Решение загадки премии по акциям в рамках двух подходов
Оглавление
1. Введение
. Обзор
литературы
. Методология
.1 Постановка
загадки
.2 Подход с
учетом привычки агента
.3 Подход
редких катастроф
. Анализ
данных и результаты исследования
Заключение
Список
литературы
Приложение
1. Введение
Сегодня понятие риска является одним из основополагающих для фондового
рынка. Согласно теории, чем выше риск актива, тем выше его доходность, так как
агенты стремятся компенсировать возможные убытки за счет так называемой премии
за риск.
Условно можно разделить все активы на категории в соответствии с этим
понятием. Традиционно наименее рискованными являются облигации государственного
займа, банковские депозиты и векселя, которые имеют самую низкую доходность.
Более рисковыми являются акции, однако и выплаты по ним соответственно выше.
Наиболее рискованными из всех ценных бумаг являются производные финансовые
инструменты. Эти активы предполагают сделки с базовыми активами. Следовательно,
риск таких ценных бумаг высок. Однако для того чтобы агенты согласились
приобретать подобные активы высокий уровень риска должен компенсироваться за
счет большой доходности.
Тем не менее, агенты могут выбирать в какие активы вкладывать на
основании их собственных предпочтений относительно риска и доходности. На
реальном рынке большинство агентов не склонны к риску. Степень того, насколько
агент не приемлет риск может быть определена с помощью коэффициента
риск-аверсии. Чем больше данный коэффициент, тем менее склонен к риску агент и
тем больше он будет требовать премию за риск.
В данной работе основное внимание уделяется загадке премии по акциям.
Впервые она была упомянута Р. Мера и Э. Прескоттом в 1985 году (Mehra,
Prescott, 1985). Проблема заключалась в том, что при правдоподобных значениях
коэффициента неприятия риска премия по акциям получалась слишком большой и
наоборот, учитывая небольшую дисперсию увеличения потребления на душу
населения. Это означает, что агенты слишком нетерпимы к риску, поэтому требуют
высокую премию за риск. Однако они требуют настолько высокую премию, что таких
не встречается на реальном рынке. Также объяснить причину сильного неприятия
агентами риска с точки зрения модели CAPM с рациональными предпочтениями не представляется возможным.
Проблема создания приемлемой модели для описания фондового рынка была
невероятно важна с начала 20 века. Такие известные ученные как Р. Лукас, В.
Шарп, Р. Шиллер, Р. Коуз, Дж. Кокрейн, Дж. Кэмпбелл, Э. Прескотт и другие
изучали этот сектор экономики, пытаясь создать обоснованную модель, которая бы
описывала рынок лучшим образом. На сегодняшний день существует большое
количество значимых работ по теории ценообразования активов. Так были созданы
портфельная теория Г. Марковица, модели САРМ и С-САРМ (SDF). Однако современные модели не могут хорошо и полно
описать рынок. Следовательно, наше понимание взаимосвязей, действующих в
экономике является либо неточным, либо неверным. Большое количество работ в
последние десятилетия посвящается попыткам создания модели, которая могла бы
приблизить экономическую теорию к реально действующей экономике. Этим
обусловлена актуальность проблемы.
Дальнейшее и более детальное изучение фондового рынка привело к
обнаружению некоторых проблем моделей потребления и несоответствующее теории
поведение активов. Одной из таких проблем стала загадка премии по акциям.
Вообще загадка имеет две постановки. Equity premium puzzle или загадка
премии по акциям, которая заключается в том, что доходность по рисковым активам
слишком сильно превышает доходность по безрисковым, если коэффициент
риск-аверсии находится на приемлемом уровне. К проблеме можно подойти с другой
стороны: не почему доходность по акциям так велика, а почему безрисковая ставка
такая низкая. В этой ситуации загадка называется Risk-free rate puzzle или
загадка безрисковой ставки. Эти две загадки принято обобщенно называть загадкой
премии по акции.
Загадка имеет два широко известных решения: моделирование с учетом
привычки и подход редких катастроф. Данные подходы позволяют увеличить
волатильность стохастического дисконт фактора (SDF), что помогает решить
проблему, так как одной из причин появления аномалии премии по акциям является
низкая историческая волатильность потребления.
Теоретическая база подхода с учетом привычки агента была разработана
такими ученными как Э. Дитон и Дж. Мюльбауэр (Deaton, Muellbauer, 1980), С.
Сандерсон (Sundaresan, 1989), Дж. Константинидис (Constantinides, 1990) и
другими. Основной идеей подхода является то, что будущее потребление агента
зависит от прошлого посредством привычки. Агент стремится не просто сгладить
свое потребление, а потреблять не меньше, чем в прошлые периоды. Зависимость
привычки от потребления может иметь разный вид: линейный (Sundaresan, 1989) и
нелинейный (Constantinides, 1990, Campbell, Cochrane, 1999), разностный
(Sundaresan, 1989) и быть отношением (Abel, 1990).
Подход редких катастроф изучался Т. Ритцом (Rietz, 1988), Р. Барро (Barro, 2005), К. Джулиардом и А. Гош (Julliard, Ghosh,
2008). Его суть заключается в том, что в каждый период времени есть вероятность
того, что может случиться такая катастрофа, как Великая депрессия или Мировая
война. Предполагая эту вероятность, нетерпимые к риску агенты будут требовать
высокую доходность по акциям, чтобы компенсировать потери, которые они могут
понести из-за подобных катастроф. Следует отметить, что Р. Барро пришел к выводу,
что данный подход хорошо объясняет загадку премии по акциям, а К. Джуллиард и
А. Гош - к противоположному.
Тем не менее, существуют ученные, которые полагают, что загадка еще не
решена до конца (Kocherlakota, 1996). Дело в том, что технически вышеописанные
подходы помогают получить приемлемые значения коэффициента неприятия риска и
безрисковой ставки, однако не дают этим значениям экономически логичных и
обоснованных объяснений.
В результате изучения литературы по данной теме был сформулирован исследовательский
вопрос: может ли коэффициент риск-аверсии быть меньше 10 в модели C-CAPM при подходе с учетом привычки агента или подходе
редких катастроф. Также, на основании обзора литературы для постановки загадки
премии по акциям и выявления способов ее решения были выдвинуты следующие
гипотезы:
Гипотеза 1. На исторических данных по фондовому рынку США и России можно
обнаружить загадку премии по акциям;
Гипотеза 2. Загадка премии по акциям может быть решена с помощью подхода,
учитывающего привычку агента методом GMM, или подхода редких катастроф.
Целью данной работы была поставлена попытка решить загадку премии по
акциям в рамках двух вышеуказанных подходов и обосновать полученные результаты
с точки зрения экономики. Для достижения этой цели были поставлены следующие
задачи:
· проанализировать существующие исследования по постановке
загадки премии по акциям и способам ее решения;
· рассчитать коэффициент неприятия риска и сравнить его
значения для США и России;
· определить присутствует ли загадка на американских и
российских данных, где она проявляется сильнее, и от чего это может зависеть;
· построить модель с учетом привычки агента и применить к ней
метод GMM;
· применить подход редких катастроф;
· объяснить результаты с позиции экономической интуиции.
В отличие от предыдущих исследований в данной работе было проведено
сравнение коэффициентов неприятия риска на примере развитой и развивающейся
стран, попытка объяснения различного уровня коэффициента. На основании значений
коэффициента риск-аверсии определялось наличие загадки премии по акциям. В
случае существования проблемы применялся подход с учетом привычки агента и
подход редких катастроф для ее решения. Для практической части исследования
были взяты годовые данные по американскому и российскому фондовым рынкам за
1927-2014 и 1996-2014 гг. соответственно, а также месячные данные по рынку США
за 03.1959-07.2015 гг.
Мы предполагаем, что данная работа представляет большой интерес с точки
зрения применения коэффициента риск-аверсии, подхода с учетом привычки агента и
подхода редких катастроф для интерпретации инвестиционного поведения агентов.
Также большинство современных моделей создаются с учетом "критики"
Лукаса, то есть базируются на поведении агента, микроосновании, а затем
приобретают надстройку в виде макроэкономических взаимосвязей. Мы полагаем, что
будущее экономики лежит именно в этой области, и считаем, что данная работа
может быть полезна при разработке подобных моделей.
Данная работа была организована следующим образом: в текущем разделе
описывается исследуемая проблема, цель и актуальность работы, краткое описание
методологии, выдвигаются гипотезы относительно результатов исследования и
краткое описание результатов. Во второй части приводится анализ литературы по
проблеме и ранее изученным способам ее решения. В третей части обсуждается
постановка загадки, подход с учетом привычки агента и подход редких катастроф.
В четвертой части описываются данные используемые для расчета коэффициента
риск-аверсии, расчеты и полученные результаты, а также подводятся итоги работы.
2. Обзор литературы
Данная часть исследования посвящена изучению литературы по постановке
загадки премии по акциям, а также способам ее решения. Здесь приводится
описание наиболее значимых работ по данной тематике. Все работы были критически
проанализированы на предмет того может ли быть решена загадка. Для ее решения
необходимо чтобы коэффициент неприятия риска был меньше 10 при приросте
потребления, доходностях рискового и безрискового активов, сопоставимых с
историческими данными.
В зависимости от постановки проблемы может быть выявлено две загадки:
загадка премии по акциям и загадка безрисковой ставки процента. Также
существуют связанные с ними загадки, такие как загадка волатильности,
форвардной премии, спрэда по корпоративным облигациям и др.
В своей работе "The Equity Premium: A Puzzle" Мера и Прескотт, изучая данные по американскому
рынку за период с 1889 по 1978 годы, обнаружили, что средняя доходность по
акциям значительно превышала среднюю доходность по краткосрочным безрисковым
обязательствам (Mehra, Prescott, 1985). Так, средняя доходность по
акциям составляла 7%, а средняя доходность безрискового актива - менее 1%. При
допустимом значении коэффициента неприятия риска такая разница является слишком
большой для модели Эрроу-Дебрё, т.е. модели общего равновесия при наличии
конкуренции. Подобная разница в доходностях рискового и безрискового актива не
является правдоподобной с экономической точки зрения, т.к. риски акций не
настолько сильно превышают риски облигаций. По мнению авторов, разница
доходностей для данного вида моделей должна быть не более 0, 4%.
В работе был поставлен вопрос о том, является ли такой большой разрыв
между средними доходностями по акциям и облигациям причиной применения модели
Эрроу-Дебрё, абстрагированной от транзакционных издержек, ограничений
ликвидности и других отклонений от реальной экономики. Однако авторы пришли к
выводу, что велика вероятность того, что равновесная модель, но не Эрроу-Дебрё,
может хорошо объяснить одновременно большую среднюю премию по акциям и
небольшую среднюю доходность по безрисковым активам.
Авторами анализировалась модель, которая основывалась на следующих
предположениях:
. В экономике присутствует одно репрезентативное домохозяйство.
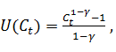
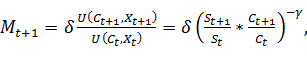
Его потребление задается функцией:
(1)
где:
- потребление на душу населения;
- субъективный дисконтирующий фактор по времени;
- увеличивающаяся вогнутая функция полезности.
Также, для того, чтобы равновесная доходность была стационарной, функция
полезности должна быть постоянна по коэффициенту неприятия риска:
(2)
где:
- параметр, отвечающий за выпуклость функции или коэффициент
риск-аверсии.
. Существует один вид товара недлительного пользования и один вид
акций, которые конкурентно торгуются. Таким образом, доходность по акциям и
рыночная доходность равны.
. Отсутствие транзакционных издержек. А также некоторые
технические предположения модели.
Была поставлена задача определить значения для коэффициентов
так, чтобы средние коэффициенты
риск-аверсии и премии за риск соответствовали фактическим значениям по рынку
США за исследуемый период. Было выявлено, что
не может превышать 10, а
должна находится в промежутке от 0
до 1. Фактически средняя реальная годовая доходность по индексу S&P 500 составляла 7%, средняя доходность по краткосрочному
долгу - менее 1%, прирост годового потребления находился на уровне 1, 8%.
Премия по акции, полученная в модели, составила 0, 35%, средняя премия по
безрисковым активам была менее 4%, что совершенно не соответствует наблюдаемым
значениям. Таким образом, была выявлена загадка премии по акциям.
В модели с постоянным коэффициентом относительной риск-аверсии (CRRA),
которую использовали Мера и Прескотт, получить доходности по акциям и
облигациям, близкие к реальным, можно только при неприемлемо большом
коэффициенте неприятия риска. В предпочтениях агентов с CRRA коэффициент
риск-аверсии является обратной функцией эластичности межвременной нормы
замещения (стохастического дисконт фактора). Тогда большое значение
коэффициента риск-аверсии приводит к завышенным значениям премии по акциям и
безрисковой ставки.
Другая постановка загадки, а именно загадка безрисковой ставки, была
рассмотрена Ф. Вэйлом в работе "The Equity Premium Puzzle And The Risk-free Rate Puzzle" (Weil, 1989). Он проводил исследование, аналогичное Мера и
Прескотту. Целью работы было изучить влияние введения в равновесную модель
ценообразования полезности по Эпштейну-Цину, которая позволяет независимо
оценивать постоянную межвременную эластичность замещения и постоянный
коэффициент риск-аверсии.
Ф. Вэйл использовал следующие предположения в своей модели:
. В экономике существует один скоропортящийся потребительский
товар - фрукты.
. Данный товар производится одинаковыми деревьями, число которых
равно числу человек в модели. Деревья в данной постановке можно сравнить с
акциями.
. Количество фруктов, которое падает с дерева, ассоциируется с
получением дивидендов от владения деревом.
. Население в модели постоянно, и потребители живут бесконечно
долго.
В результате было получено, что при коэффициенте риск-аверсии равном 45,
межвременная эластичность замещения равна 0, 1. Если бы показатели не оценивались
раздельно, то межвременная эластичность замещения получилась бы 1/45=0, 022.
Также, дисконтирующий фактор
составил 0, 95, премия за риск была равна 5, 85%, и
безрисковая ставка составила 0, 85%. Если же в качестве коэффициента неприятия
риска задать приемлемое значение, например, 1, то межвременная эластичность
замещения будет равна 0, 1, премия за риск будет равна 0, 45% (6, 2% -
историческое значение), а безрисковая ставка составит 20-25% (0, 75% -
историческое значение). В связи с этим, автор говорит, что раздельное
оценивание не помогает решить загадку. Следовательно, проблема лежит гораздо
глубже.
Кэмпбелл, Ло и Маккинли исследовали американский рынок по аналогии с
исследованием Мера и Прескотта, но за 1889-1994 гг. (Campbell, et al., 1997).
Кроме того, в отличие от Мера и Прескотта, они использовали наблюдаемые
доходности акций, а не рассчитывали их, исходя из предположения о том, что
дивиденды по акциям равны потреблению. Также данные расчеты были представлены в
лог-линейной форме.
Средний избыток логарифма доходности акций над доходностью облигаций за
этот период составил 4, 2%. Коэффициент неприятия риска оказался равен 19, что
заметно больше 10 - максимально возможного значения в соответствии с расчетами
Мера и Прескотта (6, стр. 155-156). Таким образом, авторы повторив исследование
Мера и Прескотта на обновленных данных с измененной моделью, так же столкнулись
с загадкой премии по акциям.
Примерно в это же время было создано множество работ, в которых совершались
попытки решить загадку премии по акциям. Одним из заметных продвижений в этом
направлении стало введение привычки агента в функцию потребления.
Одной из наиболее ранних работ, в которой был применен данных подход,
была "Habit Formation: A Resolution Of The Equity Premium Puzzle" Дж. Константинидиса (Constantinides, 1990). Целью исследования было
определить как загадка премии по акциям может быть решена в модели с
рациональными ожиданиями. Также применялся подход с учетом привычки агента, где
привычка задавалась как убывающая функция от предыдущих уровней потребления.
Было выдвинуто предположение о том, что в экономике производится только
один товар, который агенты могут потреблять или инвестировать в технологию.
Технология имеет постоянную отдачу от масштаба и доходность за период. Агенты
живут бесконечно. В начальный момент времени агенты имеют капитал, выраженный в
единицах потребляемого товара. Они могут инвестировать часть капитала от 0 до 1
в рисковый актив, а оставшуюся часть - в безрисковый. Также агенты не могут
получать как трудовой, так и нетрудовой доход.
Более того, в модель вводится фирма, которая имеет свободный доступ к
двум производственным технологиям. Она инвестирует часть своего капитала в
рисковую технологию, а оставшуюся часть в безрисковую, сохраняя при этом
пропорцию инвестирования постоянной. Так как фирма имеет постоянную отдачу от
масштаба, то ее стоимость равняется ее капиталу.
После проведения расчетов было получено, что коэффициент неприятия риска
составляет 10, 2, следовательно, присутствует загадка премии по акциям, хотя и
довольно слабая. Далее была применена модель с учетом привычки, где привычка
составляла 80% от предыдущего уровня потребления. Были сгенерированы выборочное
среднее и дисперсия прироста потребления так, что значение коэффициента
риск-аверсии получилось небольшим. В результате значение коэффициента неприятия
риска было равно 2, 81 при доходности безрискового актива 1% и премии за риск
6%, что решило загадку премии по акциям. В модели заключается следующая интуиция:
при снижении потребления относительного предыдущего периода увеличивается
неприятие риска агентом, что, в свою очередь, увеличивает премию за риск,
которую он будет требовать.
Дж. Кэмпбелл и Дж. Кокрейн в своей работе "By Force Of Habit: A Consumption-based Explanation Of Aggregate Stock Market Behavior" показали, что модификация
поведения рационального агента в модели ценообразования активов (CAPM) может помочь понять загадку премии
по акциям (Campbell, Cochrane, 1999). Суть модификации заключается
во введении в функцию полезности медленно изменяющейся внешне заданной привычки
агента. Модель авторов имеет три отличительные черты:
. Уровень привычки агента задается извне и больше зависит от
совокупного уровня потребления в экономике, нежели от индивидуального
потребления самого агента.
. Уровень привычки изменяется медленно по отношению к изменению
потребления.
. Привычка нелинейно адаптируется к историческому потреблению.
Нелинейность сохраняет уровень привычки всегда ниже уровня потребления, а
предельную полезность конечной и положительной величиной.
Авторы представили потребление как независимый и равномерно
распределенный логнормальный процесс и ввели в степенную функцию полезности
привычку агента:
(3)
где:
- уровень привычки агента;
- субъективный дисконтирующий фактор времени агента.
Взаимосвязь между привычкой агента и потреблением может быть описана с
помощью коэффициента излишка потребления
. Если данный коэффициент будет
небольшим, то кривизна функции полезности будет сильной. Также излишек
потребления определяет волатильность стохастического дисконт фактора в модели,
а, следовательно, влияет и на премию за риск. Так как потребление снижается
из-за введения привычки, кривизна функции полезности увеличивается, что
приводит к падению цены рискового актива и увеличению его доходности.
Из модели были сгенерированы данные для 500 000 месяцев, а затем из них рассчитывались
годовые данные для сравнения с историческими. Данные были взяты за период
1889-1992 гг. Была получена доходность (коэффициент Шарпа) на уровне 0, 5.
Однако для этого коэффициент неприятия риска должен быть не менее 41. Тогда при
среднем приросте потребления 1, 89% и таком коэффициенте риск-аверсии β должна быть равна 1, 9 чтобы
получить безрисковую ставку равную 1%. При β<1 безрисковая ставка должна быть
больше 90% в год. Таким образом, авторы исследования также пришли к загадке
премии по акциям.
Однако если задать коэффициент риск-аверсии равным 2, то коэффициент
излишка потребления тоже будет небольшим. Тогда коэффициент измеряющий кривизну
функции будет высоким и составит 35, а дисконтирующий фактор - 0, 89, что
меньше 1. Следовательно, были получены допустимые значения всех показателей и
загадки премии по акциям и безрисковой ставки были решены.
Тем не менее, есть работы, которые ставят под сомнение возможность
решения загадки, т.к. приводимые в литературе объяснения высокой ставки по
рисковым активам не кажутся правдоподобными. Примером такой работы может
служить "The Equity Premium: It's Still А Puzzle"
Н. Кошерлакоты (Kocherlakota, 1996).
В отличие от Р. Мера и Э. Прескотта в постановке загадки вместо
индивидуального прироста потребления берется прирост потребления на душу
населения, агенты максимизируют ожидаемые полезности, присутствуют
транзакционные издержки. Привычка агента была задана в соответствии с идеей
"Catching up with the Joneses" А. Абеля
(Abel, 1990), т.е. полезность агента выводится исходя из потребления на душу
населения (в данном случае).
Было выявлено, что загадка премии по акциям не решается таким образом. К
тому же, она является устойчивым явлением. Автор полагает, что может быть дано
всего два объяснения большой разнице между доходностями рискового и
безрискового активов. Либо стоимость покупки/продажи акций и облигаций сильно
различаются, либо агенты слишком нетерпимы к риску. Тем не менее, оба
объяснения не кажутся правдоподобными.
Другим известным решением загадки является подход редких катастроф. Одним
из первых кто его применил был Т. Ритц в работе "The Equity Risk Premium: A Solution" (Rietz, 1988).
Целью данного исследования было объяснить высокую премию за риск и низкую
доходность безрисковых активов в рамках модели класса Эрроу-Дебрё. Основная
идея работы заключалась во введении кризисного состояния рынка в модель. Автор
полагает, что высокая премия за риск не содержит никакой загадки в экономике,
где нетерпимые к риску агенты требуют высокой премии за риск, т.к. боятся
понести большие убытки в случае обвала рынка. В этом случае премия за риск
выступает в качестве компенсации за возможные потери во время кризиса.
Были смоделированы разные состояния экономики, при которых ВВП сокращался
либо в половину от ожидаемого значения, либо на три четверти, либо его совсем
не было (за исключением чистого роста во время кризиса). В первых двух случаях
для различных уровней вероятности кризиса в экономике величина премии за риск
составляет 5-7%, безрисковая ставка - 0-3%.
Последний случай является беспрецедентным крахом экономики. Для того,
чтобы получить приемлемые значения коэффициента риск-аверсии, дисконтирующего
фактора, безрисковой ставки и премии за риск вероятность такого спада в
экономике должна быть крайне мала (не более 0, 001).
В результате Т. Ритц специфицировал модель Мера и Прескотта, введя в нее
маловероятные катастрофы. После такой модификации ограничения модели стали
менее жесткими, а также были приведены объяснения большой премии за риск и
низкой безрисковой ставке.
Позже, в 2005 году было проведено исследование Р. Барро "Rare events
and the equity premium", основной задачей которого было расширить анализ
Т. Рица и дать правдоподобное объяснение загадке премии по акциям и связанным с
ней загадкам (Barro, 2005). В данной работе в отличие от
предыдущих представлены результаты расчетов не только для рынка США, но также
для других развитых и развивающихся стран.
Изучалась модель ценообразования "фруктового дерева" с
экзогенным стохастическим выпуском продукции (фруктов). Так как экономика
является закрытой в отличие от предыдущего исследования, то вся продукция
полностью потребляется. Также было выдвинуто предположение о том, что все права
собственности полностью защищены.
Использовалась аддитивная по времени функция полезности с неэластичной
полезностью. В функции выпуска были введены два показателя, отвечающие за
различные типы маловероятных катастроф. В первом случае выпуск резко
сокращается, но права собственности сохраняются. Примером такого события может
являться Великая депрессия. Во втором случае во время всеобщего кризиса,
например, ядерной войны, происходит потеря прав собственности, что, по мнению
автора, эквивалентно концу света с точки зрения ценообразования активов.
Вероятности этих событий малы и независимы друг от друга.
Сначала исследовалось влияние изменения вероятности катастроф на
показатели. При увеличении вероятности наступления катастрофы первого типа с 0
до 0, 01 и коэффициенте риск-аверсии 3, доходность безрискового актива упадет с
9, 3% до 2, 6%, а премия за риск станет 3, 4% вместо 3, 9%. Также, на
показатели влияет размер катастрофы. Если выпуск снижается на 60%, то
безрисковая ставка станет -4, 3%, а премия за риск 8, 1%. Если выпуск упадет на
25%, то безрисковая ставка будет равна 8%, а премия за риск всего 0, 5%.
Следовательно, была выявлена сильная обратная взаимосвязь между вероятностью
катастрофы первого типа и доходностью безрискового актива. Однако при
увеличении вероятности катастрофы второго типа доходности рискового и
безрискового активов увеличиваются, причем на одинаковую величину,
следовательно, премия за риск не изменяется.
При одновременном увеличении вероятности катастрофы первого типа с 0, 01
до 0, 015 и второго типа с 0 до 0, 025, доходность по безрисковому активу
упадет с 2, 6% до 1, 8%, а рискового наоборот увеличит с 6% до 6, 8% (премия за
риск увеличится с 3, 4% до 5%).
В модели без учета катастроф для получения премии за риск 7%, коэффициент
риск-аверсии должен быть равен 175, однако при введении в модель редких
катастроф может быть получено значение коэффициента риск-аверсии на уровне 3, с
учетом приемлемых значений остальных показателей. Таким образом, введение
вероятности редких катастроф помогает решить загадку премии по акциям.
Другим известным исследованием, оценивающим возможность подхода редких
катастроф решить загадку премии по акциям, является статья К. Джулиарда и А.
Гош "Can Rare Events Explain the Equity Premium Puzzle?" (Julliard,
Ghosh, 2008). Постановка загадки была такой же как у Р. Меры и Э. Прескотта и
Т. Рица, но с тем отличием что состояние экономики в начальный момент времени с
равной вероятностью могло быть хорошим или кризисным, однако в последующие
периоды вероятность катастроф была низкой.
Сначала с помощью метода GMM
было оценено уравнение Эйлера. Также был использован метод обобщенного
эмпирического правдоподобия (GEL),
т.к. он имеет ряд преимуществ перед стандартным GMM. В отличие от других статей, использовавших подход
редких катастроф, здесь не применялись специальные предположения об их
распределении или калибровки. Вместо этого авторами была использована
методология, с помощью которой определялось ближайшее распределение к истинному
неизвестному распределению данных на основе дивергенции Кульбака-Лейблера в
теории информации.
После этого на основании распределений редких катастроф были
сгенерированы данные, что позволило выявить загадку премии по акциям на
временном ряде той же длинны, что и исторические данные по рынку.
Наконец, авторы пытались с помощью редких катастроф дать объяснение
слабой объясняющей силе модели C-CAPM в ценообразовании кросс-секционной
доходности активов. Однако в работе отмечается, что данный подход ухудшает
объясняющую способность модели, т.к. для решения загадки требуется низкое
значение коэффициента риск-аверсии, а для этого вероятность наступления
катастрофы должна быть высокой. Во время кризисов и спадов в экономике
потребление сокращается, доходность рисковых и безрисковых активов падает,
поэтому модель хуже объясняет премию за риск.
Было обнаружено, что в модели C-CAPM все еще присутствует загадка премии
по акциям, т.к. для получения приемлемых значений прироста потребления,
рисковой и безрисковой ставок требуется слишком высокий коэффициент неприятия
риска. Поэтому авторы полагают, что подход редких катастроф не является
решением загадки.
Кроме того, авторы подчеркивают, что их результат получился
противоположным результату Р. Барро ввиду нескольких причин. Во-первых, Р.
Барро калибровал модель с годовыми данными, используя накопленное за все
предыдущие кризисы многолетнее снижение выпуска. Во-вторых, он предполагал, что
снижение потребления во время кризиса равно снижению ВВП.
Кроме того, интерес могут представлять работы:
· А. Абеля, где впервые была выдвинута идея об экзогенном
задании привычки "Catching up with the Joneses" в рамках подхода с
учетом привычки агента (Abel, 1990). В данной модели привычка агента зависит от
среднего потребления в экономике, а не от его собственного потребления.
· К. Габэкса, в которой автор утверждает, что подход редких
катастроф может решить не только загадку премии по акциям, но и 9 других
загадок, встречающихся в макроэкономике (Gabaix, 2007);
· П. Сэйкконнена и А. Рипатти, которые использовали метод
Монте-Карло чтобы показать влияние редких катастроф с вероятностью, отличающейся
от действительной, на первые выборочные моменты, и, кроме того, выявили, что
при введении в модель редких катастроф, GMM работает из-за "проблемы песо" ("peso
problem") (Saikkonnen and Ripatti, 2000);
· Б. Кхана, в которой изучались данные по 39 развитым и
развивающимся странам, и была произведена попытка выявить детерминанты премии
за риск, чтобы найти решение для загадки премии по акциям (Khan, 2009);
· Г. Жу, использовавшего модель перекрывающихся поколений в
модели C-CAPM, и применившего калибровку к возрасту агентов, в результате чего
были получены допустимые значения показателей (Ju, 2010);
· Б. Ли, в которой была протестирована модель C-CAPM в рамках
подхода с учетом привычки агента для 17 стран и оценена методом GMM. Было выявлено, что в стандартной
модели C-CAPM загадка не решается в отличие от гетерогенной мировой C-CAPM и
мировой избыточной C-CAPM (Li,
2010);
Таким образом, нами были представлены основные работы по теме
исследования, однако на их основе нельзя сделать однозначного вывода о том может
ли быть решена загадка премии по акциям с помощью одного из описанных подходов,
так как они содержат противоречивые выводы. Как у подхода с учетом привычки
агента, так и у подхода редких катастроф есть свои приверженцы и противники. Мы
попытаемся проверить оба подхода в данном исследовании и привести свои суждения
об объясняющей силе подходов.
Таблица 1. Обзор литературы
|
Автор
|
Год
|
Модель
|
Выводы
|
Категория
|
|
Mehra R., Prescott
E.
|
1985
|
1. Модель класса
Эрроу-Дебрё; 2. Аддитивно- сепарабельная функция полезности, в которой
полезность потребления в текущем периоде не зависит от потребления в
предыдущих периодах
|
Была выявлена загадка
премии по акциям
|
Постановка загадки
|
|
Weil P.
|
1989
|
Функция полезности с
постоянной межвременной эластичностью замещения и постоянным коэффициентом
риск-аверсии
|
Была выявлена загадка
безрисковой ставки
|
Постановка загадки
|
|
Abel A. B.
|
1990
|
"Catching
Up With the Joneses"
|
Функцию полезности удобнее
оптимизировать
|
Подход с учетом привычки
|
|
Campbell J. Y.
et al.
|
1997
|
1. Расчет коэффициента
риск-аверсии на основе моментов логарифмов показателей; 2. Степенная функция
полезности в модели C-CAPM, метод GMM
|
1. Была выявлена загадка
премии по акциям; 2. Доходность по акциям значительно превышает доходность по
облигациям, что указывает на слабость C-CAPM
|
Подход с учетом привычки
|
|
Campbell J. Y.,
Cochrane J. H.
|
1999
|
Максимизация степенной
функции полезности с учетом внешне заданной привычки
|
На долгосрочном горизонте
модель хорошо предсказывает избыточную доходность по акциям и облигациям
|
Подход с учетом привычки
|
|
Kocherlakota N. R.
|
1996
|
1. В постановке загадки
вместо индивидуального прироста потребления берется прирост потребления на
душу населения; 2.
"Catching up with the Joneses"
|
Загадка премии по акциям не
может быть решена подходом с учетом привычки
|
Подход с учетом привычки
|
|
Cuthbertson K.,
Nitzsche D.
|
2005
|
Обобщение по C-CAPM,
постановке загадки и подхода с учетом привычки
|
Попытки решить загадку,
используя СДФ модель, имели некоторый успех, но в основном за счет введения
параметров состояния (привычка)
|
Подход с учетом привычки
|
|
Li B.
|
2010
|
1. 4 различных модели C-CAPM
для 17 стран; 2. Метод GMM
|
В стандартной модели C-CAPM
загадка не решается в отличие от гетерогенной мировой C-CAPM и мировой
избыточной C-CAPM
|
Подход с учетом привычки
|
|
Rietz T.A.
|
1988
|
1. Модель класса
Эрроу-Дебрё; 2. В модель введена переменная, отвечающая за катастрофы, и
смоделированы разные состояния экономики
|
Приводятся объяснения
высокой ставке по рисковым активам и низкой по безрисковым
|
Подход редких катастроф
|
|
Barro R.J.
|
2005
|
1. Аддитивная по времени
функция полезности 2. Два типа маловероятных катастроф в модели
|
С помощью подхода редких
катастроф можно решить загадку
|
Подход редких катастроф
|
|
Julliard C., Ghosh
A.
|
2008
|
1. Generalized
Empirical Likelihood; 2. C-CAPM
|
С помощью подхода редких
катастроф нельзя решить загадку
|
Подход редких катастроф
|
|
Saikkonen P.,
Ripatti A.
|
2000
|
1. Метод Монте-Карло; 2.
Метод GMM
|
Метод Монте-Карло показал,
что GMM плохо работает из-за "проблемы песо"
|
Подход редких катастроф
|
|
Gabaix X.
|
2007
|
"linearity-generating" (LG) processes,
который генерирует в закрытом виде решения для цен акций и облигаций
|
Возможность решения 10
загадок макроэкономики
|
Подход редких катастроф
|
|
Khan B.M.
|
2009
|
Модель регрессии средней
премии за риск от экономических и культурных факторов
|
Выявление детерминант
премии за риск для 39 стран
|
-
|
|
Ju G.
|
2010
|
1. Модель перекрывающихся
поколений; 2. C-CAPM
|
Допустимые значения
показателей
|
-
|
3. Методология
В данном разделе описывается постановка загадки премии по акциям, которая
использовалась в данном исследовании, а также более подробно раскрывается суть
подходов с учетом привычки агента и редких катастроф.
3.1 Постановка загадки
загадка премия акция риск
В данной работе изучалась загадка премии по акциям в модели C-CAPM, так как статичные неоклассические модели не могут
учесть поведенческие особенности агента, такие как его отношение к риску в
зависимости от горизонта планирования и уровня неприятия риска. Эти особенности
влияют на величину премии за риск, которую требует агент. Известно, что
инвестор воспринимает снижение котировок вдвое более болезненно, чем их рост на
аналогичную величину (Солодухина, 2010). Следовательно, агент склонен
переоценивать активы, которыми владеет, вследствие чего требует более высокую
премию за риск. Такое объяснение причин появления исследуемой аномалии кажется
авторам наиболее правдоподобным, чем и обусловлен выбор модели.
Вообще Consumption-CAPM (C-CAPM) - это двухпериодная модель со
стохастическим дисконтирующим фактором, где ставка дисконтирования зависит от
прироста потребления. Эта модель основывается на проблеме межвременного выбора
агента и предположении о том, что он максимизирует свою полезность:
(4)
где:
- временной дисконт фактор;
- потребление агента в момент
;
функция полезности задается следующим образом:
- коэффициент риск-аверсии.
Репрезентативный агент максимизирует свою полезность в момент времени t,
которая зависит от его потребления в момент
. Функция полезности постоянна по
коэффициенту риск-аверсии (CRRA). Также, если
в функции полезности стремиться к 1,
то полезность будет равна логарифму потребления.
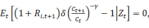
Оптимальное потребление агента можно описать с помощью одного из условий
первого порядка - уравнения Эйлера:
(5)
где:
- предельная полезность потребления на один дополнительный
доллар в момент времени
;
- предельная полезность инвестирования актива i в момент времени
, с учетом его продажи в момент
по цене
.
Данное уравнение позволяет сгладить потребление во времени, покупая
активы в "хорошие" времена, т.е. сберегая, и, продавая их в
"плохие", т.е. потребляя. Так, предельная полезность расходов в
период t равна предельной полезности доходов
в период t+1, что является оптимальным для
агента. Активы, доходность которых негативно связанна с потреблением, дает
"страховку" на трудные времена. Поэтому такие активы будут
привлекательны для людей, даже если их ожидаемая доходность низка. Таким
образом, систематический риск актива определяется ковариацией доходности по
акциям и потреблением, а не доходностью по рынку, как в стандартной модели CAPM
(Cuthberton, Nitzsche, 2005).
Если разделить обе части уравнения (5) на
, то получим уравнение, описывающее
C-CAPM:
(6)
где:
Стохастический дисконт фактор (СДФ) - это ядро логарифмического
ценообразования или предельная норма замещения текущего потребления будущим.
Данная норма зависит от предпочтений агента о распределении потребления во
времени. Из-за того, что агент не располагает достоверной информацией о будущих
ценах и доходностях активов, которые определяются случайным образом, то и его
потребление будет случайной величиной.
Возьмем производную от функции полезности из уравнения (4):
, а затем подставим ее в уравнение
(6), то получим:
(7)
Наилучший способ оценить коэффициент неприятия риска и протестировать
ограничения, которые появляются в модели с введением условия (7), - это
предположить, что доходность по акциям и совокупное потребления имеют
логнормальное распределение и гомоскедастичны.
Следовательно, исходя из первого предположения, уравнение (7) нужно
прологарифмировать, а учитывая второе предположение, логарифм премии за риск
любого актива по реальной безрисковой ставке является константой. Безрисковая
реальная ставка линейна по потреблению. Тогда доходность по какому-либо другому
активу будет также линейна по потреблению. Отсюда имеем:
(8)
где:
- ковариация доходности акций с приростом потребления;
- ковариация премии за риск с приростом потребления.
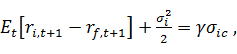
Из уравнения (8) мы находим коэффициент риск-аверсии
.
Таким образом, постановка загадки была подробно представлена на основе
расчетов Кэмпбелла, Ло и Маккинли для наилучшего понимания используемой в
исследовании модели (Campbell, et al., 1997).
3.2 Подход с учетом привычки агента
В данной работе для решения загадки премии по акциям применялся подход с
учетом привычки агента как наиболее популярный метод в научной литературе.
Привычка задавалась как потребление по отношению к предыдущему
"эталонному" уровню потребления. Это предположение является логичным
с той точки зрения, что агенты стремятся сгладить свое потребление. Они боятся,
что может возникнуть ситуация, когда им придется резко сократить потребление по
отношению к какому-то прошлому периоду.
Степенная функция полезности для модели будет выглядеть как уравнение
(3), где
- это уровень внешне заданной
привычки агента. Его предельная полезность может быть выражена как:
(9)
где:
- соотношение излишка потребления.
Тогда межвременная норма предельного замещения будет определена следующим
образом:
(10)
где:
- межвременной дисконтирующий фактор;
- коэффициент риск-аверсии.
Теперь, исходя из уравнения (10) могут быть найдены моменты для
предельной нормы замещения с помощью метода GMM (Campbell, Cochrane, 1999). Суть метода заключается в
том, что для оценки параметров модели вместо математических ожиданий
рассчитываются моменты. Затем минимизируется матрица, в которой используются
полученные моменты. Причина использования метода в данной работе заключается в
том, что он позволяет использовать структурную форму модели. Кроме того, метод
разрешает использовать больше ограничений, чем оцениваемых параметров. Поэтому,
при его использовании важно проводить тест на сверхидентифицированность
(J-тест), т.к. из-за сверхидентифицированности модели могут быть получены
неоднозначные оценки коэффициентов. Если значение Хи-квадрат статистики на
заданном уровне значимости больше полученной J-статистики, то модель
принимается.
Если говорить более подробно, то для применения обобщенного метода
моментов сначала подбираются моментные условия для оценки параметров. Большим
плюсом данного метода является необязательность выполнения предпосылок о
нормальности распределения, гомоскедастичности и отсутствии автокорреляции
остатков, однако должно выполняться условие об одинаковости математических
ожиданий случайных величин. Здесь следует вспомнить, что математическое
ожидание случайной величины называется моментом первого порядка, а ее
выборочным моментом называется выборочное среднее. Так, для функции g(x) момент (теоретический) и выборочный момент будут
соответственно:
(11)
где:
- количество наблюдений;
- случайные величины.
Обычно функция g(x) зависит от параметров
, где k -количество оцениваемых параметров, следовательно, моменты
также будут зависеть от параметров. Следует отметить, что если k меньше количества моментных условий,
то система одновременных уравнений не разрешима, если k больше их, то система называется сверхидентифицированной,
когда количество параметров равно количеству моментных условий, то система
называется идентифицированной.
Далее теоретические моменты приравниваются к выборочным, то есть к
эмпирическим. В общем случае для линейной регрессии вида
или в векторном виде
, где матрица
имеет размерность (n×1), матрица Х - (n×k), а матрица
- (k×1), моментные условия можно записать
как
, где Т - символ транспонирования.
При условии, что матрица
- невырожденная, решением уравнения будет
(Слуцкин, 2007).
Учитывая, что в данной работе использовалась сверхидентифицированная
система, которая обычно не имеет решения, то следующим шагом в качестве оценки
, полученной обобщенным методом
моментов, используется вектор моментных условий, наиболее приближенный к нулю
для минимизации квадратичной формы (Гельман, Шпренгер, 2014). Тогда оценка
будет выглядеть следующим образом:
(12)
где:
- произвольная симметричная положительно определенная
матрица порядка n (матрица весов);
- матрица, зависящая от эндогенных и инструментальных
переменных.
Полученные оценки будут состоятельными, но неэффективными, так как
количество оцениваемых параметров меньше чем количество условий. Для получения
асимптотически эффективных оценок сначала находится гетероскедастичные
автокорреляционные состоятельные (ГАС) оценки с помощью процедур Хансена-Уайта
(Hansen-White estimator), Ньюи-Уэста (Newey-West estimator) или других
(Слуцкин, 2007), а затем подставляется в уравнение (12), которое
переоценивается. Данная процедура продолжается до конвергенции (Гельман,
Шпренгер, 2014).
Для модели C-CAPM оценивается уравнение Эйлера в
качестве условия первого порядка, которое может быть записано как:
(13)
где:
- вектор инструментальных переменных (IV);
Левую часть уравнения (13) можно также назвать случайным членом
, условное среднее которого равно
нулю.
Затем минимизируется квадратичная форма q путем нахождения таких оценок
, которые приближают вектор
выборочных условий ортогональности к нулю:
(14)
где:
- вектор выборочных условий ортогональности;
;
Т - количество периодов времени;
- положительно определенная матрица весов.
От матрицы весов зависит эффективность оценок, поэтому для получения наилучших
результатов необходимо найти оптимальную матрицу. Также оптимальная матрица
весов должна давать наименьшую асимптотическую ковариационную матрицу. Такая
матрица весов равна обратной ковариационной матрице выборочных моментов:
(Verbeek, 2008).
В нашей работе будут рассчитываться одношаговый и итеративный GMM. Оба метода имеют одинаковые
асимптотические свойства, однако считается, что итеративный метод лучше
работает на малых выборках, что важно для нашей работы, т.к. данные по
российскому фондовому рынку доступны только за 18 лет.
3.3 Подход редких катастроф
Другим известным методом решения загадки премии по акциям является подход
редких катастроф. В данной работе этот подход применялся на основе статьи R.
Barro "Rare Events and the Equity Premium".
В статье в отличие от модели, приведенной в постановке загадки,
используется валовый уровень доходности актива, который задается как:
(15)
где:
- выпуск в периоде
;
- цена рискового актива в периоде
.
В модели предполагается, что весь выпуск идет на потребление,
следовательно, если в функции полезности из уравнения (4) С заменить на А и
подставить в уравнение (5), а также доходность заменить на валовую из уравнения
то получим:
(16)
отсюда
(17)
Также в статье было сделано предположение о том, что логарифм выпуска
описывается как случайное блуждание с дрифтом.
(18)
где:
- среднее значение шага (дрифт);
- случайный член с нормальным распределением;
- маловероятная катастрофа первого типа;
- маловероятная катастрофа второго типа.
Предполагается, что катастрофы и случайный член не зависят друг от друга.
Вероятность того, что случится катастрофа типа
равна
. Если такая катастрофа произойдет,
то реальный ВВП на душу населения в экономике снизится на величину b. Вероятность наступления катастрофы
мала, но последствия ее наступления довольно тяжелы. Однако после катастрофы
типа w, вероятность которой
, наступает "конец света",
поэтому после такой катастрофы мир продолжает существовать с вероятностью
. Тогда, при условии, что конец света
не наступит, цена актива, ожидаемая доходность рискового актива и доходность
безрискового будут задаваться следующим образом:
(19)
(20)
(21)
Уравнения (20) и (21) были рассчитаны с учетом предположения о том, что
"конца света" не наступит. Кроме того, данные выражения удобно
представить в виде логарифмов:
(22)
(23)
Если также предположить, что вероятность наступления катастрофы первого
типа очень мала и найти разницу между логарифмами доходностей рискового и
безрискового актива, то получим:
(24)
Следует заметить, что разница логарифмов не зависит от вероятности
катастроф второго типа и возрастает при увеличении вероятности катастроф
первого типа.
Для анализа данного подхода сначала были оценены параметры при условии,
что вероятности наступления обоих типов катастроф равны нулю. Затем было
выдвинуто предположение о том, что наступление катастрофы первого типа
возможно, а вероятность наступления катастрофы второго типа все так же равно
нулю. После этого нами снова были найдены параметры при изменении значения
.
4. Анализ данных и результаты исследования
Для проведения данного исследования были взяты рынки США и России как
примеры развитой и развивающейся стран. Фондовый рынок США является одним из
старейших в мире, по которому доступно большое количество наблюдений. Рынок
России, напротив, является очень молодым и насчитывает порядка 20 лет. Именно
поэтому было интересно провести сравнение двух настолько различающихся рынков и
понять наблюдаются ли на них аналогичные тенденции и присущи ли им одинаковые
проблемы, в частности, загадка премии по акциям.
В работе были изучены годовые данные по потреблению товаров недлительного
пользования и услуг, доходности рынка и безрисковой ставке для США за 1927-2014
гг. (Federal
Reserve bank of St. Louis) и для России за 1996-2014 гг. (Росстат, ММВБ). Также, исходя из того, что обобщенный метод
моментов более эффективен для больших выборок, были собраны месячные данные по
США за 03.1959-07.2015 по десяти портфелям ценных бумаг. Портфели были
отранжированы по размеру так, что первый портфель отражает данные по 10% самым
маленьким компаниям, а десятый портфель - по 10% самым крупным,
зарегистрированным на NYSE.
Для США в качестве безрисковой ставки были взяты доходности по 3-х
месячным T-Bill. Потребление представлено агрегированными индивидуальными
расходами населения на потребление товаров недлительного пользования и услуги.
Следует отметить, что на Росстате в отличие от FRED нет четко выделенной категории потребления товаров
недлительного пользования, поэтому для Росси брался показатель прироста
реального располагаемого дохода на душу населения в течение года. Затем
потребление для России умножалось на отношение товаров недлительного
пользования к располагаемому доходу, который рассчитывался на основе структуры
затрат россиян в соответствующем году. В качестве рыночной доходности был взят
индекс РТС в долларовом выражении с 1995 по 2014 гг., который затем
корректировался на валютный курс.
Однако наиболее сложной задачей был выбор безрисковой ставки для России.
Обычно используют облигации государственного займа, доходность которых
покрывает инфляцию, тем не менее, в России такие облигации впервые появились
только в 2015 году. Поэтому, в данной работе в качестве безрисковой ставки было
взято потребление товаров длительного пользования как наиболее надежный способ
вложения средств при отсутствии действительно безрисковых отечественных активов
и доступа к зарубежным активам (до 1992 года). Ожидаемая доходность товаров
длительного пользования равна нулю, при условии отсутствия затрат на хранение и
выбытие.
Далее все показатели были продефлированы по индексу потребительских цен (CPI Index), т.к. агента интересует реальное потребление и,
следовательно, реальные доходы. Графическое представление данных приводится
ниже:
Рис. 1. Изменение прироста потребления в США за 1927-2014 гг.
Рис. 2. Изменение доходности безрискового актива в США за 1927-2014 гг.
Рис. 3. Изменение доходности рынка США за 1927-2014 гг.
Исходя из выше представленных графиков можно заметить, что показатели
движутся разнонаправлено. Так, во время Великой депрессии изменение потребления
и доходность рынка резко упали и были отрицательными величинами, однако
доходность безрискового актива была положительна. Тем не менее, во время Второй
мировой войны доходность облигаций была отрицательна, прирост потребления
исключительно положительным, а доходность рынка опускалась ниже нуля только в
1940 и 1941 годах. Тем не менее, все показатели были отрицательными во время
кризиса 2008-2009 гг. Поэтому, основываясь на Графиках 1-3 нельзя однозначно
описать тенденции взаимного изменения переменных во времена кризисов.
Рис. 4. Изменение прироста потребления в России за 1990-2014 гг.
Рис. 5. Изменение доходности рынка в России за 1996-2014гг.
Не смотря на то, что данных по российскому рынку гораздо меньше, чем по
рынку США, можно наблюдать наличие некоторых тенденций. Так, во времена
масштабных кризисов, таких как кризис 1998 и 2008 гг., изменение потребления и
доходность рынка сонаправлено движутся вниз.
По российским данным также можно заметить негативную динамику в 2008-2009
годах, однако в США рынок просел на 48, 8%, а в России на 129%. При этом
потребление в США по сравнению с предыдущим годом почти не изменилось в 2008 и
снизилось на 1, 81% в 2009, а в России упало на 4, 85% в 2009 году. Таким
образом, можно сделать вывод о том, что чувствительности российской и
американской экономики к кризисам находятся на сопоставимом уровне, тем не
менее сами кризисы ощущаются в России больнее. Так, при падении рынка в России
в 2, 6 раза большем, чем в США, потребление упало в 2, 7 раза сильнее.
Далее были посчитаны моменты для логарифмов реальных значений
потребления, доходностей рисковых и безрисковых активов.
Таблица 2. Статистические показатели потребления и доходностей активов в
США на годовых данных
|
Показатели
|
Среднее значение
|
Стандартное отклонение
|
Корреляция с потреблением
|
Ковариация с потреблением
|
|
Потребление
|
0, 020215
|
0, 021933
|
1, 000000
|
0, 000476
|
|
Доходность по акциям
|
0, 067335
|
0, 197550
|
0, 604823
|
0, 002619
|
|
Доходность безрискового
актива
|
0, 007106
|
0, 037830
|
-0, 255718
|
-0, 000212
|
|
Рыночная премия
|
0, 060229
|
0, 200685
|
0, 643652
|
0, 002831
|
Из Таблицы 3 видно, что рыночная премия, т.е. то, на сколько доходность по
акциям превышала доходность безрискового актива, составляет 6, 02% при
стандартном отклонении равном 20, 07%. Следует обратить внимание на то, что
ковариация доходности по акциям и рыночной премии с потреблением составляет 0,
25% и 0, 28% соответственно при корреляции с потреблением более 0, 6. Это может
быть объяснено небольшим стандартным отклонением потребления.
При подставлении значений из Таблицы 3 в уравнение (8), получим, что
коэффициент неприятия риска равен 21, 74, что значительно больше максимального
допустимого значения для этого коэффициента - 10 (Mehra, Prescott, 1985).
Аналогично моменты были рассчитаны для российских данных за 1996-2014 гг.
(см. Таблица 4). Также напомним, что для российских данных доходность
безрискового актива была принята равной нулю. Следовательно, премия за риск
равна доходности по акциям.
Таблица 3. Статистические показатели потребления и доходностей активов в
России на годовых данных
|
Показатели
|
Среднее значение
|
Стандартное отклонение
|
Корреляция с потреблением
|
Ковариация с потреблением
|
|
Потребление
|
0, 020823
|
0, 129310
|
1, 000000
|
0, 016024
|
|
Доходность по акциям
|
0, 091045
|
0, 637515
|
0, 021862
|
|
Рыночная премия
|
0, 091045
|
0, 637515
|
0, 514936
|
0, 021862
|
Кроме того, можно заметить, что средние показатели и ковариация с
потреблением по российским данным выше, чем по США, однако и стандартные
отклонения также заметно выше. Вообще стандартное отклонение может быть
ассоциировано с риском и неопределенностью, таким образом, можно сделать вывод
о том, что российские акции примерно в три раза более рискованные, чем
американские, а большая волатильность прироста потребления россиян
свидетельствует о более нестабильной экономической ситуации в России.
После того как данные моментные условия были подставлены в уравнение (8),
было обнаружено, что коэффициент риск-аверсии составляет 4, 66. Таким образом,
можно сделать вывод о том, что на российских данных отсутствует загадка премии
по акциям вопреки предположениям о том, что акции являются слишком рискованным
вложением для россиян. Тем не менее, нельзя исключать возможности неточных
результатов из-за малого количества наблюдений.
Кроме того, коэффициент риск-аверсии был рассчитан с помощью
статистического пакета Getl
(Таблица 4). Это позволит сравнить результаты до и после введения привычки
агента в модель, а также отличие результатов, полученных методом GMM с помощью статистического пакета от
расчетов вручную в программе Excel.
Таблица 4. Расчет коэффициента риск-аверсии обобщенным методом моментов
|
|
Коэффициент риск-аверсии
|
Ст. Ошибка
|
Межвременной дисконт фактор
|
Ст. Ошибка
|
|
США, год.
|
Одношаговый
|
−1, 6768
|
1, 8230
|
0, 8903
|
0, 0420
|
|
Итеративный
|
−1, 1801
|
1, 5683
|
0, 8877
|
0, 0371
|
|
США, мес.
|
Одношаговый
|
76, 8086
|
34, 3348
|
0, 7693
|
0, 1086
|
|
Итеративный
|
105, 0320
|
31, 1077
|
0, 8577
|
0, 0811
|
|
Россия, год
|
Одношаговый
|
−2, 2376
|
1, 3855
|
0, 8015
|
0, 0731
|
|
Итеративный
|
−2, 2690
|
1, 4171
|
0, 8471
|
0, 0720
|
Основываясь на результатах, представленных в Таблице 4, можно сделать
вывод о том, что для всех рынков одношаговый и итерационный ОММ дали примерно
одинаковые приемлемые значения межвременного дисконтирующего фактора на уровне
0, 8. Это означает, что в экономике деньги сегодня стоят дороже, чем завтра,
поэтому агенты предпочитают текущее потребление будущему. Тем не менее,
значения коэффициента риск-аверсии заметно различаются. На годовых данных как
по России, так и по США и одношаговый, и итерационный обобщенный методы
моментов дали отрицательные значения. Данные результаты достаточно необычны,
так как в литературе по данной тематике предполагается, что данный показатель
должен быть больше нуля. Поэтому, данные результаты можно считать ошибочными по
причине слабой объясняющей способности обобщенного метода моментов на малых
выборках - 88 наблюдений для США и 19 для России. Тем не менее, отрицательное
значение коэффициента неприятия риска можно попытаться объяснить как склонность
агентов к риску, эйфорию инвесторов, когда они готовы делать рискованные
вложения. Однако если принять отрицательное значение коэффициента и найти из
уравнения (8) премию за риск, то она получится также отрицательной. Это
означает, что агенты в экономике согласны идти на риск, не получая за это
никакой платы. Такая ситуация может возникнуть при недооценивании риска
инвесторами, что обычно приводит к появлению пузырей на финансовых рынках.
Наиболее показательными являются месячные результаты по США. Коэффициент
риск-аверсии получился положительным и значительно превышающим 10, что
сопоставимо с расчетами вручную, когда данный показатель был равен 36, 66.
Кроме того, данные результаты свидетельствуют о наличии загадки.
Коэффициент неприятия риска показывает какую надбавку сверх доходности
безрискового актива хочет агент, приобретая рисковый актив. Слишком большое
значение коэффициента риск-аверсии на месячных данных по США может быть объяснено
тем, что рисковые активы сильнее коррелируют с потреблением, чем безрисковые.
Однако, как было ранее упомянуто, агенты предпочитают активы, которые имеют
обратную зависимость с потреблением, т.к. они позволяют не снижать потребление
в моменты экономического спада. Следовательно, рисковые активы не выполняют
роли "страховки" в трудные времена, из-за чего агенты хотят получать
по ним большую доходность.
Тем не менее, если предположить, что такое большое значение коэффициента
риск-аверсии приемлемо, то возникает другая проблема - слишком маленькое
значение наблюдаемой безрисковой ставки. При высоком значении коэффициента
неприятия риска безрисковая ставка, получаемая из C-CAPM, гораздо
больше, чем та, что получена по безрисковым активам.
Для проверки данной загадки рассчитаем безрисковую ставку, применяя
следующую формулу:
(25)
где:
- безрисковая ставка в момент времени t;
- межвременной фактор предпочтений;
- коэффициент риск-аверсии;
- средний темп прироста потребления;
- дисперсия прироста потребления.
Также примем
в годовом выражении и
9 - в месячном (9, стр. 331).
В результате безрисковая ставка для США на годовых данных получилась
равной 32, 14%, что гораздо выше наблюдаемой - 0, 71%, на месячных данных по
США 7% и 13, 90% для России, что также заметно больше 0 или даже ставки по
ГКО-ОФЗ, которая составляет примерно 8%. Таким образом, безрисковая ставка для
модели C-CAPM слишком велика по сравнению с историческими данными.
Следовательно, на американских и российских данных можно наблюдать аномалию
безрисковой ставки.
На основании выше представленных расчетов было доказано существование
обеих рассматриваемых в работе загадок на фондовом рынке США на месячных данных
и аномалии безрисковой ставки на российском и американском рынках на годовых
данных. Также можно говорить о том, что обобщенный метод моментов лучше
работает на месячных данных, нежели на годовых, так как коэффициент
риск-аверсии убывает с увеличением шага расчетов. Далее для решения загадок
были применены подходы с учетом привычки агента и редких катастроф.
В рамках первого подхода был применен обобщенный метод моментов. В нашей
ситуации было использовано больше ограничений, чем параметров, следовательно,
модель сверхидентифицирована. Поэтому перед применением метода все ряды данных
были проверены на стационарность с помощью теста Дики-Фуллера. В качестве
нулевой гипотезы в тесте обычно берется предположение о том, что спецификация
модели не верна. Затем значение J-статистики сравнивается с критическим
значением Хи-квадрат распределения. Если J-статистика больше этого значения, то
альтернативная гипотеза отвергается, и модель не адекватна (Cochrane, 2009).
Для этого сначала находились наиболее значимые лаги автокорреляционных
функций, а затем проводился сам тест в 3 вариациях: без константы, с константой
и с константой и трендом. В результате было выявлено, что все ряды стационарны
(см. Приложение 1).
В качестве инструментальных переменных обычно выбираются те, которые
тесно связаны с факторными переменными, но сами не являются эндогенными. В этой
работе в качестве инструментов были выбраны первый и второй лаги потребления и
доходности рынка по аналогии с основополагающими работами по данной теме.
Таблица 5 Расчет коэффициента риск-аверсии обобщенным методом моментов в
модели с учетом привычки агента
|
|
Коэффициент риск-аверсии
|
Ст. Ошибка
|
Межвременной дисконт фактор
|
Ст. Ошибка
|
|
США, год.
|
Одношаговый
|
2, 3744
|
5, 1839
|
0, 8237
|
0, 1280
|
|
Итеративный
|
1, 0304
|
4, 3489
|
0, 8751
|
0, 1164
|
|
США, мес.
|
Одношаговый
|
198, 7150
|
46, 2359
|
0, 5918
|
0, 1995
|
|
Итеративный
|
51, 2100
|
40, 5086
|
0, 9915
|
0, 0819
|
|
Россия, год
|
Одношаговый
|
2, 4602
|
8, 1620
|
0, 1473
|
0, 1495
|
|
Итеративный
|
−5, 8211
|
2, 1874
|
0, 4763
|
0, 1056
|
Таким образом, на основании Таблицы 5 можно сделать вывод о том, что
после введения в модель привычки агента на годовых данных по США и России были
получены адекватные значения коэффициента риск-аверсии (за исключением
отрицательного результата итерационным ОММ для России), показывающие отсутствие
загадки. Тем не менее, на месячных данных по США значения коэффициента все еще
остаются слишком большими. Так, итерационным ОММ коэффициент неприятия риска снизился
со 105, 03 до 51, 21, то есть более чем в 2 раза, однако все еще превышает
допустимое значение примерно в 5 раз. Одношаговый обобщенный метод моментов
вообще дал увеличение коэффициента с 76, 81 до 198, 72, то есть почти в 2, 5
раза. Значения межвременного дисконтирующего фактора для всех выборок находится
на приемлемом уровне.
Кроме того, основываясь на сравнении J-статистики и Хи-квадрат
статистики, на 5% уровне значимости все результаты Таблиц 4 и 5 принимаются.
Тем не менее, это показывает только статистическую удобоваримость моделей, но
не гарантирует, что они имеют какую-либо экономическую ценность.
В результате, после введения в модель привычки агента значения
коэффициент неприятия риска снизились во всех моделях, кроме результатов по
одношаговому GMM для месячных данных по США. Так как коэффициент риск-аверсии
получился меньше 10 в одношаговом методе на годовых данных и по США, и по
России при приемлемом значении межвременных дисконтирующих факторов, то можно
считать, что загадка премии по акциям решена с математической точки зрения.
Однако результаты данного метода неоднозначны.
Далее был применен подход редких катастроф. Сначала рассчитывался базовый
случай, в котором изначально задавались все параметры, а затем оценивались
коэффициент риск-аверсии, межвременной дисконтирующий фактор и безрисковая
ставка. Так в США историческое значение прироста потребления за 1927-2014 гг.
составляет примерно 2% со стандартным отклонением 0, 022. Величина дрифта была
взята равной 0, 025 в соответствии со статьей Р. Барро (9, стр. 15).
Коэффициент риск-аверсии был зафиксирован на уровне 10 в альтернативном
варианте для сравнения результатов.
Для нахождения коэффициента риск-аверсии и межвременного дисконт фактора
подставим описанные выше значения показателей в уравнения (22) и (23) и оценим
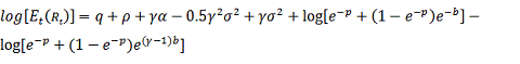
их совместно. Получим коэффициент неприятия риска равный 123, 76 и
дисконтирующий фактор 0, 62 - для США. Если же в систему подставить коэффициент
риск-аверсии равный 10, то безрисковая ставка составит 6, 22% (действительная
ставка составляет 0, 71%), а межвременной дисконт фактор будет равен -0, 16,
что не соответствует ограничениям, налагаемым моделью -
. Следовательно, данные США
подтверждают наличие загадки премии по акциям. Однако на российских данных
коэффициент неприятия риска получился 5, 44 при дисконтирующем факторе 0, 11,
что говорит об отсутствии аномалии.
Таблица 6. Расчет показателей при нулевых вероятностях наступления
катастроф
|
США
|
Россия
|
|
Показатель
|
Базовый случай
|
|
Базовый случай
|
|
|
γ
|
123, 7603
|
10, 0000
|
5, 4432
|
10, 0000
|
|
|
0, 0071
|
0, 0622
|
0, 0000
|
-0, 0762
|
|
ρ
|
0, 6197
|
-0, 1636
|
0, 1116
|
0, 5097
|
|
α
|
0, 0250
|
0, 0250
|
0, 0250
|
0, 0250
|
|
σ
|
0, 0220
|
0, 0220
|
0, 1293
|
0, 1293
|
После этого проводились расчеты с учетом предположения о ненулевой
вероятности наступления катастроф (см. Таблица 7). В качестве базового случая
рассматривалась ситуация, когда в экономике присутствует однопроцентная
вероятность наступления катастрофы первого типа, при которой произойдет
снижение ВВП на 50%.
Далее рассматривались случаи с более высокой и более низкой вероятностью
катастрофы первого типа, случай наличия вероятности обоих типов катастроф и
случаи с более высоким и более низким падением ВВП при катастрофе первого типа.
Таблица 7. Расчет показателей при ненулевых вероятностях наступления
катастроф
|
США
|
|
Показатель
|
Базовый случай
|
Большая р
|
Низкая р
|
Обе катастрофы
|
Большая b
|
Низкая b
|
|
|
p
|
0, 0100
|
0, 0150
|
0, 0050
|
0, 0100
|
0, 0100
|
0, 0100
|
0, 0100
|
|
q
|
0, 0000
|
0, 0000
|
0, 0000
|
0, 0250
|
0, 0000
|
0, 0000
|
0, 0000
|
|
γ
|
2, 8776
|
3, 1349
|
4, 5893
|
3, 6583
|
2, 5943
|
10, 8771
|
3
|
|
|
0, 0670
|
0, 0670
|
0, 0670
|
0, 0670
|
0, 0670
|
0, 0670
|
0, 0612
|
|
|
0, 0071
|
0, 0071
|
0, 0071
|
0, 0071
|
0, 0071
|
0, 0071
|
0, 0248
|
|
ρ
|
0, 0007
|
0, 0479
|
0, 0128
|
0, 0101
|
0, 0416
|
-0, 0177
|
0, 0220
|
|
α
|
0, 0250
|
0, 0250
|
0, 0250
|
0, 0250
|
0, 0250
|
0, 0250
|
0, 0250
|
|
σ
|
0, 0220
|
0, 0220
|
0, 0220
|
0, 0220
|
0, 0220
|
0, 0220
|
0, 0220
|
|
exp^(-b)
|
0, 5000
|
0, 5000
|
0, 5000
|
0, 5000
|
0, 4000
|
0, 7500
|
0, 5000
|
|
Россия
|
|
Показатель
|
Базовый случай
|
Большая р
|
Низкая р
|
Обе катастрофы
|
Большая b
|
Низкая b
|
|
|
p
|
0, 0100
|
0, 0150
|
0, 0050
|
0, 0100
|
0, 0100
|
0, 0100
|
0, 0100
|
|
q
|
0, 0000
|
0, 0000
|
0, 0000
|
0, 0250
|
0, 0000
|
0, 0000
|
0, 0000
|
|
γ
|
3, 1279
|
2, 7897
|
3, 6783
|
3, 1279
|
2, 4413
|
4, 9683
|
3
|
|
|
0, 0910
|
0, 0910
|
0, 0910
|
0, 0910
|
0, 0910
|
0, 0910
|
0, 0949
|
|
|
0, 0000
|
0, 0000
|
0, 0000
|
0, 0000
|
0, 0000
|
0, 0000
|
0, 0791
|
|
ρ
|
0, 0810
|
0, 0840
|
0, 0802
|
0, 0560
|
0, 0724
|
0, 1139
|
0, 08
|
|
α
|
0, 0250
|
0, 0250
|
0, 0250
|
0, 0250
|
0, 0250
|
0, 0250
|
0, 0250
|
|
σ
|
0, 1293
|
0, 1293
|
0, 1293
|
0, 1293
|
0, 1293
|
0, 1293
|
0, 1293
|
|
exp^(-b)
|
0, 5000
|
0, 5000
|
0, 5000
|
0, 5000
|
0, 4000
|
0, 7500
|
0, 5000
|
На основании проведенных расчетов и результатов, представленных в
Таблицах 5 и 6, можно сделать ввод о том, что при увеличении вероятности
катастрофы первого типа с 0, 00 до 0, 01 коэффициент риск-аверсии снижается с
123, 76 до 2, 88 и межвременной дисконтирующий фактор с 0, 62 до 0, 08 в
базовом случае на данных США. На российских данных также наблюдается снижение
этих показателей.
Кроме того, интересно отметить, что при увеличении вероятности катастрофы
первого типа с 1, 00% до 1, 50% агенты в Америке становятся более нетерпимы к
риску, а в России - наоборот. При уменьшении этой вероятности до 0, 50% и в
США, и в России коэффициент риск-аверсии становится больше, чем в базовом
случае.
При увеличении вероятности наступления катастрофы второго типа с 0, 00 до
0, 025 при наличии вероятности первой катастрофы 0, 01 коэффициент неприятия
риска увеличился на американских данных, а межвременной дисконт фактор
снизился. На российских данных наблюдалась противоположная ситуация. Поэтому
нельзя установить однозначного влияния наличия вероятности обеих катастроф на
искомые переменные.
Увеличение масштабов катастрофы первого типа, при которой ВВП страны
снижается не на 50%, а на 60% приводит к снижению коэффициента риск-аверсии в
США и России. Если ВВП во время катастрофы упадет только на 25%, то коэффициент
неприятия риска возрастет. Особенно ярко данный эффект проявился на данных США.
Коэффициент риск-аверсии превысил значение 10, а межвременной дисконтирующий
фактор оказался отрицательным, что наблюдается только в этой спецификации.
Если зафиксировать значение коэффициента риск-аверсии на уровне среднего
значения по предыдущим спецификациям, то есть равного 3, то значение рыночной
доходности будет близко к базовому случаю, а безрисковой ставки будет заметно
выше как по США, так и по России. Тем не менее, значение безрисковой ставки по
России будет находиться на уровне 7, 91%, что сопоставимо с доходностью по
ГКО-ОФЗ, равной в среднем 7, 75%. Американская безрисковая ставка составила 2,
48% в последней спецификации, в то время как ее наблюдаемое значение находилось
на уровне 0, 71%.
Более того, следует отметить, что в базовой спецификации и коэффициент
неприятия риска, и межвременной дисконтирующий фактор были выше по России, чем
по США. Однако загадка премии по акциям была выявлена данным подходом только на
американских данных. Логичным было бы предположить, что подобный результат
возможен из-за малого количества наблюдений по России, среди которых
присутствуют два крупных кризиса 1998 и 2008 годов, которые изначально оказали
свое влияние на результаты.
Для большей наглядности и понимания значения коэффициента риск-аверсии
воспользуемся уравнениями (22)-(24). Можно заметить, что доходности рискового и
безрискового актива сокращаются при увеличении вероятности катастрофы первого
типа, но увеличиваются при росте вероятности катастрофы второго типа. Такое
влияние может быть объяснено тем, что при росте вероятности наступления
катастрофы второго типа агенты не видят смысла вкладываться вообще во что-либо,
так как при такой катастрофе они все потеряют и межвременная норма замещения не
увеличивается из-за того, что люди будут стремиться перераспределить
потребление в пользу текущего, а не будущего. Также, разность логарифмов
доходности рискового и безрискового актива или спрэд положительно связана с
коэффициентом неприятия риска. Таким образом, чем сильнее нетерпимы инвесторы к
риску, тем большую премию за риск они будут требовать. Кроме того, можно
обнаружить, что положительное влияние на спрэд также оказывает увеличение
вероятности катастрофы первого типа, ковариации с потреблением и масштабом
катастрофы, однако, от вероятности наступления катастрофы второго типа он никак
не зависит.
В результате проведенного исследования была выявлена загадка премии по
акциям на месячных данных по США за 03.1959-06.2015 и только аномалия
безрисковой ставки на российских и американских годовых данных за 1996-2014 гг.
и 1927-2014 гг. соответственно. Коэффициент неприятия риска составил 21, 74 на
годовых данных по США, 36, 66 на месячных и 4, 66 по России при расчете вручную
при максимально допустимом значении 10. После применения модели с учетом
привычки агента, метода GMM,
коэффициент риск-аверсии снизился по всем выборкам. Можно заключить, что данный
подход может быть применен для решения загадки, однако, он не всегда дает
адекватные результаты, что также подтверждает проведенный обзор литературы по
проблеме. Лучше всего его использовать на больших выборках со стационарными
значениями.
Также для решения загадки был применен подход редких катастроф.
Изначально подход показал наличие аномалии на американских данных - коэффициент
неприятия риска составил 123, 76. Однако на российских данных этот подход не
выявил аномалии, так как коэффициент риск-аверсии составил 5, 44, что меньше
10. После введении в модель вероятностей наступления катастроф коэффициент
риск-аверсии понизился в обеих выборках. Поэтому можно полагать, что данный
подход также применим для решения загадки премии по акциям.
В начале работы были поставлены гипотезы, о том, что 1) На американских и
российских исторически данных по фондовому рынку можно обнаружить загадку
премии по акциям; и 2) загадка премии по акциям может быть решена с помощью
подхода с учетом привычки агента и подхода редких катастроф. В итоге, первая
гипотеза подтверждается частично, так как на российских данных аномалия не была
обнаружена. Вторая гипотеза может быть полностью принята.
Заключение
В данном исследовании была изучена загадка премии по акциям в
межвременной модели ценообразования финансовых активов C-CAPM. Данная
модель создавалась как расширение и улучшение модели CAPM на основе стохастического дисконтирующего фактора,
так как базовая модель имеет жесткие предпосылки и оторвана от реальности.
Поэтому новая модель приобрела более адекватное теоретическое обоснование с
экономической точки зрения. Суть C-CAPM заключается в решении межвременной
задачи потребления инвестором. В отличие от базовой модели ценообразования,
учитывающей только риск и доходность, потребительская модель содержит
дополнительный компонент - потребление агента, а риск актива определяется
ковариацией его стоимости с этим потреблением.
Тем не менее, не смотря на гибкость потребительской модели, она не только
не смогла объяснить аномалии базовой модели, но и породила новые. Одной из
таких аномалий является загадка премии по акциям, которой посвящена данная
работа. Основная проблема заключается в том, что исторически наблюдается
высокая премия за риск в модели C-CAPM, которую можно объяснить только
сильной несклонностью к риску агентов в экономике. Однако данное предположение
расходится с реальным поведением инвесторов на рынке, из-за чего некоторые
экономисты полагают, что загадка премии по акциям до сих пор не объяснена, не
смотря на наличие различных математических решений.
Для изучения данной аномалии нами были взяты годовые данные по
американскому фондовому рынку за 1927-2014 гг. и месячные данные за
03.1959-07.2015, а также годовые данные по российскому рынку за 1996-2014 гг.,
на основе которых рассчитывался коэффициент риск-аверсии и безрисковая ставка
процента для модели C-CAPM. При сравнении коэффициента
неприятия риска с максимально допустимым значением и безрисковой ставки с
наблюдаемым значением было обнаружено, что расчетные значения значительно
превосходят допустимое и максимальное соответственно. Таким образом, на
исследуемых данных была обнаружена загадка премии по акциям. Тем не менее, при
использовании обобщенного метода моментов на данном этапе для годовых данных и
по США, и по России были получены отрицательные значения, что, скорее всего,
является ошибкой, вызванной небольшим количеством наблюдений.
Далее была совершена попытка решить данную загадку с помощью модели с
учетом привычки агента обобщенным методом моментов, а также подходом редких
катастроф. В итоге было выявлено, что оба подхода работают, однако, первый
имеет определенные недостатки и дает неоднозначные результаты. Основными
недостатками подхода с учетом привычки агента являются сложности подбора
инструментальных переменных и зависимости результата от них, а также влияние
размера выборки на результат. Основываясь на проведенном обзоре литературы и
собственном исследовании можно заключить, что подход редких катастроф дает
наиболее логичное и однозначное решение загадки премии по акциям и безрисковой
ставки процента. Следует отметить, что после применения обоих подходов
коэффициент риск-аверсии на российских данных был немного больше, чем на
американских. Из этих результатов можно сделать вывод о том, что россияне более
нетерпимы к риску и требуют большую премию за риск, чем американцы.
К ограничениям данной работы можно отнести то, что существует слишком
мало данных по российскому фондовому рынку в силу его недолгого существования.
Из-за этого обобщенный метод моментов может давать смещенные результаты.
Дальнейшим развитием данной работы может послужить расширение выборки по
развитым и развивающимся странам, применение различных калибровок к данным,
изменение вида привычки в подходе с учетом привычки агента и введение
стохастики в модель редких катастроф. Кроме того, в модель с учетом привычки
агента могут быть введены другие переменные, например, переменная
благосостояния агента или доступной информации.
Также полагаем, что было бы интересно проанализировать влияние кризисов
на потребление, сбережение и отношение к риску агентов. Более того, можно
изучить последствия макроэкономической политики в развитых и развивающихся
странах с точки зрения изменения уровня неприятия риска инвесторами.
Кроме того, есть альтернативная точка зрения, которая предполагает, что
загадка премии по акциям гораздо глубже и не решена до сих пор, как было
сказано ранее. Загадка премии по акциям говорит, что агенты сильно не терпимы к
риску. Загадка безрисковой ставки показывает, что агенты предпочитают сберегать
даже когда безрисковая ставка очень мала. Но знаем ли мы почему это так?
Существует несколько вариантов объяснения большого коэффициента неприятия риска
как то, что это зависит от предпочтений агента или что затраты на торговлю
акциями и облигациями значительно различаются. Однако эти предположения не
кажутся реальными. Для их подтверждения требуется вести в модель транзакционные
издержки и оценить их влияние, что также может стать дальнейшим
усовершенствованием данного исследования.
В заключение следует отметить, что сегодня мы не достаточно хорошо
понимаем и описываем макроэкономические процессы, т.к. существующие модели
упускают ключевые моменты, которые могли бы объяснить поведение агентов в
экономике. Изученная загадка может служить тому подтверждением.
Список литературы
1. Гельман
С. В., Шпренгер К. Сколько должны стоить финансовые активы? Нобелевские премии
по экономике 2013 г //Экономический журнал Высшей школы экономики Higher School
of Economics Economic Journal. - 2014. - Т. 18. - №. 3. - С. 160-172.
. Слуцкин
Л. Н. Обобщенный метод моментов //Прикладная эконометрика. - 2007. - №. 3.
. Солодухина
А. В. Поведенческие модели ценообразования активов //Финансы и кредит. - 2010.
- №. 11. - С. 63-73.
4. Abel
A. B. Asset prices under habit formation and catching up with the Joneses //The
American Economic Review. - 1990. - С. 38-42.
. Barro
R. J. Rare events and the equity premium. - National Bureau of Economic
Research, 2005. - №. w11310.
. Campbell
J. Y. et al. The econometrics of financial markets. - Princeton, NJ: princeton
University press, 1997. - Т. 2. - С. 149-180.
. Campbell
J. Y., Cochrane J. H. By force of habit: A consumption-based explanation of
aggregate stock market behavior. - Journal of Political Economy. 1999. С.
205-251.
. Constantinides
G. M. Habit formation: A resolution of the equity premium puzzle //Journal of
political Economy. - 1990. - С. 519-543.
. Cuthbertson
K., Nitzsche D. Quantitative financial economics: stocks, bonds and foreign
exchange. - John Wiley & Sons, 2005.
. Deaton
A., Muellbauer J. An almost ideal demand system //The American economic review.
- 1980. - С. 312-326.
. Gabaix
X. Linearity-generating processes: A modelling tool yielding closed forms for
asset prices. - National Bureau of Economic Research, 2007. - №. w13430.
. Ghosh
A., Julliard C. Can Rare Events Explain the Equity Premium Puzzle? //2008
Meeting Papers. - Society for Economic Dynamics, 2008. - №. 1090.
. Ju
G. A Resolution to Equity Premium Puzzle, Risk-Free Rate Puzzle, and Capital
Structure Puzzle. - 2010.
. Khan
B. M. Cross-country Determinants of Equity Risk Premium: дис. - University of
Paris, 2009.
. Kocherlakota
N. R. The equity premium: It's still a puzzle //Journal of Economic literature.
- 1996. - С. 42-71.
. Li
B. Testing world consumption asset pricing models //European Journal of
Economics, Finance and Administrative Sciences. - 2010. - Т. 22. - С. 7-20.
. Mehra
R., Prescott E. C. The equity premium: A puzzle //Journal of monetary
Economics. - 1985. - Т. 15. - №. 2. - С. 145-161.
. Rietz
T. A. The equity risk premium a solution //Journal of monetary Economics. -
1988. - Т. 22. - №. 1. - С. 117-131.
. Saikkonen
P., Ripatti A. On the estimation of Euler equations in the presence of a
potential regime shift //The Manchester School. - 2000. - Т. 68. - №. s1. - С.
92-121.
. Storesletten
K., Telmer C. I., Yaron A. Asset pricing with idiosyncratic risk and
overlapping generations //Review of Economic Dynamics. - 2007. - Т. 10. - №. 4.
- С. 519-548.
. Sundaresan
S. M. Intertemporally dependent preferences and the volatility of consumption
and wealth //Review of financial Studies. - 1989. - Т. 2. - №. 1. - С. 73-89.
. Verbeek
M. A guide to modern econometrics. - John Wiley & Sons, 2008.
. Weil
P. The equity premium puzzle and the risk-free rate puzzle //Journal of
Monetary Economics. - 1989. - Т. 24. - №. 3. - С. 401-421.
Приложения
Коррелограмма временного ряда для прироста потребления в США
Лаг ACF PACF Q-стат. [p-значение]
0, 3558 *** 0, 3558 *** 11, 5268 [0, 001]
0, 1707 0, 0505 14, 2098 [0, 001]
-0, 1131 -0, 2166 ** 15, 4016 [0, 002]
-0, 2355 ** -0, 1687 20, 6315 [0, 000]
-0, 0100 0, 2069 * 20, 6410 [0, 001]
-0, 0493 -0, 0766 20, 8760 [0, 002]
0, 0577 -0, 0102 21, 2016 [0, 003]
-0, 1148 -0, 1815 * 22, 5053 [0, 004]
-0, 1106 0, 0113 23, 7316 [0, 005]
0, 0018 0, 1092 23, 7319 [0, 008]
-0, 1208 -0, 1887 * 25, 2328 [0, 008]
-0, 0563 -0, 1244 25, 5629 [0, 012]
-0, 0952 0, 0309 26, 5203 [0, 014]
-0, 0926 -0, 0310 27, 4381 [0, 017]
0, 0761 0, 0853 28, 0667 [0, 021]
0, 0527 -0, 0439 28, 3726 [0, 029]
0, 1283 0, 0145 30, 2090 [0, 025]
нулевая гипотеза единичного корня: a = 1
тест без константы
модель: (1-L)y = (a-1)*y(-1) +... + e
коэф. автокорреляции 1-го порядка для e: -0, 009
лаг для разностей: F(8, 69) = 4, 298 [0, 0003]
оценка для (a - 1): -3, 8235
тестовая статистика: tau_nc(1) = -6, 05219
асимпт. р-значение 3, 503e-009
тест с константой
модель: (1-L)y = b0 + (a-1)*y(-1) +... + e
коэф. автокорреляции 1-го порядка для e: 0, 041
лаг для разностей: F(9, 66) = 3, 672 [0, 0009]
оценка для (a - 1): -3, 59926
тестовая статистика: tau_c(1) = -4, 60566
асимпт. р-значение 0, 0001218
с константой и трендом
модель: (1-L)y = b0 + b1*t + (a-1)*y(-1) +... + e
коэф. автокорреляции 1-го порядка для e: -0, 007
лаг для разностей: F(8, 67) = 4, 129 [0, 0005]
оценка для (a - 1): -3, 94706
тестовая статистика: tau_ct(1) = -5, 76091
асимпт. р-значение 4, 3e-006
Коррелограмма временного ряда для прироста потребления в России
Лаг ACF PACF Q-стат. [p-значение]
0, 4030 * 0, 4030 * 3, 5992 [0, 058]
0, 0458 -0, 1392 3, 6484 [0, 161]
0, 0768 0, 1362 3, 7955 [0, 284]
-0, 0143 -0, 1199 3, 8010 [0, 434]
-0, 0632 0, 0008 3, 9149 [0, 562]
объем выборки 18
нулевая гипотеза единичного корня: a = 1
тест без константы
модель: (1-L)y = (a-1)*y(-1) + e
коэф. автокорреляции 1-го порядка для e: -0, 144
оценка для (a - 1): -0, 00255651
тестовая статистика: tau_nc(1) = -0, 15098значение 0, 6177
тест с константой
модель: (1-L)y = b0 + (a-1)*y(-1) + e
коэф. автокорреляции 1-го порядка для e: 0, 093
оценка для (a - 1): -0, 578356
тестовая статистика: tau_c(1) = -2, 54546значение 0, 122
с константой и трендом
модель:
(1-L)y = b0 + b1*t + (a-1)*y(-1) +... + e
коэф. автокорреляции 1-го порядка для e: 0, 093
оценка для (a - 1): -0, 679775
тестовая статистика: tau_ct(1) = -2, 1451
асимпт. р-значение 0, 5199
2. Безрисковой ставки
Коррелограмма временного ряда для безрисковой ставки в США
Лаг ACF PACF Q-стат. [p-значение]
0, 7610 *** 0, 7610 *** 52, 7261 [0, 000]
0, 4700 *** -0, 2594 ** 73, 0723 [0, 000]
0, 3647 *** 0, 2842 *** 85, 4620 [0, 000]
0, 3223 *** -0, 0566 95, 2572 [0, 000]
0, 2804 *** 0, 0817 102, 7578 [0, 000]
0, 1921 * -0, 1400 106, 3215 [0, 000]
0, 1280 0, 0929 107, 9223 [0, 000]
0, 0992 -0, 0703 108, 8961 [0, 000]
0, 0146 -0, 1397 108, 9174 [0, 000]
-0, 1019 -0, 1044 109, 9725 [0, 000]
-0, 1594 0, 0033 112, 5875 [0, 000]
-0, 1838 * -0, 1000 116, 1098 [0, 000]
-0, 1825 * 0, 0537 119, 6287 [0, 000]
-0, 2206 ** -0, 1692 124, 8368 [0, 000]
-0, 2846 *** -0, 0157 133, 6241 [0, 000]
-0, 2117 ** 0, 2124 ** 138, 5549 [0, 000]
-0, 1124 -0, 0447 139, 9636 [0, 000]
объем выборки 85
нулевая гипотеза единичного корня: a = 1
тест без константы
модель: (1-L)y = (a-1)*y(-1) +... + e
коэф. автокорреляции 1-го порядка для e: -0, 020
оценка для (a - 1): -1, 25349
тестовая статистика: tau_nc(1) = -9, 5082
асимпт. р-значение 4, 205e-018
тест с константой
модель:
(1-L)y = b0 + (a-1)*y(-1) +... + e
коэф. автокорреляции 1-го порядка для e: -0, 021
оценка для (a - 1): -1, 25526
тестовая статистика: tau_c(1) = -9, 46337
асимпт. р-значение 1, 696e-017
с константой и трендом
модель:
(1-L)y = b0 + b1*t + (a-1)*y(-1) +... + e
коэф. автокорреляции 1-го порядка для e: -0, 022
оценка для (a - 1): -1, 25576
тестовая статистика: tau_ct(1) = -9, 40837
асимпт. р-значение 1, 789e-017
3. Доходности рынка
Коррелограмма временного ряда для доходности рынка в США
Лаг ACF PACF Q-стат. [p-значение]
0, 0174 0, 0174 0, 0277 [0, 868]
-0, 2032 * -0, 2035 * 3, 8285 [0, 147]
-0, 0317 -0, 0250 3, 9224 [0, 270]
-0, 0706 -0, 1158 4, 3923 [0, 356]
-0, 0840 -0, 0984 5, 0663 [0, 408]
0, 0717 0, 0350 5, 5633 [0, 474]
0, 0694 0, 0247 6, 0342 [0, 536]
0, 0082 0, 0178 6, 0409 [0, 643]
0, 0124 0, 0230 6, 0564 [0, 734]
0, 0297 0, 0439 6, 1461 [0, 803]
-0, 0156 0, 0123 6, 1712 [0, 862]
-0, 0402 -0, 0162 6, 3397 [0, 898]
-0, 1337 -0, 1410 8, 2263 [0, 829]
-0, 0749 -0, 0906 8, 8271 [0, 842]
-0, 0556 -0, 1296 9, 1629 [0, 869]
0, 0780 0, 0179 9, 8323 [0, 875]
0, 0226 -0, 0587 9, 8894 [0, 908]
объем выборки 81
нулевая гипотеза единичного корня: a = 1
тест без константы
модель: (1-L)y = (a-1)*y(-1) +... + e
коэф. автокорреляции 1-го порядка для e: -0, 035
лаг для разностей: F(5, 75) = 8, 841 [0, 0000]
оценка для (a - 1): -4, 44482
тестовая статистика: tau_nc(1) = -7, 01927
асимпт. р-значение 1, 582e-011
тест с константой
модель: (1-L)y = b0 + (a-1)*y(-1) +... + e
коэф. автокорреляции 1-го порядка для e: -0, 074
лаг для разностей: F(4, 76) = 10, 120 [0, 0000]
оценка для (a - 1): -3, 88376
тестовая статистика: tau_c(1) = -8, 02386
асимпт. р-значение 4, 255e-013
с константой и трендом
модель: (1-L)y = b0 + b1*t + (a-1)*y(-1) +... + e
коэф. автокорреляции 1-го порядка для e: -0, 034
лаг для разностей: F(5, 73) = 8, 569 [0, 0000]
оценка для (a - 1): -4, 45529
тестовая статистика: tau_ct(1) = -6, 90208
асимпт. р-значение 4, 753e-009
Коррелограмма временного ряда для доходности рынка в России
Лаг ACF PACF Q-стат. [p-значение]
-0, 3609 -0, 3609 2, 8869 [0, 089]
0, 2136 0, 0958 3, 9572 [0, 138]
-0, 1162 -0, 0139 4, 2941 [0, 231]
0, 2587 0, 2280 6, 0747 [0, 194]
-0, 0801 0, 0989 6, 2574 [0, 282]
объем выборки 15
нулевая гипотеза единичного корня: a = 1
тест без константы
модель: (1-L)y = (a-1)*y(-1) +... + e
коэф. автокорреляции 1-го порядка для e: 0, 049
лаг для разностей: F(3, 11) = 5, 331 [0, 0164]
оценка для (a - 1): -0, 0950264
тестовая статистика: tau_nc(1) = -1, 0378
асимпт. р-значение 0, 2703
тест с константой
модель:
(1-L)y = b0 + (a-1)*y(-1) + e
коэф. автокорреляции 1-го порядка для e: -0, 024
оценка для (a - 1): -1, 37727
тестовая статистика: tau_c(1) = -5, 82471значение 0, 0001
с константой и трендом
модель: (1-L)y = b0 + b1*t + (a-1)*y(-1)
+... + e
коэф. автокорреляции 1-го порядка для e: 0, 060
лаг для разностей: F(4, 7) = 1, 460 [0, 3101]
оценка для (a - 1): -2, 34091
тестовая статистика: tau_ct(1) = -2, 56215
асимпт. р-значение 0, 298