Влияние деофшоризации на изменение потоков прямых иностранных инвестиций
Оглавление
Введение
1. Теоретические обоснования притока ПИИ в условиях региональной
интеграции
1.1 Теории и факторы привлечения ПИИ
1.2 Влияние региональной интеграции на изменения ПИИ
1.3 Мировой опыт изменения потоков ПИИ в результате образования
региональных группировок
2. Влияние деофшоризации на изменении потоков ПИИ
2.1 Феномен офшоров в мировой экономике
2.2 Деофшоризация как фактор изменения потоков ПИИ
2.3 Влияние деофшоризационной политики на поведение российских
компаний, зарегистрированных в офшорных юрисдикциях
3. Возможное изменение притока ПИИ в ЕАЭС в результате
деофшоризации российской экономики
3.1 Приток ПИИ в страны-участницы на разных этапах развития ЕАЭС
3.2 Факторы притока ПИИ в страны-участницы ЕАЭС и роль
деофшоризации
3.3 Прогноз притока ПИИ в ЕАЭС и роль деофшоризации
Заключение
Используемая литература
Приложения
Введение
1 января 2015 года в России вступил в силу закон о
налогообложении доходов различных иностранных организаций и так называемых
контролируемых иностранных компаний (КИК) также известный как первый
антиофшорный. Кроме того, в этот же день, 1 января 2015 года вступил в силу
договор о создании Евразийского экономического союза (ЕАЭС). Совпадение дат -
это случайность, но взаимосвязь этих двух события - основа для научного
исследования. Российские инвесторы, которые размещали свои активы в офшорных
зонах, вероятно, начнут искать альтернативы офшорным схемам. Данной
альтернативой может стать размещение активов в странах-членах ЕАЭС. Это
увеличит потоки капитала, а, следовательно, и потоки прямых иностранных
инвестиций (ПИИ). Поэтому данная сфера исследования является очень актуальной
на данный момент.
Новизна работы заключается в изучении взаимосвязи
деофшоризационной политики в конкретном государстве и притоком ПИИ в интеграционное
объединение, частью которого является изучаемая страна. Подобная взаимосвязь не
была исследуема ранее. Более того, события, лежащие в основе работы, произошли
недавно, поэтому в целом каких-либо работ на данную тему очень мало.
Целью работы является выявить и оценить возможное влияние
деофшоризации российской экономики на приток ПИИ в рамках ЕАЭС. Для этого
следует проверить гипотезу, которую можно сформулировать следующим образом:
"Меры деофшоризации РФ приведут к притоку прямых инвестиций в страны -
члены ЕАЭС". Для принятия или отвержения гипотезы необходимо выполнить
следующие задачи:
· Сделать обзор офшоризации российской
экономики;
· Определить перспективы деофшоризационной
политики РФ;
· Определить направление инвестиционных
потоков в рамках ЕАЭС;
· Проанализировать приток ПИИ в ЕАЭС на
разных стадиях интеграции;
· Изучить факторы притока ПИИ в ЕАЭС;
· Предположить будущий приток ПИИ в страны -
члены ЕАЭС в результате введения мер деофшоризации в РФ.
Объектом работы является поток ПИИ в рамках ЕАЭС, а предметом
- влияние мер деоффшоризации в РФ на приток ПИИ в страны-члены ЕАЭС.
Работа включает в себя три главы. Первая глава содержит
теоретические обоснования ПИИ и изменения потоков ПИИ в интеграционных
объединениях.
Вторая глава посвящена феномену офшоров в современной
экономике, а именно: офшоризации российской экономики, необходимости
деофшоризационной политики в РФ и реакции российских компаний на проводимую
политику.
Заключительная глава работы анализирует взаимосвязь ПИИ в
рамках ЕАЭС, роль деофшоризационой политики в формировании потоков ПИИ, а также
предлагает прогноз изменения потоков ПИИ в ЕАЭС.
1.
Теоретические обоснования притока ПИИ в условиях региональной интеграции
1.1 Теории и
факторы привлечения ПИИ
Прямые иностранные инвестиции (ПИИ) - это вложения капитала,
совершенные иностранными юридическими или физическими лицами, владеющими
организацией полностью или контролирующими не менее 10% уставного капитала или
акций организации.
ПИИ стали развиваться после второй мировой войны как
следствие усиления процессов глобализации. В 1950-1960 годах стало появляться
все больше и больше транснациональных корпораций (ТНК), что повлекло за собой
еще более интенсивные потоки ПИИ. Это послужило толчком для научного
исследования деятельности ТНК и, как результат, для развития теорий,
объясняющие движение капитала.
Изначально, для описания происхождения ПИИ использовались
теории, изучающие рынок капитала и портфельные инвестиции. ПИИ рассматривались
лишь как международное движение капитала и считались разновидностью портфельных
инвестиций.
Портфельные иностранные инвестиции в современном понимании
представляют собой покупку акций, паев, облигаций, векселей и других долговых
ценных бумаг иностранными инвесторами, а также зарубежными филиалами национальных
юридических лиц. Другими словами, это вложение средств в объекты
предпринимательской деятельности на территории страны с целью получения дохода.
Важно отметить, что они составляют менее 10% в уставном капитале организации.
Первоначально причиной потока капитала считалось различие в
ставке процента между странами. Согласно данному подходу при отсутствии
неопределенности и риска, приток капитала, как правило, происходил в регионах,
где он получал бы наибольшую отдачу. Тем не менее, подобный подход не объяснял
фундаментальное различие между прямыми и портфельными инвестициями, так как
прямые инвестиции подразумевают контроль над деятельностью организации. Таким
образом, важным теоретическим недостатком теории процентной ставки является то,
что она не включает в себя понятие контроля как такового. Если процентные
ставки выше за границей, инвестор будет размещать капитал там, но нет никакого
логического обоснования для инвестора контролировать предприятие, в которое он
инвестирует.
Начиная с 1960-х годов, с ростом роли ТНК, ученые пытались
связать их деятельность и приток ПИИ. С тех пор стало появляться множество
теорий, каждая из которых выделяет различные факторы, обуславливающие движение
капитала.
Теория несовершенной конкуренции и ТНК
В рамках данной теории особое место уделяется
монополистическим преимуществам, которые были подробно рассмотрены С. Хаймером,
Ч. Кинделбергом и Р. Кэйвзом в 1960 году.
Теория заключается в том, что иностранный производитель
идентичного продукта всегда в более худших условиях, чем национальный
производитель. Это объясняется дополнительными издержками, связанными с выходом
на зарубежный рынок, незнанием иностранным игроком местных "правил
игр" и особенностей рынка, а также отсутствием нужных связей. В результате,
для целесообразности интернационализации, инвестору необходимо обладать
монополистическими преимуществами, такими как обладание передовыми
технологиями, лучшей организационной структурой, уникальными знаниями.
Используя данные преимущества, зарубежной фирме выгодно осуществлять ПИИ.
Теория жизненного цикла продукта Вернера
Следующая теория была предложена в 1966 году американским
экономистом Р. Верноном. Согласно данной теории каждый продукт проходит 4
стадии: внедрение, рост, зрелость и упадок.
При создании нового продукта производитель стремится как
можно дольше удерживать звание уникального производителя данного продукта и
получать большую прибыль. Тем не менее, на разных стадиях жизненного цикла
продукта производителю необходимо выбирать производить товар в национальной
экономике, экспортировать продукт на иностранные рынки или переносить
производство в зарубежные экономики, совершая, таким образом, ПИИ. На первой
стадии компания - новатор имеет преимущество единственного производителя товара
и, в следствие этого, производит продукт в национальные экономики с высокой
доходностью. На второй стадии появляются другие производители нового продукта,
и компания - создатель вынуждена искать новые рынки сбыта, то есть выходить на
международный рынок. На следующем этапе конкуренция увеличивается еще сильнее,
и компания прибегает к способам снижения издержек путем переноса производства в
менее развитые страны, то есть совершая ПИИ. Таким образом, ПИИ увеличиваются
на стадии зрелости продукта.
Олигополистическая теория ПИИ
В 1973 году Никкербоккер сформулировал еще одну теорию,
основанную на несовершенной конкуренции рынка. До 1970-х годов считалось, что
существуют 2 мотива, которые побуждают компанию инвестировать в экономики
других стран:
· Дополнительный
рынок сбыта;
· Доступ к сравнительно дешевым факторам
производства (сырье, рабочая сила).
Никкербоккер предложил третий мотив - стремление
соответствовать действиям конкурентов. Другими словами, если одна фирма
выбирает стратегию интернационализации, то ее фирмы-конкуренты последуют
инвестициям в зарубежные страны. Таким образом, в олигополистических отраслях
решения лидеров рынка инвестировать за рубеж стимулируют их конкурентов
осуществлять ПИИ. Более того, Никкербоккер писал, что фирмы-конкуренты чаще
всего выбирают те же страны для ПИИ, что и фирма - лидер.
Теория интернализации
Данная теория, разработанная английскими учеными П. Бакли и
М. Кассоном в 1976 году, базируется на более узких сферах нежели другие теории:
на уровне отдельного сектора рынка и на уровне фирмы вместо изучения инвестиций
между странами.
Ученые анализировали поведение американских ТНК, а именно,
процесс их интернализации, за что теория и получила свое название. Теория
интернализации основана на следующих постулатах:
· Фирмы максимизируют прибыль только на
несовершенных рынках;
· В случае несовершенства рынков
промежуточных товаров, создается стимул для компаний создавать внутренний
рынок.
Под понятием "несовершенный рынок" следует понимать
рынок несовершенной конкуренции, то есть нарушение одного или нескольких из
пяти признаков совершенного рынка: мало продавцов или покупателей,
непрозрачность информации, продавцы могут зависеть друг от друга, существуют
барьеры входа на рынок. Все продавцы видят целью получение монопольной прибыли.
Так, компания, занимающаяся исследованиями и разработками,
может разработать новую технологию или более экономичный процесс производства
чего-либо. Однако продавать данную технологию другим фирмам может оказаться
затруднительно, так как транзакционные издержки могут оказаться слишком
высокими, что сделает передачу технологии нерентабельной для покупателя. В
данной ситуации компании выгоднее передавать свою технологию внутри ее
организационной структуры. Например, дочерней компании. В случае, если эта
дочерняя компания находится в другой стране, возникает необходимость ПИИ.
ПИИ и конкурентное преимущество наций
Американский ученый М. Портер исследовал в своей книге
"Конкурентное преимущество наций", почему некоторый отрасли экономики
процветают в следствие притока иностранного капитала, а в других отраслях
повышения эффективности не происходит, развив новую теорию ПИИ.
Эта теория рассматривает больше вопрос, кто инвестирует, а не
почему. Портер выделил четыре основных условия, при которых та или иная отрасль
страны становится конкурентоспособной на международной арене. Если условия
выполняются на внутреннем рынке, то инвестиционная привлекательность
повышается. Этими факторами являются:
· Преимущество в управлении, то есть умение
правильно определять корпоративную стратегию, цели и риски отрасли;
· Превосходство в эффективном использовании
факторов производства (физического и человеческого капитала);
· Особенности спроса и уровень жизни
населения;
· Наличие смежных отраслей, которые
позволяют зарубежным ТНК сотрудничать с местными компаниями.
Эклектическая парадигма (OLI - парадигма)
Теория эклектической парадигмы была предложена в 1988 году Д.
Даннингом. Целью данной теории было наиболее подробно рассмотреть поведение
ТНК, поэтому она базируется сразу на нескольких положениях экономической
теории.
Согласно эклектической парадигме, фирма осуществляет ПИИ
только в случае, если она обладает одновременно тремя преимуществами:
· Преимущество собственника
(О-преимущество), которое заключается в выигрышном положении компании за
рубежом по сравнению с другими;
· Преимущество размещения ПИИ (L-преимущество),
обозначающая способность фирмы использовать имеющиеся ресурсы за рубежом
эффективнее, чем на домашнем рынке;
· Преимущество интернализации (I - преимущество),
объясняющее целесообразность осуществлении ПИИ вместо лицензирования или
экспорта через посредника.
Парадигма летящих гусей
В конце 1930-х гг., японский ученый К. Акамацу предложил
новую теорию ПИИ. Данная теория перекликается с теорией жизненного цикла
Вернона, однако, в данном случае выделяется только 3 фазы в цикле продукта:
импорт, внутреннее производство и экспорт. В экономике развивающихся стран
развитие новой отрасли начинается всегда с импорта продукта. По мере
возрастания спроса, целесообразнее становится замещать импорт национальным
производством. Далее, при возникновении излишка, произведенного внутри страны
продукта, наступает заключительный этап - экспорт.
Свое название данная теория получила благодаря изображению
описанных выше фаз, которые напоминали летящих гусей.
Недостатком теории Акамацу является второстепенная роль ПИИ.
Так, последователи японского экономиста К. Коджима и Т. Озава усилили роль ПИИ,
показав, как иностранный капитал может ускорить экономическое развитие страны -
реципиента.
ТНК предпочитают осуществлять ПИИ на стадии внутреннего
производства, так как открытие филиалов иностранных компаний ускоряет процесс
перехода к третьей фазе.
Суммируя все рассмотренные выше теории, можно выделить
основные факторы, стимулирующие компанию осуществлять ПИИ:
· Обладание монополистическими
преимуществами за рубежом по сравнению с местными компаниями;
· Возможность снижения стоимости факторов
производства;
· Дополнительный
рынок сбыта;
· Соответствие
деятельности конкурентов;
· Снижение
транзакционных издержек.
1.2
Влияние региональной интеграции на изменения ПИИ
Интеграционные процессы по праву можно назвать одной из
главных тенденций современной мировой экономики. Согласно данным,
предоставленными Всемирной торговой организацией (ВТО) на февраль 2016 г. в
мире насчитывалось 419 действующих региональных торговых и интеграционных
соглашений (РТИС), подразумевающих снижение или полное устранение государствами
барьеров на пути движения товаров, капитала и рабочей силы, что практически в 8
раз превышает количество подобных соглашений в 1990-х гг. Такое бурное развитие
интеграционных процессов привело к увеличению международных потоков факторов
производства не только в развитые страны, но и в развивающиеся. В результате,
роль региональной интеграции как стимула формирования потоков ПИИ стала одной
из самых актуальных и обсуждаемых тем в последние годы.
Как правило, внутри стран-членов объединения происходит
ликвидация торговых барьеров и сокращение инвестиционных ограничений. Кроме
того, региональные интеграции могут способствовать развитию какой-либо
конкретной области в стране или какого-либо конкретного региона посредством
ПИИ. Согласно описанной выше олигополистической теории, если фирма - лидер
сделает ПИИ в определённую область определенной страны, то ее фирмы - конкуренты
вероятнее всего предпримут точно такие же действия.
Наиболее ранние работы, изучающие взаимосвязь создания
региональных интеграций с формированием внешних и внутренних потоков ПИИ, были
основаны на опыте Европейского союза (ЕС). Стоит отметить, что внутренними
потоками ПИИ называют потоки ПИИ между странами-членами регионального
объединения, а внешними потоками - между странами-членами и другим миром.
Греческий экономист Яннопулос в 1990, изучая ЕС, пришел к
выводу, что на ранней стадии европейской интеграции наблюдалось огромное
увеличение как внешних, так и внутренних потоков ПИИ также, как и потоков
товаров и услуг. Самый большой поток наблюдался из США. Однако изучение ЕС на
более поздних стадиях развития дает различные результаты. Например, работы британского
экономиста Д.Г. Даннинга утверждают, что поток из США продолжал значительно
расти и на следующих этапах интеграции, в то время как работы канадского
ученого Р.Д. Липсей в 1990 году показывают, что общий уровень притока ПИИ
перестал расти. Много работ было посвящено изучению опыта НАФТА, но результаты
разных ученых также противоречивы.
Японский экономист Нимеш Салайк в 2010 году предложил
объяснение в разнице изменения ПИИ на разных стадиях интеграции. Различие
состоит в мотивах и способах совершения ПИИ. Японский ученый выделил 2 главных
мотива: "перепрыгивание тарифа", то есть перенос производства за
рубеж с целью избегания уплаты таможенных пошлин и доступ к более
благоприятным характеристикам рынка. Двумя каналами совершения ПИИ экономист
назвал вертикальные и горизонтальные ПИИ. Горизонтальными инвестициями называют
производство тех же самых товаров и услуг за рубежом, что и в стране
базирования. Этот вид ПИИ называется горизонтальным, потому что ТНК
осуществляют одни и те же виды деятельности в разных странах. Вертикальные ПИИ,
в свою очередь, осуществляются теми ТНК, которые дробят процесс производства по
географическому принципу. Они получили свое название за то, что международные
компании делят производственную цепочку вертикально, контролируя разные стадии
производства за рубежом. Особенностью этого разделения является то, что
производственный цикл состоит из многочисленных этапов производства, которые
требуют разное сырье.
Рассмотренные два вида мотивов будут давать разные результаты
исследования влияния региональных интеграций на ПИИ внутри региона. Если
компания стремится к "перепрыгиванию тарифа", то потоки
горизонтальных ПИИ будут уменьшаться, так как экспорт из страны базирования со
временем станет дешевле, чем осуществление ПИИ. Однако если мотивом является
привлекательность характеристик рынка, то создание экономического объединения
послужит стимулом к увеличению инвестиций, поскольку это поможет использовать
нематериальные активы фирмы более эффективно. Это особенно верно для вертикально
интегрированных ПИИ, где операции ТНК специализированы в соответствии с
местоположением преимуществ принимающей страны. Что касается внешних потоков
ПИИ, то в случае обоих мотивов инвестиции будут расти либо из-за опасений по
поводу будущей протекционной политики интеграции, либо из-за восприятия
растущего рынка.
Недостатком всех упомянутых выше теорий ПИИ и теорий о
влиянии региональной интеграции на приток ПИИ в страны - члены является тот
факт, что в них игнорируется политический фактор. На практике политическая
нестабильность страны или некорректное функционирование политических институтов
заметно сказывается на потоке ПИИ. Однако соглашения о создании региональной
интеграции представляют собой доказательство политической состоятельности
стран, участвующих в данном объединении.
Поскольку региональные интеграционные процессы приобретают
все большую и большую динамику развития, вопрос оценки взаимосвязи потоков ПИИ
и РТИС стал особенно актуальным.
Наиболее простым методом изучения такой взаимосвязи является
сравнение уровня инвестиций, приходящих в экономику страны до и после ее
вступления в интеграционный союз. Недостатком данного метода можно признать то,
что при анализе могут автоматически учитываться другие факторы, повлиявшие на
инвестиционную привлекательность страны.
Другим методом оценки влияния РТИС на приток ПИИ в страны -
члены интеграции является построение эконометрической модели, где зависимыми
переменными выступают величины притока или суммарного объема ПИИ. Иногда в
модель вводятся дамми переменные, принимающие значение 1, если страна входит в
региональную группировку и 0, если не является членом РТИС.
деофшоризация прямая иностранная инвестиция
Такой метод тоже обладает своими недостатками, так как
переменные могут влиять друг на друга. Так, переменная, отвечающая за участие
или неучастие страны в интеграционном процессе, может оказать влияние и на
другие факторы, используемые в модели, такие как ВВП.
Однако данный метод является широко распространенным, так как
все же позволяет показать роль РТИС в увеличении инвестиционной
привлекательности стран-членов интеграции.
Как правило, при построении эконометрической модели в данном
случае используют панельные данные, где измерениями выступают три составляющие:
объекты (страны) переменные (ВВП, объемы ПИИ) и время (года). Под объемами ПИИ
чаще всего понимают суммарную величину потоков из одной страны в другую.
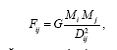
Чаще всего такие модели имеют те же самые предпосылки, что и
закон всемирного тяготения И. Ньютона, за что и получили название
гравитационных моделей. Закон гравитации гласит, что две любые материальные
частицы с массами M1 и M2 притягиваются по направлению друг к другу с силой Fij, прямо пропорциональной
произведению масс и обратно пропорциональной квадрату расстояния D между ними:
,
где G - гравитационная постоянная.
В отношении инвестиций закон будет звучать следующим образом:
объемы ПИИ между двумя странами прямо пропорциональны произведению объемов их
ВВП и обратно пропорциональны расстоянию между этими странами. Формула в данном
случае будет иметь следующий вид:

,
где

- величина притока или суммарного объема ПИИ страны i в экономике j за время t;

, 
- объемы
ВВП за время t в стране i и j соответственно;

- расстояния между странами i и j;

- коэффициенты,
отражающие значимость рассматриваемых факторов;
G - константа;

- случайные отклонения.
В случае интеграции важно пояснить, что под M1 понимается суммарное ВВП всех стран-членом интеграционной
группировки, а под M2 - ВВП любой страны-инвестора в экономики объединения. Другими
словами, при создании интеграции в данной модели происходит создание большой
общей экономики, то есть аккумуляция ВВП всех стран-участниц, что увеличивает
переменную M1. Применяя закон всемирного тяготения получаем, что при создании
интеграционного объединения, растет значение M1, что
увеличивает произведение суммарного ВВП стран-членов и страны-инвестора. Это
приводит к "притягиванию" бóльших внешних потоков ПИИ в интеграционное
объединение.
После логарифмирования получаем следующую рабочую формулу:
Впервые гравитационная модель в экономической теории была
использована В. Изардом в 1954 году при оценке объемов торговли между странами.
В дальнейшем подобный образ построения эконометрических моделей получил широкое
распространение, включая инвестиционный анализ.
1.3 Мировой
опыт изменения потоков ПИИ в результате образования региональных группировок
Для анализа мирового опыта изменении ПИИ в процессе создания
РТИС выбраны такие региональные интеграции как НАФТА, ЕС и КАРИКОМ. Выбор
именно этих интеграционных группировок объясняется тем, что НАФТА и ЕС являются
одними из первых и самых успешных региональных объединений, а для КАРИКОМА
наиболее удобные и доступные данные для анализа. К наиболее известным
региональным группировкам также относится АСЕАН, но она не удобна для анализа,
так как на поток ПИИ оказало большое влияние азиатский финансовый кризис
1997-1998 годов. Кроме того, эти три экономические интеграции находятся на
разных концах света, что позволяет проанализировать изменении ПИИ в процессе
создания экономической группировки по всему миру.
НАФТА
НАФТА (англ. North American Free Trade Agreement, NAFTA) - это соглашение о зоне
свободной торговли между тремя странами: США, Канадой и Мексикой. Оно заменило
действующее ранее Канадско-американское соглашение о свободной торговле. Датой
создания НАФТА считают 17 декабря 1992 года. Целесообразно анализировать
изменение потока ПИИ в Мексику после ее присоединения к альянсу.
На рисунке 1 показаны наблюдения изменения потоков ПИИ в
Мексику с 1982 по 1998 года. Изменения ПИИ измерены в трех различных
показателях: ПИИ в текущих долларах США на душу населения, ПИИ как доля ВВП, и
ПИИ как доля от общего объема инвестиций. По вертикали отложены разы, во
сколько ПИИ в исследуемо году больше, чем объем ПИИ в 1983 году, по горизонтали
- года.
Рисунок 1 "Поток ПИИ в Мексику"
Источник: Monge-Naranjo A. The impact of
NAFTA on Foreign Direct Investment flows in Mexico and the Excluded countries
// draft paper Northwestern University. - 2002.
Анализируя график, можно сказать, что с 1993 года наблюдается
резкий рост ПИИ на душу населения. Это можно объяснить тем, что при создании
РТИС ВВП, а также портфельные инвестиции увеличиваются, поэтому рост других
двух показателей не является столь же быстрым.
Важно отметить, что подавляющая доля приходящих в Мексику
инвестиций была со стороны США, то есть большинство инвестиций ПИИ стало
внутренним в рамках НАФТА.
Более того, в докладе Юнктад 1995 отмечается, что в результате
образования НАФТА потоки ПИИ в Мексику значительно увеличились. На рисунке 2
показана динамика ПИИ в Мексику по сравнению с общемировым ростом потоков
прямых инвестиций. Очевидно, что поток ПИИ во всех странах - членах НАФТА
увеличивался по мере интеграции, значительно превышая общемировой показатель.
Рисунок 2 "Приток ПИИ по странам НАФТА 1986-1997 (млрд
долл)"
С точки зрения теории такой стремительный рост ПИИ в Мексику не
является случайным и может быть объяснен теоретически. Согласно теории Вернона
ПИИ появляются на стадии зрелости продукта, когда конкуренция на национальном
рынке начинается значительно усиливаться, и компания сталкивается с
необходимостью снижать издержки. В данном случае американские компании
направляют ПИИ в Мексику, так как такой фактор производства, как труд, в
Мексике дешевле.
Кроме того, США является развитой страной в отличие от Мексики.
Как следствие этого, американские производители обладают большими компетенциями
в различных областях. Согласно теории несовершенной конкуренции, многие
американские производители имели монополистические преимущества на мексиканском
рынке.
Европейский союз
Европейский союз - это экономическо-политическое объединение, в которое
входит 28 стран, созданное в 1993 году. Как было описано в первой главе, на
ранней стадии интеграции поток ПИИ в страны-члены значительно увеличился, но со
временем изменении ПИИ могут быть противоречивы согласно теории Яннопулоса.
На рисунке 3 показана динамика изменения ПИИ в ЕС с момента
создания по 2010 год. График показал, что поток ПИИ между странами-членами ЕС
значительно вырос: с €64 млрд в 1992 году до €260 млрд в 2010. Следует
учитывать также, что значение 2010 года не является наибольшим, так как так как
это после кризисный период, в 2007 году поток ПИИ достигал €730 млдр Более
того, уровень ПИИ стал падать в ЕС до кризиса, а именно с 2001-2002 годов,
однако, он все равно значительно выше уровня ПИИ, чем в момент создания ЕС.
Рисунок 3 " ПИИ внутри стран ЕС 1992-2010 гг. "
Источник: Eurostat,AMECO
На сайте Европейской Комиссии регулярно публикуются различные
данные о роли ЕС в мировой экономике. Рисунок 4 иллюстрирует роль ЕС в
формировании мировых потоков ПИИ в 1995-2013 гг. Анализируя рисунок можно
сказать, что с момента создания группировки до 2000-х, доля ЕС в мировых
потоках ПИИ постепенно росла. Более того, доля ПИИ ЕС увеличивалась быстрее,
чем доля других развитых стран мира.
Рисунок 4 "Мировые потоки ПИИ в млрд долларов в 1995-2013 гг.
"
Приток ПИИ в ЕС теоретически можно подтвердить эклектической
парадигмой. Преимущество собственника объясняется тем, что каждая из стран
имеет свою конкретную специализацию, что ставит ее в выигрышное положение по
сравнению с местными производителями или другими странами. Преимущество
размещения в данном случае состоит в наличии различных ресурсов между странами.
Преимущество интернализации для каждого конкретного случая, то есть для
отдельной ТНК, различно.
КАРИКОМ
КАРИКОМ (англ. Caribbean Community (CARICOM)) - это экономический и торговый союз 15 стран Южной Америки.
Данный союз был основан 24 июля 1973 года, но действующий договор о Едином
рынке был подписан только в 2001 году. Официально данный договор был
пересмотренным Чагауарамасским договоров, но на практике он означал
окончательное создание единого экономического пространства. Данные об
инвестиционных потоках между странами ЮНКТАД публикует с 1990 года, поэтому для
анализа влияние интеграционных процессов на приток ПИИ в страны - члены
используем сравнение уровня ПИИ до и после подписания договора.
На рисунке 5 показано изменение внутреннего притока и оттока ПИИ в
странах-членах КАРИКОМ. На основе данного графика можно сделать вывод, что
углубление степени интеграции увеличивает уровень ПИИ в группировке. Так,
значение притока ПИИ составило более примерно $ 5606,19 млн в 2007 году, по
сравнению с $ 449,39 млн в 1990 году.
Рисунок 5 "Приток и отток ПИИ в КАРИКОМ, 1990-2008 ($ млн)
Источник: UNCTAD, FDI Statistic database
Основываясь на анализе вышеприведенных интеграционных
объединениях, можно сделать следующие выводы:
· Создание экономического интеграционного
союза стимулирует поток ПИИ;
· Со временем уровень ПИИ в объединении
может начать снижаться, но он все равно будет выше, чем до создания
организации;
· Углубление стадии интеграции благоприятно
влияет на поток ПИИ.
2. Влияние
деофшоризации на изменении потоков ПИИ
2.1 Феномен
офшоров в мировой экономике
Офшорная зона (англ. "вне
берега") - это территория, где действуют особые условия для ведения
бизнеса иностранными компаниями. К таким особым условиям относятся очень низкие
или нулевые налоговые ставки, упрощенные правила ведения отчетности и
управления компанией, возможность скрывать настоящих владельцев. Важен тот
факт, что офшор (компания, регистрируемая в офшорной зоне) переносит туда свой
капитал.
Существование офшорных схем не является
современным феноменом. Еще во времена древних Афин греческие и финикийские
торговцы объезжали Афины за 20 миль с целью избегания уплаты двухпроцентного
налога на ввоз и вывоз товара. Затем ближайшие к Афинам острова стали выступать
в роли налоговых убежищ, куда привозили контрабандные товары. В XVII веке офшорные схемы
проникли в США, когда американские торговцы осуществляли торговую деятельность
через страны Латинской Америки с целью уклонения от импортного налога Англии.
Прототипом современных офшорных зон стала Швейцария, где были разработаны
институты финансовой секретности для привлечения иностранного капитала. В
1970-е годы некоторые островные английские колонии обрели независимость и были
вынуждены перейти на самостоятельное финансовое обеспечение, выбрав источником
поступлений в бюджет регистрацию офшорных компаний на своих территориях. В
России офшорные схемы приобрели популярность в 1991 году с открытием офиса
швейцарской компании Riggs Walmet Group, оказывающей услуги по
созданию и сопровождению компании в оффшорных юрисдикциях.
Преимущество регистрации в офшорных зонах для зарубежной
компании очевидно, но офшорные зоны тоже извлекают выгоду. Как правило,
оффшорные территории не изобилуют трудовыми и природными ресурсами, что часто
приводит к неразвитости национальных экономик, отсутствию инвестиций и низкому
уровню жизни населения. В результате, офшорные зоны не имеют возможности
торговать товарами, поэтому они предпочитают продавать "юридические
адреса", предоставляя вместе с этим налоговые льготы. Однако зарубежные
компании не имеют права вести бизнес на территории офшорной юрисдикции, чтобы
не составлять конкуренции местному бизнесу.
Единой классификации офшорных зон не существует, но наиболее
распространенной является разделение офшорных зон на три типа в зависимости от
требований к регистрируемому офшору. Так, разделяют 3 группы офшорных зон:
Первая группа совершенно не требует отчетности о деятельности
компании. Данных тип офшорных зон характеризуется высокой степенью
конфиденциальности о реальных владельцах компании. Регистрация офшора на такой
территории занимает около 2 недель, в ее стоимость входит минимальный список
услуг, необходимый для поддержания секретарского бюро. В первую группу входят
такие офшорные зоны, как Панама, Британские Виргинские острова, Багамы.
Второй тип офшорных зон требует строгого контроля за
деятельностью офшора, но предоставляет значительные налоговые льготы. Кроме
того, информация о владельцах фирмы должна быть зарегистрирована в обязательном
порядке в отличие от офшорных зон первого типа. Стоит отметить, что ТНК
предпочитают сотрудничать с офшорами второго типа нежели первого, так как более
высокие требования к офшорам повышают их надежность. К данной группе относятся
Ирландия, Сейшелы, Гибралтар.
Третью группу часто называют "оншор", так как к
этой группе относят страны, в которых зарубежные компании могут осуществлять
коммерческую деятельность, но с некоторыми налоговыми льготами. К таким
территориям относят США, Англию, Кипр. Например, в США нерезиденты могут не
платить федеральные налоги, если деятельность их бизнеса не затрагивает
внутренний рынок. В то же время Кипр особенно привлекателен для российских
инвесторов тем, что на территории данной страны отсутствует двойное
налогообложение для международного бизнеса.
ЦБ РФ классифицирует офшорные зоны по прозрачности информации
о зарегистрированных офшорах. В апреле 2016 года ЦБ опубликовал официальное
разделение офшорных зон на три типа (См. приложение 1).
Стоит отметить, что подобный опыт разделения офшорных зон был
использован ранее ведущими мировыми экономиками. Так, в 2009 году Организация
экономического сотрудничества и развития (ОЭСР) опубликовала три списка
офшорных юрисдикций в зависимости от их прозрачности: "белые",
"серые" и "черные" - по уменьшению прозрачности информации
соответственно.
2.2
Деофшоризация как фактор изменения потоков ПИИ
Понятие "деофшоризация" прозвучало впервые в 2013
году российским экспертом в области налогового права А.С. Захаровым. Он
сформулировал это понятие следующим образом: "Деофшоризация - это процесс
проведения государством комплекса мероприятий в законодательной, правовой и
информационной сферах для уменьшения или исключения вовлеченности в
национальный инвестиционный оборот резидентов под видом иностранных лиц или с
использованием офшорных схем, то есть зарубежных правовых конструкций,
преследующих преимущественно незаконные или недобросовестные цели".
Деофшоризационную политику РФ как фактор формирования потоков
ПИИ в ЕАЭС целесообразно рассматривать как следствие того, что на оффшорные
схемы приходится подавляющая часть ПИИ России. Особенность российских ПИИ
состоит в том, что значительную долю составляет так называемый "круговорот
капитала" (англ. round-tripping). Это явление, в следствие которого в страну
приходит капитал, ранее выведенный в офшорные юрисдикции.
Репрезентативные данные о потоках ПИИ в Россию и из России за
последние 3 года пока отсутствуют. Поэтому для анализа используются базы данных
2012 года и научные статьи за 2014 год.
В 2012 году из $18,5 млрд общего притока ПИИ $7,5млрд приходят
из офшорных финансовых центров, где самая большая доля приходится на ПИИ из
Кипра, которые составляют 80% общего объема островных инвестиций. Объем прямых
иностранных инвестиций по странам происхождения в 2012 году представлен в
таблице 2 (офшорные страны) и в таблице 3 (неофшорные страны). (Полный список
офшорных и неофшорных стран см. Приложения 2,3). Анализируя таблицы можно
заметить, что около половины от общего притока ПИИ в Россию поступает из
офшорных стран.
Таблица 1 "Приток ПИИ в Россию по странам: основные офшорные
страны (2012 год)"
|
Страна
|
Накопленные ПИИ
(млн долларов)
|
Доля от всех
накопленных ПИИ (%)
|
|
Кипр
|
55729,374
|
40,05
|
|
Британские
Виргинские острова
|
8643,075
|
6,21
|
|
Багамы
|
2072,678
|
1,49
|
|
Лихтенштейн
|
1269,645
|
0,91
|
|
Сейшелы
|
514,963
|
0,37
|
|
Другие
|
1509,639
|
1,09
|
|
Всего
|
69739,37
|
50,12
|
Таблица 2 "Приток ПИИ в Россию по странам: основные
неофшорные страны (2012 год) "
|
Страна
|
Накопленные ПИИ
(млн долларов)
|
Доля от всех
накопленных ПИИ (%)
|
|
Нидерланды
|
23667,703
|
17,01
|
|
Германия
|
11361,152
|
8,16
|
|
Великобритания
|
3566,619
|
2,56
|
|
США
|
3374,963
|
2,43
|
|
Австрия
|
3125,523
|
2,25
|
|
Франция
|
2690,811
|
1,93
|
|
Индия
|
2422,726
|
1,74
|
|
Швейцария
|
2361,799
|
1,70
|
|
Финляндия
|
2287,490
|
1,65
|
|
Южная Корея
|
1596,669
|
1,15
|
|
Испания
|
1407,463
|
1.01
|
|
Китай
|
1388,868
|
1,00
|
|
Другие
|
10159
|
7,2
|
|
Всего
|
69410,78
|
49,88
|
Кроме того, многие офшорные территории являются не только
странами происхождения приходящих ПИИ в Россию, но также представляют собой
одно из главных направлений для оттока ПИИ из России, что наиболее важно для
исследования. Например, Кипр является источником более $ 55 млрд, приходящих в
Россию и в то же время более чем $ 15 млрд уходят из России на Кипр. Для
Британских Виргинских островов эти цифры составляют $ 8,6 млн и $ 2,0 млрд
соответственно.
Особое внимание также стоит уделить Нидерландам, на которые
приходится более всего ПИИ из неофшорных стран - $24 млрд. Официально эта
страна не входит в список офшоров, но на практике косвенно относится к ним. В
2012 году доля оттока ПИИ в Нидерланды из России составила более 36% общего числа
оттока ПИИ из России. Такая значительная часть может быть объяснена тем, что
многие российские резиденты выбрали Нидерланды как посредник между Россией и
офшорными направлениями. Удобное и прозрачное законодательство этого
государство привлекло фирмы создавать там SPV (юр. лицв,
создаваемые исключительно для выполнения конкретной задачи, например,
для обеспечения финансовой операции или создания определенного финансового
инструмента) и использовать их в качестве средства организации российского
проектного финансирования со стороны международных банков. Конечно, существуют
некоторые реальные ПИИ из Нидерландов в Россию от таких компаний, как Shell, Unilever, и другие.
В какой-то степени описанное выше косвенное отношение к
офшорным схемам также имеют Люксембург (0,7% ввоза и 3,1% вывоза ПИИ) и
Ирландия (0,45% и 0,06%, соответственно).
Основная причина использования офшорных схем в развитых
странах это уклонение от налогов. Однако есть и несколько других причин. Одна
из них возможность получить более выгодное финансирование и некоторые другие
финансовые услуги для крупных российских компаний от международных банков.
В итоге, офшоры являются главной причиной оттока капитала из
России. Это приводит к замедлению экономического роста страны. При нынешней
политической ситуации борьба с офшорами представляется одним из основных
направлений политики РФ.
Уже упомянутый первый антиофшорный закон, вступивший в силу 1
января 2015 года, во-первых, вводит новое понятие "Контролируемая
иностранная компания" (КИК), под которым подразумевается зарубежная
компания или структура, не являющаяся налоговым резидентом РФ, но им
контролируемая. Во-вторых, согласно закону, такие "контролирующие
лица" отныне обязаны предоставлять налоговым органам РФ информацию об их
участии в капитале КИК и о размере нераспределенной прибыли такой компании, а
также декларировать ее. В-третьих, предполагается штраф за не предоставление
требуемой информации и/или неуплату полной суммы налога, которая произошла в
следствии не учета прибыли от КИК при определение налоговой базы.
Среди других планируемых мер деофшоризации РФ можно выделить
следующие:
· Создание единой системы обмена налоговой
информацией между странами;
· Борьба с коррупцией, так как офшорные
схемы часто сопутствуются актами коррупции;
· Введение налога на спекулятивные
финансовые операции;
· Преследование фирм-однодневок, так как они
могут быть задействованы офшорными юрисдикцией;
· Усиление ответственности за нарушение
законодательства в области уклонения от налогов через офшорные схемы;
· Лучшие условия для ведения бизнеса в
России.
Все эти меры вероятно приведут к уменьшению оттока капитала в
офшоры, что высвободит некоторую долю капитала российских предпринимателей. Это
создаст необходимость поиска новых направлений для размещения капитала за
границей. Страны ЕАЭС могут стать таким альтернативным направлением для потока
ПИИ из России и в страну.
2.3 Влияние
деофшоризационной политики на поведение российских компаний, зарегистрированных
в офшорных юрисдикциях
Как было показано ранее, офшоры занимают значительную долю
российских ПИИ. Многие крупные российские компании имеют дочек в оффшорных
зонах. Самым популярным офшорным направлением для российских бизнесменов
является Кипр. К наиболее крупным киприотам относятся:
· "Норильский Никель" (находится в
собственности "Norilsk Nickel Cyprys Ltd" (100%));
· Ведущая российская компания
горнодобывающей и металлургической области "Мечел" (владельцами
являются Calridge Ltd. (12,4%), Bellasis Holdings Ltd. (9,2%), и некоторые
нераскрываемые акционероы, номинальными держателями акций которых выступают ООО
"Дойче банк" (35,0%), ЗАО "Депозитарно-Клиринговая
Компания" (32,0%) и ЗАО "Ю Би Эс Номиниз" (6,2%)";
· "Роснефть" (владеет 51% "Rosneft-Shell Caspian Ventures Limited",
зарегистрированной на Кипре);
· "Лукойл" (имеет сразу
несколькими дочек офшорной юрисдикции: LUKOIL Cyprus Ltd, LUKOIL Overseas Cyprus Ltd, K&S Baltic Offshore (Cyprus) Ltd, Bitech (Cyprus) Ltd);
· "Вымпелком" (имеет кипрских
дочек ROL Holdings Ltd, Agama Ltd);
· "ВТБ"
(владеет 10% Russian Commercial Bank (Cyprus) Ltd и I. T. C. Consultants
(Cyprus));
· Челябинский трубопрокатный завод (более
75% принадлежит офшору Mountise Ltd, зарегистрированной на Кипре);
· Аэропорт "Домодедово" (находится
в собственности кипрской компанией "Асьенда Инвестментс Лимитед");
· КамАз (23,4% акций принадлежит кипрской
компании Avtoinvest Limited) .
Также "киприотами" считаются следующие компании
"Ростелеком", "Тройка диалог", Газовая компания
"Интера", Железнодорожный оператор "Глобаллтранс" и прочие.
Другими крупными российскими офшорами является:
· Промышленная группа "Базовый
элемент" (подавляющая доля компаний, входящих в группу принадлежит
зарегистрирована на о. Джерси компании "Basic Element Ltd". В то же время
"Basic Element" является дочкой компании "A-Finance",
зарегистрированной на Британских Виргинских островах. Бенефициаром данной
компании является глава "Базового элемента" Олег Дерипаско). На о.
Джерси также зарегистрированы En+ и ОК Русал, находящиеся под полным контролем
Олега Дерипаско.
· "Мегафон". В 2014 году компания ABU Group Ltd., зарегистрированная на
Британских Виргинских островах, владела 48% виргинской компании USM Holdings Ltd., которой принадлежал
как раз главный совладелец "Мегафона" виргинская компания USM Telecom Holdings Ltd. Остальными
совладельцами "Мегафона" являлись виргинская Garsdale Services Investments Ltd., кипрская AF Telecom Holding Ltd, московское ООО "АФ
Телеком Холдинг" и Telecominvest Holdings Ltd.
К сожалению, не все фирмы предоставляют открытую информацию о
реструктуризации компании в следствии деофшоризации экономик РФ, а некоторые и
вовсе отказываются признавать использование офшорных схем в ведении бизнеса,
нарушая тем самым описанный выше закон. Однако есть примеры добросовестного
исполнения предписания.
Вышеупомянутая компания ОК Русал, входящая в группу
"Базовый элемент" уже разработала план поэтапного переноса финансовой
и хозяйственной деятельности на территорию России, с целью полного перехода в
российскую юрисдикцию.
Компания LUKOIL Overseas является частью группы LUKOIL. Она занимается
разведкой и последующей разработкой нефтегазовых месторождений за пределами РФ.
В настоящий момент компания реализует примерно 30 проектов на территории более
десятка стран. В связи с изменением российского законодательства в области
борьбы с офшорами, компания начала реорганизацию, в ходе которой планируется
упростить схему владения компании, превратив фирму в центр исключительно по
управлению производственными процессами. Новая схема владения LUKOIL Overseas была представлена в
налоговые органы в соответствии с законом.
Автомобильная корпорация "КАМАЗ" также не пошла в
конфронтацию с законом. В ближайшем будущем все акции, принадлежащие кипрской
компании, вернутся в Россию. Процесс возвращения капитала немного затягивается,
так как любое движение капитала должно быть согласовано между всеми акционерами
компании, в том числе немецким автоконцерном Daimler, держателем 15%
"Камаза". Гендиректор "Камаза" Сергей Когогин сообщил, что
акции будут возвращены в Россию сразу после согласования немецких акционеров.
Компания российского миллиардера Алишера Усменова USM Holding Ltd также последовала
предписаниям закона. Еще в декабре 2014 года контрольные пакеты акций таких
компаний, как "Метеллоинвест" и "Мегафон" были переведены в
российскую юрисдикцию. Теперь эти компании принадлежат российским "АФ
Телеком Холдинг" и "ЮэСэМ Металлоинвест" и платят налоги в
российский бюджет.
Крупнейший российский энергетический холдинг
"РусГидро" вовсе принял решения еще в конце 2014 года ликвидировать
свои кипрские дочки Balp Limited и Boges.
Вернувшийся капитал в Россию облагается налогом в
соответствие с российским законодательством. Как результат, нераспределенной
прибыли у компаний остается меньше, чем до начала деофшоризационной политики.
Тем не менее, финансовая российская среда еще недостаточно развита, что
стимулирует компании реинвестировать нераспределенную прибыль вместо помещения
капитала в банк. Главы компаний, которые предпочли вернуть деньги в Россию, в
основном подтверждают планы по поиску новых направлений для ПИИ, но конкретные
инвестиционные решения еще не готовы.
В итоге, российский капитал хоть и медленно, но все же
возвращается в страну. В конце 2015 года руководитель дирекции частного банка и
управления активами МДМ Банка Ваган Амичб отметил: "Сейчас мы
действительно видим, что крупные клиенты возвращают часть средств в российские
банки в рамках деофшоризации". Однако оценочного объема возврата денег в
следствии деофшоризации пока нет.
Более того, российские инвесторы вскоре начнут искать новые
благоприятные места для размещения недавно высвободившегося капитала. США и ЕС
больше не представляются привлекательными направлениями из-за напряженной
политической ситуации и введённых против России санкций. Перспективными
направлениями остаются Азия и ЕАЭС, однако страны ЕАЭС являются наиболее
надежным направлением для российских инвесторов.
3. Возможное
изменение притока ПИИ в ЕАЭС в результате деофшоризации российской экономики
3.1 Приток
ПИИ в страны-участницы на разных этапах развития ЕАЭС
Датой создания ЕАЭС принято считать 1 января 2015 года, но не
следует забывать, что история создания группировки началась раньше.
В 1994 году президент Казахстана Нурсултан Назарбаев впервые
выдвинул идею создания Евразийского Союза. В этом же году был разработан проект
предложенной интеграции, а после утверждения его главами государств направлен в
прессу. Уже в 1995 году было подписано соглашение о формировании Таможенного
союза (ТС) между странами так называемой "тройки": Беларусью, Казахстаном
и РФ. В последующем году этими же странами был подписан Договор об углублении
интеграции в экономической и гуманитарных областях. Летом 2006 года было
принято решение активизировать работу по созданию ТС в рамках
"тройки" с последующим присоединением к ТС Киргизии и Таджикистана. В
октябре 2007 года странами "тройки" был подписан договор о
формировании единой таможенной территории и создании ТС этих стран.
В начале 2010 года ТС начал функционировать. В рамках ТС был
создан общий рынок товаров, то есть введен единый таможенный кодекс, единый
таможенный тариф для более, чем 11 тысяч различных наименований товаров, единая
таможенная территория, а также единая система тарифного и нетарифного
регулирования (технический регламент, ветеринарный и фитосанитарный контроли).
Стоит отметить, что национальная юрисдикция предприятий сохранилась.
В конце 2010 года была принята Декларация о создании Единого
экономического пространства (ЕЭП) между РФ, Республикой Беларусь и Республикой
Казахстан, а также были приняты 17 международных договоров, которые создали
базу для вступления в силу ЕЭП. В последующем году страны ТС приняли Декларацию
о евразийской экономической интеграции, заявив о намерении перейти на следующий
интеграционный этап - создание (ЕЭП). В 2011 году было принято решение "О
вступлении в силу международных договоров, формирующих Единое экономическое
пространство Республики Беларусь, Республики Казахстан и Российской
Федерации", которое определило начало действия соглашений, создающих ЕЭП,
с 1 января 2012 года, а также начались переговоры о присоединении Киргизии к
ТС.
С 2012 года ЕЭП между Белоруссией, Казахстаном и Россией
начало свое существование. Вступили в силу подписанные ранее базовые
соглашения, определяющие общие правила конкуренции (общую систему антимонопольного
регулирования и регулирования государственных закупок), создающие общий рынок
услуг (государства обязуются не дискредитирования предприятия других стран -
членов по происхождению кроме банковских, страховых и финансовых услуг),
капитала (защита инвесторов) и труда (равная социальная защита резидентов и
мигрантов, взаимное признание различных документов, подтверждающих квалификацию
работника) и регулирующие согласованную макроэкономическую политику стран.
В мае 2014 года президенты стран членов ТС и ЕЭП подписали
Договор о создании ЕАЭС, определив переход на следующий интеграционный этап. В
октябре этого же года страны-участницы подписали Договор о присоединении
Армении к интеграции, а в декабре - о присоединении Киргизии.
Договор о создании ЕАЭС, в которого входили Белоруссия,
Казахстан и Россия вступил в силу 1 января 2015 года, 2 января 2015 года
официально присоединилась Армения, а 12 августа завершилась процедура
вступления Киргизии в группировку. Так, ЕАЭС считают правопреемником ТС. В
рамках ЕАЭС определяется единая стратегия развития интеграции, единая
промышленная и сельскохозяйственная политика, общие программы развития
инфраструктуры (главным образом, транспортное сообщение). Стоит отметить, что
создание надгосударственных органом управление не предусмотрено.
Для анализа потока ПИИ в следствие углубления интеграции
проанализируем изменения потоков ПИИ между странами-членами интеграции с 2009
по 2015 года. Евразийский Банк Развития (ЕБР) ежегодно публикует мониторинг и
анализ ПИИ для ЕАЭС и стран Евразийского континента. В докладе используется
база данных МПИ-Евразия. МПИ-Евразия - это проект ЕАБР, содержащий детальные
сведения о движении ПИИ в странах ЕАЭС, Украине и Таджикистане в Евразии за
пределами СНГ и Грузии. Кроме того, в МПИ-Евразия учтены инвестиции из Австрии,
Вьетнама, Индии, Ирана, Китая, Нидерландов, Республики Корея, Турции и Японии в
выше указанных постсоветских странах. Важен тот факт, что база данных
формируется "снизу-вверх", то есть составляется на основе отчетности
компаний и другой первичной информации. Этот факт позволяет адекватно оценивать
такие факторы, как инвестиции через офшорных схемы или другие
"перевалочные станции".
На рисунке 6 представлен общий объем накопленных ПИИ,
отраженных в базе данных МПИ - Евразия на конец года 2014 года. Базируясь на
представленном графике, можно сделать вывод, что уровень интеграции и уровень
ПИИ прямо пропорциональны.
Рисунок 6"Общий объем накопленных ПИИ, отраженных в базе
данных МПИ - Евразия, на конец года, $ млрд"
Однако нельзя сказать, что в странах ЕАЭС рост взаимных инвестиций
очевиден и неоспорим. На рисунке 7 представлена динамика накопленных российских
ПИИ в странах-членах ЕАЭС в указанный период. Анализируя график, можно сделать
вывод, что с момента начала интеграции до 2012 года наблюдался стабильный рост,
но в 2013 темп роста взаимных инвестиций России с другими странами-членами
замедлился, а в случае Казахстана - уровень взаимных инвестиций вовсе упал.
Рисунок 7 "Накопленные российские ПИИ в странах региона в
2008-2014 годах"
Кроме того, для анализа ПИИ в странах-членах ЕАЭС необходимо
видеть приток ПИИ в страны-участницы группировки в сравнении с общемировыми
показателями. Не следует забывать, что с 2009 года в интеграции участвовали
лишь страны так называемой "тройки", поэтому изменение потока ПИИ с
2009 года корректно смотреть в этих трех странам. На рисунке 8 видно, что поток
ПИИ Армения и Киргизии со-направлен с потоками в Белоруссии, Казахстане и
России. На графике виден стабильный и очевидный рост до 2013 года, однако затем
приток ПИИ в страны - участницы резко падает. Причиной такому падению послужил
политический кризис на Украине. Как отмечается в докладе о мониторинге взаимных
ПИИ в странах СНГ, экономическая и политическая дестабилизация в Украине
является одним из главных факторов глобального снижения потоков ПИИ на
постсоветском пространстве. Так, приток ПИИ в Казахстан упал почти в 2 раза за
2014 год, а в России такое падение составило 43% и 39% за 2013 и 2014 года
соответственно.
Рисунок 8 "Приток ПИИ в ЕАЭС и по миру"
Для наглядности влияния интеграции на приток ПИИ следует
посмотреть динамику процентного соотношения ПИИ в общемировом потоке. На
рисунке 9 представлена уже описанная выше ситуация: стабильный рост с 2009 до
2013 годов и падение в 2014 году.
Рисунок 9 "Процент притока ПИИ в страны ЕАЭС от мирового
притока ПИИ"
В целом, можно сказать, что развитие интеграционных процессов
стимулирует внутренние потоки ПИИ внутри ЕАЭС также, как и в других мировых
интеграционных группировках, но нельзя игнорировать внешние факторы, которые
тоже могут влить на формирование данных потоков.
3.2 Факторы
притока ПИИ в страны-участницы ЕАЭС и роль деофшоризации
Одной из экономических целей создание ЕАЭС является повышение
инвестиционной привлекательности стран-членов. Каждая страна имеет потенциал в
различных отраслях. Однако в рамках всей интеграции можно выделить несколько
факторов, стимулирующих приток в страны-члены интеграции.
1) Расширение рынка.
Образование ЕАЭС приводит к объединению экономик
стран-участниц и, как результат, к расширению рынка. Согласно гравитационной
модели, применимой к потоку ПИИ в случае интеграции, описанной в первой главе,
создание интеграции увеличит приток ПИИ из стран - потенциальных инвесторов.
Особое внимание заслуживают страны Азиатско-Тихоокеанского региона (АТР), так
как внешняя политика ЕАЭС обращена на развитие сотрудничества со странами
данного регион, а также не стоит забывать, что в настоящее время на страны АТР
приходится четверть мировой экономики и огромная доля финансовых ресурсов.
Таким образом, Китай намерен увеличить свои инвестиции в
ЕАЭС. Так, в марте 2015 года была подписана декларация о развитии отношений
между Арменией и КНР. В рамках этой декларации шли переговоры о создании
специальных индустриальных зон для китайских компаний в различных отраслях.
Однако наиболее масштабным считается проект о создании индустриального парка
"Великий камень" в Белоруссии, нацеленного на развитие
высокотехнологичных производств. На территории парка будут функционировать
предприятия по производству фармацевтической продукции, вычислительной техники,
медицинской техники, оптических приборов и аппаратуры, часов. Кроме того, в
данном парке планируется создать благоприятную атмосферу для
научно-исследовательских работ в различных секторах, а также для работы в
области экономики, фармацевтики, химии, машиностроения, биотехники.
Строительство такого китайско-белорусского парка началось в июне 2014 года.
Так, китайские компании ZTE и Huawei уже заинтересовались в проекте. ZTE планирует построить на
территории "Великого камня" завод по производству
телекоммуникационного оборудования и связи. Huawei проявил интерес в
создании центра научно-исследовательских и опытно-конструкторских разработок на
территории парка.
) Перспективы разработки регионального
законодательства и улучшение институциональной среды
В долгосрочной перспективе планируется создание
наднациональных экономических структур ЕАЭС таких как Международный
инвестиционный банк ЕАЭС, международный арбитраж ЕАЭС и другие. Как следствие,
необходимо создание единых документов в различных областях экономики. Более
конкретно, необходимо утверждение согласованной однородной инвестиционной и налоговой
политики всех стран-участниц ЕАЭС.
3) Национальные законодательные перспективы
Помимо развития наднациональных органов и документов, каждая
страна-член ЕАЭС стимулирует повышение инвестиционной привлекательности страны.
В настоящий момент Киргизия проводит политику борьбы с коррупцией и снижением
процентных ставок. В Казахстане инвестиционная политика направлена на
поддержание привлекательного бизнес-климата, основанного на новом благоприятном
инвестиционном законодательстве и стабильности экономики. Более того, в
Казахстане готовят создание первой в СНГ "законной" офшорной зоны для
привлечения, в первую очередь, инвестиций из стран ЕАЭС.
4) Слабая конкуренция
Страны-члены ЕАЭС отличаются наличием отраслей экономики,
которые являются наиболее благоприятными для иностранных инвесторов согласно
обладанию монополистического преимущества. Национальные производители вероятнее
будут стремится сотрудничать с приходящими на их рынок зарубежными
производителями нежели конкурировать с ними. Данный фактор объясняет
целесообразность притока ПИИ согласно теории несовершенной конкуренции.
Например, наиболее привлекательными отраслями для инвестиций
в Белоруссии является транспортно-логистический сектор: производство поездов и
судов, а также привлечении ПИИ компаний, которые специализируются на
международных автоперевозках.
Наиболее популярная отраслью для инвестиций Казахстана
является топливный сектор республики.
5) Развитые факторы производства
Согласно теории жизненного цикла продукта Вернона, ТНК
выгодно совершать ПИИ в зарубежные экономики в случае необходимости снижения
издержек производства. Страны - члены ЕАЭС удовлетворяют этому требованию.
Страны-члены ЕАЭС располагают относительно дешевыми трудовыми ресурсами,
достаточным объемом земельных ресурсов, а также сырьевой базой.
6) Деофшоризация российской экономики.
Как было описано во второй главе, проблема офшоризации
экономики является насущной для РФ в настоящий момент. Результатов
деофшоризационной политики еще нет, но российской законодательство в данной
области регулярно совершенствуется. Российские эксперты утверждают, что к 2018
году политика деофшоризации РФ даст свои плоды, и значительная часть капитала
вернется в страну. Более того, деофшоризация происходит не только изнутри (то
есть изменения в законодательстве России), но и из вне (международная борьба с
офшорами), что повышает эффективность проводимой борьбы с офшорами. Так, 3 мая
2016 года был опубликован доклад Конференции ООН по торговле и развитию, где
подчеркивалась важность создания однородной инвестиционной и налоговой политики
в международном масштабе. Вместе с тем, в докладе также отмечалось, что за
прошедший 2015 год потоки в офшорные юрисдикции уже снизились и составили 221
млрд долларов по сравнению с 233 млрд долларов в 2014 году. Эксперты объясняют
это снижение ужесточением законодательства в области налогового регулирования в
таких "странах-помощников офшоров", как Люксембург и Нидерланды.
По мере возвращения капитала в Россию инвесторы будут искать
новые направления для инвестиций. Велики шансы того, что предпочтение будет
отдано странам-участницам ЕАЭС. Такая тенденция уже существует и подтверждается
в ежегодном докладе "Мониторинг взаимных инвестиций в странах СНГ",
выпущенном по итогам 2015 года. В докладе хоть и отмечается значительное
падение ПИИ в странах СНГ, но подчеркивается тот факт, что потоки ПИИ между
странами - членами нового интеграционного объединения стабильно растут. Стоит
отметить, что для российских инвесторов привлекательной является каждая из
стран объединения, что создает перспективы усиления потоков ПИИ по всей
интеграции. Например, особая инвестиционная привлекательность Армении
объясняется наличием льготных условий торговли страны с ЕС.
3.3 Прогноз
притока ПИИ в ЕАЭС и роль деофшоризации
Для прогноза притока ПИИ в следствии экономической интеграции
стран можно применить гравитационную модель, описанную ранее. Однако ЕАЭС
образовался лишь в 2015 году. И хотя ТС, предшествовавший образованию ЕАЭС, был
образован пятью годами ранее, количества наблюдений для применения модели все
еще недостаточно. В результате, строить гравитационную модель в данном случае
невозможно, так как она не даст устойчивый прогноз. Однако по прошествии 7-10
лет гравитационную модель будет целесообразно использовать для прогнозирования
ПИИ в следующие года.
В случае внутренних инвестиций, на протяжении последних пяти
лет наблюдается положительный тренд. Рисунок 10 демонстрирует рост взаимных
накопленных инвестиций стран-членов ЕАЭС. Темп роста за первый год наблюдения
составил 10%, затем темп роста стал снижаться до 4% в 2014, показав совсем
незначительный рост (0,3 %) за последний год. Рост показателя в условиях
девальвации национальных валют заставляет экспертов говорить о стабильности
евразийской интеграции. В 2016 году ожидается усиление внутренних
инвестиционных потоков между странами-членами, но значительное увеличение темпа
роста маловероятно.
Рисунок 10 "Динамика взаимных ПИИ в странах ЕАЭС"
Вклад во внутренний рост потоков ПИИ в ЕАЭС может оказать деофшоризация
российской экономики. В настоящее время деофшоризационная политика находится на
этапе медленного внедрения, но с каждым годом эффективность мер и степень
наказания за ее несоблюдение будут усиливаться. В результате, меньшее
количество компаний будет прибегать к офшорным юрисдикциям, предпочитая другие
направления для осуществления ПИИ. Описанные ранее факторы привлечения ПИИ в
ЕАЭС создают большие шансы для выбора стран-участниц интеграции как направления
для инвестиций. В результате, деофшоризация российской экономики может привести
к увеличению потока внутренних ПИИ в рамках ЕАЭС. Пока эксперты не берутся
судить, какая часть капитала вернется в РФ из офшорных зон в 2016 году, так как
строить какой-либо прогноз достаточно сложно в ситуации нестабильности мировой
экономики, но в следующем году ожидаются положительные результаты проводимой
политики. Как было упомянуто во 2 главе, уже сейчас многие компании выбирают
альтернативы офшорным юрисдикциям. В целом, рост внутренних потоков ПИИ в ЕАЭС
увеличится примерно на 1% за 2016 год, учитывая стабильный тренд роста
показателя и дополнительный стимулятор притока в виде деофшоризационной
политики РФ.
Для оценки внешнего притока ПИИ в ЕАЭС были оценены подобные
показатели в других мировых интеграционных группировках (НАФТА, ЕС, КАРИКОМ,
МЕРКОСУР, АТЭС, АСЕАН). Средний показатель изменения соотношения ПИИ к ВВП за
первые пять лет существования объединения составил 1% ВВП. По оценкам экспертов
влияние процессов интеграции на приток ПИИ в страны-члены ЕАЭС за первые пять
лет окажется ниже общемирового показателя и составит примерно 0,8% суммарного
ВВП стран - членов ЕАЭС, но во второй и третьей пятилетках достигнет 1% ВВП.
Описанный прогноз представлен на рисунке 11.
Рисунок 11 "Прогнозируемый приток ПИИ в ЕАЭС 2016-2030 (в млн
долларов)
Для того, чтобы построить прогноз притока ПИИ в ЕАЭС необходимо
знать прогноз роста ВВП в странах-членах интеграции. Прогнозируемый средний
рост ВВП по странам-членам интеграции составит 2,242% в ближайшие 25 лет. Стоит
отметить, что прогнозируемые значения для каждой из стран интеграции в
зависимости от прогнозирующей организации значительно варьируются. Например,
Азиатский Банк развития пророчит увеличение ВВП для Белоруссии примерно в 0,995
процентных пункта, в то время как банк HSBС прогнозирует рост этого же показателя в 4,8%. В исследовании
учитывались прогнозы, ограничивающиеся лишь 2030 годом.
Прогноз роста ПИИ в 0,8% ВВП в первую пятилетку объясняется
экспертами в первую очередь дестабилизацией экономической ситуации на Украине
и, как результат, частичную потерю одного из крупнейших инвестиционных
партнеров. Ранее в работе приводились количественные потери инвестиций в данном
направлении, однако эксперты отмечают, что массового выхода инвесторов из
украинского региона еще не случилось. Причина этому не только нежелание ТНК
терять украинский рынок, но и отсутствие возможности выхода. Тем не менее, по
оценкам экспертов, даже при нормализации отношений крупнейшего члена ЕАЭС -
России и Украины интерес инвесторов к украинскому региону будет сложно вернуть,
процесс ухода с рынка продолжится. И хотя сейчас российские инвесторы только
начинают выход с украинского рынка, спад в инвестиционной активности уже
заметен. Рисунок 12 иллюстрирует значительные изменения, произошедшие в ранее
ведущей инвестиционной паре на постсоветском пространстве.
Рисунок 12 Индекс взаимных прямых инвестиций (ИВПИ):
инвестиционная пара Россия-Украина"
В целом, можно сказать, что деофшоризационная политика вероятно
приведет к усилению внутренних поток между странами-членами ЕАЭС. Более того, в
ближайшие 15 лет ожидается усиление внешнего притока ПИИ в страны-члены
интеграции, однако, темп прироста будет несколько ниже, чем в других мировых
интеграционных объединениях. Причиной этому служат внешние политические
факторы, такие как экономический кризис на Украине.
Заключение
В ходе исследования была выявлена и оценена взаимосвязь между
мерами деофшоризации российской экономики и потоком ПИИ в странах-членах ЕАЭС,
а также выполнены установленные задачи. Проделанная работа позволила подтвердить
выдвинутую гипотезу, что меры деофшоризации российской экономики могут привести
к увеличению притока ПИИ в рамках ЕАЭС. Такой вывод позволяют
сделать следующие итоги исследования:
1) Теоретическая база подтверждает тот факт, что
интеграция между странами стимулирует приток ПИИ в страны - члены объединения.
Это объясняется различными теориями привлечения ПИИ, а также исследованиями о
влиянии интеграции на приток ПИИ в экономики ее участников.
2) Сделанный анализ мирового опыта таких интеграционных
группировок, как НАФТА, Европейский Союз и КАРИКОМ, подтверждает увеличение
потоков ПИИ между странами-членами в следствие создания интеграционного
объединения.
) Обзор основных направлений, из которых в Россию
происходит приток капитал показал, что в настоящий момент более половины
российских прямых инвестиций приходит из офшорных юрисдикций. Страной-лидером в
данном списке является Кипр.
) В России уже принят закон, который предусматривает
активную борьбу с офшорными схемами. По оценкам экспертов деофшоризационная
политика РФ проявит свое действие в течение нескольких ближайших лет.
) Уже сейчас некоторые российские компании выводят
свой капитал из офшорных зон, другие - передают информацию о КИК в налоговые
органы РФ в соответствии с законом. Есть также компании, которые не намерены
пока подчиняться деофшоризационной политики, но с каждым годом все меньше и
меньше компаний будут использовать офшорные схемы в своей деятельности.
) За последние 5 лет средний уровень внутреннего
потока ПИИ в странах участницах ЕАЭС рос, хоть и с некоторыми флуктуациями, на
которые влияли различные внешние факторы. Например, дестабилизация экономики на
Украине. Однако в целом, глубина интеграции между Россией, Белоруссией,
Арменией, Казахстаном и Киргизией прямо пропорциональна уровню внутреннего
потока ПИИ в указанных странах.
) Страны - члены ЕАЭС обладают определенными факторами
привлечения ПИИ, которые вероятно заинтересуют российских инвесторов, которые
располагали свой капитал ранее в офшорных зонах. Кроме того, эти факторы также
увеличат интерес инвесторов за пределами группировки. Особенно со стороны АТР.
8) Согласно сделанному прогнозу увеличение внутреннего
потока ПИИ в ЕАЭС в следующем году отчасти объясняется за счет
деофшоризационной политики, проводимой в настоящий момент в РФ.
) По мнению экспертов, внешний поток ПИИ ЕАЭС в 2016
году составит примерно 0,8% суммарного ВВП всех стран-членов объединения.
Примерно такое значение роста сохранится до 2020 года. Следующие две пятилетки
показатель увеличится до 1% ВВП.
Сделанные выводы позволяют предположить, что в ближайшее
время в Россию вернется капитал российских компаний из офшорных юрисдикций. В
поисках новых направлений для ПИИ, российские инвесторы могут выбрать страны -
члены ЕАЭС. Кроме того, исследуемый интеграционные процесс стимулирует также
приток внешних ПИИ в ЕАЭС.
Используемая
литература
1. Бочаров
В.В. Инвестиции: учеб. для вузов. - Издательский дом" Питер", 2009
2. Бекряшев,
Белозеров, Бекряшева, Леонов Теневая экономика и экономическая преступность: Офшорные
территории и экономическая преступность, М.: 2000
. Бутиков
Е.И. Физика для поступающих в вузы. - Рипол Классик, 1982.
. Винокуров
Е.Ю., Цукарев Т.В. ЭКОНОМИКА ЕАЭС: ПОВЕСТКА ДНЯ // Евразийская Экономическая
Интеграция. - 2015. - №.4 (29).
. Гордеев
В. Путин подписал "антиофшорный закон": электронный журнал РБК //
[Электронный ресурс] URL:
#"908241.files/image022.gif">
"Приток ПИИ в Россию по странам: офшорные
страны (2012 год) "
|
Страна
|
Накопленные ПИИ
(млн долларов)
|
Доля от всех
накопленных ПИИ (%)
|
|
Кипр
|
55729,374
|
40,05
|
|
Британские
Виргинские острова
|
8643,075
|
6,21
|
|
Багамы
|
2072,678
|
1,49
|
|
Лихтенштейн
|
1269,645
|
0,91
|
|
Сейшелы
|
514,963
|
0,37
|
|
Белиз
|
0,24
|
|
Каймановые
острова
|
310,670
|
0,22
|
|
Гибралтар
|
299,815
|
0,22
|
|
Гонг
Конг
|
135,665
|
0,10
|
|
Панама
|
132,615
|
0,10
|
|
Сент-Китс
и Невис
|
102,219
|
0,07
|
|
Доминика
|
86,125
|
0,06
|
|
ОАЭ
|
19,731
|
0,01
|
|
Джерси
|
19,494
|
0,01
|
|
Бермудские
острова
|
12,427
|
0,01
|
|
Сент
Винсент и Гренадины
|
9,443
|
0,01
|
|
Остров
Мэн
|
9,174
|
0,01
|
|
Маршалы
острова
|
9,040
|
0,01
|
|
Другие
|
25,4
|
0,02
|
|
Всего
|
69739,37
|
50,12
|
"Приток ПИИ в Россию по странам: неофшорные страны (2012
год) "
|
СтранаНакопленные ПИИ (млн долларов) Доля от
всех накопленных ПИИ (%)
|
|
|
|
Нидерланды
|
23667,703
|
17,01
|
|
Германия
|
11361,152
|
8,16
|
|
Великобритания
|
3566,619
|
2,56
|
|
США
|
3374,963
|
2,43
|
|
Австрия
|
3125,523
|
2,25
|
|
Франция
|
2690,811
|
1,93
|
|
Индия
|
2422,726
|
1,74
|
|
Швейцария
|
2361,799
|
1,70
|
|
Финляндия
|
2287,490
|
1,65
|
|
Южная Корея
|
1596,669
|
1,15
|
|
Испания
|
1407,463
|
1.01
|
|
Китай
|
1388,868
|
1,00
|
|
Япония
|
1135,446
|
0,82
|
|
Швеция
|
1114,461
|
0,80
|
|
Бельгия
|
1053,327
|
0,76
|
|
Люксембург
|
944,903
|
0,68
|
|
Италия
|
785,362
|
0,56
|
|
Дания
|
631,796
|
0,45
|
|
Ирландия
|
622,771
|
0,45
|
|
Вьетнам
|
550,455
|
0,40
|
|
Турция
|
512,090
|
0,37
|
|
Польша
|
445,989
|
0,32
|
|
Канада
|
340,334
|
0,24
|
|
Казахстан
|
276,350
|
0, 20
|
|
Чехия
|
187,125
|
0,13
|
|
Литва
|
130,174
|
0,09
|
|
Норвегия
|
125,155
|
0,09
|
|
Венгрия
|
115,742
|
0,08
|
|
Израиль
|
109,616
|
0,08
|
|
Азербайджан
|
100,161
|
0,07
|
|
Малайзия
|
81,526
|
0,06
|
|
Украина
|
78,158
|
0,06
|
|
Эстония
|
74,878
|
0,05
|
|
Белоруссия
|
73,830
|
0,05
|
|
Словения
|
73,589
|
0,05
|
|
Кувейт
|
73,258
|
0, 05
|
|
Латвия
|
68,435
|
0,05
|
|
Болгария
|
67,337
|
0,05
|
|
Другие
|
386,73
|
0, 19
|
|
Всего
|
69410,78
|
49,88
|