Возможности получения эффективных равновесий за счет использования монетарной и фискальной политик

  • Вид работы:
    Дипломная (ВКР)
  • Предмет:
    Менеджмент
  • Язык:
    Русский
    ,
    Формат файла:
    MS Word
    846,95 Кб
  • Опубликовано:
    2017-11-18
Вы можете узнать стоимость помощи в написании студенческой работы.
Помощь в написании работы, которую точно примут!

Возможности получения эффективных равновесий за счет использования монетарной и фискальной политик

Оглавление

Введение

1. Обзор литературы

2. Формулировка модели

2.1 Предпосылки к модели

2.2 Структура модели

2.2.1 Собственник-потребитель

2.2.1.1 Постановка задачи

.2.1.2 Решение задачи оптимизации

2.2.2 Фирма-производитель

2.2.2.1 Постановка задачи

.2.2.2 Решение задачи оптимизации

2.2.3 Банк

2.2.3.1 Постановка задачи

.2.3.2 Решение задачи оптимизации

2.2.4 Центральный Банк

.2.5 Государство

2.3 Описание равновесия

2.3.1 Условия равновесия в модели

.3.2 Определения регулярного равновесия

.3.3 Условия дополняющей нежесткости (преобразованные)

3. Исследование переключений режимов в рамках фискальной и монетарной политики. Эффективность равновесия

3.1 Собственник и фирма делают депозиты, ЦБ держит деньги

.2 Собственник и фирма берут кредиты, ЦБ кредитует

.3 Собственник вкладывает депозиты, фирма берет кредиты, ЦБ кредитует

.4 Собственник берет кредиты, фирма вкладывает депозиты, ЦБ кредитует

.5 Собственник и фирма делают депозиты, ЦБ кредитует

.6 Собственник и фирма берут кредиты, ЦБ держит деньги

.7 Собственник вкладывает депозиты, фирма берет кредиты, ЦБ держит деньги

.8 Собственник берет кредиты, фирма вкладывает депозиты, ЦБ держит деньги

Заключение

Список использованной литературы

Введение

В данной работе описана модель межвременного равновесия с участием трёх агентов в составе собственника-потребителя, фирмы-производителя, банка. Помимо них в модели играют роль независимые институты - ЦБ и государство. Рассматриваются возможные различные наборы оперирования агентов, которые определяют динамическое равновесие в модели. Аналитически показано, каким образом воздействие фискальной политики может привести к эффективному равновесию.

Моделирование экономико-математических систем является на данный момент одним из популярных и широко используемых инструментов для прогнозирования экономических процессов. В макроэкономических системах же общепринято использовать модели общего равновесия (существуют также другие разновидности моделей, например динамические модели стохастического равновесия, которые имеют свои определенные преимущества). Множество дискуссии и обсуждений было проведено, какая же модель является наиболее соответствующей действительности, однако к какой-то определенности в данном вопросе экономисты так и не пришли.

Сложность современных экономических моделей состоит в том, что существуют агенты двух разных типов: стандартные потребители, производители и банки - агент из множества мелких, другими словами - макроагенты, которые более менее описываются стандартной задачей оптимизации; и крупные агенты, имеющие единую структуру, например Центральный Банк или Государство. Последних описывать в терминах оптимизации не совсем целесообразно, как правило это является прерогативой некоторого начальства. Более того, когда в одной модели появляется несколько таких крупных агентов, происходит столкновение двух внешних политик, которые могут как компенсировать, так и противоречить друг другу [5]. Данная работа как раз посвящена исследованию возможности согласования фискальной и монетарной политик.

Фискальная политика - политика, проводимая правительством с целью уменьшения колебаний бизнес-циклов, а также обеспечения стабильности в экономической среде страны в краткосрочном периоде. Монетарная политика - политика, контролируемая государством, но осуществляемая Центральным Банком, которая позволяет воздействовать на занятость населения и рост производства через изменение количества денег в стране.

Цель данной работы заключается в том, чтобы на примере относительно простой модели исследовать возможности получения эффективных равновесий за счет использования монетарной и фискальной политик. Задача данной работы:

·        сформулировать задачи агентов и условия равновесия;

·        сформулировать класс решений задач агентов и найти решение;

·        сформулировать определение равновесия в модели и найти равновесие;

·        проверить полученное равновесие на вопрос эффективности;

·        исследовать вопрос о совместимости политик.

Во второй главе описаны основные подходы к совместному моделированию фискальной и монетарной политик. В третьей главе представлено описание задачи каждого макроагента, решение задачи, а также определение равновесия в модели. В четвертой главе исследуется вопрос об эффективности равновесия. В заключении приводятся основные результаты работы.

 


1. Обзор литературы


Широко известно, что государство выполняет важную роль в сфере социально-экономического развития. Именно это и создает необходимость в централизации финансов в стране. Используются разные формы, включая кредиты, фонды страхования, бюджетные и внебюджетные фонды и т.д. Существует несколько механизмов взаимодействия государства на состояние экономики. Одним из таких является бюджетно-налоговая политика.

Совокупность мер государственного воздействия в области налогообложения и контроля структуры государственных расходов (фискальная политика), а также в области регулирования бюджетной политики.

Фискальная политика - политика регулирования совокупного спроса: вышеперечисленные факторы воздействуют напрямую на величину совокупных расходов. Бывают конечно же и исключения, когда фискальная политика может влиять на совокупное предложение через уровень деловой активности [2].

Обычно выделяют два вида фискальной политики: стимулирующая и сдерживающая. Стимулирующая политика в основном используется при ситуации рецессии в экономике - в этом случае обычно путем увеличения государственных закупок или же снижения налогов государство старается снизить уровень безработицы, тем самым увеличивая совокупный спрос. Сдерживающая же политика, наоборот, используется, когда в экономике наблюдается перегрев. Т.о. путем сокращения государственных закупок или увеличения налогов государство старается сократить инфляционный разрыв выпуска - воздействуя тем самым на совокупный спрос.

Однако используя такой фактор, как налоги, необходимо учитывать также тот факт, что сокращение налогов ведет как к изменению в совокупном спросе, так и в совокупном предложении. В кейнсианской модели одновременно с увеличением совокупного выпуска (в связи со снижением налогов) происходит и рост уровня цен, что, в свою очередь, обусловливает инфляцию [3].

В связи с этим в экономической теории была построена гипотетическая кривая, показывающая воздействие налогов на совокупное предложение - кривая Лаффера [2]. С ее помощью была показано, что существует оптимальная ставка налога, при которой доходы с налоговых поступлений будут находиться на максимальном уровне. Соответственно при увеличении ставки налога, данные доходы уменьшатся, снизится уровень деловой активности. В связи с этим А. Лаффер предложил меру снижения ставки налога. Такая мера носит антиинфляционный характер.

В качестве достоинств фискальной политики выделяют следующие пункты. Во-первых, наличие мультипликативного эффекта позволяет в полной мере воздействовать на величину совокупного выпуска. Во-вторых, отмечают также наличие т.н. автоматических стабилизаторов: это позволяет государству не использовать специальные меры для стабилизации ситуации в стране. Также отмечают отсутствие внешнего лага - периода времени, который проходит между моментом принятия каких-либо мер по стабилизации в стране и моментом получения результатов в рамках данных мер.

Что касается недостатков, то выделяют обычно неопределенность после проведения фискальной политики. Забегая вперед, необходимо отметить, что данный недостаток характерен также и для монетарной политики. Неопределенность затрагивает в основном проблемы определения экономической ситуации в стране и проблемы определения необходимой величины воздействия инструментов для избежания кризиса [3].

Помимо бюджетно-налоговой политики существует денежно-кредитная политика. Денежно-кредитная политика (или монетарная) - политика, которая воздействует на объем денег в обращении для наличия стабильности цен в экономике, ситуации полной занятости и роста реального производства [2]. Несмотря на то, что монетарная политика определяется Государством, проводится и контролируется она Центральным Банком.

Монетарная политика воздействует напрямую на совокупный спрос, используя за объект регулирования денежный рынок, в частности денежную массу.

Инструментами монетарной политики называют в основном изменение нормы обязательных резервов; изменение ставки рефинансирования (или учетной ставки процента) и операции на открытом рынке.

Различают, опять же, два вида монетарной политики: стимулирующая и сдерживающая. Стимулирующая монетарная политика широко применяется в моменты спада в стране, для стимулирования роста деловой активности, тем самым проводится борьба с безработицей. Помимо вышеперечисленных инструментов Центральный Банк может также скупать государственные ценные бумаги в рамках стимулирующей монетарной политики. Сдерживающая монетарная политика же используется в моменты бума экономики и нацелена на понижение деловой активности. Соответственно Центральный Банк сдерживает экономику путем продажи государственных ценных бумаг или повышения нормы резервных требований.

В связи с этим можно выделить некоторые достоинства монетарной политики. Во-первых, отсутствие внутреннего лага - периода времени, который должен пройти между моментом осознания низкой экономической стабильности в стране и моментом начала принятия мер по улучшению. В отличие от инструментов фискальной политики, операции по государственным ценным бумагам совершаются быстро - высокая ликвидность и надежность позволяет продавать или покупать у населения.

Во-вторых стоит отметить отсутствие эффекта вытеснения. Снижение ставки процента ведет к увеличению инвестиций в экономику, а не к их вытеснению, как в стимулирующей фискальной политике.

Однако выделяют также и некоторые недостатки монетарной политики. Основным считают наличие инфляции как результат проведения политики. В связи с ростом предложения денег стимулирующая монетарная экономика ведет к инфляции как в долгосрочном, так и в краткосрочном периодах. Кейнсианцы поэтому скептически относятся к данной политике, утверждая, что монетарная политика может быть проведена только при инфляционном разрыве в экономике, т.е. в моменты перегрева.

В макроэкономической теории известна также модель IS-LM, которая тесно связана с фискальной и монетарной политикой. Данная модель представляет собой основу теории совокупного спроса, которая описывает экономику в краткосрочном периоде через равновесие на товарном и денежном рынках [1].

Кривая IS, или другими словами кривая инвестиций-сбережений рассматривает равновесие на товарном рынке, рассматривает зависимость между ставкой процента и уровнем дохода. Принято ее выводить из стандартной модели кейнсианского креста, однако с одним отличием - теперь часть совокупных расходов зависят также и от ставки процента.

Ставка процента в данной модели является эндогенной величиной, а не экзогенной. Ее принято определять внутри самой модели, т.е. рассмотрением ситуации на денежном рынке. На всей кривой IS должно выполняться равенство сбережений и инвестиций.

Кривая LM определяет равновесие на денежном рынке - кривая ликвидность-деньги [1]. Данное равновесие имеет место т.т.т.,к. спрос на деньги равен предложению денег. Каждая точка на кривой LM обеспечивает монетарное равновесие, которое представляет собой набор величины дохода и ставки процента.

При пересечении двух кривых IS и LM образуются единственные значения величины ставки процента и уровня дохода, которые позволяют достичь равновесие на двух рынках. В связи с этим, модель IS-LM позволяет показать зависимость товарного и денежного рынков. Помимо этого рассматриваются воздействие изменения равновесия на рынках и анализируются варианты стабилизационной политики. При этом в этой модели сохраняются все предпосылки обыкновенной кейнсианской модели (фиксированный уровень цен, эластичное совокупное предложение и т.д.).

Что касается непосредственно фискальной и монетарной политики, то с помощью модели IS-LM оценивается влияние данных политик на экономику. Чисто графически это можно понять, изучив степень наклонности кривых IS и LM; аналитически же можно рассчитать коэффициенты чувствительности (которые имеют характер наклона кривых). Например, с помощью модели IS-LM можно определить, насколько эффективна стимулирующая фискальная политика при определенном сочетании переменных [2]. Аналогична ситуация с монетарной политикой. В подробности модели автор не видит необходимости входить, во всех стандартных курсах макроэкономики это изучается.

Целесообразно рассмотреть основные прикладные подходы в решении проблемы совмещения двух политик. Вплоть до 80-х годов прошлого века макроэкономическая политика, проводимая правительством и Центральным Банком, рассматривалась в основном по отдельности. Было принято, что государство в состоянии воздействовать на экономический склад в стране путем регулирования государственных расходов и налогов, а также использовать долг для стабилизации циклических колебаний. Монетарная политика же позволяет управлять денежной базой, ставкой процента и, соответственно, контролировать уровень инфляции.

Важно осознавать, что правительство, как и Центральный Банк имеет свою функцию ограничения, как и любой агент [5]. В связи с этим без компромиссных решений данные агенты обойтись не смогут. Экономический уклад в стране может быть определен как правительством, так и Центральным Банком, поэтому экономическое равновесие в любом случае изменится - первичное воздействие одного из агентов напрямую воздействует на выбор другого.

В последнее время стало актуально рассматривать модель взаимодействия фискальной и монетарной политики с точки зрения теория игр - т.н. стратегическое взаимодействие, где у каждого агента имеется определенный набор стратегий, в зависимости от которого другой подстраивается.

Интересно рассмотреть устройство российской экономики в начале 21-го века. Имелась некоторая модель развития, которая была ориентирована на рост совокупного спроса, как правило, за счет роста экспорта. Для достижения данной цели, необходимо было, чтобы был высокий курс доллара, или иными словами необходим был слабый рубль. Однако наблюдалась некая двоякость - в связи с притоком экспортной выручки, курс доллара имел негативное воздействие (выручка приходила в иностранной валюте). Центральный банк в данной ситуации вынужден покупать иностранные активы, увеличивать золотовалютные резервы, поддерживая тем самым высокий курс иностранной валюты. Но при этом неизбежное последствие в данной ситуации - рост денежной массы [4].

Во многом, вследствие данной политики, российская экономика в 2008 году оказалась не готова к финансовому кризису - слабое воздействие со стороны государства, недостаточное сильное влияние фискальной политики не позволило стране преодолеть инфляционный разрыв, образовавшийся из-за большой денежной массы.

Похожая ситуация наблюдалась в другой европейской стране - в Венгрии слишком большое внимание уделялось иностранной валюте - евро, в связи с чем в стране образовалась ситуация ловушки ликвидности, когда уже не существовало других способов стимулирования экономики [6], [7].

Что касается других стран мира, то в основном страны 2-го эшелона осознают важность взаимодействия фискальной и монетарной политик. Так, в Чешской республике грамотные действия со стороны правительства и Центрального Банка не позволило стране упасть до дефолтного состояния (как например Греция) в 2008-м году [12]. В статье Владимира Томшика исследуется данный эффект взаимодействия фискальной и монетарной политики, используя теоретико-игровой подход, макроэкономические модели, а также эконометрические модели (используя показатель VaR), на примере ситуации в республике Чехия [9], [15].

Некоторые авторы рассматривают также ситуацию в Израиле, где произошло 2 экономических кризиса за последние 10 лет, однако последствия от них кардинально отличаются: если в первый кризисный период впоследствии недостаточно эффективной фискальной политики экономика страны ухудшилась, то при последующем кризисе, благодаря взвешенной фискальной и монетарной политике уровень благосостояния вышел на докризисный за относительно быстрый промежуток времени [10], [14].

Изучив разные примеры воздействия фискальной и монетарной политик, можно сделать вывод, что одно без другого существовать не может в рамках эффективного равновесия в стране [8], [13]. Для этого государству необходимо сохранять независимость Центрального Банка в стране, однако в то же время оно должно поддерживать контакт с ЦБ для того, чтобы вместе выходить из кризисной ситуации в стране - оба агента имеют общие задачи, которые по отдельности они не смогут решить [11].

2. Формулировка модели


2.1 Предпосылки к модели


Наша модель, как было упомянуто выше, будет рассматриваться в непрерывном времени. Во многих моделях до этого было выяснено, что непрерывные модели проще строить и исследовать аналитически, однако соотнесение с реальной статистикой представляет некоторую сложность. Поэтому численное исследование представляется не совсем возможным в данной работе.

Экономика в данной модели является замкнутой, рыночной. Иными словами мы ислкючаем возможные потоки извне, из-за границы - невозможны инвестиции зарубежных предпринимателей, денежные потоки. В данной экономике выпускается единичный однородный продукт, который может быть использован для потребления и для инвестиций:

спрос фискальный монетарный макроэкономика

 

где  - совокупный выпуск,  - совокупное потребление,  - валовое накопление. Отметим, что данное равенство является отсылкой к стандартному уравнению выпуска в макроэкономикой с одной разницей - в нашей модели государство не тратится ни на что, нет государственных закупок.

Единственным фактором производства служат накопленные инвестиции. Необходимо отметить, что производственная функция линейно зависит от данного фактора. В таком случае накопленные инвестиции будут эквиваленты капиталу как средству производства:

 

где  - объем накопленных инвестиций;  - коэффициент приростной фондоемкости, который является также обратной величиной постоянной предельной производительности капитала.

В конце концов считается, что не происходит выбытия производственных фондов - однако капитальные затраты обратимы. Иными словами, существует возможность дезинвестиций - превращение продукта обратно в первоначальное состояние - в сырье:

 

Основываясь на трех формулах, описанных выше, получаем систему:

 

 - основной макроэкономический баланс.

В экономике модели действую 5 агентов, каждый из которых имеет свою роль:

·        собственник-потребитель: представляет собой домохозяйства, которые являются собственниками фирм, банков и которые могут оперировать деньгами в соответствии с их ролью;

·        фирма-производитель: представляет собой группу коммерческих организаций:

·        банк: представляет собой группу финансовых коммерческих организаций:

·        Центральный Банк: представляет собой независимый институт, который ответственен за действие кредитно-денежной политики, а также проведение монетарной политики;

·        Государство: независимый институт, отвечает за проведение фискальной политики путем налогообложения.

 

.2 Структура модели


В целом, во всех задачах определенного агента намечается схожая структура (за исключением, разумеется, государственных институтов, таких как Центральный Банк и само государство): каждый агент максимизирует свою полезность в зависимости от определенного параметра, а также имеет некоторый набор ограничений, который влияет на определение регулярного решения в его задаче.

 

.2.1    Собственник-потребитель

2.2.1.1 Постановка задачи

В первоначальный момент времени собственник-потребитель имеет в распоряжении определенный запас денег, которым он может оперировать следующим образом. Во-первых, он приобретает определенное количество акций у фирмы и у банка. Соответственно, за владение этими акциями он получает дивиденды с них (у каждого типа акции своя дивидендная ставка). Во-вторых, на полученные доходы потребитель может приобрести новые акции фирмы и банка, каждый тип из которых имеет свой определенный курс.

Помимо этого, потребитель имеет право брать ссуды (кредит) у банка или класть депозиты на свой счет в банке. Забегая вперед необходимо отметить, что агент в нашей модели может либо взять кредит, либо положить депозит, т.е. не может быть ситуации, когда производятся обе эти операции одновременно. Соответственно, кредитует собственник-потребитель у банка по заранее установленной ставке, а за депозитирование счета в банке он получает проценты по так же установленной ставке.

В конце концов, потребитель также может приобретать продукт по определенной цене. Т.к. в модели имеет место однородный единичный продукт, то никаких дополнительных условии к данной предпосылке модель не нуждаемся.

Итого, получаем следующий финансовый баланс:

 

где:

 - неотрицательный запас денег потребителя;

 - предложение депозита;

 - ставка процента, налагаемая на банк (депозит собственника);

 - спрос на кредит;

 - ставка процента, налагаемая на собственника;

количество приобретенных акций фирмы;

 - курс акций фирмы;

 - дивиденды с содержания акций фирмы;

 - количество приобретенных акций банка;

 - курс акций банка;

 - дивиденды с содержания акций банка;

 - цена, по которой приобретается потребительский продукт;

 - потребительский продукт;

 - налоговая ставка процента, налагаемая на потребителя за депозитирование;

 - субсидии, которые получает потребитель от государства.

По предположению модели все агенты ведут себя рационально. Потребитель же старается максимизировать свою полезность, которая зависит от будущего реального потребления. Также стоит отметить, что функция полезности имеет вид

 

где ,

где  - отвращение к риску;  - предпочтение времени.

В начальный момент времени потребителю известны следующие величины: . Отметим, что все они являются неотрицательными величинами.

Фазовые переменные, т.е. переменные, которыми управляет агент -  Остальные же переменные определяются «извне» - переменные управления.

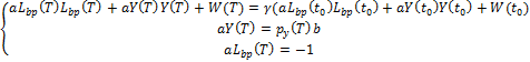
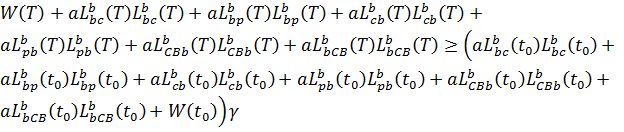
Данная модель оперирует до времени  Поэтому необходимо записать терминальное ограничение. Без него агент будет знать, что после момента времени  ничего не происходит, поэтому он постарается устремить к бесконечности объем кредитов, взятых у банка, что вполне логично. Т.о. исключается возможность появления ситуации пирамиды.

С точки зрения математического аппарата данное ограничение будет являться ничем иным, как условием трансверсальности - записываются относительно всех активов и пассивов агента (условие роста чистых активов):

 

где  - некоторый параметр, показывающий, во сколько раз выросли данные активы. Коэффициенты

 определяются при решении задачи максимизации.

2.2.1.2 Решение задачи оптимизации

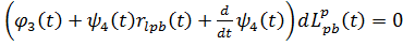
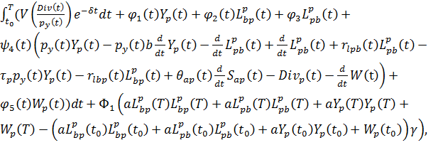
Итого получаем стандартную задачу максимизации с определенными ограничениями. Т.о. для оптимальности вышеперечисленных величин ( достаточно, чтобы они составляли максимум функционалу Лагранжу. Получаем:

 

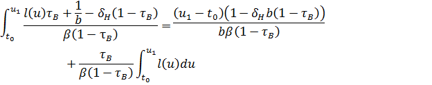
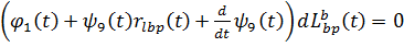
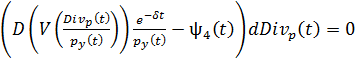
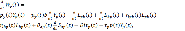
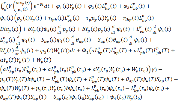
где  - неотрицательные двойственные переменные. Применив технику интегрирования по частям, получаем следующее выражение:

 

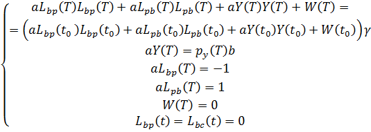
По второй теореме двойственности (или же условию дополняющей нежесткости) мы получаем следующие соотношения (условие оптимальности решения соответствующих двойственных задач):


(1)

(2)

В данной модели набор прямых () и двойственных () переменных будем называть регулярным решением т.т.т., к.:

·        функции  достигают максимум функционалу Лагранжу по множеству всех кусочно-дифференцируемых функций  (при заданных начальных условий) и множеству кусочно-непрерывной функции ;

·        функции  кусочно-непрерывны, а функция  кусочно-дифференцируема;

·        почти на всем временном промежутке выполнены условия дополняющей нежесткости (1) и (2).

Регулярное решение, в отличие от обычного требует выполнения определенных условий для параметров задачи, которые будут рассматриваться как условия равновесия во всей модели.

Достаточные условия оптимальности для задачи собственника-потребителя:

(3)

(4)

(5)

(6)

(7)

(8)

(9)

(10)

(11)

(12)

(13)

Решим данную систему - найдем оптимальную траекторию потребления для собственника-потребителя. Из соотношения (5) получаем следующее равенство:

 

где  -

является доходностью активов, которыми располагает агент.

Из соотношения (6):

 

Из соотношения (7):

 

Из соотношения (8):

 

Из (9):

Из (10):

Из (11):

Из (12):

(из-за того, что из соотношения (13)

)

Отдельно решим соотношение (3) - именно оно позволяет определить оптимальный план потребления:

 

Обозначим  Тогда  

Решим данный диффур:

 

 

2.2.2 Фирма-производитель

2.2.2.1Постановка задачи

В первоначальный момент времени фирма-производитель имеет в распоряжении определенный запас денег, которым она может оперировать следующим образом. Во-первых, фирма выпускает акции, которые могут быть проданы собственнику-потребителю и по которым необходимо в последний момент времени выплачивать дивиденды. Во-вторых, фирма может также продавать выпущенные акции на фондовом рынке по определенному курсу.

Помимо этого, производитель имеет право брать ссуды (кредит) у банка или класть депозиты на свой счет в банке. Агент в модели может либо взять кредит, либо положить депозит, не может быть ситуации, когда производятся обе эти операции одновременно. Соответственно, кредитует фирма-производитель у банка по заранее установленной ставке, а за депозитирование счета в банке она получает проценты по так же установленной ставке.

В конце концов, фирма также продают произведенную продукцию собственнику-потребителю по определенной цене. Т.к. в модели имеет место однородный единичный продукт, то никаких дополнительных условии к данной предпосылке модель не нуждаемся.

Итого, получаем следующий финансовый баланс:

 

где:

 - неотрицательный запас денег;

 - предложение депозита;

 - ставка процента, налагаемая на банк;

 - спрос на кредит;

 - ставка процента, налагаемая на фирму;

выпущенные акции фирмы на фондовом рынке;

 - курс акций фирмы;

 - объем дивидендов, выплачиваемых фирмой собственнику-потребителю;

 - цена, по которой продается произведенный продукт потребителям;

 - произведенный продукт;

 - налоговая ставка, налагаемая на фирму (на единицу проданной продукции).

По предположению модели все агенты ведут себя рационально. Фирма же старается максимизировать приведенную полезность выплаченных дивидендов. Функция полезности опять же имеет вид

.

где ,

где  - отвращение к риску;  - предпочтение времени.

В начальный момент времени фирме известны следующие величины: . Отметим, что все они являются неотрицательными величинами.

Фазовые переменные, т.е. переменные, которыми управляет агент -  Остальные же переменные определяются «извне» - переменные управления.

Данная модель оперирует до времени  Поэтому необходимо записать терминальное ограничение. Без него агент будет знать, что после момента времени  ничего не происходит, поэтому он постарается устремить к бесконечности объем кредитов, взятых у банка, что вполне логично.Т.о. исключается возможность появления ситуации пирамиды.

С точки зрения математического аппарата данное ограничение будет являться ничем иным, как условием трансверсальности - записываются относительно всех активов и пассивов агента (условие роста чистых активов):

 

где  - некоторый параметр, показывающий, во сколько раз выросли данные активы. Коэффициенты  определяются при решении задачи максимизации.

2.2.2.2         Решение задачи оптимизации

Итого получаем стандартную задачу максимизации с определенными ограничениями. Т.о. для оптимальности вышеперечисленных величин () достаточно, чтобы они составляли максимум функционалу Лагранжу. Получаем:

 

где  - неотрицательные двойственные переменные.

При использовании техники интегрирования по частям, получаем следующее выражение:

 

По второй теореме двойственности мы получаем следующие соотношения (условие оптимальности решения соответствующих двойственных задач):

 


(14)

(15)

В данной модели набор прямых () и двойственных () переменных будем называть регулярным решением т.т.т, к.:

·        функции ) достигают максимум функционалу Лагранжу по множеству всех кусочно-дифференцируемых функций  (при заданных начальных условий) и множеству кусочно-непрерывной функции ;

·        функции  кусочно-непрерывны, а функция  кусочно-дифференцируема;

·        почти на всем временном промежутке выполнены условия дополняющей нежесткости (14) и (15).

Регулярное решение, в отличие от обычного требует выполнения определенных условий для параметров задачи, которые будут рассматриваться как условия равновесия во всей модели.

Достаточные условия оптимальности для задачи фирмы-производителя:

(16)

(17)

(18)

(19)

(20)

(21)

(22)

(23)

(24)

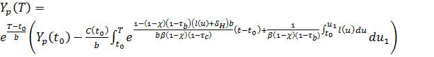
Решим данную систему. Из соотношения (16) получаем следующее равенство:

 

Продифференцируем полученное равенство. Получаем:

 

 

Мы знаем, что функция полезности имеет вид


В связи с этим мы можем найти его дифференциал по времени:

 

Итого получаем:

 

где  -

доходность активов, которыми располагает фирма.

Из соотношения (17):


Из соотношения (18):

 

 

 

Из соотношения (19):

 

Из соотношения (20):

 

Из (21):

Из (22):

Из (23): ­­­

Из (24):

2.2.3 Банк

2.2.3.1 Постановка задачи

В первоначальный момент времени банк также имеет в распоряжении определенный запас денег. Выпуская акции и продавая их фирмам и собственникам, банк налагает на себя обязательства по их выплатам соответствующим агентам - в единицу времени выплачивается определенная сумма дивидендов (для простоты обобщим дивиденды потребителя и фирмы в одну переменную).

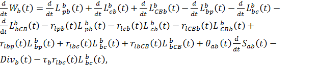
Помимо этого, основной функцией банка является выдача кредитов вышеперечисленным агентам, а также принятие депозитов от агентов. Иными словами в каждый момент времени банк должен обладать запасом от выданных ему депозитов от собственника-потребителя, фирмы и Центрального банка и выплачивать им проценты по определенной ставке; также должен обладать запасом выданных кредитов этим агентам и получать проценты по определенным ставкам. Итого, получаем финансовый баланс:

 

где:

 - неотрицательный запас денег;

 - спрос на депозит собственника;

 - ставка процента, налагаемая на банк (депозит собственника);

 - предложение кредитов собственнику;

 - ставка процента, налагаемая на собственника;

 - спрос на депозит фирмы; - предложение кредитов фирме;  - ставка процента, налагаемая на банк (депозит фирмы);

 - ставка процента, налагаемая на фирму;

 - спрос на депозит ЦБ;

 - ставка процента, налагаемая на банк (депозит ЦБ в банках);

 - предложение кредитов ЦБ;

 - ставка процента, налагаемая на ЦБ;

выпущенные акции банка на фондовом рынке;

 - курс акций банка;

 - объем дивидендов, выплачиваемых банком;

 - налоговая ставка процента, налагаемая на банк (на предложение кредитов собственнику). По предположению модели все агенты ведут себя рационально. Банк, аналогично фирме-производителю стремится максимизировать приведенную полезность выплаченных дивидендов. Функция полезности опять же имеет вид

 

где ,

где  - отвращение к риску;  - предпочтение времени.

В начальный момент времени банку известны следующие величины: . Отметим, что все они являются неотрицательными величинами.

Фазовые переменные, т.е. переменные, которыми управляет банк -  Остальные же переменные определяются «извне» - переменные управления.

Необходимо также записать условие, которое ограничивает суммарный объем депозитов с учетом запаса денег, которое имеется у банка (т.н. резервное требование):

 

Данная модель оперирует до времени  Поэтому необходимо записать терминальное ограничение. Без него агент будет знать, что после момента времени  ничего не происходит, поэтому он постарается устремить к бесконечности объем кредитов, взятых у банка, что вполне логично. Т.о. исключается возможность появления ситуации пирамиды [5].

С точки зрения математического аппарата данное ограничение будет являться ничем иным, как условием трансверсальности - записываются относительно всех активов и пассивов агента (условие роста чистых активов):

 

где  - некоторый параметр, показывающий, во сколько раз выросли данные активы. Коэффициенты

 определяются при решении задачи максимизации.

2.2.3.2 Решение задачи оптимизации

Итого получаем стандартную задачу максимизации с определенными ограничениями. Т.о. для оптимальности вышеперечисленных величин ( достаточно, чтобы они составляли максимум функционалу Лагранжу. Получаем:

 

где  - неотрицательные двойственные переменные.

При использовании техники интегрирования по частям, получаем следующее выражение:

 

По второй теореме двойственности получаем следующие соотношения (условие оптимальности решения соответствующих двойственных задач):

(25)

(26)

(27)

(28)

В данной модели набор прямых () и двойственных () переменных будем называть регулярным решением задачи банка т.т.т, к.:

·        функции ) достигают максимум функционалу Лагранжу по множеству всех кусочно-дифференцируемых функций  (при заданных начальных условий) и множеству кусочно-непрерывной функции ;

·        функции  кусочно-непрерывны, а функция  кусочно-дифференцируема;

·        почти на всем временном промежутке выполнены условия дополняющей нежесткости (25)-(28).

Регулярное решение, в отличие от обычного требует выполнения определенных условий для параметров задачи, которые будут рассматриваться как условия равновесия во всей модели.

Достаточные условия оптимальности для задачи банка:

(29)

(30)

(31)

(32)

(33)

(34)

(35)

(36)

(37)

(38)

(39)

(40)

(41)

(42)

(43)

Решим данную систему. Из соотношения (29) получаем функцию, аналогичную той, что в задаче производителя:

 

Из соотношения (30):

Из соотношения (31):

 

Из соотношения (32):

Из соотношения (33):

 

Из соотношения (34):

Из соотношения (35):

Из соотношения (36):

Из (37):

Из (38):

Из (39):

Из (40):

Из (41):

Из (42):

Из (43):

2.2.4 Центральный Банк

ЦБ в данной модели выступает как отдельный независимый институт - его целью является поддержание денежного равновесия в модели. ЦБ проводит эмиссию денег, основываясь на объеме кредитов, который он берет у банка, а также на объеме депозитов, которые он вкладывает в банк. Тем самым ЦБ служит т.н. стабилизатором экономики - путем проведения монетарной политики (изменение ставки резервирования).

Финансовый баланс будет иметь следующий вид:

 

где:

 - эмиссия денег;

 - ставка процента, налагаемая на ЦБ за кредитование;

 - предложение депозита;

 - ставка процента, налагаемая на банк за прием депозита ЦБ.

В первоначальный момент времени известны переменные , которые являются неотрицательными.

Также стоит отметить, что переменные  задаются экзогенно, как и ставки процента  Обусловлено это тем, что в нашей модели мы будем считать, что параметры проведения монетарной политики известны - все они определяются ЦБ.

2.2.5 Государство

Аналогично ЦБ, государство является независимым институтом, который отвечает за фискальную политику в стране. Т.к. в модели отсутствуют гос. закупки, то проводится фискальная политика путем выбора налоговой ставки.

Существует три вида налоговой ставки :

·        налоговая ставка, налагаемая на потребителя - взимается налог с процента, который получает собственник за вложение депозита на счет в банке;

·        налоговая ставка, налагаемая на фирму - взимается налог с объема проданной произведенной продукции (иными словами - налог на прибыль);

·        налоговая ставка, налагаемая на банк - взимается налог с процента, который получает банк за кредитование собственника-потребителя.

Помимо этого государство может также выплачивать определенный объем субсидий (можно было добавить субсидий для каждого агента, однако для простоты мы можем учесть все субсидий в одной переменной). С точки зрения модели данная переменная необходима для того, чтобы в модели сохранялся баланс.

Итого, получаем следующий финансовый баланс:

 

где:

 - субсидии, которые получает потребитель от государства;

 - налоговая ставка процента, налагаемая на потребителя за депозитирование;

 - предложение депозита;

 - ставка процента, налагаемая на банк (депозит собственника);

 - налоговая ставка, налагаемая на фирму (на единицу проданной продукции)

 - цена, по которой продается произведенный продукт потребителям;

 - произведенный продукт;

 - налоговая ставка процента, налагаемая на банк (на предложение кредитов собственнику);

 - предложение кредитов собственнику;

 - ставка процента, налагаемая на собственника.

2.3 Описание равновесия

 

.3.1 Условия равновесия в модели

Для того, чтобы баланс в модели сходился, необходимо потребовать выполнение следующих условий.

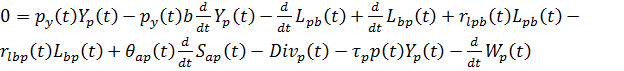
Во-первых, в предпосылках к модели мы определили, что совокупный выпуск определяется через инвестиции и потребление. Иными словами можно записать основной макроэкономический баланс, без участия государственных закупок:

 

Во-вторых, необходимо соотнести также предложение и спрос на депозит и кредитов собственника и банка; фирмы и банка; банка и ЦБ. Т.о. должно учитываться условие равенства спроса собственника на кредит и предложение банка на кредит; предложение собственника на депозит и спрос банка на этот кредит и т.д. Т.о. получаем:

 

Также нужно учитывать объем дивидендов, которые выплачивают фирма и банк держателям акций (собственникам-потребителям) в размере, равным количеству приобретенных типов акций у потребителей - с учетом дивидендной ставки процента:

 

Последнее условие - условие передачи информации о «желании» покупки акции от потребителя к фирме и банку (все акции должны быть куплены, не существует ситуации, при которой произведено акций больше, чем их куплено):

.

С учетом всех вышеперечисленных условий и финансовых балансов, мы получаем соотношение, при котором:

.

Иными словами, мы получили закон Вальраса. Однако в связи с ликвидностью денег в целом запасы денег для агентов не так важны, поэтому денежные запасы каждого агента в нашей модели будут равны нулю.

2.3.2 Определения регулярного равновесия

Регулярным равновесием назовем набор:

·        прямых переменных

 

·        информационных переменных

 

·        двойственных переменных

 

которые удовлетворяют следующим условиям:

.         Функции

 ограничены и интегрируемы на промежутке ;

.         Наборы переменных  и  при заданных  образуют регулярное решение задачи собственника-потребителя;

.         Наборы переменных  и  при заданных  образуют регулярное решение задачи фирмы-производителя;

.         Наборы переменных  и  при заданных  образуют регулярное решение задачи банка;

.         Наборы переменных  и  удовлетворяют ограничениям задачи Центрального Банка;

.         Наборы переменных  и  удовлетворяют ограничениям задачи Государства;

.         Почти всюду на промежутке  выполняется условие равновесия, описанное в разделе 3.3.1.

 

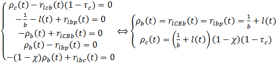
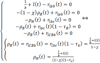
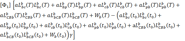
.3.3 Условия дополняющей нежесткости (преобразованные)

Из задачи собственника-потребителя:

 

 

Из задачи фирмы-производителя:

 

 

Из задачи банка:

 

 

 

 

 

 

3. Исследование переключений режимов в рамках фискальной и монетарной политики. Эффективность равновесия


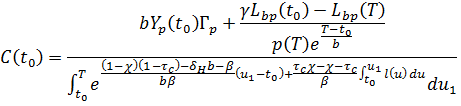
В связи с тем, что предложение и спрос депозитов и кредитов каждого агента были соотнесены выше, для удобства обозначим потоки без указания спроса или предложения какого-то агента. Иными словами:

 

Рассмотрим всевозможные режимы, которые могут иметь место. Т.к. режимы определяются только 3-мя агентами (всеми, кроме банка и государства), то всего таких режимов будет  штук.

 

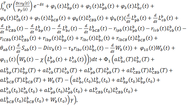
.1 Собственник и фирма делают депозиты, ЦБ держит деньги


 

 

1.       Из условий дополняющей нежесткости с учетом потоков в данном режиме получаем следующую систему уравнений:

 

 

 

 

Решим дифференциальное уравнение.

Однородное:

 

 

 

Неоднородное:

 

 

 

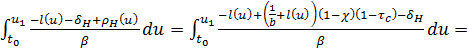
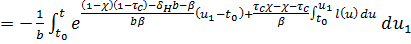
Рассмотрим отдельно выражение :

 

 

 

Вернемся к выражению :

 

 

Выпишем терминальное ограничение:

 

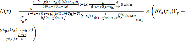
Получаем:

 

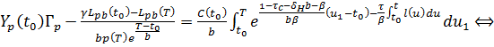
Рассмотрим  в момент времени

 

 

 

 

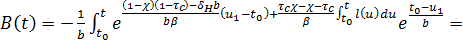
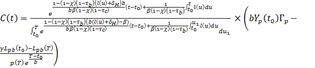
Пусть  Тогда

  

 

 

 

 

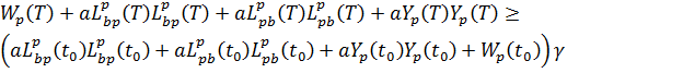
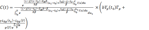
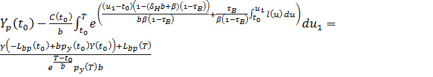
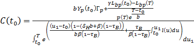
Сравним с равновесным эффективным уровнем потребления (соответственно и выпуска, т.к. они напрямую зависят друг от друга):

 

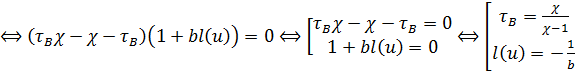
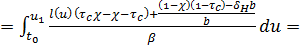
Чтобы достичь такого уровня потребления, необходимо, чтобы подынтегральные выражения знаменателей данных уровней потребления совпадали (т.к. в числителе все то же самое, за исключением переменной :

 

 

 

 

Первый случай указывает нам на отсутствие необходимости проведения фискальной политики; второй же сводится к случаю отсутствия налогов. Из-за того, что

,

получаем, что ставка процента потребителя равна нулю, т.е. он не получает процентов => не облагается налогом.

 

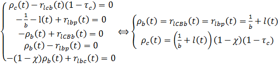
.2 Собственник и фирма берут кредиты, ЦБ кредитует


 

 

1.        Из условий дополняющей нежесткости с учетом потоков в данном режиме получаем следующую систему уравнений:

 

 

2.       

 

Решим дифференциальное уравнение. Однородное:

 

 

 

Неоднородное:

 

 

 

Рассмотрим отдельно выражение :

 

 

 

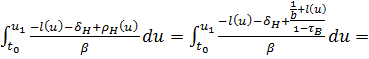
Выпишем терминальное ограничение:

 

 

Рассмотрим  в момент времени :

 

Получаем:

 

Пусть  Тогда

 

 

 

 

 

 

 

 

 

Сравним с равновесным эффективным уровнем потребления (соответственно и выпуска, т.к. они напрямую зависят друг от друга):

 

Аналогично, чтобы достичь такого уровня потребления, необходимо, чтобы подынтегральные выражения знаменателей данных уровней потребления совпадали (т.к. в числителе все то же самое, за исключением переменной :

 

 

 

 

Первый случай указывает нам на отсутствие необходимости проведения фискальной политики; второй же сводится к случаю отсутствия налогов. Из-за того, что , аналогично получаем, что ставка процента потребителя равна нулю, т.е. он не получает процентов => не облагается налогом.

 

3.3 Собственник вкладывает депозиты, фирма берет кредиты, ЦБ кредитует


 

 

1.        Из условий дополняющей нежесткости с учетом потоков в данном режиме получаем следующую систему уравнений:

 

2.       

 

Решим дифференциальное уравнение. Однородное:

 

 

 

Неоднородное:

 

 

 

Рассмотрим отдельно :

 

 

 

 

 

 

Терминальное ограничение:

 

 

 

Рассмотрим  в момент времени :

 

Получаем:

 

 

Пусть  Тогда

 

 

 

 

 

 

  

Сравним с равновесным эффективным уровнем потребления (соответственно и выпуска, т.к. они напрямую зависят друг от друга):

 

Чтобы достичь такого уровня потребления, необходимо, чтобы подынтегральные выражения знаменателей данных уровней потребления совпадали (т.к. в числителе все то же самое, за исключением переменной :

 

 


Первый случай указывает нам на необходимость проведения фискальной политики с такой налоговой ставкой. Т.к. коэффициент  по предположению модели в интервале от , то полученная налоговая ставка будет отрицательна, что означает, что государство будет не облагать потребителя налогом, а, наоборот, субсидировать его. Второй случай же сводится к случаю отсутствия налогов. Из-за того, что

,

получаем, что ставка процента потребителя равна нулю, т.е. он не получает процентов => не облагается налогом.

 

.4 Собственник берет кредиты, фирма вкладывает депозиты, ЦБ кредитует


 

 

1.       Из условий дополняющей нежесткости получаем следующую систему уравнений:

 

2.         

Решим дифференциальное уравнение. Однородное:

 

 

 

Неоднородное:

 

 

 

Рассмотрим отдельно выражение :

 

 

 

Терминальное ограничение:

 

 

Рассмотрим  в момент времени :

 

Получаем:

 

 

Пусть  Тогда

 

 

 

 

 

 

 

 

Сравним с равновесным эффективным уровнем потребления (соответственно и выпуска, т.к. они напрямую зависят друг от друга):

 

Чтобы достичь такого уровня потребления, необходимо, чтобы подынтегральные выражения знаменателей данных уровней потребления совпадали (т.к. в числителе все то же самое, за исключением переменной :

 

 

 

 

Первый случай указывает нам на необходимость проведения фискальной политики с такой налоговой ставкой. Т.к. коэффициент  по предположению модели в интервале от , то полученная налоговая ставка будет отрицательна, что означает, что государство будет не облагать потребителя налогом, а, наоборот, субсидировать его. Второй случай же сводится к случаю отсутствия налогов. Из-за того, что

,

получаем, что ставка процента потребителя равна нулю, т.е. он не получает процентов => не облагается налогом.

 

.5 Собственник и фирма делают депозиты, ЦБ кредитует


 

 

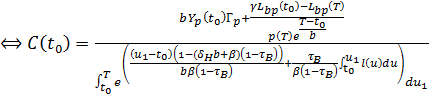
Из условий дополняющей нежесткости с учетом потоков в данном режиме получаем следующую систему уравнений:

 

 

Отметим, что данная система имеет схожий вид с той, которая была описана в I случае. В связи с тем, что ЦБ в данном случае не держит деньги, а кредитует, данный факт напрямую повлияет только на объем кредитов, который выдает ЦБ банкам. В связи с этим траектория потребления и выпуска останется прежней. Т.о. получаем:

 

 

 

Сравним с равновесным эффективным уровнем потребления (соответственно и выпуска, т.к. они напрямую зависят друг от друга):

 

Чтобы достичь такого уровня потребления, необходимо, чтобы подынтегральные выражения знаменателей данных уровней потребления совпадали (т.к. в числителе все то же самое, за исключением переменной :

 

 

 

 

Первый случай указывает нам на отсутствие необходимости проведения фискальной политики; второй же по сути сводится к случаю отсутствия налогов. Из-за того, что

,

получаем, что ставка процента потребителя равна нулю, т.е. он не получает процентов => не облагается налогом.

 

.6 Собственник и фирма берут кредиты, ЦБ держит деньги


 

 

Из условий дополняющей нежесткости с учетом потоков в данном режиме получаем следующую систему уравнений:

 

Отметим, что данная система имеет схожий вид с той, которая была описана во II случае. В связи с тем, что ЦБ в данном случае не кредитует, а держит деньги, это повлияет только на объем депозитов, который он держит у себя. В связи с этим траектория потребления и выпуска останется прежней. Т.о. получаем:

 

 

 

Сравним с равновесным эффективным уровнем потребления (соответственно и выпуска, т.к. они напрямую зависят друг от друга):

 

Аналогично, чтобы достичь такого уровня потребления, необходимо, чтобы подынтегральные выражения знаменателей данных уровней потребления совпадали (т.к. в числителе все то же самое, за исключением переменной :

 

 

 

 

Первый случай указывает нам на отсутствие необходимости проведения фискальной политики; второй же по сути сводится к случаю отсутствия налогов. Из-за того, что

,

получаем, что ставка процента потребителя равна нулю, т.е. он не получает процентов => не облагается налогом.

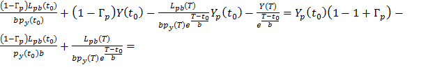
3.7 Собственник вкладывает депозиты, фирма берет кредиты, ЦБ держит деньги


 

 

Из условий дополняющей нежесткости с учетом потоков в данном режиме получаем следующую систему уравнений:

 

Отметим, что данная система имеет схожий вид с той, которая была описана в III случае. В связи с тем, что ЦБ в данном случае не кредитует, а держит деньги, это повлияет только на объем депозитов, которые ЦБ держит у себя. В связи с этим траектория потребления и выпуска останется прежней. Т.о. получаем:

 

 

Сравним с равновесным эффективным уровнем потребления (соответственно и выпуска, т.к. они напрямую зависят друг от друга):

 

Чтобы достичь такого уровня потребления, необходимо, чтобы подынтегральные выражения знаменателей данных уровней потребления совпадали (т.к. в числителе все то же самое, за исключением переменной :

 

 

 


Первый случай указывает нам на необходимость проведения фискальной политики с такой налоговой ставкой. Т.к. коэффициент  по предположению модели в интервале от , то полученная налоговая ставка будет отрицательна, что означает, что государство будет не облагать потребителя налогом, а, наоборот, субсидировать его.

Второй случай сводится к случаю отсутствия налогов. Из-за того, что

,

получаем, что ставка процента потребителя равна нулю, т.е. он не получает процентов => агент не облагается налогом.

 

.8 Собственник берет кредиты, фирма вкладывает депозиты, ЦБ держит деньги


 

 

Из условий дополняющей нежесткости получаем следующую систему уравнений:

 

Опять же отметим, что данная система имеет схожий вид с той, которая была описана в IV случае. В связи с тем, что ЦБ в данном случае не кредитует, а держит деньги, это напрямую повлияет только на объем депозитов, который ЦБ держит у себя. В связи с этим траектория потребления и выпуска останется прежней. Т.о. получаем:

 

 

Сравним с равновесным эффективным уровнем потребления (соответственно и выпуска, т.к. они напрямую зависят друг от друга):

 

Чтобы достичь такого уровня потребления, необходимо, чтобы подынтегральные выражения знаменателей данных уровней потребления совпадали (т.к. в числителе все то же самое, за исключением переменной :

 

 

 

 

Первый случай указывает нам на необходимость проведения фискальной политики с такой налоговой ставкой. Т.к. коэффициент  по предположению модели в интервале от , то полученная налоговая ставка будет отрицательна, что означает, что государство будет не облагать потребителя налогом, а, наоборот, субсидировать его. Второй случай же сводится к случаю отсутствия налогов. Из-за того, что

,

получаем, что ставка процента потребителя равна нулю, т.е. он не получает процентов => не облагается налогом.

Заключение


В представленной работе была описана модель взаимодействия между пятью макроагентами - собственника-потребителя, фирмы-производителя, банка, Центрального Банка и Государства. По отдельности были решены задачи максмимизации трёх агентов.

Центральный Банк и Государство рассматривались как независимые институты, напрямую влияющие на внедрение в систему монетарной и фискальной политик путем регулирования ставки резервирования и налогообложения соответственно.

В следующем разделе были рассмотренны всевозможные варианты оперирования независимых агентов. В симметричных режимах, т.е. в режимах, при которых собственник и фирма оперируют одинаково, равновесие было эффективно - достаточно было проведение монетарной политики для его достижения. Проведение фискальной же политики приводило к смещению экономики в неэффективное состояние. Стоит отметить, что данный результат можно свести к наиболее привычному механизму невидимой руки рынка.

В несимметричных режимах равновесие было неэффективно - одного проведения монетарной политики было недостаточно, необходимо было помимо этого проведение фискальной политики. Было найдено правило, при котором данное равновесие существует и является эффективным - значение для налоговых ставок.

В данной модели наблюдалась обратная зависимость от нормы резервирования - инструмента монетарной политики.

Т.о. была найдена некоторая связь между фискальной и монетарной политикой.

Стоит отметить, что данная зависимость была отрицательной, а т.к. норма резервирования была задана положительной (от 0 до 1), то соответственно налоговая ставка является отрицательной величиной, что указывает на то, что государство будет не облагать агента налогом, а субсидировать его.

 


Список использованной литературы


1.       Кривонос Ю.Е., Фролова Т.И. Экономическая теория: конспект лекций. Таганрог: ТТИ ЮФУ, 2009

2.       Матвеева Т.Ю. Курс лекций по макроэкономике. М.: ГУ ВШЭ, 2003. 250с.

.         Николаева Л.А., Черная И.П. Экономическая теория. М.: Книжный дом, Экоперспектива, 637с.

.         Пекарский С.Э., Атаманчук М.А., Мерзляков С.А. Стратегическое взаимодействие фискальной и монетарной политики в экспортно ориентированной экономике. Препринт WP12/2007/2, М.: ГУ ВШЭ

.         Поспелов И.Г. Экономические агенты и системы балансов. Препринт WP2/2001/03 Сер. WP2 Количественный анализ в экономике. М.: ГУ ВШЭ, 2001. 67с.

6.       Alexopoulou I., Bunda I., Ferrando A. (2009): Determinants of Government Bond Spreads in New EU Countries, ECB Working Paper No.1093

.         Baksay G., Karvalits F., Kuti Z. (2012): The Impact of Public Debt on Foreign Exchange Reserves and Central Bank Profitability: the Case of Hungary, BIS Papers No. 67

.         Barro R. (1979): On the Determination of Public Debt, Journal of Political Economy, Vol. 87 (5), pp. 940-971

.         Benetrix A., Lane P. (2009): Fiscal shocks and the real exchange rate, IIS Discussion Paper, No. 286

.         Braude K., Flug K. (2012): The Interaction between Monetary and Fiscal Policy: Insights from Two Business Cycles in Israel, BIS Papers No. 67

.         Eichengreen B., Hausmann R., Panizza U. (2003): Currency Mismatches, Debt Intolerance and Original Sin: Why They are not the Same and Why it Matters, NBER Working Paper, 10036

.         Filardo A., Mohanty M., Moreno R. (2012): Central Bank and Government Debt Management: Issues for Monetary Policy, BIS Papers No. 67

.         Kirakul S. (2012): Fiscal policy and its implication for central banks, BIS Papers No. 67

.         Tomsik V. (2012): Some Insights into Monetary and Fiscal Policy Interactions in the Czech Republic, BIS Papers No.67

Похожие работы на - Возможности получения эффективных равновесий за счет использования монетарной и фискальной политик

 

Не нашли материал для своей работы?
Поможем написать уникальную работу
Без плагиата!
Без нейросетей!