Сравнительный анализ инновационного потенциала стран Латинской Америки
1. Инновационный потенциал стран
Латинской Америки
Прежде чем перейти к построению моделей оценки
влияния инноваций на экономическое благосостояние страны, будет целесообразным
проанализировать инновационный потенциал исследуемых стран. Как обсуждалось в теоретической
части данного исследования, инновационный потенциал страны - это возможность
создания, разработки и распространения инноваций. Некоторые исследователи
считают, что инновационный потенциал формируется из трех сегментов:
научно-технический комплекс, образовательный и инвестиционный. Далее будут
рассмотрены изучаемые страны, выбранные нами для анализа с точки зрения
ключевых факторов, характеризующих инновационный потенциал.
Согласно глобальному инновационному рейтингу
2015 , Чили является инновационным лидером в регионе и занимает 42-ое место из
141. Действительно, за последние два десятилетия эта страна улучшила свои
макроэкономические показатели на фоне важных экономических реформ и создания
стабильных институтов. С 2000-х годов Чили стремительно наращивала свой
инновационный потенциал, во многом догоняя развитые страны. Среди факторов,
объясняющих макроэкономические улучшения можно выделить открытие своей
экономики для международной торговли и потоков иностранных инвестиций.
Рассматриваемая страна уже выстроила экономические и институциональные системы,
что ставит ее во главе стран со средним уровнем дохода. Для того чтобы
сократить разрыв с развитыми странами, необходимо дальнейшее укрепление
инновационного потенциала. В настоящее время разница в доходах между Чили и
развитыми странами объясняется во многом низким уровнем производительности
труда в стране. По оценкам экспертов, повышение производительности в Чили
играет ключевую роль в обеспечении устойчивого развития в долгосрочной
перспективе, что, в свою очередь, будет способствовать уменьшению бедности и
сохраняющемуся неравенству в распределении доходов. Опыт стран ОЭСР, основанных
на природных ресурсах, показывает, что единственный путь индустриальной
диверсификации - разработка надежной и эффективной инновационной политики. Чили
разработала собственную стратегию развития экономики, базирующуюся на
применении опыта таких стран как Южная Корея и Тайвань. Государство направляет
усилия на то, чтобы создать благоприятный деловой климат для ведения бизнеса и
предоставляет студентам возможность обучения за рубежом (материальная
поддержка, при условии, что студент по окончании обучения вернется в Чили).
Отмечается, что среди инновационных индикаторов в Чили высокий уровень
поступающих в вузы, 29% чилийского населения имеют высшее образование. Чили
выделяет 2,61% ВВП на высшее образование, что не сильно меньше, чем в США и
Канаде.
Также высокие оценки имеют такие факторы, как
приток иностранных инвестиций и капитализация рынка. Однако несмотря на достаточно
высокое положение в инновационном рейтинге, затраты на исследования и
разработки не достигают и половины процента от ВВП. Также доля
высокотехнологичной продукции в экспорте промышленных товаров и соотношение
национальных и иностранных патентов невелики. Это указывает на то, что
инновационный потенциал данной страны полностью не раскрыт. Пока можно говорить
о том, что Чили находится на промежуточной стадии между эффективным и
инновационным развитием.
Второй страной в латиноамериканском регионе,
лидирующей по инновационным показателям является Коста-Рика - 51-ое место.
Рассматриваемая страна считается одной из наиболее политически стабильных в
Латинской Америке. Экономика Коста-Рики достаточно мала, но ее открытость
сделала ПИИ основным двигателем динамического развития страны, за счет
целенаправленных действий по привлечению прямых иностранных инвестиций. ПИИ
привели к увеличению рабочих мест, а также послужили толчком для
совершенствования системы образования и профессиональной подготовки, что благоприятно
повлияло на бизнес климат в стране. Хотя США остаются наиболее влиятельным
инвестором, количество источников для ПИИ увеличилось, в их число стал входить
и Китай. Инвестиции в НИОКР по-прежнему невелики, всего 0,47% от ВВП. Тоже
самое можно сказать о патентной активности, ее показатели одни из самых низких
в регионе. Начиная с конца 1980-х годов, Коста-Рика смогла переориентировать
структуру экспорта на продукты первичного сектора до продуктов
высокотехнологичного производства, которые составили 43,3% в 2013 году. Итак,
для дальнейшего развития Коста-Рика должна активно стимулировать продвижение
инновационной культуры в обществе, это в свою очередь, означает поощрение
технических специальностей, так как в стране очень мало высококвалифицированных
кадров в области науки и техники. Инновационный разрыв не может быть устранен
без участия частного сектора в инвестициях в НИОКР, наряду с увеличением
поддержки научно-технического развития со стороны государства.
Замыкает тройку инновационных лидеров в регионе
Мексика (57-ое место). Это вторая по размеру экономика в регионе, но для
долгосрочного роста Мексика должна повысить производительность труда и
диверсифицировать свои экспортные статьи. Для достижения этого Национальный
план развития на 2013-2018 года ставит своей главной целью выстроить экономику,
основанную на знаниях. Рассматривая инновационные индикаторы, можно отметить,
что государственные расходы на высшие образования находятся ниже среднего
показателя среди сран ОЭСР, что свидетельствует о необходимости улучшить
качество системы образования. Для того чтобы конкурировать на международной
арене важно повысить инвестиции в инфраструктуру и инновации. Попытки в
укреплении научно-технической инфраструктуры уже были предприняты ранее,
правительство существенно увеличило финансирование с 37 млн долларов в 2011
году до 140 в 2013. Говоря об индикаторах, характеризующих инновационную
деятельность, в качестве сильных позиций можно отметить количество выпускников
с научными и техническими специальностями, высокая доля экспорта
высокотехнологичной продукции и легкий доступ к кредиту. Как и многие страны с
более зрелой инновационной системой, Мексика сталкивается с проблемой
отсутствия связи между субъектами инновационной деятельности. В результате чего
получается, что инновационная деятельность изолирована в рамках отдельных
компаний и научно-исследовательских институтов, ограничивая эффект создания
знаний, которые необходимы для формирования сильной инновационной системы. По
оценкам GII 2015,
сдерживающими факторами в стране для ведения инновационной деятельности
является коррупция и политическая нестабильность. В целом, Мексика обладает
существенным потенциалом для перехода к инновационному типу развития, чему, в
большой степени, благоприятствует географическая близость к Соединенным Штатам
Америки.
Следующей страной для рассмотрения является
Панама, занявшая 62-ое место в рейтинге GII
2015. Следует обратить внимание на то, что страна добилась инновационного
прорыва, за один год улучшив свой результат на 24 позиций. Панама имеет
быстрорастущую экономику. С 1990-х годов в стране наблюдался непрерывный
экономический рост, а в 2012 темпы роста ВВП достигли около 10%, что намного
превышало средние темпы роста по региону (3%). Также за последние два
десятилетия в стране значительно возросло качества жизни, за счет сокращения
бедности. Несмотря на достижения в борьбе с бедности, неравенство в обществе
остается одним из основных факторов, сдерживающих экономическое развитие.
Благодаря своему географическому положению и Панамскому каналу данная страна
занимает стратегические позиции для транспорта и логистики вдоль основных
торговых путей между Атлантическим и Тихим океанами, - практически вся
экономическая деятельность сконцентрирована вокруг операций Панамского канала.
Производство товаров и услуг в высокотехнологичных отраслях, которые составляют
лишь 2% от валовой добавленной стоимости в обрабатывающей промышленности,
остается исключением в анализируемой стране. А доля высокотехнологической
продукции в экспорте в 2014 году составила всего 0,2%. Продвижение инноваций в
такой маленькой и ориентированной на услугах стране, как Панама представляется
достаточно затруднительным. Однако с 2004 года в стране начали предпринимать
попытки, направленные на содействие инновационной деятельности.
С недавнего времени Панама ставит своим
приоритетом привлечение мультинациональных компаний, в результате чего уже были
созданы новые рабочие места и увеличились инвестиции в исследования и
разработки. В целом результаты по инновационной деятельности невысокие. Затраты
на исследования и разработки по последним доступным данным составили 0,2 %, что
значительно ниже среднего показателя по странам ОЭСР (2,4% от ВВП). Более того,
частный сектор практически не участвует в финансировании, всего 2% от общих
затрат на НИОКР, это незначительная часть по сравнению с другими
латиноамериканскими странами. Например, в Коста-Рике этот показатель достигает
39%. Показатели патентной активности также отстают от других стран региона. В
стране недостаточно финансируют исследовательскую деятельность и частный сектор
практически не вовлечен в инновационную активность.
Далее - Колумбия, располагается на 67-ом месте в
GII 2015. Эта страна
занимает четвертое место в регионе по населению и ВВП после Бразилии, Мексики и
Аргентины, однако по производительности труда и душевому доходу Колумбия сильно
отстает от других, в том числе в Латинской Америке. В конце прошлого
десятилетия колумбийская инновационная система была относительно небольшой.
Экономическая история Колумбии указывает на важность стимулирования
инновационной деятельности для повышения производительности труда не только в
производстве и в сельском хозяйстве, но и в сфере услуг. Информационная,
телекоммуникационная и транспортная инфраструктура имеет заметное влияние на
конкурентоспособность других секторов экономики, а инновации представляют собой
возможность для диверсификации экономики. Новые виды наукоемкой и капиталоемкой
деятельности будут способствовать росту производительности труда, за счет
повышения эффективности. В целом расходы на научно-исследовательскую
деятельность не изменялись последние несколько лет и составляют 0,22%, по
сравнению с рядом других латиноамериканских стран эта доля очень мала.
Количество занятых в НИОКР тоже невелико, 164 на миллион человек, в то время
как в развитых странах, например, в Финляндии и Дании этот показатель превышает
7 тысяч человек. Согласно глобальному инновационному рейтингу 2015 года, в
Колумбии результат выше среднего получили такие факторы, как доступность
кредита, высшее образование и сфера знаний и технологий. Низкое соотношение
национальных и иностранных патентов говорит о слабой государственной поддержке
национальных исследователей.
Следующая страна, рассмотренная в данном
исследовании - Уругвай (68-ое место). Уругвай начинает играть все более
заметную роль в регионе с точки зрения инновационного потенциала. Хотя, как и в
большинстве других стран Латинской Америки, инновационный потенциал остается в
большей части нереализованным. Что касается международной интеграции и
инновационной активности, Уругвай недавно подписал соглашение с Чили о торговле
и инвестициях. В 2007 году Уругвай запустил свой собственный национальный
инновационный фонд (ANII),
это новое учреждение, ориентированное на инновационное развитие, так как
правительство наконец признало что «нет развития без инноваций». Уругвай начал
признавать важность создания «общества знаний». Одной из основных задач ANII
включает в себя укрепление и реализация инновационного потенциала страны.
Создание фонда было ответом на конкретные вызовы: одна из таких задач состоит в
увеличении инвестиций в НИОКР, которые в 2013 году составили 0,23%. Программа
исследований в стране не направлена на решение экономических или социальных
проблем, а в основном определяется индивидуальными исследователями. Тем не
менее, количество занятых в НИОКР составляет 529 человек на миллион, это
приблизительно среднее значение среди стран региона. Доля высокотехнологичной
продукции в экспорте также принимает среднее значение среди исследуемых стран.
Нынешняя ситуация значительно улучшилась в плане инвестиций в науку и
технологии, даже если это не отражено в затратах на НИОКР, заметно расширился
ряд инструментов, направленных на стимулирование инновационной деятельности.
В латиноамериканском регионе за Уругваем в GII
2015 следует Бразилия. Бразилия - региональный лидер по территории, природным и
человеческим ресурсам. Национальная инновационная система Бразилии является
относительно молодой по сравнению со странами аналогичного размера. Промышленность
Бразилии одна из наиболее конкурентоспособных на мировом рынке благодаря
богатым природным ресурсам (нефть, газ, сельское хозяйство). Инновации в других
отраслях сдерживаются бразильским правительством из-за протекционистской
политики, что может предоставлять угрозу экономической безопасности в будущем,
в свете растущих торговых отношений с Китаем. Хотя Бразилия обладает
сильнейшими человеческими ресурсами в научно-технической области, инновационная
составляющая в промышленной отрасли все же мало развита, согласно многим
объективным показателям. Затраты на НИОКР в целом возрастали последнее
десятилетие, в 2012 году они составили 1,15% что несколько ниже, чем в России и
Китае, но самое высокое значение среди стран Латинской Америки. Также
показатели патентования в Бразилии по-прежнему значительно ниже, чем в
сопоставимых странах. Соотношение национальных и иностранных патентов в числе
поданных в патентные ведомства заявок за 2014 год составило 0,18, в то время
как в развитых странах, таких как Германии - 2,7, Дания - 6,68. Усилия
правительства, направленные на стимулирование инноваций, являются достаточно
недавними и имеют неоднозначный результат. Обмен знаниями между бизнесом и
университетами по большому счету осуществляется на низком уровне, а результаты исследований,
финансируемых государством, не используются в промышленности.
Это, в свою очередь, негативно сказывается на
возможности промышленного сектора участвовать в инновационной деятельности.
Инновации в частном секторе осуществляются в основном за счет приобретения
иностранных технологий, которые приспосабливают для разработки местной
продукции для регионального рынка. Несмотря на наличие профессиональных и
квалифицированных инженеров, компаниям не хватает мотивации для расширения
своих технологических границ. Они рассчитывают, что государство будет
продолжать оказывать поддержку и защищать отечественную промышленность. Это
отчасти является сдерживающим фактором для инвестирования в долгосрочные
исследования и разработки и инновационные стратегии, что подрывает
инновационный потенциал страны. Таким образом, национальная инновационная
система Бразилии остается пока еще молодой, двумя слабыми факторами является
связь между субъектами инновационной деятельностью (бизнесы и университеты) и
участие частного сектора в инновационной активности. Согласно отчету GII
2015, в Бразилии отмечаются высокие показатели по общей инфраструктуре,
доступности заемного финансирования и высокотехнологичному производству.
Бразильскому правительству следует уделить внимание состоянию политическим
институтам и деловому климату, которые занимают отстающие позиции в
соответствующем рейтинге.
Следом за Бразилией в GII
2015 располагается Перу (71-ое место), региональный лидер по добычи нефти.
Несмотря на стремительный экономический рост в Перу за последние несколько лет,
вызванный льготными условиями торговли и структурной реформой, введенной в
действие, страна по-прежнему отстает от других государств Латинской Америки со
средним уровнем дохода по объему ВВП на душу населения, производительности
труда и инноваций.
Перуанская экономика остается относительно
неоднородной, большую долю занимает первичный сектор. Среди факторов,
сдерживающих экономический рост, можно выделить слабый потенциал в области
научных исследований и низкие расходы на НТИ и НИОКР по сравнению с другими
странами со схожим уровнем развития. Общие расходы на исследования и разработки
составили 0,42% в 2012 году. Это не самое низкое значение среди рассматриваемых
стран, четвертое место после Аргентины, Бразилии и Мексики. Проблемным фактором
является тот факт, что Перу не обладает достаточным человеческим капиталом для
инновационного и технологического развития: количество выпускников и
исследователей в научно-технической области невелико, не в полной мере налажено
сотрудничество между университетами, исследовательскими институтами и частным
сектором. Маленькие и средние компании практически не осуществляют инвестиций в
инновации, тем самым упуская возможность повышения своей производительности и
роста. По количеству поданных заявлений в патентные ведомства Перу отстает не
только от развитых стран, но и от многих латиноамериканских экономик. Еще один
важный показатель - соотношение национальных и иностранных патентов в числе
поданных заявок имеет приблизительно среднее значение по изучаемому региону.
Это обусловлено слабой государственной
поддержкой национальных исследователей и поощрение регистрации и защиты их
изобретений. Число исследователей, сосредоточенных в научно-исследовательских
учреждениях мало - 181 человек на миллион, а их производительность низка,
отчасти из-за того, что в стране большая часть необходимого оборудования
устарело либо отсутствует вовсе. В целом, на сегодняшний день Перу находится на
стадии эффективного развития наряду с Аргентиной, Бразилией, Колумбией и
Коста-Рикой. Для перехода к инновационному развитию, государство должно уделить
внимание факторам, находящимся на низком уровне, таким как: человеческий
капитал, общее образование, инвестиции в НИОКР и политическая стабильность.
Аргентина - второе по территории и третье по
населению государство Латинской Америке, занимает 72-ое место в GII
2015. Стоит отметить, что данная страна опустилась на две позиции за последний
год по глобальному инновационному индексу, и на 14 за 2013, то есть наблюдается
негативный тренд. Аргентинская инновационная система, как и многие в Латинской
Америке характеризуется слабым потенциалом НИОКР. Затраты Аргентины на НИОКР в
2012 году составили 0,58% ВВП, это меньше, чем в 2011, и, в целом, являются
низкими. Также количество занятых в научно-исследовательской деятельности
достигает достаточно низкого значения по сравнению с развитыми странами, но не
самое отстающее в регионе. Доля высокотехнологической продукции в экспорте
составила 6,7%, и наблюдается снижение показателя по сравнению с предыдущими
годами. Взаимосвязь между промышленностью и исследовательскими институтами
слабая, что говорит об неэффективном обмене знаниями и технологиями. Чтобы
справиться с этой проблемой аргентинское правительство создало отраслевые фонды,
такие как FONSOFT
и FONSARSEC для индустрии
программного обеспечения, агросектора, здравоохранения и энергетики.
Также Аргентина подписала ряд двусторонних
соглашений по развитию научно-исследовательского сотрудничества. Анализирую
инновационные факторы, среди сильных можно выделить затраты на образование,
количество поступающих в вузы, доступность кредита. Для повышения числа
поступающих в высшие учебные заведения по стратегически важным направлениям
правительство обеспечивает программы повышенной стипендии. Также аргентинское
правительство в три раза увеличило бюджет на подготовку научно-технических
кадров. Аргентина, как и большая часть стран Латинской Америки, стремится
перейти на инновационный тип развития, для достижения этой цели государство
должно эффективно реализовывать национальную инновационную стратегию.
Закрывает десятку рассматриваемых стран Парагвай
(88-ое место). Парагвай является небольшой и открытой экономикой и одной из
наиболее бедных стран Латинской Америки. За последние несколько лет парагвайская
экономика росла примерно в среднем на 5% - это выше, чем ее соседи, но росла
весьма неустойчиво. Такой рост обусловлен сильной зависимостью от природных
ресурсов. Хотя экономический рост помог сократить нищету и снизить количество
людей, живущих за чертой бедности, однако бедность и неравенство доходов
остается серьезной проблемой в изучаемой стране. В 2015 году экономический рост
сократился до приблизительно 3%. За последнее десятилетие Парагвай добился
значительных улучшений макроэкономических показателей благодаря крупным
экономическим реформам, таких как закон о таргетировании инфляции.
Государственный долг продолжает расти, но остается одним из самых низких в
регионе. Можно отметить, что общая инфраструктура и услуги остаются на низком
уровне.
Также присутствуют проблемы, связанные с деловым
климатом и повышением эффективности политических институтов. Анализируя
инновационную составляющую, можно отметить, что доля высокотехнологичной
продукции в экспорте промышленных товаров находится на уровне Аргентины и Чили
и составляет 6,2%, что является достаточно хорошим значением для такой страны,
как Парагвай. Однако затраты на исследовательскую деятельность не превышают
0,1%, крайне низкое значение и доли занятых в НИОКР - всего 170 человек на миллион.
Можно предположить, что такие низкие показатели обусловлены тем, что
государство ставит приоритетом борьбу с бедностью, а не развитие
технологического и инновационного потенциала. Среди сильных сторон по GII
2015 следует упомянуть затраты на образование, количество фирм, предлагающих
профессиональное обучение, распространение знаний и число поданных
отечественных заявок на товарные знаки. Среди слабых факторов отмечаются общие
затраты на НИОКР, в частности, затраты частного сектора, а также слабое участие
бизнеса в инновационной деятельности. Общую траекторию развития Парагвая можно
отнести к стадии эффективного развития, стране нужно преодолеть множество
сдерживающих факторов, для того чтобы начать переход к развитию, основанному на
инновациях.
Таким образом, проанализировав и охарактеризовав
ряд латиноамериканских стран, можно выделить общие факторы и тенденции в их
научно-техническом и инновационном развитии. Так, например, во всех
рассмотренных странах, за исключением Бразилии, расходы на исследования и
разработки не превышают даже 1% ВВП, что указывает на недостаточное
финансирование инновационной деятельности как со стороны государства, так и
частного сектора. Также можно заметить, что по всем исследованным странам
соотношение национальных и иностранных патентов в числе поданных заявок в
патентные ведомства меньше единицы, даже в Чили - региональном инновационном
лидере, из этого следует, что недостаточно внимания уделяется защите
интеллектуальной собственности внутри страны, исследователи стремятся продать
свои разработки за рубеж. Среди общих проблемных характеристик для
перечисленных стран можно выявить следующие: слаборазвитая как инновационная,
так и инфраструктура в целом, политическая нестабильность, неэффективные
политические институты, бизнес среда, недостаток высококвалифицированных
специалистов для осуществления научных исследований и недофинансирование
научно-технической деятельности. Правительства стран должны разрабатывать
долгосрочные инновационные стратегии и проводить эффективную инновационную
политику для достижения намеченных целей для перехода к развитию, в основе
которого лежат передовых технологии и инновации. По мнению участников
Всемирного экономического форума, латиноамериканские страны имеют самый большой
нераскрытый инновационный потенциал, так как они находятся на более низких
позициях, по сравнению с другими странами.
2. Построение модели и описание
переменных
Как обсуждалось в теоретической части данного
исследования, в экономической практике для оценки уровня жизни населения и
общественного прогресса используется ВВП на душу населения. В мире существуют
разные примеры, когда в результате повышения своего инновационного потенциала
страны совершали большой прорыв в уровне экономического развития. Среди них
можно отметить Корею, Нидерланды, Финляндию и Малайзию, страны, которые за
последние десятилетия сделав ставку на телекоммуникации и высокотехнологичную
продукцию превратились в лидеров по экспорту электроники, компьютеров и их
комплектующих. Эти примеры демонстрируют, что инновационные ресурсы страны в
сочетании с эффективной инновационной и экономической политикой могут
обеспечить возможности для устойчивого экономического развития.
В данной работе за основу построения моделей
была взята схожая модель, представленная в статье Е.Ю. Борисовой.
Автор статьи использует модель, представляющую собой транслог-функцию для
описания ВВП на душу населения, а объясняющими переменными являются
классические макропоказатели и инновационные индикаторы.
Для нашего анализа были выбраны 10 стран
Латинской Америки - лидеров в регионе на основе глобального инновационного
индекса 2015 года. Первый этап построения модели включает в себя генерирование
инновационных индикаторов методом модифицированных первых главных компонент
(ПГК) унифицированных данных по двум блокам частных критериев в соответствии с
методологией, представленной С. А. Айвазян, В. С. Степановым и М.И. Козловой.
Первый блок - блок развития и применения современных технологий (INK), второй -
блок развития трудовых ресурсов (INL). Каждый блок генерировался из четырех
частных критериев:
Блок развития и применения современных
технологий включает в себя:
. Технологическую кооперацию
. Развитие и применение технологий
. Фундаментальные исследования
. Обмен знаниями между бизнесом и
университетами
Блок развития трудовых ресурсов формируется из
следующих индикаторов:
. Система образования
. Экономическая грамотность
. Наличие квалифицированных инженеров
. Навыки использования информационных
технологий
В качестве статистических данных, описывающих
частные критерии, были взяты индексы из глобального инновационного рейтинга по
соответствующим темам.
Описание данных:
ARG - Аргентина
BRZ - Бразилия
CHL - Чили
CLM - Колумбия
CSR -
Коста-Рика
MXC - Мексика
PNM - Панама
PRG - Парагвай
PRU - Перу
URG - Уругвай
gdp_pc_pps
- ВВП по ППС на душу населения
employment
- доля занятости от общего состава рабочей силы
fix_capital
- валовые инвестиции в основной капитал на душу населения
INK - ПГК
инновационного блока применения современных технологий
INL - ПГК инновационного
блока развития трудовых ресурсов
Прежде чем перейти к оцениванию моделей стоит
посмотреть на то, как изменялись переменные «gdp_pc_pps»,
«employment», «fix_capital»,
«INK» и «INL»
в рассматриваемых странах с течением времени и как изменялось их среднее
значение. Для наглядности были построены линейные графики. Проанализировав
полученные результаты, можно отметить, что за период с 2008 по 2014 уровень ВВП
по ППС на душу населения вырос почти во всех странах, кроме Аргентины, где он
сократился, и Бразилии, где остался практически неизменным. Причем, в Панаме и
Уругвае последние два года он рос более быстрыми темпами, чем в других странах.
Доля занятости от общего состава рабочей силы не представляет особого интереса,
так как она оставалась неизменной почти весь период во всех странах.
Единственное, что можно отметить - это то, что данный показатель стремительно
начал расти в Чили в 2009 году и перегнал Аргентину и Уругвай. Говоря о валовых
инвестициях в основной капитал на душу населения, следует заметить, что все
страны в 2009 году после небольшой «ямы» стали восстанавливать свой прежний
уровень, особенно в таких странах как Панама, Уругвай и Чили наблюдался
стремительный рост, однако к концу периода он замедлился и даже начал
переходить на спад. Если рассматривать среднее изменение показателей по всем
странам, то можно отметить общую положительную тенденцию: с 2009 года валовые
инвестиции в основной капитал на душу населения и душевой ВВП по ППС непрерывно
увеличивались. Средняя доля занятости от общего состава рабочей силы по региону
оставалась практически неизменна, однако наблюдался небольшой спад в 2009 году.
Далее рассмотрим ПГК инновационного блока
применения современных технологий и ПГК инновационного блока развития трудовых
ресурсов. Обращает на себя внимание тот факт, что фактор применения современных
технологий сильно колебался в большинстве стран на протяжении семи лет. В
Аргентине и Бразилии произошли наиболее заметные изменения, график имеет
циклический вид, причем к концу периода наблюдается снижение в развитии и
применении технологий. Напротив, развитие трудовых ресурсов, в целом, имело
положительную тенденцию, особенно стоит отметить Уругвай, где имел место
наиболее стремительный рост. Интересно обратить внимание на общее изменение среднего
значения ПГК блока развития трудовых ресурсов и ПГК блока применения
современных технологий по всем странам. Общее изменение первого индикатора
является положительным, что говорит о повышении качества человеческого
капитала, но имели место провалы в 2010 и 2012 годах. Что касается второго
блока, на графике видно, что данный индикатор колебался в течение всего
периода, достигая своего максимального значения в 2011 году, а в последний год
перешел на понижение.
Таким образом, были проанализированы изменения в
уровне значений соответствующих показателей, далее рассмотрим изменение
динамики этих показателей, с этой целью был взят натуральный логарифм
соответствующих значений («ln_gdp»,
«ln_ink»,
«ln_emp»,
«ln_fix_cap»,
«ln_inl»).
На линейных графиках видно, что изменения почти всех показателей едва заметны,
хоть и наблюдается их возрастание. Наиболее сильные изменения произошли в ПГК
блока развития человеческих ресурсов. Такое изменение может обуславливаться
тем, что данные страны активно проводят инновационную политику, направленную на
улучшение системы образования, обучение и подготовку высококвалифицированных
кадров. Более подробная описательная статистика для переменных по годам и
странам представлена в Приложении.
. Реализация моделей и представление результатов
На следующем этапе оценивались модели влияния
инноваций на уровень экономического благосостояния стран. Первая оцененная
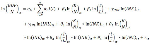
модель по страновым данным принимает следующий вид:
Модель 1. Pooled
Regression (pooled)
инновационный потенциал
технология латинский
где i
= Аргентина, Бразилия, …, Чили; t
= 2008, 2009,…,2014;
- логарифм ВПП по
ППС на душу населения;
- логарифм валовых
инвестиций в основной капитал;
- логарифм доли
занятости от общего состава рабочей силы;
-
логарифм ПГК инновационного блока развития и применения современных технологий
для страны i в году t;
-
логарифм ПГК инновационного блока развития труда для страны i
в году t;
-
прямой инновационный эффект технологий (технологий на капитал);
-
прямой инновационный эффект труда (инновации в сфере труда на рабочую силу);
-
перекрестный инновационный эффект труда (инновации в сфере труда на капитал);
-
перекрестный инновационный эффект технологий (технологий на рабочую силу);
-
ошибки модели, оцениваемой в году t
для страны i;
-
коэффициенты модели при переменных.
Данная модель дает оценку влияния инновационных
индикаторов на экономическое благосостояние всех стран в совокупности, без
учета их индивидуальных особенностей. Результаты оценивания для всех стран за
весь рассматриваемый период приведены в Приложении. Итак, по итогам первой
модели получилось, что все коэффициенты при неизвестных параметрах, кроме
переменной логарифма валовых инвестиций в основной капитал на душу населения,
являются незначимыми. Это означает, что в данном случае только один показатель
влияет на зависимую переменную. Значение оцененного коэффициента при переменной
является
положительно-значимой величиной для всего периода при уровне значимости 10% и
составляет 0.373. Величина коэффициента указывает, в какой степени валовые
инвестиции в ОК на душу населения влияют на экономическое благосостояние.
Поскольку коэффициент при переменной положителен, то при росте валовых
инвестиций в основной капитал на душу населения взрастет и душевой ВВП.
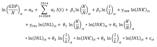
Так как в первой модели большая часть
коэффициентов оказалась незначима, была оценена следующая модель:
Модель 2. Fixed
Effect (fe)
Где
для
всех стран
, и
для
страны
.
В качестве базы для создания дамми-переменных была выбрана Аргентина (
).
Эта модель показывает влияние временного эффекта
на зависимость между инновационными показателями и душевым ВВП. Полученные
результаты указывают на то, что используемые переменные не влияют на ВВП с
течением времени. Все коэффициенты кроме блока развития трудовых ресурсов равны
нулю, а данный коэффициент незначим на всех уровнях значимости. Поэтому мы не
может говорить о его влиянии на экономическое благосостояние страны.
Модель 3. Fixed
Effect + Cross-country correlations (fe_cross)
Данная модель оценивает влияние переменных
инновационного блока INL
на экономическое благосостояние с учетом страновых особенностей. При ее
реализации были получены нулевые значения всех независимых параметров, что
может указывать на отсутствие зависимости между блоком развития человеческих
ресурсов и ростом душевого ВВП в каждой анализируемой стране в рассматриваемом
периоде.
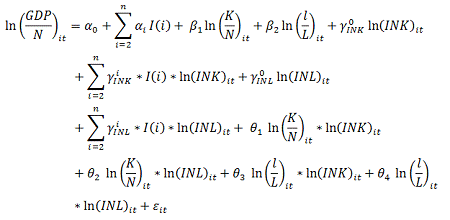
Далее, была проведена оценка Модели 4. Time
dummies (year)
Где
для
всех лет
,
и
для
периодов
.
В качестве базы для создания дамми-переменных был выбран 2008 год.
Оценивая данную модель, мы получили 7 значимых
коэффициента на уровне значимости 1%, и пришли к следующим выводам:
инновационный блок развития и применения современных технологий влияет на рост
ВВП на душу населения в таких странах как Аргентина, Бразилия, Мексика, Панама,
Парагвай, Уругвай и Чили, причем имеет значение временной эффект. То есть,
зависимость между изменением INK и ВВП на душу населения зависят от
рассматриваемого периода.
Итак, последняя оцененная модель имеет следующий
вид:
Модель 5. Time
dummies + Fixed Effect + Cross-country correlations + Cross-period correlations
(year_fe_cross)
Где
для
всех стран
, и
для
страны
.
В качестве базы для создания дамми-переменных была выбрана Чили (
)
Оцениваемая модель показывает влияние
инновационных блоков INK
и INL на
независимую переменную по времени и по всем странам, по сравнении с Чили. В
результате были получены два значимых коэффициента на уровне значимости 5%.
Анализ данной модели не выявил явного влияния инновационных блоков развития
труда и развития и применения современных технологий на изменение ВВП на душу
населения. Но было замечено, что в Чили в 2013 и 2014 году произошло какое-то
событие, которое повлияло на увеличение ВВП.
Значение коэффициента детерминации (R-squared)
показывает на сколько хорошо модель описывает связь между зависимыми и
независимыми переменными, другими словами на сколько качественно подобрана
модель. Чем ближе значение к единице, тем лучше модель считается. Во всех
случаях коэффициент детерминации достигает значения больше 0,8, что говорит о
хорошем качестве используемых модели.
Таким образом, оценка моделей, представленных в
этом разделе не принесла убедительных результатов. В большинстве случаев
используемые переменные не влияют на изменение ВВП на душу населения. На основе
модели 1, предположительно, можно говорить о влиянии единственной переменной -
валовых инвестиции в основной капитал на душу населения на экономическое
благосостояние во всех исследуемых странах. Но данный показатель не входит в
инновационный блок. Модели 2, 3 и 5 не выявили зависимость между блоками
инновационных переменных и душевого ВВП. На основе результатов оценки четвертой
модели, можно говорить о влиянии инновационного блока развития и применения
современных технологий в отдельных странах - Аргентине, Бразилии, Мексики,
Панаме, Парагвае, Уругвае и Чили, в том случае, когда присутствует временной
эффект. Из всего вышесказанного можно сделать вывод, что за 2008-2014 года в
рассматриваемых латиноамериканских странах увеличение показателя ВВП на душу
населения не объясняется повышением инновационных индикаторов. Это, в свою
очередь, означает, что нельзя однозначно говорить о влиянии инновационных
факторов на экономическое благосостояние рассматриваемых стран. Полученные
результаты частично опровергают поставленную гипотезу.
Список используемой литературы
инновационный потенциал
технология латинский
1. Борисова
Е. Ю. Оценивание влияния инноваций на экономическое благосостояние страны
//Прикладная эконометрика. - 2010. - №. 2.
. Вольчик
В. В. Эволюция институтов постиндустриальной экономики в контексте дихотомии
Веблена //TERRA ECONOMICUS. - 2008. - Т. 6. - №. 2.
. Гальперин
В. М., Игнатьев С. М., Моргунов В. И.. Микроэкономика. Том 2, 1999
. Гужва
Е.Г., Лесная М.И., Кондратьев А.В., Егоров А.Н. Мировая экономика: учебное
пособие. СПбГАСУ. - СПб., 2009. - 116 с. URL:
#"907621.files/image027.gif">
Схема 1
Помимо этого, инновации делятся по следующим
характеристикам: по причине возникновения, по типу новизны на рынке, по
характеру функций, по степени значимости в экономическом развитии и в
зависимости от глубины вносимых изменений. Такое разнообразие классификаций
дает понимание того, что инновации и инновационная деятельность могут быть
многообразны в зависимости от сферы функционирования и масштаба их реализации.
Однако, можно сделать общий вывод, что активные исследования в области теории
инноваций не привели к утрате их первоначального шумпетерианского понимания.
Схема 2
Приложение 2
Таблица 1. Доля высокотехнологичной продукции в
экспорте промышленной продукции, %
|
2012
|
2013
|
2014
|
|
Аргентина
|
7,7
|
9,8
|
6,7
|
|
Бразилия
|
10,5
|
9,6
|
10,6
|
|
Мексика
|
16,3
|
15,9
|
16,0
|
|
Колумбия
|
5,2
|
7,4
|
7,7
|
|
Коста-Рика
|
39,6
|
43,3
|
н/д
|
|
Панама
|
0,4
|
0,0
|
0,2
|
|
Парагвай
|
6,9
|
7,5
|
6,1
|
|
Уругвай
|
9,3
|
8,7
|
7,9
|
|
Чили
|
4,6
|
4,9
|
6,2
|
|
Финляндия
|
8,5
|
7,2
|
7,9
|
|
Дания
|
14,2
|
14,4
|
14,4
|
|
Германия
|
15,66
|
16,02
|
16,01
|
|
Япония
|
17,41
|
16,78
|
16,69
|
|
США
|
17,78
|
17,82
|
18,23
|
Таблица 2. Затраты на исследования и разработки,
% от ВВП
|
2010
|
2011
|
2012
|
2013
|
|
Аргентина
|
0,62
|
0,65
|
0,58
|
н/д
|
|
Бразилия
|
1,16
|
1,21
|
1,15
|
н/д
|
|
Мексика
|
0,45
|
0,42
|
0,43
|
0,50
|
|
Колумбия
|
0,21
|
0,22
|
0,22
|
0,22641
|
|
Коста-Рика
|
0,48
|
0,47
|
н/д
|
н/д
|
|
Панама
|
0,15
|
0,18
|
н/д
|
н/д
|
|
Парагвай
|
н/д
|
0,06
|
0,09
|
н/д
|
|
Перу
|
0,61
|
0,27
|
0,42
|
н/д
|
|
Уругвай
|
0,40
|
0,42
|
0,23
|
н/д
|
|
Чили
|
0,33
|
0,35
|
0,36
|
н/д
|
|
Финляндия
|
3,73
|
3,64
|
3,42
|
3,31
|
|
Дания
|
2,94
|
2,97
|
3,02
|
3,06
|
|
Германия
|
2,72
|
2,80
|
2,88
|
2,85
|
|
Япония
|
3,25
|
3,38
|
3,34
|
3,47
|
|
США
|
2,74
|
2,77
|
2,81
|
н/д
|
Таблица 3. Количество занятых в НИОКР на миллион
человек
|
2011
|
2012
|
2013
|
|
Аргентина
|
1208,5
|
1225,7
|
н/д
|
|
Бразилия
|
656,3
|
698,1
|
н/д
|
|
Мексика
|
383,2
|
н/д
|
н/д
|
|
Колумбия
|
160,7
|
164,3
|
н/д
|
|
Коста-Рика
|
1327,5
|
н/д
|
н/д
|
|
Панама
|
119,0
|
н/д
|
н/д
|
|
Парагвай
|
50,4
|
169,5
|
н/д
|
|
Перу
|
н/д
|
н/д
|
н/д
|
|
Уругвай
|
524,9
|
537,3
|
529,1
|
|
Чили
|
353,4
|
391,0
|
н/д
|
|
Финляндия
|
7413,6
|
7460,1
|
7187,9
|
|
Дания
|
7025,8
|
7310,5
|
7264,6
|
|
Германия
|
4211,3
|
4379,1
|
4472,2
|
|
Япония
|
5160,2
|
5083,7
|
5201,3
|
|
США
|
4010,8
|
4018,63
|
н/д
|
Таблица 4. Количество национальных и иностранных
патентов в числе поданных в патентные ведомства заявок за 2014 год.
|
Национальные
|
Иностранные
|
Соотношение
|
|
Аргентина
|
509
|
4173
|
0,12
|
|
Бразилия
|
4659
|
25683
|
0,18
|
|
Мексика
|
1246
|
14889
|
0,08
|
|
Колумбия
|
260
|
1898
|
0,14
|
|
Коста-Рика
|
16
|
552
|
0,03
|
|
Панама
|
13
|
274
|
0,05
|
|
Парагвай
|
н/д
|
н/д
|
н/д
|
|
Перу
|
83
|
1204
|
0,07
|
|
Уругвай
|
37
|
639
|
0,06
|
|
Чили
|
452
|
2653
|
0,17
|
|
Финляндия
|
1419
|
126
|
11,26
|
|
Дания
|
1377
|
206
|
6,68
|
|
Германия
|
48154
|
17811
|
|
Япония
|
265959
|
60030
|
4,43
|
|
США
|
285096
|
293706
|
0,97
|
Приложение 3
В данном разделе приложения все графики
построены в пакете Stata
на основе данных, взятых с сайта Всемирного Банка и собственных расчетов
автора.
График 1. ВВП по ППС на душу населения, долл.
США
График 2. Доля занятости от общего состава
рабочей силы
График 3. Валовые инвестиции в основной капитал
на душу населения, долл. США
График 4. ПГК инновационного блока развития и
применения современных технологий
График 5. ПГК инновационного блока развития
трудовых ресурсов
График 6. Динамика показателей
График 7. Среднее изменение ВВП по ППС на душу
населения по всем рассматриваемым странам
График 8. Среднее изменение валовых инвестиций в
ОК на душу населения по всем рассматриваемым странам
График 9. Среднее изменение ПГК инновационного
блока развития и применения современных технологий по всем рассматриваемым
странам
Приложение 4
инновационный потенциал
технология латинский
Таблица 1. Общая Описательная статистика для
переменных
|
Variable
|
Mean
|
Std. Dev.
|
Min
|
Max
|
Observations
|
|
ln_gdp
|
overall
|
9,497511
|
0,29659
|
8,751874
|
10,00202
|
|
Between
|
0,285447
|
8,914993
|
9,867685
|
n = 10
|
|
|
Within
|
0,116495
|
9,234895
|
9,724333
|
T = 7
|
|
|
ln_fix~cap
|
overall
|
7,500439
|
0,495018
|
5,860998
|
8,229645
|
|
Between
|
0,472724
|
6,326163
|
8,012846
|
n = 10
|
|
|
Within
|
0,2025
|
7,035273
|
7,833185
|
T = 7
|
|
|
ln_emp
|
overall
|
4,116835
|
0,081902
|
3,953165
|
4,295924
|
|
between
|
0,08398
|
4,023767
|
4,288673
|
n = 10
|
|
|
within
|
0,016392
|
4,046233
|
4,155234
|
T = 7
|
|
|
ln_ink
|
overall
|
1,052878
|
0,18895
|
0,417269
|
1,427026
|
|
between
|
0,167893
|
0,687816
|
1,332853
|
n = 10
|
|
|
within
|
0,099825
|
0,782331
|
1,258986
|
T = 7
|
|
|
ln_inl
|
overall
|
0,652898
|
0,473921
|
-0,86099
|
1,765482
|
|
between
|
0,287196
|
0,122966
|
0,999039
|
n = 10
|
|
|
within
|
0,386383
|
-0,59025
|
1,41934
|
T = 7
|
|
Таблица 2. Описательная статистика для
переменных по странам
|
BY COUNTRIES
|
|
|
|
|
|
|
-> country =
|
ARG
|
|
|
|
|
|
Variable
|
Obs
|
Mean
|
Std. Dev.
|
Min
|
Max
|
|
ln_gdp
|
7
|
9,392982
|
0,176611
|
9,130366
|
9,577972
|
|
ln_fix_cap
|
7
|
7,66861
|
0,156135
|
7,389441
|
7,813049
|
|
ln_emp
|
7
|
4,028902
|
0,005807
|
4,021774
|
4,037774
|
|
ln_ink
|
7
|
1,019467
|
0,157144
|
0,790757
|
1,179059
|
|
ln_inl
|
7
|
0,824079
|
0,426276
|
-0,00983
|
1,257586
|
|
-> country =
|
BRZ
|
|
|
|
|
|
Variable
|
Obs
|
Mean
|
Std. Dev.
|
Min
|
Max
|
|
ln_gdp
|
7
|
9,584974
|
0,081012
|
9,479909
|
9,673643
|
|
ln_fix_cap
|
7
|
7,697977
|
0,20349
|
7,389483
|
7,895621
|
|
ln_emp
|
7
|
4,173037
|
0,008519
|
4,158883
|
4,183576
|
|
ln_ink
|
7
|
1,332853
|
0,071051
|
1,210054
|
1,427026
|
|
ln_inl
|
7
|
0,823528
|
0,15518
|
0,546666
|
0,969276
|
|
-> country =
|
CHL
|
|
|
|
|
|
Variable
|
Obs
|
Mean
|
Std. Dev.
|
Min
|
Max
|
|
ln_gdp
|
7
|
9,867685
|
0,129456
|
9,694379
|
10,00202
|
|
ln_fix_cap
|
7
|
8,012846
|
0,18992
|
7,708668
|
8,229645
|
|
ln_emp
|
7
|
4,023767
|
0,043934
|
3,953165
|
4,062166
|
|
ln_ink
|
7
|
1,168456
|
0,067079
|
1,025882
|
1,212983
|
|
ln_inl
|
7
|
0,91409
|
0,284897
|
0,382088
|
1,216527
|
|
-> country =
|
CLM
|
|
|
|
|
|
Variable
|
Obs
|
Mean
|
Std. Dev.
|
Min
|
Max
|
|
ln_gdp
|
7
|
9,347507
|
0,107329
|
9,223477
|
9,499807
|
|
ln_fix_cap
|
7
|
7,367068
|
0,223821
|
7,063438
|
7,610164
|
|
ln_emp
|
7
|
4,086255
|
0,021759
|
4,046554
|
4,109233
|
|
ln_ink
|
7
|
0,968789
|
0,09343
|
0,89789
|
1,174897
|
|
ln_inl
|
7
|
0,447384
|
0,460594
|
-0,43751
|
0,88095
|
|
-> country =
|
CSR
|
|
|
|
|
|
Variable
|
Obs
|
Mean
|
Std. Dev.
|
Min
|
Max
|
|
ln_gdp
|
7
|
9,484681
|
0,090551
|
9,377818
|
9,610329
|
|
ln_fix_cap
|
7
|
7,504985
|
0,177477
|
7,274978
|
7,729735
|
|
ln_emp
|
7
|
4,062106
|
0,011775
|
4,053523
|
4,087656
|
|
ln_ink
|
7
|
1,18572
|
0,104363
|
0,959827
|
1,263998
|
|
ln_inl
|
7
|
0,852051
|
0,321037
|
0,286411
|
1,089843
|
|
-> country =
|
MXC
|
|
|
|
|
|
Variable
|
Obs
|
Mean
|
Std. Dev.
|
Min
|
Max
|
|
ln_gdp
|
7
|
9,643817
|
0,080452
|
9,540332
|
9,759313
|
|
ln_fix_cap
|
7
|
7,626859
|
0,094468
|
7,45359
|
7,701622
|
|
ln_emp
|
7
|
4,062089
|
0,013377
|
4,043051
|
4,077538
|
|
ln_ink
|
7
|
1,033436
|
0,136758
|
0,764058
|
1,143323
|
|
ln_inl
|
7
|
0,73169
|
0,446227
|
-0,21488
|
1,035184
|
|
-> country =
|
PNM
|
|
|
|
|
|
Variable
|
Mean
|
Std. Dev.
|
Min
|
Max
|
|
ln_gdp
|
7
|
9,720431
|
0,166976
|
9,524579
|
9,947252
|
|
ln_fix_cap
|
7
|
7,706837
|
0,245407
|
7,418524
|
8,01137
|
|
ln_emp
|
7
|
4,131688
|
0,010124
|
4,114147
|
4,141546
|
|
ln_ink
|
7
|
1,070288
|
0,113924
|
0,934369
|
1,196866
|
|
ln_inl
|
7
|
0,351904
|
0,579434
|
-0,86099
|
0,730354
|
|
-> country =
|
PRG
|
|
|
|
|
|
Variable
|
Obs
|
Mean
|
Std. Dev.
|
Min
|
Max
|
|
ln_gdp
|
7
|
8,914993
|
0,123912
|
8,751874
|
9,095081
|
|
ln_fix_cap
|
7
|
6,326163
|
0,255045
|
5,860998
|
6,617142
|
|
ln_emp
|
7
|
4,201684
|
0,006664
|
4,188138
|
4,207673
|
|
ln_ink
|
7
|
0,687816
|
0,140911
|
0,417269
|
0,794731
|
|
ln_inl
|
7
|
0,462245
|
0,124089
|
0,300856
|
0,645712
|
|
-> country =
|
PRU
|
|
|
|
|
|
Variable
|
Obs
|
Mean
|
Std. Dev.
|
Min
|
Max
|
|
ln_gdp
|
7
|
9,240361
|
0,122816
|
9,091554
|
9,391739
|
|
ln_fix_cap
|
7
|
7,213515
|
0,242821
|
6,882642
|
7,473723
|
|
ln_emp
|
7
|
4,288673
|
0,007366
|
4,273884
|
4,295924
|
|
ln_ink
|
7
|
1,00645
|
0,044779
|
0,933203
|
1,066294
|
|
ln_inl
|
7
|
0,122966
|
0,275602
|
-0,32616
|
0,436531
|
|
-> country =
|
URG
|
|
|
|
|
|
Variable
|
Obs
|
Mean
|
Std. Dev.
|
Min
|
Max
|
|
ln_gdp
|
7
|
9,77768
|
0,130549
|
9,595978
|
9,946752
|
|
ln_fix_cap
|
7
|
7,879529
|
0,308164
|
7,475823
|
8,212275
|
|
ln_emp
|
7
|
4,110145
|
0,007825
|
4,09601
|
4,11741
|
|
ln_ink
|
7
|
1,055508
|
0,08481
|
0,886064
|
1,1397
|
|
ln_inl
|
7
|
0,999039
|
0,698904
|
-0,24411
|
1,765482
|
Таблица 3. Описательная статистика для
переменных по годам
|
BY YEAR
|
|
|
|
|
|
|
-> year = 2008
|
|
|
|
|
|
|
Variable
|
Obs
|
Mean
|
Std. Dev.
|
Min
|
Max
|
|
|
|
|
|
|
|
ln_gdp
|
10
|
9,359438
|
0,277124
|
8,798033
|
9,707325
|
|
ln_fix_cap
|
10
|
7,322816
|
0,480565
|
6,195021
|
7,888021
|
|
ln_emp
|
10
|
4,109717
|
0,087061
|
3,975936
|
4,273884
|
|
ln_ink
|
10
|
0,970829
|
0,266864
|
0,417269
|
1,356776
|
|
ln_inl
|
10
|
-0,03299
|
0,465386
|
-0,86099
|
0,546666
|
|
-> year = 2009
|
|
|
|
|
|
|
Variable
|
Obs
|
Mean
|
Std. Dev.
|
Min
|
Max
|
|
|
|
|
|
|
|
ln_gdp
|
10
|
9,350325
|
0,29477
|
8,751874
|
9,694379
|
|
ln_fix_cap
|
10
|
7,191758
|
0,520247
|
5,860998
|
7,708668
|
|
ln_emp
|
10
|
4,102898
|
0,095989
|
3,953165
|
4,284965
|
|
ln_ink
|
10
|
1,032724
|
0,219284
|
0,574837
|
1,379321
|
|
ln_inl
|
10
|
0,431905
|
0,286719
|
-0,0812
|
0,73515
|
|
-> year = 2010
|
|
|
|
|
|
|
Variable
|
Obs
|
Mean
|
Std. Dev.
|
Min
|
Max
|
|
ln_gdp
|
10
|
9,436269
|
0,281327
|
8,873756
|
9,811895
|
|
ln_fix_cap
|
10
|
7,398381
|
0,470311
|
6,23703
|
7,894798
|
|
ln_emp
|
10
|
4,110218
|
0,084329
|
4,01458
|
4,289089
|
|
ln_ink
|
10
|
1,078381
|
0,183645
|
0,723125
|
1,427026
|
|
ln_inl
|
10
|
0,585551
|
0,297155
|
0,022473
|
0,889729
|
|
-> year = 2011
|
|
|
|
|
|
|
Variable
|
Obs
|
Mean
|
Std. Dev.
|
Min
|
Max
|
|
ln_gdp
|
10
|
9,519013
|
0,290125
|
8,923282
|
9,916701
|
|
ln_fix_cap
|
10
|
7,570479
|
0,459556
|
6,480769
|
8,089843
|
|
ln_emp
|
10
|
4,120141
|
0,084458
|
4,028917
|
4,291828
|
|
ln_ink
|
10
|
1,10022
|
0,15093
|
0,7932
|
1,342166
|
|
ln_inl
|
10
|
0,875832
|
0,303256
|
0,334885
|
1,377817
|
|
-> year = 2012
|
|
|
|
|
|
|
Variable
|
Obs
|
Mean
|
Std. Dev.
|
Min
|
Max
|
|
ln_gdp
|
10
|
9,567721
|
0,305144
|
8,91513
|
9,969748
|
|
ln_fix_cap
|
10
|
7,645206
|
0,512275
|
6,370501
|
8,207949
|
|
ln_emp
|
10
|
4,124839
|
0,082132
|
4,030694
|
4,295924
|
|
ln_ink
|
10
|
1,06169
|
0,173378
|
0,7646
|
1,274008
|
|
ln_inl
|
10
|
0,777166
|
0,317197
|
0,108757
|
1,168793
|
|
-> year = 2013
|
|
|
|
|
|
|
Variable
|
Obs
|
Mean
|
Std. Dev.
|
Min
|
Max
|
|
ln_gdp
|
10
|
9,613794
|
0,280196
|
9,047797
|
9,971725
|
|
ln_fix_cap
|
10
|
0,481481
|
6,521681
|
8,229645
|
|
ln_emp
|
10
|
4,125781
|
0,080323
|
4,034241
|
4,293195
|
|
ln_ink
|
10
|
1,09243
|
0,15871
|
0,794731
|
1,340622
|
|
ln_inl
|
10
|
0,947056
|
0,344119
|
0,365475
|
1,613517
|
|
-> year = 2014
|
|
|
|
|
|
|
Variable
|
Obs
|
Mean
|
Std. Dev.
|
Min
|
Max
|
|
ln_gdp
|
10
|
9,636018
|
0,289868
|
9,095081
|
10,00202
|
|
ln_fix_cap
|
10
|
7,678213
|
0,437591
|
6,617142
|
8,185805
|
|
ln_emp
|
10
|
4,124248
|
0,081477
|
4,023564
|
4,291828
|
|
ln_ink
|
10
|
1,033875
|
0,171141
|
0,74695
|
1,210054
|
|
ln_inl
|
10
|
0,985764
|
0,387554
|
0,436531
|
1,765482
|
Приложение 5
|
pooled
|
fe
|
fe_cross
|
year
|
year_fe_cross
|
|
VARIABLES
|
ln_gdp
|
ln_gdp
|
ln_gdp
|
ln_gdp
|
ln_gdp
|
|
|
|
|
|
|
|
ln_fix_cap
|
0.373**
|
0.403***
|
0.508**
|
0.362**
|
0.325
|
|
(0.159)
|
(0.111)
|
(0.189)
|
(0.175)
|
(0.229)
|
|
ln_emp
|
1.316
|
-0.808
|
5.617
|
1.411
|
0.906
|
|
(1.658)
|
(1.327)
|
(3.720)
|
(1.774)
|
(4.498)
|
|
o.ln_ink
|
|
|
-
|
|
-
|
|
o.ln_inl
|
|
|
|
|
-
|
|
ln_ink_fc
|
0.247
|
0.000514
|
-0.206
|
0.297*
|
-0.264
|
|
(0.166)
|
(0.114)
|
(0.197)
|
(0.174)
|
(0.227)
|
|
ln_inl_fc
|
-0.00928
|
0.00409
|
0.165**
|
-0.0209
|
0.253**
|
|
(0.0882)
|
(0.0472)
|
(0.0816)
|
(0.0955)
|
(0.121)
|
|
ln_ink_emp
|
-1.412
|
1.404
|
-5.005
|
-1.495
|
-0.539
|
|
(1.599)
|
(1.199)
|
(3.377)
|
(1.674)
|
(4.135)
|
|
ln_inl_emp
|
0.403
|
-0.429
|
0.470
|
0.454
|
-0.304
|
|
(0.484)
|
(0.336)
|
(0.380)
|
(0.502)
|
(0.460)
|
|
_Iyear_2009
|
|
|
|
0.0849
|
0.0210
|
|
|
|
|
(0.0562)
|
(0.0441)
|
|
_Iyear_2010
|
|
|
|
0.0483
|
0.0703
|
|
|
|
|
(0.0604)
|
(0.0846)
|
|
_Iyear_2011
|
|
|
|
0.0182
|
0.152
|
|
|
|
|
(0.0708)
|
(0.136)
|
|
_Iyear_2012
|
|
|
|
0.0183
|
0.197*
|
|
|
|
|
(0.0680)
|
(0.107)
|
|
o._Iyear_2014
|
|
|
|
|
-
|
|
ln_inl
|
-1.570
|
1.804
|
-3.091
|
-1.714
|
-0.601
|
|
(2.255)
|
(1.516)
|
(1.883)
|
(2.356)
|
(2.175)
|
|
_IyeaXln__2009
|
|
|
|
|
-0.0609
|
|
|
|
|
|
(0.0812)
|
|
_IyeaXln__2010
|
|
|
|
|
-0.0567
|
|
|
|
|
|
(0.103)
|
|
_IyeaXln__2011
|
|
|
|
|
-0.101
|
|
|
|
|
|
(0.114)
|
|
_IyeaXln__2012
|
|
|
|
|
-0.133
|
|
|
|
|
|
(0.0979)
|
|
_IyeaXln__2013
|
|
|
|
|
-0.235*
|
|
|
|
|
|
(0.125)
|
|
_IyeaXln__2014
|
|
|
|
|
-0.246*
|
|
|
|
|
|
(0.123)
|
|
_Ic_2
|
|
0.119
|
-0.719
|
|
-0.344
|
|
|
(0.0740)
|
(0.641)
|
|
(0.700)
|
|
_Ic_3
|
|
0.348***
|
-0.365
|
|
0.126
|
|
|
(0.0347)
|
(0.449)
|
|
(0.527)
|
|
_Ic_4
|
|
0.0945**
|
-0.592*
|
|
-0.134
|
|
|
(0.0447)
|
(0.347)
|
|
(0.431)
|
|
_Ic_5
|
|
0.160***
|
-0.377
|
|
-0.0452
|
|
|
(0.0337)
|
(0.291)
|
|
(0.333)
|
|
_Ic_6
|
|
0.269***
|
-0.543*
|
|
0.156
|
|
|
(0.0304)
|
(0.307)
|
|
(0.412)
|
|
_Ic_7
|
|
0.314***
|
-0.916*
|
|
-0.262
|
|
|
(0.0514)
|
(0.479)
|
|
(0.532)
|
|
_Ic_8
|
|
0.0701
|
-1.219
|
|
-0.328
|
|
|
(0.120)
|
(0.845)
|
|
(1.077)
|
|
_Ic_9
|
|
-0.0377
|
-1.615
|
|
-1.005
|
|
|
(0.123)
|
(1.085)
|
|
(1.396)
|
|
_Ic_10
|
|
0.266***
|
-0.849*
|
|
0.0527
|
|
|
(0.0441)
|
(0.476)
|
|
(0.648)
|
|
ink_ln
|
|
|
21.31
|
|
3.939
|
|
|
|
(13.53)
|
|
|
|
o._Iyear_2009
|
|
|
|
|
-
|
|
o._Iyear_2010
|
|
|
|
|
-
|
|
o._Iyear_2011
|
|
|
|
|
-
|
|
o._Iyear_2012
|
|
|
|
|
-
|
|
_Iyear_2013
|
|
|
|
0.0288
|
0.339**
|
|
|
|
|
(0.0735)
|
(0.150)
|
|
_Iyear_2014
|
|
|
|
0.0674
|
0.374**
|
|
|
|
|
(0.0765)
|
(0.155)
|
|
chili_inl
|
|
|
-0.159**
|
|
-0.0333
|
|
ln_ink
|
3.952
|
-5.781
|
|
3.899
|
|
|
(7.311)
|
(5.450)
|
|
(7.657)
|
|
|
Constant
|
1.263
|
9.597
|
-16.75
|
0.949
|
3.373
|
|
(7.668)
|
(5.967)
|
(14.69)
|
(8.256)
|
(17.64)
|
|
|
|
|
|
|
|
Observations
|
70
|
70
|
70
|
70
|
70
|
|
R-squared
|
0.888
|
0.980
|
0.988
|
0.895
|
0.992
|
|
Standard errors in parentheses
|
|
|
|
|
*** p<0.01, ** p<0.05, *
p<0.1
|
|
|
|
Приложение 6
инновационный потенциал
технология латинский
Рассмотрим более подробно институциональную
структуру в изучаемых в данной работе латиноамериканских странах. В Аргентине,
например, научно-исследовательская деятельность возглавляется Министерством
наук, технологий и инноваций и регулируется законом «О науке, технологии и
инновациях». С 1950-х годов, в Аргентине было создано множество агентств для
проведения НИОКР в различных областях, среди них можно выделить Национальную
комиссию атомной энергетики (CNEA),
Национальный институт сельскохозяйственной технологии (INTA),
Институт научно-технических исследований вооруженных сил (CITEFA),
Национальный институт промышленной технологии (INTI)
и другие. В 1951 году был создан Национальный совет по научно-техническим
исследованиям (CONICET),
который отвечает за продвижение и внедрение научно-технологической деятельности
в различных областях знаний. Также было сформировано Национальное агентство по
развитию науки и техники (ANPCYT),
которое управляет тремя фондами: Фондом технологий Аргентины (FONTAR),
Фондом для научных и технологических исследований (FONCYT)
и Целевым фондом для содействия индустрии программного обеспечения (FONSOFT).
Перечисленные организации направляют финансирование на развитие аргентинской
НИС, путем финансирования проектов по модернизации и технологическим инновациям
на предприятиях. В Аргентине также действуют программы PICTO
и PAE, другими словами, это исследовательские проекты, направленные на
получение знаний в научной и технологической областях и на укрепление
сотрудничества между участниками инновационной деятельности. Помимо программ
существуют и другие инструменты, такие как налоговые сертификаты (Certificados de
Crédito Fiscal), которые покрывают до 50% общей
стоимости проекта технологических разработок, затраты на патентование,
обучение, техническую помощи и другие расходы. Так инновационная инфраструктура
в Аргентине представлена большим числом разнообразных учреждений и организаций,
из были отмечены, на наш взгляд, наиболее значимые.
Инновационная инфраструктура Бразилии достаточно
хорошо развита и представлена рядом разнообразных институтов. Ответственным за
осуществлением национальной политики в области науки, техники и инноваций (НТИ)
является Министерство науки и технологии (MCT).
Кроме Министерства в стране действует Национальный совет по науки и технологии
(ССТ), целью которого является развитие человеческого капитала для
осуществления НИОКР. В 1951 году был создан Национальный совет научных и
технологических исследований (CNPq),
первоначально занимавшийся атомными программами. Сейчас данное учреждение
является важным источником финансирования государственных исследований, также
он предоставляет стипендии студентам в качестве поощрения технологических
проектов. Финансированием научных исследований в университетах, технических
вузах и исследовательских центров занимается Агентство финансирования
исследований и проектов (FINEP).
Среди программ, находящихся в ведении данного органа можно упомянуть программу
поддержки инноваций на предприятиях (PRO-INNOVACION), исследовательскую
программу по санитарным услугам (PROSAB), программу по поддержке технологий
жилищного строительства и национальных технологических инкубаторов (HABITARE) и
другие. В 1972 году был образован важный институт регулирования инновационной
сферы, отвечающий за защиту интеллектуальной собственности и регулирования
трансферта технологий - Секретариат промышленных технологий при Министерстве
промышленности и торговли. Данная организация способствует созданию новых
изобретений и их регистрации в национальных патентных ведомствах. Бразилия, как
и Аргентина, стремится создать институциональную среду для развития
национального венчурного рынка. В целом, в глобальном инновационном рейтинге
Бразилия занимает среднее положение по развитости институциональной среды.
Колумбийская инновационная система тоже
охватывает широкий спектр организаций: компании, научно-исследовательские
учреждения, правительство и ряд других субъектов. Департамент национального
планирования обеспечивает общую координацию государственной экономической и
социальной политики. Главным субъектов в области НТИ является Административный
департамент науки, технологий и инноваций Colciencias,
это основной орган государственного управления, которому поручено
разрабатывать, координировать, и проводить реализацию государственной политики
в сфере научных исследований, технологий и инноваций.
В него входят 11 научно-исследовательских
совета, которые ведут активное взаимодействие с академическим сообществом, и с
бизнесом, но в меньшей степени. Национальная комиссия по вопросам конкурентоспособности
и инноваций согласовывает меры и инструменты, направленные на повышение
конкурентоспособности страны. В каждом регионе комиссия разрабатывает свой план
развития региональной инновационной системы. Так фактически существует две
параллельные системы управления инновационной деятельностью: поощрение и
стимулирование исследовательской деятельности и повышение
конкурентоспособности. Стоить отметить, что Административный департамент и
Национальная комиссия руководствуются отдельными индивидуальными стратегиями.
Инновационные институты в Колумбии представляют собой широкий сектор
университетов и не академических исследовательских центров. В сумме Колумбия
располагает 81 государственными и частными университетами. Как и в других
странах, в Колумбии существуют независимые научно-исследовательские институты,
такие как FIDIC, осуществляющий исследования в разных научных сферах.
Наблюдается некоторое взаимодействие между бизнесом и институтами, но
сотрудничество между фирмами и научно-исследовательскими учреждениями
по-прежнему сравнительно мало.
В Коста-Рике первой организацией для продвижения
научно-технического развития стало Министерство науки и технологии Коста-Рики
(MICITT), созданное в 1990-ом году. Десять лет спустя, в 2000 году был
сформирован Фонд грантов (FRC),
целью которого являлось стимулирование НИОКР в малых и средних предприятиях,
совершенствование управленческого потенциала и повышение конкурентоспособности.
В 2002 году фонд был преобразован в новый фонд PROPYME
по развитию предпринимательства и повышению конкурентоспособности МСП. Его
ресурсы выделяются на проекты по активизации трансфера технологий и развитию
человеческого капитала и технологических услуг. Мониторингом и отчетностью
деятельности фонда занимается Министерство науки и технологии. Такая
трансформация была важным правовым изменением организационной структуры фонда
для избегания политического влияния и коррупции при распределении выделенных
ресурсов. Так же как и в Аргентине, в Коста-Рики функционирует Совет по
научно-технологическим исследованиям (CONICIT), он отвечает за стимулирование
инновационной деятельности для дальнейшего повышения национального потенциала в
области науки и технике. Университет Коста-Рики располагает наибольшим
научно-исследовательским потенциалом в стране, в него входят 64 лаборатории,
которые осуществляют исследования в таких областях как молекулярная и клеточная
биология. Также в составе институтов есть исследовательские центры, которые
специализируются на пищевых технологиях, сельскохозяйственных и биотехнологиях.
Помимо этого, есть государственные лаборатории, которые уделяют внимание
вопросам национального приоритета в рамках повестки дня правительства.
Например, Министерство сельского хозяйства и
Министерство здравоохранения, как правило, имеют свои лаборатории для
мониторинга и надзора за деятельностью в сфере микробиологии, биологических
отходов и для контроля и профилактики болезней. В целом, инфраструктура развита
на среднем уровне, большая часть лабораторий часто не оборудована надлежащим
образом. Кроме нехватки средств, отсутствует персонал для долгосрочных
исследований. Передача технологий из высших учебных заведений в частный сектор
осуществляется слабо, учитывая, что меньше трети компаний взаимодействует с
институтами.
В Мексике главным органом, формирующим
национальную инновационную систему, является Генеральный совет по научному и
технологическому развитию. Он несет ответственность как за формирование и
внедрение политики в области науки и технологий, так и за координацию
научно-технической деятельности в целом. Совет консультируется с экспертами и
научными организациями. Научно-технологический сектор и вся деятельность в этой
области возглавляется Национальным советом по науке и технике (CONACYT),
чья основная функция состоит в поощрении и поддержке научных разработок и
технологической модернизации на национальном и региональном уровнях. Совет был
создан по решению правительства в 1970 году, изначально для разработки и
осуществления политики в научно-технической области. В 1970-е годы, данная
политика была четко ориентирована на достижение национальной независимости
научно-технического потенциала. Для подготовки специалистов, CONACYT
предоставляет финансовую помощь своим и иностранным студентам. Совет по науке и
технике также обеспечивает финансирование для стажировок и академических
отпусков как в национальных, так и зарубежных университетах. Совет имеет свои
научно-исследовательские центры, которые включают в себя 27
научно-исследовательских института в сфере математики, естественных и общественных
наук, а также в инновационной и технологической областях.
Важное место играет международная кооперация.
Научно-исследовательские центры ежегодно подписывают соглашения о
сотрудничестве с институтами США, Канады, Испании и Великобритании, и их число
каждый год удваивается. В них работает более 4 тысяч исследователей, техников и
вспомогательного персонала. Кроме того, CONACYT
распределяет деньги на совместные государственные проекты. В рамках данного
учреждения действует несколько программ: ADVANCE
и IDEA, которые направлены на стимулирование инновационной активности в частном
секторе и совершенствование технологических возможностей путем предоставления
выпускникам рабочих мест в компаниях. Как и во многих других латиноамериканских
странах, в Мексике при Национальном совете создан Фонд технологических
инноваций, поддерживающий малые и средние предприятия и финансирующий проекты в
области НТИ.
В Панаме, как и в большинстве стран Латинской
Америки нет Министерства по науке, технологиям и инновациям. Формирование
институциональной системы для продвижения НТИ в стране регулируется Законом
50/2005, в рамках которого был учрежден Национальный секретариат по вопросам
высшего образования, науки, технологий и инноваций (SENACYT).
Данные орган функционирует в качестве независимого агентства и его президент
напрямую подотчетен президенту республики. Считается, что это главное
учреждение, которое несет ответственность как за формирование инновационной
политики Панамы, так и за ее реализацию, в отличие от таких стран как
Аргентина, где эти две функции выполняются двумя отдельными организациями. В
2013 году его бюджет составил больше 42 миллионов долларов США. Вместе с тем, в
1997 году была образована Национальная комиссия по науке, технологиям и
инновациям (CONACYT),
выполняющая консультативные функции по подготовки стратегического плана
развития НТИ.
Формально комиссия несет ответственность за
планирование и подготовку предложений по конкретным мерам и инструментам
политики. Наряду с комиссией был образован Национальный фонд по науки,
технологиям и инновациям (FONACITI), но несмотря на его существование,
управлением его бюджета занимается SENACYT
через систему национального бюджета, что существенно затрудняет процедуру
получения финансирования. Также за последние несколько лет были созданы новые
институты, которые успешно функционируют и в будущем могут стать основой для
координирования инновационной политики.
Инновационные институты Парагвая очень схожи с
организациями, функционирующими в Панаме. Главным органом, занимающимся
вопросами развития инноваций и технологий, является Национальная комиссия (CONАCYT),
которая выполняет такие же функции, что и панамская комиссия, а именно
разработку и внедрение инновационной политики для увеличения потенциала в
области НТИ и совершенствование инновационной инфраструктуры. Также CONACYT
в своем составе имеет Национальный фонд по науке и технологиям (FONACYT),
финансирующий научно-технологическую деятельность и инновационные проекты. В
комиссию также входит Национальный орган по аккредитации (ONA),
это надзорный орган, занимающийся аккредитацией, сертификацией и проверкой
различных учреждений, испытательных лабораторий и организаций по подготовки и
обучения персонала. Он обеспечивает транспарентность при проведении оценки
учреждений на соответствие действующим международным стандартам. В 2006 году в
Парагвае была запущена программа по поддержке развития НТИ, финансируемая
кредитными средствами, предоставленными Межамериканским Банком Развития.
В основном программа предусматривает финансирование
научно-исследовательских и инновационно-технологических проектов, а также
поддержку национальной аспирантуры за счет предоставления аспирантам стипендий
и грантов. В целом, в Парагвае функционируют базовые органы, занимающиеся
вопросами развития инноваций, однако парагвайская инновационная инфраструктура
представлена не такими многочисленными учреждениями, как в других странах
Латинской Америки.
Схожие институты можно отметить и в перуанской
инновационной инфраструктуре. Как и в других странах, в Перу действует
Национальный совет по науке, технологиям и технологическим инновациям (CONCYTEC),
который управляет и координирует работу НИС. Его деятельность разделена между
тремя отделами: политика и планирование, координация НИС и прогнозирование в
области НТИ. Кроме того, традиционно Национальный совет управляет Национальным
фондом науки, технологии и технологических инноваций (FONDECYT)
и поддерживает тесные связи и координацию с региональными советами по НТИ. В
свою очередь, FONDECYT
тоже имеет широкий ряд функций, среди них можно отметить следующие: оценка
экономической состоятельности проектов, мобилизация средств на финансирование
фундаментальных инновационных исследований и проектов, предоставление грантов,
субсидий и стипендий. Так в 2010 году Фонд выделил более 2 миллионов на
различные проекты в области НТИ. Не менее важным учреждением является центр по
национальному стратегическому планированию (CEPLAN),
в его функции входит планирование и координация действий для достижения
стратегических целей комплексного развития страны. Так он представляет проект
Национального стратегического плана развития, который также включает в себя
руководящие принципы политики в области инновационной деятельности.
Анализирую инновационную инфраструктуру Уругвая,
можно сделать вывод, что несмотря на то, что за последние несколько лет
ситуация улучшилась, институциональная составляющая в Уругвае остается
слаборазвитой. В 2007 году в стране был запущен Национальный инновационный фонд
(ANII), который отвечает
за разработку и управление программ, направленных на научно-технологическое
развитие и укрепление инновационного потенциала. Однако сам Фонд не определяет
инновационную политику, а исполняет директивы, полученные от кабинета министров
по инновациям. Кабинет включает в себя восемь министерств, среди них:
Министерство экономики и финансов, Министерство промышленности, сельского
хозяйства, образования и другие. Хоть ANII
считается относительно небольшой организацией, она играет важную роль в
формировании национальной инновационной системы Уругвая.
Наконец, развитием чилийской инновационной
системы занимается Национальный совет по инновациям, основанный в 2006 году.
Совет по инновациям разрабатывает национальную инновационную стратегию и решает
такие задачи как, периодическая корректировка действующих стратегий, участие в
целевом распределении финансов и внесение предложений по улучшению
законодательства в научно-технической области. В 1970-х годах основой
инновационной политики служила идея об усовершенствовании начального и высшего
образования и повышении конкурентоспособности бизнеса. В 1980-х и 1990-х
научно-техническая политика была направлена на улучшение аспирантуры и
укрепление стратегически важных отраслей.
А в 2000-е годы главной задачей было налаживание
связи между наукой, государством и бизнесом. Наряду с Национальным советом по
инновациям были созданы две другие правительственные организации: Национальная
комиссия по научным и технологическим исследованиям (CONICYT)
и Корпорация содействия промышленному развитию (CORFO).
Они также занимают важное место в формировании инновационной системы страны.
Первая структура входит в состав Министерства образования и занимается
вопросами формирования человеческого капитала, подготовки молодых ученых и
укреплением научной и технологической базы. Вторая - действует в рамках
Министерства экономики Чили и отвечает за внедрение новых технологий в
промышленные отрасли, сельское хозяйство и общую инфраструктуру страны.
В составе обеих вышеупомянутых организаций
действуют фонды для финансирования инновационных проектов. Среди них можно
выделить Фонд передовых исследований в приоритетных областях (FONDAP)
и Национальный фонд технологического и продуктивного развития (FONTEC).
Также чилийское правительство поддерживает ряд программ по бизнес инновациям,
например, программа развития и технологических инноваций InnovaChile
направлена на совершенствование стратегически важных отраслей экономики. В
научно-технических вопросах чилийское правительство отдает приоритет поддержке
ведущих национальных университетов, таких как Университет Чили и Университет
Сантьяго де Чили. В настоящее время Чили занимается разработкой новой
эффективной инновационной политики, которая поможет стране выйти на уровень
лидирующих стран.