Экономико-статистический анализ взаимной торговли между Россией и США

  • Вид работы:
    Курсовая работа (т)
  • Предмет:
    Мировая экономика, МЭО
  • Язык:
    Русский
    ,
    Формат файла:
    MS Word
    45,41 Кб
  • Опубликовано:
    2017-10-13
Вы можете узнать стоимость помощи в написании студенческой работы.
Помощь в написании работы, которую точно примут!

Экономико-статистический анализ взаимной торговли между Россией и США

ОГЛАВЛЕНИЕ

Введение

Глава 1. Особенности развития торгово-экономических связей между Россией и США

.1 США, как страна с ведущей экономикой мира

.2 Особенности торгово-экономических связей и инвестиций между Россией и США

Глава 2. Исследование взаимной торговли между Россией и США

.1 Динамика, структура и анализ взаимной торговли между РФ и США

.2 Проблемы и перспективы развития экономических отношений между Россией и США

Заключение

Список литературы

Приложения


ВВЕДЕНИЕ

Все страны мира стремятся создавать международное сотрудничество, создавать между собой прочные политические и торговые связи. Россия активно функционирует на мировом рынке и испытывает влияние глобализационных процессов, происходящих во всем мире. Можно сказать, что Россия играет важную роль в международной торговле и тесно связана с остальным миром.

Так как данная работа посвящена экономико-статистическому анализу взаимной торговли между Россией и США, речь будет идти о торговых отношениях России и США, между которыми еще в 90-е годы была создана новая организационно-правовая основа, заключены ряды договоров и соглашений о развитии взаимной торговли, сотрудничестве и тд.

Стоит отметить, что США традиционно являются страной с ведущей экономикой мира и одним из ведущих партнеров Российской Федерации. Так, в 2016 году товарооборот США и РФ составил 29,2 млрд.долл., при этом экспорт РФ составил 14 млрд, а экспорт США в РФ 16,2 млдр.долл.

Статистика двусторонней торговли между Россией и США показывает рост, что обуславливается обоюдными интересами между странами. США стремятся уменьшить зависимость от основных экспортеров нефти, в частности из ближнего востока. Для России освоение новых месторождений углеводородов, модернизации обрабатывающих отраслей экономики, улучшения инфраструктуры, повышения уровня жизни населения.

Актуальность изучения российско-американских отношений в первую очередь в том, что данные отношения оказывают большое воздействие на экономические и политические процессы, происходящие в России. Америка является одним из ведущих торговых партнёров РФ, но очевидно, что объемы и качество торговых отношений между Россией и США не отвечают масштабам экономик этих стран и тому потенциалу, который у них существует. При этом Россия рассматривает США в качестве особого партнера в сфере внешнеэкономических отношений. Это определяется лидирующей ролью США в мировой экономике и торговле, масштабами ее научно-технического, управленческого и финансового потенциала.

Целью курсовой работы является изучение экономико-статистического анализа России и США в современных условиях. Следовательно, были поставлены следующие задачи:

изучить экономику США, основные факторы развития рынка

рассмотреть динамику и структуру взаимной торговли товарами между Россией и США;

исследовать анализ импорта и экспорта между Россией и США;

выявить возможные проблемы и перспективы сотрудничества России и США.

При написании курсовой работы использовались материалы научной, публицистической литературы, а также данные официальных сайтов Российских ведомств (ФТС, Росстат и др).

российский американский взаимная торговля

ГЛАВА 1. ОСОБЕННОСТИ РАЗВИТИЯ ТОРГОВО-ЭКОНОМИЧЕСКИХ СВЯЗЕЙ МЕЖДУ РОССИЕЙ И США

.1 США как страна с ведущей экономикой мира

США производят больше всех в мире товаров и услуг. Доказательством этому - ВНП страны, который в конце 2016 г. составил 6700 млрд. долл., чего нельзя сказать о ближайших партнерах, они существенно уступают США в этом показателе. Например ВНП Германии в текущих ценах составил на аналогичную дату почти 3000 млрд. долл., а Япония - более 4000 млрд. долл.

Несколько другая картина складывается при сопоставлении показателей ВНП на душу населения, так как в данном показателе США заметно уступают некоторым развитым странам. К слову, в начале 2015 г. округленные показатели ВНП на душу населения в текущих ценах и валютных курсах, выраженных в долларах, выглядели так: в США - 22 тыс., в Швейцарии - 27, в Японии - 28, в Швеции - 23, в Германии - 22 тыс. долл. Однако показатели ВНП на душу населения следует трактовать с большой осторожностью. Это усредненная величина произведенного за год продукта, приходящаяся на каждого человека в обществе. В динамике она свидетельствует о росте благосостояния, конкретное воплощение которого зависит от распределения доходов в данном обществе, уровня инфляции, структуры и качества товаров и услуг и от многих других обстоятельств. Проведенные специалистами Национального Научного Фонда США расчеты дают такую картину соотношения ВНП на душу населения в ведущих странах с уровнем США, принятым за 100 %: Канада - 93,9%, Япония - 80,7, Швеция -75, Германия - 74,5, Франция - 73,7, Италия - 69,0 и Южная Корея - 38,1 %.

Сегодняшний уровень экономики США является достигнут благодаря многим факторам. Рассмотрим какие факторы играют важную роль в экономическом развитии США.

Одним из важных факторов экономического развития США является масштаб и богатство рынка. Именно по данным фактором лидерство США в мировой экономике обеспечивается превосходством над другими странами, также по степени развития рыночных структур, по уровню научно-технического потенциала, различных инвестиций и банковским капиталом, эффективной и мощной системой мирохозяйственных связей с другими странами по линии торговли и многим другими факторами.

Уникальное место в мировой экономике США обеспечивает высокая емкость внутреннего рынка. Имея самый высокий уровень ВНП в мире означает, что США ежегодно расходуют намного больше любой другой страны на инвестиции и на текущие потребления. Высокий уровень доходов относительно других стран и большой слой среднего класса, ориентированного на высокие стандарты потребления также является важным фактором, характеризующим потребительский спрос в США. В США ежегодно закладывается строительство в среднем 1,5 млн. новых домов, продается более 10 млн. новых легковых автомашин и множество других товаров длительного пользования.

США продолжают оставаться крупнейшим производителем наукоемкой продукции, то есть продукции высоких технологий, доля которой в мировом производстве этой продукции составляет - в Японии - 29%, Германии - 10,6%, ЕС в составе 12 стран - 58,4 %.

Также немаловажным фактором в экономическом развитии США являются кадры высококвалифицированных ученых и инженеров, которые занимаются проведением научных исследований и разработок.. США продолжают также лидировать по удельному весу ученых и инженеров в составе рабочей силы.

Экспорт товаров из США составляет сравнительно с другими странами невысокий удельный вес в национальном производстве США. Экспортная квота (отношение стоимости экспорта к ВНП) колеблется вокруг показателей 8-9% ВНП. Однако для отдельных отраслей экономики значение экспорта существенно выше. США экспортируют примерно четвертую часть сельскохозяйственной продукции, а по некоторым ее видам этот показатель составляет больше половины. В промышленности США сложился тесно связанный с внешним рынком сектор. Это 7 из 21 отрасли в обрабатывающей промышленности. На них приходится почти 3/4 всего вывоза промышленной продукции. Экспортные рынки обеспечивают сбыт около 1/4 продукции общего машиностроения, более 1/5 - по двигателям и турбинам, свыше 2/5 - по самолетам.

Импорт играет все более растущую роль в хозяйстве США не только как источник снабжения страны товарами, но и как фактор мировой конкуренции, влияние которой охватывает ныне практически всю экономику США. К началу 90-х годов сложилось такое положение, что за счет импорта удовлетворяется порядка 20% потребностей США в текстиле, стали и ряде других видов важной для хозяйства продукции, а по некоторым товарам - в значительно большей степени. Например, доля импорта составляет 30% объема ежегодных продаж автомобилей в США. При этом 19% составляют поставки из Японии, более 4% - из стран Западной Европы и почти 4% - из Южной Кореи, а остальные 3% падают на прочих поставщиков. До 50% возросла в последние годы доля импорта в продажах станков и оборудования, а в продажах бытовой электроники, обуви и некоторых других товаров превысила 80 %.

Крупнейшим торговым партнерам и одновременно главным конкурентом США на мировом и внутреннем рынках остается Япония. Япония направляет в США - 34-35% своего экспорта.

Важным свидетельством лидерства США в мировой экономике является движение технологического платежного баланса страны. Он включает потоки платежей и поступлений по передаче технологии. Сюда входят расчеты за регистрацию патентов, приобретение лицензий, торговых марок, разработок дизайна, авторских прав, промышленных прав и образцов, «ноу-хау», оплата услуг в области менеджмента и т.п.

Только 3 страны имеют постоянный актив своего технологического баланса. Это США, Швейцария и Великобритания, причем США лидируют с большим отрывом. Активное сальдо по этим статьям в платежном балансе США составляет в последнее время порядка 7-8 млрд. долл. в год.

США остаются крупнейшим экспортером наукоемкой продукции - им принадлежало в 2000 г. 9% всего рынка наукоемкой продукции за пределами США, т.е. экспорт США составлял 9% всего мирового производства этой продукции за исключением внутреннего потребления США. Одновременно с этим США выступают главным рынком для ведущих экспортеров продукции высоких технологий. Доля наукоемкой продукции в стоимости всего импорта США составляет в эти же годы около 14 %.

По своему производственному, научно-техническому и финансовому потенциалу она существенно превосходит аналогичные сферы хозяйствования ближайших конкурентов США в этой области: Западной Европы и Японии. Уже в середине 80-х годов на 20 тыс. контролируемых американским капиталом зарубежных предприятиях было занято более 6,5 млн. рабочих и служащих, что составляло 1/4 всей рабочей силы, занятой на предприятиях, принадлежащих американским ТНК. Объем продаж товаров и нефинансовых услуг заграничными филиалами и подконтрольными фирмами соответствовал 1/3 товарооборота материнских компаний и приносил порядка одной трети прибыли. Костяк второй экономики образуют зарубежные промышленные фирмы, на которые приходится свыше 70% продаж всех заграничных подразделений. Общий объем продаж предприятий и фирм второй экономики соответствует 32% ВНП США.

Масштабы внутреннего кредитного рынка являются мощным фактором влияния США на мировое движение денежных ресурсов. В начале 90-х годов объем кредитных ресурсов, распределяемых этим рынком, превысил 1000 млрд. долл. ежегодно, что значительно превышает величину кредитного рынка любой из других развитых стран. В условиях тесного взаимодействия денежных рынков, фактической их интеграции в мировой рынок кредитных ресурсов, события на денежном рынке США, повороты кредитно-денежной политики страны существенно влияют на общее положение дел в мировой экономике и ее валютно-финансовой сфере.

В основе интернационализации денежной политики США лежит международная роль доллара, который остается главным резервным и расчетным средством в мировой валютно-финансовой системе. Инвалютные резервы центральных банков западных стран на 3/4 состоят из долларов, в долларах осуществляется более половины расчетов в мировой торговле, доллар служит мерой ценности многих важнейших товаров на мировом рынке (в частности нефти), в долларах ведутся практически все международные экономические сопоставления.

Исходя из вышеперечисленных факторов, влияющих на экономику США, можно сделать вывод что США и в правду является лидирующей страной с ведущей экономикой мира.

.2 Особенности торгово-экономических связей и инвестиций между Россией и США

Расширение торгово-экономических связей, как и американских инвестиций в Россию в последние годы происходило относительно невысокими темпами, но несмотря на этот фактор США по-прежнему входят в число ведущих стран, с которыми Россия имеет тесные торгово-экономические связи, а так же США является одним из ведущих стран-инвесторов по объему привлеченных иностранных инвестиций в экономику РФ.

В период 2012-2016 гг. замечен рост поступивших инвестиций в Россию из США, в то время как динамика поступления российских инвестиций в экономику США в период 2012-2014 характеризуется понижательной тенденцией. В 2013г. российские инвестиции в США снизались в два раза, а за первое полугодие 2014г. - в 2,5 раза, чем за весь 2013г.

В соответствии с данными Федеральной службы государственной статистики России, по итогам 2012 года на США приходилось 6,8 млрд. долл. накопленных иностранных инвестиций в России при общем объеме накопленных иностранных инвестиций в России, равном 372,3 млрд. долл. В структуре американских инвестиций доля прямых инвестиций составила 54% (3,67 млрд.долл.) [6].

В 2012 г. объем поступивших прямых инвестиций из США в Россию составил 395,4 млн. долл., увеличившись по сравнению с 2011 г. более чем в два раза, данные которых показаны в таблице 1.

Таблица 1

«Динамика инвестиций в Россию из США (в тыс. долл. США)»

Наименование

2012 год

2013 год

2014 год

2015 год

I полугодие 2016 г.

Накоплено инвестиций на начало отчетного периода

8 149 702,87

7 882 505,07

7 384 501,47

7 155 748,37

4 854 563,63

Поступило инвестиций и инвестиционных доходов

1 711 931,15

1 297 886,96

1 730 266,20

3 384 545,16

7 554 090,9

Изъято (погашено) инвестиций

2 798 793,38

2 161 758,04

2 109 302,41

3 688 943,70

670 379,2

Накоплено на конец отчётного периода

7 160 945,62

7 263 363,59

7 015 013,97

6 797 551,77

11 491 260,16


Американские прямые инвестиции в России вложены, в основном, в обрабатывающие производства; добычу полезных ископаемых; оптовую и розничную торговлю, ремонт автотранспортных средств; транспорт и связь; финансовую деятельность; операции с недвижимым имуществом, аренду и предоставление услуг. Особый интерес американские компании проявляют к инвестиционному сотрудничеству с регионами России, обладающими крупными запасами полезных ископаемых (в первую очередь, углеводородного сырья) или являющимися центрами концентрации предприятий химической, металлургической, авиакосмической, автомобильной и пищевой промышленности.

Таблица 1.2

«Динамика инвестиций в США из России (в тыс. долл. США)»

Наименование

2012 год

2013 год

2014 год

2015 год

I полугодие 2016 г.

Накоплено инвестиций на начало отчетного периода

5 317 230,50

10 947 283,37

7 692 318,21

7 922 597,63

6 909 763,24

Поступило инвестиций и инвестиционных доходов

1 507 166,67

692 145,48

1 459 693,34

766 168,55

297 481,8

Изъято (погашено) инвестиций

299 749,58

3 974 948,10

893 087,65

929 495,40

786 305,1

Переоценка, прочие изменения активов и обязательств

28 270,56

27 339,71

-19 151,05

-

-

Накоплено на конец отчётного периода

6 552 918,15

7 691 820,46

8 239 772,85

7 759 641,13

6 432 797,48


Среди значимых проектов в 2012 г. можно отметить следующие.

В области добычи полезных ископаемых:

запуск строительства в г. Волгореченске Костромской области завода по производству буровых установок компанией "National Oilwell Varco" с объемом инвестиций порядка 90 млн. долл.

В области авиастроения:

соглашение между "Boeing" и "Сколково" об участии американской компании совместно с российскими компаниями "Прогресстех" и IT-компания "Люксофт" в работе над совместным проектированием современных гражданских самолетов "Boeing ";

развитие производства "Урал Боинг Мануфэкчуринг" (в 2012 г. был выпущен первый нижний пояс нервюры для крепления крыла к фюзеляжу самолета "Boeing 787 Dreamliner"). В октябре 2012 г. ВСМПО "Ависма" и " Boeing" подписали меморандум о расширении сотрудничества в сфере поставок титана за счет увеличения мощностей совместного предприятия;

В области автомобильной промышленности и машиностроения:

развитие совместного проекта "Ford Motor" и OAO «Cоллерс» (на заводе в Елабуге в 2012 г. было открыто производство Ford Transit, Ford S-MAX, Ford Galaxy, Ford Kuga и Ford Explorer);

американская компания "General Motors " в 2012 г. приступила к выпуску на мощностях ЗАО "Автотор" моделей "Opel Antara" и "Chevrolet Captiva";

организация в России производства маневрового газотепловоза с газопоршневым двигателем мощностью 1000 кВт, работающим на природном газе (в мае2012 г. ОАО "Российские железные дороги", ЗАО "Трансмашхолдинг" и компания "Прогресс Рэйл" (дочернее предприятие компании Caterpillar Inc) подписали соответствующее соглашение о сотрудничестве).

Проекты в других отраслях:

запуск корпорацией "Guardian Industries" в г. Красный Сулин Ростовской области производства высококачественного стекла с объемом инвестиций свыше 200 млн. долл.;

модернизация компанией "Alcoa" Самарского металлургического завода (в2012 г. открыта новая печь EBNER для нагрева и гомогенизации алюминиевых слитков);

возобновление строительства в г.Бердск Новосибирской области завода "PepsiCo" и межрегионального логистического центра с перспективой открытия производства полного цикла (объем инвестиций в проект - 100 млн.долл.);

создание в Москве многофункционального комплекса "Галактика Парк" компании "Universal Studios".

В последние годы в российско-американском инвестиционном сотрудничестве сохранялась тенденция роста объема российских капиталовложений в США, при этом основную долю составляют прямые инвестиции. По итогам 2012 г. объем накопленных прямых инвестиций России в США составил 7,76 млрд.долл., в т.ч. объем накопленных прямых инвестиций - 6,47 млрд.долл. По итогам 2012 г. США заняли четвертое место среди получателей инвестиций из России.

В числе российских компаний, инвестирующих в США, следует выделить такие, как "Лукойл" (бензозаправочные станции), ОАО "Техснабэкспорт", "Атомредметзолото" (добыча и обогащение урана), "Северсталь", "Евраз Групп", “НЛМК”, "Мечел" (металлургия), "ТМК Групп" (производство труб), ГКНПЦ им. М.В. Хруничева (запуск космических аппаратов).

Среди значимых проектов российских компаний на американском рынке следующие:

Роснано и "NeoPhotonics" подписали соглашение о создании предприятия по разработке и производству устройств на основе фотонных интегральных схем на территории России. В соответствии с соглашением Роснано приобрела акции "NeoPhotonics" на сумму 39,8 млн. долл.;

открытие Роснано совместно с компанией Quantenna в Петербурге дизайн-центра, в котором будет осуществляться полный цикл разработки технологий нового поколения в области передачи видеоизображений по беспроводным сетям. Доля инвестиций Роснано в проект составила 49 млн. долл.

ГЛАВА 2. ИССЛЕДОВАНИЕ ВЗАИМНОЙ ТОРГОВЛИ МЕЖДУ РОССИЕЙ И США

.1 Динамика и структура взаимной торговли между РФ из США

Торговля с Россией не играет важную роль в экономике США, так как Россия занимает 28- е место в американском экспорте и 30-е место - в импорте. В то же время, обладая огромным экономическим потенциалом и политическим авторитетом, США оказывают серьезное влияние на экономическое развитие России не только как один из ведущих торговых партнеров и инвесторов, но и с точки зрения содействия проводимым в стране рыночным реформам, а также интеграции России в мировое хозяйство. В течение многих лет торговля России с США была несбалансированна: импорт из США в шесть-семь раз превышал экспорт РФ в эту страну. Только в 1993 г. впервые сальдо российско-американского торгового баланса стало положительным. Это произошло прежде всего благодаря резкому сокращению закупок зерна в США. В докризисном 1997 году товарооборот России с США оценивался в 8886 млн. долл., в том числе экспорт российских товаров - 4761 млн. долл., импорт из США - 4125 млн. долл. В 1998 г. оборот уменьшился на 20 %. Сейчас ситуация вновь выправляется, хотя появились новые трудности. Например, практически потерян для России американский рынок стали, что поставило в трудное положение нашу черную металлургию. Острое соперничество на международных рынках вооружений и ядерных технологий переводится иногда в политическую сферу для оказания давления на российское руководство.

Исходя из данных Центрального банка РФ, США занимают 13-е место по экспорту из России, и 5-е место по импорту. Мы для США не являемся столь же значимым партнером: доля России в товарообороте США в 2012 году не изменилась и составила 1,0 % (против 3,4% - доля США в товарообороте РФ), в списке торговых партнеров США по объему товарооборота Россия, как и в прошлом году, заняла 20-е место.

По данным ФТС России, товарооборот между Россией и США в последние годы характеризуется следующими показателями:

Таблица 2.1

«Взаимная торговля России и США 2008-2015гг. (млрд. долларов США)»


2008 г.

2009 г.

2010 г.

2011 г.

2012 г.

2013 г.

2011 г.

2015 г.

ОБОРОТ

10,9

15,0

17,8

27,1

18,3

23,4

31,2

28,3

ЭКСПОРТ

6,3

8,6

8,3

13,4

9,1

12,3

16.6

13

ИМПОРТ

4,6

6,4

9,5

13,8

9,2

11,1

14.6

15,3

САЛЬДО

1,8

2,2

-1,1

-0,4

-0,04

1,2

2

-2,3


В последние годы объемы российско-американской торговли возрастали довольно быстрыми темпами. В 2014 г. товарооборот достиг рекордного уровня в 31,2 млрд. долл., увеличившись на 33% по сравнению с 2012 г. (Таблица 1).

В 2009 году товарооборот между нашими странами был заметно ниже, поскольку кризис привел не только к снижению уровня деловой активности в обеих странах, но и к падению цен на основные товары российского экспорта и сокращению спроса на них.

В основном взаимная торговля России и США характеризуется положительным сальдо, исключение составляют кризисные 2007-2009 и 2012г., в котором отмечено общее замедление темпов роста мировой торговли.

По данным Федеральной таможенной службы РФ можно сделать вывод, что внешняя торговля РФ и США демонстрирует отрицательную динамику на притяжении двух последних лет. Величина внешнеторгового оборота на протяжении 2015-2016гг. снижается. Максимальный внешнеторговый оборот достиг 31205,9 млн. долл. США в 2014 году, минимальный 23416,6 млн. долл. в 2010 г.

Коэффициенты несбалансированности в период 2013-2014гг. были положительными (0,05 и 0,06 соответственно), следовательно российская экономика была ориентирована по отношению к США. Но ситуация меняется с 2015г.: коэффициент несбалансированности - отрицательный, следовательно Россия имеет некоторую импортную зависимость от торговли с США. Так, в 2015г. выручка от экспортных операций не покрывает импортные на 8%, а по итогам января-ноября 2014г. - на 18% (Приложения В, Г, Д).

По данным ФТС России, внешнеторговый оборот России с США в 2012 году составил 28,3 млрд. долл. США и уменьшился по сравнению с2011 г. на 8,8%. При этом экспорт составил 13,0 млрд. долл. (снижение на 21,1%), импорт - 15,3 млрд. долл. США (прирост на 5,0 %).

В январе-ноябре 2016 г. объем российско-американского товарооборота снизился по сравнению с аналогичным периодом 2015 г. на 2%, до уровня 15,2 млрд. долл. При этом российский экспорт уменьшился на 13,8% и составил 10,4 млрд. долл., импорт увеличился на 8,5% (до 14,8 млрд. долл.). Отрицательное сальдо России в торговле с США составило -4,4 млрд. долл.

Таблица 2.2

«Товарооборот между Россией и США в январе-июле 2015 г. (в млрд. долл. США)»


2008 г.

2009 г.

2010 г.

2011 г.

2012 г.

2013 г.

январь-июль 2014 г.

январь-июль 2015 г.

Оборот

17,8

27,2

18,3

23,4

31,0

28,2

16,5

15,2

темп роста в %

118,3

152,5

67,4

131,5

132,4

91,1

102,6

91,9

Доля США в объеме внешней торговли России

3,2

3,7

3,9

3,9

3,8

3,4

3,5

3,2

Экспорт

8,3

13,4

9,1

12,3

16,4

12,9

8,1

6,1

темп роста в %

96,4

160,3

68,4

147,8

133,3

78,7

95,5

74,8

Доля США в объеме экспорта России

2,4

2,9

3,0

3,0

3,2

2,5

2,7

2,1

Импорт

9,5

13,8

9,2

11,1

14,6

15,3

8,4

9,1

темп роста в %

147,7

145,6

66,5

117,2

131,4

105,0

110,6

108,3

Доля США в объеме импорта России

4,7

5,2

5,5

5,5

4,8

4,9

4,8

5,1

Сальдо

-1,1

-0,4

-0,04

1,2

1,8

-2,4

-0,3

-3,1

Место США во внешней торговле России

в обороте

10

10

8

8

8

9

9

10

в экспорте

14

11

11

11

9

13

11

16

в импорте

5

5

3

4

5

5

5

4


В структуре российского экспорта в США по итогам января-июля 2015 г. основная доля поставок приходится на следующие товарные группы: «минеральные продукты»- 33,0%, «металлы и изделия из них» - 30,7% и «продукция химической промышленности» (22,2%). Удельный вес драгоценных металлов и камней составляет 6,4%, машин, оборудования и транспортных средств - 3,9%, древесины и целлюлозно-бумажных изделий - 1,4%. (Рисунок-1).

Рисунок 2.1 «Товарная структура экспорта России в США 2016 г»

Основным драйвером роста американского экспорта в Россию в 2016 г. являлись машины, оборудование и транспортные средства" (61% всех экспортных поставок. В отчетном году объем их поставок в Россию (группы 84-90 ТН ВЭД ТС) увеличился на 1,9 млрд. долл., преимущественно за счет роста поставок летательных, космических аппаратов и их запчастей (770 млн. долл. США), транспортных средств (на 394 млн. долл. США), космических аппаратов (включая спутники) и суборбитальных и космических ракет-носителей (на 178 млн. долл. США), а также электрогенераторных установок с поршневым ДВС (на 175 млн. долл.). В 2012 г. на 414 млн. долл. США вырос американский экспорт продовольственных товаров и сельскохозяйственного сырья (группы 01-24 ТН ВЭД ТС), в основном за счет увеличения объема поставок чистопородных племенных животных (на 235 млн. долл. США), свежей и замороженной свинины (на 91 млн. долл. США), замороженных частей тушек и субпродуктов домашних кур (на 53 млн. долл. США). Удельный вес данной продукции в экспорте составил 15 % [6].

Рост поставок данных товарных групп оказал существенное влияние на итоговый рост американского экспорта в Россию.

Основные экспортные товары (свыше 77% всех поставок): нефтепродукты, сырая нефть, алюминий необработанный, минеральные удобрения азотные, калийные и комплексные, полуфабрикаты из нелегированной стали, металлы платино-иридиевой группы, чугун передельный, изделия из драгоценных металлов, титан и изделия из него, каучук синтетический, трубы обсадные, фанера клееная.

Рассмотрим товарную структуру импорта России из США за 2016 год, которая отображена на рисунке 2.2.

Рисунок 2.2 «Товарная структура импорта России из США 2016 г»

Структуру импорта формируют: машины, оборудование и транспортные средства - 66,2%, продукция химической промышленности (15,8%), продовольственные товары и сельхозсырье - 9,8% объема российского импорта.

Удельный вес металлов и изделий из них составляет 3,8%, минеральных продуктов (1,2%), текстиля, изделий из него, обуви - 1,2%. (Рисунок 2).

Основные импортные товары (свыше 66% всех закупок): легковые и грузовые автомобили, их части и принадлежности; летательные аппараты, медицинская техника и товары медицинского назначения; дорожно-строительные машины и части к ним, лекарственные средства и фракции крови; насосно-компрессорное оборудование, мясо птицы, полимеры винилхлорида, электрогенераторные установки, миндальные орехи, оборудование для фильтрования жидкостей и газов, двигатели турбореактивные и их части, племенной скот, контрольно-измерительная аппаратура, нагревательное оборудование, парфюмерно-косметические средства, сельскохозяйственные машины и механизмы, устройства для разбрызгивания и распыления для сельского хозяйства, изделия из черных металлов, машины и механические устройства, имеющие индивидуальные функции; уголь каменный, оборудование для обработки минеральных ископаемых, табачное сырье, инициаторы реакций, арматура для трубопроводов и котлов, пилы цепные, вычислительная техника, тракторы, жгут искусственных нитей, семена подсолнечника. Взаимная торговля услугами РФ и США в период 2012-2015г. характеризуется ростом торгового оборота: в 2011г. - рост на 3%, в 2013г. - на 18,4%, в 2012г. - 11%. Абсолютно лидируют прочие деловые услуги (45,8% оборота услугами в 2011г.), среди которых наиболее заметны технические, торгово-посреднические и прочие деловые услуги. Значительными статьями торговли услугами являются: поездки -13,1% (в основном личные поездки), телекоммуникационные, компьютерные и информационные услуги (12,9%), плата за пользование интеллектуальной собственностью (9,7%) (Приложение Е). Основная доля в экспорте России приходится на транспортные и телекоммуникационные услуги. В транспортных услугах лидирует воздушный транспорт, в телекоммуникационных - компьютерные услуги (Приложение Е). Россия в торговле услугами с США имеет положительное торговое сальдо по транспортным услугам, услугам по переработке товаров, принадлежащих другим сторонам, телекоммуникационным, компьютерным и информационным услугам, прочим деловым услугам. По остальным статьям Россия имеет отрицательное торговое сальдо. Наибольшее отрицательное сальдо по статье - плата за пользование интеллектуальной собственностью (Приложение Ж). По данным ЦБ РФ оборот услугами в 2015г. составил 10 242 882 тыс. долл., за январь-июнь 2016г. составил 4 636 740 тыс. долл.

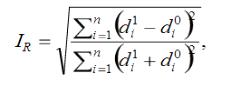
Анализируя импорт и экспорт России и США следует понять насколько увеличивается товарооборот между этими странами из года в год и выяснить развивается ли с годами торговое отношение между этими странами. Для этого нам необходимо воспользоваться индексом Рябцева. Смысл данного показателя состоит в том, что отношение фактической меры расхождения значений компонентов двух структур к их максимально возможным значениям. Данный метод является наиболее эффективным для выявления различий, так как существует шкала оценки меры существования данных различий по индексу Рябцева (табл. 2.3).

Таблица № 2.3.

Шкала оценки меры существенности структурных различий по индексу Рябцева

Интервал значения индекса

Хар-ка меры различий

0,000-0,030

Тождественность структур

0,031-0,070

Весьма низкий уровень различия

0,071-0,150

Низкий уровень различия

0,151-0,300

Существенный уровень различия

Значительный уровень различия

0,501-0,700

Весьма значительный уровень различия

0,701-0,900

Противоположный тип

0,901 и выше

Полная противоположность


Для расчета индекса Рябцева необходимо построение расчетной таблицы, в которой будут рассчитаны показатели из следующей формулы нахождения индекса:


где di1, di0- удельные веса признаков в совокупностях; i - число градаций в структурах.

Изучив шкалу оценки и формулу нахождения индекса по Рябцеву были приведены товары, которые представляют наибольший товарооборот между Россией и США за 2015-2016 годы (табл.2.4)

Таблица 2.4

«Расчетная таблица товарооборота между Россией и США»

Товары по ТН ВЭД

2015 год (млн.дол США)

2016 год (млн.долл США)

 д1

 д2

д2-д1

д2+д1

(д2-д1)2

(д2+д1)2

24-Табак и промышленные заменители табака

98.5

101,3

2,92%

5,82%

2,89%

8,74%

0,001

0,008

27-Топливо минеральное,нефть и продукты их перегонки

314,5

365,7

6,32%

7,68%

1,36%

13,99%

0,000

0,020

44- Древесина и изделия из нее

212,32

241,9

6,01%

5,72%

-0,29%

11,72%

0,000

0,014

72- Черные металлы

95,81

172,6

5,48%

5,42%

-0,06%

10,90%

0,000

0,012

16- Продовольственные товары и с/х сырье

382,7

305,2

5,94%

5,93%

-0,01%

11,87%

0,000

0,014

84 - Машины и транспортные средства

521,9

565,3

4,46%

4,78%

0,31%

9,24%

0,000

0,009

28 - Продукция химической промышленности

280,2

272,1

8,29%

7,86%

-0,43%

16,15%

0,000

0,026


1807,43

2024,1





0,001

0,102

Индекс

0,10









Исходя из данной таблицы можно сделать вывод, что товарооборот за 2015 и 2016 год имеет низкий уровень различия, так как по расчетам был получен индекс 0,10. Из этого следует, что товарооборот между Россией и США имеет стабильный характер и можно сказать, что такой индекс различия характеризует слабые торгово-экономические отношения между этими странами и, очевидно, что объемы и качество торговых отношений между Россией и США не отвечают масштабам экономик этих стран и тому потенциалу, который у них существует. Поэтому в следующем подпункте рассмотрим проблемы и перспективы развития экономических отношений между Россией и США.

2.2 Проблемы и перспективы развития экономических отношений

Детальное рассмотрение структуры российско-американской торговли свидетельствует о ее явной товарной асимметрии. В экспорте России долгое время преобладали черные металлы, продукты неорганической химии, алюминий и изделия из него. В2008 г. в структуре российского экспорта произошли заметные изменения - на первое место вышли энергетическое сырье, в частности нефть, минеральное топливо, битумные смолы, озокерит. На сырую нефть и нефтепродукты в 2010 г. приходилось 71,9% стоимостного объема экспорта. Вторую по величине товарную группу составляли цветные и черные металлы, третью- радиоактивные химические элементы и изотопы. На долю десяти основных товаров российского экспорта в США в2010 г. пришлось 88,4%, причем она постоянно росла в период с 2005 г., когда она находилась на уровне 78,8%.

В российском импорте из США преобладают машины, станки и оборудование.

Наиболее крупные статьи - летательные аппараты легковые автомобили и запчасти к ним, лекарства, электрогенераторные установки, насосы и компрессоры. Значительное место в импорте занимают также пищевые продукты - мясо птицы и свинина, хотя по сравнению с прошлым десятилетием доля мяса птицы заметно сократилась в связи с запретом на ее ввоз в 2005 г.

Таким образом, объем и качество торговых отношений между США и Россией не отвечают масштабам экономик обоих государств и существующему потенциалу.

Так, при доле США в мировом экспорте товаров на уровне 8,4% в2010 г. удельный вес страны в российском импорте в том же году не превышал 5%. Такое же существенное несоответствие наблюдается и в импорте: доля США в общемировом импорте достигает почти 13%; тогда как в российском экспорте на США приходится только3%, т.е. более чем в 4 раза меньше, чем значимость американского рынка для остального мира.

Далее, в российском экспорте в США преобладает сырьевая составляющая при низкой доле готовой продукции, в импорте же - наукоемкая продукция и продовольствие.

Иначе говоря, несмотря на положительное сальдо в торговле с США, Россия выступает преимущественно как страна с более низким экономическим потенциалом.

Снижение интенсивности и ухудшение структурного профиля взаимной торговли требует принятия комплекса мер, направленных на улучшение условий и устранение сохраняемых со стороны США искусственных барьеров и ограничений - в частности, отмены соглашений о добровольных экспортных лимитах и антидемпинговых пошлинах на российские товары, пересмотр политики дискриминации России в вопросах экспортного контроля и др.

Среди важнейших задач в контексте совершенствования и усиления модернизационной направленности российско-американского торгового сотрудничества - диверсификация структуры российского экспорта в США и увеличение технологической составляющей в импорте из США. Расширяется, хотя и медленными темпами, инвестиционное сотрудничество двух стран.

Приоритетными сферами американских прямых инвестиций в Россию являются топливная(57%) и пищевая промышленность, в совокупности дающие около70% общего объема накопленных американских инвестиций, который в 2011 г. составил 9,7 млрд. долл.

По объему накопленных прямых инвестиций в России США входят в пятерку стран-лидеров, вкладывающих капиталы в экономику нашей страны. Однако доля России в общем объеме американский прямых инвестиций за рубежом составляет 0,23%. Основная причина этому- неблагоприятный инвестиционный климат в нашей стране.

При отсутствии активной и четко сформированной стратегии импорта капитала в России произошло его стихийное распространение по сферам и отраслям российской экономики, в первую очередь, с учетом собственных приоритетов американских инвесторов.

Так, более 23% табачного рынка России контролирует компания ВАТRussia, в отрасли действует также Philip Morris. В пищевой промышленности активно действуют компании Mars, Pepsi и Coca- Cola, построившие предприятия в различных регионах страны. Так, например, корпорация Pepsi уже имеющая несколько заводов в России, в2011 г. приобрела продовольственную компанию «Вимм-Билль-Данн» за3,8 млрд долл., что стало крупнейшей сделкой среди компаний несырьевого сектора России. Завод корпорации Ford в городе Всеволожске Ленинградской области - пример успешного инвестиционного сотрудничества в автомобильной промышленности.

Расширение транснациональной деятельности российских компаний нередко сдерживается сопротивлением американских деловых кругов при покупке крупных, эффективно работающих национальных предприятий.

В то же время это в меньшей степени касается сравнительно небольших инвестиционных сделок с участием российского капитала или крупных сделок, связанных с покупкой убыточных американских предприятий (или находящихся в состоянии банкротства), не пользующихся спросом со стороны местных предпринимателей.

Определенные трудности на пути российских компаний по инвестированию средств в американские производственные активы может создать введенный в действие в 2007 г. федеральный закон в США, ужесточающий контроль за сделками по приобретению иностранными фирмами американских компаний.

Основными факторами, сдерживающими вывоз капитала российскими компаниями в США, являются низкая конкурентоспособность российской экономики, ее однобокая сырьевая направленность, отсутствие растущих, перспективных компаний в новых высокотехнологичных отраслях, слабое государственное стимулирование экспорта российских прямых инвестиций.

Рассматривая перспективы развития прямого инвестирования в США, следует сказать, что масштабы этого процесса для России будут зависеть не только от группы крупных отечественных ТНК, сформировавшихся преимущественно в базовых и сырьевых отраслях экономики, но и от динамики образования и укрепления подобных компаний в других (менее зависимых от конъюнктуры мирового хозяйства) секторах национальной экономики. Воздействие на данный процесс будут оказывать и различные внешние факторы, препятствующие проникновению российского капитала в зарубежные активы.

Пока, разумеется, рано говорить о существенной роли российских инвестиций в экономике США. Американские вложения в Россию превосходят российские в американскую экономику. Однако сам приход наших корпораций в США - принципиально новое явление в двусторонних экономических отношениях.

Развивается сотрудничество в сфере высоких технологий, инновационной деятельности и информатики.

Создан российско-американский Инновационный совет по высоким технологиям, работает Межправительственный комитет по науке и технике, российские компании участвуют в инновационных форумах в США. Ведущие компании аэрокосмической отрасли США - Boeing, Lockheed Martin, Pratt & Whitney - на протяжении многих лет активно взаимодействуют с российскими предприятиями в рамках проектов по Международной космической станции, космическим запускам, производству авиадвигателей, разработке новых моделей самолетов.

Американские корпорации проявляют интерес к развитию торгово-экономического сотрудничества с регионами России.

Более 12 лет действует «Российско-американское тихоокеанское партнерство», объединяющее представителей бизнеса, науки, общественных кругов, федеральных и региональных властей Дальнего Востока России и Западного побережья США, что дает надежды на перспективы развития торгово-экономического сотрудничества России и США.


ЗАКЛЮЧЕНИЕ

Америка является одним из важнейших экономических партнёров РФ. Конечно, мировой финансово-экономический кризис повлиял на текущее состояние торговли между странами. До кризиса, в 2012 г., наблюдался рекордный рост товарооборота - он составлял более 27 млрд. долларов США. Российско-американская торговля достигла своих максимальных предкризисных значений только в 2014г. - 28,з млрд. долл. При этом даже с таким объемом товарооборота США занимали лишь восьмое место среди торговых партнеров России. Это говорит о недоиспользовании потенциала развития торговли Российской Федерации.

В первой главе была изучена экономика США - страны с лидирующей экономикой мира, далее были рассмотрены особенности торгово-экономических связей и инвестиций между Россией и США и из изученного можно сделать вывод, что США является одним из ведущих стран-инвесторов по объему привлеченных иностранных инвестиций в экономику РФ.

Во второй главе была исследована структура и динамика взаимной торговли между Россией и США, также был проведен анализ сравнения товарооборота между 2015 и 2016 годами по расчету Рябцева, анализ показал, что товарооборот за эти годы находится на стабильном уровне и имеет низкий уровень различия.

Также во второй главе были рассмотрены проблемы и перспективы развития взаимной торговли между РФ и США. Доля США во внешней торговле России составляет меньше 4%. Вместе с тем удельный рост России во внешней торговле США - менее 1%. Это крайне мало, по сравнению с потенциалом этих стран, и с возможностью реализации проектов в разных сферах, которые отвечали бы интересам России и США.

Обе стороны заинтересованы в том, чтобы развивать взаимную торговлю, диверсифицировать ее, развивать совместные инвестиционные и иные проекты в ряде ключевых областей, которые представляют взаимный интерес и существует большое количество сфер, где есть ресурс для перспективного сотрудничества и у России, и у Соединенных Штатов, и где они могут работать сообща и реализовывать совместные проекты.

Но, к сожалению, многие потенциальные американские инвесторы, особенно из числа малых и средних фирм, считают, что коммерческая деятельность в России довольно рискованна, и воздерживаются от вложения средств в российские проекты. Административные барьеры и коррупция, неисполнение на местах принятых законов, хозяйственная некомпетентность, являются одними из основных препятствий для повышения привлекательности России как объекта международного экономического сотрудничества. И, хотя современное состояние отношений между Россией и США дает основание предполагать, что сотрудничество по широкому спектру торгово-экономических вопросов станет более активным, многое будет зависеть от того, насколько быстро и эффективно удастся устранить негативные моменты, сдерживающие в настоящее время процесс расширения взаимовыгодного инвестиционного и торгового сотрудничества. А для этого в первую очередь нужно разработать правовую базу инвестиционного регулирования и прав собственности, гарантирующую условия, в которых иностранные инвесторы будут спокойны за свои вложения, создать материальные условия для возрождения страны как мощной процветающей экономической державы на базе эффективных структурных преобразований в экономике в русле рыночных реформ и ее интеграции в мировое хозяйство.

Современный этап в отношениях между Россией и США дает основания предположить, что, несмотря на существующие и, порой, вновь возникающие трудности на пути двустороннего экономического сотрудничества, этот процесс будет последовательно прогрессировать в интересах обеих стран. Одна из главных причин этого заключается в том, что инвестиционное сотрудничество России и США, также как и внешняя торговля, может принести пользу нашим странам и народам и стимулировать деловую активность в других регионах мира.


СПИСОК ИСПОЛЬЗОВАННЫХ ИСТОЧНИКОВ

1.   Учебник. Экономика США: структура, динамика, Васильев В. С., Корнеев А. В, 2014 год.

2.       Зименков Р.И. США-страны БРИКС: торгово-экономические отношения// Российский внешнеэкономический вестник. - №12. -2012г.

.        Внешняя торговля РФ услугами 2011г., - Москва 2013// http://www.cbr.ru

.        Годовой отчет Центрального банка Российской Федерации за 2012г.// http://www.cbr.ru

.        Министерство иностранных дел Российской Федерации http://www.mid.ru

.        Министерство экономического развития Российской Федерации// http://www.economy.gov.ru

.        Министерство экономического развития Российской Федерации. Портал внешнеэкономической информации// http://www.ved.gov.ru

.        Федеральная таможенная служба Российской Федерации//http://www.customs.ru

.        Центральный банк Российской Федерации//http://www.cbr.ru/

ПРИЛОЖЕНИЕ А

Динамика торгового оборота услугами России и США 2009-2011г. (тыс. долл.)


оборот

экспорт


2009

2010

2011

2009

2010

2011

Всего

7 564 054

7 787 425

9 225 385

3 788 683

3 857 156

4 366 891

Услуги по переработке товаров, принадлежащих другим сторонам

15 553

8 066

3 277

12 518

8 020

2 717

Услуги по техническому обслуживанию и ремонту

84 474

77 998

115 102

57 618

38 524

45 952

Транспортные услуги

384 549

478 271

554 748

284 095

378 355

407 180

Строительство

217 696

399 932

403 589

183 253

272 376

164 994

Страхование и услуги негосударственных пенсионных фондов

43 992

53 998

57 683

14 584

16 018

14 389

Финансовые услуги

241 390

261 685

368 884

105 013

79 095

116 062

Плата за пользование интеллектуальной собственностью

668 405

703 588

892 365

87 355

74 954

79 553

Телекоммуникационные, компьютерные и информационные услуги

773 103

848 111

1 194 324

566 097

574 317

818 317

Прочие деловые услуги

3 909 608

3 697 405

4 228 065

2 022 796

2 020 206

2 253 391

Услуги частным лицам и услуги в сфере культуры и отдыха

231 905

228 826

194 424

55 936

35 817

37 245

Государственные товары и услуги, не отнесенные к другим







категориям

0

0

0

0

0

0


ПРИЛОЖЕНИЕ Б

Динамика сальдо взаимной торговли услугами России и США 2009-2011г. (тыс. долл.)

сальдо - balance


2009

2010 2011


13 311

-73 113 -491 602

Всего

9 484

7 974

2 157

Услуги по переработке товаров, принадлежащих другим сторонам

30 762

-950

-23 198

Услуги по техническому обслуживанию и ремонту

183 641

278 439

259 613

Транспортные услуги

-194 546

-310 597

-358 743

Поездки

148 811

144 820

-73 602

Строительство

-14 824

-21 963

-28 904

Страхование и услуги негосударственных пенсионных фондов

-31 364

-103 494

-136 761

Финансовые услуги

-493 695

-553 680

-733 259

Плата за пользование интеллектуальной собственностью

359 091

300 523

442 310

Телекоммуникационные, компьютерные и информационные услуги

135 983

343 008

278 718

Прочие деловые услуги

-120 033

-157 193

-119 933

Услуги частным лицам и услуги в сфере культуры и отдыха

0

0

0

Государственные товары и услуги, не отнесенные к другим  категориям 


Похожие работы на - Экономико-статистический анализ взаимной торговли между Россией и США

 

Не нашли материал для своей работы?
Поможем написать уникальную работу
Без плагиата!
Без нейросетей!