Освоение аллокационной инновации, обеспечивающей увеличение дохода перерабатывающей отрасли

  • Вид работы:
    Дипломная (ВКР)
  • Предмет:
    Менеджмент
  • Язык:
    Русский
    ,
    Формат файла:
    MS Word
    910,16 Кб
  • Опубликовано:
    2016-11-09
Вы можете узнать стоимость помощи в написании студенческой работы.
Помощь в написании работы, которую точно примут!

Освоение аллокационной инновации, обеспечивающей увеличение дохода перерабатывающей отрасли

ВВЕДЕНИЕ

аллокационный инновация модернизация

Переход России от индустриальной государственной экономики в инновационную рыночную изменил цели и принципы организации производства. На смену монопродуктовой экономики, где товары и услуги производились на основе государственных планов по государственным стандартам, пришла полипродуктовая (инновационная) экономика, где товары и услуги производятся по заказам потребителей открытого рынка и оцениваются этим рынком в денежном эквиваленте. В этом случае целью экономической деятельности предприятий стало производство продукции и услуг, имеющих конкурентные преимущества потребительских свойств, оцениваемых рынком. Теперь предприятия производят только ту продукцию и услуги, которые будут проданы. В этой связи основным экономическим показателем предприятия стал не объём производства в натуральных показателях, а объём реализации продукции и услуг в денежном эквиваленте.

Основу современной экономики муниципального образования и страны в целом определяет инженерный бизнес, обеспечивающий непрерывное производство и реализацию продукции, имеющую конкурентные преимущества на внешнем рынке. Инновационная деятельность является важнейшим звеном успешного функционирования инженерного бизнеса. Главными экономическими показателями инновационной деятельности являются увеличение объема реализации продукции и снижение операционных затрат. Так же основным критерием конкурентного статуса предприятий в рыночной экономике является рыночная стоимость активной части основных фондов и бизнеса в целом.

Развитие инженерного бизнеса является основой увеличения муниципального бюджета, т.к. он является налоговой базой муниципалитета, что в конечном результате приведет к улучшению жизни общества. [1, 2]

Актуальность темы исследования выпускной квалификационной работы обуславливается тем, что при изменении рыночной экономики необходимо освоение рыночного уклада в инженерном бизнесе, что приведет к оптимизации операционных затрат.

Вопросы, связанные с проектированием и освоением аллокационных инноваций, рассмотрены в работах таких авторов, как Тебекин А.В., Туккель И.Л., Федорова Т.А., Шичков А.Н., а также в трудах профессорско-преподавательского состава кафедры управления инновациями и организации производства Вологодского государственного университета. Теоретической базой послужили работы зарубежных и отечественных авторов, научная литература, информация глобальной сети Интернет.

В качестве объекта исследования выбрано предприятие, специализирующееся на выпуске молочной продукции ОАО «Тарногский маслозавод».

Предметом исследования является проектирование аллокационных инноваций, обеспечивающих освоение рыночного уклада на предприятии путем создания центров финансовой ответственности.

Целью выпускной квалификационной работы является проектирование аллокационной инновации, обеспечивающей увеличение дохода и повышение конкурентоспособности продукции предприятия.

Для достижения поставленной цели необходимо решить следующие задачи:

–       изучить теоретические аспекты разработки проектов по освоению аллокационных инноваций;

–       провести ситуационный анализ производственно-экономической деятельности ОАО «Тарногский маслозавод»;

–       разработать аллокационную инновацию на ОАО «Тарногский маслозавод».

При написании выпускной квалификационной работы были использованы методы фундаментальных наук (метод анализа, метод исследования причинно-следственных связей), методы формирования и обоснования решений, системный подход, метод операционного цикла.

Информационной базой послужили: годовой отчет экономической деятельности, бухгалтерский баланс и отчет о финансовых результатах ОАО «Тарногский маслозавод» за 2013-2015 гг., публичный доклад о результатах деятельности Главы Тарногского муниципального района за 2015 год, статистические данные Федеральной службы государственной статистики.

Результаты исследования могут быть использованы менеджерами предприятия для обоснования инвестиционных решений при освоении инновационных проектов.

Структура выпускной квалификационной работы состоит из введения, трех глав, заключения, списка использованных источников и 5 приложений.

Введение содержит обоснование актуальности выбранной темы, основание и исходные данные, объект, предмет, цели, задачи, методы и методики исследования.

В первой главе рассматриваются теоретические аспекты разработки проектов по освоению аллокационных инноваций, в том числе сформирован понятийный аппарат работы, изучен метод операционного цикла и критерии оценки, исследованы теоретические аспекты организации управленческого учета на производственном предприятии.

Во второй главе проведен ситуационный анализ производственной деятельности предприятия ОАО «Тарногский маслозавод». Представлена краткая характеристика предприятия, проведен анализ рынка молочной продукции Тарногского района и анализ параметров операционного цикла рассматриваемого предприятия, рассмотрена технология производства продукции. При сравнении ОАО «Тарногский маслозавод» с технологическими аналогами были выбраны параметры и критерии, определявшие направление инновационной деятельности.

В третьей главе разработан проект по освоению аллакационной инновации на ОАО «Тарногский маслозавод», заключающийся в формировании рыночного уклада и оптимизации операционных затрат производственно-технологической системы путем модернизации.

Заключение включает выводы по результатам выполненной работы.

Приложения содержат дополнительные и справочные материалы к работе, в том числе в приложении 1 представлен перевод на английский язык темы выпускной квалификационной работы, содержания и аннотации.

Список литературы включает 19 источников, в том числе монографии, учебные пособия, нормативно-правовая база, научные статьи и ресурсы сети Интернет.

1. ТЕОРЕТИЧЕСКИЕ АСПЕКТЫ РАЗРАБОТКИ ПРОЕКТОВ ПО ОСВОЕНИЮ АЛЛОКАЦИОННЫХ ИННОВАЦИЙ

 

.1 Формирование понятийного аппарата работы


Изменяющиеся условия рыночной среды ставят перед любой организацией требования к совершенствованию инновационной деятельности.

Инновационная деятельность - это непрерывный процесс формирования и поддержания субъектами инфраструктуры региональной инновационной системы конкурентных преимуществ товаров и услуг на внешнем рынке путём институциональных преобразований (аллокационных инноваций), организации производства и менеджмента создания и освоения нематериальных активов, являющихся инструментом капитализации интеллектуальной деятельности инноваторов.

Инновационная деятельность является неотъемлемой частью успешного функционирования не только инженерного бизнеса, но и муниципальной экономики в целом. [3]

Муниципалитет - это часть территории региона, население которой реализует функцию обеспечения жизнедеятельности на основе бюджета органов местного самоуправления, сформированного из их ресурсов.

Муниципальная экономика - комплекс промышленных предприятий и коммерческих организаций, расположенный на территории муниципалитета и являющийся инструментом для формирования муниципального бюджета, необходимого и достаточного для реализации функций самоуправления, обеспечивающий жизнедеятельность населения.

Под концепцией «обеспечения жизнедеятельности населения» понимается непрерывное улучшение совокупности нужд людей на основе освоения всех видов инноваций. В свою очередь, «нужды людей» реализуются при помощи комплекса материальных и нематериальных активов, которым, как правило, является инновационное предприятие. [4]

Под инженерным бизнесом понимается интегрированный комплекс активов, пассивов и операционных процессов, обеспечивающих производство продукции или услуг в производственно-технологических системах предприятия, имеющих конкурентные преимущества на внешнем рынке. В результате операционных процессов в ПТС и реализации продукции (услуг), имеющей конкурентные преимущества, на внешнем рынке получают средства (выручка), необходимые и достаточные для поддержания непрерывного бизнеса и инвестирования в капитализацию акционерного капитала путём освоения продуктовых, технологических и аллокационных инноваций. [5]

Производственно-технологические системы (ПТС) - минимальный комплекс материальных и нематериальных активов, обеспечивающий получение продукции (технологического передела), имеющей рыночную стоимость. Любой технологический передел является простой или комплексной технологической системой. Существуют различные уровни производственно-технологических систем (рисунок 1.1).

Рисунок 1.1 - Графическая интерпретация уровней технологической системы

Любая ПТС со временем может быть подвержена износу. Износ ПТС является экономической категорией и зависит от характера, вида бизнеса и производственной отрасли. Износ определяется по продукции и услугам.

Существует несколько разновидностей износа:

1.       Технологический износ ПТС - определяется процентом (долей) снижения стабильности производственного процесса в части получения заданных потребительских свойств продукции. Компенсируется технологический износ путём ремонта за счёт затрат на производство продукции (услуг). В результате ремонта балансовая стоимость ПТС не изменяется.

Организация ремонтных работ, обеспечивающих управление технологическим износом производственно-технологических систем и технологических машин осуществляется за счёт материальных и прочих операционных затрат, причём, согласно правилам бухгалтерского учёта, запасные части относятся на материальные затраты, а организация ремонтных работ финансируется за счёт прочих затрат. Конструктор обязан при проектировании ремонта соизмерить величину затрат с величиной операционных потерь от технологического износа. Организация ремонтных работ в условиях действующего производства является проблемной инженерной задачей. В каждом конкретном случае необходимо выбрать ту организацию работ, которая экономически наиболее целесообразна. Оценку качества ремонтных работ необходимо соизмерять со сроками межремонтных периодов производственно-технологических систем. Идея организации ремонтных работ может быть признанной нематериальным активом предприятия.

2.       Функциональный износ ПТС - определяется полнотой метрологических, технологических и управляющих функций ПТС в производственном процессе, отвечающих уровню развития науки и техники. Компенсируется функциональный износ путём модернизации ПТС за счёт амортизационного фонда. В результате балансовая стоимость ПТС увеличивается на величину инвестиций.

Согласно правилам бухгалтерского учёта, затраты на реализацию модернизации прибавляются к исходной на начало модернизации балансовой стоимости технологических машин и систем, в результате увеличиваются затраты на величину налога на имущество юридических лиц и амортизационных отчислений. Задача конструктора, проектирующего модернизацию, разработать технические решения, которые, как минимум, скомпенсируют эти затраты за счёт снижения операционных технологических материальных и прочих затрат. Речь идёт о технических решениях, снижающих затраты материалов, инструмента, электроэнергии, смазочно-охлаждающих жидкостей, на ремонт и т.д. Снижать долю оплаты труда в структуре операционных затрат нельзя.

3.       Экономический износ - потеря ПТС экономической целесообразности участия в производственном процессе. Компенсируется экономический износ путём реконструкции ПТС за счёт амортизационного фонда. В результате балансовая стоимость ПТС увеличивается на величину инвестиций.

Нематериальные активы - отчуждаемые результаты интеллектуальной деятельности, имеющие рыночную цену, стоимость и собственника. Согласно 30 Главе НК РФ нематериальные активы не облагаются налогом.

Наличие нематериальных активов в структуре капитала инновационных предприятий, как правило, обеспечивает доступ к льготным кредитам банков, защищает от конкурентов продукцию и технологии на внешнем и внутреннем рынках, позволяет оптимизировать и управлять налогооблагаемой базой налога на прибыль. На основе амортизационных отчислений от нематериальных активов формируется инвестиционный фонд для расширенного воспроизводства технологических систем, увеличивается интеллектуальная составляющая акционерного капитала предприятия. [2]

Под аллокационными инновациями принято понимать перераспределение ресурсов фирмы, реструктуризацию предприятия.

В российской деловой практике под термином «реструктуризация» обычно понимают разделение организации на составные части, деление целостного имущественного комплекса и создание нескольких автономных субъектов хозяйствования. При этом опыт реструктуризации в странах с развитой рыночной экономикой позволяет говорить о более широкой трактовке реструктуризации, как о процессе подготовки и реализации программы комплексных изменений с целью непрерывного повышения конкурентных преимуществ и рыночной стоимости бизнеса. Именно такое понимание реструктуризации и отражает его сущность. [5]

В рассматриваемой работе речь идёт об организации производственного процесса на основе трансферта операционных затрат и потребительских свойств продукции по производственно-технологическим переделам, являющимся зонами финансовой ответственности, т.е. структурными подразделениями, ответственными за достижение того или иного финансового результата.

Инновационный проект представляет собой комплекс технических, продуктовых и институциональных (аллокационных) решений (инновационных ресурсов), обеспечивающих синергетический эффект роста ВРП, налоговой доходности муниципального бюджета, увеличение (сохранение) рабочих мест и стоимости бизнеса на фондовом рынке. [6]

Для оценки операционного процесса ПТС строиться графическая интерпретация структуры операционных затрат, представленная на рисунке 1.2.

Производственно-технологическая система реализует продукцию с годовым объёмом Vsv, руб./год, при операционных затратах на её производство Coc, руб./год. В результате производственной деятельности получена операционная прибыль P, руб./год, равная разности объёма реализованной продукции и операционных затрат. После уплаты налога на прибыль, будет сформирована чистая прибыль P0, руб./год. Чистый доход D0, руб./год равен сумме чистой прибыли P0, руб./год, амортизационных отчислений от нематериальных Cam, руб./год и материальных Cd, руб./год активов.

Согласно 25 Главе НК РФ структура операционных затрат на производство продукции (услуг) в ПТС состоит из 4-х блоков: материальные операционные затраты Cm, руб./год, затраты на оплату труда Cpl, руб./год, амортизационные отчисления от материальных активов Cd, руб./год, прочие затраты Cac, руб./год, включающие амортизационные отчисления от нематериальных активов Cam, руб./год.

Рисунок 1.2 - Графическая интерпретация структуры операционных затрат в ПТС

Структура операционных затрат в производственно-технологических системах определяет совершенство производственного процесса и оценивается по чистому доходу, который получит предприятие в результате производственного цикла.

Каждая производственно-технологическая система имеет свою характерную зависимость удельных затрат W, руб./шт. от объема произведенной продукции G, шт./год, изображаемую в виде параболы (рисунок 1.3).

∆G - это изменение объема производства за определенный период времени, а ∆W - это изменение удельных затрат при различных значениях объема производства.

Точка в значении W0, руб./шт. и G0, шт./год определяет оптимальный объем производства с наименьшими удельными затратами. [7]

Рисунок 1.3 - Зависимость изменения удельных затрат от объема производства продукции

Применение общей системы налогообложения, в соответствии с Налоговым кодексов РФ от 31.07.1998 г. №146-ФЗ обязывает предприятие выплачивать следующие налоги:

1.       Налог на добавленную стоимость. Налоговой базой является стоимость реализуемых товаров, работ и услуг. Общая сумма налога может быть уменьшена на сумму налоговых вычетов, то есть на НДС, предъявляемый поставщиками или заплаченный на таможне при импорте. Ставка НДС составляет 18% (21 глава НК РФ).

2.       Налог на доходы физических лиц. Базой является начисленная заработная плата. Единая ставка налога на доходы физических лиц - 13%.

.        Налог на прибыль. Базой является разница между доходом и расходом. Ставка налога на прибыль - 20% (25 глава НК РФ).

.        Налог на имущество. Объектом налогообложения для организаций является движимое и недвижимое имущество, которое учитывается на балансе как основные средства. При этом движимое имущество облагается налогом, только если оно поставлено на баланс до 1 января 2013 года. Налоговой базой является среднегодовая стоимость имущества, учитываемая по его остаточной стоимости, сформированной в соответствии с установленным порядком ведения бухгалтерского учета, утвержденным в учетной политике организации. Ставка налога на имущество равна 2,2% (30 глава НК РФ). С вводом 30 главы НК РФ (налог на имущество юридических лиц) было введено понятие основных средств, как доли основных фондов, облагаемых налогом на имущество. При этом нематериальные активы амортизируемых основных фондов не вошли в состав основных средств. То есть предприятию была предоставлена возможность увеличивать на фондовом рынке стоимость своего капитала без увеличения налога на имущество.

.        Земельный налог. Базой является кадастровая стоимость земельного участка. Ставка земельного налога составляет 0,5%.

Согласно Налоговому Кодексу Российской Федерации (НК РФ) (в редакции 2016 г.) к муниципальным налогам относятся: земельный налог и налог на имущество физических лиц, а также фиксированные доли других федеральных и региональных налогов. Налоги на доходы физических лиц, на прибыль, на добавленную стоимость оплачивают предприятия в федеральный бюджет и бюджет субъекта Федерации, поэтому органам местного самоуправления необходимо более активно заняться формированием рыночного уклада в экономике муниципального образования, используя землю в качестве основного доходного ресурса. [8]

 


1.2 Метод операционного цикла, критерии оценки


Операционный цикл производственно-технологической системы реализует процесс конвертации производственно-технологических процессов на основе пяти векторов эквивалентов денежных потоков:

1.       , руб./год - объем продаж, включающий налоги во все уровни бюджетов;

2.       , руб./год - прямые технологические затраты, включающие:

–       операционные прямые технологические затраты;

–       оплата труда, включая налоговые платежи.

3.       , руб./год - чистый доход для простого и расширенного воспроизводства бизнеса, включая:

–       капитал для восстановления и корректировки основных фондов, состоящий из амортизации материальных и нематериальных активов;

–       чистая прибыль для поддержки акционерного капитала в форме дивидендов.

4.       , руб./год - стоимость основных средств и нематериальных активов.

5.       , руб./год - производственный капитал, включающий:

–       прямые технологические затраты G0W0, руб./год;

–       сумму стоимости основных средств и нематериальных активов U, руб./год.

Графическая интерпретация операционного цикла производственно-технологической системы представлена на рисунке 1.4.

Графическая интерпретация идеального операционного цикла является прямоугольным треугольником.

Параметрический анализ операционного цикла идеальной производственно-технологической системы позволил сформулировать интегрированный комплекс критериев для инновационных задач инженерного бизнеса.

Рисунок 1.4 - Графическая интерпретация операционного цикла производственно-технологической системы

Интегрированный комплекс критериев имеет вид:

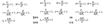
1. ς = Vsv/Q ≤ 1 - критерий конверсии операционного цикла идеальной производственной-технологической системы равен отношению объема реализованной продукции и услуг к стоимости производственного капитала. Критерий конверсии реального операционного цикла составляет менее 45%.

2. λ = Vsv/G0W0 - критерий капитализации операционного цикла равен отношению объема реализованной продукции и услуг к прямым технологическим затратам. Численное значение критерия капитализации реального цикла работы достигает всего 1,5.

. M = D0/U - критерий инвестирования капитала простого и расширенного воспроизводства равен отношению чистого дохода к балансовой стоимости материальных и нематериальных активов. Как правило, нематериальных активов в структуре производственного капитала либо нет или их доля очень мала, поэтому M << 1.

. ρ = Q/G0W0 - критерий ресурсов производственного капитала равен отношению стоимости производственного капитала к прямым технологическим затратам.

5. k0 = G0W0/U - характеристика цикла работы равна отношению прямых технологических затрат к балансовой стоимости материальных и нематериальных активов.

Каждый критерий интегрированного комплекса изменяется, когда осваивается любая инновация.

Существует три типа операционных циклов производственно-технологических систем, представленных на рисунке 1.5.

К операционному циклу типа «a» в основном относятся инновационные машиностроительные, деревообрабатывающие и другие предприятия, имеющие на балансе нематериальные активы.

К типу «b» относятся металлургические предприятия, имеющие стоимость основных фондов больше, чем прямые технологические затраты. Цель инновационной деятельности этих предприятий является формирование векторной структуры типа «а», осуществление деятельности по реализации инновационных проектов и постановке нематериальных активов на балансе предприятия.

Рисунок 1.5 - Графическая интерпретация типов операционных циклов производственно-технологических систем и значения их критериев

К типу «c» относятся предприятия, имеющие стоимость основных фондов меньше, чем прямые технологические затраты. [5]

 

.3 Организация управленческого учета на производственном предприятии


Переход к рыночной инновационной экономике принципиально изменил концепцию управления на предприятиях производственной и непроизводственной сфер деятельности. На данном этапе основной задачей менеджеров является совершенствование производственно-экономической системы путем освоения управленческого учета на основе производственного и бухгалтерского учёта. Для реализации этой задачи необходимо сформировать центры финансовой ответственности (ЦФО), в границах которых менеджер организует производство и управляет инновационными процессами, обеспечивающими заданную структуру и величину операционных затрат.

Производственный учет формируют по технологическим переделам продукции, имеющим рыночную стоимость. Центры финансовой ответственности (ЦФО) являются производственно-технологическими системами (ПТС). Рост степеней свободы, предоставляемых ЦФО, происходит по мере развития рыночного уклада.

На каждом этапе производится продукция, имеющая рыночную стоимость, реализация которой позволяет сформировать инвестиционный фонд для осуществления деятельности последующего передела. Согласно затратному подходу стоимость ПТС предприятия рaвна сумме стоимости ПТС составляющих переделов. Затраты на производство продукции равны затратам по переделам. Характеристика бизнеса технологической системы предприятия равна характеристике производственно-технологических систем его переделов. На рисунке 1.6 изображена графическая интерпретация трансферта цен и затрат по технологическим переделам.

Рисунок 1.6 - Графическая интерпретация трансферта цен и затрат по технологическим переделам

Первый передел (центр финансовой ответственности), на основе метрологического обеспечения операционных ресурсов производственного процесса, формирует операционные затраты Coc1 и чистую прибыль P01 , чистый доход D01 и цену первого передела V1, согласованную с последующим переделом.

Далее каждый центр финансовой ответственности, на основе метрологического обеспечения своих производственных параметров, формирует цену последующих переделов. В результате трансферта цены по переделам будет сформирована сумма, равная исходной цене заказа. [2]

Владея информацией управленческого учета, руководители высшего уровня отслеживают производственно-экономические процессы в режиме реального времени, оперативно адаптируют их и контролируют результаты работ и своевременно принимают решения, направленные на устранение недостатков.

Фрактальный подход к управлению инновационным развитием предприятия на основе экономики и менеджмента базовых производственно-технологических систем открывает возможность проектирования инновационных программ, направленных на управление структурой операционных затрат на производство продукции. В результате формирования нематериальных активов, производственный менеджмент увеличивает доход каждой базовой производственно-технологической системы и на этой основе - доход всего предприятия, стоимость имущественного комплекса и бизнеса в целом на фондовом рынке. [9]

Рыночный уклад на производстве представлен при помощи метода операционного цикла в виде трансферта потребительских свойств и операционных затрат по технологическим переделам на рисунке 1.7.

В управленческом учёте снижение материальных затрат реализует принцип увеличения оплаты труда в структуре затрат. На этой основе реализуется принцип мотивации увеличения производительности труда, роста рабочих мест, получения конкурентных преимуществ предприятия на рынке труда, роста стоимости нематериальных активов в структуре капитала, увеличения доходов физических и юридических лиц, увеличения налоговых доходов муниципальных образований на землю и т.д.

В основе организации производственного учёта с трансфертом операционных затрат и потребительских свойств продукции и услуг по производственно-технологическим переделам лежит принцип того, что работая на цели «фирмы», каждый работник понимает, что он работает на бизнес-группу и на себя.

Рисунок 1.7 - Графическая интерпретация операционного цикла предприятия с трансфертом потребительских свойств и операционных затрат по технологическим переделам

В основе рыночного уклада лежит организация управленческого учета, контроллинга и трансфертных цен. [5]

Управленческий учёт (контроллинг) это система накопления, систематизации и анализа управляющей информации, предназначенной для отражения индивидуальных характеристик бизнеса юридического лица в режиме реального времени. [10]

Контроллинг является концепцией менеджмента, направленной на создание, развитие и поддержание конкурентных преимуществ предприятия путём интеграции и координирования всех функций и объектов менеджмента и контроля в реальном времени. Он является инструментом системы менеджмента, выстроенного на основе практических инноваций современного менеджмента, обеспечивая контроль и управление на основе стоимости бизнеса. [11]

Система контроллинга позволяет:

–       быстро адаптироваться к изменяющимся внешним и внутренним условиям функционирования предприятия, повысить степень соответствия стратегии предприятия факторам внешней среды;

–       координировать и интегрировать все функции управления бизнес-процессом предприятия, обеспечивающие устойчивое развитие и поддержание конкурентных преимуществ товаров и услуг на внешнем рынке;

–       управлять процессом достижения поставленных целей путем перевода стратегии в систему четких задач и показателей, измеряющих степень достижения поставленных стратегических целей;

–       «отслеживать» движение предприятия к намеченной цели и принимать эффективные управленческие решения в опережающем временном интервале. [12]

Трансфертное ценообразование - реализация товаров или услуг взаимозависимыми лицами по внутрифирменным, отличным от рыночных, ценам. В результате трансферта цены по переделам будет сформирована сумма, равная исходной цене заказа.

Рыночный уклад и инфраструктура организации производственного процесса по переделам позволит сбалансировать такие параметры, как использование производственных площадей, технологических машин, затрат на ремонт и инвестиций на модернизацию и реконструкцию. [13]

2. СИТУАЦИОННЫЙ АНАЛИЗ ПРОИЗВОДСТВЕННО-ЭКОНОМИЧЕСКОЙ ДЕЯТЕЛЬНОСТИ ОАО «ТАРНОГСКИЙ МАСЛОЗАВОД»

 

.1 Краткая характеристика предприятия


мая 1935 года на основании приказа треста Севмаслопрома № 207 от 16.05.1935 г. в районе создан Тарногский раймаслопром. Он объединял 7 маслозаводов района (Шевденицкий, Верховский, Верхнеспасский, Илезский, Маркушевский, Ромашевский, Раменский) и 10 сливочных отделений. В 1976 году Шевденицкий маслозавод переименован в Тарногский.

В 1982 году на предприятии Тарногского маслозавода, одной из первых в области была установлена поточная линия по производству масла методом преобразования высоко жирных сливок на пластинчатом маслообразователе, создана лаборатория химического анализа, микробиологическая лаборатория, отдельное приемное отделение.

С 1996 года - полное фирменное наименование предприятия: Открытое акционерное общество «Тарногский маслозавод» (сокращенно ОАО «Тарногский маслозавод»). Место нахождения общества: Вологодская область, Тарногский район, с. Тарногский Городок. Общество расположено в 2-х километрах от районного центра, в 360 километрах от областного центра, от железнодорожной станции Костылево 90 километров. Территория предприятия составляет 2,5 га.

В соответствии с действующим законодательством общество осуществляет природоохранные и военно-мобилизационные мероприятия, решает вопросы, связанные с гражданской обороной и противопожарной безопасностью, обеспечивает соблюдение правил техники безопасности и санитарных норм. [14]

Среднесписочная численность работников на ОАО «Тарногский маслозавод» в 2015 году - 85 человек.

Уставной капитал общества составляет 1171 тыс. руб. и состоит из 4390 штук обыкновенных акций и 1463 штук привилегированных. Номинальная стоимость одной обыкновенной акции 200 руб. На 2015 год количество акционеров составило 22, из них 8 - юридические лица (Сельскохозяйственные производственные кооперативы), которые владеют 34% акций, 14 - физические являющиеся держателями 66% акций.

В соответствии с уставом предприятие осуществляет следующие основные виды деятельности:

–       закупка молока и производство молочной продукции,

–       реализация молочной продукции,

–       торгово-закупочная деятельность.

Основные виды выпускаемой продукции:

-напиток кисломолочный Ацидофильный с массовой долей жира 3,0%;

биопродукт кисломолочный «Бифилайф» фруктово-ягодный с массовой долей жира 2,5%;

кефир «Умница» обогащенный йодказеином с массовой долей жира 2,5%;

масло сливочное Крестьянское;

молоко питьевое пастеризованное с массовой долей жира 2,5%;

молоко питьевое пастеризованное с массовой долей жира 3,2%;

ряженка с массовой долей жира 2,7%;

сливки питьевые пастеризованные с массовой долей жира 20%;

сливки питьевые пастеризованные с массовой долей жира 22%;

сметана с массовой долей жира 20%;

напиток кисломолочный йогуртовый с сахаром «Снежок Тарногский» с массовой долей жира 2,5%;

творог обезжиренный с массовой долей жира не более 1,8%;

молоко питьевое топлёное с массовой долей жира 2,7%. [14]

Организационная структура ОАО «Тарногский маслозавод», имеющая функциональный вид, представлена на рисунке 2.1. Функциональная структура управления предполагает деление организации на элементы, каждый из которых имеет определенную функцию, задачи. Она характерна для организаций с небольшой номенклатурой, стабильностью внешних условий.

Рисунок 2.1 - Организационная структура ОАО «Тарногский маслозавод»

Разработана графическая интерпретация самоуправляемой экономической системы Тарногского маслозавода (рисунок 2.2), на которой отображаются денежные потоки между ОАО «Тарногский маслозавод» и поставщиками сырья, потребителями продукции, 74% которых располагаются за границами района, инвесторами, а так же федеральным, региональным и муниципальным бюджетом.

Рисунок 2.2 - Экономическая система предприятия (данные приведены на 2015 год)

 

.2 Анализ рынка молочной продукции Тарногского района


В качестве основных факторов, влияющих как на состоянии отрасли в целом, так и на деятельность общества, можно указать следующие:

1.       Ситуация в сельском хозяйстве Тарногского района:

–       развитие сельского хозяйства является одним из основных направлений развития района, поскольку доля населения занятая в данной отрасли составляет 34,6%, организации по производству пищевых продуктов являются основными налогоплательщиками района;

–       осуществляется модернизация и реконструкция производственно-технологических систем, освоение технологических инноваций, направленных на получение продукции с заданными потребительскими свойствам, имеющей конкурентные преимущества на внутреннем и внешнем рынке;

–       низкая доступность сельхозпроизводителей к кредитным ресурсам в связи с отсутствием ликвидной залоговой базы и низкой кредитоспособностью;

–       высокая степень технологического и функционального износа парка сельскохозяйственной техники и оборудования;

–       необходимость подготовки кадров в сельском хозяйстве;

–       неразвитая система организованных закупок сельхозпродукции у населения;

–       низкий уровень развития инфраструктуры сельского хозяйства;

–       рост продуктивности коров сельхозпредприятиях района, что требует увеличения мощностей по переработке сырья.

С 2013 года сельхозтоваропроизводители района являются участниками государственной программы «Развитие агропромышленного комплекса и потребительского рынка Вологодской области на 2013-2020 годы», что обуславливает инвестирование проектов предприятий за счет средств областного и федерального бюджета. [15]

2.       Объемы и качество поступающего сырья на ОАО «Тарногский маслозавод».

За 2015 год Тарногский район занимает 10 место по объему производства молока среди районов области. В этом году закуплено 11136,8 тонн молока, которое было полностью переработано в производственно-технологических системах предприятия.

Поставщиками сырья на ОАО «Тарногский маслозавод» являются предприятия Тарногского района, представленные в таблице 2.1.

Поставляемое сырое коровье молоко по органолептическим, физико-химическим и микробиологическим показателям должно соответствовать требованиям, указанным в таблице 2.1 приложения 2.

Таблица 2.1 - Поставщики сырья (молока) на ОАО «Тарногский маслозавод» за 2015 год

Наименование предприятия

Удаленность от ОАО «Тарногский маслозавод», км

Структура поставляемого сырья, %

СПК «Заборье»

30

22

Наименование предприятия

Удаленность от ОАО «Тарногский маслозавод», км

Структура поставляемого сырья, %

СПК (колхоз) им.Ленина

15

15

СПК «Ромашевский»

22

12

СПК «Лохта»

29

11

ООО «Озерки»

20

10

СПК «Рассветовский»

26

7

Колхоз «Новый»

12

7

СПК (колхоз) «Долговицы»

19

6

СПК «Верхнеспасский»

42

4

СПК «Спасский»

35

3

ООО «Верхнекокшеньга»

33

2

СПК «Грибовский»

40

1


Цены на поставляемое сырье зависят от потребительских свойств. В 2015 году цена за тонну молока высшего сорта составляла 22,55 тыс. руб., первого сорта - 20,5 тыс. руб., второго сорта - 16,4 тыс. руб.

. Конъюнктура рынка молока и молочных продуктов.

Тарногский маслозавод поставляет продукцию в Тарногский, Тотемский, Нюксенский, Великоюстюгский, Вологодский, Череповецкий, Кич-Городецкий, Верховажский, Никольский и другие районы Вологодской области, Плесецкий, Вельский, Устьянский районы, г. Архангельск Архангельской области. В 2015 году большая доля продукции (74%) была реализована за пределами района.

Доля ОАО «Тарногский маслозавод» на рынке молочной продукции района по данным публичный доклада о результатах деятельности Главы Тарногского муниципального района за 2015 год - 93%. [15]

Основными конкурентами являются:

–       ОАО «Тотемский маслозавод»;

–       ОАО «Бабушкинский маслозавод»;

–       ПК «Шекснинский маслозавод»;

–       ПК «Вологодский молочный комбинат»;

–       ООО МЗ «Устюгмолоко»;

–       ЗАО «Вельский Анком».

 

.3 Анализ параметров операционного цикла на ОАО «Тарногский маслозавод»


В 2015 году закуплено молока 11136,8 т. Произведено продукции: масло - 266 т; цельномолочная продукция - 5474,2 т; нежирная продукция - 2672,7 т.

Динамика изменения объема реализованной продукции за 2013-2015 года представлена на рисунке 2.3.

Рисунок 2.3 - Динамика объема произведенной продукции за 2013-2015 гг.

Базой для расчета произведенной продукции в дефлированных ценах является 2012 год. Темп инфляции за 2013 год составил 6,45%, 2014 год - 11,36%, 2015 год - 12,91%, в соответствии с официальными данными Федеральной службы государственной статистки. [16]

При анализе бухгалтерской отчетности за 2015 год, представленной в приложении 3 и 4, наблюдается повышение стоимости основных средств, объема производства и реализации продукции. Рост объема реализации связан с расширением рынков сбыта. Развитие в 2015 году новых каналов реализации привело к увеличению производства масла на 12,2%, цельномолочной продукции на 2,7%.

Изменение в объемах и структуре основных средств связано с покупкой производственных объектов. [17]

Динамика операционных затрат на производство продукции ОАО «Тарногский маслозавод» за период 2014-2015 гг. представлена в таблице 2.2.

Таблица 2.2 - Затраты на производство и реализацию продукции, тыс. руб./год

Элементы затрат

Значения


2014 г.

2015 г.

Материальные затраты

241871

290607

Затраты на оплату труда

21269

30754

Амортизационные отчисления

5561

8109

Прочие затраты

12184

13282


Сравним структуру затрат на производство и реализацию продукции за 2015 год на ОАО «Тарногский маслозавод» со структурой затрат предприятий, производящий молочную продукцию в Российской Федерации, построенной на основе статистических данных Федеральной службы государственной статистики (рисунки 2.4 и 2.5). [16]

Данные свидетельствуют, что наибольший удельный вес в структуре операционных затрат занимают материальные затраты (85% и 78%). Они включают затраты на приобретение основного сырья (молока), вспомогательных материалов (приспособлений, инструментов, инвентаря, приборов, лабораторного оборудования, спецодежды и других средств индивидуальной и коллективной защиты), добавок (сахарного песка, творожной закваски, закваски термофильного стрептококка, яблочного наполнителя, йодказеина), оплата за услуги сторонних организаций (ремонтных работ и т.п.), энергозатрат (электричества, газа, топлива), воды и т.д. [18]

Доля материальных затрат на Тарногском маслозаводе больше на 7%, чем у российских предприятий, занимающихся переработкой молочной продукции, таким образом освоение проектов по сокращению материальных затрат является необходимым условием конкурентоспособности продукции.

Рисунок 2.4 - Структура затрат на производство и реализацию продукции в условиях ОАО «Тарногский маслозавод»

Рисунок 2.5 - Структура затрат на производство и реализацию продукции предприятий, производящий молочную продукцию в РФ, по статистическим данным

Структура материальных затрат на производство и реализацию продукции на Тарногском маслозаводе за 2015 год представлена на рисунке 2.6.

Затраты на оплату труда составили 30754 тыс. руб./год, страховые взносы в Пенсионный фонд РФ, Фонд социального страхования РФ, Федеральный фонд обязательного медицинского страхования, страховые взносы на обязательное социальное страхование от несчастных случаев на производстве составили 163,7 тыс. руб./год.

Рисунок 2.6 - Структура материальных затрат на производство и реализацию продукции в условиях ОАО «Тарногский маслозавод»

Прочие затраты включают налоговые отчисления, затраты на платежи по страхованию имущества, а также жизни и здоровья отдельных категорий работников, оплата работ по сертификации продукции и т.д.

ОАО «Тарногский маслозавод» применяет общую систему налогообложения. За 2015 год налоговые выплаты составили: налог на имущество - 621 тыс. руб. (ставка 2,2%), налог на добавленную стоимость - 31106 тыс. руб. (ставка 18%), налог на прибыль - 2282 тыс. руб. (ставка 20%), земельный налог - 33 тыс. руб. (ставка 0,5% от кадастровой стоимости земли), налог на доходы физических лиц - 3156 тыс. руб. (ставка 13%). Налоговые льготы отсутствуют. [8]

На рисунке 2.7 представлена графическая интерпретация структуры затрат на производство продукции в условиях ОАО «Тарногский маслозавод» за 2015 год.

Удельные затраты в 2015 году составили 31842 руб./т. На рисунке 2.8 изображена графическая зависимость изменения удельных затрат от объема произведенной продукции за три квартала 2015 года.

Вершина параболы определяет оптимальный объем производства с наименьшими удельными затратами. Эта точка расположена в значении 2719 т/кв., что свидетельствует о том, что при данном объеме производства будут обеспечены минимальные удельные затраты 28764 руб./т. В текущий момент времени объемы производства составляют 2689 т/кв., что обосновывает необходимость увеличения объема производства продукции для сокращения удельных затрат.

Рисунок 2.7 - Графическая интерпретация структуры затрат на производство продукции в условиях ОАО «Тарногский маслозавод» за 2015 год

Рисунок 2.8 - Зависимость изменения удельных затрат от объема производства продукции

Проведен параметрический анализ операционного цикла ОАО «Тарногский маслозавод» и двух технологических аналогов, схожих по номенклатуре производимой продукции и объему производства, при помощи интегрированного комплекса критериев. Значения параметров и критерий, представлены в таблице 2.3.

Таблица 2.3 - Значения параметров критериев трех предприятий за 2015 год

Наименования параметров и критериев

Значения параметров и критериев за 2015 год


ОАО «Тарногский маслозавод»

ПК «Шекснинский маслозавод»

ОАО «Шебекинский маслозавод»

Значения по продажам, Vsv, млн. руб./год

351,88

403,88

475,22

Прямые технологические затраты, G0W0, млн. руб./год

334,64

371,09

423,51

Балансовая стоимость, U, млн. руб./год

50,33

87,73

81,56

Чистый доход, D0, млн. руб./год

17,23

32,79

51,71

Производственный капитал, Q = U+G0W0, млн. руб./год

384,97

458,83

505,08

Критерий конверсии, ς = Vsv/Q

0,91

0,88

0,93

Критерий капитализации,  λ = Vsv/G0W0

1,05

1,09

1,12

Критерий инвестирования капитала простого и расширенного воспроизводства, M = D0/U

0,34

0,37

0,63

Критерий ресурсов, ρ=Q/G0W0

1,15

1,24

1,19

Характеристика операционного цикла, k0=G0W0/U

6,6

4,23

5,19


Основным критерием является критерий конверсии, который на ОАО «Тарногский маслозавод» принимает значение 0,91. Его увеличение является одной из целей разработки и освоения инновационного проекта.

Операционные циклы предприятий имеют характерные признаки типа b, представленного на рисунке 1.1, поскольку λ >1, ς <1, M <1, ρ >1.

Графическая интерпретация циклов предприятий Тарногского, Шекскнинского и Шебекинского маслозавода представлена на рисунке 2.9.

Операционный цикл ОАО «Тарногский маслозавод» отличается от аналогов и имеет самые низкие значения анализируемых критериев.

Рисунок 2.9 - Графическая интерпретация операционных циклов предприятий по переработке молочной продукции

 

.4 Технология производства продукции на ОАО «Тарногский маслозавод»


Производство различных видов продукции на Тарногском маслозаводе разделено на 7 производственно-технологических систем, представленных на рисунке 2.10

Для получения конечного продукта любого вида сырье проходит несколько переделов. Технологический процесс производства продукции представлен на рисунке 2.10.

Рисунок 2.10 - Технологическая схема производства продукции на ОАО «Тарногский маслозавод»

В таблице 2.4 представлены функции каждой производственно-технологической системы ОАО «Тарногский маслозавод».

Таблица 2.4 - Функции производственно-технологических систем

Наименование производственно-технологической системы

Функции производственно-технологической системы

ПТС приемки молока

Оценка сырья по потребительским свойствам, подбор сырья для каждого продукта

ПТС пастеризации

Очистка смеси, гомогенизация, пастеризация, охлаждение, нормализация

ПТС цельномолочной продукции

Перемешивание, сквашивание, заквашивание, топление, удаление сыворотки

ПТС по производству масла

Сепарирования, нормализации и преобразования высокожирных сливок

ПТС по производству творога

Сквашивание, разрезание и подогрев сгустка, удаление сыворотки и охлаждение

ПТС по фасовке готовой продукции

Фасовка, упаковка и маркировка готовой продукции

Камера готовой продукции

Доохлаждение, созревание и хранение продукции в холодильной камере


Предметом дальнейшего исследования по проектированию инновационного проекта будет являться ПТС по производству сливочного масла, поэтому подробнее рассмотрим технологию его производства:

1.       На первом этапе в производственно-технологической системе приемки молока происходит оценка и выбор сырья по потребительским свойствам (кислотность не выше 18ºС, плотность не ниже 1028 кг/м3).

2.       Второй этап заключается в выработке сливок, с массовой долей жира 32-37%, путем сепарирования с изначальным подогревом молока до температуры 45±2ºС. Процесс сепарирования выполняется на оборудовании ОПК-5 в ПТС по производству масла.

.        Далее сливки поступают в ПТС пастеризации, где при температуре 85-95ºС происходит их пастеризация на автоматизированной пастеризационно-охладительной установке ЦКРП-ОПЦ 25.

.        На четвертом этапе в ПТС по производству масла протекают следующие операции:

–       сепарирование сливок, получение высокожирных сливок с массовой долей влаги 23,6-24% при температуре от 60 до 95ºС;

–       нормализация высокожирных сливок до массовой доли влаги 24,2%;

–       преобразование высокожирных сливок в масло на маслообразователе Т1-ОМ-2Т.

5.       В ПТС по фасовке готовой продукции происходит фасовка, упаковка и маркировка сливочного масла на автомате М-6 АРМ.

6.       В камере готовой продукции происходит доохлаждение масла до температуры +3±2ºС. [19, 20]

3. РАЗРАБОТКА АЛЛАКАЦИОННОЙ ИННОВАЦИИ НА ОАО «ТАРНОГСКИЙ МАСЛОЗАВОД»

 

.1 Формирование рыночного уклада на ОАО «Тарногский маслозавод»


В качестве аллокационных инноваций предложено формирование рыночного уклада в производственно-технологических системах ОАО «Тарногский маслозавод». На его основе реализуются управленческие процессы в производстве формирования и трансферта требуемых для переработки сырья (молока) параметров. То есть при рыночном укладе трансферт сырья будет сопровождаться трансфертом операционных затрат и потребительских свойств (кислотности, плотности, доли жира, влаги и т.д.) сырья. [1]

–  ПТС по производству творога;

–       ПТС по производству пастеризованного молока;

–       ПТС по производству сливочного масла;

–       ПТС по производству сметаны;

–       ПТС по производству сливок;

–       ПТС по производству кефира.

В составе приведенных ПТС можно выделить 7 зон финансовой ответственности:

–  передел приемки молока;

–       передел пастеризации;

–       передел по изготовлению масла;

–       передел по изготовлению творога;

–       передел цельномолочной продукции;

–       передел фасовки готовой продукции;

–       камера готовой продукции.

 Подробнее для анализа остановимся на двух ПТС: производственно-технологическая система по производству пастеризованного молока и производственно-технологическая система по производству сливочного масла.

Графическая интерпретация операционного цикла трансферта потребительских свойств и операционных затрат по переделам рассматриваемых производственно-технологических систем представлен на рисунке 3.1.

Рисунок 3.1 - Графическая интерпретация трансферта потребительских свойств и операционных затрат по технологическим переделам

Распределение технологических затрат по переделам ПТС по производству пастеризованного молока, представлено в таблице 3.1, ПТС по производству сливочного масла в таблице 3.2.

Таблица 3.1 - Технологические затраты по переделам ПТС по производству пастеризованного молока за 2015 год

Наименование передела

Значения технологических затрат, G0W0, млн. руб./год

Передел приемки молока

91,01

Передел пастеризации

0,77

Передел фасовки готовой продукции

32,03

Камера готовой продукции

0,05

Технологические затраты по всем переделам

123,88

Таблица 3.2 - Технологические затраты по переделам ПТС по производству сливочного масла за 2015 год

Наименование переделаЗначения технологических затрат, G0W0, млн. руб./год


Передел приемки молока

73,25

Передел пастеризации

0,76

Передел по изготовлению масла

10,35

Передел фасовки готовой продукции

0,68

Камера готовой продукции

0,05

Технологические затраты по всем переделам

85,09


Объем производства сливочного масла за 2015 год составил 266 тонн, пастеризованного молока - 4414,2 тонны.

Удельные технологические затраты на производство тонны пастеризованного молока составляют 28,06 тыс. руб./т, сливочного масла - 319,89 тыс. руб./т.

В таблицах 3.3 и 3.4 представлены удельные технологические затраты на тонну производимой продукции для каждого передела ПТС по производству пастеризованного молока и сливочного масла.

Таблица 3.3 - Технологические затраты на тонну производимой продукции для каждого передела ПТС по производству пастеризованного молока

Наименование передела

Доля затрат в общих технологических затратах ПТС, %

Технологические затраты на тонну производимой продукции, G0W0, тыс. руб./т

Передел приемки молока

73,3

20,57

Передел пастеризации

0,6

0,17

Передел фасовки готовой продукции

26

7,30

Камера готовой продукции

0,1

0,28


Таблица 3.4 - Технологические затраты на тонну производимой продукции для каждого передела ПТС по производству сливочного масла

Наименование переделаДоля затрат в общих технологических затратах ПТС, %Технологические затраты на тонну производимой продукции, G0W0, тыс. руб./т



Передел приемки молока

86

275,10

Передел пастеризации

0,9

2,88

Передел по изготовлению масла

12,2

39,03

Передел фасовки готовой продукции

0,8

2,56

Камера готовой продукции

0,1

0,32


В таблицах 3.5 и 3.6 представлены требуемые потребительские свойства к сырью на каждом технологическом переделе.

Таблица 3.5 - Потребительские свойства к сырью на входе переделов ПТС по производству пастеризованного молока за 2015 год

Наименование передела

Потребительские свойства

Передел приемки молока

Однородная жидкость без осадка и хлопьев, температура 4±2ºС, массовая доля белка не менее 2,8%, массовая доля СОМО не менее 8,2%, кислотность не выше 19ºC, плотность не ниже 1027 кг/м3

Передел пастеризации

Массовая доля жира 2,55%, 3,25%, температура 4±2ºС

Передел фасовки готовой продукции

Бактериальная обсемененность не более 5×103 КОЕ/см3, не должно содержать патогенных микроорганизмов, титр кишечной палочки не менее 3 мл, вкус и запах должны быть характерные для молока, без посторонних привкусов и запахов с легким привкусом кипячения

Камера готовой продукции

Герметичность упаковки, температура 4±2ºС


Таблица 3.6 - Потребительские свойства к сырью на входе переделов ПТС по производству сливочного масла за 2015 год

Наименование передела

Потребительские свойства

Передел приемки молока

Однородная жидкость без осадка и хлопьев, температура 4±2ºС, массовая доля белка не менее 2,8%, массовая доля СОМО не менее 8,2%, кислотность не выше 19ºC, плотность не ниже 1027 кг/м3

Передел пастеризации

Массовая доля жира 32-37%, кислотность не выше 19ºC

Передел по изготовлению масла

Бактериальная обсемененность не более 1×103 КОЕ/см3, не должно содержать патогенных микроорганизмов, титр кишечной палочки не менее 3 мл, вкус и запах должны быть характерные для молока

Передел фасовки готовой продукции

Чистый, хорошо выраженный вкус и запах сливок, без посторонних привкусов и запахов, однородная, пластичная и плотная масса, поверхность масла на разрезе блестящая и сухая на вид, желтоваты цвет, массовая доля жира не менее 82,5%, массовая доля влаги 24,4%

Камера готовой продукции

Герметичность упаковки, температура не выше 15ºC


Трансфертные цены являются суммой операционных затрат и чистой прибыли или суммой технологических затрат и чистого дохода на тонну производимой продукции на каждом технологическом переделе, таким образом трансфертная цена равна объему реализации. Данные значения представлены в таблицах 3.7 и 3.8.

Таблица 3.7 - Трансфертные цены за тонну производимой продукции на каждом переделе ПТС по производству пастеризованного молока

Наименование передела

Операционные затраты, Сoc, тыс. руб./т

Чистая прибыль, P0, тыс. руб./т

Изменение объема реализации (трансфертной цены), ∆Vsv, тыс.руб./т

Объем реализации (трансфертная цена), Vsv, тыс. руб./т

Передел приемки молока

21,67

1,87

23,54

23,54

Передел пастеризации

0,32

0,14

0,46

24,00

Передел фасовки готовой продукции

10,18

1,42

11,60

35,60

Камера готовой продукции

0,32

0,08

0,40

36,00


Таблица 3.8 - Трансфертные цены за тонну производимой продукции на каждом переделе ПТС по производству сливочного масла

Наименование переделаОперационные затраты, Сoc, тыс. руб./тЧистая прибыль, P0, тыс. руб./тИзменение объема реализации (трансфертной цены), ∆Vsv, тыс.руб./тОбъем реализации (трансфертная цена), Vsv, тыс. руб./т





Передел приемки молока

279,87

6,36

286,23

286,23

Передел пастеризации

4,19

0,87

5,06

291,29

Передел по изготовлению масла

41,83

3,06

44,89

336,18

Передел фасовки готовой продукции

2,99

0,46

3,45

339,63

Камера готовой продукции

0,27

0,10

0,37

340,00


Рыночная цена тонны пастеризованного молока, произведенного на ОАО «Тарногский маслозавод», составляет - 36 тыс. руб. /т, сливочного масла - 340 тыс. руб./т.

Целью создания рассмотренных производственно-технологических систем является повышение ответственности за потребительские свойства продукции на каждом переделе, снижение технологических затрат и тем самым повышение доли оплаты труда, т.к. каждый центр финансовой ответственности должен обеспечивать и контролировать формирование заданных потребительских свойств и реализовывать производство переделов с указанными технологическими затратами.

В каждой ПТС предложено организовать контроль и управление структурой затрат на производство продукции, что позволит увеличить долю оплаты труда в структуре затрат. Каждый менеджер, ответственный за стабильную работу закрепленного оборудования, должен сам определять необходимость тех или иных затрат в рамках своего центра ответственности, понимая, что данные затраты напрямую связаны с его оплатой труда. Только таким путём возможно повысить эффективность труда и заинтересованность персонала в его результатах. [2, 21]

 

.2 Модернизация технологической системы по изготовлению сливочного масла


Сепаратор «ОПК-3», используемый в технологическом процессе получения сливок, подвержен значительному функциональному износу, увеличивающему время процесса производства сливочного масла, снижению потребительских свойств продукции.

Технические характеристики сепаратора «ОПК-3» представлены в таблице 3.9.

Таблица 3.9 - Технические характеристики сепаратора «ОПК-3»

Параметры

ОПК-3

Производительность, л/ч

3000

Параметры

ОПК-3

Энергозатраты, кВт/ч

17

Расход воды, м3

30

Брак %

5


Также каждые 2 часа необходима ручная мойка оборудования.

Получение брака происходит за счет сбоя температурного режима работы оборудования, что приводит к ухудшению потребительских свойств продукции.

Предложено заменить сепаратор «ОПК-3». Для выбора оборудования проанализировано по технологическим характеристикам несколько аналогов моделей сепараторов молока, представленных в таблице 3.10.

Таблица 3.10 - Технологические характеристики аналогов сепараторов, представленных на рынке

Параметры

ЦКРП-ОПУ-10-МСТ (производитель ООО «ЦКРП - НПО»)

А1-ОКЛ-10 (производитель ООО «АгроПромСервис»)

АСУ-ОПУ-10000 (ООО «Молпромснаб»)

Производительность, л/ч

10000

10000

10000

Энергозатраты, кВт/ч

14

20

15,5

Расход воды, м3

50

40

40

Автоматическая мойка

Присутствует

Присутствует

Присутствует

Брак, %

0,1

Отсутствует

Отсутствует

Цена, тыс. руб.

5000

4800

5000


На оборудовании «АСУ-ОПУ-10000» присутствует функция пастеризации, что приведет к уменьшению переделов и сокращению времени технологического процесса производства сливочного масла, энергозатраты и расход воды являются оптимальными, % брака отсутствует, при покупке данного оборудования осуществляется бесплатная доставка и установка, поэтому выбор сепаратора «АСУ-ОПУ-10000» является наиболее целесообразным. Фотография оборудования представлена на рисунке 5.1 приложения 5.

Изменение технологии производства после модернизации ПТС по производству сливочного масла на оборудование «АСУ-ОПУ-10000» представлено на рисунке 3.2.

Рисунок 3.2 - Изменение технологии производства после модернизации ПТС по производству сливочного масла на оборудование «АСУ-ОПУ-10000»

В таблице 3.11 представлено сравнение параметров производительности и времени работы ПТС до и после модернизации.

Таблица 3.11 - Сравнение параметров производительности и времени работы оборудования до и после модернизации ПТС

Параметры

ОПК-3

АСУ-ОПУ-10000

Объём переработанного молока в день, тонн/день

14

20

Производительность масла в день, тонн/день

0,8

1,06

Количество часов работы в день

6

3

Энергозатраты, млн. руб./год

0,128

0,059

Производительность масла в год, тонн/год

270

380


В результате модернизации ПТС время работы сократится на 3 часа в день, что обеспечит снижение затрат на электроэнергию, объем производства увеличится на 40%.

Изменение параметров операционного цикла после модернизации производственно-технологической системы по производству сливочного масла представлено в таблице 3.12 и на рисунке 3.3.

Таблица 3.12 - Значения параметров ПТС по производству сливочного масла до и после модернизации

Наименование параметров

Значения параметров до модернизации ПТС за 2015 год

Предполагаемые значения параметров после модернизации ПТС

Значения по продажам, Vsv, млн. руб./год

90,44

125,40

Балансовая стоимость, U, млн. руб./год

12,00

14,05

Технологические затраты, G0W0, млн. руб./год

85,09

117,72

Чистый доход, D0, млн. руб./год

3,31

7,68


Рисунок 3.3 - Графическая интерпретация изменения параметров операционного цикла в результате модернизации производственно-технологической системы

Проектируемое значение параметров и критериев по всему предприятию до и после модернизации представлено в таблице 3.13.

Таблица 3.13 - Значения параметров критериев до и после модернизации на ОАО «Тарногский маслозавод»

Наименования параметров и критериев

Значения параметров и критериев


до модернизации

после модернизации

Значения по продажам, Vsv, млн. руб./год

351,88

388,87

Прямые технологические затраты, G0W0 , млн. руб./год

334,64

367,27

Балансовая стоимость, U, млн. руб./год

50,33

52,38

Чистый доход, D0, млн. руб./год

17,23

21,60

Производственный капитал, Q=U+G0W0, млн. руб./год

384,97

419,65

Критерий конверсии, ς =Vsv/Q

0,9

0,9

Критерий капитализации,  λ =Vsv/G0W0

1,05

1,06

Критерий инвестирования капитала простого и расширенного воспроизводства, M=D0/U

0,34

0,41

Критерий ресурсов, ρ=Q/G0W0

1,15

1,14

Характеристика операционного цикла, k0=G0W0/U

6,6

6,6


Результатом модернизации производственно-технологической системы по производству сливочного масла является увеличение параметров и критериев операционного цикла, в частности: увеличение критерия конверсии на 0,02, критерия капитализации на 0,01, критерия инвестирования капитала простого и расширенного воспроизводства на 0,07. Значения по продажам возросли на 37 млн. руб./год, балансовая стоимость основных фондов на 2,05 млн. руб./год.

В качестве источника финансирования используется амортизационный фонд. Период окупаемости инновационного проекта составляет 1 год и 2 месяца, т.к. инвестиционные затраты составляют 5 млн. руб., а увеличение чистой прибыли и амортизационных отчислений составляет 4,37 млн. руб./год.

В данной работе разработаны аллокационные и технологические инновации, направленные на увеличение объёма реализации продукции, снижения операционных затрат и увеличение потребительских свойств, что приводит к повышению конкурентоспособности предприятия в целом.

ЗАКЛЮЧЕНИЕ


На основе поставленных целей в выпускной квалификационной работе рассмотрены теоретические аспекты разработки проектов по освоению аллокационных инноваций, сформулирован понятийный аппарат работы, рассмотрен метод операционного цикла и критерии оценки, исследована организация управленческого учета на производственном предприятии.

В качестве объекта выпускной квалификационной работы было выбрано Открытое акционерное общество «Тарногский маслозавод», специализирующееся на выпуске молочной продукции.

В ходе ситуационного анализа производственно-экономической деятельности ОАО «Тарногский маслозавод», исследования параболической зависимости удельных затрат от объема производства продукции, сравнения предприятия с выбранными технологическими аналогами при помощи интегрированного комплекса критериев и анализа рынка молочной продукции района выявлены направления инновационной деятельности предприятия.

Предложено выделение центров финансовой ответственности на основе производственно-технологических систем предприятия, т.е. формирование рыночного уклада на производстве, что при помощи трансферта потребительских свойств и операционных затрат по технологическим переделам обеспечивает изменение структуры операционных затрат, повышение потребительских свойств продукции и доли оплаты труда. Данные изменения являются результатом того, что каждый центр финансовой ответственности должен обеспечивать и контролировать формирование заданных потребительских свойств и реализовывать производство переделов с указанными технологическими затратами.

Вторым предложением является модернизация производственно-технологической системы по производству сливочного масла, которая подразумевает замену части производственно-технологической системы (сепаратор «ОПК-3»), подвергшейся функциональному износу, увеличивающему время производства и снижающему потребительские свойства продукции. Рассматриваемая технологическая инновация приведет к увеличению параметров и критериев операционного цикла. Наблюдается увеличение критерия конверсии на 0,02, критерия капитализации на 0,01, критерия инвестирования капитала простого и расширенного воспроизводства на 0,07. Значения по продажам возросли на 37 млн. руб./год, балансовая стоимость основных фондов на 2,05 млн. руб./год. Так же результатом освоения данного инновационного проекта является увеличение объема производства и реализации продукции, изменение потребительских свойств и тем самым повышение конкурентоспособности продукции инженерного бизнеса.

Таким образом, инновации являются важнейшим звеном успешного функционирования инженерного бизнеса, которые увеличивают объём реализации продукции, за счёт повышения потребительских свойств. Инженерный бизнес, в свою очередь, является базой муниципального бюджета, таким образом, он имеет непосредственное влияние на уровень жизни общества в целом.

Апробация результатов исследования проводилась на «45-ой Студенческой научно-практической конференции» с докладом на тему выпускной квалификационной работы: «Освоение аллокационной инновации, обеспечивающей увеличение дохода перерабатывающей отрасли».

СПИСОК ИСПОЛЬЗОВАННЫХ ИСТОЧНИКОВ


1.         Шичков, А. Н. Менеджмент инноваций и технологий в производственной среде: учеб. пособие / А. Н. Шичков. - Вологда: ВоГУ, 2014. - 109 с.

2. Шичков, А. Н. Ситуационный анализ рыночного уклада в муниципальном округе (районе): монография / А. Н. Шичков. - Вологда: ВоГТУ, 2013. - 207 с.

3.       Тебекин, А. В. Инновационный менеджмент: учеб. пособие / А. В. Тебекин. - Москва: Юрайт, 2013. - 480 c

4.         Шичков, А. Н. Организация инновационного менеджмента в производственно-технических системах: монография / А. Н. Шичков. - Москва, 2012. - 214 с.

5.       Шичков, А. Н. Теория и практика инженерного бизнеса и менеджмента: учеб. пособие / А. Н. Шичков. - М-во обр. и науки РФ, Вологод. гос. ун-т. - Вологда: ВоГУ, 2016. - 119 с.

6. Маннапов, А. Е. Система управления инновационной деятельностью в организации: учеб. пособие / А. Е. Маннапов. - Москва, 2013. - 104 с.

7.       Шичков, А. Н. Экономика и менеджмент инновационных процессов в регионе: монография / А. Н. Шичков. - Москва: ИД «ФИНАНСЫ и КРЕДИТ», 2008. - 360 с.

.        Налоговый Кодекс Российской Федерации. Часть первая от 31 июля 1998 г. № 146 - ФЗ (с последними изменениями и дополнениями) [Электронный ресурс]: Налоговый кодекс РФ. Последняя действующая редакция с Комментариями. - Режим доступа: http://www.nalkod.ru/

.        Туккель, И. Л. Управление инновационными проектами: учебник / И. Л. Туккель, А. В. Сурина, Н. Б. Культин / Под ред. И. Л. Туккеля. - Санкт-Петербург: БХВ-Петербург, 2011. - 416 с.

10.       Крылов, Э. И. Анализ эффективности инвестиционной и инновационной деятельности предприятия: учеб. пособие / Э. И. Крылов, И. В. Журавкова. - Москва: Финансы и статистика, 2013. - 396 с.

11.       Лаптев, П. В. Моделирование системы контроллинга на промышленном предприятии / П. В. Лаптев // Инженерный вестник Дона. - 2012. - № 2. - 660 с.

12.         Просветов, Г. И. Контроллинг. Задачи и решения: учеб. пособие / Г. И. Просветов. - Москва: Альфа-Пресс, 2013. - 320 c.

13.       Мильнер, Б. З. Организация создания инноваций: горизонтальные связи и управление: монография / Б. З. Мильнер, Т. М. Орлова. - Москва: ИНФРА-М, 2013. - 286 с.

14.         Тарногский маслозавод [Электронный ресурс]: офиц. сайт. - Режим доступа: http://tmz35.ru/.

15.     Администрация Тарногского муниципального района [Электронный ресурс]: офиц. сайт. - Режим доступа: http://tarnoga-region.ru/.

.        Федеральная служба государственной статистики [Электронный ресурс]: офиц. сайт. - Режим доступа: http://www.gks.ru/.

17.         Гиляровская, Л. Т. Экономический анализ: учебник для вузов / Л. Т. Гиляровская. - Москва: ЮНИТИ-Дана, 2014. - 615 с.

18.     Варивода, А. А. Технология хранения и переработки молока и молочных продуктов: учеб. пособие / А. А. Варивода, Г. П. Овчарова. - Краснодар: КубГАУ, 2013. - 270 с.

.        Гаврилова, Н. Б. Технология молока и молочных продуктов: традиции и инновации: учебник / Н. Б. Гаврилова, М. П. Щетинин. - Москав: КолосС, 2012. - 541 с.

.        Погожева, Н. Н. Технология хранения, переработки и стандартизации молочной продукции: учеб. пособие / Н. Н. Погожева, Т. В. Кабанова, О. В. Пиркина. - Санкт-Петербург: ИЦ Интермедия, 2012. - 222 с.

.        Лаптева, П. В. Системный анализ модели контроллинга на промышленном предприятии / П. В. Лаптев, И. И. Потапова. - Астрахань, 2012. - 69 с.

Похожие работы на - Освоение аллокационной инновации, обеспечивающей увеличение дохода перерабатывающей отрасли

 

Не нашли материал для своей работы?
Поможем написать уникальную работу
Без плагиата!
Без нейросетей!