Российские паевые инвестиционные фонды
План
Введение
Глава 1. Теоретические аспекты рынка
взаимных фондов в России и мире
.1 Обзор рынка паевых инвестиционных
фондов в России
.2 Развитие рынка ПИФов в России
.3 Консолидация отрасли российских
ПИФов
.4 Эффективность российских ПИФов
.5 Проблемы рынка и пути их решения
.6 Обзор литературы, посвященной
исследованиям факторов, влияющих на доходность и приток инвестиций во взаимные
фонды
.7 Факторы, влияющие на приток
средств во взаимные фонды
.8 Влияние сделок слияния и
поглощения на доходность и приток средств в фонды
Выводы
Глава 2. Однофакторный анализ:
эффект от слияния
.1 Результаты слияния
Выводы
Глава 3. Многофакторный анализ
.1 Факторы, влияющие на избыточную
доходность российских ПИФов
.2 Факторы, влияющие на приток
средств в российские ПИФы
Выводы
Заключение
Список использованной литературы
Приложение
Введение
Отрасль коллективных инвестиций - это важнейшая
составляющая финансовых рынков. Именно эта отрасль предоставляет долгосрочные
средства участникам финансового рынка, а также являются стабилизаторами
финансовой системы за счет своих активов. В данной работе мы остановимся
подробнее на части отрасли коллективных инвестиций - взаимных фондах и их
российских аналогах, паевых инвестиционных фондах.
Актуальность исследований доходности и притока
средств в российские паевые инвестиционные фонды заключается в том, что
понимание факторов, от которых зависит результат фондов и приток инвестиций
может способствовать преломлению негативной тенденции оттока средств из данной
отрасли, что поможет оздоровить всю финансовую систему России. Помимо этого, в
работе делается акцент на факторе проведения сделки слияния между фондами и его
влиянии, как на доходность, так и на поведение инвесторов, что является
актуальным вследствие недавней волны консолидации в отрасли, связанной с
законодательным упрощением этой процедуры. Кроме того, на данный момент
большинство исследований сосредоточены на рынке США, в то время как
развивающиеся рынки в целом и Россия в частности удостаиваются меньшего
внимания.
Цель данной работы - выявление детерминант и
направления их влияния на доходность и приток средств в российские паевые
инвестиционные фонды. паевой инвестиционный
доходность
Для достижения этой цели были поставлены
следующие задачи:
. Дать характеристику текущему состоянию
отрасли паевых инвестиционных фондов в России, выявить основные тенденции и
проблемы отрасли.
. Выявить факторы, влияющие на доходность
и приток инвестиций в фонды в России и мире, на основе анализа академический
работ, посвященных данной проблеме.
. Собрать данные для проведения
исследования, включающие в себя российские паевые инвестиционные фонды,
участвовавшие в сделках слияния в 2014-2015 годах.
. Провести предварительный анализ влияния
фактора наличия сделки слияния на доходность и приток средств в фонды.
. Протестировать влияние выявленных
факторов на доходность российских ПИФов, используя многофакторный регрессионный
анализ.
. Протестировать влияние выявленных
факторов на приток средств в российские ПИФы, используя многофакторный
регрессионный анализ.
Объектом исследования выступают российские
паевые инвестиционные фонды, предметом - доходность и приток средств российских
паевых инвестиционных фондов.
В работе использовалась выборка, состоящая из 83
российских паевых инвестиционных фондов, участвовавших в 49 сделках слияния и
поглощения в течение 2014-2015 года. Период исследования составляет 9 лет, с
2007 по 2015 года.
Для тестирования выдвинутых гипотез
использовались методы статистического и регрессионного анализа с использованием
возможностей статистического пакета Stata/MP
13.0.
Практическая значимость данного исследования
заключается в возможности оценить степень реакции российских инвесторов на
различные факторы и использовать данные зависимости для привлечения инвесторов
в отрасль паевых инвестиционных фондов в России. Кроме того, в работе
оценивается эффект от проведения сделок слияния и реакцию инвесторов на эти
сделки, что может быть использовано управляющими компаниями при принятии
решений о слиянии фондов.
Глава 1. Теоретические аспекты рынка
взаимных фондов в России и мире
.1 Обзор рынка паевых инвестиционных
фондов в России
Взаимные фонды - важная составляющая мировых
финансовых рынков. Они играют роль аккумулятора инвестиций обычных вкладчиков,
для которых самостоятельное инвестирование недоступно по тем или иным причинам.
Индустрия взаимных фондов во всем мире начала развиваться достаточно давно,
первый взаимный фонд был открыт еще в 20-х гг. ХХ века в США (Батяева, и др.,
2006). За это время существенно обновилось законодательство США в области
регулирования деятельности таких фондов, были сняты жесткие ограничения на
инвестирование в рискованные активы, наложенные на управляющих фондами,
благодаря чему взаимные фонды сейчас открывают возможности частным инвесторам
по инвестированию в высокодоходные активы. В 2014 году суммарный объем средств
под управлением взаимных фондов США достиг 16 трлн. долл. (Investment Company
Institute, 2015), что составляет около 20% мирового ВВП - Источник: расчеты
автора на основе данных World
Bank, URL:
www.worldbank.org
и Investment
Company Institute,
URL: https://www.ici.org/pdf/2015_factbook.pdf
.
На сегодняшний день существование взаимных
фондов позволяет частным инвесторам решить целый набор задач, связанных с
управлением сбережениями. Во-первых, управление инвестициями осуществляет
профессиональный участник рынка - управляющая компания, что позволяет
инвестировать людям, не имеющим компетенций в области финансовых рынков.
Во-вторых, взаимные фонды открывают возможность диверсификации для частных
инвесторов. Для того чтобы создать диверсифицированный портфель, инвестору
нужно купить разные бумаги в определенном количестве, однако это не всегда
возможно в виду ограниченности средств у мелкого инвестора. Поэтому, покупая
акции взаимного фонда, инвестор решает проблему нехватки средств, приобретая
доступ к доле в диверсифицированном портфеле фонда. И наконец, коллективное
инвестирование помогает инвесторам снизить транзакционные издержки, связанные с
покупкой ценных бумаг, что увеличивает доходность от инвестирования. Все это
делает взаимные фонды важной составляющей инвестиционных рынков, позволяющей
охватить широкий круг инвесторов.
.2 Развитие рынка ПИФов в России
В России индустрия взаимных фондов (а точнее их
российских аналогов - паевых инвестиционных фондов) находится на раннем этапе
своего развития. Первые ПИФы были основаны в 1996 году (Батяева, и др., 2006),
но развитие отрасли происходило не такими бурными темпами, как в США.
Изначально российские паевые инвестиционные фонды задумывались как классический
инструмент коллективного инвестирования, призванный привлечь в экономику деньги
широких масс населения. Однако приток денежных средств в ПИФы, получаемый за
счет розничных инвесторов, оказался недостаточным для их желаемой прибыльности,
благодаря чему управляющие компании начали осваивать новую область деятельности
- закрытые фонды, предназначенные в большей степени для квалифицированных
инвесторов (Абрамов, 2014).
Первые закрытые ПИФы появились в 2003 году и
стали активно наращивать свои активы, благодаря чему на конец 2015 года
открытые и интервальные инвестиционные фонды вместе по объему активов
составляют менее 20% от общего объема средств ПИФов - Источник: Расчеты автора
на основании данных Национальной Лиги Управляющих. URL:
www.nlu.ru..
Таким образом, на рынке сформировалась тенденция перехода от открытых фондов к
закрытым, от информационной прозрачности к недоступности информации и от
фондов, направленных не широкий круг розничных инвесторов, к тем, кто направлен
на ограниченный круг квалифицированных или институциональных инвесторов.
На декабрь 2015 года суммарные чистые активы
ПИФов по данным Национальной лиги управляющих составляют 598 млрд. рублей, при
этом на долю открытых и интервальных фондов приходится всего 117 млрд. рублей,
что составляет примерно 0,09% ВВП (см. рис. 1).
Рис. 1. Суммарные чистые активы российских
открытых и интервальных ПИФов в 1997-2015 годах.
Источник: расчеты автора на основании данных НЛУ
(www.nlu.ru)
и Всемирного Банка (www.worldbank.org).
Как видно из рисунка 1, паевые инвестиционные
фонды в России находились на пике развития в 2007 году, но так и не сумели
восстановиться после падения 2008-2009 годов. Нужно отметить, что суммарные
активы фондов сократились не только в абсолютных значениях, но и по отношению к
общему ВВП.
Еще одной характеристикой относительного упадка
отрасли может служить чистый приток денежных средств во взаимные фонды. На
рисунке 2 показан нетто-приток средств в российские ПИФы, отображенный нарастающим
итогом с 1997 года. Из графика видно, что до 2007 отрасль активно развивалась,
привлекая все больше и больше новых инвестиций, однако после 2007 года в
среднем наблюдается нетто-отток денежных средств: с конца 2007 года инвесторы
забрали более 100 миллиардов рублей из отрасли в целом.
Рис. 2. Нетто-приток средств в российские ПИФы,
нарастающим итогом с 1997 по 2015 года
Источник: расчеты автора на основании данных НЛУ
www.nlu.ru
Тенденция к оттоку средств может быть объяснена
тем, что доходность вложений в ПИФы в среднем стала заметно более волатильной
после кризиса 2008-2009 годов. Продолжительная волатильность на рынке
отпугивает частных инвесторов, ограничивая и без того небольшой приток средств.
.3 Консолидация отрасли российских
ПИФов
При рассмотрении сделок слияния взаимных фондов
принято разделять 3 типа разных сделок:
. Внутрисемейные, или сделки слияния
фондов, находящихся под управлением одной управляющей компании
. Межсемейные, или сделки слияния фондов,
принадлежащих разным управляющим компаниям (право на управление в таком случае
переходит к одной из участвующих управляющих компаний)
. Слияние нескольких классов акций одного
фонда в один. В таком случае количество фондов не уменьшается, просто происходит
укрупнение классов его акций.
Как показывает Абрамов, до 2011 года
концентрация отрасли паевых инвестиционных фондов в России постоянно
уменьшалась благодаря приходу новых игроков на рынок (Абрамов, и др., 2015). С
2011 года начинается обратный процесс и степень консолидации отрасли
повышается.
Тем не менее, до 2014 года этот процесс двигался
за счет преимущественно межсемейных сделок слияния. Основными мотивами этого
процесса были приобретение фондов в процессе слияния финансовых корпораций,
направленные стратегические приобретения и приобретения фондов в связи с уходом
с рынка их управляющих компаний. Благодаря этим процессам к концу 2013 года
Индекс Херфиндаля-Хиршмана для отрасли поднялся до 392 (182 в 2011), хотя это
по-прежнему считается показателем слабой концентрированности отрасли (Абрамов,
и др., 2015).
Осуществление перехода фонда под управление к
другой управляющей компании не предполагает смену его инвестиционной стратегии.
В результате этого, у многих управляющих компаний появилось несколько фондов с
дублирующими инвестиционными стратегиями, что является неэффективным с точки
зрения управления и маркетинга. Тем не менее, эти фонды не могли быть
объединены в один до недавнего времени в связи с несовершенством
законодательства России. Для того, чтобы объединить фонды в один до 2014 года
управляющая компания должна была получить согласие всех пайщиков (Орлова, 2014).
С учетом того, что получить подписи всех пайщиков - трудо- и ресурсозатратное
мероприятие, фонды продолжали работать с дублирующими стратегиями.
С 2014 года процедуру упростили: теперь для
того, чтобы объединить фонды, управляющей компании достаточно лишь уведомить
акционеров за 30 дней до события. В течение этих 30 дней те акционеры, которые
не согласны с данным решением, могут погасить свои паи и выйти из фонда
(Камнева, 2013).
Благодаря этим изменением, 2014 и 2015 года
ознаменовались волной внутрисемейных сделок слияния ПИФов, многие управляющие
компании сильно уменьшили линейку своих фондов. Так, например, Сбербанк
Управление Активами превратил 10 своих фондов в 5 (Орлова, 2014).
.4 Эффективность российских ПИФов
Российские ПИФы имеют неплохой потенциал роста.
Как показывают в своей работе Абрамов А. и Акшенцева К., на промежутке с 2001
по 2012 года ПИФы в среднем обыгрывали инфляцию на 5% годовых (Абрамов, и др.,
2014). На рисунке 3 показаны индексы доходности ОПИФов акций и облигаций в
сравнении с инфляцией в России.
Рис. 3. Доходность российских ОПИФов акций и
облигаций в сравнении с инфляцией
Источник: расчеты автора на основании данных НЛУ
(www.nlu.ru)
и ФСГС (www.gks.ru).
На графике видно, что в целом и ОПИФы акций, и
ОПИФы облигаций сумели обыграть инфляцию на промежутке с 1997 по 2015 года, при
чем ОПИФы облигаций опередили инфляцию почти в 3 раза за этот период.
Сравнение с инфляцией
показывает, что инвестирование в ПИФы может помочь гражданам сохранить и даже
приумножить свои сбережения, невзирая на довольно высокий уровень инфляции в
России на протяжении последних лет. Тем не менее, профессиональные инвесторы
чаще оценивают доходность своих вложений в сравнении с соответствующими
индексами. Для этой цели на рисунках 4 и 5 показана доходность ОПИФов акций и
облигаций в сравнении с соответствующими им бенчмарками (индексом ММВБ для фондов
акций и индексом корпоративных облигаций Cbonds
для облигационных фондов).
Рис. 4. Доходность российских ОПИФов акций в
сравнении с индексом ММВБ и инфляцией за период 2002-2015.
Источник: расчеты автора на основании данных НЛУ
(www.nlu.ru),
ФСГС (www.gks.ru)
и Московской биржи (www.moex.com).
Рис. 5. Доходность российских ОПИФов акций в
сравнении с индексом корпоративных облигаций Cbonds
и инфляцией за период 2002-2015.
Источник: расчеты автора на основании данных НЛУ
(www.nlu.ru),
ФСГС (www.gks.ru)
и агентства Cbonds
(ru.cbonds.info).
Как видно из рисунков 4 и 5,
российские ОПИФы в 2002-2015 годах приносили доходность, достаточную для того,
чтобы обыграть рынок, хотя и ненамного. Конечно, этот результат меняется в
зависимости от выбранного горизонта инвестирования. Так, например, Абрамов
показывает, что на промежутке времени с 2004 по 2013 год ПИФы в среднем
проигрывали бенчмаркам (Абрамов, и др., 2015). Тем не менее, по мнению авторов,
такую тенденцию удастся преодолеть при снижении издержек по управлению фондами.
Таким образом, показанные выше
результаты говорят о том, что российские ПИФы имеют хороший потенциал развития
и могут рассматриваться как неплохой инвестиционный инструмент для розничного
инвестора.
1.5 Проблемы рынка и пути их решения
Основной проблемой российских паевых
инвестиционных фондов является недостаток притока долгосрочных средств (Абрамов,
и др., 2014). Абрамов и Акшенцева особое внимание уделяли тому факту, что в
России отсутствуют налоговые льготы для вкладчиков, что не позволяет российским
частным инвесторам рассматривать вложение в ПИФы как долгосрочный способ
инвестирования. Однако, надо признать, что с открытием индивидуальных
инвестиционных счетов и возможностью получения налогового вычета по ним данный
вопрос отходит на второй план (Коваль, 2015).
Кроме того, из-за законодательных ограничений на
вложение пенсионных накоплений в ПИФы, фонды теряют очень важного долгосрочного
инвестора - Пенсионный фонд (Абрамов, и др., 2014). Недостаток взаимодействия
ПИФов и негосударственных пенсионных фондов, а также экономическая
неэффективность многих ПИФов и каналов продаж инвестиционных паев, также
оказывают негативное влияние на отрасль в России (Абрамов, 2014). Кроме того,
российские ПИФы являются в большинстве своем мелкими, что сильно ограничивает
их возможность экономии от масштаба; хотя в последнее время наблюдается
довольно заметная тенденция к сокращению управляющих компаний, а, значит,
большей концентрации отрасли (Абрамов, 2014) (Абрамов, и др., 2014)
В целом, у рынка отсутствует внятная
и последовательная стратегия развития, отрасль игнорируется в программах по
развитию финансовых рынков (Абрамов, 2014 стр. 55). Этот пробел необходимо
убрать, тщательно продумав механизмы развития. Стратегия развития должна
включать в себя механизмы продаж паев, которые на данный момент не являются
эффективными. В данном контексте централизация механизма дистрибуции паев, а
также увеличение свободы в переведении средств между фондами и управляющими
компаниями может существенно увеличить привлекательность рынка (Абрамов, 2014).
Еще одной проблемой отрасли
является закрытость информации по многим закрытым фондам, что способствует
созданию фондов с сомнительными активами и инвестиционными стратегиями.
Информационная непрозрачность большинства ПИФов в отрасли бросает тень на всю
отрасль в целом.
1.6 Обзор литературы, посвященной
исследованиям факторов, влияющих на доходность и приток инвестиций во взаимные
фонды
Факторы, влияющие на доходность
взаимных фондов
Влияние различных факторов на доходность взаимных
фондов - тема, достаточно хорошо освещенная в академических кругах, но при этом
не теряющая своей актуальности. Большинство из этих работ основано на данных по
рынку взаимных фондов США, что обусловлено его более ранним развитием и ранним
появлением хорошей статистической информации по этому рынку. В последнее время
появляется все больше работ, исследующих эти взаимосвязи на других рынках.
Рассмотрим подробнее факторы, на которых
наиболее часто останавливали свое внимание исследователи детерминант доходности
взаимных фондов.
Размер фонда.
Чаще всего в качестве меры размера фонда используется сумма его чистых активов
под управлением (СЧА). Большинство авторов сходятся в том мнении, что размер
фонда отрицательно влияет на его доходность (Chen, et al., 2004), (Berk, et
al., 2004), (Pollet, et al., 2008), (Yan, 2008), (Chou, et al., 2014). Одной из
причин такой зависимости может быть возрастание с ростом фонда издержек на
поддержание достаточной ликвидности паев. Интересно отметить, что подобная
зависимость наблюдается в работах по рынку США.
Так, Феррейра, Кесвани, Мигуель и Рамес
проверяли зависимость доходности фонда от его размеров на примере
кросс-секционной выборки из 27 стран и обнаружили, что избыточная доходность
мелких фондов выше только в США, в других странах зависимость обратная
(Ferreira, et al., 2013). При этом, тот факт, что фонды в США в среднем имеют
гораздо большие размеры, чем фонды за рубежом не играет роли: для более мелких
фондов США, сравнимых по размеру с зарубежными коллегами, зависимость остается
отрицательной, однако, она исчезает для тех американских фондов, которые
ориентированы на другие географические рынки (кроме Америки). Авторы также
склонны объяснять эту теорию за счет проблем ликвидности: фонды в США более склонны
к инвестированию в низко ликвидные активы, чем фонды по всему миру. Кроме того,
авторы полагают, что снятие географических ограничений на фонды открывает
широкие возможности, которые превалируют над эффектом масштаба и
"стирают" его.
Выводы Феррейра и соавторов подтверждаются и на
Российском рынке: для российских ПИФов присущ возрастающий эффект масштаба (Абрамов,
и др., 2014). Авторы предполагают, что на российском рынке проблема поддержания
ликвидности для крупных фондов не актуальна ввиду отсутствия паевых
супермаркетов. Кроме того, у крупных фондов есть неоспоримое преимущество перед
мелкими в выборе наиболее хорошего управляющего активами.
Эффект "умных денег".
Эффект "умных денег" или smart
money effect
заключается в предположении о том, что инвесторы обладают способностями и
возможностями для выявления успешных управляющих и поэтому направляют свои
деньги к ним. Таким образом, эффект "умных денег" подтверждается,
если у фонда наблюдается положительная зависимость между доходностью в текущем
периоде и притоком средств в предыдущем периоде. Наличие данной зависимости
было выявлено многими авторами. Так, например, Грубер и Женг показывают, что
фонды с положительным балансом продаж за последние 3 месяца показывают лучшие
результаты, чем фонды, имеющие отрицательный баланс продаж (Gruber, 1996)
(Zheng, 1999). Женг так же отмечает, что эффект умных денег носит краткосрочный
характер: после 30 месяцев зависимость разворачивается.
Наличие эффекта умных денег подтверждается не
только на рынке США: Феррейра находит, что этот эффект присутствует и в других
странах в его кросс-секционной выборке (Ferreira, et al., 2013), а Абрамов и
Акшенцева показывают, что эффект проявляется и для российских ПИФов (Абрамов, и
др., 2014).
Тем не менее, существует так же мнение, что
приток денег в предыдущие периоды не всегда имеет положительное влияние на
избыточную доходность текущего периода. Так, Каушик показывает, что для фондов,
инвестирующих в компании крупной капитализации, эффект отрицательный (Kaushik,
2012). Автор предполагает, что это может быть связано с большим потенциалом
роста компаний малых капитализаций по сравнению с компаниями крупной
капитализацией. Отрицательная зависимость так же проявляется в случае фондов
недвижимости, за счет проблем ликвидности: в случае низко ликвидных фондов
разместить быстро новые средства не получается, и они некоторое время лежат в
наличных деньгах, что занижает общую доходность фонда (Chou, et al., 2014).
Раковкси отмечает, что в вопросе влияние притока средств на доходность фонда
важен не сам приток, а его волатильность или неожиданность. Так, он показывает,
что при увеличении волатильности притока инвестиций или при неожиданном большом
притоке средств во взаимные фонды США их доходность уменьшается за счет
неготовности или неспособности быстро освоить эти новые средства (Rakowski,
2010).
Некоторые авторы считают, что проявление эффекта
умных денег не имеет ничего общего со способностью инвесторов к выявлению
наиболее успешных управляющих, а объясняется за счет моментум-эффекта. Иными
словами, инвесторы осознанно или неосознанно инвестируют деньги в те фонды,
которые показывали хорошие результаты в прошлом, а эти фонды, за счет наличия
моментум-эффектов, оставались в выигрыше и некоторое время после притока
инвестиций (Sapp, et al., 2004). Однако, возможно, такое поведение инвесторов
все же объясняет не весь эффект умных денег, а только его часть. Как показывает
Женг, эффект умных денег тесно связан, что не эквивалентен эффекту
"горячих денег", то есть вложению средств в недавних победителей
(Zheng, 1999).
Моментум-эффект.
Тема моментум-эффектов или устойчивости доходности фондов широко обсуждалась и
исследовалась многими авторами. Основная идея заключается в том, что если фонд
получал положительную доходность в текущем периоде, то он так же будет получать
положительную доходность в следующие периоды на определенном отрезке времени. К
подтверждению данного феномена приходили многие авторы. Хендрикс, Пател и
Зекхаузер, Гоетсман и Ибботсон, и Браун и Гоетсман, Чоу и Хардин находили, что
моментум-эффекты имеют краткосрочный характер и длятся от одного до трех лет (Hendricks,
et al., 1993) (Goetzmann, et al., 1994) (Brown, et al., 1995) (Chou, et al.,
2014). Гринблатт и Титман, Элтон, Грубер, Дас и Хлавка, Элтон, Грубер, Дас и
Блейк, Грубер находят, что взаимные фонды имеют устойчивых
"победителей" и "проигравших" на более длительном
промежутке времени, от пяти до десяти лет (Grinblatt, et al., 1992) (Elton, et
al., 1993) (Elton, et al., 1996) (Gruber, 1996). Такая длительная устойчивость
не может быть объяснена за счет обычных инвестиционных стратегий, в отличие от
краткосрочной устойчивости, и может свидетельствовать о наличие таланта у
менеджеров взаимных фондов и особенной способности к выбору ценных бумаг.
Вермерс и Гринблат, Титман и Вермерс показывают,
что наличие моментум-эффектов в доходности фондов объясняется за счет
использования этими фондами моментум-стратегий при торговле акциями (Wermers,
1996) (Grinblatt, et al., 1995). Гринблат, Титман и Вермерс также утверждают,
что фонды, следующие моментум-стратегиям при торговле акциями, получают более
высокую доходность (после вычета расходов и комиссий), чем остальные.
Однако, Кархарт приходит к другому результату:
выигрыш от использования моментум-стратегий поглощается увеличивающимися
брокерскими комиссиями, а наличие устойчивости в доходности фондов объясняется
тем, что у этих фондов были большие позиции в акциях-победителях прошлого года (Carhart,
1997). При этом, Кархарт подчеркивает, что это не сознательное поведение
менеджеров, желающих использовать моментум-эффект, а в определенном смысле
случайность.
В кросс-секционном исследовании Феррейра
подтверждает наличие краткосрочных моментум-эффектов у фондов в США, но при
этом не находят такой зависимости в других странах (Ferreira, et al., 2013).
Абрамов и Акшенцева проверяли данную зависимость на российском рынке ПИФов и
выявили, что избыточная доходность текущего года отрицательно зависит от
избыточной доходности предыдущего года (Абрамов, и др., 2014). Авторы
предполагают, что динамика развития управляющих компаний может приводить к
принятию более рискованных решений и, соответственно, к снижению доходности
фонда.
Возраст фонда.
Согласно Феррейра и соавторам, возраст фонда отрицательно влияет на его
избыточную доходность во всех странах, кроме США (Ferreira, et al., 2013). Этот
феномен может объясняться тем, что молодые фонды могут быть более агрессивны в
процессе инвестирования, так как им нужна хорошая доходность для привлечения
инвесторов. Абрамов и Акшенцева проверили данную зависимость на российских
паевых инвестиционных фондах и выявили отрицательное влияние возраста на
доходность фондов акций, при этом для фондов облигаций, смешанных и денежного
рынка наблюдалась положительная взаимосвязь (Абрамов, и др., 2014). Авторы
считают, что ввиду особенностей российского рынка, фонды акций могут
сознательно приукрашивать свою доходность в маркетинговых целях, а фонды
облигаций не склонны этим пользоваться, так как меньше ориентированы на
спекулятивных инвесторов.
Комиссии управляющим.
Некоторые авторы указывают, что повышение комиссий за управление не связано с
тем, что фонд способен генерировать большую доходность, то есть комиссии не
являются вознаграждением за компетентность (Haque, et al., 2015). Поэтому,
фонды с более высокими комиссиями за управление показывают более низкую
избыточную доходность по сравнению с фондами с более низкими комиссиями (Ruiz-Verdu,
et al., 2007). Кроме обычных комиссий за управление активами, авторы не обошли
вниманием и специфические виды комиссий, такие как комиссии при инвестировании
и при изъятии средств.
При рассмотрении влияния комиссий при изъятии
средств есть две основные гипотезы - гипотеза агентских издержек и гипотеза
ликвидности. Согласно гипотезе агентских издержек, более высокие комиссии при
погашении инвестиции будут иметь фонды, показывающие более низкую избыточную
доходность, для того, чтобы удержать инвесторов. Грин, Ходжес и Раковски на
выборке из 4569 американских взаимных фондов не подтвердили эту гипотезу, зато
нашли подтверждение гипотезе ликвидности, которая гласит, что менеджеры
используют комиссии при погашении для управления ликвидностью и снижения
издержек ликвидности, которые могут занижать доходность для инвесторов (Greene,
et al., 2007). Кархарт показывает, что размер так называемых load
fees, которые могут
принимать как форму единоразовых выплат при инвестировании или при изъятии
средств, так и ежегодных маркетинговых комиссий 12b-1,
отрицательно влияет на избыточную доходность фондов, возможно из-за увеличения
общих расходов при совершении сделки (Carhart, 1997).
Принадлежность к крупной управляющей
компании. Как показывают Чен, Хонг, Хуанг и Кубик, а
также Феррейра, Кесвани, Мигуель и Рамес, фонды, принадлежащие к более крупной
семье управляющих компаний, в среднем приносят инвестором более высокую
избыточную доходность, за счет экономии на комиссиях (Chen, et al., 2004)
(Ferreira, et al., 2013). На российском рынке данная закономерность не была
подтверждена (Абрамов, и др., 2014).
Продажа через брокеров. Бергстрессер, Чалмерс и
Туфано показали, что фонды, которые продавались через брокеров, а не напрямую
через управляющие компании, показывали более слабые результаты. С учетом того,
что за использование услуг брокера инвестор платит дополнительную комиссию,
выгоды от инвестирования через брокера должны быть, по-видимому,
нематериальными, например, помощь в построении индивидуального портфеля для
инвестора или повышение уверенности инвестора в его инвестиционном портфеле (Bergstresser,
et al., 2009). На российском рынке наблюдается положительная зависимость между
продажей фонда через агентов и его доходностью (Абрамов, и др., 2014). Это
может говорить о том, что наиболее доходные фонды продаются через брокеров, и,
возможно, стоит заплатить им дополнительную комиссию, но получить доступ к
более хорошему ПИФу.
Стиль управления.
В зависимость от того, склонен менеджер фонда к активному или пассивному
управлению, доходность фонда меняется. Вообще, жаркий спор о важности активного
управления разгорелся в экономических кругах в середине 80х годов, после
публикации работы Бринсона, Худа и Бибовера в 1986 году (Brinson, et al., 1986).
Авторы задались вопросом: так что же больше влияет на результат фонда,
стратегическое распределение активов или стратегии активного управления?
Согласно их работе, итоговая дисперсия в результатах фонда на 93,6% объясняется
стратегическим распределением активов (то есть пассивной стратегией), и лишь на
6,4% - всем остальным. Подобное утверждение имело широкий резонанс в научных и
практических кругах, так как фактически утверждало бесполезность активного
управления активами. Это породило множество как подтверждающих, так и
опровергающих результаты Бринсона исследований.
Многие исследователи пытались количественно
оценить влияние активного управления на результат фонда и большинство их них
пришли к выводу, что активное управление инвестиционным портфелем разрушает
стоимость. Так, например, Базу и Эндрюс исследовали выборку австралийских
пенсионных фондов по данным 2004-2012 годов с точки зрения баланса их доходов и
расходов и структуры распределения активов. В результате исследования они
показали, что в то время как результаты фонда не дотягивают до пассивных
результатов даже на гросс уровне, более высокие расходы фонда, возникающие
из-за активного управления, занижают нетто результат еще больше (Basu, et al.,
2014). Дрю и Станфорд также подтверждают этот результат, показывая на обзоре
исследований по США и Австралии, как активное управление разрушает стоимость и
ведет к ухудшению результата фондов относительно бенчмарка (Drew, et al., 2003).
Кархарт показывает, что высокая оборачиваемость
портфеля отрицательно влияет на его доходность. Так, каждая операция по
покупке-продаже актива в среднем снижает доходность портфеля на 95 базисных
пунктов (Carhart, 1997). Смешанные результаты по этому вопросу получил Каушик в
исследовании 2012 года на выборке американских взаимных фондов. Он показал, что
активное управление занижает доходность только для подвыборки фондов акций
большой капитализации, в то время как для фондов акций малой капитализации все
происходит наоборот (Kaushik, 2012).
На примере российских ПИФов гипотеза о том, что
активное управление разрушает стоимость, не подтвердилась. Напротив, для фондов
акций была отмечена положительная зависимость между оборачиваемостью фонда и
его доходностью, что показывает положительное влияние активного управления на
доходность фондов (Абрамов, и др., 2014).
Иерархия.
По мнению некоторых исследователей, крупные фонды со сложной иерархической
структурой страдают от неэффективности коммуникаций, при которой менеджерам
фонда приходится сначала убеждать других в своей правоте, и только потом делать
инвестицию. За это время цены могут сдвинуться и фонд совершит мене выгодную
сделку. Чен и соавторы находят подтверждение этой гипотезе на выборке
американских взаимных фондов, а Феррейра подтверждает его выводы на выборке из
27 разных стран (Chen, et al., 2004) (Ferreira, et al., 2013).
Макро-факторы.
Феррейра находит, что доходность фонда положительно зависит от уровня
финансового развития страны, а именно высокой торговой активности, низких
торговых издержек и высокого уровня защиты прав инвестора (Ferreira, et al.,
2013).
1.7 Факторы, влияющие на приток
средств во взаимные фонды
Выявление факторов, влияющих на
привлекательность фонда для инвесторов - очень важный процесс для понимания
инвесторов как группы людей и их поведения. Насколько они рациональны или,
наоборот, нерациональны, насколько они могут принимать осознанные решения, а
насколько наивны в своих ожиданиях, - ответы на эти вопросы можно получить
путем изучения притоков инвестиций во взаимные фонды. А это понимание, в свою
очередь, может помочь менеджерам фондов правильно выстроить структуру своих
фондов и привлечь дополнительные средства в отрасль.
Доходность предыдущих периодов.
Во всех исследованиях притока денежных средств в фонды этот показатель
неизменно признается как один из самых важных. Его влияние на приток средств в
фонды может быть объяснено тем, что доходность фонда - наиболее доступная, если
не единственная, возможность для розничных инвесторов оценить способности
менеджера фонда. Поэтому, когда фонд показывает хорошую доходность на
протяжении нескольких предшествующих периодов, уровень доверия инвесторов к
конкретному менеджеру повышается, и наблюдается приток инвестиций в фонд.
Однако многие авторы называют такой подход к инвестированию наивным, поскольку
считают, что доходность фондов в большей степени зависит от удачи, чем от
профессионализма управляющих.
При этом инвесторы часто ведут себя не совсем
рационально: в функции притока инвестиций наблюдается выпуклость в зоне убытков
фонда, что показывает, инвесторы по-разному реагируют на положительную и
отрицательную доходность фонда. В случае положительной доходности инвесторы
реагируют более бурно и инвестируют в фонд больше, а в случае отрицательной
доходности наоборот, реагируют вяло и медленно выводят деньги из фонда (Ippolito,
1992) (Chevalier, et al., 1997) (Goetzmann, et al., 1997) (Sirri, et al., 1998)
(Lynch, et al., 2003) (Berk, et al., 2004) (Sapp, et al., 2004). Ипполито,
Шевалье и Эллисон, Линч и Мусто, а также Чоу и Хардин считают, что большая
терпимость к убыткам фонда исходит из ожидания инвесторами смены портфельного
управляющего и инвестиционной стратегии фонда после провальных результатов (Ippolito,
1992) (Sirri, et al., 1998) (Lynch, et al., 2003) (Chou, et al., 2014).
Гоетсман и Пелес объясняют этот феномен тем, что инвесторы слабых фондов
впадают в состояние когнитивного диссонанса и сами вводят себя в заблуждение,
приукрашивая доходность фонда (Goetzmann, et al., 1997).
Однако поведение инвесторов не всегда
однозначно. Дженк и Ведоу отмечают, что хорошая доходность фонда не обязательно
приводит к притоку средств, потому что кривая оттока средств имеет форму "U":
инвесторы "наказывают" фонды за плохую доходность, выводя средства,
но в то же время, при очень хорошей доходности фонда инвесторы спешат вывести
деньги, зафиксировав таким образом прибыль (Jank, et al., 2013). А Альвес и
Мендес вообще не находят зависимости между результатами фондов и притоком инвестиций
на рынке португальских взаимных фондов, которое не объясняется сложностью рынка
или затратами на поиск информации (Alves, et al., 2011). Джаяраман, Корана и
Неллинг тоже не находят зависимости между притоком средств в фонд и плохой
предыдущей доходности фонда (Jayaraman, et al., 2002), авторы объясняют это
тем, что из-за того, что их работа сфокусирована на фондах, заключающих сделки
слияния и поглощения, все фонды имеют тенденцию к плохой доходности, что может
влиять на значимость влияния.
Абрамов и Акшенцева при изучении притоков
средств в российские ПИФы отмечают большую ориентацию российских инвесторов на
доходность текущего года, а не на доходность прошлых лет (Абрамов, и др., 2014).
По мнению авторов, данная закономерность может быть вызвана тем, что российские
инвесторы являются более краткосрочными, по сравнению с инвесторами на других
рынках.
Размер фонда.
Авторы указывают на отрицательную зависимость между размером фонда и притоком
денежных средств (Jayaraman, et al., 2002) (Sapp, et al., 2004) (Chou, et al.,
2014). Это может быть связано с отрицательной зависимостью между размером фонда
и его доходностью, как показано выше.
Возраст фонда.
Также отрицательная зависимость наблюдается между возрастом фонда и притоком
средств (Chou, et al., 2014). Берк и Грин говорят о том, что с возрастом фонда
инвесторы меньше реагируют на информацию о его доходности, так как накопленная
ранее информация дает все большее представление о возможностях фонда (Berk, et
al., 2004).
Принадлежность к крупной управляющей
компании. Авторы указывают на значительное положительное
влияние размера управляющей компании фонда на приток средств. Сирри и Туфано
указывают, что увеличение размера управляющей компании снижает издержки поиска
новых фондов для инвестирования (инвестор выбирает среди ряда фондов,
находящихся под управлением одной компании) (Sirri, et al., 1998), а Абрамов и
Акшенцева считают, что направление влияния положительное из-за того, что
крупным управляющим компаниям облегчен доступ к банкам как к дистрибьюторам
паев, соответственно становится более широким канал реализации, привлекающий
все больше инвесторов (Абрамов, и др., 2014). Эту теорию подтверждают
результаты Шинозава и Вивиан, которые нашли положительную зависимость между
наличием розничных банков как канала дистрибуции акций взаимных фондов и
притоком инвесторов в эти фонды на Японском рынке (Shinozawa, et al., 2015).
Дженк и Ведоу утверждают, что увеличение размера
управляющей компании изменяет саму функцию притока средств: фонды не только
испытывают больший приток средств при большей доходности, но и теряют больше
инвесторов при отрицательной доходности. Кроме того, стремление зафиксировать
прибыль при очень хорошей доходности так же увеличивается, и фонды,
показывающие очень хорошие результаты, испытывают более сильный отток (Jank, et
al., 2013).
Комиссии управляющим.
Связь между комиссиями за управление и притоком денежных средств носит
отрицательный характер (Jayaraman, et al., 2002) (Shinozawa, et al., 2015), при
этом, как показывают Сирри и Туфано, реакция инвесторов на комиссии
несимметрична: инвесторы по-разному реагируют на высокие и низкие комиссии, а
также на снижение и повышение комиссий (Sirri, et al., 1998). Однако, по их
мнению, фонды с высокими комиссиями (которые предположительно имеют более
активный маркетинг), испытывают более сильную взаимосвязь доходности и притока
средств, чем те, которые имеют более низкие комиссии.
Приток средств предыдущих периодов.
Чоу и Хардин замечают положительную взаимосвязь между притоком средств в
прошлые периоды и текущим притоком средств на выборке из американских фондов
недвижимости (Chou, et al., 2014). Возможно, это можно объяснить эффектом
доверия: если другие инвесторы приходят в фонд, значит они провели все
необходимые проверки и считают, что фонд должен обыгрывать рынок.
.8 Влияние сделок слияния и
поглощения на доходность и приток средств в фонды
В литературе выделяют три возможных мотива к
слиянию двух фондов: прекращение работы фонда с плохими результатами,
увеличение притока средств и желание использовать эффект масштаба для экономии
на издержках. Рассмотрим подробнее все три гипотезы.
Доходность.
Как отмечают Джаяраман, Корана и Неллинг и Корана, Туфано и Уэдж, плохая
доходность предыдущих периодов является значительным фактором, влияющим на
вероятность поглощения фонда в результате внутрисемейного слияния (Jayaraman,
et al., 2002) (Khorana, et al., 2007). Это согласуется с теорией о том, что
управляющие компании стремятся улучшить свою доходность, чтобы привлечь больше
инвесторов и поэтому стараются избавиться от тех фондов, которые показывают
плохие результаты. Тем не менее, как отмечает Джаяраман и соавторы, этот фактор
не играет большой роли в объяснении межсемейных сделок слияния, что может
объясняться тем, что при межсемейных сделках управляющие компании преследуют
стратегические цели, нежели ориентируются на доходность фондов (Jayaraman, et
al., 2002).
Помимо того, что прошлая доходность фонда влияет
на вероятность совершения сделки слияния, сам факт случившейся сделки влияет на
последующую доходность фондов. Джаяраман и соавторы показывают, что по этому
признаку основными бенефициарами сделок слияния является поглощаемые фонды, так
как их доходность улучшается после слияния, в то время как доходность
фондов-поглотителей снижается (Jayaraman, et al., 2002). Андреу и Сарто,
напротив, не находят подобной зависимости несмотря на то, что согласны с
Джаяраман в том, что поглощаемые фонды показывают более плохие результаты, чем
фонды-поглотители до слияния (Andreu, et al., 2013).
Приток средств.
Большинство исследователей сходятся во мнении, что до слияния поглощаемые фонды
испытывают нетто-отток средств (Jayaraman, et al., 2002) (Andreu, et al., 2013)
(Allen, et al., 2006)? При этом Джаяраман также отмечает отток средств у
фондов-поглотителей (хотя и меньший, чем у поглощаемых). Такие результаты
позволяют сделать предположение о том, что одним из мотивов к слиянию является
попытка остановить отток инвесторов. Тем не менее, слияние само по себе не
решает этой проблемы, так как отток средств сохраняется и даже увеличивается в
течение года после слияния (Jayaraman, et al., 2002). Немного к другому
результату приходят Андреу и Сарто, которые не обнаруживают значимого отличия в
притоках средств между выборками фондов, переживших слияние, и остальных
(Andreu, et al., 2013). При этом, они указывают на значительное увеличение
отдельно притоков и оттоков после слияния, что указывает на наличие некоего
эффекта на восприятие инвесторами фонда. Интересно, что при этом эффект
наблюдается только в денежном выражении, а в случае анализа прихода и ухода
инвесторов значимых эффектов не обнаружено.
Эффект масштаба.
В пользу гипотезы о влиянии эффекта масштаба говорят результаты Джаярамана о
том, что расходы поглощаемого фонда падают до уровней поглотителя после
слияния, а расходы фонда-поглотителя падают 2 года спустя (Jayaraman, et al.,
2002). К тому же, как показывает Пэрк, фонды больше предпочитают сливаться с
теми фондами, которые имеют одинаковые с ними каналы дистрибуции акций (через
посредников или напрямую через УК), что может указывать на желание получения
экономии на масштабе для расходов на маркетинг и продажи (Park, 2013). Более
того, он указывает на эффективность такого метода, так как после слияния те
фонды, которые имели одинаковые каналы дистрибуции, получают больший приток
средств по сравнению с остальными.
Помимо этого, авторы выделяют и другие факторы,
влияющие на вероятность совершения слияния. Так, Жао утверждает, что размер
фонда играет ключевую роль в принятии решения о слиянии: фонды с более
маленьким объемом активов имеют большую вероятность быть поглощенными (Zhao,
2005). Кроме того, он показывает, что вероятность ликвидации фонда с плохой
доходностью путем внутрисемейного слияния выше для крупных семей фондов, так
как для этих управляющих компаний выгоды от наличия отличной исторической
доходности перевешивают выгоды, получаемые в виде комиссий за управление с
этого фонда. Корана, Туфано и Уэдж замечают, что структура совет директоров
тоже может влиять на принятие решения о ликвидации фонда с плохой доходностью:
совет, состоящий из независимых директоров, менее терпим к плохой доходности и
более вероятно примет решение о слиянии (Khorana, et al., 2007).
В России мотивом к слиянию внутри семьи
выступало в основном желание получить экономию на масштабе. Так, президент
Национальной лиги управляющих (НЛУ) Дмитрий Александров отмечал, что
"администрирование фонда обходится дорого, и чем крупнее фонд, тем
выгоднее управление", а генеральный директор УК "Альфа-Капитал" Ирина
Кривошеева объясняла, что "Альфа-Капитал" объединяет фонды для
удобства продаж (Орлова, 2014). Такого же мнения придерживается и Владимир
Потапов, председатель совета директоров "ВТБ капитал управление
активами" (Орлова, 2014).
Выводы
Российские паевые инвестиционные фонды
переживают не лучший этап жизни, несмотря на то, что они в целом жизнеспособны
и показывают не самые плохие результаты. Отрасли в целом присущи следующие
особенности:
- Нетто-отток инвестиций начиная с
2009 года
- Тенденция к уходу средств в ЗПИФы
- Консолидация отрасли, волна
межсемейных сделок слияния, прошедших после поправок, внесенных в
законодательство
- Спекулятивные настроения инвесторов,
отсутствие долгосрочных инвестиций
- Отсутствие последовательной
стратегии развития отрасли
Исследования в области доходности и притока
средств во взаимные фонды начали проводиться давно, но большинство из работ
исследуют взаимосвязи на рынке взаимных фондов США, тогда как другим странам
уделялось меньше внимания. Некоторые исследователи показывают, что зависимости
для США уникальны, и не повторяются на других рынках.
Основными детерминантами доходности фонда
считаются доходность прошлого периода, приток инвестиций в прошлом периоде,
возраст фонда, размер фонда, расходы фонда. Основными детерминантами притока
инвестиций в фонды считается доходность прошлого периода, размер и возраст
фонда, размер комиссий и принадлежность к крупным управляющим компаниям.
Мотивами к сделкам слияния на рынке взаимных
фондов являются:
- Желание убрать из линейки фонды с
плохой доходностью
- Желание увеличить приток инвесторов
в фонды
- Желание получить экономию на
издержках благодаря эффекту масштаба
Глава 2. Однофакторный анализ:
эффект от слияния
Описание данных
В итоговую выборку вошли 83 открытых паевых
инвестиционных фонда, участвовавших в сделках слияния внутри семьи в 2014 и
2015 годах. Всего выборка состоит из 6216 фондо-месяцев. Сбор данных
осуществлялся с использованием информации Национальной Лиги Управляющих,
Московской биржи, аналитического агентства Cbonds,
базы данных CEIC, а также
отчетов управляющих компаний.
Данные включают в себя информацию о цене фонда,
о его типе, объеме средств под управлением, вознаграждении управляющей
компании, депозитария и других расходах, минимальной суммы инвестирования, дате
начала работы фонда, а также дате совершения сделки слияния. Период наблюдения
- 2007-2015 год, с интервалом в 1 месяц.
Далее были рассчитаны следующие показатели:
доходность фонда, приток инвестиций и избыточная доходность фонда.
Доходность фонда считалась по следующей формуле:
Где 
- доходность фонда за месяц t, 
- цена фонда в конце месяца t, 
- цена фонда в конце месяца t-1.
Так как изменение в стоимости
активов под управлением фонда отражает сумму доходности фонда и притока
инвестиций в него, то приток инвестиций за месяц t вычислялся
по следующей формуле:
Где 
- приток инвестиций за месяц t, 
- размер активов под управлением
фонда в конце месяца t, 
- размер активов под управлением
фонда в конце месяца t-1, а 
- размер активов на конец месяца t-1 под
управлением фонда, присоединяемого к рассматриваемому. Величина x отражает
наличие сделки слияния и определяется следующим образом:
Для вычисления избыточной доходности
фонды были поделены на 2 условные категории по своему типу: фонды категории
акций и индексные были отнесены в группу 1, а фонда категории облигаций,
денежного рынка и смешанных инвестиций были отнесены в группу 2. Избыточная
доходность вычислялась по формуле:
Где 
- избыточная доходность фонда в
период t, а 
- доходность бенчмарка,
определяемая следующим образом:
Таким образом, фондам категории 1 в
качестве бенчмарка приписывалась доходность индекса ММВБ, в то время как фондам
категории 2 приписывалась доходность индекса корпоративных облигаций Cbonds.
Описательная статистика выборки
представлена в таблице 1. Как видно из таблицы, большую часть выборки
составляют приобретаемые фонды: их 49 из 100. Это происходит потому, что
некоторые фонды-поглотители присоединяют к себе больше, чем один фонд. Всего
было рассмотрено 49 сделок слияния - Для более подробного описания фондов,
вошедших в выборку, см. Приложение.
|
Табл.
1. Описание выборки (Ежемесячные данные).
|
|
|
Все
|
Фонды-поглотители
|
Поглощаемые
фонды
|
Группа
1 (акций)
|
Группа
2 (облигаций)
|
|
Количество
фондов
|
83
|
34
|
49
|
52
|
31
|
|
Количество
наблюдений
|
6 216
|
2 768
|
3 448
|
3 985
|
2 231
|
|
Средний
размер СЧА, млн. руб.
|
378
|
519
|
265
|
410
|
321
|
|
Средняя
доходность
|
0.62%
|
0.83%
|
0.45%
|
0.68%
|
0.51%
|
|
Средняя
избыточная доходность
|
0.03%
|
0.16%
|
-0.07%
|
0.18%
|
-0.24%
|
|
Средний
приток средств
|
-1.08%
|
-0.62%
|
-1.45%
|
-0.92%
|
-1.37%
|
|
Средняя
комиссия за управление
|
2.73%
|
2.71%
|
2.75%
|
2.82%
|
2.57%
|
|
Источник:
расчеты автора
|
|
|
|
|
|
При подробном рассмотрении описательной
статистики в таблице 1 можно заметить, что в среднем для фондов-поглотителей
характерен более высокий размер (их СЧА почти в 2 раза выше аналогичного
показателя для поглощаемых фондов), более высокие средняя доходность и средняя
избыточная доходность, а также меньший отток средств. В целом, как можно
заметить, по всем фондам в выборке за рассматриваемый период наблюдается отток
средств, что может быть связано с общим оттоком средств из отрасли, как
показано в главе 1.
Мотивы к слиянию
Как было рассмотрено в Главе 1, существуют три
основных мотива к слиянию фондов: плохая доходность поглощаемого фонда, низкий
приток средств в поглощаемый фонд, и желание получить эффект масштаба и снизить
общие издержки управления. Таким образом, можно сформировать три гипотезы:
Гипотеза 1.
У поглощаемых фондов до поглощения наблюдается более низкая избыточная
доходность, чем у поглощающих фондов.
Гипотеза 2.
У поглощаемых фондов до поглощения наблюдается более низкий приток (более
высокий отток) средств, чем у поглощающих фондов
Гипотеза 3.
У поглощаемых фондов до поглощения наблюдается более высокий уровень общих
издержек (в процентах от СЧА), чем у поглощающих фондов.
Для того, чтобы протестировать эти гипотезы,
были рассчитаны средние показатели доходности и притока средств по каждому из
фондов за 3, 6, 9 и 12 месяцев до даты слияния. Далее эти показатели были
усреднены по подвыборкам фондов-поглотителей и поглощаемых фондов, с целью их
сравнения. В таблице 2 представлены результаты проверки гипотезы о более плохой
доходности поглощаемых фондов до даты слияния. Можно заметить, что избыточная
доходность как поглотителей, так и поглощающих положительная, что не сходится с
результатами Джярамана, который показывает, что фонды, участвующие в слиянии,
тяготеют к отрицательной доходности до сделки (Jayaraman, et al., 2002). Для
удобства восприятия поглощаемые фонды отмечены буквой "Т" (от
английского термина "target
fund"), а
фонды-поглотители отмечены буквой "А" (от термина "acquirer").
|
Табл.
2. Тестирование гипотезы о худших показателях доходности у поглощаемых
фондов, по сравнению с поглощающими фондами.
|
|
|
3
Месяца
|
6
Месяцев
|
9
Месяцев
|
12
Месяцев
|
|
|
T
|
A
|
T
|
A
|
T
|
A
|
T
|
A
|
|
Средняя
избыточная доходность
|
0.42%
|
0.56%
|
0.53%
|
0.69%
|
0.49%
|
0.48%
|
0.36%
|
0.40%
|
|
P-значение
Теста Стьюдента
|
38.82%
|
29.20%
|
49.47%
|
40.77%
|
|
Источник:
расчеты автора на основании данных НЛУ (www.nlu.ru)
|
Из таблицы 2 видно, что p-значение
одностороннего теста Стьюдента на всех временных промежутков очень велико, что
означает, что гипотеза о равенстве математических ожиданий не отвергается.
Исходя из этого, нельзя сделать вывод о том, что поглощаемые фонды показывали
худшую доходность по сравнению с фондами-поглотителями в течение года,
предшествующего слиянию. Результаты аналогичны и для более длинного промежутка
времени в 15 и 18 месяцев. Гипотеза 1 не подтверждается.
В таблице 3 представлены результаты схожего
теста, проведенного для показателя притока средств.
|
Табл.
3. Тестирование гипотезы о худших показателях притока средств у поглощаемых
фондов, по сравнению с поглощающими фондами.
|
|
|
3
Месяца
|
6
Месяцев
|
9
Месяцев
|
12
Месяцев
|
|
|
T
|
A
|
T
|
A
|
T
|
A
|
T
|
A
|
|
Средний
приток средств
|
-1.41%
|
-1.37%
|
-1.82%
|
-0.22%
|
-2.12%
|
0.02%
|
-2.44%
|
-1.02%
|
|
P-значение
Теста Стьюдента
|
47.47%
|
2.27%
|
0.04%
|
0.08%
|
|
Источник:
расчеты автора на основании данных НЛУ (www.nlu.ru)
|
Результаты этого теста показывают, что
подвыборки поглощаемых фондов и фондов-поглотителей имеют разные средние
значения притока инвесторов в фонд на промежутках в 6, 9 и 12 месяцев. P-значение
одностороннего теста Стьюдента маленькое, что позволяет отвергнуть гипотезу о
равенстве математических ожиданий притока средств в поглощаемые фонды и
фонды-поглотители на 3% уровне значимости для промежутка времени в 6 месяцев до
даты слияния и на 1% уровне значимости для 9 и 12 месяцев до даты слияния.
Результаты аналогичны для промежутка в 15 месяцев, но на промежутке в 18
месяцев гипотезу о равенстве математических ожиданий отвергнуть нельзя.
Гипотеза 2 подтверждается на промежутках от 6 до 15 месяцев.
Таким образом, можно сделать вывод о том, что
при ликвидации фонда путем слияния его с другим, управляющие компании
ориентируются на интерес к фонду со стороны инвесторов и избавляются от менее
привлекательных фондов.
К сожалению, для проверки гипотезы о мотиве
экономии на масштабе нельзя прибегнуть к такому же способу: данные об издержках
фонда публикуются в отчетности компаний, которая не выходит так часто.
Благодаря этому, можно проверить гипотезу о влиянии издержек поглощаемого фонда
на принятие решения о слиянии на промежутках времени с интервалом в 1 год. В
таблице 4 представлены результаты проверки этой гипотезы на интервалах в 1 год
до слияния и 2 года до слияния.
|
Табл.
4. Проверка гипотезы о больших издержках у поглощаемых фондов, по сравнению с
поглощающими фондами.
|
|
|
1
Год
|
2
Года
|
|
|
T
|
A
|
T
|
A
|
|
Средние общие
издержки
|
3.66%
|
3.48%
|
3.62%
|
3.52%
|
|
P-значение
Теста Стьюдента
|
12.79%
|
21.14%
|
|
Источник:
расчеты автора на основании данных отчетности УК
|
На основании высокого P-значения
для одностороннего теста Стьюдента нельзя сделать вывод о неравенстве средних
издержек по подвыборкам поглощаемым и поглощающим фондам, и гипотеза 3 не
находит своего подтверждения.
Таким образом, на основании проведенных тестов
можно предполагать, что управляющие компании при принятии решения о слиянии ориентируются
на показатели притока инвесторов, а значит, скорее всего желают улучшить этот
показатель в среднем, оставляя более привлекательные фонды.
2.1 Результаты слияния
С учетом того, что при проведении слияния
управляющие компании пытались добиться притока инвесторов, как было показано в
предыдущем параграфе, представляется интересным проверить, насколько успешным
оказалась эта попытка, а также, на сколько повлияло данное событие на другие
показатели фонда. К сожалению, мы не можем рассмотреть влияние совершения
сделки слияния на издержки фонда, поскольку многие фонды совершили такие сделки
в 2015 году и по ним еще нет данных об издержках даже через год после слияния.
Поэтому, будем рассматривать влияние слияния на избыточную доходность фонда и
на приток инвесторов, а именно будем тестировать следующие гипотезы:
Гипотеза 4.
Поглощаемые и поглощающие фонды увеличивают показатели избыточной доходности
после слияния.
Гипотеза 5.
Поглощаемые и поглощающие фонды испытывают больший приток инвесторов после слияния.
Традиционно в литературе сравниваются показатели
до слияния с показателями после слияния для двух подвыборок фондов: поглощающих
и поглощаемых. В таблице 5 представлены результаты исследования изменения
средней избыточной доходности как для поглощаемых, так и для поглощающих
фондов.
Для этой цели по каждому фонду были рассчитаны
средняя избыточная доходность за 3 (6, 9) месяцев до и за 3 (6, 9) месяцев
после слияния и далее эти средние значения были усреднены по всей подвыборке.
Здесь нужно отметить об одном важном отличии классических исследования о
слиянии и поглощении компаний и исследований о слиянии и поглощении фондов. При
слиянии двух публичных компаний поглощаемая компания не перестает существовать
и, соответственно, ее акции тоже. Таким образом, действительно можно сравнить
поведение акций поглощаемой компании до и после самого поглощения. Однако, это
не подходит к случаю фондов: поглощаемый фонд перестает существовать после
поглощения и по нему нельзя наблюдать отдельной доходности или отдельного
притока инвесторов. Поэтому, в литературе по данной тематике используется
единственный возможный выход из данной ситуации: поглощаемым фондам, как и
поглощающим, после даты поглощения присваивается статистика нового
объединенного фонда.
|
Табл.
5. Влияние слияния на показатели избыточной доходности поглощаемых и
поглощающих фондов.
|
|
3М-
|
3М+
|
6М-
|
6М+
|
9М-
|
9М+
|
|
Средняя
избыточная доходность поглощаемых фондов
|
0.42%
|
2.20%
|
0.53%
|
1.20%
|
0.49%
|
0.76%
|
|
P-значение
Теста Стьюдента
|
0.18%
|
5.13%
|
6.80%
|
|
|
|
|
|
|
|
|
Средняя
избыточная доходность поглощающих фондов
|
0.56%
|
2.20%
|
0.69%
|
1.20%
|
0.48%
|
0.76%
|
|
P-значение
Теста Стьюдента
|
0.11%
|
8.54%
|
3.81%
|
|
Источник:
расчеты автора на основании данных НЛУ (www.nlu.ru)
|
|
|
|
|
|
|
|
|
|
|
|
Из таблицы 5 можно заметить, что гипотеза об
увеличении избыточной доходности после поглощения фондов подтверждается для
обеих подвыборок фондов на всех горизонтах на 10% уровне значимости, а,
например, для 3 месяцев, даже на 1% уровне значимости.
Из этого можно сделать вывод о том, что оба
фонда, как поглощающий, так и поглощаемый, выигрывают от сделки слияния и
показывают более хорошие результаты доходности после него, гипотеза 4
подтверждается.
Однако, следует с осторожностью относиться к
результатам этого теста относительно подвыборки поглощаемых фондов, помня о
том, что это не сравнение динамики пая фонда до и после события, а сравнение
динамики пая одного фонда до события и другого - после. Данные результаты можно
считать абсолютно верными только в случае предположения о том, что поглощаемый
фонд "встраивается" в инвестиционную стратегию поглощающего фонда, и
становится его частью без существенных изменений в инвестиционных идеях. И хотя
можно считать, что хотя бы часть активов поглощенного фонда останется
неизменными, предположение об абсолютной неизменности является не очень
реалистичным.
В таблице 6 показаны результаты тестирования
гипотезы относительно изменений в притоке средств. Первое, на что нужно
обратить внимание - это на то, что средние показатели притока средств по обеим
подвыборкам фондов меньше после слияния. Это означает, что гипотеза 5
точно опровергается: в ней говорится об обратной зависимости. Однако нужно
проверить, подтверждается ли статистически то, что после слияния фонды
испытывают меньший приток средств (а в нашем случае - больший отток). С учетом
этого нужно переформулировать гипотезу:
Гипотеза 5.1.
Поглощаемые и поглощающие фонды испытывают меньший приток инвесторов
после слияния.
|
Табл.
6. Влияние слияния на показатели притока средств в поглощаемые и поглощающие
фонды
|
|
|
|
3М-
|
3М+
|
6М-
|
6М+
|
9М-
|
|
Средний
приток средств поглощаемых фондов
|
-1.41%
|
-3.29%
|
-1.82%
|
-2.57%
|
-2.12%
|
-2.02%
|
|
P-значение
Теста Стьюдента
|
1.08%
|
14.63%
|
42.39%
|
|
|
|
|
|
|
|
|
Средний
приток средств поглощающих фондов
|
-1.37%
|
-3.29%
|
-0.22%
|
-2.57%
|
0.02%
|
-2.02%
|
|
P-значение
Теста Стьюдента
|
0.16%
|
0.36%
|
0.12%
|
|
Источник:
расчеты автора на основании данных НЛУ (www.nlu.ru)
|
|
|
|
|
|
|
|
|
|
|
|
Как видно из таблицы 6, гипотеза 5.1
подтверждается частично: для поглощающих фондов она верна на 1% уровне
значимости для всех периодов, а для поглощаемых она верна только на периоде в 3
месяца.
То, что для поглощаемых фондов гипотеза не
подтверждается, следует из подтверждения гипотезы 2: у поглощаемых фондов до
слияния приток средств был значительно меньше, чем у поглощающих. Таким
образом, можно сделать вывод о том, что желание управляющих компаний поднять
степень инвестиционной привлекательности поглощаемого фонда до уровня
поглощающего фонда не оправдалось. Более того, все произошло наоборот: приток
инвесторов в объединенном фонде снизился настолько, что стал статистически
неотличим от притока инвесторов в поглощенный фонд до слияния.
Данная зависимость вызывает определенное
удивление, с учетом подтверждения гипотезы 4 об увеличении доходности фондов
после слияния. Это поднимает вопрос относительно рациональности поведения
российских инвесторов: доходность фондов после объединения выросла, а инвесторы
продолжают уходить с новой силой.
Выводы
На российском рынке паевых инвестиционных фондов
наблюдается определенная зависимость между показателями доходности и притока
средств для поглощающих и поглощаемых фондов. Поглощаемые фонды в среднем
показывают худшие результаты доходности, хотя этот фактор нельзя считать
определяющим при решении о слиянии, так как на периоде в 12 месяцев до даты
слияния различия в избыточной доходности поглощающих и поглощаемых фондов
незначимо.
Напротив, теория о мотиве к сделке слияния,
заключающемся в притоке средств, подтверждается, так как поглощаемые фонды
показывают существенно более низкий приток средств как в среднем по выборке,
так и в течение 12 месяцев перед слиянием.
В результате межсемейных слияний на рынке ПИФов
в России, доходности как поглощаемых, так и поглощающих фондов вырастают:
эффект прослеживается на промежутке времени от 3 до 9 месяцев после даты
слияния.
Однако, по всей видимости, российских инвесторов
реорганизация фондов пугает больше, чем привлекают возросшие доходы: после
слияния притоки средств в фонды заметно снизились.
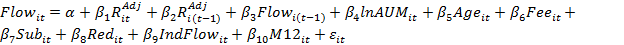
Глава 3. Многофакторный анализ
Для выявления влияния различных факторов на
избыточную доходность и приток средств в фонды использовалась линейная
регрессионная модель на базе модели, использованной Джаяраманом, Кораной и
Неллингом, которые предложили использовать дамми-переменные, показывающие факт
наличия сделки слияния в прошлом. В данном анализе использовались данные с
интервалом в 1 год, для возможности включения фактора издержек фонда и фактора
объема финансовых инвестиций в Российской Федерации (в качестве
прокси-переменной, показывающей состояние российского финансового рынка).
Описание выборки, используемой для многофакторного анализа приведено в таблице
7.
|
Табл.
7. Описание выборки (Годовые данные).
|
|
|
Все
|
Фонды-поглотители
|
Поглощаемые
фонды
|
Группа
1 (акций)
|
Группа
2 (облигаций)
|
|
Количество
фондов
|
83
|
34
|
49
|
52
|
31
|
|
Количество
наблюдений
|
591
|
266
|
325
|
380
|
211
|
|
Средний
размер СЧА, млн. руб.
|
394
|
556
|
262
|
425
|
339
|
|
Средняя
доходность
|
12.88%
|
15.49%
|
10.74%
|
14.91%
|
9.21%
|
|
Средняя
избыточная доходность
|
12.08%
|
14.71%
|
9.93%
|
14.07%
|
8.68%
|
|
Средний
приток средств
|
-1.58%
|
5.55%
|
-7.42%
|
-0.34%
|
-3.80%
|
|
Средняя
комиссия за управление
|
2.74%
|
2.71%
|
2.76%
|
2.83%
|
2.58%
|
|
Средний
размер общих расходов
|
3.46%
|
3.41%
|
3.49%
|
3.55%
|
3.29%
|
|
Источник:
расчеты автора
|
|
|
|
|
|
Из таблицы 7 видно, что при укрупнении выборки
до годовых периодов основные зависимости сохраняются: положительная доходность
и избыточная доходность по всей выборке, при этом большая доходность у
поглощающих фондов, чем у поглотителей. Средний приток средств у поглощающих
фондов остался положительным, а у поглощаемых - отрицательным.
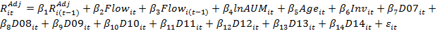
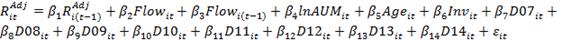
.1 Факторы, влияющие на избыточную доходность
российских ПИФов
В качестве факторов, которые могут оказывать
влияние на динамику избыточной доходности российских ПИФов за год, были выбраны
следующие переменные:
1. Избыточная доходность
предыдущего года. Предполагается положительное
влияние данной переменной на объясняемую, в соответствии с теорией
краткосрочной устойчивости результатов фондов лет (Hendricks, et al., 1993)
(Goetzmann, et al., 1994) (Brown, et al., 1995) (Chou, et al., 2014).
2. Приток средств текущего года
и приток средств предыдущего года. Предполагается
наличие положительной взаимосвязи с объясняемой переменной, в соответствии с
теорией умных денег (Gruber, 1996) (Zheng, 1999) (Ferreira, et al., 2013)
(Абрамов, и др., 2014).
3. Размер чистых активов фонда.
Предполагается положительное влияние на избыточную доходность с учетом
результатов Феррейра на развивающихся рынках и Абрамова и Акшенцевой на
российском (Ferreira, et al., 2013) (Абрамов, и др., 2014). Используется
логарифмированная переменная, так как это помогает уменьшить асимметрию
величины, а также приблизить распределение остатков регрессии к нормальным
(Ратникова, и др., 2014).
4. Общие расходы фонда, в
процентном отношении к СЧА. Предполагается отрицательная
зависимость в соответствии с результатами Кархарта (Carhart, 1997).
5. Участие в сделке слияния в
предыдущем году. Предполагается, что данный фактор
должен иметь положительное влияние на избыточную доходность фонда за счет
улучшения эффективности работы фондов (Jayaraman, et al., 2002) и в
соответствии с тестами, проведенными выше.
6. Объем финансовых инвестиций
в России в текущем году. Используется в качестве
индикатора состояния финансового рынка.
Таким образом, будут тестироваться следующие
гипотезы.
Гипотеза 6.
Избыточная доходность предыдущего года российских ПИФов положительно влияет на
их избыточную доходность в текущем году.
Гипотеза 7.
Приток средств в российские ПИФы в текущем году положительно влияет на их
избыточную доходность в текущем году.
Гипотеза 7.1.
Приток средств в российские ПИФы в предыдущем году положительно влияет на их
текущую избыточную доходность.
Гипотеза 8.
Размер чистых активов ПИФа положительно влияет на его текущую избыточную
доходность
Гипотеза 9.
Возраст ПИФа отрицательно влияет на его текущую избыточную доходность.
Гипотеза 10.
Общие расходы ПИФа находятся в отрицательной зависимости с его текущей
избыточной доходностью.
Гипотеза 11.
Факт присоединения к изучаемому ПИФу другого фонда в прошлом году положительно
влияет на его текущую избыточную доходность.
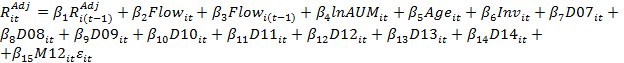
Для тестирования этих гипотез были построены
следующие модели (модель (1) предназначена для тестирования гипотез 6-10;
модель (2) - для тестирования гипотез 6-11, при добавлении эффекта от слияния):
(1): 
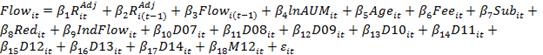
(2): 
Где 
- избыточная доходность фонда в
текущем периоде, 
- избыточная доходность фонда в
предыдущем периоде, 
- приток средств в фонд в текущем
периоде, 
- приток средств в фонд в
предыдущем периоде, 
- логарифм чистых активов фонда, 
- возраст фонда с момента его
основания, 
- совокупные расходы фонда в
процентном отношении к чистым активам, 
- объем финансовых инвестиций в РФ
в текущем периоде, 
- дамми-переменная, принимающая
следующие значения:
При тестировании на данных, модель
(1) показывает удовлетворительное значение скорректированного R2 (11.36%),
и значимость коэффициентов перед избыточной доходностью и притоком средств в
предыдущие периоды, а также размером фонда и объемом финансовых инвестиций в
России в текущем году. Однако данная модель показала высокую
мультиколлинеарность из-за коррелированности одного из регрессоров (размера
фонда) со свободным членом (см. табл. 8). Показатели VIF (variance inflation factor) считаются
нормальными, если они не превышают 10 (в некоторых источниках - 30).
|
Табл.
8. Показатели VIF в модели (1)
|
|
Переменная
|
VIF
|
1/VIF
|
|
Свободный
член
|
219.16
|
0.004563
|
|
lnAUM
|
183.22
|
0.005458
|
|
Exp
|
13.36
|
0.074825
|
|
Inv
|
7.87
|
0.127034
|
|
Age
|
7.14
|
0.140102
|
|
Flowt-1
|
1.11
|
0.897719
|
|
RAdjt-1
|
1.09
|
0.919758
|
|
Flowt
|
1.06
|
0.942245
|
|
Среднее
значение VIF
|
54.25
|
|
|
Источник:
расчеты автора
|
|
|
Данные результаты означают, что эти два
показателя на большую часть включают в себя информацию друг о друге и можно
избавиться от одного из них, не потеряв объясняющей силы модели. Было решено
избавиться от свободного члена, в результате чего объясняющая сила модели (R2)
увеличилась до 14.75%. Однако показатели VIF
по-прежнему оставались довольно высокими для коэффициентов перед размером фонда
и его общими расходами. С учетом того, что коэффициент перед общими расходами
был незначимым, было решено убрать его. В таблице 9 представлены коэффициенты
перед регрессорами в модели (1) - исходной модели, в модели (1.1) - модели без
свободного члена и в модели (1.2) - без свободного члена и переменной общих
расходов фонда.
|
Табл.
9. Результаты тестирования моделей (1), (1.1) и (1.2)
|
|
Переменная
|
(1)
|
|
(1.1)
|
|
(1.2)
|
|
|
RAdjt-1
|
-0.2883
|
***
|
-0.2748
|
***
|
-0.2739
|
***
|
|
Flowt
|
-0.0421
|
|
-0.0359
|
|
-0.0352
|
|
|
Flowt-1
|
-0.0134
|
**
|
-0.0125
|
**
|
-0.0123
|
**
|
|
Exp
|
0.0129
|
|
-0.0118
|
|
-
|
|
|
lnAUM
|
0.0604
|
***
|
0.0208
|
***
|
0.0189
|
***
|
|
Age
|
-0.0073
|
|
-0.0022
|
|
-0.0029
|
|
|
Inv
|
-0.000002
|
**
|
-0.000003
|
***
|
-0.000003
|
***
|
|
Свободный
член
|
-0.8466
|
***
|
-
|
|
-
|
|
|
Скорректированный
R2
|
0.1172
|
|
0.1510
|
|
0.1519
|
|
|
F-статистика
|
12.19
|
***
|
16.02
|
***
|
18.64
|
***
|
|
Звездочки
показывают уровень значимости: *** - 1%, ** - 5%, * - 10% Источник: расчеты
автора
|
Показатели VIF
в модели 1.2 стали значительно ниже (см. табл. 10), а ее объясняющая сила
значительно увеличилась.
|
Табл.
10. Показатели VIF в модели (1.2)
|
|
Переменная
|
VIF
|
1/VIF
|
|
Inv
|
6.94
|
0.144134
|
|
Age
|
6.64
|
0.150606
|
|
lnAUM
|
6.06
|
0.165037
|
|
Flowt-1
|
1.11
|
0.904724
|
|
RAdjt-1
|
1.07
|
0.93513
|
|
Flowt
|
1.05
|
0.953825
|
|
Среднее
значение VIF
|
3.81
|
|
|
Источник:
расчеты автора
|
|
|
С учетом того, что наши данные включают в себя
период с 2007 по 1015 год, то есть включают такие сложные с финансовой точки
зрения года, как 2008 и 2009, необходимо учесть влияние временных эффектов на
доходность российских ПИФов. Для этого были построены дамми-переменные D07-D14:
Таким образом, итоговая модель имеет следующий
вид:
(1.3):

Где 
- избыточная доходность фонда в
текущем периоде, 
- избыточная доходность фонда в
предыдущем периоде, 
- приток средств в фонд в текущем
периоде, 
- приток средств в фонд в
предыдущем периоде, 
- логарифм чистых активов фонда, 
- возраст фонда с момента его
основания, 
- объем финансовых инвестиций в РФ
в текущем периоде, D07-D14 - дамми-переменные,
позволяющие учесть временные эффекты.
Результаты оценивания модели (1.3)
представлены в таблице 11.
|
Табл.
11.
Результаты тестирования модели (1.3)
|
|
Переменная
|
(1.3)
|
|
|
RAdjt-1
|
-0.0648
|
|
|
Flowt
|
0.0411
|
**
|
|
Flowt-1
|
-0.0016
|
|
|
lnAUM
|
0.0212
|
***
|
|
Age
|
-0.0086
|
**
|
|
Inv
|
-0.0000
|
|
|
D07
|
-0.3044
|
**
|
|
D08
|
-0.9776
|
***
|
|
D09
|
0.8131
|
***
|
|
D10
|
-0.0385
|
|
|
D11
|
-0.4542
|
***
|
|
D12
|
-0.3227
|
***
|
|
D13
|
-0.2861
|
***
|
|
D14
|
-0.2000
|
***
|
|
Скорректированный
R2
|
0.7965
|
|
|
F-статистика
|
166.24
|
***
|
|
Звездочки
показывают уровень значимости: *** - 1%, ** - 5%, * - 10% Источник: расчеты
автора
|
Включение в модель временных эффектов оказалось
оправданным, так как значимость модели сильно увеличилась, R2
вырос до 79.65%, а значение F-статистики
выросло до 166.24 (с 18.64 в модели 1.2).
Помимо этого, мы видим, что все коэффициенты
перед дамми-переменными (кроме дамми для 2010 года) показывают высокий уровень
значимости. Как и предполагалось, 2008 год оказывает самое сильное влияние на
результаты, понижая их в среднем на 0.98, что не удивительно, так как именно в
этот год разгорелся мировой финансовый кризис. Помимо этого, очень высокое
влияние показывает коэффициент перед 2009 годом - он положительный
(единственный из всех лет), что показывает восстановление фондов после сильного
провала 2008 года.
Включение в модель временных эффектов понизило
значимость некоторых коэффициентов: так, незначимым стал коэффициент перед
избыточной доходностью предыдущего периода, а также притока средств в
предыдущем периоде и объема финансовых инвестиций в России в целом. Напротив,
значимость коэффициентов перед притоком средств в текущем периоде и возрастом
фонда увеличилась.
Приток средств в текущем году положительно
влияет на доходность фондов, что может говорить о наличии эффекта "умных
денег" на российском рынке. Тем не менее, более вероятной кажется версия
Сапп и Тивари о том, что инвесторы "наивно" преследуют недавних
"победителей" (Sapp, et al., 2004). Такого же мнения придерживаются
Абрамов и Акшенцева (Абрамов, и др., 2014). Несмотря на то, что модель (1.3) не
подтверждает наличие моментум-эффекта на российском рынке, это не значит, что
его не существует. Модель рассматривает лищь годовые периоды, что не дает мало
информации о том, как ведет себя избыточная доходность фондов внутри года.
Кроме того, значимость коэффициента перед текущим притоком средств в фонды, а
не перед притоком предыдущего периода, говорит о большей ориентации российских
инвесторов на краткосрочную доходность, что может косвенно указывать на
возможность наличия краткосрочных моментум-эффектов. Это согласуется с мнением
Абрамова и Акшенцевой о большей спекулятивности российских инвесторов по
сравнению с иностранными (Абрамов, и др., 2014).
Наличие эффекта масштаба, то есть положительное
влияние размера фонда на его результат согласуется с результатами Феррейра на
развивающихся рынках (Ferreira, et al., 2013). Кроме того, отсутствие
повышенных издержек по поддержанию ликвидности для более крупных фондов может
быть связано с отсутствием паевых супермаркетов на российском рынке (Абрамов, и
др., 2014).
Отрицательный коэффициент перед возрастом фонда
согласуется с литературой по данной тематике (Ferreira, et al., 2013) (Абрамов,
и др., 2014). В данной модели не зафиксировано изменение знака коэффициента
перед возрастом фонда для подвыборки облигаций. Для регрессии на подвыборках
фондов акций и облигаций направление влияния всех рассматриваемых факторов
остается неизменным, правда ухудшается значимость показателей. Это может быть
связано с размерами исследуемой выборки.
Таким образом, при тестировании модели (1.3) на
данных были подтверждены гипотезы 7, 8 и 9, в то время как гипотезы 6, 7.1 и 10
не нашли своего подтверждения.
Проверка гипотезы 11 подразумевает добавление в
модель фактора, отвечающего за наличие сделки слияния в течение последних 12 месяцев.
Так как для подвыборки поглощающих фондов зависимость факторов сохраняется,
модель (2) модифицируется схожим образом.
(2.1):

Где 
- избыточная доходность фонда в
текущем периоде, 
- избыточная доходность фонда в
предыдущем периоде, 
- приток средств в фонд в текущем
периоде, 
- приток средств в фонд в
предыдущем периоде, 
- логарифм чистых активов фонда, 
- возраст фонда с момента его
основания, 
- объем финансовых инвестиций в РФ,
D07-D14 -
дамми-переменные, позволяющие учесть временные эффекты, 
- дамми-переменная, учитывающая
сделки слияния в прошлом.
Результаты оценивания данной модели
не сильно отличаются от результатов модели (1.3), хотя значимость некоторых
коэффициентов убавилась. Оцененные коэффициенты перед регрессорами показаны в
таблице 12, для удобства рядом указаны коэффициенты модели (1.3).
|
Табл.
12. Результаты тестирования моделей (1.3) и (2.1).
|
|
Переменная
|
(1.3)
|
|
(2.1)
|
|
|
RAdjt-1
|
-0.0648
|
|
-0.0649
|
|
|
Flowt
|
0.0411
|
**
|
0.0411
|
**
|
|
Flowt-1
|
-0.0016
|
|
-0.0015
|
|
|
lnAUM
|
0.0212
|
***
|
0.0216
|
***
|
|
Age
|
-0.0086
|
**
|
-0.0086
|
**
|
|
Inv
|
-0.0000
|
|
-0.0000
|
|
|
D07
|
-0.3044
|
**
|
-0.3097
|
**
|
|
D08
|
-0.9776
|
***
|
-0.9820
|
***
|
|
D09
|
0.8131
|
***
|
0.8082
|
***
|
|
D10
|
-0.0385
|
|
-0.0426
|
|
|
D11
|
-0.4542
|
***
|
-0.4573
|
***
|
|
D12
|
***
|
-0.3258
|
***
|
|
D13
|
-0.2861
|
***
|
-0.2889
|
***
|
|
D14
|
-0.2000
|
***
|
-0.1976
|
***
|
|
M12
|
|
|
-0.0134
|
|
|
Скорректированный
R2
|
0.7965
|
|
0.7962
|
|
|
F-статистика
|
166.24
|
***
|
154.91
|
***
|
|
Звездочки
показывают уровень значимости: *** - 1%, ** - 5%, * - 10% Источник: расчеты
автора
|
Как видно из таблицы 12, направление влияния
значимых факторов осталось тем же, а значения коэффициентов изменились не
сильно. Участие фонда в слиянии в течение последних 12 месяцев не оказывает
значимого влияния на избыточную доходность фонда. Гипотеза 11 не находит своего
подтверждения.
Таким образом, было обнаружено положительное
влияние на избыточную доходность фонда таких показателей как приток инвестиций
в текущем периоде и размер фонда, в то время как возраст фонда оказывает
значимое отрицательное влияние на его избыточную доходность. Доходность и
приток средств в прошлом периоде не оказывают значимого влияния на текущую
избыточную доходность, как и общие расходы фонда, и его участие в сделке
слияния в течение последних 12 месяцев.
3.2
Факторы, влияющие на приток средств в российские ПИФы
Для анализа динамики притока средств в
российские ПИФы были выбраны следующие факторы:
1. Избыточная доходность
текущего и предыдущего года. Предполагается
положительное влияние данной переменной на объясняемую, в соответствии с
рациональным поведением инвесторов и ориентацией на фонды, показывающие хорошие
результаты.
2. Приток средств предыдущего
года. Предполагается положительная зависимость, так
как приток средств от других инвесторов может служить индикатором доверия к
фонду (Chou, et al., 2014).
3. Размер чистых активов фонда.
Предполагается положительное влияние на приток средств с учетом особенностей
российского рынка. Инвесторы в России больше склонны доверять большим компаниям
и большим фондам, а издержки ликвидности фондов в России не увеличиваются с
увеличением размера фонда (Абрамов, и др., 2014).
4. Возраст фонда.
Предполагается отрицательная взаимосвязь с притоком средств в фонды, связанная
с меньшей эффективностью более зрелых фондов (Ferreira, et al., 2013).
5. Комиссии за управление
фондом. Предполагается отрицательная зависимость в
соответствии с результатами Джаярамана и Шинозава (Jayaraman, et al., 2002)
(Shinozawa, et al., 2015).
6. Комиссии при покупке паев.
Предполагается отрицательная зависимость в соответствии с накладыванием
ограничения на приток средств. В качестве данной переменной выбирается
максимально возможная комиссия, так как чаще всего это комиссия, взимаемая с
самых маленьких объемов инвестиций, а значит уплачиваемая большим числом
розничных инвесторов.
7. Комиссии при продаже паев.
Предполагается положительная зависимость в соответствии с накладыванием
ограничения на отток средств. В качестве данной переменной выбирается
максимально возможная комиссия, так как чаще всего это комиссия, взимаемая с
самых маленьких объемов инвестиций, а значит уплачиваемая большим числом
розничных инвесторов.
8. Участие в сделке слияния в
предыдущем году. Предполагается, что данный фактор
должен иметь отрицательное влияние на приток средств, как показывает
однофакторный анализ ранее
9. Приток средств в фонды
данной категории. Контрольная переменная,
рассчитываемая как средний приток средств в фонды данной категории (акций или
облигаций) в ткущем году.
Таким образом, будут проверяться следующие
гипотезы.
Гипотеза 12.
Избыточная доходность текущего года положительно влияет на текущий приток
средств в российские ПИФы.
Гипотеза 12.1.
Избыточная доходность предыдущего периода положительно влияет на текущий приток
средств в российские ПИФы.
Гипотеза 13.
Приток инвестиций в ПИФы в предыдущем году положительно влияет на приток
инвестиций в текущем году.
Гипотеза 14.
Размер чистых активов ПИФа положительно влияет на его текущий приток средств.
Гипотеза 15.
Возраст фонда отрицательно влияет на его текущий приток средств.
Гипотеза 16.
Комиссии за управление фондом отрицательно влияют на приток средств в него.
Гипотеза 17.
Комиссия при покупке паев (надбавка) отрицательно влияет на приток инвестиций в
фонды.
Гипотеза 18. Комиссии
при продаже паев (скидка) положительно влияют на приток инвестиций в фонды.
Гипотеза 19.
Участие фонда в сделке слияния в течение предыдущих 12 месяцев отрицательно
влияет на приток инвестиций в фонд.
Для тестирования этих гипотез были построены
модели (3) и (4). Как и в случае с моделями (1) и (2), модель (3) предназначена
для тестирования гипотез 12-18, а модель (4) проверяет влияние добавления
переменной, показывающей наличие сделки слияния в прошлом и предназначена для
тестирования гипотез 12-19.
(3):

(4):

Где 
- приток средств в фонд в текущем
периоде, 
- избыточная доходность фонда в
текущем периоде, 
- избыточная доходность фонда в
предыдущем периоде, 
- приток средств в фонд в
предыдущем периоде, 
- логарифм чистых активов фонда, 
- возраст фонда с момента его
основания, 
- комиссия за управление, 
- комиссия при покупке паев
(надбавка), 
- комиссия при погашении паев
(скидка), 
- средний приток средств в фонды
данной категории, 
- дамми-переменная, принимающая
следующие значения:
В модели (3), как и в модели (1)
наблюдалась значительная корреляция свободного члена с одним из регрессоров
(коэффициент VIF = 173.03).
После удаления свободного члена из модели проблема мультиколлинеарности отпала.
Дополнительно, как и в случае с моделью (1), добавление временных эффектов в
модель улучшает ее значимость, хотя значимость самих временных эффектов низкая.
Таким образом, конечный вариант модели выглядит следующим образом:
(3.2):

В таблице 13 представлены оценки
коэффициентов в моделях (3), (3.1) - модель без свободного члена и (3.2) -
модель без свободного члена и с временными эффектами.
|
Табл.
13. Результаты тестирования моделей (3), (3.1) и (3.2).
|
|
|
|
Переменная
|
(3)
|
|
(3.1)
|
|
(3.2)
|
|
|
RAdjt
|
-0.0102
|
|
0.0031
|
|
0.2471
|
**
|
|
RAdjt-1
|
0.0892
|
*
|
0.0967
|
*
|
0.1504
|
|
|
Flowt-1
|
-0.0026
|
|
-0.0024
|
|
-0.0060
|
|
|
lnAUM
|
0.0371
|
**
|
0.0166
|
***
|
0.0233
|
***
|
|
Age
|
-0.0464
|
***
|
-0.0460
|
***
|
-0.0526
|
***
|
|
Fee
|
-0.0432
|
|
-0.0439
|
|
-0.0424
|
|
|
Sub
|
-0.0661
|
*
|
-0.0644
|
*
|
-0.0723
|
**
|
|
Red
|
0.0532
|
|
0.0477
|
|
0.0494
|
|
|
IndFlow
|
0.3339
|
***
|
0.3571
|
***
|
0.2362
|
|
|
D07
|
|
|
|
|
0.0674
|
|
|
D08
|
|
|
|
|
0.1185
|
|
|
D09
|
|
|
|
|
-0.4914
|
***
|
|
D10
|
|
|
|
|
-0.2920
|
*
|
|
D11
|
|
|
|
|
-0.1213
|
|
|
D12
|
|
|
|
|
-0.0598
|
|
|
D13
|
|
|
|
|
-0.0920
|
|
|
D14
|
|
|
|
|
-0.0615
|
|
|
Свободный
член
|
-0.3881
|
|
|
|
|
|
|
Скорректированный
R2
|
0.1360
|
|
0.1343
|
|
0.1487
|
|
|
F-статистика
|
11.31
|
***
|
11.19
|
***
|
15.38
|
***
|
|
Звездочки
показывают уровень значимости: *** - 1%, ** - 5%, * - 10% Источник: расчеты
автора
|
|
|
Как видно из таблицы 13, включение временных
эффектов делает значимым коэффициент перед доходностью текущего периода.
Коэффициент положительный, значит инвесторы реагируют на доходность
положительно, как и предполагалось. Как и в предыдущем случае, несмотря на то,
что в классической литературе исследуется зависимость приток средств от
доходности предыдущего периода, для российских инвесторов большее значение
имеет текущая доходность, ввиду их большей ориентации на краткосрочные
вложения.
Коэффициент перед размером фонда также
положительный и значимый, что говорит о том, что российские инвесторы больше
склонны доверять большим фондам, чем мелким. Этот результат противоположен
выводу большинства исследований (Jayaraman, et al., 2002) (Sapp, et al., 2004)
(Chou, et al., 2014), однако это соотносится с результатами модели (1.3),
которая показывает, что доходность фонда положительно зависит от его размера.
Соответственно, инвесторы ведут себя рационально, вкладывая деньги в более
крупные фонды.
Возраст фонда оказывает отрицательное значение
на приток инвестиций в него, что соотносится с результатами других исследований
(Chou, et al., 2014) (Абрамов, и др., 2014).
Как и предполагалось, комиссии при покупке паев
значимо влияют на приток средств в фонды, уменьшая его. Это объясняется
ограничением притока средств в связи с тем, что инвесторы не желают платить
дополнительные комиссии. При переменной комиссии за погашение фонда коэффициент
незначим, что может говорить о том, что инвесторы больше реагируют на комиссии
при входе. Комиссии за управление фондом также не оказывают значимого эффекта
на приток средств, что противоречит логике и результатам других исследований.
Отсутствие данного эффекта можно объяснить сосредоточением выборки на малом
количестве управляющих компаний, внутри которых существует маленькая вариация
комиссий за управление фондами. Возможно, увеличение выборки помогло бы сделать
этот эффект более заметным.
Из всех временных эффектов значимым оказывается
эффект 2009 года, когда после потерь 2008 года инвесторы бросились забирать
инвестиции из фондов, опасаясь дальнейшего ухудшения положения, и 2010 года -
по-видимому отток, связанный с тем, что многие фонды отыграли или почти
отыграли проигранное в 2008, а инвесторы решили зафиксировать прибыль (или
убытки на низком уровне).
Таким образом, в результате оценивания модели
(3.2), были подтверждены гипотезы 12, 14, 15 и 17, в то время как гипотезы
12.1, 13,16 и 18 подтверждены не были.
Для тестирования влияния наличия сделки слияния
в прошлом в модель (4) были добавлены временные эффекты, так как они усиливают
значимость модели. Таким образом, окончательная модель принимает следующий вид:
(4.1):

Результаты оценивания данной модели
представлены в таблице 14, для удобства сравнения там же приведены результаты
модели (3.2).
|
Табл.
14. Результаты тестирования моделей (3.2) и (4.1).
|
|
Переменная
|
(3.2)
|
|
(4.1)
|
|
|
RAdjt
|
0.2471
|
**
|
0.2469
|
**
|
|
RAdjt-1
|
0.1504
|
|
0.1506
|
|
|
Flowt-1
|
-0.0060
|
|
-0.0060
|
|
|
lnAUM
|
0.0233
|
***
|
0.0236
|
***
|
|
Age
|
-0.0526
|
***
|
-0.0526
|
***
|
|
Fee
|
-0.0424
|
|
-0.0428
|
|
|
Sub
|
-0.0723
|
**
|
-0.0730
|
**
|
|
Red
|
0.0494
|
|
0.0499
|
|
|
IndFlow
|
0.2362
|
|
0.2366
|
|
|
D07
|
0.0674
|
|
-0.0633
|
|
|
D08
|
0.1185
|
|
0.1148
|
|
|
D09
|
-0.4914
|
***
|
-0.4945
|
***
|
|
D10
|
-0.2920
|
*
|
-0.2956
|
*
|
|
D11
|
-0.1213
|
|
-0.1250
|
|
|
D12
|
-0.0598
|
|
-0.0631
|
|
|
D13
|
-0.0920
|
|
0.0952
|
|
|
D14
|
-0.0615
|
|
-0.0525
|
|
|
M12
|
|
|
-0.0323
|
|
|
Скорректированный
R2
|
0.1487
|
|
0.1473
|
|
|
F-статистика
|
15.38
|
***
|
15.30
|
***
|
|
Звездочки
показывают уровень значимости: *** - 1%, ** - 5%, * - 10% Источник: расчеты
автора
|
Включение в модель фактора, отвечающего за факт
наличия сделки слияния в прошлом, не изменяет направления связи в регрессии.
Сам факт наличия сделки слияния не оказывает значимого влияния на приток
средств в фонды. Возможно сказывается недостаточный объем выборки, а возможно,
устойчивые результаты, полученные в однофакторном анализе ранее, объяснялись
другими переменными, при учете влияния которых влияние слияния нивелировалось.
Это соотносится с результатами Джаярамана о том, что инвесторы не сразу
положительно реагируют на проведение сделок слияния, ожидая получения больше
информации о поведении доходности нового фонда (Jayaraman, et al., 2002).
Возможно, при увеличении горизонта после сделки можно будет выявить влияние
данного фактора.
Таким образом, гипотеза 18, об отрицательном
влиянии сделок межсемейного слияния фондов на российском рынке, не
подтверждается.
Таким образом, на приток инвестиций в российские
ПИФы положительно влияют доходность текущего периода и размер активов под
управлением фонда. Отрицательное влияние выявлено у переменных возраста фонда и
размера комиссий при покупке паев. Влияние доходности предыдущего года, притока
инвестиций в предыдущем году, размера комиссий управляющему и комиссий при
погашении паев фонда признано незначимым.
Значимое отрицательное влияние на приток средств
оказывает временной эффект в 2009 и 2010 году.
Модели (1.3), (2.1), (3.2) и (4.1) также
модифицировались путем добавления в них фиксированных и случайных эффектов для
учета панельной структуры данных. Однако тесты Вальда (для выбора между моделью
с фиксированными эффектами и сквозной регрессией, т.е. моделью (1.3)) и
Бройша-Пагана (для выбора между моделью со случайными эффектами и сквозной
регрессией) показали, что сквозная регрессия лучше объясняет зависимость
избыточной доходности от рассматриваемых факторов. Данный результат был
ожидаем, так как в изучаемой панели мало периодов, а для данных такого формата
редко применяются модели, учитывающие панельную структуру данных.
Выводы
В результате исследования детерминант избыточной
доходности российский паевых инвестиционных фондов, было выявлено положительное
влияние следующих факторов:
- Приток средств текущего периода
- Размер фонда
Отрицательно на доходность влияет фактор
возраста фонда.
Это подтверждает спекулятивную направленность
российских инвесторов, их ориентацию на краткосрочный результат, а также более
высокое доверие к крупным фондам. Значимого эффекта от наличия сделки слияния в
прошлом году обнаружено не было. Временные эффекты имеют очень высокую
значимость, что косвенно указывает на сильную зависимость фондов от внешних
факторов.
При анализе факторов, влияющих на приток
инвестиций в фонды, было выявлено положительное влияние текущей доходности и
размера фонда и отрицательное влияние возраста фонда и размера надбавок.
Временные эффекты значимы только в период после кризиса (2009 и 2010 год) и
имеют отрицательное влияние.
Заключение
В данной работе был проведен анализ факторов,
влияющих на доходность и приток средств в российские паевые инвестиционные
фонды и направление влияния этих факторов.
На российском рынке выявлено наличие
краткосрочного эффекта "умных денег" (наблюдается положительная
зависимость избыточной доходности от притока средств текущего периода), однако
влияние этого фактора можно объяснить предположительно наличием краткосрочного
моментум-эффекта. Кроме того, положительное влияние на доходность фондов
оказывает размер фонда, что говорит о том, что эффект от возможности нанять
более хорошего управляющего на российском рынке нивелирует эффект возрастающих
издержек по поддержанию ликвидности паев, в отличие от американского рынка.
Выявлено наличие отрицательной зависимости между размером фонда и его
доходностью.
Что касается факторов, влияющих на приток
средств в фонды, выявлено положительное влияние доходности текущего периода и
размера фонда, что подтверждает спекулятивную направленность российских
инвесторов и высокий уровень доверия к крупным фондам. Возраст фонда и размер
его надбавок отрицательно влияет на приток инвесторов.
В обоих случаях выявлено значимое влияние
временных эффектов, что говорит о сильной зависимости индустрии от внешних
факторов, причем не только крупных шоков, таких как мировой финансовый кризис.
Влияние эффекта сделок слияния неоднозначно:
однофакторный анализ показал значимое увеличение доходности после сделки и
снижение притока инвестиций, однако многофакторная модель не выявила значимой
зависимости. Возможное объяснение этому факту - недостаточный размер выборке и
период, прошедший с момента последней волны консолидации рынка.
Список
использованной
литературы
1. Allen D. E., Parwada
J. T. Investors' response to mutual fund company mergers //International
Journal of Managerial Finance. - 2006. - Т. 2. - №. 2. - С. 121-135.
. Alves C., Mendes V.
Does performance explain mutual fund flows in small markets? The case of
Portugal //Portuguese Economic Journal. - 2011. - Т. 10. - №. 2. - С. 129-147.
. Andreu L., Sarto J. L.
Financial consequences of mutual fund mergers //The European Journal of
Finance. - 2013. - С. 1-22.
. Basu A., Andrews S.
Asset allocation policy, returns and expenses of superannuation funds: recent
evidence based on default options //Australian Economic Review. - 2014. - Т.
47. - №. 1. - С. 63-77.
. Bergstresser D.,
Chalmers J. M. R., Tufano P. Assessing the Costs and Benefits of Brokers in the
Mutual Fund Industry //Review of Financial Studies. - 2009. - Т. 22. - №. 10. -
С.
4129-4156.
. Berk J. B., Green R.
C. Mutual fund flows and performance in rational markets // Journal of
Political Economy. - 2004. - Т.
112. - №. 6. - С.
1269-1295.
. Brinson G. P., Hood L.
R., Beebower G. L. Determinants of portfolio performance //Financial Analysts
Journal. - 1995. - Т. 51. - №. 1. - С. 133-138.
. Brown S. J., Goetzmann
W. N. Performance persistence //The Journal of Finance. - 1995. - Т. 50. - №.
2. - С. 679-698.
. Carhart M. M. On
persistence in mutual fund performance //The Journal of Finance. - 1997. - Т.
52. - №. 1. - С. 57-82.
. Chen J., Hong H.,
Huang M., Kubik J. Does fund size erode mutual fund performance? The role of
liquidity and organization //American Economic Review. - 2004. - Т. 94. - №. 5.
- С. 1276-1302.
. Chevalier J., Ellison
G. Risk Taking by Mutual Funds as a Response to Incentives. // Journal of
Political Economy. - 1997. T. 105. - №. 6.
. Chou W. H., Hardin III
W. G. Performance chasing, fund flows and fund size in real estate mutual funds
// The Journal of Real Estate Finance and Economics. - 2014. - Т. 49. - №. 3. -
С. 379-412.
. Drew M. E., Stanford
J. D. Is there a positive relationship between superannuation fund costs and
returns? //Economic Papers: A Journal of Applied Economics and Policy. - 2003.
- Т. 22. - №. 3. - С. 74-84.
. Elton E., Gruber M.,
Das S., Hlavka M. Efficiency with costly information: A reinterpretation of
evidence from managed portfolios //Review of Financial studies. - 1993. - Т. 6.
- №. 1. - С. 1-22.
. Elton E. J., Gruber M.
J., Das S., Blake C. R. The persistence of risk-adjusted mutual fund
performance. - 1995. // Journal of Business. - 1996. - T. 69. - С. 133-157.
. Ferreira M., Keswani
A., Miguel A., Ramos S. The Determinants of Mutual Fund Performance: A
Cross-Country Study // Review of Finance. - 2013. - Т.
17. - С.
483-525.
. Goetzmann W. N., Peles
N. Cognitive dissonance and mutual fund investors // Journal of Financial Research.
- 1997. - Т. 20. - №. 2. - С. 145-158.
. Goetzmann W..,
Ibbotoson R. G. Do winners repeat? Patterns in mutual fund performance
//Journal of Portfolio Management. - 1994. - Т. 20. - №. 9. - С. 2.
. Greene J. T., Hodges
C. W., Rakowski D. A. Daily mutual fund flows and redemption policies //Journal
of Banking & Finance. - 2007. - Т. 31. - №. 12. - С. 3822-3842.
. Grinblatt M., Titman
S., Wermers R. Momentum investment strategies, portfolio performance, and
herding: A study of mutual fund behavior //The American Economic Review. -
1995. - С. 1088-1105.
. Grinblatt M., Titman
S. The persistence of mutual fund performance //The Journal of Finance. - 1992.
- Т. 47. - №. 5. - С. 1977-1984.
. Gruber M. J. Another
puzzle: The growth in actively managed mutual funds //The Journal of Finance. -
1996. - Т. 51. - №. 3. - С. 783-810.
. Haque T., Ahmed A. D.
The Relationship between Australian Mutual Fund Fees and Risk‐Adjusted
Performance in Differing Economic Conditions //Australian Economic Papers. -
2015. - Т. 54. - №. 1. - С. 1-21.
. Hendricks D., Patel
J., Zeckhauser R. Hot hands in mutual funds: Short‐run
persistence of relative performance, 1974-1988 //The Journal of Finance. -
1993. - Т. 48. - №. 1. - С. 93-130.
. Investment Company
Institute. Investment Company Fact Book: A Review of Tredns and Activities in
the U.S. Investment Company Industry. - 2015. - p. 312.
. Ippolito R. A.
Consumer reaction to measures of poor quality: Evidence from the mutual fund
industry //The Journal of Law & Economics. - 1992. - Т. 35. - №. 1. - С.
45-70.
. Jank S., Wedow M.
Purchase and redemption decisions of mutual fund investors and the role of fund
families //The European Journal of Finance. - 2013. - Т. 19. - №. 2. - С.
127-144.
. Jayaraman N., Khorana
A., Nelling E. An analysis of the determinants and shareholder wealth effects
of mutual fund mergers //The Journal of Finance. - 2002. - Т. 57. - №. 3. - С.
1521-1551.
. Kaushik A. The impact
of flow of funds and management style on abnormal performance //Journal of
Asset Management. - 2012. - Т. 13. - №. 5. - С. 327-338.
. Khorana A., Tufano P.,
Wedge L. Board structure, mergers, and shareholder wealth: A study of the
mutual fund industry //Journal of Financial Economics. - 2007. - Т. 85. - №. 2.
- С. 571-598.
. Lynch A. W., Musto D.
K. How investors interpret past fund returns //The Journal of Finance. - 2003.
- Т. 58. - №. 5. - С. 2033-2058.
. Park M. Understanding
merger incentives and outcomes in the US mutual fund industry //Journal of
Banking & Finance. - 2013. - Т. 37. - №. 11. - С. 4368-4380.
. Pollet J. M., Wilson
M. How does size affect mutual fund behavior? //The Journal of Finance. - 2008.
- Т. 63. - №. 6. - С. 2941-2969.
. Rakowski D. Fund Flow
Volatility and Performance //Journal of Financial and Quantitative Analysis. -
2010. - Т. 45. - №. 01. - С. 223-237.
35. Ruiz-Verdú P.,
Gil-Bazo J. Yet Another Puzzle? The Relation between Price
and Performance in the Mutual Fund Industry // Universidad Carlos III de Madrid
Business Economics Working Paper. - 2007. - №. 06-65.
. Sapp T., Tiwari A.
Does stock return momentum explain the "smart money" effect? //The
Journal of Finance. - 2004. - Т. 59. - №. 6. - С. 2605-2622.
. Shinozawa Y., Vivian
A. Determinants of money flows into investment trusts in Japan //Journal of
International Financial Markets, Institutions and Money. - 2015. - Т. 37. - С.
138-161.
. Sirri E. R., Tufano P.
Costly search and mutual fund flows //The Journal of Finance. - 1998. - Т. 53.
- №. 5. - С. 1589-1622.
. Wermers R. Momentum
Investment Strategies of Mutual Funds, Performance Persistence, and
Survivorship Bias // University of Colorado at Boulder Working Paper. - 1996.
. Yan X. S. Liquidity,
investment style, and the relation between fund size and fund performance
//Journal of Financial and Quantitative Analysis. - 2008. - Т. 43. - №. 03. -
С. 741-767.
. Zhao X. Exit decisions
in the US mutual fund industry // The Journal of Business. - 2005. - Т.
78. - №. 4 - С.
1365-1402.
. Zheng L. Is money
smart? A study of mutual fund investors' fund selection ability //The Journal
of Finance. - 1999. - Т. 54. - №. 3. - С. 901-933.
43. Абрамов А.Е. Экономика
инвестиционных фондов. - М.: Издательский дом "Дело" РАНХиГС, 2015.
. Абрамов А.Е. Инвестиционные
фонды: Доходность и риски, стратегии управления портфелем, объекты
инвестирования в России. - М.: Альпина Бизнес Букс, 2005.
. Абрамов А.Е.
Институциональные инвесторы в мире: особенности деятельности и политика
развития: в 2 кн.: кн. 1 //М.: Издательский дом "Дело" РАНХиГС. -
2014.
. Абрамов А., Акшенцева К.
Развитие взаимных фондов в России //Pοlιtικα.
- 2014. - С. 35.
. Батяева Т.А., Столяров И.И.
Рынок ценных бумаг. - М.: ИНФРА-М, 2008.
. Камнева К. Техника слияния
// Российская бизнес газета. - 12 Февраля 2013 г. - Т. 833 - №. 5.
. Коваль Л. Как пользоваться
инвестиционными счетами // Ведомости. - 30 Января 2015 г.
. Орлова Ю. ПИФов становится
меньше // Ведомости. - 25 Июня 2014 г.
. Орлова Ю. ЦБ упростил
объединение фондов // Ведомости. - 11 Февраля 2014 г.
. Ратникова Т., Фурманов К.
Анализ панельных данных и данных о длительности состояний. - М.: Издательский
дом Высшей школы экономики - 2014.
Приложение
|
N
|
Дата
объед.
|
Название
управляющей компании
|
Поглощаемый
фонд
|
Поглощающий
фонд
|
|
|
|
Название
фонда
|
Тип*
|
Год
осн.
|
Комис.
УК
|
Макс.
надбавка
|
Макс.
скидка
|
Название
фонда
|
Тип*
|
Год
осн.
|
Комис.
УК
|
Макс.
надбавка
|
Макс.
скидка
|
|
1
|
16.06.2015
|
Паллада
Эссет Менеджмент
|
Паллада
- фонд акций второго эшелона
|
А
|
2000
|
3.5
|
1
|
2
|
Гранат
|
C
|
2004
|
3.54
|
0
|
1.5
|
|
2
|
20.02.2015
|
Паллада
Эссет Менеджмент
|
Паллада-фонд
акций
|
А
|
2000
|
3
|
0
|
0.472
|
Гранат
|
C
|
2004
|
3.54
|
1.5
|
|
3
|
06.10.2014
|
Паллада
Эссет Менеджмент
|
Паллада
- фонд смешанных инвестиций
|
С
|
2001
|
3
|
1
|
1.5
|
Гранат
|
C
|
2004
|
3.54
|
0
|
1.5
|
|
4
|
06.10.2014
|
Паллада
Эссет Менеджмент
|
Паллада
- Индекс ММВБ
|
И
|
2007
|
1.28
|
1
|
1.5
|
Изумруд
- Индекс ММВБ
|
И
|
2007
|
1.5
|
0
|
1.5
|
|
5
|
11.09.2014
|
Паллада
Эссет Менеджмент
|
Аметист
|
О
|
2007
|
1.28
|
1
|
1.5
|
Сапфир
|
O
|
2004
|
1.5
|
0
|
1.5
|
|
6
|
20.02.2015
|
Паллада
Эссет Менеджмент
|
Паллада
- Природные ресурсы
|
С
|
2004
|
3
|
1
|
1.5
|
Гранат
|
C
|
2004
|
3.54
|
0
|
1.5
|
|
7
|
10.11.2014
|
Паллада
Эссет Менеджмент
|
Паллада
- Энергетика
|
А
|
2006
|
3
|
0
|
1.5
|
Гранат
|
C
|
2004
|
3.54
|
0
|
1.5
|
|
8
|
10.11.2014
|
Паллада
Эссет Менеджмент
|
Паллада
- Созидание
|
С
|
2004
|
3
|
1
|
1.5
|
Гранат
|
C
|
2004
|
3.54
|
0
|
1.5
|
|
9
|
16.10.2014
|
Брокеркредитсервис
|
БКС
- Валютные Инвестиции
|
О
|
2013
|
1.5
|
1
|
0
|
БКС
- Зарубежные Фонды
|
Ф
|
2014
|
2
|
1
|
0
|
|
10
|
02.10.2014
|
Брокеркредитсервис
|
БКС
- Глобальные Металлы
|
А
|
2007
|
3
|
1
|
0
|
БКС
- Глобальные Рынки
|
Ф
|
2004
|
3
|
1
|
0
|
|
11
|
16.10.2014
|
Брокеркредитсервис
|
БКС
- Глобальная Нефть
|
А
|
2007
|
3
|
1
|
0
|
БКС
- Глобальные Рынки
|
Ф
|
2004
|
3
|
1
|
0
|
|
12
|
10.06.2014
|
Сбербанк
Управление Активами
|
Сбербанк
- Нефтегазовый сектор
|
А
|
2007
|
3.2
|
1.2
|
1
|
Сбербанк
- Природные ресурсы
|
А
|
2007
|
3.2
|
1
|
2
|
|
13
|
10.06.2014
|
Сбербанк
Управление Активами
|
Сбербанк
- Инфраструктура
|
А
|
2011
|
3.2
|
1.2
|
1
|
Сбербанк
- Электроэнергетика
|
А
|
2007
|
3.2
|
1
|
2
|
|
14
|
10.06.2014
|
Сбербанк
Управление Активами
|
Сбербанк
- Агросектор
|
А
|
2011
|
3.2
|
1.2
|
1
|
Сбербанк
- Потребительский сектор
|
А
|
2007
|
3.2
|
1
|
2
|
|
15
|
10.06.2014
|
Сбербанк
Управление Активами
|
Сбербанк
- Фонд акций первого эшелона
|
А
|
2011
|
3.2
|
1.2
|
1
|
Сбербанк
- Фонд акций "Добрыня Никитич"
|
А
|
2000
|
3.2
|
1
|
2
|
|
16
|
10.06.2014
|
Сбербанк
Управление Активами
|
Сбербанк
- Фонд Сбалансированный II
|
С
|
2011
|
3.1
|
1.2
|
0.5
|
Сбербанк
- Фонд Сбалансированный
|
С
|
2001
|
3.1
|
1
|
2
|
|
17
|
29.05.2015
|
Энергокапитал
|
Энергокапитал-Индекс
ММВБ
|
И
|
2006
|
1.18
|
0
|
3
|
Энергокапитал
- мировые рынки
|
А
|
2013
|
3.5
|
0
|
3
|
|
18
|
13.07.2015
|
Энергокапитал
|
Энергокапитал
- накопительный
|
С
|
2001
|
5.5
|
0
|
3
|
Энергокапитал
-сбалансированный
|
С
|
2000
|
5
|
0
|
3
|
|
19
|
07.08.2014
|
ВТБ
Капитал Управление активами
|
Волхонка
- фонд облигаций
|
О
|
2005
|
1
|
0
|
1.5
|
ВТБ
- Фонд Казначейский
|
О
|
2003
|
1
|
0
|
2
|
|
20
|
17.07.2014
|
ВТБ
Капитал Управление активами
|
Рождественка
|
С
|
2003
|
3.2
|
0
|
1.5
|
ВТБ
- Фонд Сбалансированный
|
С
|
2007
|
2.5
|
0
|
2
|
|
21
|
24.07.2014
|
ВТБ
Капитал Управление активами
|
Манежная
площадь - фонд акций
|
А
|
2005
|
3.2
|
0
|
1.5
|
ВТБ
- Фонд Акций
|
А
|
2007
|
3
|
0
|
2
|
|
22
|
24.07.2014
|
ВТБ
Капитал Управление активами
|
Красная
площадь - Акции компаний с государственным участием
|
А
|
2005
|
3.2
|
0
|
1.5
|
ВТБ
- Фонд Предприятий с государственным участием
|
А
|
2007
|
3
|
0
|
2
|
|
23
|
24.07.2014
|
ВТБ
Капитал Управление активами
|
Биржевая
площадь - Индекс ММВБ
|
И
|
2004
|
1.8
|
0
|
1.5
|
ВТБ
- Индекс ММВБ
|
И
|
2005
|
1.2
|
0
|
2
|
|
24
|
18.07.2014
|
ВТБ
Капитал Управление активами
|
Триумфальная
площадь - фонд предприятий нефтегазового сектора
|
А
|
2006
|
3.2
|
0
|
1.5
|
ВТБ
- Фонд нефтегазового сектора
|
А
|
2007
|
3
|
0
|
2
|
|
25
|
24.07.2014
|
ВТБ
Капитал Управление активами
|
Останкино
- фонд телекоммуникаций
|
А
|
2006
|
3.2
|
0
|
1.5
|
ВТБ
- Фонд Телекоммуникаций
|
А
|
2007
|
3
|
0
|
2
|
|
26
|
07.08.2014
|
ВТБ
Капитал Управление активами
|
Замоскворечье
- фонд энергетики
|
2006
|
3.2
|
0
|
1.5
|
ВТБ
- Фонд Электроэнергетики
|
А
|
2007
|
3
|
0
|
2
|
|
27
|
24.07.2014
|
ВТБ
Капитал Управление активами
|
Звездный
бульвар - звезды БРИК
|
А
|
2006
|
3.2
|
0
|
1.5
|
ВТБ
- БРИК
|
А
|
2000
|
2.5
|
0
|
2
|
|
28
|
07.08.2014
|
ВТБ
Капитал Управление активами
|
Трубная
площадь - фонд металлургии
|
А
|
2006
|
3.2
|
0
|
1.5
|
ВТБ
- Фонд Металлургии
|
А
|
2007
|
3
|
0
|
2
|
|
29
|
07.08.2014
|
ВТБ
Капитал Управление активами
|
Охотный
ряд - фонд предприятий потребительского сектора
|
А
|
2007
|
3.2
|
0
|
1.5
|
ВТБ
- Фонд Потребительского сектора
|
А
|
2007
|
3
|
0
|
2
|
|
30
|
10.12.2014
|
Альфа-Капитал
|
Альфа-Капитал
Акции
|
А
|
2003
|
3.5
|
1.4
|
1.5
|
Альфа-Капитал
Ликвидные акции
|
А
|
2005
|
3.1
|
1.4
|
1.5
|
|
31
|
03.10.2014
|
Альфа-Капитал
|
Альфа-Капитал
Смешанные инвестиции
|
С
|
2005
|
2
|
1.4
|
1.5
|
Альфа-Капитал
Сбалансированный (Баланс)
|
С
|
2006
|
2.8
|
1.4
|
1
|
|
32
|
14.10.2014
|
ТКБ
БНП Париба Инвестмент Партнерс. Россия
|
ТКБ
БНП Париба - Фонд сбалансированный динамичный
|
С
|
2008
|
2.8
|
1.5
|
2
|
ТКБ
БНП Париба - Фонд сбалансированный консервативный
|
С
|
2003
|
2.8
|
1.5
|
2
|
|
33
|
25.11.2014
|
ТКБ
БНП Париба Инвестмент Партнерс. Россия
|
ТКБ
БНП Париба - Российская нефть
|
С
|
2003
|
3.2
|
1.5
|
2
|
ТКБ
БНП Париба - Фонд сбалансированный консерватив-ный
|
С
|
2003
|
2.8
|
1.5
|
2
|
|
34
|
25.11.2014
|
ТКБ
БНП Париба Инвестмент Партнерс. Россия
|
ТКБ
БНП Париба - Российская электроэнергетика
|
С
|
2006
|
3.2
|
1.5
|
2
|
ТКБ
БНП Париба - Премиум. Фонд акций
|
А
|
2006
|
3.2
|
1.5
|
2
|
|
35
|
25.11.2014
|
ТКБ
БНП Париба Инвестмент Партнерс. Россия
|
ТКБ
БНП Париба - Российская металлургия и машиностроение
|
А
|
2005
|
3.2
|
1.5
|
2
|
ТКБ
БНП Париба - Премиум. Фонд акций
|
А
|
2006
|
3.2
|
1.5
|
2
|
|
36
|
25.11.2014
|
ТКБ
БНП Париба Инвестмент Партнерс. Россия
|
ТКБ
БНП Париба - Фонд акций
|
А
|
2003
|
3.2
|
1.5
|
2
|
ТКБ
БНП Париба - Премиум. Фонд акций
|
А
|
2006
|
3.2
|
1.5
|
2
|
|
37
|
25.11.2014
|
ТКБ
БНП Париба Инвестмент Партнерс. Россия
|
ТКБ
БНП Париба - Перспективные инвестиции
|
А
|
2004
|
3.2
|
1.5
|
2
|
ТКБ
БНП Париба - Телекоммуникации и инновации
|
А
|
2003
|
3.2
|
1.5
|
2
|
|
38
|
25.11.2014
|
ТКБ
БНП Париба Инвестмент Партнерс. Россия
|
ТКБ
БНП Париба - Индекс ММВБ
|
И
|
2004
|
1.5
|
1.5
|
2
|
ТКБ
БНП Париба - Премиум. Фонд акций
|
А
|
2006
|
3.2
|
1.5
|
2
|
|
39
|
25.11.2014
|
ТКБ
БНП Париба Инвестмент Партнерс. Россия
|
ТКБ
БНП Париба - Фонд денежного рынка
|
Д
|
2004
|
0.5
|
0
|
1
|
ТКБ
БНП Париба - Фонд облигаций
|
О
|
2003
|
1.2
|
1.5
|
2
|
|
40
|
25.11.2014
|
ТКБ
БНП Париба Инвестмент Партнерс. Россия
|
ТКБ
БНП Париба - индекс РТС
|
И
|
2006
|
1.5
|
1.5
|
2
|
ТКБ
БНП Париба - Премиум. Фонд акций
|
А
|
2006
|
3.2
|
1.5
|
2
|
|
41
|
25.11.2014
|
ТКБ
БНП Париба Инвестмент Партнерс. Россия
|
ТКБ
БНП Париба - Российский потребительский сектор
|
А
|
2007
|
3.2
|
1.5
|
2
|
ТКБ
БНП Париба - Премиум. Фонд акций
|
А
|
2006
|
3.2
|
1.5
|
2
|
|
42
|
14.10.2014
|
ТКБ
БНП Париба Инвестмент Партнерс. Россия
|
ТКБ
БНП Париба - Азия
|
Ф
|
2011
|
1.5
|
1.5
|
2
|
ТКБ
БНП Париба - Золото
|
Ф
|
2011
|
1.5
|
1.5
|
2
|
|
43
|
14.10.2014
|
ТКБ
БНП Париба Инвестмент Партнерс. Россия
|
ТКБ
БНП Париба - Латинская Америка
|
Ф
|
2011
|
1.5
|
1.5
|
2
|
ТКБ
БНП Париба - Золото
|
Ф
|
2011
|
1.5
|
1.5
|
2
|
|
44
|
25.11.2014
|
ТКБ
БНП Париба Инвестмент Партнерс. Россия
|
ТКБ
БНП Париба - Фонд акций 2
|
А
|
2008
|
3
|
1.5
|
2
|
ТКБ
БНП Париба - Премиум. Фонд акций
|
А
|
2006
|
3.2
|
1.5
|
2
|
|
45
|
25.11.2014
|
ТКБ
БНП Париба Инвестмент Партнерс. Россия
|
ТКБ
БНП Париба - Фонд смешанных инвестиций 2
|
С
|
2008
|
3
|
1.5
|
2
|
ТКБ
БНП Париба - Фонд сбалансированный консервативный
|
С
|
2003
|
2.8
|
1.5
|
2
|
|
46
|
14.10.2014
|
Открытие
|
Открытие
- ТОП 10
|
А
|
2011
|
2
|
1.3
|
1
|
Открытие
- Индекс ММВБ - Электроэнергетика
|
И
|
2006
|
2
|
1.3
|
1
|
|
47
|
14.10.2014
|
Открытие
|
НОМОС
- Фонд акций
|
А
|
2011
|
2.9
|
1.3
|
1
|
Открытие
- Акции
|
А
|
2004
|
2.95
|
1.3
|
1
|
|
48
|
15.10.2014
|
Открытие
|
Открытие
- Агрессивный
|
А
|
2012
|
3.5
|
1.3
|
1
|
Открытие
- Иностранные акции
|
А
|
2008
|
2.5
|
1.3
|
1
|
|
49
|
14.10.2014
|
Открытие
|
НОМОС
- Фонд облигаций
|
О
|
2011
|
1.1
|
1.3
|
1
|
Открытие
- Еврооблигации
|
2012
|
1.5
|
1.3
|
1
|
*А - акций, О - облигаций, И - индексный, Д -
денежного рынка, С - смешанный, Ф - фондов.