|
3,0
|
3,1
|
|
5. Локализация
|
4,0
|
7,1
|
|
6. Ликвидация
|
5,0
|
9,3
|
|
7. Разборка
|
3,0
|
3
|
|
8. Сбор и возвращение в
часть
|
9,0
|
9
|
|
9. Постановка в боевой
расчёт
|
8,0
|
8
|
На основе представленной статистики было проведено моделирование в
соответствии с имеющейся аналитической формулой. Параметры интенсивности
экспоненциального распределения считались как обратные величины к средним
длительностям этапов.
Кроме того, строилась отдельная модель, которая при данной апробации
играла роль нормативной модели, превышение сроков которой считалось за
нарушение норматива. Подобное введение было сделано для того, чтобы имелась
возможность сравнить нормативные значения не в детерминированном виде, а с
учетом неопределенности.
Однако, принцип формирования нормативов в Табл. 3 требует отдельного
пояснения.
Для целей данного исследования необходима демонстрация того, как функция
может работать и давать аналитическую полезную для управления информацию. Для
этого необходимо введение нормативов, поскольку существующая система управления
опирается именно на выполнение или невыполнение этих нормативов, которые
вырабатываются экспертным профессиональным сообществом.
Однако, как уже упоминалось в данной работе, система управления
ликвидацией аварийных ситуаций имеет сильную физико-техническую направленность,
что отражается на том, что нормативные значения, как правило, заданы не для этапов,
а для разных физико-технических условий (Кимстач, 1984).
Так, согласно нормативам по ликвидации аварийной ситуации, время
выполнения тех или иных действий сильно зависит от удаленности пожарной части,
оснащенности, применяемой техники, сложности и этажности пожара, а также от
многих других составных частей. Более того, для ряда этапов, не существует
общих нормативных значений. Помимо этого, используемые нормативные системы
подразумевают использование балльной оценки в зависимости от длительности выполнения
действия, что существенно усложняет применение данных нормативов к текущей
ситуации.
Так, ввиду разнородности данных по нормативным значениям, дальнейший
анализ работы подразделения носит иллюстративный характер, что, тем не менее,
не влияет на возможности применения модели на практике.
В Табл. 3 значения длительностей этапов 1, 2, 4 взяты из нормативов по
пожарно-строевой и тактико-специальной подготовке для личного состава
федеральной противопожарной службы (9, 2011). При этом, пункты считались по нормативам
оценки «отлично», без введения поправочных коэффициентов. Для сбора
подразделения входили такие обязательные действия, как «Надевание боевой одежды
и снаряжения в составе отделения» (1.1) и «Сбор и выезд по тревоге» (2.1). Для
этапа 3 были даны значения для городской местности из (Теребнев, 2009). Этап 4
складывался из «Прокладка магистральной рукавной линии» (3.2) и «Установка
автоцистерн на водоем» (7.3). Для пп. 5-9 использовались значения за 2015 из
приведенной общероссийской статистики (Табл. 1).
Использование нормативов в качестве значений для построения модели может
быть более целесообразным, чем сравнение каждого из этапов в необходимым и
подходящим нормативом. Модельное представление нормативов помогает оценить,
насколько подразделение может уложиться в общую необходимую длительность для
планирования ресурсов, вне зависимости от выполнения или невыполнения норматива
по какому-то определенному этапу. Таким образом, в случае, если в условиях
особенностей расположения, подразделение статистически всегда не укладывается в
норматив по следованию, работа самой бригады может быть эффективной и
длительность может на практике компенсироваться более продуманной системой
планирования и организации пожарной безопасности на объектах, что, в свою
очередь, будет приводить к своевременному выполнению проекта.
Были получены две функции плотности распределения вероятности и две,
соответствующие им, функции распределения. Сравнение функций плотности
представлено на графике ниже:
Таким образом, можно заметить, что функция плотности распределения
вероятности для фактических данных имеет более высокие значения вероятностей
для более низких значений времени и имеет сдвиг среднего значения относительно
нормативного. Так, статистически, значение максимума для фактических данных
равно 0,024 в точке времени 41, в то время, как максимальное значение для
нормативной модели равно 0,019 в точках 52 и 53.
Рисунок 6. Сравнение функций плотности фактической и нормативной моделей
Полученный результат можно интерпретировать так, что для каждого значения
времени общей длительности ликвидации аварийной ситуации, модельное время для
реального подразделения оказывается меньше, чем модельное нормативное. Таким
образом, можно говорить, что данное подразделение укладывается в нормативные
значения по времени для каждого из этапов, а значит, с точки зрения уменьшения
времени ликвидации аварийной ситуаций и планирования своих ресурсов,
подразделение работает эффективно. Таким образом, для реальных данных
вероятность того, что общее время ликвидации аварийной ситуации будет меньше,
выше, чем для нормативных значений. Аналогично, это можно увидеть из графиков
распределения вероятности. Графики распределения вероятностей можно считать
более показательными, поскольку они способны продемонстрировать, с какой
вероятностью конкретный пожар будет ликвидирован за заданное количество минут.
Рисунок 7. Сравнение функций распределения реальной и нормативной моделей
По оси абсцисс обозначает время, за которое ликвидация аварийной ситуации
может завершиться, по оси ординат-накопленная вероятность. Таким образом, точка
на графике обозначает, что для каждого времени t вероятность того, что аварийная ситуация закончится, равна
соответствующему значению вероятности. Для графика распределения вероятности
можно вывести однозначное соответствие: в случае, если модель, основанная на
реальных данных, лежит выше, чем модель для норматива. В таком случае,
рассматриваемое пожарное подразделение укладывается вовремя и не нуждается в
организационных изменениях. Для кривых плотностей вероятностей нельзя дать
подобного однозначного визуального соответствия и необходимо смотреть по
средним и максимальным значениям вероятности
Таким образом, для данных реального пожарного подразделения, получились
следующие статистические результаты:
· Наиболее вероятное завершение аварийной ситуации по реальным данным
произойдёт на 41 минуте, в то время как по нормативным показателям это значение
составляет 51-52 минуты;
· С учетом того, что общий норматив времени на ликвидацию
аварийной ситуации для пожаров составляет 3 часа, по имеющимся данным,
вероятность завершения аварийной ситуации в течении этого времени равна 0,99
для фактических значений и 0,98 для нормативных. В данном случае важно
заметить, что согласно имеющейся литературе, существующие нормативы времени
могут быть не оптимальны для различных подразделений, поскольку показывают
существенно более высокие сроки;
· Подразделение, показывающее данные результаты успешно
выполняет нормативы.
Кроме того, для оценки ущерба было использовано дополнительное построение
функции ущерба, за счёт которого вероятность несвоевременной ликвидации
аварийной ситуации можно оценить в денежном выражении. (Авдотьян, 2012)
Функция ущерба строилась по характеристикам, описанным в (Наумов И.С.):
· Ущерб должен быть пропорционален времени ликвидации аварийной ситуации;
· В связи с тем, что пожарная нагрузка является конечной
величиной, а также существуют пределы в силах и средствах, во времени-значение
ущерба ограничено;
· Общий ущерб от аварийной ситуации равен сумме ущербов
компонентов АС;
· Функция возрастает со временем.
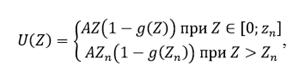
Функция, которая была выбрана для анализа ситуации является следующей:
где Zn - время окончания ликвидации
аварийной ситуации;
A -
параметр, отвечающий за соответствие денежному эквиваленту;
g(Z) - значение функции плотности
вероятности общей длительности проекта.
Данная функция является кусочной - с линейным отрезком для сохранения
пропорциональности роста ущерба с течением времени и с константой, обозначающей
невозможность дальнейшего роста ущерба.
В примере, описанном выше, параметры для моделирования были выбраны
произвольным образом. Однако на практике необходимо более детально изучать
статистику конкретного предприятия и оценивать ущерб с точки зрения опыта
конкретной службы. Таким образом, в данном случае параметр A = 10000; максимально возможный ущерб
при ликвидации аварийной ситуации ограничивается 2000000 денежных единиц.
Отсюда, функция ущерба выглядит следующим образом:
Рисунок 8. Вероятностная функция плотности распределения ущерба
Таким образом, имея длительности этапов ликвидации аварийной ситуации
можно оценивать риски несвоевременной ликвидации аварийной ситуации. Так, для
того, чтобы ущерб от ликвидации аварийной ситуации не превышал 1500000 единиц,
необходимо выстраивать систему управления таким образом, чтобы длительность
ликвидации аварийной ситуации не превышала 150 минут. Аналогично, при росте
длительности можно оценивать, каким образом будут увеличиваться расходы на
ликвидацию аварийной ситуации.
В случае оценки норматива по имеющемуся примеру, ущерб для конкретного
подразделения, в случае достижения задачи по ликвидации аварийной ситуации в
течение 3х часов, не превысит 1799996 единиц.
На графике можно заметить, что распределение ущерба можно назвать линейным,
за исключением небольшого промежутка около 40-50 минут. На данном месте график
показывает отклонение от линейного тренда в меньшую сторону. Это можно
объяснить формой графика плотности вероятности, в котором наибольшее количество
ликвидируемых пожаров закончатся. В связи с этим, статистическая вероятность
того, что пожар не закончится на этом и ущерб будет превышен, вырастет.
Данная функция также позволяет учитывать дополнительный ущерб или
экономию от выполнения или невыполнения норматива. Так, для этого необходимо
оценить разницу в распределении плотностей вероятностей для нормативной и
модели с реальными данными.
Оценим подобную разницу для данного примера. Для этого необходимо
преобразовать формулу ущерба для разницы величин. Формула примет следующий вид:
В связи с тем, что пожарное подразделение везде укладывается в
нормативные значения, соответственно, оно везде будет получать экономию
относительно норматива для каждой выполненной минуты. Рассмотрим пример для
экономии от выполнения норматива на 37 минуте ликвидации аварийной ситуации.
Значения плотности для 37-й минуты для норматива и реальных данных равны,
соответственно, 0,013 и 0,02 соответственно. Подставляя в формулу с известными
параметрами, получим, что экономия от более быстрого реагирования составила
3792,5 денежных единицы.
Если ввести предположение, что ликвидация аварийной ситуации завершилась
на 140 минуте, тогда экономия от быстрого реагирования относительно норматива
по всему проекту составит 128340 денежных единиц, как сумма экономий.
Рассматриваемое подразделение хорошо справляется с управлением временем,
что позволяет снижать риски и экономить на потенциальном ущербе.
В данном разделе была проведена проверка полученной аналитической формулы
с помощью имитационного моделирования, результат проверки был проанализирован,
а также формула была применена для оценки реального подразделения. Кроме того,
для более практико-ориентированного подхода, была предложена формула по оценке
денежного ущерба на основе неопределенной длительности, а также, результаты
опробованы на имеющихся статистических данных.
4.2
Рекомендации
В разделе хотелось бы дать некоторые рекомендации, как по техническим
вопросам по использованию исследования в практической работе, так и по
внедрению и возможностям управленческого использования.
В работе был проведен анализ проекта ликвидации аварийной ситуации с
точки зрения оценки длительности и применены принципы неопределенности. При
этом, важно отметить, что использование подобного математического подхода может
помочь улучшить систему управления ликвидацией аварийных ситуаций за счёт более
чёткого определения границ, из которых может проявляться неопределенность.
Для конкретного подразделения был сделан вывод, что нормативы выполняются
успешно и с вероятностью почти в 100% подразделение уложится в необходимые силы
и средства. Более того, непосредственное подразделение не нуждается в улучшении
управления, поскольку имеет возможность экономить средства за счёт более
быстрого реагирования, чем нормативные значения.
Основной сложностью, и, одновременно, важной составляющей корректного
применения выведенной формулы является использование корректных и подходящих
нормативов. Существующая система нормативов, как уже было отмечено, является
крайне разнообразной и описывающей различные ситуации и состояния техники.
Более того, существующая система нормативов нацелена на универсальность их
применения за счёт поправочных коэффициентов на условия погоды, территории и
пожара. Однако при этом, использование некорректных или неполных нормативов
может существенно повлиять на оценку деятельности пожарного подразделения. В
частности, при использовании нормативов по времени прибытия для города в
сельской местности, подразделение, скорее всего, будет показывать плохие
результаты.
На практике в пожарных подразделениях ведется статистика, связанная с
тем, какими характеристиками обладала ликвидируемая аварийная ситуация. При
этом, автоматические системы поддержки принятия решений на пожаре, основываясь
на подобной статистике, имеют возможность составлять сценарии возможных
развитий ситуации (Мешалкин, 2002). Таким образом, использование подобной
статистики для формирования нормативов времени в зависимости от сценария
развития пожара также может помочь повысить точность оценки работы
подразделения по ликвидации аварийной ситуации.
Еще одним важным условием для работы с помощью оценки длительности
является проверка этапов на экспоненциальность распределения для конкретного
подразделения. Несмотря на то, что теоретические исследования говорят о
соответствии этапов экспоненциальным распределениям, какие-либо неучтенные
специфические факторы могут не просто влиять на среднюю длительность этапа, но
и менять форму распределения длительности. В связи с этим, использование
формулы в неизменном виде приведет к ошибкам планирования и управления.
При применении формулы к анализу ситуации могут потенциально возникнуть
два случая: когда нормативные значения общей длительности проекта выше, чем
реальные; или ниже. В зависимости от этого, можно предложить различные меры
реагирования для данной ситуации.
В случае, если нормативные значения ниже, чем реальные, это означает, что
подразделению необходимо для ликвидации аварийной ситуации больше времени, чем
это установлено нормативными значениями, а значит, в работе команды есть
проблемы. В связи с этим, необходимо понимать, откуда может происходить
увеличение длительности.
В таком случае, целесообразно проведение идентификации и анализа рисков и
факторов неопределенности. Как уже было отмечено, каждый этап характеризуется
совершенно различными факторами неопределенности, которые могут сильно
варьироваться для конкретных частей. Таким образом, создание реестра рисков, а
также оценки их влияния может помочь в идентификации причины отклонения от
нормативных сроков. В связи с тем, что в ликвидации аварийных ситуаций
используется сценарный подход к развитию ситуации на пожаре, имеет смысл
использовать сценарный анализ для оценки рисков на пожаре. В частности,
составление сценариев для рисков вместе с разработкой и использованием
сценариев для нормативов позволит унифицировать подход к определению экономии и
ущерба от ликвидации аварийной ситуации.
Кроме того, сценарный анализ удобен для использования с автоматическими
системами поддержки принятия решений, поскольку, как правило, они реализуют
сценарные решения дальнейшего развития ситуации на пожаре.
Далее, на основе реестра и оценки рисков, целесообразно разработать меры
по реагированию на риски и выполнять их, как на предпроектной стадии, так и в
процессе реализации. Так, одним из возможных способов к стимуляции более
эффективной работе, может быть выработка системы штрафов и премий в зависимости
от показателя экономии или дополнительного ущерба. Однако, при введении этой
меры необходимо внимательно отнестись к соответствию и целесообразности
использования оценочных нормативов, для того, чтобы не вызвать недовольство
коллектива.
Кроме того, среди мер реагирования необходимо учитывать, как факторы
неопределенности внутри этапов, так и связи между этапами. Например, в случае,
если пожарное подразделение в силу местоположения, густоты населенности района
или прочих, не зависящих от подразделения условий, не может укладываться в
рамки нормативов, необходимо оценивать работу подразделения исходя из
возможности компенсировать эту длительность за счёт других этапов. Так, например,
на данном примере можно проводить разъяснительную работу с объектами,
находящимися вне зоны нормативной доступности по поводу установки
автоматизированных датчиков слежения за возгораниями, для того, чтобы
минимально сократить время на получение информации о пожаре (7, 2005).
В случае, если подразделения пожарной охраны статистически не
укладываются в нормативные значения, необходимо оценить, насколько полно и
корректно укомплектованы или расположены подразделения. Так, возможно, качество
ликвидации аварийной ситуации можно улучшить за счёт перераспределения сил и
средств, необходимых успешного выполнения проекта. Аналогичная мера может
использоваться и в случае превышения нормативных значений над реальными в
качестве оценки эффективности подразделений.
Случай, когда нормативные значения модели превышают реальные значения,
характеризует хорошую работу пожарных подразделений. В связи с этим, корректно
строить систему премирования подразделений в зависимости от предотвращенного
потенциального ущерба. Однако, здесь опять же встает вопрос о корректности и
точности используемых нормативов для оценки.
Однако, может возникнуть ситуация, в которой нормативные значения
существенно превышают общее реальное время ликвидации аварийной ситуации. В
таком случае, возможна ситуация, что нормативы не являются эффективными для
конкретного подразделения. В таком случае, эффективным может считаться
установка собственных нормативов для получения большей экономии для
подразделения.
Кроме того, можно выделить ряд общих рекомендаций, относительно внедрения
подобной формулы и возможностей модификации её под нужды ликвидации аварийных
ситуаций.
Помимо оценки общей длительности ликвидации аварийной ситуации,
результаты данного исследования позволяют проводить оценку необходимого количества
этапов и оценивать своевременность их исполнения. Так, как уже было отмечено,
при использовании формулы для этапов 1-4, можно оценивать, насколько быстро и с
соответствием требованиям, пожарное подразделение реагирует на пожар. В случае
анализа этапов 4-7, формула позволяет делать выводы относительно работы
пожарных подразделений на пожаре. В случае анализа 1-5, можно оценивать, как
быстро пожарное подразделение может взять под контроль пожар с момента
возгорания. Также можно не включать момент 1, что позволит оценивать только
эффективность пожарной бригады, без включения случайного процесса. Также можно
рассматривать на соответствие нормативам отдельные этапы.
С использованием результатов данной работы можно проводить планирование
сил и средств, исходя из понесенного ущерба и износа конкретного подразделения
(при соответствующей корректировке форм ущерба и износа), оценивать
необходимость новой техники, ресурсов и технических средств.
В зависимости от выявленных рисков не успеть взять под контроль ситуацию
на конкретных подразделениях, целесообразно проводить предпроектную работу в
рамках проверок на пожарную безопасность. В частности, информировать объекты о
сложностях и повышенных рисках на предприятии при реализации пожара и
прорабатывать возможные меры по предотвращению чрезмерного ущерба.
С помощью формулы, описанной в данной работе, можно оценивать
эффективность работы пожарных подразделений, а также проводить анализ по
возможной выработке эффективных действий для конкретной специфики части.
Таким образом, использование результатов данной работы может помочь
точнее выявлять превышения длительности, а также неучтенные факторы
неопределенности и возможные риски. В связи с этим, пожарным подразделениям
имеет смысл использовать результаты таких анализов для разработки мер
реагирования, а также системы премирования.
Заключение
Ликвидация аварийных ситуаций с точки зрения управления, требует
дальнейшего совершенствования в области управления расписанием и сокращения
длительности реагирования. Для такой задачи использование проектного управления
позволяет подойти к ликвидации аварийной ситуации как к проекту со временными
ограничениями и оценить их длительность, риски, а также помочь в планировании.
Использование математического аппарата позволяет подойти к оценке
параметров ликвидации аварийной ситуации не как это происходило раньше-через
оценку физических параметров горения, а через статистические параметры
распределений. Такая модель позволяет точнее оценить риски и длительность для
подразделений при использовании меньшего количества входящей информации, а,
соответственно, ресурсов, сил и времени.
Был проведен анализ литературы, на основе чего представлена аргументация
в пользу использования проектного управления в данной специфической области.
Кроме того, анализ литературы позволил выделить необходимые предпосылки и
структуру модели.
В результате проведенного исследования была выведена аналитическая
формула для длительности всего проекта для суммы экспоненциальных распределений
с различными параметрами интенсивности. Помимо вида в комплексной и
действительных областях, была получена обобщающая формула для n - количества этапов, что может быть
полезна при подстройке модели и делает её достаточно гибкой. Формула была
апробирована на фактических значениях средних длительностей для реального
подразделения.
Далее был проведен анализ формулы на математическое поведение и проведен
численный эксперимент на сгенерированной выборке, показавший, что формула
хорошо описывает сгенерированные данные, что говорит о возможности дальнейшего
использования формулы на практике при выполнении предпосылок модели.
Формула, выведенная в результате проведенного исследования, позволила
оценить качество работы пожарного подразделения с точки зрения своевременности
выполнения задач на пожаре, а также оценить, насколько экономичными были
действия подразделения. За счёт использования функции ущерба, можно посмотреть,
насколько подразделения быстро справляются с работой и экономически оценить их
действия в терминах ущерба и экономии.
Далее в работе были даны рекомендации по использованию результатов работы
и возможным направлениям совершенствования системы управления ликвидации
аварийных ситуаций. В частности, были даны рекомендации по использованию
проектного управления рисками-идентификации рисков и факторов неопределенности,
их реагирования и мер по реагированию для конкретной системы.
Таким образом, использование проектного подхода в данной области
позволяет проанализировать и составить такие меры реагирования, которые
позволили бы уменьшить общую длительность проекта ликвидации аварийной
ситуации, что является важной задачей в текущей системе управления. А кроме
того, оценка ущерба и выявление влияющих факторов неопределенности при работе
конкретных подразделений могут помочь в более четком планировании сил и
средств, для того, чтобы избежать излишнего простоя и износа оборудования, или
наоборот - обеспечить более точное соответствие располагаемым силам и
средствам.
Литература
1. PMBOK
Guide. 5thed. Newton Square, Pennsylvania, USA: Project Management
Institute, 2012
2. ГОСТ
12.1.033-81 ССБТ. «Пожарная безопасность. Термины и определения»
. Методические
рекомендации по составлению планов и карточек тушения пожаров: Утв. Зам.
Министра РФ по делам гражданской обороны, чрезвычайным ситуациям и ликвидации
последствий стихийных бедствий, Е.А. Серебренниковым от 19.07.2005. // Письмо
№43-1965-18 МЧС России-2005.
. О
пожарной безопасности: Федеральный закон от 21.12.1994 №69-ФЗ (ред. от
30.12.2015)
. Об утверждении
Порядка тушения пожаров подразделениями пожарной охраны [Электронный ресурс]:
приказ МЧС РФ от 31 марта 2011 г. №156 // Гарант: информ.-правовое обеспечение.
-Электрон. дан. -М., 2008
. Об
утверждении и введении в действие правил по охране труда в подразделениях
государственной противопожарной службы МЧС России. [Электронный ресурс]: приказ
МЧС РФ от 31 декабря 2002 г. №630// КонсультантПлюс: информ.-правовое
обеспечение
. По
внедрению и организации функционирования программно-аппаратного комплекса
автоматизированной геоинформационной системы поддержки принятия решений и
оперативного управления подразделениями гарнизона пожарной охраны при
предупреждении и ликвидации чрезвычайных ситуаций, тушения пожаров на
территории субъекта РФ // Методические рекомендации //: Утв. Зам. Министра РФ
по делам гражданской обороны, чрезвычайным ситуациям и ликвидации последствий
стихийных бедствий А.П. Чуприян.-2005
. Технический
регламент о требованиях пожарной безопасности [Электронный ресурс]: федер.
закон от 22 июля 2008 года №123-ФЗ (в ред.13 июля 2015) // КонсорциумКодекс:
электронный фонд правовой и нормативно-технической документации
. Нормативы
по пожарно-строевой и тактико-специальной подготовке для личного состава
федеральной противопожарной службы // Утверждены главным военным экспертом МЧС
РФ, 2011
10. Stephen
Ward, Chris Chapman, “Transforming project risk management into project
uncertainty management”// International journal of Project Management. vol. 21,
issue 2, Feb. 2003, pp. 97-105
11. Авдотьян
В.П. Дзыбов М.М., Самсонов К.П. Оценка ущерба от чрезвычайных ситуаций
природного и техногенного характера. Монография; МЧС России-М.: ФГБУ ВНИИ ГОЧС
(ФЦ), 2012, 468 с.
. Вентцель
Е.С. Теория вероятностей. 4-е изд. - М.: Наука, Физматгиз, 1969 - 576 с.
. Власов
А.Б. Обоснование оптимального варианта принятия решений при управлении силами и
средствами, действующих в условиях неопределённости./Власов А.Б., Перунов А.Г.,
Мещеряков В.И., Салов С.В. // Современные проблемы науки и
образования.-2015.-№2
. Влацкая
И.В., Нестеренко М.Ю., Полежаев П.Н. Разработка системы поддержки принятия
решений в условиях неопределённости на основе игрового моделирования. Вестник
ОГУ.-2011 (05).-№5 (124)-с. 138
. Дафт
Ричард Л. Менеджмент. СПб: Питер, 2007. - 864 с.
. Захаревская
С.Н. Алгоритм составления плана тушения пожара в системе поддержки принятия
управленческих решений на пожаре. // Технологии техносферной безопасности.
М.-2015.-№3 (61).-с. 241-245
. Кимстач
И.Ф. Пожарная тактика: учебное пособие/ И.Ф. Кимстач.-М.: 1984 г.
. Мешалкин
Е.А., Крылов А.Г., Олейников В.Т., Абрамов А.П. К вопросу автоматизации
информационной поддержки действий должностных лиц на пожаре // Материалы 11
международной конференции "Системы безопасности" - СБ-2002. - М.:
Академия ГПС МЧС России, 2002. - с. 11-13.
. Наумов
А.В., Самохвалов Ю.П., Семенов А.О. Сборник задач по основам тактики тушения
пожаров. / Учебное пособие: под ред. Верзилина М.М.-Иваново.-2008
. Наумов
И.С. Оценка возможного ущерба от чрезвычайной ситуации при отсутствии
обеспечения ресурсами процесса её ликвидации.
. Основы
теории вероятностей: учебное пособие / сост. М.Е. Жуковский, И.В. Родионов. -
М.: МФТИ, 2015. - 82 с.
. Повзик,
Я.С. Пожарная тактика: учебное пособие / Я.С. Повзик. -М.: Спецтехника, 2004.
-416 c.
. Пожарная
безопасность. Энциклопедия. - М.: ФГУ ВНИИПО МЧС России, 2007.-416 с.
. Псарев
Д.В. Методы и алгоритмы поддержки управленческих решений при планировании
ресурсного обеспечения территориальных подразделений пожарной охраны. Дисс. …
кан. тех. наук.:05.13.10 // Псарев Д.В.; МЧС России.-М. 2014
. Теребнев,
В.В. Управление силами и средствами на пожаре / В.В. Теребнев, А.В. Теребнев -
М.: Академия ГПС МЧС России, 2003. -261 с.
. Теребнев,
В.В. Тактическая подготовка должностных лиц органов управления силами и
редствами на пожаре / В.В. Теребнев, А.В. Теребнев, А.В. Подгрушный, В.А.
Грачев В.А. - М.: Академия ГПС МЧС России, 2004.-285 с. 133.
. Теребнев
В.В. Пожарная тактика. Основы тушения пожаров/Теребнев В.В., Подгрушный А.В. /
Учебное пособие, под ред. Верзилина.-М.: 2009
. Тетерин
И.М., Климовцов В.М., Прус Ю.В. Методология разработки экспертных систем для
оперативного управления пожарными подразделениями// Архив публикаций
конференций "Системы безопасности" -М.: Академия ГПС МЧС России,
2008.
. Тетерин
И.М., Топольский Н.Г., Климовцов В.М., Прус Ю.В. Применение систем поддержки
принятия решений руководителями оперативных подразделений при тушении пожаров в
крупных городах. // Архив публикаций конференций "Системы
безопасности" - М.: Академия ГПС МЧС России, 2008.-С.1-33.
. Трахтенгерц,
Э.А. Компьютерные системы поддержки принятия управленческих решений / Э.А.
Трахтенгерц // Проблемы управления -М.: ИПУ им. В.А. Трапезникова РАН,
2003.-No1.-С.13-29
. Хлистун
Ю.В., В.Ю. Егоров, Ю.Б. Захарова, Галочкин В.И. Комментарий к Федеральному
закону от 21 декабря 1994 г. №69-ФЗ «О пожарной безопасности».-
КонсультантПлюс.-2015.-211 с.
. Шагин
В.Л. Теория игр (с экономическими приложениями). М.: ГУ-ВШЭ, 2003.
. Ярош
В.Л. Методика принятия решений в автоматизированных интегрированных системах
комплексной безопасности промышленных объектов. // Материалы восемнадцатой
научно-технической конференции "Системы безопасности" - СБ-2009. -М.:
Академия ГПС МЧС России, 2009. - С. 56-57.
. Теребнев
В.В., Артемьев Н.С., Подгрушный А.В. «Пожаротушение в жилых и общественных
зданиях.-М., 2008.
. Шоломицкий
А.Г. Теория риска. Выбор при неопределенности и моделирование риска/ учеб.
Пособие для вузов / А.Г. Шоломицкий; Гос. Ун-т. - Высшая школа экономики. - М.:
Изд. Дом ГУ ВШЭ, 2005. -400с.
Приложение
Решение модели в области действительных чисел
Функция плотности распределения вероятности общей длительности проекта
ликвидации аварийных ситуаций:

Функция распределения вероятности общей длительности проекта ликвидации
аварийных ситуаций: