Прогнозирование потребительского спроса неагригированной модели - модели роста

  • Вид работы:
    Статья
  • Предмет:
    Менеджмент
  • Язык:
    Русский
    ,
    Формат файла:
    MS Word
    203,91 Кб
  • Опубликовано:
    2017-08-07
Вы можете узнать стоимость помощи в написании студенческой работы.
Помощь в написании работы, которую точно примут!

Прогнозирование потребительского спроса неагригированной модели - модели роста













Прогнозирование потребительского спроса неагригированной модели - модели роста



Дейнека Александр, Позднякова Любовь

При прогнозировании внутренних экономических связей целесообразно использовать синтез интуитивных и формализованных методов. Методы неформализованного анализа и прогноза основываются на экспертных оценках. Велика их роль на заключительной стадии оценки возможных вариантов развития внутренних экономических связей и выбора наиболее достоверного варианта прогноза. В зависимости от характера имеющихся данных и требуемых результатов могут использоваться следующие методы экспертных оценок: аналитический метод, метод "Комиссий", "Дельфи", "Конференций". Их применение предполагает выработку новых идей и подходов к решению поставленных задач в формировании предположений и гипотез относительно развития внутренних экономических связей.

Следует отметить, что при математическом описании процесса развития международных экономических связей возникают трудности. Это связано с тем, что внутренние экономические связи представляют собой сложную систему, на развитие которой оказывает влияние огромное число взаимосвязанных факторов экономического и социально-политического характера: количество и качество трудовых ресурсов; наличие топливно-энергетических и сырьевых ресурсов, производственных мощностей и инвестиций; научно - технических и сырьевых ресурсов, производственных мощностей и инвестиций; научно-технический потенциал; структура народнохозяйственных потребностей; степень развития внутринационального разделения труда; состояние внешних торговых рынков; уровень и пропорции цен мирового рынка; соотношение спроса и предположения на внешних рынках.

В то же время во многих странах получают распространение методы, основанные на построении экономико-математических моделей и использовании ЭВМ.

Наибольшее значение математические методы имеют непосредственно при конструировании того или иного варианта прогноза.

Ключевые слова, прогноз, метод, уравнение, система, производная, товар.

Постановка проблемы. Прогнозирование потребительского спроса имеет важное значение в контексте интеграции Украины в международные хозяйственные структуры. Чрезвычайно сложно определить тенденции изменений потребительского спроса. Данная публикация является одной из попыток прогнозирования развития национальной экономики на примере базовых отраслей - топливно-энергетического и транспортного комплексов.

Целью статьи является попытка прогнозирования внутренних экономических связей на базе использования синтеза интуитивных и формализованных методов.

Основной материал и исследование. Экономико-математические модели нашли широкое применение в мировой практике для прогнозирования экспорта и импорта: трендовые модели; модели межотраслевого баланса; матричные модели международной торговли; оптимизационные модели.

Трендовые модели (y = a + bt) экстраполируют тенденции изменения показателей, выявленные в прошлом и настоящем, на будущее. Эти модели используются на стадии составления инерционного прогноза.

Нередко экстраполяция тренда оказывается единственным математическим методом прогнозирования внешнеэкономических показателей. Это может быть обусловлено двумя обстоятельствами: незнанием характера причинно-следственных связей между прогнозируемыми параметрами и факторами, определяющими их динамику, а также отсутствием информации, на основе которой можно составить прогноз независимых переменных, предопределяющих "поведение" исследуемого показателя. Экстраполировать показатели можно лишь тогда, когда есть уверенность в том, что зафиксированная в тренде тенденция сохраняется в будущем.

экспертная оценка экономическая связь прогноз

Метод экстраполяции временного ряда с использованием функциональных уравнений с одной независимой переменной - 1 (время) пригоден для кратко - и среднесрочного прогнозирования прогнозирования внешнеторговых параметров. Наилучшие результаты этот метод дает при прогнозировании агрегированных показателей. Надежность прогноза укрупненных показателей экономисты обычно связывают с тем, что в агрегате происходит выравнивание (взаимное погашение отклонений) различных тенденций, определяющих общую динамику показателя.

В Украине в период восстановления торгово-экономических связей со странами СНГ и активных интеграционных процессов в ЕС объемы и структура экспорта и импорта претерпевают существенные изменения. В связи с этим целесообразно осуществлять прогноз экспорта и импорта на срок до одного года. Такие прогнозы могут быть предназначены для оперативного контроля за выполнением плановых решений в области внешней политики и их соответствующей корректировки. Степень точности прогнозных расчетов на длительную перспективу существенно снижается. Мы предлагаем модель прогнозирования потребительского спроса топливно - энергетических ресурсов (ТЭР) в Украине в целом.

Прогнозирование потребительского спроса ТЭР является частью построения большой неагрегированной модели - модели роста. Эта модель содержит примерно 1000 уравнений и охватывает 35 отраслей экономики и 40 видов товаров. В такой системе точный предварительный учет потребительского спроса имеет большое значение. Возможно, наиболее непосредственное воздействие он оказывает на структуру экономики и занятость, но, поскольку модель закрытая, эти прогнозы в свою очередь через распределение доходов и относительные цены оказывают обратное воздействие на сам потребительский спрос. Это воздействие не рассматривается - в нем анализируется лишь сфера потребления. Точнее говоря, показано, как общие расходы потребителей на приобретение товаров недлительного пользования распределяются между различными статьями бюджета потребителя. Общая величина расходов определяется как функция располагаемого дохода.

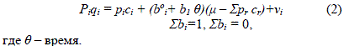
Модель спроса, лежащая в основе рассматриваемых разработок, представляет собой линейную систему затрат. Основное уравнение может быть записано следующим образом:


где уі - стохастический член;

      цена товара і;

      общая сумма денежных затрат (для краткости - доход);

Ьі и сі - параметры; индекс і изменяется от 1 до п и означает количество рассматриваемых товаров.

Эта система имеет простое толкование: с означает затраты на необходимые товары, которые покупаются в первую очередь.

Оставшийся доход затрачивается на приобретение остальных товаров в соответствии с параметрами Ьі. Значение переменных известно, линейность модели, а ее совместимость с теорией потребительского спроса гарантирует от появления абсурдных или неточных прогноз.

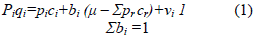
Однако в основной форме модель все же не вполне удовлетворительна. Линейность кривых Энгеля, предполагающая, что все эластичности спроса от дохода стремятся к единице, не подкрепляется данными. Самый простой способ учета указанного обстоятельства состоит во введении линейных временных трендов в коэффициенты Ь. Тогда модель записывается в следующем виде:


Но даже в этом случае достижение удовлетворительной степени сопоставимости в модели, охватывающей 40 видов товаров, весьма проблематично. Модель нелинейная в отношении 120 параметров, не говоря уже о 820 различных элементах ковариационной матрицы остаточных членов. Нами принята иерархическая процедура оценки и прогнозирования. Затраты на группы товаров могут быть предсказаны на основании общего дохода и индексов цен по группам и совместно с

индивидуальными ценами использоваться для определения затрат на отдельные товары. Если обозначить группы товаров заглавными буквами и если товар принадлежит к группе О, то уравнение (1.2) в целях определения затрат на группу, обозначаемых как р, о, может быть записано следующим образом:

 

Это может быть аппроксимировано как


где по - индекс цен для группы (индекс Пааше), определяемый делением затрат в текущих и постоянных ценах. Таким образом,

 

Используя данное выражение для групповых затрат из уравнения (6), мы можем теперь записать уравнение для отдельного продукта как:


значения В задаються как


однако только при условии, что  невелико по сравнению с Очевидно, что значения  в сумме составляют единицу, а значения ; - нуль. То же самое справедливо в отношении значений  и . Следовательно, уравнения (4.) и (6.) математически идентичны первоначальному уравнению (2) и могут быть оценены аналогичным способом. Таким образом, можно иметь дело с большим числом товаров, оценивая лишь относительно небольшие системы уравнений. В использованной нами номенклатуре товаров и услуг имеется девять широких подгрупп: продукты питания, обувь и одежда, квартплата, освещение и отопление, табак и спиртные напитки, путешествия и общение транспорт; развлечения, прочие товары и прочие услуги, За исключением двух последних, каждая из этих подгруппдезагрегируется дальше-по 2-10 детализированным рядам товаров, Какие товары и к какойгруппе относить, определяется на основании двух критериев. Во-первых, должно сохраняться приближение, позволяющее уравнению (1.6) принимать ту же форму, что и уравнение (2). Сталобыть, группы должны подбираться таким образом, чтобы временные тренды были по возможности меньше. При этом общая маржинальная доля бюджета ни в коем случае не должна приближаться к нулю, ибо иначе будет нарушена иерархия процесса и модель может привести к абсурдным результатам. Во - вторых, если иерархическая оценка грозит лишь незначительной потерей максимального правдоподобия, группы должны подбираться в соответствии со структурой: ковариационной матрицы стохастических отклонений, В модели типа линейной системы затрат, которая исключает отношении сменяемости и дополнительности, любые реально существующие обстановки и отношения представляются в виде тесных взаимосвязей между отклонениями отдельных уравнений, В иерархической модели такие взаимосвязи по отношению к товарам, принадлежащим к разным группам, игнорируются, и поэтому классификация должна производиться так, чтобы товары, которые каким-то особым образом взаимосвязаны друг с другом, всегда оказывались в одной группе. Этому критерию обычно легко удовлетворить, группируя товары в соответствии с их широким предназначением, например продукты питания, одежду и т.п., т, е. в значительной мере так, как это и принято.

Оценки максимального правдоподобия для каждой подсистемы могут быть описаны следующим образом. Мы рассматриваем случай, когда временные тренды отсутствуют, поскольку это не имеет принципиального значения. При этом в отношении ошибок на каждом уровне оценки предполагается, что только соотношения, имеющие место одновременно, не равны нулю.

Например:


Некоторая трудность заключается в том. что матрица  (і, j - й элемент которой есть wij) представляет собой особую точку. Это вытекает из того, что правая сторона уравнения (7.2) точно соответствует доходу и. таким образом


Из этого положения можно выйти при помощи обобщенной обратной матрицы . Предполагая обычное состояние, он показал, что для п товаров при Т наблюдениях максимальное правдоподобие определяется как


где -вектор, состоящий из единиц.

Следующим шагом является взятие логарифмов и максимизация логарифмической функции максимального правдоподобия по отношению к элементам  так, чтобы удовлетворялось условие ограничения общности. Это дает оценку максимального правдоподобия


где  - оцениваемое значение и 1, соответствующее заданной величине Ь и с, а логарифмическая функция максимального правдоподобия имеет вид:


Поскольку  является функцией лишь параметров h и с, то оценки максимального правдоподобия определяются непосредственно максимизацией этой функции:


Эта система уравнений нелинейна в отношении параметров и решается посредством тейлоровской линеаризации выражения в скобках в терминах б Ь и б с. Затем для любых данных значений Ь и с может быть рассчитано линейное преобразование, возможно, в сторону максимума. На практике должны учитываться также ограничения, существующие для Ь, и, кроме того, тенденция процесса к несходимости.

Как правило, и рассмотренная процедура оценки, и иерархическое дезагрегирование системы давали удовлетворительные результаты. Агрегированные группы товаров с высокой степенью точности описываются общим доходом и индексами цен: отдельные товары столь же хорошо могут быть описаны затратами на группы товаров и индивидуальными ценами. Это верно в отношении не только потребительных расходов, но и физических объемов покупок, результат которых значительно более трудно обнаружить в прошлом. Помимо удобств для расчетов иерархическая модель обладает и другими существенными достоинствами. Так, высокая степень независимости групп друг от друга делает ее чрезвычайно гибкой. Например, на стадии предварительных расчетов структура подгруппы может изменяться без пересчета всей остальной части модели, а при прогнозировании, если не нужно составлять прогноз по всем группам затрат, нет необходимости рассчитывать все части модели. Естественно, такая гибкость достигается ценой более низкой общей точности системы, чем, если бы одновременно производились все расчеты. Однако в большинстве случаев практическая точность расчетов оказывается достаточной. Более того, можно даже сказать, что априори форма матрицы ошибок должна ограничиваться так, чтобы она затрагивала полностью лишь взаимодействие товаров одной и той же группы.

Альтернативные методы расчетов. Несмотря на большие преимущества, которыми обладает метод "иерархии", всегда полезно иметь представление о других возможных подходах, и нами рассмотрен ряд альтернатив. Например. При использовании этого метода приближение, связывающее С с суммой отдельных с в группе, часто оказывается значительно менее точным, чем можно было бы ожидать исходя из коллинеарности многих цен. Опыты по дальнейшему агрегированию основных групп показывают, что по крайней мере в ряде случаев получаемая сумма b отличается от суммы частных оценок больше, чем было бы желательно. Подобные трудности свидетельствуют, что предположения, лежащие в основе агрегирования, связаны с определенными неточностями. Так, если бы ошибки в модели (2) не были связаны с самими уравнениями, то незачем было бы выбирать между альтернативными агрегирования. Поскольку эти неточности могут даже перевесить преимущества иерархического подхода в других отношениях, целесообразно рассмотреть способы параллельного нахождения максимально правдоподобных результатов. Как правило, для системы такого размера это нерационально, но в данном случае существуют две возможности, зависящие от специфической структуры условий.

Первый способ заключается в следующем. В первом условии (12) матрица V может быть опущена, поскольку  - скаляр; это приводит к уравнению, которое при любом заданном значении с линейно в отношении b, т.е.:


Таким образом, решение уравнения (13) может быть подставлено вместо величины b в условие (10). Тогда, если используются временные тренды, максимизация осуществляется при значительно меньшем числе параметров (п вместо 3п). Хотя этот способ более сложен алгебраически, он позволяет сэкономить на времени расчета. Повторная инверсия возможна для матрицы с размерами 40X40* но на для матрицы с размерами 120 X 120, Эта модель применялась при разработанной программе, обеспечивающей сходимость.

Второй способ представляет собой разновидность первоначальной итеративной процедуры. Он основывается на том, что для обычных расчетов на основе метода наименьших квадратов возможен не только линейный расчет b, если известны с. но и наоборот Заметим, что для оценки на основе метода максимального правдоподобия это не подходит, ибо в матрице V содержатся нелинейные b и с,. Однако выражение дает линейную оценку для b и, более того, идентично оценке на основе метода наименьших квадратов при данном с. Эго позволяет сделать несколько предположений.

Во-первых, совершенно очевидно, что любые оценки на основе метода наименьших квадратов значений b и с удовлетворяют условию о 0. но само по себе это не играет роли, поскольку второе условие не удовлетворяется. Однако оценка на функции максимального правдоподобия показывает; что вторые производные имеют гораздо большее значение для h, чем для с. Таким образом, функция максимального правдоподобия может быть изображена в виде разделяющей линии, идущей параллельно направлениям с с резко выраженным пиком в направлениях b. Следовательно, любые оценки, которые удовлетворяют условию = 0, хотя и не отвечающие функции максимального правдоподобия, будут обладать двумя важными свойствами (можно показать, что оценки Ь и с на основе функции максимального правдоподобия не будут асимптотически независимыми; если бы это было так, то любые согласованные оценки с давали бы оценки Ь со всеми асимптотическими характеристиками оценки на основе функции максимального правдоподобия),

Первое из этих свойств заключается в том, что значения Ь должны быть близки к оценкам на основе функции максимального правдоподобия, а второе-в том, что значение функции максимального правдоподобия не должно значительно отклоняться от реального максимума. Тогда возможен следующий порядок практических расчетов. Сначала отыскиваются подходящие оценки значений с (возможно, с помощью нескольких первых итераций описанного выше метода). Затем непосредственно рассчитываются значения b. Такая оценка во многих случаях может быть вполне удовлетворительной, и она проста в расчетах. Заметим, однако, что дальнейшие итерации b и с не дадут, вероятно, продуктивных результатов, ибо оценки с по b по его формуле, базирующиеся на методе наименьших квадратов, хотя и уменьшат остаточную сумму квадратов, но не обязательно увеличат максимальное правдоподобие.

Поэтому важным предметом последующих исследований должна стать такая модификация системы, которая допускала бы более широкие возможности взаимозаменяемости товаров.

Выводы. Эффективность предложенных рекомендаций обоснованна теоретически и подтвержденная практически на базе ситуации, которая сложилась в топливно-энергетическом и транспортном комплексах Украины. Полученные данные дают основание судить о правомерности изложенных подходов при прогнозировании потребительского спроса.

Похожие работы на - Прогнозирование потребительского спроса неагригированной модели - модели роста

 

Не нашли материал для своей работы?
Поможем написать уникальную работу
Без плагиата!
Без нейросетей!