Моделирование оптимального инвестиционного портфеля
ВВЕДЕНИЕ
Задача нахождения оптимального инвестиционного портфеля, впервые
сформулированная во второй половине XX-го века, является объектом изучения портфельной теории Марковица.
Несмотря на сравнительную новизну теории, за короткое время она приобрела такую
популярность, что сейчас уже сложно найти область инвестирования, в которой бы
она не использовалась. Основным принципом подхода Марковица является
рандомизация доходностей и рисков инвестиционного портфеля, что позволяет
построить математическую модель задачи. В настоящее время задача оптимального
инвестирования насчитывает немалое количество формулировок, таких как наличие
или отсутствие коротких продаж, т.е. возможность брать денежные суммы в долг,
ограничения на среднюю доходность или же отсутствие такового, минимизация риска
при фиксированной средней доходности и т.д. Все это свидетельствует об
актуальности и значимости проблемы оптимального инвестирования для современного
общества и является поводом для более подробного исследования методов ее решения.
Очевидно, что в экономике фирмы необходимость решения задачи о распределении
денежных средств между активами появляется постоянно. Одним из типов задачи
инвестирования является многошаговый вариант, в котором подразумевается, что
инвестиции производятся многократно на протяжении длительного периода времени.
Решение такой задачи способно существенно увеличить конкурентное преимущество
фирмы, обеспечив ей стабильность в долгосрочной перспективе. В век
информационных технологий на практике подавляющее большинство задач решаются с
помощью численных методов специально разработанными для этого программами и
математическими пакетами. Более глубокое изучение задачи поможет не только
найти решение аналитически, но и, возможно, значительно упростит алгоритм численного
нахождения решения.
Целью данной работы является исследование задачи нахождения оптимального
инвестиционного портфеля в случае, когда суммарный возврат инвестиций является
случайной нормально распределенной величиной. В силу разнообразия формулировок
задачи инвестирования, само понятие оптимального портфеля требует уточнения.
Существует два подхода к выбору наилучшего портфеля. Первый метод - выбор
эффективных решений, когда один из портфелей лучше другого по некоторому
критерию только в том случае, если по другому параметру этот портфель хуже.
Второй метод - определение ведущего критерия и его максимизация, при некоторых
условиях, наложенных на оставшиеся параметры. В данной работе будет
использоваться второй подход. Таким образом, в качестве главного критерия будет
выбрана средняя доходность инвестиционного портфеля, а риск отклониться от
среднего значения будет параметром, на который накладываются дополнительные
условия.
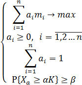
В соответствии с описанной целью были поставлены следующие задачи:
. Построение математической модели задачи. Обзор существующих методов
решения поставленной задачи.
.Анализ применения метода конусного программирования к поставленной
задаче. Формулировка необходимых и достаточных условий оптимальности
инвестиционного портфеля. Изучение множества допустимых точек, формулировка и
доказательство критерия их существования.
.Исследование задачи с использованием численных методов решения. Анализ
множества допустимых точек в тривиальном случае инвестиционного портфеля с
двумя активами.
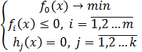
ГЛАВА 1.
ПОСТАНОВКА ЗАДАЧИ
Задача
нахождения оптимального портфеля ценных бумаг при условии, что возвращающаяся
сумма является случайной нормально распределенной величиной, формулируется
следующим образом. На рынке имеется n-ое
количество ценных бумаг. У инвестора в распоряжении имеется некоторый начальный
капитал 
, который
распределяется между активами. Пусть
- вектор
долей вложенного капитала, т.е. 
- доля
начального капитала, которая вложена в i-ый актив.
Таким образом, 
. При
этом 
.
Доходностью i-ого актива будем называть выручку в следующий период
времени, полученную с одной денежной единицы, вложенной в этот актив. Будем
считать, что доходности ценных бумаг являются случайными величинами. Обозначим
вектор доходностей как 
.
Полагается, что известны математические ожидания доходностей ценных бумаг
, где 
-
математическое ожидание доходности i-того актива, и матрица
ковариаций 
. Для
удобства, будем считать, что матрица ковариаций является положительно
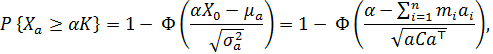
определенной. Наложим следующее ограничение на вектор распределения денежных
средств:

,
где

-
суммарный доход инвестора. Иными словами, будем требовать, чтобы суммарный
доход с вероятностью 
превышал
некоторое значение 
,
определяющееся параметром 
.
Основной задачей является нахождение портфеля с максимальным математическим
ожиданием суммарного дохода, удовлетворяющего при этом описанным ранее
условиям. Такой портфель будем считать оптимальным. Очевидно, что
математическое ожидание суммарного дохода в наших обозначениях можно
представить таким образом: 
. В таком
случае, математическая модель данной задачи имеет следующий вид:

является
целевой функцией задачи от вектора 
,
условия, накладываемые на этот вектор, являются ограничениями задачи. Множество
векторов 
,
удовлетворяющих заданным ограничениям будем называть допустимым множеством
задачи.
Обзор
существующих методов решения поставленной задачи
Задача
поиска оптимального портфеля с описанными выше ограничениями классифицируется
как задача нелинейного программирования. В теории оптимизации существует ряд
методов, используемых для решения подобного рода задач, но в нашем случае следует
выделить следующие два:
Первым
методом является классический метод решения задачи выпуклого программирования с
использованием функции Лагранжа и теоремы Куна-Таккера. Трудность данного
метода заключается в том, что для начала необходимо доказать, что задача
действительно является задачей выпуклого программирования, для этого нужно
переформулировать условие 
таким
образом, чтобы функция в левой части неравенства была выпуклой, кроме этого
требуется доказать, что допустимое множество также является выпуклым. Именно с
этой целью вводится допущение, что суммарная доходность портфеля является
случайной величиной с нормальным распределением. В виду сложности функции
ограничения, затруднительным также может оказаться вычисление частных
производных функции Лагранжа, что необходимо для использования теоремы
Куна-Таккера. Данный метод является самым распространенным и досконально
изученным, в связи с чем не представляет научного интереса.
Вторым
методом является решение исходной задачи как задачи конусного программирования.
Для его использования необходимо доказать, что ограничения на допустимое
множество представимы в виде конусов в 
.
Преимущество данного метода в том, что используя теоремы из теории выпуклого
программирования и несколько утверждений из теории двойственности, можно
сформулировать необходимые и достаточные условия оптимальности портфеля, но уже
в терминах конусного программирования, что значительно упрощает вид этих
условий. Трудность метода заключается в том, чтобы свести условие 
к
ограничению в виде конуса. На самом деле, нетрудно показать, что это условие
является конусом второго порядка. Самым трудоемким пунктом решения задачи
является переход от задачи с ограничением такого типа к задачи конусного
программирования, а затем применение утверждений из теории двойственности. Оба
изложенных метода будут рассмотрены в следующей главе.
ГЛАВА 2.
ЗАДАЧА ВЫПУКЛОГО ПРОГРАММИРОВАНИЯ
В предыдущей главе, построив математическую модель мы сформулировали
задачу оптимального инвестирования таким образом:
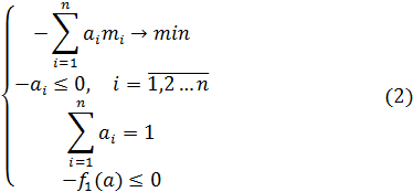
Приведем несколько определений, знание которых потребуется в дальнейшем.
Пусть задана следующая задача оптимизации:

(1)
Где

-
переменная, по которой производится оптимизация. Будем говорить, что задача (1)
является выпуклой если 
, 
-
выпуклые функции, 
.
Говорится,
что в выпуклой задаче (1) выполнено условие Слейтера, если существует такой 
, что

, 
.
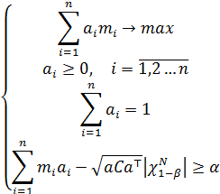
Теперь
приведем ограничения в исходной задаче к виду выпуклых функций от вектора 
.
Используя предположение, что суммарный возврат - это нормально распределенная
случайная величина, производим следующий переход:
где

-
математическое ожидание суммарного дохода, при распределении начального
капитала в соответствии с вектором долей 
, а 
-
среднее квадратичное суммарного дохода.
Таким
образом,
где

-
квантиль стандартного нормального распределения. Логично предположить, что 
близок к
единице, в силу того, что инвестору предпочтительней, чтобы вероятность
получить определенную часть дохода была больше. Известно, что при 
, 
, а
значит и в нашем случае квантиль является отрицательной величиной. Тогда
исходная задача эквивалентна данной:
Докажем,
что эту задачу можно интерпретировать как задачу выпуклого программирования.
Заметим,
что функция 
,
задающая одно из ограничений, является вогнутой функцией. Член 
является
линейной функцией от вектора 
,
следовательно для доказательства вогнутости функции 
,
остается показать, что 
является
выпуклой функцией от вектора 
.
Вспомним, что матрица ковариаций является положительно определенной
симметричной матрицей, значит ее можно представить в виде: 
, где
матрица 
также
симметрична и неотрицательно определена. В таком случае,

,
в
силу симметричности матрицы 
. Но это
есть ни что иное, как евклидова норма вектора 
.
Следовательно должно выполнятся неравенство треугольника, значит 
:

= 
.
Таким
образом, функция 
является
выпуклой, откуда следует, что функция 
вогнута.
Заметим,
что ограничения 
, можно
также интерпретировать как 
вогнутых
функций. Помимо прочего, целевая функция является линейной, а значит она тоже
является вогнутой. Тогда можно переписать исходную задачу в следующем виде:
где все функции, задающие ограничения в форме неравенств, являются
выпуклыми, и целевая функция также является выпуклой. Таким образом, полученная
задача является задачей выпуклого программирования, а значит на нее
распространяется теорема о необходимых и достаточных условиях существования
решения. Но, перед тем как воспользоваться этой теоремой, выясним в каком
случае для данной задачи выполняется условие Слейтера. С этой целью исследуем
допустимое множество.
Обозначим

Заметим,
что для портфелей вида 
, условие

преобразуется
к условию: 
. Следовательно,
если 
, то
существует по крайней мере одна допустимая точка. Нетрудно убедиться, что если
выполнено строгое неравенство 
, то
множество допустимых точек D содержит
внутренние точки, т.е. выполняется условие Слейтера.
Сформулируем
соответствующее утверждение.
Утверждение
1
Если

то
существует по крайней мере одна допустимая точка в множестве D,
если неравенство выполняется строго, то для задачи (2) выполняется условие
Слейтера, где


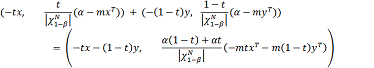
Теперь можно сформулировать основную теорему.
Теорема 1(необходимые и достаточные условия существования
решения задачи (2))
Если
в задаче (2) выполняется 
то 
является
решением задачи тогда и только тогда, когда существуют 
,
которые вместе с 
удовлетворяют
условиям Каруша-Куна-Таккера:
Где

,
символом 
обозначен
градиент функции.
Отметим,
что градиент функции Лагранжа не представляется в удобном для аналитического
решения виде. В связи с этим, перейдем к следующей интерпретации поставленной
задачи.
Задача
конусного программирования
Перед
тем, как записать поставленную задачу как задачу конусного программирования,
приведем ряд определений, необходимых для дальнейшей работы.
Определение
конуса в векторном пространстве.
Множество

называется
конусом, если для любого 
и любого

,
выполнено 
. Если
для любых 
и 
,
выполняется 
, то
множество 
называется
выпуклым конусом. Запись 
означает

, запись 
означает

, т.е. 
является
внутренней точкой конуса 
.
Определение
двойственного конуса.
Пусть
множество 
является
конусом. Тогда множество
Называется
двойственным конусом.
Определение
нормированного конуса.
Определение
правильного конуса.
Конус

и
является правильным конусом, если выполняются следующие условия:
.

-
выпуклое множество.

. 
-
замкнутое множество.
.

- имеет
внутренние точки.
.
Из того, что 
и 
, следует

.
Определение

-
выпуклой функции.
Пусть

и
является правильным конусом. Будем говорить, что функция
является

-выпуклой,
если для любых 

выполняется
: 
Формулировка
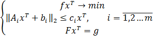
задачи оптимизации с ограничением в виде конусов:

Где

-
переменная, по которой происходит оптимизация,
, 
, при
этом 
- proper
конус.
Условие Слейтера для задачи оптимизации с ограничениями в виде конусов.
Говорится,
что в задаче конусного программирования выполнено условие Слейтера, если
существует такой 
, что

, 
,
При
этом 
-
выпуклая функция, 
- 
-выпуклые
функции, 
.
Докажем,
что 
является
нормой вектора 
в
пространстве 
. Для
этого пошагово покажем, что выполняются все три аксиомы нормы.
.
Если 
, то 
(т.е.
вектор, все компоненты которого равны 0), в силу положительной определенности
матрицы ковариаций.
.
выполняется
неравенство треугольника:

,
что
уже было показано в предыдущем пункте.
.

выполнено:

= 
.
Действительно,

Таким
образом, выполняются все аксиомы нормы. Введем обозначение 
.
Двойственной
к норме 
пространства

называют
норму 
,
заданную на том же пространстве следующим образом:

.
Понятие
двойственной нормы потребуется нам для определения конуса двойственного к
нормированному. Известно, что двойственным к нормированному конусу 
является
конус 
Утверждение
2.
Двойственной
нормой к 
является
норма 
.
Докажем
это.
Пусть

т.е. 
. Тогда
в
силу того, что
Далее,
Таким
образом, 

.
Нетрудно убедиться, что 
является

, для
этого достаточно заметить что все неравенства из доказательства обращаются в
равенства в случае, когда 
, т.е. 

, при 
=1. Таким
образом, двойственной нормой к 
является
норма
Утверждение
доказано.
Перепишем
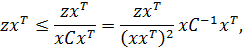
условие:
в
виде ограничения в форме конуса второго порядка:
Как
уже было показано ранее, 
является
нормой 
,
следовательно задача принимает вид:

Что можно считать задачей с ограничением в виде конуса второго порядка.
Введем
функцию 
,
Заметим,
что ограничение 
является
ограничением в виде конуса. Обозначим множество, удовлетворяющее данному
условию 
.
Нетрудно понять, что это множество является правильным конусом, т.к. оно
выпукло, замкнуто, имеет внутренние точки, и из того, что 
следует,
что 
;
Введем
функцию 
Тогда
поставленную задачу можно переписать в следующем виде:

(3)
Где

, что
является задачей оптимизации с ограничениями в виде конусов. Для дальнейшего
изучения задачи докажем несколько утверждений.
Утверждение
3
Множество:
является
правильным конусом.
Для
доказательства этого утверждения проверим выполнение свойств, характеризующих
множество 
как
правильный конус.
.
Выпуклость 
можно
доказать по определению. Если
то
так
как
.
Докажем, что 
-
замкнутое множество. Рассмотрим сходящуюся последовательность 
: 
, где 
.
Пусть

, 
Предположим,
что 
, т.е. 
. Из
сходимости 
следует,
что

.
Следовательно
для некоторого небольшого 
существует
натуральное 
выполнено

. Но 
,
следовательно 
, таким
образом: 
, т.е. 
,
следовательно 
не
сходится к 
,
следовательно 
не
сходится к 
.
Получаем противоречие. Значит наше предположение, что 
неверно,
значит 
, т.е.
множество содержит все свои предельные точки, значит оно замкнуто.
.
Понятно, что 
имеет
внутренние точки, если существуют 
. Такие
точки, очевидно, существуют.

, но тогда 
может
принадлежать конусу 
, только
если 
, что
означает, что и 
.
Таким
образом, выполняются все необходимые свойства характеризующие конус 
как
правильный конус. Утверждение доказано.
Утверждение
4.
Функция

является

-выпуклой.
Для
этого покажем, что

.
Распишем
отдельно левую и правую часть неравенства:

Таким
образом,

,
значит
и
функция 
является

-выпуклой.
Утверждение доказано.
Из
предыдущих пунктов становится понятно, что для того, чтобы в задаче (3)
выполнялось условие Слейтера необходимо, чтобы существовал такой вектор 
, что
Иначе
говоря, требуется, чтобы множество допустимых точек имело хоть одну внутреннюю
точку. Воспользуемся Утверждением 1, чтобы сформулировать утверждение об
условии Слейтера для задачи (3).
Утверждение
5.
В
задаче (3) выполняется условие Слейтера, если 
Где

Опираясь
на все доказанные в предыдущих пунктах утверждения, сформулируем необходимые и
достаточные условия существования решения для задачи (3). Из теоремы о
необходимых и достаточных условиях решения задачи оптимизации с ограничением в
виде конусов следует, что если в задаче выполнено условие Слейтера, то 
является
решением задачи тогда и только тогда, когда существуют 
, которые
вместе с 
удовлетворяют
условиям Каруша-Куна-Таккера. Ранее было показано в каких случаях выполняется
условие Слейтера в задаче (3). Для того, чтобы определить условия
Каруша-Куна-Таккера, выпишем функцию Лагранжа.
Одним
из условий ККТ является равенство нулю градиента функции Лагранжа по 
,
следовательно:
Теперь,
объединяя полученные результаты, сформулируем теорему о необходимых и
достаточных условиях существования решения задачи (3).
Теорема
1(о необходимых и достаточных условиях существования решения задачи (3)).
Если
в задаче (3) 
, то 
является
решением задачи тогда и только тогда, когда существуют 
,
которые вместе с 
удовлетворяют
условиям Каруша-Куна-Таккера:
Где

.
ГЛАВА
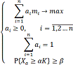
3.ПРИМЕР ЗАДАЧИ С ПОРТФЕЛЕМ ИЗ ДВУХ ЦЕННЫХ БУМАГ
Рассмотрим
случай n=2. Начнем с
исследования множества допустимых значений. Вектор распределения денежных
средств 
. Тогда
исходная задача примет вид:
Где

-
элементы матрицы ковариаций.
На
граничных точках неравенство будет принимать вид: 
и 
в точках

соответственно.
Стоит заметить, что если выполнено: 
, то весь
отрезок [0,1] является допустимым, а значит, в силу линейности целевой функции,
оптимальный портфель будет (1,0) либо (0,1) в зависимости от знака 
.
Очевидно, что такой пример не представляет научного интереса. Подберем такие
параметры, чтобы не все множество 
являлось
допустимым. Рассмотрим задачу, где матрица ковариаций имеет вид: 
, вектор
математических ожиданий доходностей активов 
,
параметр 
. Будем
измерять параметр 
и
следить за тем, как меняется вектор 
.
Начальным значением параметра 
выберем 0,735.
Далее, будем увеличивать это значение на 0,005. Ниже приведены результаты
численного решения данной задачи.
Таблица 1.
|
|
1-  
|
|
|
|
|
0,735
|
0,265
|
0,628
|
1
|
1,500
|
|
0,74
|
0,260
|
0,643
|
0,701
|
1,470
|
|
0,745
|
0,255
|
0,659
|
0,554
|
1,455
|
|
0,75
|
0,250
|
0,674
|
0,464
|
1,446
|
|
0,755
|
0,245
|
0,690
|
0,393
|
1,439
|
|
0,76
|
0,240
|
0,337
|
1,434
|
|
0,765
|
0,235
|
0,722
|
0,29
|
1,429
|
|
0,77
|
0,230
|
0,739
|
0,249
|
1,425
|
|
0,775
|
0,225
|
0,755
|
0,215
|
1,421
|
|
0,78
|
0,220
|
0,772
|
0,183
|
1,418
|
|
0,785
|
0,215
|
0,789
|
0,156
|
1,416
|
|
0,79
|
0,210
|
0,806
|
0,131
|
1,413
|
|
0,795
|
0,205
|
0,824
|
0,11
|
1,411
|
|
0,8
|
0,200
|
0,842
|
0,089
|
1,409
|
|
0,805
|
0,195
|
0,860
|
0,07
|
1,407
|
|
0,81
|
0,190
|
0,878
|
0,053
|
1,405
|
|
0,815
|
0,185
|
0,896
|
0,038
|
1,404
|
|
0,82
|
0,180
|
0,915
|
0,023
|
1,402
|
|
0,825
|
0,175
|
0,935
|
0,008
|
1,400
|
При
значениях 
вектор 
всегда
принимал вид
, т.к.
математическое ожидание доходности первого актива больше. При значениях 
,
множество допустимых значений оказывалось пустым. Зависимость между значениями 
и 
легко
проследить по графику:
График 1.
Нетрудно
заметить, что при увеличении параметра 
,
значение 
становилось
все менее чувствительным к изменению 
.
Убывающая тенденция объясняется тем, что при увеличении 
, доля
начального капитала, вложенная во второй актив увеличивается, т.к. дисперсия
доходности второго актива значительно меньше. При небольших значениях 
, весь
начальный капитал будет вложен в первый актив.
ЗАКЛЮЧЕНИЕ
математический портфель программирование
В результате проделанной работы было исследовано применение методов
выпуклой оптимизации, в том числе метод множителей Лагранжа и метод конусного
программирования, относительно решения задачи поиска оптимального портфеля с
заданными ограничениями. Был доказан ряд утверждений, связанных с допустимым
множеством исходной задачи, сформулированы достаточные условия существования
портфелей, удовлетворяющих заданным условиям. В результате работы были
сформулированы необходимые и достаточные условия оптимальности инвестиционных
портфелей, как в выпуклой интерпретации задачи, так и в случае, когда задача
представляет из себя задачу конусного программирования. Было проведено
исследование конкретного примера портфеля с двумя активами. В этом исследовании
выявлена и продемонстрирована на графике зависимость вектора распределения
начального капитала от одного из начальных параметров. Приведены результаты
численного решения задачи для разных значений одного из начальных параметров.
ПРИЛОЖЕНИЕ
Формулировка выпуклой задачи оптимизации.

(1)
Где

-
переменная, по которой производится оптимизация, 
, 
-
выпуклые функции, 
.
Условие
Слейтера для выпуклой задачи оптимизации.
Говорится,
что в выпуклой задаче (1) выполнено условие Слейтера, если существует такой 
, что

, 
.
Определение
функции Лагранжа для выпуклой задачи оптимизации.
Функцией
Лагранжа для выпуклой задачи (1) является функция 
,
определяемая следующим образом:
Теорема
о достаточных условиях существования решения выпуклой задачи.
Если
в выпуклой задаче (1) для некоторых 
выполнены
следующие условия, называемые условиями Каруша-Куна-Таккера:
тогда

является
решением исходной задачи (1).
Теорема
о необходимых и достаточных условиях решения выпуклой задачи оптимизации.
Если
в выпуклой задаче (1) выполняется условие Слейтера, то 
является
решением задачи тогда и только тогда, когда существуют 
, которые
вместе с 
удовлетворяют
условиям Каруша-Куна-Таккера.
Формулировка
задачи с ограничением в виде конуса:

(2)
Где

-
переменная, по которой происходит оптимизация,
, 
, при
этом 
-
правильный конус.
Определение
конуса в векторном пространстве.
Множество

называется
конусом, если для любого 
и любого

,
выполнено 
. Если
для любых 
и 
,
выполняется 
, то
множество 
называется
выпуклым конусом. Запись 
означает

, запись 
означает

, т.е. 
является
внутренней точкой конуса 
.
Определение
двойственного конуса.
Пусть
множество 
является
конусом. Тогда множество
Называется
двойственным конусом.
Определение
нормированного конуса.
Конус

называется
нормированным конусом (norm cone).
Определение
правильного конуса.
Конус

и
является правильным конусом, если выполняются следующие условия:
.

-
выпуклое множество.

. 
-
замкнутое множество.
.

- имеет
внутренние точки.
.
Из того, что 
и 
, следует

.
Определение

- выпуклой
функции.
Пусть

и
является правильным конусом. Будем говорить, что функция,
является

-выпуклой,
если для любых 

выполняется
: 
Условие
Слейтера для задачи оптимизации с ограничениями в виде конусов.
Говорится,
что в задаче (2) выполнено условие Слейтера, если существует такой 
, что

, 
,
При
этом 
-
выпуклая функция, 
- 
-выпуклые
функции, 
.
Теорема
о необходимых и достаточных условиях существования решения задачи оптимизации с
ограничением в виде конусов.
Если
в задаче (2) выполняется условие Слейтера, то 
является
решением задачи тогда и только тогда, когда существуют 
, которые
вместе с 
удовлетворяют
условиям Каруша-Куна-Таккера:
Формулировка
задачи с ограничением в виде конуса второго порядка.
Где

, 
,
, 
-
переменная, по которой происходит оптимизация, 
-
евклидова норма.