Разработка стратегии агрегатного планирования предприятия по материалам кафе 'Техас'
Министерство
образования и науки
Российской
Федерации
Федеральное
государственное автономное образовательное учреждение
высшего
образования
«Крымский
федеральный университет имени В. И. Вернадского»
Институт
экономики и управления
Кафедра
менеджмента
КУРСОВАЯ
РАБОТА
по
дисциплине «Операционный менеджмент»
на
тему:
«Разработка
стратегии агрегатного планирования предприятия по материалам кафе «Техас»»
Выполнила:
студентка группы
МГБ - 331
Султанова Марта
Проверила:
Высочина М.В.
Симферополь
2015
Введение
Агрегатное планирование - это процесс
формирования сбалансированных по ресурсам производственных программ организации
на плановый период и дифференциации их по отрезкам календарного периода и по
отдельным структурным подразделениям организации (производствам, цехам,
участкам). [1]Агрегатное планирование связано с определением количеств и
времени производства в среднесрочные периоды, в основном, от трех до
восемнадцати месяцев. Операционные менеджеры пытаются определить наилучший
путь, чтобы встретить прогнозируемый спрос, регулируя скорость производства,
уровень трудовых затрат, уровни запасов, сверхурочную работу, скорости
субподрядных работ и ряд других поддающихся контролю переменных. Основной целью
всех управляющих процессов является минимизация затрат в течение всего
среднесрочного периода.[2]
Актуальность данной темы состоит в том, что в
условиях высокой конкуренции, переменчивых предпочтений и вкусов клиентов, а
также других внешних факторов, влияющих на спрос на услуги предприятия
необходимо удовлетворять возникающий спрос, поддерживать высокий уровень
обслуживания при этом нести минимальные затраты и получать прибыль.
Практическая значимость курсовой работы
заключается в том, что разработанная стратегия агрегатного планирования может
быть реализована на предприятии, что позволит повысить финансовые результаты
его деятельности.
Целью курсовой работы является разработка
стратегии агрегатного планирования.
Исходя из указанной цели, можно выделить
следующие задачи, поставленные в курсовой работе:
дать общую характеристику предприятия;
охарактеризовать операционную систему
предприятия, очередь, систему обслуживания на предприятии;
Проанализировать применяемый в организации тип
производства и тип процесса производства, определить их преимущества и
недостатки;
Провести анализ точки безубыточности;
Рассчитать прогнозные показатели работы
предприятия
Объектом исследования в курсовой работе является
общество с ограниченной ответственностью «Техас».
В данной курсовой работе применялись следующие
методы исследования:
Анализ точки безубыточности;
Метод меняющейся средней;
Корреляционно-регрессионный анализ;
Табличный метод
Также для решения поставленных задач в курсовой
работе использовались такие методы исследования как системный анализ и
сравнительный анализ.
При написании курсовой работы использовались
учебные пособия, словари, учебники, ресурсы сети Internet.
Курсовая работа состоит из трех частей. В первой
части дается общая характеристика предприятия - название предприятия,
юридический адрес, вид деятельности, ассортимент товаров, численность и состав
персонала, рынки сбыта и т.д. Во второй части курсовой работы характеризуется
операционная система предприятия, система обслуживания, анализируется тип
производства и тип процесса производства, проводится анализ критической точки и
расчет прогнозных показателей работы организации на ближайшие пять лет. Третья
часть работы посвящена разработке стратегии агрегатного планирования с
соответствующими обоснованиями и расчетами.
Глава 1. Виды деятельности ООО «Техас»
ООО «Техас» - это общедоступное предприятие
общественного питания. Организационно-правовая форма предприятия «Техас» -
общество с ограниченной ответственностью, которое носит название ООО «Техас».
Юридический адрес кафе: 299014, Р Крым, г.Севастополь, ул. Правды, 17.
Предприятие создано 25 ноября 2014 года.
Вид деятельности ООО «Техас» - деятельность
баров, деятельность столовых при предприятиях, деятельность ресторанов и кафе,
деятельность танцплощадок, дискотек, школ танцев, розничная торговля спортивной
одеждой, производство готовых к употреблению пищевых продуктов и заготовок для
их приготовления, переработка и консервирование рибо- и морепродуктов,
переработка молока и производство сыра и др. Отраслевая принадлежность ООО
«Техас» - деятельность ресторанов и кафе. Организация представляет собой
частную форму собственности. Основная цель деятельности общества - извлечение
прибыли. [3]
Предприятие предоставляет возможность не только
пообедать в приятной и теплой атмосфере, а также весело провести время вечером,
но и возможность проведения корпоративных вечеров, тематических вечеринок,
выставок, концертов, конференций. Состоит «Техас» из двух залов, выполненных в
мексиканском стиле, искусно отделанных натуральными материалами и оригинальными
элементами декора, вместимостью от 30 до 90 человек. В рабочие дни заведение
работает с 12:00 до 22:00, а в выходные до 04:00. Изюминка кафе «Техас» -
оригинальная форма персонала в соответствии со стилем предприятия, приятная
атмосфера, а также «музыкальный ящик» для заказа посетителями своих любимых
музыкальных композиций. Кафе «Texaс» предлагает своим посетителям стол для игры
в русский бильярд, свободный wi fi и кальянную комнату. В кафе «Texaс»
периодически проводятся выступления вживую музыкальных исполнителей Севастополя
и приглашённых гостей из других городов, в том числе неформальных музыкальных
направлений.
Ассортимент продукции в кафе «Texaс» достаточно
широкий. В меню включены холодные блюда и закуски из рыбных, мясных продуктов,
овощей, горячие закуски, различные супы, десерты, горячие и холодные
безалкогольные напитки, большой выбор алкогольных напитков. Доля алкогольных
напитков в общем объеме продаж составляет 45%, безалкогольных - 15%. Продажа
алкогольных напитков и табака осуществляется на основе лицензии.
Преимущественно блюда европейской и мексиканской кухни.
Численность персонала в кафе «Texaс» составляет
22 человека. На административно управленческий персонал приходится 9%
персонала, специалисты составляют 32 % персонала, рабочие - 59%. Необходимо
отметить, что все сотрудники предприятия, кроме бухгалтера и администратора
работают посменно.
Организационная структура предприятия является
линейной.
Рис. 1.1 Организационная структура ООО «Техас»
При данной структуре управления всю полноту
власти берет на себя линейный руководитель (в нашем случае это директор),
возглавляющий коллектив. Ему при разработке конкретных вопросов и подготовке
соответствующих решений, программ, планов помогает специальный аппарат,
состоящий из шеф повара, бухгалтера и администратора.[4]
Преимущества данной структуры:
. четкая система взаимных связей функций и
подразделений;
. четкая система единоначалия - один
руководитель сосредотачивает в своих руках руководство всей совокупностью
процессов, имеющих общую цель;
. ясно выраженная ответственность;
. быстрая реакция исполнительных подразделений
на прямые указания вышестоящих.
Однако, следует отметить и ряд недостатков
линейной структуры управления:
. отсутствие звеньев, занимающихся вопросами
стратегического планирования; в работе руководителей практически всех уровней
оперативные проблемы ("текучка") доминирует над стратегическими;
. тенденция к волоките и перекладыванию
ответственности при решении проблем, требующих участия нескольких
подразделений;
. малая гибкость и приспособляемость к изменению
ситуации;
. критерии эффективности и качества работы
подразделений и организации в целом - разные;
. тенденция к формализации оценки эффективности
и качества работы подразделений приводит обычно к возникновению атмосферы
страха и разобщенности;
. большое число "этажей управления"
между работниками, выпускающими продукцию, и лицом, принимающим решение;
. перегрузка управленцев верхнего уровня;
. повышенная зависимость результатов работы
организации от квалификации, личных и деловых качеств высших управленцев.[5]
На директора возложена ответственность за
организацию всей торгово-производственной деятельностью предприятия. Он
осуществляет хозяйственно-финансовую деятельность, контролирует культуру
обслуживания посетителей в торговых залах кафе, качество выпускаемой продукции,
состояние учета, контроля и сохранность материальных ценностей, подбор и
расстановку кадров; соблюдение трудового законодательства, приказов и
инструкций. В связи с этим директор имеет право распоряжаться
материально-денежными средствами, приобретать имущество и инвентарь, заключать
договоры и соглашения, перемещать, увольнять (в соответствии с трудовым
законодательством), поощрять работников, налагать дисциплинарные взыскания.[6]
Шеф-повар выполняет функцию заведующего
производством и несет полную ответственность за производственную деятельность
предприятия, под руководством которого осуществляется контроль за соблюдение
рецептур блюд, технологии их приготовления, проверка готовой продукции,
разработка рецептур новых блюд. Шеф-повар должен обеспечивать соблюдение на
производстве правил санитарии и личной гигиены, охраны труда и техники
безопасности, своевременно предоставлять отчеты об использовании
товарно-материальных ценностей.
Администратор руководит всей работой официантов,
барменов, уборщиков, кальянщиков. Администратор обязан: контролировать персонал
в соблюдении правил обслуживания кафе, внутреннего распорядка, личной гигиены,
ношения форменной одежды и т.д. В течение дня администратор должен находиться в
зале, следить за поддержанием чистоты и порядка, правильностью обслуживания
клиентов и сервировки столов. Администратор организует труд официантов,
формирует из них бригады; составляет графики выхода официантов, других
работников зала на работу. Администратор имеет право отстранить от работы
официантов и барменов в случае нарушения ими должностных обязанностей и
требовать от руководства обеспечения всем необходимым для выполнения
должностных обязанностей.
Бухгалтер подчиняется руководителю организации и
несет ответственность за формирование учетной политики, ведение бухгалтерского
учета, своевременное представление полной и достоверной бухгалтерской
отчетности. Бухгалтер обеспечивает соответствие осуществляемых хозяйственных
операций действующему законодательству, контроль за движением имущества и
выполнением обязательств.
Бармен обслуживает посетителей за барной стойкой
готовыми к употреблению алкогольными и безалкогольными напитками, кондитерскими
изделиями и другими изделиями. Также оформляет витрины и барную стойку,
содержит их в образцовом состоянии. Бармен должен составлять и предоставлять в
бухгалтерию отчеты о движении и остатке товаров, учитываемых в суммовом
выражении.
Повар обеспечивает подготовку рабочего места к
началу рабочего дня, подготавливает основную продукцию, входящую в меню,
готовит блюда для посетителей, строго соблюдая технологический процесс и
согласно установленным рецептам. Повар должен соблюдать правила товарного
соседства и ротации продуктов, контролировать сроки реализации продуктов,
отпускать готовые блюда строго по чекам, своевременно информировать
администрацию об отсутствии продуктов, о неисправностях инвентаря, сантехники.
Мойщик посуды осуществляет мойку столовой
посуды, очистку тарелок и стаканов от пищевых отходов, доставку чистой посуды
на раздаточные столы
Уборщик производит уборку помещений ресторана.
Гагаринский район, где расположено кафе «Техас»,
- это комплекс крупных промышленных предприятий, предприятий рыбной отрасли,
радиоэлектроники, строительной индустрии, научно-исследовательских институтов и
проектно-конструкторских организаций, высших, среднеспециальных и средних
учебных заведений, медицинских, оздоровительных и детских дошкольных
учреждений, предприятий торговли и сферы услуг, культурно-массовой и спортивной
работы. Существующие на сегодняшний день в этом районе предприятия
общественного питания можно условно разделить на два типа: крупные и мелкие
предприятия быстрого обслуживания. К первым можно отнести рестораны и кафе. Их
отличительной особенностью является высокий сервис и качество обслуживания при
достаточно высокой цене, (средний обед обходится примерно в 600 рублей и выше),
то есть они ориентированы на людей с высоким уровнем дохода. К таким заведения
можно отнести ресторан «Казан Холл», кафе «Арабика». Ко вторым относятся
небольшие закусочные и бары, например, кофейня «Шоколадница», «Гринвич». Общей
отличительной чертой является ограниченный ассортимент выпускаемой продукции,
что вызвано небольшими размерами занимаемых ими помещений. Данные предприятия
ориентированы на потребителей с невысоким доходом.
Рынок сбыта для ООО «Техас» - это местный рынок.
Предприятие общественного питания может в полной мере удовлетворить
существующий на данном рынке спрос, поскольку кафе предлагает широкий
ассортимент продукции и отличается высоким сервисом и качеством обслуживания, и
сравнительно невысокими ценами.
В рабочие дни основными клиентами кафе являются
работники учреждений, служащие офисов, посетители фирм, а в вечернее время и
выходные дни в кафе собираются компании. В основном это молодежь и люди
среднего возраста. Клиентами являются как местное население, так и приезжающие
из других районов Севастополя для культурного отдыха и гости города. Кафе
«Техас» пользуется большим успехом среди молодежи.
Ценовая политика ориентирована на потребителей
со средним уровнем дохода (согласно статистических данных средняя заработная
плата по городу Севастополь составляет 17,8 тыс. рублей). Коэффициент ценовой
нагрузки составляет от 1,5 до 8. Заведение предоставляет скидки в рабочие дни с
12:00 до 15:00 в размере 15% от суммы заказа. Для постоянных клиентов действует
скидка в размере 5%.
Предприятие сотрудничает с такими поставщиками
как «Мегаполис», который осуществляет поставки большинства алкогольных и слабоалкогольных
напитков, «Харько», который осуществляет поставки товаров для хозяйственных
нужд предприятии, «Гранд Кальян» осуществляет поставки табака и кальянов. Одним
из главных поставщиков кафе «Техас» является «Метро». Также большинство
продуктов предприятие закупает на рынке у постоянных продавцов.
Функционирование предприятия в большой степени зависит от выполнения сроков
поставки поставщиков «Метро» и «Мегаполис».
В качестве конкурентов предприятия выступают паб
«Шульц», ресторан «Лаванда», кафе-бар «Paradise», ресторан быстрого
обслуживания «Бургер мастер», арт-бар «Пропаганда», кафе «Арабика», кофейня
«Шоколадница», кафе «Грасс», кафе «Инжир», кафе-пиццерия «CAPRI», ресторан
«Приморский бульвар».
Таким образом, на рынке наблюдается высокий уровень
конкуренции. Количество новых игроков регулярно увеличивается. Несмотря на
сложившуюся ситуацию на рынке, кафе «Техас» имеет много преимуществ и стремится
постоянно повышать свою конкурентоспособность. Во-первых, это оптимальное
соотношение цены и качества. Во-вторых, заведение обладает оригинальным и
привлекательным дизайном. В кафе царит дружеская и приятная атмосфера. Блюда
здесь всегда вкусные и свежие, санитарные и гигиенические стандарты соблюдаются
постоянно. Одним из главных преимуществ заведения - это вежливый персонал,
готовый помочь в любой момент, который делает заведению хорошую репутацию. Кафе
имеет отличное местоположение, так как расположено в месте обитания своего
сегмента посетителей, а также имеет хорошую видимость.
Как заключение можно сказать, что перед
предприятием «Техас» стоит ряд проблем, которые необходимо решить для
дальнейшего успешного функционирования. Заведение недостаточно стимулирует
продажи, так как использует ограниченное количество инструментов маркетинга.
Необходимо использовать не только флаера, ситилайты и социальные сети, но и
активно использовать альтернативные виды рекламы, например, мобильный
маркетинг, рекламу в СМИ и сарафанное радио. Это увеличит шансы привлечь больше
клиентов или переманить их у конкурентов, что в результате повысит прибыль
предприятия. Возможными причинами проблемы может быть отсутствие отдела
маркетинга, небольшой опыт работы руководителя, отсутствие материальных средств
на начальном этапе функционирования.
Другой проблемой заведения является недостаточно
высокая лояльность клиентов. Возможной причиной данной проблемы может быть
недостаточно сформированное количество мер по воспитанию клиентов и небольшой
опыт работы руководитель в данной сфере. На предприятии проводится воспитание
клиентоориентированного сотрудника, ведь клиентам нравится, когда им улыбаются,
внимательно слушают, прислушиваются к их мнению, уделяют время, внимание, им
нужна помощь и совет. Команда кафе «Техас» понимает, что клиент - главная
ценность предприятия и за его преданность необходимо бороться. В заведении
внедрены системы скидок, которые действуют в определенные дни и время работы.
Также в заведении есть книга жалоб, которая помогает предприятию
совершенствоваться и развиваться в правильном направлении. Но данных мер
недостаточно и руководителю кафе необходимо расширить меры по формированию
лояльной клиентской базы. Необходимо благодарить клиентов за жалобы, в
обязательном порядке реагировать на них, и относится к «трудным клиентам» как к
подарку. Прежде чем запускать новое блюдо, протестировать новинку в узком круге
клиентов, оценить их реакцию, внести коррективы на основании полученной
обратной связи, а уже потом предлагать новинку всем клиентам. Такой подход
позволит, во-первых, клиентам почувствовать свою значимость, ощутить, что их
мнение для вас важно и ценно, что именно они - клиенты создают новый продукт,
они почувствуют свою причастность к процессу и с радостью выступят в роли
экспертов. А, во-вторых, это поможет избежать ошибок и недоразумений, связанных
с процессом внедрения новинок широкому кругу потребителей. [7] Руководителю
необходимо часто общаться с клиентами, интересоваться, что им нравится, а что
нет. Сотрудникам кафе необходимо стараться запоминать клиентов и обращаться к
ним по имени. Также необходимо поздравлять клиентов с праздниками, дарить им
подарки, запоминать их привычки, по возможности можно вести историю работы с
каждым клиентом. Клиенты обязательно оценят внимательность персонала.
Следующая проблема заключается в том, что в
заведении принято суммировать все чаевые и делить поровну между всеми
сотрудниками, участвующими в процессе обслуживания клиента. Но такая система
распределения чаевых часто приводит к конфликтам, так как некоторые сотрудники
не желают делиться своим заработком. Предполагаемая причина такой проблемы
состоит в том, что руководитель не оговаривает данное условие работы на
собеседовании. Таким образом, руководителю приходится часто регулировать такие
конфликты, что негативно сказывается на сплоченности персонала.
Также необходимо отметить, что заведение
предлагает клиентам стандартный формат меню, который использует большинство
подобных заведений. Возможно, при создании кафе собственник обладал
ограниченным количеством средств, поэтому отсутствовала возможность обратиться
к опытному дизайнеру для разработки уникального и необычного формата меню,
которое привлекало бы внимание любого посетителя.
Глава 2. Менеджмент ООО «Техас
.1Характеристика операционной системы
предприятия
Рассмотрим операционную систему ООО «Техас» в
виде таблицы.
Таблица 2.1
Характеристика операционной системы предприятия
|
Система
|
Основной
«вход»
|
Используемые
ресурсы
|
Основная
преобразующая функция
|
Типичный
ожидаемый «выход»
|
|
Кафе
|
Голодные
посетители
|
Продукты,
повара, официанты, кальянщик, бармен, интерьер залов
|
Вкусные
и правильно сервированные блюда; красивый зал (физическое преобразование и
обмен)
|
Удовлетворенные
посетители
|
Таким образом, основной «вход» операционной
системы предприятия - это голодные посетители, которые приходят в заведение для
того, чтобы удовлетворить чувство голода. Продукты, персонал и интерьер - это
основные ресурсы, которые использует система для привлечения и удовлетворения
потребностей основного «входа». В результате физического преобразования данных
ресурсов в системе образуются продукты, которые продаются основному «входу».
Как результат, ожидаемый «выход» - удовлетворенные посетители. [2]
.2 Характеристика системы обслуживания,
применяемой на анализируемом предприятии
В системе предоставляются услуги питания и
развлечения, приятного времяпровождения, так как заведение оказывает услуги
курения кальяна, русского бильярда, а также просмотр концертов местных
исполнителей, участие в разнообразных тематических вечеринках.
Роль входящих заявок на предприятии выполняют
товары, посетители и деньги. Роль каналов обслуживания выполняют повара,
официанты, бармен, кальянщик.
На рассматриваемом предприятии источником
входящего потока заявок в систему является бесконечная совокупность клиентов,
поскольку после того как клиент обслужен, генеральная совокупность снова
увеличивается и вероятность появления заявки на обслуживание возрастает, так
как в будущем этому клиенту вновь может потребоваться данная услуга. Единица
входящего потока может быть как одиночная заявка, так и групповая заявка,
потому что в кафе может обслуживаться как один посетитель, так и семья или
компания из десяти человек.
Входящие в систему потоки могут быть и
управляемыми, и неуправляемыми в зависимости от ситуации. Например, если в кафе
проводится корпоратив, выступление местного исполнителя в определенное вечернее
время и билеты или столик необходимо заказывать заранее по телефону или в
интернете - в этом случае наблюдается управляемый вид входящего потока. В
остальных случаях вид входящего потока - неуправляемый.
Поведение клиентов, посещающих данное заведение
достаточно терпеливое. Даже если клиент ведет себя нетерпеливо и выражает
недовольство, он продолжает ожидать момента оказания услуги.[2] На
рассматриваемом предприятии ограниченная очередь, ведь предприятие рассчитано
на ограниченное число посадочных мест. Для кафе «Техас» характерна
многолинейная очередь, поскольку в заведении существует несколько каналов
обслуживания. На предприятии основным правилом назначения приоритета является
правило «первым прибыл - первым обслужен». Согласно данному правилу клиенты в
очереди обслуживаются в хронологическом порядке прибытия и никакие другие
факторы на порядок обслуживания влияния не оказывают. Это правило считается
самым справедливым, однако необходимо отметить, что иногда бывают и исключения,
и в действие может вступать правило «первоочередное обслуживание в случаях
крайней необходимости».
Обслуживание в сервисной системе осуществляется
с помощью нескольких каналов обслуживания. К ним относятся официанты, бармен,
кальянщик, повара. Таким образом, на предприятии функционирует многоканальная
система обслуживания. Распределение времени обслуживания случайное, поскольку
время обслуживания каждого посетителя имеет неодинаковую продолжительность и
зависит от количества заказов, времени приготовления блюда, численности
клиентов в зале. Кафе - это многофазная система обслуживания: официант
принимает заказ, делает заказ повару, приносит заказанное блюдо и осуществляет
расчет. Как результат, предприятие относится к многоканальной многофазной
структуре сервисной системы.
После обслуживания клиента возможно два сценария
его выхода из системы:
Клиент вернется в исходную генеральную
совокупность и, возможно, станет постоянным клиентом заведения. Необходимо
отметить, что предприятие делает все возможное для формирования и увеличения
постоянной клиентуры.
Клиент может посетить данное заведение только
один раз и больше не прийти в силу того, что ему не понравилось меню, дизайн,
обслуживание или кафе не соответствует уровню его доходов.
.3 Анализ применяемого в организации типа
производства и типа процесса производства
В рассматриваемой организации используется
серийный тип производства, для которого характерно производство разнообразной
продукции сериями через различные интервалы времени. На предприятии наблюдается
такой тип процесса производства как повторяющийся процесс. Необходимо отметить,
что данный тип процесса производства строится на производстве модулей. Модуль -
это части или компоненты конечного изделия, предварительно изготавливаемые с
использованием постоянных процессов, на основе которых с использованием
переменных процессов осуществляется общая сборка конечного изделия по заказу
конкретного потребителя.[2] Для определенных блюд создание модулей
нецелесообразно, поскольку на некоторые блюда спрос не постоянен, например, для
блинчиков или фруктового салата. Преимущество данного типа процесса
производства состоит в том, что кафе приобретает экономические выгоды как
постоянных процессов (снижение себестоимости при поточном производстве
модулей), так и переменных процессов (увеличение прибыли при удовлетворении
разнообразного спроса). Также это экономит время обслуживания клиентов, которые
спешат, к примеру, студентов или работников учреждений. Повторяющиеся операции
уменьшают изменения в рабочих инструкциях, и требуют небольшие места хранилищ
продуктов. Конечная продукция не предполагает хранения, поскольку сразу
реализуется. Тип процесса производства предусматривает достаточно большой объем
человеческого труда, поэтому заработная плата соответствующая.[8] Анализируя
достоинства и недостатки данного типа процесса производства, можно сказать, что
он наиболее оптимален для анализируемого предприятия.
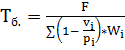
.5Анализ критической точки
Точка безубыточности - минимальный объем
производства и реализации продукции, при котором расходы будут компенсированы
доходами, а при производстве и реализации каждой последующей единицы продукции
предприятие начинает получать прибыль.[9]
Формула для расчета точки безубыточности для
многопродуктового случая выглядит следующим образом:
, где
- постоянные
затраты предприятия;
- переменные
затраты на единицу продукции;
- цена i-го
продукта;
- доля i-го товара
в общем объеме продаж в денежном выражении.
Постоянные затраты предприятия смотри Приложение
1.
|
Перечень блюд
|
Цена, д.ед
|
Переменные затраты, д.ед.
|
Годовой прогноз продаж, ед.
|
|
|
Прогноз продаж, д.ед
|
|
(1- )
*
|
|
Английский
завтрак
|
190
|
50
|
1150
|
0,263
|
0,737
|
218500
|
0,0036
|
0,0027
|
|
Деревенский
завтрак
|
215
|
49
|
1300
|
0,228
|
0,772
|
279500
|
0,0047
|
0,0036
|
|
Завтрак
от Джонни
|
185
|
60
|
1500
|
0,324
|
0,676
|
277500
|
0,0046
|
0,0031
|
|
Блинчики
(3 шт)
|
120
|
23
|
700
|
0,192
|
0,808
|
84000
|
0,0014
|
0,0011
|
|
Блинчики
с куриным фрикассе
|
180
|
45
|
1350
|
0,250
|
0,750
|
243000
|
0,0041
|
0,0031
|
|
Теплый
бриз
|
285
|
86
|
1650
|
0,302
|
0,698
|
470250
|
0,0078
|
0,0054
|
|
Стафф
салат
|
280
|
94
|
1400
|
0,336
|
0,664
|
392000
|
0,0065
|
0,0043
|
|
Цезарь
|
250
|
96
|
1900
|
0,384
|
0,616
|
475000
|
0,0079
|
0,0049
|
|
Цезарь
с креветкой
|
280
|
98
|
1600
|
0,350
|
0,650
|
448000
|
0,0075
|
0,0049
|
|
Севиче
с креветкой
|
290
|
95
|
1450
|
0,328
|
0,672
|
420500
|
0,007
|
0,0047
|
|
Салат
с пармской ветчиной
|
280
|
76
|
1450
|
0,271
|
0,729
|
406000
|
0,0068
|
0,0050
|
|
Греческий
салат
|
205
|
45
|
1200
|
0,220
|
0,780
|
246000
|
0,0041
|
0,0032
|
|
Бургер
Классический
|
175
|
50
|
2550
|
0,286
|
0,714
|
446250
|
0,0074
|
0,0053
|
|
Бургер
Техас
|
190
|
54
|
2800
|
0,284
|
0,716
|
532000
|
0,0089
|
0,0064
|
|
Бургер
Мексиканс-кий
|
200
|
52
|
1700
|
0,260
|
0,740
|
340000
|
0,0057
|
0,0042
|
|
Бургер
Английский
|
220
|
60
|
1760
|
0,273
|
0,727
|
387200
|
0,0065
|
0,0047
|
|
Сендвич
с курицей
|
240
|
60
|
2080
|
0,250
|
0,750
|
499200
|
0,0083
|
0,0062
|
|
Сендвич
с тунцом
|
290
|
56
|
1450
|
0,193
|
0,807
|
420500
|
0,007
|
0,0056
|
|
Сендвич
с лососем
|
295
|
84
|
1680
|
0,285
|
0,715
|
495600
|
0,0083
|
0,0059
|
|
Буритто
с курицей
|
175
|
56
|
2400
|
0,320
|
0,680
|
420000
|
0,007
|
0,0048
|
|
Буритто
с куриным филе
|
195
|
59
|
1700
|
0,303
|
0,697
|
331500
|
0,0055
|
0,0038
|
|
Сырный
буритто
|
165
|
48
|
1900
|
0,291
|
0,709
|
313500
|
0,0052
|
0,0037
|
|
Буритто
Джонни
|
190
|
57
|
2350
|
0,300
|
0,700
|
446500
|
0,0074
|
0,0052
|
|
Овощной
ризотто
|
185
|
50
|
2000
|
0,270
|
0,730
|
370000
|
0,0062
|
0,0045
|
|
Рис
с курицей
|
165
|
47
|
1700
|
0,285
|
0,715
|
280500
|
0,0047
|
|
Рапаны
в сливочном соусе
|
210
|
74
|
2000
|
0,352
|
0,648
|
420000
|
0,007
|
0,0045
|
|
Мидии
в белом соусе
|
200
|
70
|
2100
|
0,350
|
0,650
|
420000
|
0,0070
|
0,0046
|
|
Стейк
из семги с соусом Тар-Тар
|
395
|
130
|
2200
|
0,329
|
0,671
|
869000
|
0,0145
|
0,0097
|
|
Стейк
из курицы
|
250
|
50
|
2180
|
0,200
|
0,800
|
545000
|
0,0091
|
0,0073
|
|
Стейк
из свинины с картошкой фри
|
310
|
100
|
2700
|
0,323
|
0,677
|
837000
|
0,014
|
0,0095
|
|
Стейк
Амстердам
|
330
|
77
|
1890
|
0,233
|
0,767
|
623700
|
0,0104
|
0,0080
|
|
Медальоны
из свинины в сливочно-грибном соусе
|
350
|
95
|
2000
|
0,271
|
0,729
|
700000
|
0,0117
|
0,0085
|
|
Мальборо
|
290
|
67
|
1760
|
0,231
|
0,769
|
510400
|
0,0085
|
0,0065
|
|
Chef
Привет из Техаса
|
360
|
75
|
2400
|
0,208
|
0,792
|
864000
|
0,0144
|
0,0114
|
|
Карбонара
|
235
|
50
|
2250
|
0,213
|
0,787
|
528750
|
0,0088
|
0,0069
|
|
Морской
бриз
|
285
|
55
|
2100
|
0,193
|
0,807
|
598500
|
0,01
|
0,0081
|
|
Помидоро
|
220
|
73
|
2000
|
0,332
|
0,668
|
440000
|
0,0073
|
0,0049
|
|
Квадро
Фармаджио
|
295
|
48
|
1780
|
0,163
|
0,837
|
525100
|
0,0088
|
0,0074
|
|
Курица
с грибами под медово- горчичным соусом
|
290
|
67
|
2000
|
0,231
|
0,769
|
580000
|
0,0097
|
0,0075
|
|
Свинина
в томатном соусе с картофелем по - мексикански
|
315
|
80
|
2200
|
0,254
|
0,746
|
693000
|
0,0116
|
0,0087
|
|
Мексиканская
похлебка
|
140
|
27
|
1200
|
0,193
|
0,807
|
168000
|
0,0028
|
0,0023
|
|
Солянка
|
190
|
43
|
1500
|
0,226
|
0,774
|
285000
|
0,0048
|
0,0037
|
|
Чаудор
|
260
|
42
|
1840
|
0,162
|
0,838
|
478400
|
0,008
|
0,0067
|
|
Кимай
|
160
|
39
|
1000
|
0,244
|
0,756
|
160000
|
0,0027
|
0,0020
|
|
Шоколадный
брауни
|
140
|
30
|
1750
|
0,214
|
0,786
|
245000
|
0,0041
|
0,0032
|
|
Чизкейк
|
150
|
40
|
1900
|
0,267
|
0,733
|
285000
|
0,0048
|
0,0035
|
|
Блинчики
с Nutella
|
140
|
42
|
700
|
0,300
|
0,700
|
98000
|
0,0016
|
0,0011
|
|
Фруктовый
салат
|
150
|
30
|
1480
|
0,200
|
0,800
|
222000
|
0,0037
|
0,0030
|
|
Мороженое
|
110
|
37
|
1100
|
0,336
|
0,664
|
121000
|
0,002
|
0,0013
|
|
Королевское
мороженое
|
170
|
48
|
1300
|
0,282
|
0,718
|
221000
|
0,0037
|
0,0027
|
|
Мясо
из-под мачете
|
320
|
87
|
2000
|
0,272
|
0,728
|
640000
|
0,0107
|
0,0078
|
|
Сыр
из-под мачете
|
290
|
70
|
1200
|
0,241
|
0,759
|
348000
|
0,0058
|
0,0044
|
|
Овощи
из-под мачете
|
185
|
42
|
200
|
0,227
|
0,773
|
37000
|
0,0006
|
0,0005
|
|
Соленья
бабушки Джуанны
|
200
|
25
|
2000
|
0,125
|
0,875
|
400000
|
0,0067
|
0,0059
|
|
Соус
Тар-тар
|
30
|
8
|
500
|
0,267
|
0,733
|
15000
|
0,0003
|
0,0002
|
|
Соус
чесночный
|
30
|
7
|
300
|
0,233
|
0,767
|
9000
|
0,0002
|
0,0002
|
|
Соус
Барбекю
|
30
|
9
|
400
|
0,300
|
0,700
|
12000
|
0,0002
|
0,0001
|
|
Соус
кисло- сладкий
|
30
|
10
|
500
|
0,333
|
0,667
|
15000
|
0,0003
|
0,0002
|
|
Соус
Эль-Диабло
|
30
|
10
|
400
|
0,333
|
0,667
|
12000
|
0,0002
|
0,0001
|
|
Соус
сливочно-грибной
|
50
|
11
|
300
|
0,220
|
0,780
|
15000
|
0,0003
|
0,0002
|
|
Картофель
- фри
|
90
|
20
|
3000
|
0,222
|
0,778
|
270000
|
0,0045
|
0,0035
|
|
Картофель
по - мексикански
|
100
|
30
|
2000
|
0,300
|
0,700
|
200000
|
0,0033
|
0,0023
|
|
Овощи
гриль
|
150
|
30
|
1800
|
0,200
|
0,800
|
270000
|
0,0045
|
0,0036
|
|
Девственная
Хуанита
|
150
|
32
|
900
|
0,213
|
0,787
|
135000
|
0,0023
|
|
Дынная
история
|
165
|
41
|
1100
|
0,248
|
0,752
|
181500
|
0,003
|
0,0023
|
|
Чистая
страсть
|
145
|
32
|
1760
|
0,221
|
0,779
|
255200
|
0,0043
|
0,0034
|
|
Шоко
кола
|
145
|
40
|
1200
|
0,276
|
0,724
|
174000
|
0,0029
|
0,0021
|
|
Молочный
коктейль
|
160
|
30
|
700
|
0,188
|
0,813
|
112000
|
0,0019
|
0,0015
|
|
Мохито
б/а
|
150
|
27
|
1000
|
0,180
|
0,820
|
150000
|
0,0025
|
0,0021
|
|
Безопасный
секс
|
150
|
38
|
1200
|
0,253
|
0,747
|
180000
|
0,003
|
0,0022
|
|
Голубая
лагуна
|
145
|
40
|
1300
|
0,276
|
0,724
|
188500
|
0,0031
|
0,0022
|
|
Фраппе
|
160
|
30
|
1250
|
0,188
|
0,813
|
200000
|
0,0033
|
0,0027
|
|
Лонг
Айленд Айс-ти
|
280
|
45
|
800
|
0,161
|
0,839
|
224000
|
0,0037
|
0,0031
|
|
Лонг
бич Айс-ти
|
280
|
52
|
750
|
0,186
|
0,814
|
210000
|
0,0035
|
0,0029
|
|
Мохито
|
190
|
40
|
1400
|
0,211
|
0,789
|
266000
|
0,0044
|
0,0035
|
|
Би
- Оуши
|
210
|
50
|
1500
|
0,238
|
0,762
|
315000
|
0,0053
|
0,0040
|
|
Черносмородиновый
мохито
|
210
|
43
|
800
|
0,205
|
0,795
|
168000
|
0,0028
|
0,0022
|
|
Лагуна
|
170
|
42
|
1300
|
0,247
|
0,753
|
221000
|
0,0037
|
0,0028
|
|
Текила
санрайз
|
185
|
48
|
1500
|
0,259
|
0,741
|
277500
|
0,0046
|
0,0034
|
|
Секс
на пляже
|
175
|
39
|
800
|
0,223
|
0,777
|
140000
|
0,0023
|
0,0018
|
|
От
заката до рассвета
|
185
|
29
|
1150
|
0,157
|
0,843
|
212750
|
0,0035
|
0,0030
|
|
Смородиновый
лимонад
|
170
|
20
|
750
|
0,118
|
0,882
|
127500
|
0,0021
|
0,0019
|
|
Гавайи
|
210
|
41
|
1300
|
0,195
|
0,805
|
273000
|
0,0046
|
0,0037
|
|
Фирменный
Техас
|
240
|
50
|
1450
|
0,208
|
0,792
|
348000
|
0,0058
|
0,0046
|
|
Пина
Колада
|
185
|
40
|
1300
|
0,216
|
0,784
|
240500
|
0,004
|
0,0031
|
|
Маргарита
|
180
|
45
|
1270
|
0,250
|
0,750
|
228600
|
0,0038
|
0,0029
|
|
Дайжирм
|
120
|
30
|
1550
|
0,250
|
0,750
|
186000
|
0,0031
|
0,0023
|
|
Маргарита
клубничная
|
190
|
40
|
1700
|
0,211
|
0,789
|
323000
|
0,0054
|
0,0043
|
|
Смородиновый
космо
|
180
|
30
|
780
|
0,167
|
0,833
|
140400
|
0,0023
|
0,0019
|
|
Белая
ночь
|
190
|
34
|
1700
|
0,179
|
0,821
|
323000
|
0,0054
|
0,0044
|
|
Мартини
драй
|
170
|
43
|
1450
|
0,253
|
0,747
|
246500
|
0,0041
|
0,0031
|
|
Кровавая
Хуанита
|
180
|
35
|
1200
|
0,194
|
0,806
|
216000
|
0,0036
|
0,0029
|
|
Егерь
в Техасе
|
220
|
47
|
1240
|
0,214
|
0,786
|
272800
|
0,0046
|
0,0036
|
|
Коктейль
Белый русский
|
170
|
30
|
1150
|
0,176
|
0,824
|
195500
|
0,0033
|
0,0027
|
|
Коктейль
Черный русский
|
130
|
32
|
1500
|
0,246
|
0,754
|
195000
|
0,0033
|
0,0025
|
|
Коктейль
Олд-Фрешн
|
180
|
51
|
800
|
0,283
|
0,717
|
144000
|
0,0024
|
0,0017
|
|
Кайпиринья
|
170
|
30
|
1260
|
0,176
|
0,824
|
214200
|
0,0036
|
0,0030
|
|
Виски
Scotch
|
240
|
40
|
2140
|
0,167
|
0,833
|
513600
|
0,0086
|
0,0072
|
|
Виски
Jameson
|
220
|
49
|
1900
|
0,223
|
0,777
|
418000
|
0,007
|
0,0054
|
|
Бурбон
Jim Beam
|
210
|
35
|
2370
|
0,167
|
0,833
|
497700
|
0,0083
|
0,0069
|
|
Бурбон
Jack Daniels
|
280
|
40
|
2300
|
0,143
|
0,857
|
644000
|
0,0107
|
0,0092
|
|
Джин
Beefeater
|
180
|
32
|
1650
|
0,178
|
0,822
|
297000
|
0,005
|
0,0041
|
|
Ром
Havana Club 3 y.e.
|
180
|
34
|
1200
|
0,189
|
0,811
|
216000
|
0,0036
|
|
Ром
Havana Club 7 y.e.
|
320
|
60
|
1300
|
0,188
|
0,813
|
416000
|
0,0069
|
0,0056
|
|
Текила
Olmeca Silver
|
170
|
35
|
2000
|
0,206
|
0,794
|
340000
|
0,0057
|
0,0045
|
|
Текила
Olmeca Gold
|
190
|
38
|
1250
|
0,200
|
0,800
|
237500
|
0,004
|
0,0032
|
|
Вермут
Martini
|
130
|
30
|
1740
|
0,231
|
0,769
|
226200
|
0,0038
|
0,0029
|
|
Абсент
|
220
|
53
|
2250
|
0,241
|
0,759
|
495000
|
0,0083
|
0,0063
|
|
Самбука
Itaka
|
160
|
35
|
1100
|
0,219
|
0,781
|
176000
|
0,0029
|
0,0023
|
|
Ликеры
в ассортименте
|
160
|
30
|
1350
|
0,188
|
0,813
|
216000
|
0,0036
|
0,0029
|
|
Настойка
Becherovka
|
180
|
35
|
2000
|
0,194
|
0,806
|
360000
|
0,006
|
0,0048
|
|
Ликер
Jagermelster
|
190
|
36
|
1100
|
0,189
|
0,811
|
209000
|
0,0035
|
0,0028
|
|
Фирменное
«Техас»
|
95
|
25
|
1260
|
0,263
|
0,737
|
119700
|
0,002
|
0,0015
|
|
Белый
медведь (светлое)
|
100
|
25
|
2150
|
0,250
|
0,750
|
215000
|
0,0036
|
0,0027
|
|
Белый
медведь (нефильтро-ванное)
|
110
|
28
|
2200
|
0,255
|
0,745
|
242000
|
0,004
|
0,0030
|
|
Хугарден
|
190
|
44
|
2000
|
0,232
|
0,768
|
380000
|
0,0063
|
0,0048
|
|
Stella
Artua
|
180
|
35
|
1800
|
0,194
|
0,806
|
324000
|
0,0054
|
0,0044
|
|
Green
day оригинал
|
70
|
20
|
2300
|
0,286
|
0,714
|
161000
|
0,0027
|
0,0019
|
|
Green
day кленовая
|
80
|
28
|
2150
|
0,350
|
0,650
|
172000
|
0,0029
|
0,0019
|
|
Absolut
Citron
|
160
|
25
|
2250
|
0,156
|
0,844
|
360000
|
0,0060
|
0,0051
|
|
Absolut
Original
|
130
|
20
|
2000
|
0,154
|
0,846
|
260000
|
0,0043
|
0,0036
|
|
Бренди
Жан-жак 3*
|
75
|
21
|
1150
|
0,280
|
0,720
|
86250
|
0,0014
|
0,0010
|
|
Бренди
Жан-жак 5*
|
85
|
26
|
1100
|
0,306
|
0,694
|
93500
|
0,0016
|
0,0011
|
|
Коньяк
Martell V.S.
|
380
|
80
|
1400
|
0,211
|
0,789
|
532000
|
0,0089
|
0,0070
|
|
Б-52
|
70
|
24
|
1300
|
0,343
|
0,657
|
91000
|
0,0015
|
0,0010
|
|
Б-53
|
70
|
22
|
1200
|
0,314
|
0,686
|
84000
|
0,0014
|
0,0010
|
|
Хиросима
|
70
|
30
|
1500
|
0,429
|
0,571
|
105000
|
0,0018
|
0,0010
|
|
Зеленый
мексиканец
|
70
|
23
|
1120
|
0,329
|
0,671
|
78400
|
0,0013
|
0,0009
|
|
Техас
|
70
|
26
|
1000
|
0,371
|
0,629
|
70000
|
0,0012
|
0,0008
|
|
Дыхание
Дракона
|
70
|
25
|
2000
|
0,357
|
0,643
|
140000
|
0,0023
|
0,0015
|
|
От
Шерифа
|
70
|
22
|
1550
|
0,314
|
0,686
|
108500
|
0,0018
|
0,0012
|
|
Российский
флаг
|
70
|
24
|
500
|
0,343
|
0,657
|
35000
|
0,0006
|
0,0004
|
|
Тик-так
|
70
|
26
|
750
|
0,371
|
0,629
|
52500
|
0,0009
|
0,0006
|
|
Медуза
|
70
|
26
|
1000
|
0,371
|
0,629
|
70000
|
0,0012
|
0,0008
|
|
Облака
|
70
|
21
|
1300
|
0,300
|
0,700
|
91000
|
0,0015
|
0,0011
|
|
БМВ
|
70
|
27
|
1450
|
0,386
|
0,614
|
101500
|
0,0017
|
0,0010
|
|
Выстрел
в голову
|
70
|
22
|
1760
|
0,314
|
0,686
|
123200
|
0,0021
|
0,0014
|
|
Панацея
|
70
|
25
|
1650
|
0,357
|
0,643
|
115500
|
0,0019
|
0,0012
|
|
Ирландский
флаг
|
70
|
20
|
1150
|
0,286
|
0,714
|
80500
|
0,0013
|
0,0009
|
|
Серебряная
пуля
|
70
|
21
|
1400
|
0,300
|
0,700
|
98000
|
0,0016
|
0,0011
|
|
Шот
«Белый русский»
|
70
|
25
|
1150
|
0,357
|
0,643
|
80500
|
0,0013
|
0,0008
|
|
Сатера
красное сухое
|
90
|
35
|
1600
|
0,389
|
0,611
|
144000
|
0,0024
|
|
Сатера
красное
|
90
|
33
|
1400
|
0,367
|
0,633
|
126000
|
0,0021
|
0,0013
|
|
Сатера
белое
|
90
|
34
|
1200
|
0,378
|
0,622
|
108000
|
0,0018
|
0,0011
|
|
Сатера
белое сухое
|
90
|
30
|
800
|
0,333
|
0,667
|
72000
|
0,0012
|
0,0008
|
|
Золотая
балка
|
550
|
150
|
1870
|
0,273
|
0,727
|
1028500
|
0,0172
|
0,0125
|
|
Мускат
|
600
|
210
|
2000
|
0,350
|
0,650
|
1200000
|
0,02
|
0,0130
|
|
Брют
|
600
|
180
|
2150
|
0,300
|
0,700
|
1290000
|
0,0215
|
0,0151
|
|
Burn
- водка
|
200
|
50
|
2100
|
0,250
|
0,750
|
420000
|
0,007
|
0,0053
|
|
Виски
- кола
|
180
|
45
|
1280
|
0,250
|
0,750
|
230400
|
0,0038
|
0,0029
|
|
Джин
- тоник
|
200
|
36
|
1050
|
0,180
|
0,820
|
210000
|
0,0035
|
0,0029
|
|
Бетон
|
220
|
54
|
1400
|
0,245
|
0,755
|
308000
|
0,0051
|
0,0038
|
|
Мартини
оранж
|
160
|
28
|
1400
|
0,175
|
0,825
|
224000
|
0,0037
|
0,0031
|
|
Бренди
- кола
|
140
|
30
|
1250
|
0,214
|
0,786
|
175000
|
0,0029
|
0,0023
|
|
Куба
- Либре
|
230
|
37
|
1250
|
0,161
|
0,839
|
287500
|
0,0048
|
0,0040
|
|
Эспрессо
|
50
|
11
|
2000
|
0,220
|
0,780
|
100000
|
0,0017
|
0,0013
|
|
Ристретто
|
50
|
14
|
1500
|
0,280
|
0,720
|
75000
|
0,0013
|
0,0009
|
|
Американо
|
50
|
15
|
1700
|
0,300
|
0,700
|
85000
|
0,0014
|
0,0010
|
|
Доппио
|
100
|
20
|
1200
|
0,200
|
0,800
|
120000
|
0,0020
|
0,0016
|
|
Капучино
|
75
|
12
|
1100
|
0,160
|
0,840
|
82500
|
0,0014
|
0,0012
|
|
Капучино
с маршмеллоу
|
90
|
20
|
1900
|
0,222
|
0,778
|
171000
|
0,0029
|
0,0023
|
|
Латте
макиато
|
85
|
17
|
1250
|
0,200
|
0,800
|
106250
|
0,0018
|
0,0014
|
|
Латте
макиато с сиропом
|
100
|
20
|
1150
|
0,200
|
0,800
|
115000
|
0,0019
|
0,0015
|
|
Биг
латте
|
180
|
20
|
1200
|
0,111
|
0,889
|
216000
|
0,0036
|
0,0032
|
|
Айс
кофе
|
160
|
30
|
1300
|
0,188
|
0,813
|
208000
|
0,0035
|
0,0028
|
|
Какао
|
80
|
10
|
500
|
0,125
|
0,875
|
40000
|
0,0007
|
0,0006
|
|
Гляссе
|
120
|
22
|
800
|
0,183
|
0,817
|
96000
|
0,0016
|
0,0013
|
|
Шестая
передача
|
160
|
37
|
1180
|
0,231
|
0,769
|
188800
|
0,0031
|
0,0024
|
|
Яблочный
эспрессо
|
160
|
16
|
700
|
0,100
|
0,900
|
112000
|
0,0019
|
0,0017
|
|
Молоко
порция
|
30
|
10
|
300
|
0,333
|
0,667
|
9000
|
0,0002
|
0,0001
|
|
Сок
в ассортименте
|
70
|
20
|
2800
|
0,286
|
0,714
|
196000
|
0,0033
|
0,0024
|
|
Coca-cola
|
90
|
30
|
1770
|
0,333
|
0,667
|
159300
|
0,0027
|
0,0018
|
|
Sprite
|
90
|
31
|
1200
|
0,344
|
0,656
|
108000
|
0,0018
|
0,0012
|
|
Тоник
Швепс
|
90
|
30
|
1000
|
0,333
|
0,667
|
90000
|
0,0015
|
0,0010
|
|
Минеральная
вода Bonaqua
|
85
|
29
|
950
|
0,341
|
0,659
|
80750
|
0,0013
|
0,0009
|
|
Фреш
цитрусовый
|
150
|
50
|
1280
|
0,333
|
0,667
|
192000
|
0,0032
|
0,0021
|
|
Энергетик
Burn
|
160
|
50
|
1400
|
0,313
|
0,688
|
224000
|
0,0037
|
0,0025
|
|
Чай
«Английский завтрак»
|
90
|
10
|
1350
|
0,111
|
0,889
|
121500
|
0,002
|
0,0018
|
|
Сенча
|
90
|
15
|
600
|
0,167
|
0,833
|
54000
|
0,0009
|
0,0008
|
|
Зеленый
чай с жасмином
|
90
|
12
|
1080
|
0,133
|
0,867
|
97200
|
0,0016
|
0,0014
|
|
Наглый
фрукт
|
90
|
18
|
1050
|
0,200
|
0,800
|
94500
|
0,0016
|
|
Эрл
Грей
|
90
|
10
|
800
|
0,111
|
0,889
|
72000
|
0,0012
|
0,0011
|
|
Смородиновый
чай
|
120
|
20
|
700
|
0,167
|
0,833
|
84000
|
0,0014
|
0,0012
|
|
Согревающий
Техас
|
120
|
19
|
1350
|
0,158
|
0,842
|
162000
|
0,0027
|
0,0023
|
|
Клюквенный
чай
|
120
|
20
|
700
|
0,167
|
0,833
|
84000
|
0,0014
|
0,0012
|
|
Сладкое
яблоко
|
120
|
18
|
950
|
0,150
|
0,850
|
114000
|
0,0019
|
0,0016
|
|
Лимонный
чай
|
120
|
17
|
1000
|
0,142
|
0,858
|
120000
|
0,002
|
0,0017
|
|
Клубничный
чай
|
120
|
20
|
900
|
0,167
|
0,833
|
108000
|
0,0018
|
0,0015
|
|
Кальян
на воде
|
300
|
60
|
1300
|
0,200
|
0,800
|
390000
|
0,0065
|
0,0052
|
|
Кальян
на молоке
|
400
|
75
|
1500
|
0,188
|
0,813
|
600000
|
0,01
|
0,0081
|
|
Кальян
на соке
|
450
|
95
|
1560
|
0,211
|
0,789
|
702000
|
0,0117
|
0,0092
|
|
Кальян
на вине
|
550
|
120
|
1700
|
0,218
|
0,782
|
935000
|
0,0156
|
0,0122
|
|
Кальян
на коньяке
|
1000
|
250
|
2000
|
0,250
|
0,750
|
2000000
|
0,0334
|
0,0251
|
|
Чаша
из фруктов
|
130
|
30
|
1400
|
0,231
|
0,769
|
182000
|
0,003
|
0,0023
|
|
Кальян
"Сахарный"
|
800
|
160
|
1800
|
0,200
|
0,800
|
1440000
|
0,024
|
0,0192
|
|
Кальян
"Дынно - арбузный"
|
600
|
110
|
1700
|
0,183
|
0,817
|
1020000
|
0,017
|
0,0139
|
|
Кальян
"Виноградный"
|
650
|
100
|
1900
|
0,154
|
0,846
|
1235000
|
0,0206
|
0,0174
|
|
Кальян
"Мохитос"
|
900
|
150
|
2000
|
0,167
|
0,833
|
1800000
|
0,03
|
0,0250
|
|
|
|
|
|
|
59953550
|
1,0000
|
0,7610
|
Рассчитаем точку безубыточности:
руб.
Таким образом, для того, чтобы кафе сработало в
ноль, т.е. доходы покрыли расходы, ему необходимо реализовать продукции на
сумму
руб.
При превышении данной суммы предприятие будет получать прибыль, если сумма не
достигнута - предприятие несет убытки.
Расчет прогнозных показателей работы предприятия
Для расчета прогнозных показателей работы
предприятия используем метод меняющейся средней за три месяца. Для того, чтобы
построить прогноз спроса используем следующую формулу:
Таблица 2.6
Расчет прогнозных показателей работы предприятия
|
Месяц
|
Текущие
продажи, руб.
|
Прогноз,
руб.
|
|
Декабрь
|
550000
|
|
|
Январь
|
730000
|
|
|
Февраль
|
790000
|
|
|
Март
|
880000
|
690000
|
|
Апрель
|
940000
|
800000
|
|
Май
|
1090000
|
870000
|
|
Июнь
|
1140000
|
970000
|
|
Июль
|
1160000
|
1056667
|
|
Август
|
1300000
|
1130000
|
|
Сентябрь
|
1190000
|
1200000
|
|
Октябрь
|
1200000
|
1216667
|
|
Ноябрь
|
1050000
|
1230000
|
|
Декабрь
|
|
1146667
|
Установим взаимосвязь между двумя переменными -
уровнем продаж и затратами заведения на рекламу.
В таблице представлены данные о ежемесячных
продажах предприятия и суммы расходов на рекламу.
Таблица 2.7
|
Месяц
|
Уровень
продаж, тыс.руб.(у)
|
Затраты
на рекламу, тыс.руб.(х)
|
|
Декабрь
|
550
|
32
|
|
Январь
|
730
|
25
|
|
Февраль
|
790
|
22
|
|
Март
|
880
|
15
|
|
Апрель
|
940
|
20
|
|
Май
|
1090
|
25
|
|
Июнь
|
1140
|
22
|
|
Июль
|
1160
|
19
|
|
Август
|
1300
|
23
|
|
Сентябрь
|
1190
|
27
|
|
Октябрь
|
1200
|
25
|
|
Ноябрь
|
1050
|
26
|
|
∑y
= 12020
|
∑x=
281
|
|
=1001,67
|
=
23,42
|
Дополним таблицу следующими расчетами:
|
x^2
|
x*y
|
y^2
|
|
1024
|
17600
|
302500
|
|
625
|
18250
|
532900
|
|
484
|
17380
|
624100
|
|
225
|
13200
|
774400
|
|
400
|
18800
|
883600
|
|
625
|
27250
|
1188100
|
|
484
|
25080
|
1299600
|
|
361
|
22040
|
1345600
|
|
529
|
29900
|
1690000
|
|
729
|
32130
|
1416100
|
|
625
|
30000
|
1440000
|
|
676
|
27300
|
1102500
|
|
∑x^2=6787
|
∑
x*y = 278930
|
∑y^2=12599400
|
Уравнение регрессии имеет следующий вид:
у = а + bx, где
а - результирующий фактор;
х - причинный фактор
Определим значение b
b =
=
a =
=
1001,67 - (-12.27)* 23,42= 1289
Преобразуем уравнение регрессии следующим
образом:
у = 1289 + (-12,27)*х
Предполагаем, что затраты на рекламу в декабре
составят 20 тыс. руб., тогда:
у = 1289 + (-12,27)*20 = 1043,6 тыс. руб.
Рассчитаем коэффициент корреляции:
r =
Таким образом, полученное значение коэффициента
свидетельствует об отсутствии корреляции между уровнем продаж и затратами
предприятия на рекламу. Можно сделать вывод о том, что на деятельность
предприятия влияют другие прямые и косвенные факторы. Например, местоположение
заведения в большом скоплении государственных учреждений и частных фирм, доходы
населения, уровень предоставляемого сервиса. Возможно, хорошую рекламу
заведению обеспечивает сарафанное радио.
В данной главе была проанализирована система
обслуживания, применяемая на предприятии, тип производства и тип процесса
производства, который характеризуется индивидуальным производством с
повторяющимся процессом производства, которое имеет преимущества и обеспечивает
стабильный производственный процесс. Была рассчитана критическая точка,
согласно которой уровень продаж предприятия должен составлять
руб.
В этом случае кафе не несет убытков и не получает прибыли, т.е. выходит в ноль.
С помощью метода меняющегося среднего был определен спрос на продукцию
предприятия, при этом наблюдается непрерывное увеличение уровня продаж с начала
деятельности кафе и спад в декабре текущего года.
Была установлена взаимосвязь между количеством
затрат на рекламу в течение двенадцати месяцев работы и выручкой от продаж.
Рассчитав коэффициент корреляции, мы определили, что связь между этими
переменными отсутствует, что говорит о наличии других факторов, влияющих на
функционирование предприятия.
Глава 3.Планирование на предприятии
При разработке агрегатного плана необходимо
ответить на несколько вопросов [10]:
Необходимо ли использовать запасы, чтобы
отреагировать на изменение спроса в течение планового периода?
Должны ли изменения спроса сопровождаться
изменениями в численности рабочих?
Должны ли использоваться дополнительные наемные
рабочие на определенные периоды или применятся сверхурочные работы либо,
наоборот, в период снижения спроса допустимы простои рабочих и оборудования?
Должны ли использоваться субподрядчики в период
повышенного спроса?
Должны ли цены или другие факторы быть изменены,
чтобы повлиять на спрос?
Ответы на эти вопросы отображают выбор стратегии
агрегатного планирования. Они включают манипулирование запасами (заделами),
темпом производства, уровнем использования труда, мощностью и другими
управляющими переменными.
Для разработки стратегии агрегатного планирования
для предприятия «Техас» рассчитаем дневной спрос
Таблица 3.1
Дневной спрос
|
Месяц
|
Ожидаемый
спрос
|
Количество
рабочих дней в месяце
|
Средний
за месяц ежедневный спрос
|
|
Март
|
690000
|
28
|
24642,86
|
|
Апрель
|
800000
|
26
|
30769,23
|
|
Май
|
870000
|
27
|
32222,22
|
|
Июнь
|
970000
|
26
|
37307,69
|
|
Июль
|
1056667
|
27
|
39135,81
|
|
Август
|
1130000
|
26
|
43461,54
|
|
Сентябрь
|
1200000
|
26
|
46153,85
|
1216667
|
27
|
45061,74
|
|
Ноябрь
|
1230000
|
25
|
49200
|
|
Декабрь
|
1146667
|
27
|
42469,15
|
|
10310001,00
|
265
|
|
Чтобы проиллюстрировать содержание проблемы агрегатного
планирования построим гистограмму (рис. 2), которая показывает дневной спрос в
каждом месяце. Пунктирная линия, пересекающая чертеж, представляет темп
производства, требуемый для удовлетворения среднего за весь период спроса.
Рассчитаем среднетребуемый выпуск:
Среднетребуемый выпуск =
38905,66
руб./день
Рис. 2 Гистограмма прогнозируемого спроса.
Анализируя гистограмму, можно сделать вывод о
том, что спрос на услуги питания и приятного времяпровождения в кафе «Техас» в
период с марта по июль ниже среднего спроса. Начиная с августа, спрос
значительно превышает уровень среднего спроса и поддерживается на высоком
уровне до конца года. Таким образом, для обеспечения высокого уровня
обслуживания, удовлетворения в полной мере всех потребностей клиентов,
поддержания хорошей репутации, которая влияет на популярность и успешность
данного заведения, предприятие может принять решение, направленное на изменение
численности официантов для удовлетворения возрастающего спроса. Также
предприятию необходимо обратить внимание на инструменты маркетинга, и принять
решение о разработке оптимальной маркетинговой схемы для продвижения своего
заведения, стимулирования продаж, закрепления хорошего имиджа в глазах клиента,
так как предприятие находится на стадии развития и активного освоения рынка.
Итак, рассмотрим стратегии, которые предприятие
«Техас» может использовать для успешного функционирования:
Стратегия 1 - изменение численности рабочих путем
приема в соответствии с необходимыми изменениями темпов производства для
удовлетворения возрастающего спроса.
Стратегия 2 - воздействие на спрос путем
использования различных видов рекламы.
План 1 включает варьирование численности рабочих
путем приема. Рекомендуем кафе «Техас» нанять двух официантов, которые будут
работать посменно. Итак, в смене будет работать три официанта, которые смогут
на должном уровне обслуживать клиентов в период высокого спроса. Затраты по
плану 1 представлены в таблице 3.2.
Таблица 3.2
Затраты по плану 1
|
Месяц
|
Прогноз,
д.ед.
|
Базовые
затраты, д.ед.
|
Затраты
найма, д.ед.
|
Общие
затраты, д.ед.
|
|
Август
|
1130000
|
2*12000=24000
|
|
|
|
Сентябрь
|
1200000
|
24000
|
|
|
|
Октябрь
|
1216667
|
24000
|
|
|
|
Ноябрь
|
1230000
|
24000
|
|
|
|
Декабрь
|
1146667
|
24000
|
|
|
|
|
120000
|
1230
|
121230
|
Затраты найма предполагают затраты, связанные с
привлечением потенциальных работников. Рекомендуем предприятию разместить
объявление о приеме на работу в двух местных газетах стоимостью в первом случае
150 руб., во втором - 80 руб., а также в группе кафе «Техас» и на сайтах
объявлений стоимостью 1000 руб.
План 2 заключается в воздействии на спрос путем
проведения эффективной рекламной компании. Необходимо, чтобы потенциальные
посетители на большом расстоянии владели информацией о наличии кафе «Техас».
Так как заведение работает относительно недавно, необходимо наращивать
клиентскую базу.
Предприятию необходимо использовать как
рекламную полиграфию, так и наружную рекламу. Рекомендуем предприятию создать
фирменный сайт, использовать транспортную рекламу, организовать размещение
буклетов и визиток кафе в почтовых ящиках домов, а также заказать дорожные
указатели, которые привлекут внимание водителей и пассажиров. Предприятию надо
применить нестандартный ход, поэтому возможно проведение дегустации блюд на
открытом воздухе, что не только привлечет проголодавшихся клиентов, но и
активизирует сарафанное радио.
Самым простым способом рассказать потребителям о
кафе «Техас» является создание фирменного сайта. Данный ресурс включает в себя
несколько страниц, связанных между собой интуитивно понятным интерфейсом. [11]
Целесообразно заказать разработку сайта дизайнеру. Стоимость услуги составляет
22000 руб.
Транспортная реклама обладает мощным визуальным
воздействием и
позволяет охватить абсолютно все сегменты
предполагаемой целевой аудитории - от подростков и домохозяек до бизнесменов с
личным водителем. Данная реклама вызывает большее доверие потребителя, так как
не является такой навязчивой, как, к примеру, телевизионная реклама, а
представляет собой элемент городского оформления. [12]
Затраты на размещение рекламы на общественном
транспорте представлены в таблице 3.3
планирование обслуживание агрегатный
стратегия
Таблица 3.3
Затраты на транспортную рекламу
|
Статьи
затрат
|
Сумма,
руб.
|
|
Разработка
дизайна макета рекламы
|
8000
|
|
Печать
рекламного носителя
|
5000
|
|
Монтаж
рекламных материалов на транспортное средство
|
4000
|
|
Обслуживание
носителя на всем сроке размещения
|
2000
|
|
Реклама
на стекле за водителем в 3 маршрутках
|
900
|
|
Прочее
|
2000
|
|
Итого
|
21900
|
Стоимость заказа одного дорожного указателя
составляет 850 руб./шт. Рекомендуем предприятию заказать семь указателей
стоимостью 850*7=5950 руб.
Расходы на проведение дегустации на открытом
воздухе будут составлять 20000 руб.
Затраты на размещение буклетов и визиток кафе в
почтовых ящиках домов представлены в таблице 3.4
Таблица 3.4
Затраты на размещение буклетов и визиток кафе в
почтовых ящиках домов
|
Статьи
затрат
|
Сумма,
руб.
|
|
Разработка
дизайна буклетов и визиток
|
2000
|
|
Печать
(2000 шт.)
|
1400
|
|
Административные
расходы
|
1000
|
|
Итого
|
4400
|
Общие затраты по плану 2 представлены в таблице
3.5
Таблица 3.5
Затраты по плану 2
|
Статья
расходов
|
Сумма
затрат, д.ед.
|