Уровень жизни населения
Содержание
Введение
Глава
1. Обзор математических моделей финансовых пирамид
.1
Модель динамики финансовых пузырей Чернавского
.2
Модель финансовой пирамиды. Мажукин В.И. и О.Н. Королева
.3
Модифицированная модель финансовой пирамиды. Мажукин В.И. и О.Н. Королева
Глава
2. Обзор модели долгосрочного социально-экономического прогнозирования
.1
Построение модели
.2
Приоритет простых моделей
Глава
3. Математическая модель макроэкономики России
.1
Анализ статистических данных
.2
Вывод математической модели макроэкономики России
Заключение
Список
литературы
финансовый чернавский макроэкономика
прогнозирование
Введение
Что такое уровень жизни? Под данным определением
понимают степень удовлетворенности материальных и духовных потребностей людей
массой товаров и услуг.
Организацией Объединенных Наций (ООН)
рекомендован[1] перечень конкретных условия жизнедеятельности, которые в
совокупности определяют понятие "Уровень жизни":
Рождаемость, смертность, продолжительность
жизни;
Санитарно-гигиенические условия жизни;
Уровень потребления продовольствия;
Жилищные условия;
Возможности образования и культуры;
Условия труда и уровня занятости;
Баланс доходов и расходов;
Потребительские цены;
Обеспеченность транспортом;
Возможности для отдыха;
Система социального обеспечения;
Обеспечение прав и свобод.
Целый ряд позиций можно определить весьма
условно. Обычно все эти показатели к единому знаменателю не приводят, выбирают
те, которые можно определить количественно.
Для межстрановых сравнений обычно используют
рейтинги по величине ВВП на душу населения или Индекс развития человеческого
потенциала (далее ИРЧП), а также другие специфические индексы. На втором
остановимся поподробнее.
ИРЧП - интегральный показатель, рассчитываемый
ежегодно для сравнения стран по таким факторам как уровень жизни, грамотности,
образования и долголетия.
При подсчете учитываются следующие показатели:
Ожидаемая продолжительность жизни;
Уровень грамотности населения страны (количество
лет, потраченных на обучения) и ожидаемая продолжительность обучения;
Уровень жизни (оценённый через ВНД по ППС в
долларах США).
На 2013 год Россия по ИРЧП занимает 57 место из
187 стран, что соответствует группе стран с высоким уровнем человеческого
развития.
ОБЗОР ЛИТЕРАТУРЫ
Об актуальности исследований подобного рода
говорит тот факт, что из года в год пишется большое количество статей,
составляются рейтинги и классификации, связанные с понятием «Уровень жизни».
Разные авторы приводят различные трактовки
понятия «уровень жизни» в зависимости от исходных категорий: от производства
или потребления, от стоимости жизни или потребительских нормативов. Так же
авторов отличает тот подход, с которым они подходят при исследовании факторов,
влияющих на уровень жизни населения.
К примеру, в исследовании[2] Белеховой и
Россошанского «Уровень жизни в оценках населения» уровень жизни рассматривается
как комплексная социально-экономическая категория, которая отражает уровень
материальной обеспеченности, структуру и степень удовлетворения потребностей в
товарах и услугах, а также условия для их развития. В своей работе авторы
используют результаты социологических наблюдений на примере Вологодской
области. В качестве сравнения приводятся данные по России, составленные
экспертами агентства «РИА Рейтинг».
Согласно рейтингу регионов по уровню жизни семей
Вологодская область занимает 28 место(в 2013 году в среднестатистической
российской семье, состоящей из двух работающих взрослых и двух детей,
ежемесячно остается 30134 руб, 27 тыс. руб. в 2012 году, 20770 руб. в 2011
году). При этом разрыв между регионами, занимающими первое и последнее место в
рейтинге, составляет более 13 раз (Ямало-Ненецкий АО - 95545 руб., Республика
Дагестан - 7202 руб.). Методика расчета рейтинга, основанная на данных
Росстата, заключается в определении остатка денежных средств семьи после
минимальных расходов. Расчет проводится путем сложения средней в регионе
номинальной заработной платы двух взрослых человек по итогам года и вычитания
из получившейся суммы четырех прожиточных минимумов с учетом категории членов семьи
(использовались минимумы для работающих и детей).
В «В рейтинге качества жизни» регион
расположился на 56 месте, по показателю «Уровень доходов» - 39-е место, а
«Жилищные условия населения» 35-е место. Приведённые данные подтверждаются
результатами социологических опросов населения Вологодской области.
Ниже приведены основные вопросы, ответы на
которые, в виде распределения, авторы сводили в таблицы:
Какая из вышеприведенных оценок наиболее точно
характеризует ваши денежные доходы?
К какой из категорий Вы себя относите? (богатые,
средний достаток, бедные, нищие).
Как бы Вы оценили качество питания вашей семьи?»
Ваша семья занимает…(вопрос о жилье);
Степень благоустройства жилья населения
Вологодской области;
Какие виды из перечисленного имущества имеет
ваша семья
Так же к ответу необходимо указать срок
эксплуатации;
Наиболее характерные способы проведения
свободного времени населения Вологодской области.
Результаты опросов рассматриваются как отдельно
по годам, так и по группам доходов (5 групп из вопроса (1)), чтобы понять
предпочтения людей с разным уровнем обеспеченности.
В целом, авторы приходят к выводу, что
результаты социологических опросов (по Вологодской области) коррелируют с
выводами рейтинговых агентств.
Так же, были рассмотрены другие авторы, которые
подходят к данной проблеме в несколько ином ключе.
В своей статье[3]«Неравенство качества и уровня
жизни населения регионов России» В. Н. Бобков, А. А. Гулюгина затрагивают
серьезную проблему, заключенную в сильных территориальных различиях качества и
уровня жизни разных регионов России. По их мнению, данная проблема является
угрозой для экономической безопасности страны. Авторы убеждают, что
целесообразно использовать следующие социально-экономические индикаторы: индекс
развития человеческого потенциала (ИРЧП), валовой региональный продукт на душу
населения (исчисленный по паритету покупательной способности), неравенство в
доходах, бедность, покупательная способность населения.
Бобков и Гулюгина приводят данные ИРЧП,
представленные в таблице. По этим данным видно, что несмотря на кризис 2008
года величина ИРЧП в России повысилась с 0,838 в 2008 году до 0,840, но
несмотря на это, не все региональные субъекты показали аналогичную динамику.
Причину этого факта авторы находят в снижении показателя ВРП, в то время как
ожидаемая продолжительность жизни и охват образования детей и молодежи
продолжили свой рост. В результате значительного снижения ВРП в некоторых
регионах усилилась поляризация регионов по ИРЧП.
Авторы вводят несколько классификаций регионов:
по ИРЧП и по ВРП по ППС. В результате приведены графики, на которых приведены
регионы, находящиеся в социально неблагополучной группе, а также в графики
добавлена информация о средних показателях по стране и максимальном показателе
у субъекта-лидера.
Следующим шагом Бобков и Галюгина рассматривают
покупательную способность населения, которая показывает количество наборов
прожиточного минимума, которое оно может приобрести на среднедушевые денежные
доходы. В 2010 году покупательная способность населения по России составляла
3,3 набора потребительского минимума (ПМ), а межрегиональная дифференциация
ослабевает. Распределение регионов в зависимости от уровня показателя будет
следующим:
высокий и относительно высокий (от 7 ПМ);
средний (3-7 ПМ);
высокий средний (4-7 ПМ);
низкий средний (3-4 ПМ);
низкий:
высокий низкий (2,3-3 ПМ);
средний низкий (1,7-2,3 ПМ);
наиболее низкий (менее 1,7 ПМ).
Последние две группы свидетельствуют о
социальном неблагополучии, всего таких регионов по России 12.
Исходя из этой классификации уровень
покупательной способности в целом по России является низким средним.
Региональные значения уровня бедности могут быть
классифицированы следующим образом:
низкий (в 1,5 и более раз ниже уровня РФ);
средний (в пределах 1,5 раза выше или ниже
уровня РФ);
высокий (в 1,5 и более раз выше уровня РФ).
По относительной бедности все регионы относятся
к группе со средним уровнем показателя.
Последним параметром авторы рассматривают
коэффициент Джинни и коэффициент фондов. Коэффициент Джинни так же носит
название - индекс концентрации доходов, он характеризует степень отклонения
фактического распределения общего объема доходов от их равномерного
распределения.
В таблице авторы представили читателю
Распределение субъектов Российской Федерации по коэффициенту Джини в 2009 году.
В 2010 году в среднем по России коэффициент Джинни составил 0,421. Так же было
замечено, что в последние годы наблюдается снижение коэффициента, что говорит о
процессах выравнивания общих доходов населения.
Коэффициент фондов, он же - коэффициент
дифференциации доходов, характеризует степень социального расслоения,
определяется как соотношение среднедушевых доходов 10%-ной группы населения с
наибольшим уровнем показателя и 10%-ной группы населения с наименьшим уровнем
показателя.
В результате, сопоставив все собранные
индикаторы, авторы выявили группу социально неблагополучных регионов и привели
их в таблице «Регионы России с признаками социального неблагополучия». Анализ
показателей неравенства качества и уровня жизни во взаимосвязи с уровнем
экономического развития регионов свидетельствует о необходимости выравнивать
ситуацию не только за счет экономического роста слаборазвитых регионов, но и за
счет совершенствования распределительной политики доходов в субъектах РФ с
разным уровнем экономического развития.
Однако помимо подходов, оценивающих динамику
развития регионов, на основе данных, полученных в результате социологических
опросов или в сборе и сравнении данных из государственных статистических
источников, существуют иные методы анализа. Гринчель Б.М. и Назарова Е.А. в
своей статье[4]«Типология регионов по уровню и динамике повышения качества
жизни» представляют методику и алгоритм построения типологий регионов в
двухмерном пространстве «Уровень развития - динамика развития» по такому
фактору как качество жизни.
Однако во многих имеющихся статьях, как например
в работе[5] Вашкина Н.А., Смакотина О.Н. и Белоусова А.Ю. «Анализ уровня жизни
в России» из многих возможных позиций, которые можно рассматривать, уделяется
внимание только такому показателю как средняя заработная плата населения.
ПОСТАНОВКА ЗАДАЧИ
На мой взгляд подход такого рода, с
рассмотрением единственного, изолированного фактора, не является достаточным
для анализа реальной ситуации. Для выявления истиной картины необходимо в
комплексе рассматривать множество факторов, связанных с предметом исследования,
в данном случае с социально-экономическими показателями.
Свою исследовательскую работу я начала со сбора
статистических данных[6] по России таких как: динамика ВВП, динамика изменения
средней заработной платы, динамика изменения минимального размера пенсионных и
других льготных выплат(стипендий), динамика увеличения общей денежной массы.
Следующим шагом будет аппроксимация полученных
графиков методом наименьших квадратов с помощью прикладного пакета MATLAB и
выдвижение математической модели, согласующейся с собранными данными.
Приведенные выше действия позволят мне выяснить
и наглядно показать, как сильно изменился (или не изменился) уровень жизни за
последние 10-15 лет, а целью же станет прогнозирование этого показателя на
ближайшее десятилетие.
Глава 1. Обзор математических моделей финансовых
пузырей
Основная проблема почти всех рассмотренных
статьей - отсутствие конкретной аналитики и прогноза, по сути это просто обзоры
имеющихся статистических данных. Потому кроме сбора и обзора статистических
данных, необходимо привлечь математический аппарат.
В реалиях современного мира на уровень жизни
сильно влияют кризисы. Кризис - это нестабильный динамический процесс,
ограниченный процесс. Кризисы раскрывают и обостряют проблемы, накопившиеся в
экономических, политических и социальных системах.
Цель нашей работы - на основе имеющихся статистических
данных научится моделировать и предсказывать уровень жизни в условиях кризисов.
Проанализировав кризисы[6],[7], произошедшие с
XVII века и до нулевых годов XXI века, построим диаграмму, что бы понять их
частоту:
Рис. 1 Частота кризисов
Как видно из графика, кривая частоты кризисов
близка графику экспоненты.
По тому, как и где, происходили кризисы можно
сделать вывод, что они начинались в странах, которые были центрами мировой
торговли. Одной из основных причин кризисов становились спекуляции на рынках.
Можно сказать, что концентрация капитала, как бы
она не осуществлялась, имеет и негативные стороны. Нарушается связь между
затраченным трудом и приобретаемыми ресурсами.
Имеет место деградация реального сектора
экономики при росте прибылей в финансовом секторе. Это происходит за счёт
«финансовых пузырей».
Финансовый пузырь возникает в результате
ажиотажного спроса на какой-нибудь товар или группу товаров, или, чаще всего,
на ценные бумаги, что в конечном итоге приводит к кризису.
Нормальный цикл обращения денег: [8]
Рис. 2 Нормальный цикл обращения денег
Черные линии - потоки товаров, синие - потоки
денег. Банк играет роль аккумулятора средств.
В современном мире существует другой цикл,
связанный с финансовыми спекуляциями, а не с реальным производством.
Рис. 3 Реальный цикл обращения денег
.1 Модель динамики финансовых пузырей
Чернавского
Для начала рассмотрим базовую модель динамики
денежных масс.[8]
Цель - описать негативные явления, связанные с
«финансовыми пузырями» и выяснить основные механизмы из возникновения.
Для начала рассмотрим процесс эмиссии и ремиссии
денег в простейшем случае, когда в одной стране в обращении только один вид
денег - национальная валюта.
Денежной массой принято считать так называемый
агрегат М2
= М2 = М0 + М1;
где М0- наличные (розничная торговля),М1-
безналичные (взаиморасчет между предприятиями, накопления населения, хранящиеся
в банках) - как правило, эта величина в несколько раз больше М0.
Механизм изменения m:
Эмиссию осуществляет Центральный Банк (ЦБ),
который предлагает коммерческим банками ссуду под определенный процент
(кредитная ставка). Коммерческие банки кредитуют предприятия и частных лиц под
процент, который выше кредитной ставки. При возвращении ссуды (+кредитная
ставка) в ЦБ эти средства аннулируются, в чем и заключается ремиссия. Величина
востребованной ссуды зависит от уже имеющейся денежной массы m и в первом
приближении пропорциональная ей.
В условиях равновесия имеющаяся в обращении
денежная масса m должна удовлетворять условию:
m = Qp (1.1.1)
где Q = ВВП.
Уравнение (1.1.1) удовлетворяет условию
инвариантности относительно деноминации, т.е. при изменении условных величин
(денег и цен) в одинаковое число раз, равенство (1.1.1) сохраняется. Так же
соотношение должно сохраняться и при медленном изменении величин из правой
части уравнения. В случае нарушения соотношения (1.1.1) оно быстро
восстанавливается за счет эмиссии и ремиссии денег. Акцентируем внимание на
быстрых процессах, которые, с учетом изложенного можно описать динамическим
уравнением:
(1.1.2)
В модели (1.1.2) имеется одно неустойчивое
состояние при m = 0 и одно устойчивое - при m = pQ.
А теперь перейдем к рассмотрению модели
финансовых пузырей.
«Финансовые пузыри» - явление не стационарное.
Они возникают, развиваются и исчезают. В макро масштабе важны лишь их
усредненные характеристики.
Цель модели - описать динамику отдельного
«пузыря» и определить влияние «пузырей» на финансовую ситуацию в целом.
Рассмотрим базовую модель «пузыря» на примере
финансовой пирамиды.
Пусть имеется ограниченное число людей, средства
которых в сумме равны m и которые готовы вложить их в пирамиду под обещание выплат
высоких процентов. Вложенные средства обозначим как mv
Процесс вовлечения новых вкладчиков происходит
неравномерно, а волнами, потому как они вовлекаются только после того, как
первые вкладчики получат обещанные проценты и информации об этом уже успеет
распространиться. Максимальные притоки вкладчиков происходят в дискретные
моменты времени t1, t2, ... , ti по мере увеличения mv. Следовательно, модель
обязана быть дискретной, т.е. формулироваться в виде дискретного отображения.
Прирост средств пропорционален числу уже
вовлеченных людей, и следовательно, уже имеющимся средствам mv. Так же он
пропорционален величине m - mv - количество денег, не вовлеченных в пирамиду.
Учитывая сказанное, можно предположить
динамическую модель процесса:
(1.1.3)
Индекс i нумерует моменты времени,
-
процент по вкладу за интервал
[ti, ti+1] (далее интервал будем считать равным
единице), k - параметр, соответствующий скорости вовлечения средств.
Введем переменную xi:

Тогда формулу (1.3) можно переписать в виде:
(1.1.4)
где v = km -
Уравнение (1.1.4) - логистическое отображение.
Свойства (1.1.4):
При v < 1 имеется одно стационарное состояние
x = 1
При 1 < v < 3 имеется устойчивое
стационарное состояние x = 1
В реальности, параметр k (следовательно и v) не
строго постоянен, но слабо зависит от времени.
Вначале скорость вовлечения k мала, что km <
- пирамида временно несет убытки. Затем скорость k повышается так, что в
максимуме расцвета пирамиды v > vcr. При этом все величины нерегулярно
меняются со временем. По мере исчерпания средств m, скорость вовлечения новых
средств падает, а когда v становится меньше 1, наступает банкротство пирамиды -
пузырь лопается. В выигрыше остаются те, кто вкладывался в числе первых и успел
изъять денежные средства.
Все это составляет основу торговли на биржах.
После краха очередной пирамиды средства mv возвращаются в реальный сектор, но
возникает новый пузырь.
В сфере финансовых пузырей в среднем вращается
определенная часть средств mv = δm, которая
таким образом исключена из реального сектора экономики. В равновесии должно соблюдаться
условие:
= (1 -
)
Уравнение (1.2) примет вид:
(1.1.5)
Уравнение (1.1.5) - логистическое и обладает
теми же свойствами что и уравнение (1.1.2).
.2 Модель финансовой пирамиды. Мажукин В.И. и
О.Н. Королева
[9] В своей работе авторы исследуют зарождение,
эволюцию и гибель финансовой пирамиды. В качестве математического аппарата
используется математическое описание эволюции финансовой пирамиды системой
обыкновенных дифференциальных уравнений с начальными условиями.
Объектом исследования является финансовая
пирамида, которая строится в городе с количеством населения N. В городе
объявляется о выпуске акций номиналом в p0 руб. и процентной ставкой ps
единичного периода начисления по начальному вкладу. Курс покупки акций - k, а
продажи - p руб. Рост курса продажи и покупки акций обеспечивается высоким
уровнем инфляции.
Учредители финансовой пирамиды опубликовали
информацию об ожидаемом ежедневном изменении курса покупки/продажи акций с
учетом инфляции. Инфляция учитывается в виде прироста d- стоимости акции при
покупке.
Продажа:
Покупка:
;
где
Среди жителей царит некий ажиотаж, подогреваемый
информацией о курсах покупки/продажи акций, который выразим как коэффициент
ажиотажа a. Однако т.к. это предположительная информация и она может быть не
точной, акции продают в среднем через T дней после покупки. Так же известно,
что в первый день D горожан стали держателями акций.
Развитие финансовой пирамиды - это процесс
купли-продажи акций. От интенсивности процесса зависит доход как участников,
так и учредителей.
Будет рассматриваться процесс развития пирамиды
каждый день в течении года. Если предположить, что все жители города вовлечены,
то каждый из них находится в одном из двух состояний:
Покупатель акции;
Продавец акций.
Каждое из состояний характеризуется количеством
людей в момент времени t.
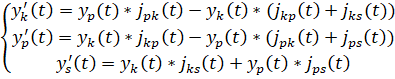
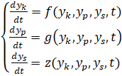
Рассмотрим схему процесса купли-продажи акций:
где yk(t) - количество покупателей; yp(t) -
количество продавцов в момент времени t(пусть t - один день); круги - возможные
состояния системы; стрелками показаны направления потоков акций; jkp(t),
jpk(t)-количество акций купленных или проданных в момент времени
t(интенсивность купли или продажи).
Интенсивность покупки акций jkp(t) функция от
времени, пропорциональная числу держателей акций и зависит от коэффициента
ажиотажа a:
Процесс продажи акций будет происходить, если с
момента tпокупки акций прошло T дней. Интенсивность продажи jpk(t) определяется
следующим образом:
Процессы купли-продажи акций горожанам
происходят в каждый момент времени t. Количество покупателей, которые приобрели
акции, определяется как произведение интенсивности покупки и значения состояния
покупателей в момент времени t. Количество купленных акций будет определяться
следующим образом:
Количество продаж акций обозначается s(t)в
момент времени t. S(t)определяется как произведение интенсивности продаж jpk(t)
на численность продавцов. По условию задачи акция не продается в течении T дней
после покупки, т.е. количество продаж равно 0, если t≤T. Таким образом:
(1.2.1)
Однако, с другой стороны по условию задачи,
количество купленных акций, проданных в момент времени t, равно количеству
акций, купленных T дней назад, т.е. s(t)=b(t-T). Таким образом:
(1.2.2)
Из (2.2) следует, что
(1.2.3)
Т.е. значение интенсивности продажи акций
находится как:
(1.2.4)
Подставляя в (2.4) значение интенсивности
покупки акций получаем:
(1.2.5)
Система (2.1) с учетом (2.5) примет вид:
(1.2.6)
Рассмотрим промежуток времени ∆t:
Количество продавцов акций увеличится на
количество жителей, который за этот период купили акции b(t) (каждый купивший
акции становиться их продавцом):
(1.2.7)
Количество продавцов акций уменьшится на число
жителей города, продавших свои акции, таким образом объем продаж за промежуток
с
учетом (2.5) составит:
(1.2.8)
Уравнение баланса численности продавцов акций за
можно
получить вычитая (2.8) из (2.7):
Обе части уравнения (2.9) делятся на
,
после чего делается предельный переход
.
Получается производная
Аналогично записывается уравнение изменения
численности покупателей акций в промежуток времени ∆tи записывается
следующая система дифференциальных уравнений:
Обозначив правые части уравнений системы за
и
получим
следующую систему дифференциальных уравнений, которая будет решаться
относительно функций покупок и продаж акций в городе (
и
соответственно):
(1.2.10)
Систему (16) необходимо дополнить значениями
искомых функций в начальный момент времени, а так же задать значение параметра
a и отрезок времени T:
(1.2.11)
В итоге математическая модель (2.10) (2.11)
представляет собой задачу Коши.
Численно решив систему, авторы модели
рассмотрели функции покупателей и продавцов акций: (t) - убывающая функция;(t)
- возрастающая функция.
Значения функций становятся постоянными
одновременно, т.е. выходят на стационар.
Так же авторы выделили три периода развития
пирамиды:: период медленного роста покупательной способности;: период
ускоренного роста покупательной способности;: период резкого замедления
прироста покупательной способности и падения пирамиды.
.3 Модифицированная модель финансовой пирамиды.
Мажукин В.И. и О.Н. Королева
[9] Данная модель является уточненным вариантом
модели из предыдущего параграфа. Авторы снимают с изначальной модели ряд
предположений и ограничений, т.е. учитывают следующие факторы:
Существует категория горожан, которые не
поддаются ажиотажу и не покупают акции или, если и покупают акции компании, то
продав не покупают снова;
Уровень инфляции, дохода вкладчика от продаж
акций, величину затрат на рекламу в оценке величины ажиотажа.
Каждый житель города может находиться в одном их
трех состояний:(t) - покупатели акций;(t) - продавцы акций;(t) - «стрелянные
воробьи».
Под состоянием «стрелянные воробьи» авторы
подразумевают граждан, которые не реагируют на общий ажиотаж, а так же тех
граждан, которые купив и продав акцию однажды не делают вторичной покупки.
Модифицированная схема процесса купли-продажи
акций в городе будет выглядеть следующим образом:
Рис. 5
где ys(t)- количество жителей города, которые
находятся в состоянии «стрелянные воробьи»; jps(t)- интенсивность продаж, при
переходе из состояния «продавцы» в состояние «стрелянные воробьи»; jks(t)
-интенсивность, которая характеризует процесс перехода жителей города из
состояния «покупатель» в состояние «стрелянные воробьи».
Рассуждая как при формулировке математической
модели из предыдущего параграфа для двух состояний, авторы записывают системы
дифференциальных уравнений для трех состояний, которая и будет представлять
собой модифицированную схему купли-продажи акций:
Вводятся обозначения:
В окончательном виде система дифференциальных
уравнений будет выглядеть следующим образом:
(1.3.1)
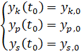
С начальными условиями:
(1.3.2)
Таким образом математическая модель (3.1) и
(3.2) представляет собой задачу Коши, которая будет решаться относительно
функций численности покупателей
продавцов
и
жителей которые не участвуют в строительстве «финансовой пирамиды»
.
Глава 2. Обзор модели долгосрочного
социально-экономического прогнозирования Акаева А.А. и В.А. Садовничего
.1 Построение модели
Был рассмотрен ряд статей авторства Акаева А.А.
и Садовничего В.А., в которых рассматриваются различные методы
социально-экономического прогнозирования, а также предлагается методология
долгосрочного социально-экономического прогнозирования, которая основана на
теории больших Кондратьевских циклов экономической конъюнктуры[10].
Рис. 6 Четырехфазный цикл Кондратьева
Структура Кондратьевский циклов весьма проста. У
каждого цикла имеются две фазы:
Повышательная волна Кондратьева (время войн и
социальных потрясений) ведет к экономическому буму - оживление и подъем;
Понижательная волна Кондратьева(период появления
знаковых инноваций) ведет к кризису - спад и депрессия.
Предвестники зарождающегося цикла Кондратьева -
знаковые научные открытия и изобретения, обычно появляющиеся в конце уходящего
цикла.
Один цикл Кондратьева охватывает примерно 45-60
лет.
Вернемся к модели, которую предлагает Акаев[11].
Данная методология строиться из пяти этапов.ЭТАП: Установка долговременного
потенциального выпуска(ВВП), который обеспечивается базисными технологиями в
рамках повышательной стадии одного Кондратьевского цикла.
Данный параметр описывается логистической функцией,
поэтому полагаем:
(2.1.1)
где
,
и
константы,
-
коэффициент диффузии базисных технологий.
Формула (2.1.1) описывает динамику ВВП в
условиях отсутствия каких-либо ограничений (на факторы производства и на
ресурсы).ЭТАП: Учет ресурсных ограничений.
или
(2.1.2)
где
-
потенциальное ВВП,
- ресурсы,
-
технологии,
и
-
константы, причем
,
.
Таким образом, зная ограничения на ресурсы, с
помощью соотношения (2.1.2), можно установить граничные условия на динамику
потенциального ВВП.ЭТАП: Решение центральной задачи прогнозирования -
программирование экономического развития через определение и оптимизацию
структуры ВВП по категориям:
Инвестиции в жилой фонд и потребление
домохозяйств (С);
Инвестиции в основной капитал и
материально-технические запасы (I);
Потребление и инвестиции государства (G);
Внешний баланс (NX).
Математическая форма записи:
(2.1.3)
Средний уровень жизни напрямую связан уровнем
потребления. При решении подобной задачи обычно берется полезность потребления
.
С ростом С полезность растет, а
- предельная полезность
убывает и в бесконечности стремиться к нулю.
Задача оптимального развития будет записываться
следующим образом:
(2.1.4)
Зная С из (2.1.4), а так же
и
из
(2.1.3), станет возможным определить требуемое движение инвестиций -
.
Так же необходимо, что бы полученный прогноз
инвестиций соответствовал прогнозу сбережений
(s
- форма накоплений) согласно тождеству:
(2.1.5)
где
-
дефицит бюджета,
-налоговые
поступления.ЭТАП: Расчет фактических значений выпуска(ВВП) или реальной
траектории экономического развития (отвечает реальному движению инвестиций),
полученной в результате III этапа. Т.е. A = I, где A - независимые от Y0
(дохода) расходы на потребление и капиталовложения.
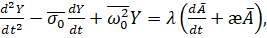
В одной из работ Акаева и Садовничего[9]
получено общее дифференциальное уравнение макроэкономической динамики, которое
позволяет описать совместное взаимодействие циклических колебаний деловой
активности и долгосрочного экономического роста:
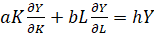
Где Y0(t) - текущий уровень ВВП; Y=F(K,L) -
уровень выпуска(показывает соответствующую траекторию долгосрочного роста);
K-капитал; L-труд;
- скорость реакции
запаздывания предложения от спроса;
-
скорость реакции запаздывания фактических капиталовложений от решения об
инвестициях; S-коэффициент сбережений;
-
мощность акселератора;
- коэффициент
выбытия капитала; a, b, h-постоянные коэффициенты в уравнении Эйлера для
производственной функции:
;
γ*= γ
- модифицированный параметр Оукена(γ); YF-национальный
доход при полной занятости.
Уравнение (2.1.5) включает в себя нелинейный
акселератор инвестиций, равный (при
):
этот параметр обеспечивает поддержание в данной
экономической системе незатухающих экономических колебаний. Такая экономическая
система является классической автоколебательной системой, в которой роль
механизма положительной обратной связи играет нелинейный акселератор, а
качестве коэффициента усиления служит мощность акселератора
.
Если коэффициент усиления достаточно велик, то в системе возникает
самоподдерживающийся автоколебательный процесс, его характеристики определяются
внутренними параметрами.
В общее уравнение макроэкономической динамики
(2.1.6) входят две переменные, которые характеризуют выпуск продукции:
Быстро меняющаяся переменная Y0(t), содержащая в
себе циклические колебания y = Y0- Y;
Медленно меняющейся Y, представляющий трендовую
кривую долгосрочного роста.
Что бы получить приближенные решения подобных
нелинейных уравнений существует эффективные асимптотический метод КМБ (метод
усреднений Крылова-Боголюбова-Митропольского), который позволяет прежде всего
разделить быстрые и медленные движения. Сначала можно провести усреднение
быстроменяющейся переменной y(t) = Y0- Yи получить усеченное описание системы,
которое учитывает только её усредненную эволюцию, представляющую долговременный
тренд, описываемый Y(t). Для практической реализации данной схемы, необходимо,
прежде всего выделить трендовую составляющую в правой части уравнения (2.1.6),
представляя независимые инвестиции A(t)в виде:
где,
-
трендовая составляющая, а
-
квазипериодическая функция, которая колеблется вокруг трендовой составляющей.
Следовательно, правая часть уравнения (2.1.6) примет вид:
Первая часть этого выражения определяет
медленные долгосрочные движения уравнения (2.1.6), т.е. трендовую кривую, а
вторая - циклические колебания вокруг долгосрочной трендовой кривой.
Нелинейное дифференциальное уравнение, которое
описывает циклические колебания деловой активности вокруг трендовой кривой
роста, имеет следующий вид:
где
-
эластичность выпуска по труду;
- норма процента.
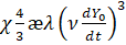
Для анализа, авторы модели принимают следующие численные значения параметров:
Мощность ν акселератора
является основным управляющим параметром и оказывает существенное влияние на
динамику исследуемой системы, поэтому ее меняют в определенных пределах.
Дифференциальное уравнение, описывающее
траекторию экономического роста, имеет вид:
(2.1.8)
В результате компьютерного моделирования авторы
получили результаты из которых был сделан вывод, что при определенных значениях
управляющего параметра происходит потеря устойчивости системы, экономика
испытывает кризис, впадая в рецессию, что подтверждается в других работах
автора.
Динамика экономического развития в фазе
депрессии Кондратьевского цикла описывается стохастическими дифференциальными
уравнениями (2.1.7) и (2.1.8), правые части которых в этом случае являются
случайными функциями.
Рис. 7 Численные решения уравнений
макроэкономической динамики
.2 Приоритет простых моделей
[14] Одной из основ теории самоорганизации
является концепция параметров порядка, под которыми понимаются ведущие
переменные, которые в результате самоорганизации начинают определять динамику
остальных характеристик исследуемой системы. Если выявить такие параметры, то появится
возможность описывать многие сложные нелинейные системы просто. Именно таким
моделям некоторые авторы предлагают отдавать приоритет.
Существует так называемый барьер понимания. По
данным психологов, человек не может при принятии решения учесть более 5-7
факторов, осмысливать не более 5-7 медленно меняющихся переменных, работать не
более, чем с 5-7 людьми. Поэтому понимание и принятие решений обычно связано с
построением исследованием достаточно простых моделей - это с одной стороны. С
другой - как бы ни была сложна исследуемая модель, её использует человек,
принимающий решения, для которого необходимо обеспечение «прозрачности» модели
и свертывания её до небольшого пула переменных, допускающих простую и ясную
интерпретацию.
Глава 3. Математическая модель макроэкономики
России
.1 Анализ статистических данных
В рамках работы, были собраны статистические
данные по основным экономическим показателям РФ: денежная масса, МРОТ, пенсии,
стипендии, прожиточный минимум, средняя заработная плата и ВВП. В программной
среде MATLAB по перечисленным данным были построены графики и произведена
аппроксимация функцией вида:
В данной функции нас интересует параметр
b-который показывает скорость изменения рассматриваемых данных.
Рис. 8 Динамика изменения денежной массы
Рис. 9 Динамика изменения минимального размера
оплаты труда
Рис. 10 Динамика изменения размера пенсионных
выплат
Рис. 11 Динамика изменения прожиточного минимума
Рис. 12 Динамика изменения стипендиальных выплат
Рис. 13 Динамика изменения размера средней
заработной платы
Рис. 14 Динамика изменения размера ВВП
Оказалось, что скорость изменения для разных
данных составляет 20-30%
.2 Вывод математической модели макроэкономики
России
Из собранных статистических данных следует, что
скорости роста средней заработной платы, среднего прожиточного минимума, пенсий
и стипендий не сильно разнятся и совпадают с удельными скоростями роста ВВП,
денежной массы и экспорта России.
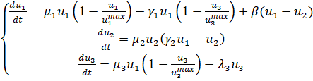
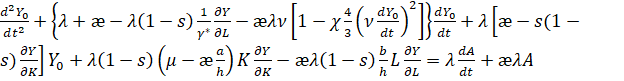
В нашей модели сегодняшней российской экономике
мы учтем ВВП, денежную массу и объем экспорта.
Таким образом, пусть u1 - величина ВВП, u2 -
денежная масса, u3 - экспорт России. Положим, что скорость роста увеличения ВВП
пропорциональна величине ВВП, общий объем которого ограничен сверху значением
.
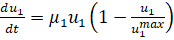
Тогда уравнение для роста ВВП будет иметь следующий вид:
Будем считать, что скорость роста денежной массы
пропорциональна денежной массе, а сама денежная масса ограничена сверху некой
долей (
)
ВВП в денежном выражении. Тогда уравнение для денежной массы примет следующий
вид:
Так же будем считать, то скорость роста экспорта
пропорционален ВВП, но сам экспорт не может превышать некоторое значение
.
Тогда уравнение для экспорта примет вид:
В дополнение к этому учтем, что увеличение
скорости экспорта пропорционально понижает скорость роста ВВП, а также то, что
часть (
)
сырья предназначенного на продажу должна остаться внутри страны. При этом
дополнительные деньги в производство не вкладываем. Тогда модель сырьевой
экономики принимает следующий вид:
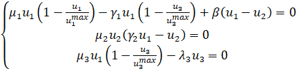
(3.1.1)
где
-
линейная функция вида (1+0.5sin0.5t) задает дополнительное управление.
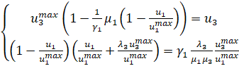
Стационарные точки системы уравнений (3.1.1)
являются решением системы алгебраических уравнений:
(3.1.2)
Якобиан правой части системы (3.1.2) имеет вид:
Система уравнений (3.1.3) имеет 2 решения:
В этой стационарной точке собственные значения
якобиана
являются:
λ1 = μ1 - γ1, λ2 = 0, λ3 = −
λ3.
Особая точка неустойчива (седло), если μ1>
γ1и
устойчива (узел),
если μ1< γ1.
После многочисленных преобразований системы
(3.1.1), получим:
При u1 = 0
Следовательно, анализ на устойчивость провести в
этом случае невозможно.
В этой модели значение констант m1,
m2
иm3близко
к значениям удельных скоростей роста ВВП, денежной массы и экспорта. Константа
бралась
из расчета разведанных запасов нефти, а
подбиралась
из расчета возраста оборудования. Решение этих уравнений для случая -
.
Результат решения этих уравнений при начальных
данных, соответствующих 1998 году, приведены на рис. 15 в виде зависимости
безразмерных ВВП, денежной массы, объема экспорта от времени. На рисунке
звездочками показаны реальные данные.
Рис. 16
Расчетные данные с 1998 года по 2009 год
практически совпадают с экспериментальными. Как следует из анализа (рис. 16)
приблизительно к 2040 году все показатели будут выходить на стационарный режим.
Этот результат понятен, поскольку к этому времени оборудование морально
устареет, если в него не вкладывать средства, а сырьевые ресурсы будут
заканчиваться. Так же из анализа выше видно, что инфляция растет быстрее, чем
денежная масса, а следовательно наш прогноз более щадящий.
В работе были рассмотрены статьи, показывающие,
что основная масса мнений на тему уровня жизни достаточно субъективна, т.к.
авторы не используют в качестве доказательства математический аппарат. Что бы
исправить это упущение были изучены и проанализированы математические модели
финансовых пирамид и долгосрочного социально-экономического прогнозирования.
Для проверки информации об изменении уровня
жизни описана математическая модель макроэкономики Российской Федерации и в
рамках этой модели были проанализированы собранные статистические данные. В
результате такого анализа выяснилось, что скорости роста денежной массы, ВВП,
цен и других показателей отличаются незначительно, что затрудняет сделать
однозначный вывод а том, насколько сильно изменился уровень жизни жителей РФ.
Касательно прогноза на будущее - все зависит от
экономической политики государства, если не будет развиваться промышленный
сектор, то и повышение важнейших экономических показателей замедлится, а то и
вовсе уйдет в стагнацию.
Заключение
Основные показатели экономики страны и уровня
жизни жителей за последние двадцать лет постоянно растут. Скорости роста
денежной массы, ВВП, цен и других показателей различны, но отличаются
незначительно. Поэтому сделать однозначный вывод насколько улучшился уровень
жизни достаточно сложно. На эти показатели постоянно влияют кризисные ситуации,
вызванные как внутренними, так и внешними причинами, дестабилизация, вызванная
возникновением "финансовых пузырей" и "пирамид". Социально-
политическая ситуация в стране за последние годы достаточно стабильная, поэтому
можно сделать вывод, что резкого ухудшения уровня жизни за это время не
произошло.
Список используемой литературы
1. The
2013 Human Development Report - "The Rise of the South: Human Progress in
a Diverse World" 127-130. HDRO (Human Development Report Office) United
Nations Development Programme.
. Белехова
Г.В., Россошанский А.И., Уровень жизни в оценках населения // Проблемы развития
территории, 2015. 5 (79). С. 77-96.
. Бобков
В.Н., Гулюгина А.А. Неравенства качества и уровня жизни населения регионов.//
Экономика региона №2/2012 - С. 170-178.
. Гринчель
Б.М., Назарова Е.А. Типология регионов по уровню и динамике повышения качества
жизни. // Экономические и социальные перемены: факты, тенденции и прогноз,
2015. 3(39). С. 111-125.
. Вашкина
Н.А., Смакотина О.Н., Белоусова А.Ю. Анализ уровня жизни в России //
. Гринин
Л.Е., Коротаев А.В «Глобальный кризис в ретроспективе: Краткая история подъемов
и кризисов: от Ликурга до Алана Гринспена. Изд. Дом Либроком. 2010. 336 С.
. Чернавский
Д.С. «Синергетика и информация (динамическая теория информации)». М.: Наука
2004. 288 С. [**],[***]
. Мажукин
В.И., Королева О.Н. «Математическое моделирование в экономике». М.: «Флинта»:
МПСИ, 2008. 176 С.
. Кондратьев
Н.Д. «Большие циклы конъюнктуры и теория предвидения» // М.: Экономика - 2002
. Акаев
А.А. Вывод общего уравнения макроэкономической динамики, описывающего
совместное взаимодействие долгосрочного экономического роста и деловых циклов.
// Доклады РАН 417/4:439-441:609-612.
. Анализ
решений общего уравнения макроэкономической динамики. // Экономика и
математические методы 44/3: С. 62-78.
. Акаев
А.А. Параметрический резонанс в рыночной экономической системе, возбуждаемый
периодическими изменениями нормы процента. // Доклады РАН 417/5
. Малинецкий
Г.Г. Моделирование мировой динамики и стратегический прогноз. // Будущая Россия
№21: Прогноз и моделирование кризисов и мировой динамики. 2013. С. 316-337.
Источники
статистических данных:
. http://www.gks.ru/
. http://www.cbr.ru/