Управління конкурентоспроможністю будівельної галузі в сучасних умовах

  • Вид работы:
    Статья
  • Предмет:
    Эктеория
  • Язык:
    Украинский
    ,
    Формат файла:
    MS Word
    146,76 Кб
  • Опубликовано:
    2017-09-11
Вы можете узнать стоимость помощи в написании студенческой работы.
Помощь в написании работы, которую точно примут!

Управління конкурентоспроможністю будівельної галузі в сучасних умовах















Управління конкурентоспроможністю будівельної галузі в сучасних умовах

Коренюк П.І.

доктор економічних наук, професор, завідувач кафедри менеджменту організацій Дніпровського державного технічного університету

Чекалова Н.Е.

старший викладач кафедри економічної теорії та права ДВНЗ «Придніпровська державна академія будівництва та архітектури»

АНОТАЦІЯ

Дослідження спрямоване на визначення особливостей управління конкурентоспроможністю в будівельній галузі за сучасних умов. Акцентовано увагу на впливі ризику на результати діяльності в будівництві. Доведено, що оцінка будівельної галузі з погляду управління ризиками має практичну значущість при розробці вектора її стратегічного розвитку у державних програмах. Аналіз та оцінка галузевих ризиків дає можливість виявити резерви розвитку галузей та національної економіки в цілому. Досліджено коливання діяльності будівельної галузі по відношенню до результатів національної економіки (“бета-коефіцієнт» галузі). Розраховані резерви розвитку будівництва в Україні. Визначено основні напрямки забезпечення економічної безпеки галузей народного господарства України в сучасних умовах господарювання.

Ключові слова: будівельна галузь, конкурентоспроможність, економіч-ний ризик, “бета-коефіцієнт» галузі, галузевий резерв, економічна безпека.

Исследование направлено на определение особенностей управления конкурентоспособностью в строительной отрасли в современных условиях. Акцентировано внимание на влиянии риска на результаты деятельности в строительстве. Доказано, что оценка строительной отрасли с точки зрения управления рисками имеет практическую значимость при разработке вектора ее стратегического развития в государственных программах. Анализ и оценка отраслевых рисков дает возможность выявить резервы развития отраслей и национальной экономики в целом. Исследованы колебания деятельности строительной отрасли по отношению к результатам национальной экономики («бета-коэффициент» отрасли). Рассчитаны резервы развития строительства в Украине. Определены основные направления обеспечения экономической безопасности строительной отрасли в современных условиях хозяйствования.

Ключевые слова: строительная отрасль, конкурентоспособность, экономический риск, «бета-коэффициент» отрасли, отраслевой резерв, экономическая безопасность.

research is aimed at determining the features of competitiveness management in the construction industry in modern conditions. Attention is focused on the impact of risk on performance in construction. It is proved that the assessment of the construction industry from the point of view of risk management is of practical importance when developing the vector of its strategic development in state programs. The analysis and assessment of sectoral risks makes it possible to identify reserves for the development of industries and the national economy as a whole. The fluctuations in the activity of the construction industry in relation to the results of the national economy (the «beta coefficient» of the industry) were studied. Reserves for the development of construction in Ukraine are calculated. The basicdirections of maintenance of economic safety of building branch in modern conditions of managing are defined.

Keywords: building industry, competitiveness, economic risk, branch «beta-factor», sectoral reserve, economic security.


Постановка проблеми. Як свідчать фахівці, в останні десятиріччя спостерігається стійка тенденція зниження якості будівельно-монтажних робіт, з метою економії заробітної плати до виконання робіт залучають робітничі кадри низької кваліфікації або взагалі некваліфікованих робітників; для зменшення собівартості в об’єкти закладають низький запас міцності; суцільна економія та скорочення термінів виконання робіт призводять до погіршення якості будівельних об’єктів, про що свідчать проблеми, які виявляються з початком експлуатації новобудов (так було, наприклад у Дніпрі, коли у житловому комплексі Вежі з початком експлуатації утворилися небезпечні тріщини у несучих стінах будівель; а закриття цокольного поверху у торговельному комплексі “Мост-сіті» вже в перші роки експлуатації пов’язано із встановленням додаткових опор, оскільки була загроза обвалення усієї конструкції через надмірне навантаження, яке виникло тоді, коли в готовому об’єкті всупереч первинному плану залили льодовий каток; у Києві нелегально побудована багатоповерхівка зведена прямо над величезним колектором стічних вод, через що контролюючі органи не приймають її у експлуатацію, але забудовник вже продав квартири у яких живуть люди, кожну хвилину ризикуючи своїм життям, оскільки прорив колектора може вщент зруйнувати всю будівлю, - і такі приклади не одиничні).

З початком військових дій на Донбасі у 2014 р. суттєво скоротилась кількість іноземних інвесторів в галузі, а через економічну кризу та падіння рівня платоспроможного попиту населення багато об’єктів зупинилися на різних стадіях будівництва, фактично перетворившись у довгобудови. На відміну від щасливих власників квадратних метрів у більш розвинутих країнах, де купуючи житло у той же день можна в’їжджати в нього та жити, в Україні придбавши квартиру у новобудові ви придбаєте лише самі голі бетонні або цегляні стіни, які ще треба “перетворити» у придатне житло. Створює проблеми й корупція в сфері видання дозвільних документів та прийняття в експлуатацію будівельних об’єктів. Крім того на вітчизняному ринку торгівлі первинною нерухомістю багато афер та тисячі ошуканих дрібних інвесторів, що свідчить про недостатній контроль з боку держави за діяльністю забудовників на всіх етапах будівництва. Все це призводить до падіння ефективності будівельній галузі в Україні та зниження її конкурентоспроможності.

У відносно стабільних умовах господарювання економік розвинутих країн значна увага приділяється проблемі дослідження господарської діяльності в умовах їх невизначеності, тобто питанню оцінки і управління ризиками. В кризовому стані економіки України нестабільність і навіть хаотичність поточної ситуації веде до суттєвого ускладнення цієї проблеми.

Низька ефективність промислових підприємств України найближчим часом може привести до падіння вартості їх активів, перерозподілу власності та втрати контролю над промисловими ресурсами в країні, що є загрозою не тільки самим підприємствам, але й національним інтересам держави. Загрози економічній безпеці можуть розбалансувати діяльність будь-якого економічного суб’єкту. Забезпечення економічної безпеки - пріоритетний напрямок діяльності на будь-якому рівні. Забезпечення економічної безпеки в матеріальній сфері, в т.ч. в будівництві, є стратегічним завданням держави в цілому, оскільки матеріальне виробництво є базисом для соціальної, політичної, військової, технологічної, продовольчої та інших видів національної безпеки.

Значно підвищити рівень ефективності діяльності будівельної галузі здатне удосконалення системи управління конкурентоспроможністю будівельної галузі в сучасних умовах.

Аналіз останніх досліджень і публікацій. Питання характерних особливостей будівельного комплексу піднімалися у працях А. Беркута, С. Глу-хова, М. Гусевої, О. Зернюк, О. Карлової, Л. Котощук, І. Малиша, Н. Паліги, Ю. Пинди, П. Рогожина, О. Тищенко, О. Щеглова [1-6; 9-10; 12; 14; 17] та ін. будівельний управління економіка конкурентоспроможність

Авторами [5-6; 9-10] відзначено, що позитивні зрушення у будівельній галузі призводять до розвитку виробництва будівельних матеріалів і відповідного обладнання, чорною металургії і металообробки, деревообробної і фарфоро-фаянсової промисловості, машинобудування, транспорту, нафтохімії, виробництва скла, енергетики та ін. При цьому активно долучаються до виробничого процесу підприємства малого бізнесу, що, як правило, спеціалізуються на оздоблювальних та ремонтних роботах, на виробництві та встановленні меблів та ін.

Практичні аспекти функціонування сучасних підприємств будівництва та специфіка виробничих процесів і факторів, що впливає на їх ринковий потенціал представлені у роботах [3-6] та ін. Механізми забезпечення конкурентоспроможності та формування конкурентних переваг підприємств будівельного комплексу висвітлювались у роботах А. Тищенко і В. Хаус- това [14].

Виділення невирішених раніше частин загальної проблеми. Однак, не зважаючи на чисельність наукових праць на сьогодні не визначено напрямів формування захисного механізму конкурентоспроможності підприємств будівельної галузі, не було виділення максимально інформативних показників для моніторингу стану ефективності діяльності у будівництві та оцінки його конкурентоспроможності.

Відповідно до зазначеного в рамках даної публікації буде досліджено сучасний стан будівельної галузі в Україні в умовах невизначеності та ризику, а також визначені загрози економічній безпеці.

Виклад основного матеріалу дослідження. Ринкова економіка, що ґрунтується на свободі вибору, характеризується постійними коливаннями рівня попиту і пропозиції, конкуренцію, що постійно посилюється, нестабільними темпами розвитку техніки і технологій, різкими змінами валютних курсів, неконтрольованою інфляцією, непостійністю законодавчої бази, а також багатьма іншими чинниками, характерними для сучасного стану вітчизняної економіки, створює умови, при яких виникає невизначеність і невпевненість в отриманні очікуваного кінцевого результату, а, отже, виникає ризик. Галузевий ризик обумовлений змінами в економічному стані галузі і їх ступенем як усередині галузі, так і в порівнянні з іншими галузями [15].

Галузевий ризик безпосередньо пов’язаний із ступенем мінливості в діяльності галузі в економічному і фінансовому плані, в абсолютному сенсі і в порівнянні з іншими галузями. Чим більше мінливість галузі, тим більше ступінь ризику.

Чинники, що впливають на рівень галузевого ризику, можуть бути згруповані таким чином:

—           діяльність даної галузі, а також суміжних галузей за певний період часу. Наскільки діяльність фірм даної галузі стійка в порівнянні з економікою країни в цілому. Аналіз проводиться за допомогою специфічного аналізу рівня середньоквадратичних відхилень;

—           внутрігалузева конкуренція, яка може бути ціновою і неціновою і залежить від складності входження нових виробників в галузь, наявності або відсутності товарів-замінників, ринкової сили покупців (споживачів), рейтингу постачальників і посередників, авторитету доброзичливих контактних аудиторій. Аналізуються результати діяльності різних фірм усередині однієї і тієї ж галузі та визначається, чи є значна розбіжність в результатах їх діяльності.

Існують різні підходи до аналізу та оцінки галузевого ризику. Одним з показників його вимірювання є визначення рівня коливань (або відхилень) в результатах діяльності галузі по відношенню до результатів діяльності ринку або всієї економіки.

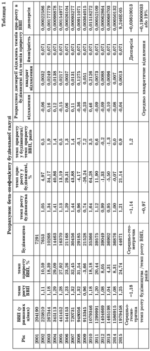
За даними держкомстату розглянемо коливання будівельної галузі (рис. 1а-1б) [8].



Вимірювання галузевого ризику аналогічно розрахунку середньоквадратичного відхилення від математичного очікування в короткостроковому періоді, але в довгостроковому періоді, на нашу думку, слід розраховувати середньоквадратичне відхилення від лінійного тренду [16].

Вимірювання коливань діяльності галузі по відношенню до результатів національної економіки - різновид ризику, який в статистичному аналізі за кордоном позначається грецькою буквою в (“бета-коефіцієнт» галузі). Бета-коефіцієнт є мірою ринкового ризику в галузі; на Заході він розраховується на основі мінливості прибутковості сукупного портфеля цінних паперів в галузі по відношенню до прибутковості середньоринкового портфеля. В умовах нашої країни, з урахуванням нерозвинутості фондового ринку, можна скоригувати методику та визначити бета-коефіцієнт через серед- ньоквадратичне відхилення темпів приросту в будівництві від темпів приросту ВВП (див. табл. 1).


Показник в = 1 вважається нормальним для ринкової економіки. Показник в < 1 буде у стабільної галузі, для якої не характерні значні зміни. Показник в > 1 свідчитиме про значні зміни в галузі. Тому чим вище показник в, тим сильніше і галузевий ризик.

Як бачимо з розрахунків, представлених у табл. 1.1, темпи росту в будівельній галузі на 3% менше за темпи росту ВВП в країні, що означає наявність прихованих резервів розвитку галузі, а мінливість зростання будівництва по відношенню до зростання ВВП складає 0,19 або 19%, що свідчить про низький рівень галузевого ризику.

Незначне відхилення темпів розвитку в будівництві від темпів зростання ВВП країни наочно демонструють графіки їх лінійних трендів, які майже збігаються впродовж досліджуваного періоду (рис. 2).


Величина бета для певної галузі змінюватиметься з часом і, особливо, в ході ділового циклу, тобто рівень галузевого ризику є достатньо динамічним. Тому необхідно проводити аналіз його рівня не тільки в статиці, але і в динаміці.

Оцінку галузевих ризиків доцільно доповнювати пошуком резервів її розвитку. З погляду сфер виникнення і можливостей управління величину галузевого резерву розділяють на дві частини зовнішню і внутрішню (рис. 3-4) [16].

Внутрішня частина загальногалузевого резерву обумовлена особливостями певної галузі, а зовнішня - залежить від частки даної галузі у структурі національної економіки та ступеня їх кореляції. Розподіл загального резерву на внутрішню та зовнішню частини дає можливість відокремити системні

 ризики загальнодержавного та внутрішньогалузевого походження, що важливо з точки зору ефективного управління галузями в умовах ризику.

Внутрішні резерви розвитку галузі можна визначити різницею між значенням лінійного тренду та фактичним значенням результату роботи галузі за певний період. В динаміці сукупні резерви представлені площею між лінійним трендом та конфігурацією розвитку галузі (рис. 3а-3б).



Аналогічно зовнішні резерви розвитку галузі в динаміці можна визначити як площу між ламаною темпів зростання національної економіки та конфігурацією розвитку галузі за певний проміжок часу.

Для розрахунку величини зовнішніх резервів розвитку галузей в першу чергу доцільно розглядати невідповідність темпів розвитку певної галузі швидкості змінювання усієї економіки. Тобто в межах загальної тенденції від’ємна невідповідність у певній галузі й являє собою зовнішній галузевий ризик. В той час, позитивна невідповідність, що проявляється у перевищенні темпів розвитку галузі над загальнонаціональним, - є виключним досягненням певної галузі, не створює для неї загрози і тому не є об’єктом першочергової уваги.

Розрахунок галузевого резерву представлений у табл. 2.

Таблиця 2

Розрахунок абсолютної величини галузевого резерву за період 2001-2015рр.

Рік

Будівництво

Усього в економіці


у факт. цінах, млн.грн.

темп зростання, %

резерв, %

резерв, млн.грн.

у факт. цінах, млн.грн.

темп зростання, %

2001

7291


0

0,00

180490


2002

7653

4,97

6,5

497,45

11,47

2003

10268

34,17

0

0,00

240217

19,40

2004

14463

40,86

0

0,00

313046

30,32

2005

16370

13,19

10,95

1792,52

388601

24,14

2006

21168

29,31

0

0,00

474123

22,01

2007

30456

43,88

0

0,00

634794

33,89

2008

29185

-4,17

34

9922,90

824176

29,83

2009

21528

-26,24

22,88

4925,61

796481

-3,36

2010

32518

51,05

0

0,00

954159

19,80

2011

37232

14,5

5,46

2032,87

1119801

17,36

2012

38574

3,6

9,55

3683,82

1211886

2013

36902

-5,5

5,5

2029,61

1283812

5,94

2014

36876

-0,07

0,07

25,81

1382719

7,70

2015

44671

21,14

0

0,00

1681372

21,60

X

385155



24910,6

11686871



Підсумовані дані у п’ятому стовпчику і є величиною зовнішнього резерву галузі за даний період.

Забезпечення економічної безпеки - пріоритетний напрямок діяльності держави. Загрози економічній безпеці можуть розбалансувати діяльність будь-якого економічного суб’єкту. Забезпечення економічної безпеки є стратегічним завданням держави в цілому, оскільки економічна сфера є базисом для соціальної, політичної, військової, технологічної, продовольчої та інших видів національної безпеки. Саме в умовах забезпечення національної безпеки країни можливе стабільне економічне зростання, збільшення добробуту громадян, процвітання держави [7].

Загрози, яким піддається економічна безпека держави, можуть мати різний ступінь впливу, природу виникнення. Ідентифікація загроз - перший крок в процесі управління ними. Останнім часом посилення багатьох загроз економічній безпеці відбувається під дією глобалізації. Триває активний розвиток світового господарства; національні економіки посилюють свої зв’язки та взаємодоповнюють одна одну. В зв’язку з цим необхідно виокремити загрози, що пов’язані з глобалізацією і загрози, що не залежать від неї.

Багато вчених вважають глобалізацію як еволюційну тенденцією розвитку суспільства закономірним і об’єктивним процесом. При цьому глобалізація, з одного боку, надає державам нові можливості, з іншого - несе загрози економічній безпеці. Позитивні риси глобалізації проявляються в розвитку міжнародних відносин, збільшенні масштабів імпортно-експортних операцій, посиленні і поглибленні культурних зв’язків між народами, культурами, державами і т. ін.

Глобалізація загрожує і негативними наслідками або потенційними проблемами, в яких деякі її критики вбачають велику небезпеку .

По-перше, переваги глобалізації розподіляються нерівномірно. По-друге, ряд галузей втрачають свої конкурентні переваги через зростання відкритості ринку та змушені докладати додаткових зусиль та великих витрат, щоб пристосуватися до господарських умов, що змінилися не на їхню користь. Відтік ресурсів з цих галузей містить в собі серйозну загрозу господарській структурі, що склалася, і уряд повинний розробити адаптаційні заходи для тих, хто втратив роботу, допомогти з пошуком іншого робочого місця, з перекваліфікацією, взяти на себе важкий тягар соціальних витрат.

З 2014 р. за межами країни працюють багато українських заробітчан - масштаби трудової міграції настільки великі, що потребують особливої уваги з боку держави. Не слід сподіватись, що міжнародна міграція сприяє вирішенню проблем зайнятості та бідності. За відсутності адекватних заходів з боку держави проблема безробіття може стати потенційним джерелом локальної і глобальної нестабільності. Вимушена трудова міграція виявляє ще одну проблему - втрату витрачених на освіту коштів.

Низька ефективність промислових підприємств України найближчим часом може привести до падіння вартості їх активів, перерозподілу власності та втрати контролю над промисловими ресурсами в країні, що є загрозою національним інтересам держави.

Негативним є й те, що з прискоренням інтеграції України у світову спільноту економіка країни стає більш відкритою, державні ринки потрапляють в залежність від ринків інших країн, проблеми сировинної забезпеченостінабувають глобального характеру. Загострюються локальні економічні та суспільні проблеми.

Основні загрози та можливості прояву глобалізації в галузі економічної безпеки представлені в табл. 3.

Таблиця 3

Вплив глобалізації на економічну безпеку

можливості

загрози

Поява імпульсу і прискорення дифузії інновацій

Нерівномірність розподілу благ глобалізації по окремим країнам і сферам економіки

Посилення конкуренції стимулює вітчиз-няних виробників вдосконалювати вироб-ничий процес, підвищувати ефективність управління витратами, знижувати ціни, поліпшувати якість продукції, що сприяє підвищенню ефективності їх діяльності

Втрата галузями конкурентних переваг через зростання відкритості ринку; необхідність додаткових зусиль та значних витрат, щоб пристосуватися до господарських умов, що змінилися не на їхню користь

Спрощення умов та процедур для міжнародної трудової міграції

Зниження ефективності державного регулювання і контролю у сфері економіки

Вирішення проблеми зайнятості для країн, що розвиваються, завдяки перенесенню виробництва у ці країни через дешеву робочу силу

Відсутність ефективної програми запобігання фінансовим та економічним кризам зовнішнього походження

Поглиблення спеціалізації і міжнародного поділу праці

Труднощі при конкуруванні вітчизняних виробників з іноземними

Збільшення числа фінансових інструментів, розширення інвестиційних можливостей

Загострення проблеми критичного стану основних виробничих фондів у провідних галузях промисловості, агропромисловому комплексі, комунальному господарстві

Підвищення продуктивності праці через раціоналізацію виробництва на глобальному рівні і поширення передових технологій, а також конкурентного тиску на користь безперервного впровадження інновацій у світовому масштабі

Недостатні в порівнянні з ТНК та МНК темпи від- творювальних процесів в господарському комплексі країни спричинять все більше відставання від розвинутих країн

Зростання рівня доходів сімей трудових емігрантів, підвищення середнього рівня життя і розширення життєвих перспектив населення

Посилення залежності національної економіки від кон’юнктури зовнішніх ринків, низькі темпи розширення внутрішнього ринку

Поява нових можливостей, зниження бар’єрів, отримання вигод споживачами, розвиток економічного потенціалу, оновлення - можливості стабільного економічного зростання

Велика боргова залежність держави, критичні обсяги державного зовнішнього боргу загрожують втратою політичної свободи

Підвищення ефективності розподілу коштів і ресурсів

Зростання соціальних витрат для уряду на адаптаційні заходи на ринку праці

Використання передового науково-технічного, технологічного і кваліфікаційного рівня провідних у відповідних областях зарубіжних країн в інших країнах; в цих випадках скорочуються терміни впровадження нових рішень і відносно менші витрати

Переважання в діяльності управлінських структур особистих та корпоративних інтересів над суспільними, що загрожує національним інтересам держави

Можливість мобілізувати більш значний обсяг фінансових ресурсів, оскільки інвестори можуть використовувати більш широкий фінансовий інструментарій на зростанні кількості ринків

Прибутки дочірніх підприємств та філії ТНК та МНК не обов’язково витрачатимуть в країні розташування цих підрозділів, що означає звуження можливостей для розвитку цих територій

Поява значних надлишків трудових ресурсів внаслідок технологічної революції “Витік умів» і втрата коштів, витрачених на освіту трудових емігрантів Звуження рамок для економічної політики країни Небезпечне зростання частки іноземного капіталу у стратегічних галузях економіки Посилення економічної залежності вітчизняних виробників від зовнішніх постачальників ресурсів та технологій


Глобалізація - новий рівень економічної діяльності, господарська система, що працює в єдиному економічному просторі. Глобалізація характеризується переважанням світогосподар- ських зв’язків над національними. Показники та індикатори економічної безпеки свідчать про посилення традиційних і виникнення нових загроз економічній безпеці держави через розвиток глобалізаційних процесів.

Інтеграція ресурсів, характерна для глобалізації, тягне за собою серйозну конкуренцію, перш за все, країн з нерозвиненою економікою, так як високо розвинені країни, транснаціональні корпорації самі є керують даним процесом.

З технологічної точки зору, глобалізація - перехід від конвеєрних технологій до модульного виробництва з широким використанням міжнародного аутсорсингу в цілях оптимізації управління ресурсами і матеріальними витратами. Одним з реальних наслідків поточної технологічної революції буде поява значних надлишків трудових ресурсів і скочування слабо розвинених країн на позицію баласту світової економіки [11].

Однією з ключових проблем в умовах прояву глобалізаційних та інтеграційних процесів виступає можливість державної незалежності в сфері здійснення економічної політики. При цьому найчастіше присутні два аспекти формування економічної політики [13]:

незалежність суб’єктів прийняття політичних рішень (СППР) певної держави від рішень, прийнятих СППР інших держав або міжнародних організацій;

незалежність СППР даної країни від національних політичних ринків, де можуть лобі- ювати свої інтереси як суб’єкти-резиденти, так і суб’єкти-нерезиденти (ТНК, МНК, відділення міжнародних неурядових організацій і т.ін.).

Отже, не всі країни можуть залишатися повністю незалежними, самодостатніми в процесі глобалізації. Навіть США, країна яка активно використовує інтеграційні процеси і часто отримує односторонню вигоду, має дуже відносну самодостатність.

Деякі країни, з метою мінімізації ризиків і загроз, а також отримання найбільших вигод глобалізації об’єднуються в союзи. Одним із прикладів може бути ЄС. Але і тут, як показує практика, далеко не все гладко. Криза однієї країни, що входить в Союз, негативно впливає на всі союзні держави. З позиції, що відбувається в даний час ситуації, громадянської війни на Україні, політики Росії, політики Євросо- юзу, взаємних санкцій, за вимогою декількох держав ЄС - внаслідок взаємозв’язку страждають всі країни ЄС.

Наприкінці 1991 р. Україна разом з частиною країн колишнього СРСР об’єдналася в СНГ. Однак в рамках даного союзу держави не були так чітко пов’язані, не володіли такими суворими зобов’язаннями перед союзом, як в ЄС, союзи, подібні СНГ, більш мобільні, але і менш авторитетні.

Найбільш важливим завданням механізму забезпечення економічної безпеки України в умовах глобалізації є:

-              регулювання розвитку зовнішньої торгівлі і зовнішньоекономічних зв’язків з урахуванням стратегічних інтересів держави;

-              вдосконалення галузевої структури зовнішньої торгівлі шляхом розвитку експортного потенціалу;

-              підтримка вітчизняних виробників високо- технологічних товарів, стимулювання їх експортної діяльності з метою виведення найбільш конкурентоспроможної продукції на світові ринки, а також подальшого зміцнення її позицій;

-              підвищення ефективності діяльності державних і регіональних органів управління, оптимізація системи державного регулювання з метою подолання загроз економічній безпеці;

-              проведення політики розумного протекціонізму щодо національних виробників товарів і послуг, які не є монополістами на українському ринку;

-              робота в напрямку забезпечення стабільності національної валюти;

-              розвиток інформаційно-комунікаційного сектору для забезпечення надійного і своєчасного зв’язку країни з зовнішніми ринками, а також оптимальної та ефективної організації товарних і сервісних потоків на внутрішньому ринку;

-              стимулювання зростання науково-технічного, виробничого, освітнього, техніко-техноло- гічного потенціалу країни;

-              підвищення рівня і якості життя населення країни.

Основними напрямками забезпечення зовнішньої економічної безпеки України в умовах відкритої економіки є:

-              створення стабільної політичної системи, орієнтованої на досягнення добробуту всього суспільства шляхом ефективного використання переваг ринкової економіки;

-              вдосконалення зовнішньоекономічної діяльності держави;

-              залучення і ефективне використання іноземних інвестицій;

-              вирішення проблеми зовнішнього державного боргу;

-              структурна трансформація експорту та імпорту, диверсифікація зовнішніх зв’язків та джерел сировини і комплектуючих;

-              проведення політики розумного протекціонізму;

-              забезпечення продовольчої незалежності;

-              використання досягнень науково-технічного прогресу і активна взаємодія зі світовими партнерами в цій галузі;

-              постійне вдосконалення господарського механізму для підвищення ефективності використання ресурсів і конкурентоспроможності продукції та послуг на світовому ринку і т. д.

В умовах відкритої економіки з урахуванням інтеграційних процесів та глобалізації необхідно посилити регулюючу роль держави в зовнішньоекономічній сфері. Не дивлячись на політичні нюанси взаємовідносин з нашими партнерами, національні інтереси та їх захист повинні бути пріоритетними. У взаємозв’язку з чим необхідно вживати заходи помірного протекціонізму, особливо стосовно тих груп товарів, які в достатній кількості виробляються вітчизняними виробниками.

З метою підвищення попиту на нашу продукцію як на внутрішньому, так і на зовнішніх ринках, необхідно вводити більш сучасні системи контролю якості, активніше впроваджувати ресурсозберігаючі технології.

Багато років за часи незалежності три кити українського експорту - металургія, хімічна промисловість та сільськогосподарська продукція в постіндустріальному суспільстві, до якого ми прагнемо, не можуть бути базою для забезпечення розвитку національної економіки. Найближчим часом потрібно змінювати структуру експорту в бік продажу переробленої готової продукції, що забезпечить зростання доданої вартості в країні.

І хоча повністю не можна огородити вітчизняну продукцію від зовнішньої конкуренції та взагалі ізолювати вітчизняну економіку від впливу зовнішньоекономічних відносин, оскільки це може спричинити появу дефіцитів на товарному ринку, але слід постійно моніто- рити ситуацію, робити висновки та вживати відповідні заходи тоді, коли конкуренція з боку іноземних виробників призводить до руйнування цілих галузей, збільшує залежність від імпорту, змінює сформовану економічну структуру. Загрози вітчизняному виробництву вимагають від держави проведення дієвих реформ та організацію захисних заходів для підтримки національних виробників.

В Україні багато виробництв і цілих галузей, що значно відстають в своєму розвитку від світових лідерів, з-за чого страждають і регіони, де вони розташовані, як, недотримуючи податки, скорочують фінансування будь-яких проектів. В умовах прискорення темпів інтеграції країни в європейський економічних простір дрібні і середні підприємці опиняються в скрутному становищі і часто не готові до конкуренції з європейськими виробниками. При цьому основні вигоди від розширення світогосподар- ських зв’язків найчастіше отримують транснаціональні корпорації і іноземні компанії з експортної орієнтацією.

Незважаючи на наявні ризики, труднощі, загрози економічній безпеці в рамках глобалізації, її можна вважати і чинником посилення національної економіки, підвищення її конкурентоспроможності. Участь держави в різних економічних організаціях, наприклад, СОТ, ставить перед державою певні умови, викликає необхідність відповідності певним стандартам, виконувати певні зобов’язання, але в той же час розкриває нові можливості.

На наш погляд, загрози глобалізації для економічної безпеки України посилюються в зв’язку з сучасними подіями в Україні, ставленням урядів США і Європи до позиції Росії, їх новими санкціями. Все це вимагає посилення уваги до забезпечення економічної безпеки нашої держави.

При правильному підході з боку держави до перспектив глобалізації, солідарності і прагненні до співпраці між країнами, можна посилити можливості і мінімізувати вплив загроз, що позитивно вплине на загальне підвищення добробуту. Глобалізація може стати чинником, який змушує вітчизняного виробника, з метою підтримки його діяльності, вийти на новий рівень, а економіці держави стати більш конкурентоспроможною, так як загрози викликають необхідність вдосконалення і розвитку всього економічного потенціалу держави.

Управління конкурентоспроможністю будівельної галузі в умовах хаотичності національної економіки потребує аналізу та оцінки галузевого ризику та виявлення й використання резервів розвитку галузі. Оцінка галузей економіки з погляду управління ризиками є практично значущою при розробці вектора їх стратегічного розвитку: соціальних, економічних, екологічних та технічних державних програм. На підставі наявних статистичних даних формується загальна картина, тренд розвитку галузей. Аналіз та оцінка галузевих ризиків дає можливість виявити резерви розвитку галузей та економіки в цілому.

Визначення факторів, що створюють загрозу економічній безпеці країни взагалі та галузям народного господарства зокрема дасть можливість визначити слабкі місця і здійснювати цілеспрямоване, ефективне управління національним господарством.

БІБЛІОГРАФІЧНИЙ СПИСОК

1. Беркута А. В. Сучасний стан та деякі напрями реформування будівельної галузі / А. В. Беркута// Будівництво України. - 2005. - № 2. - С. 21-25.

2. Глухов С.В. Оцінка ефективності інноваційної діяльності будівельних підприємств. Дис. кандидата екон. наук / С.В. Глухова. - Дніпропетровськ, 2011.

3.       Гусева М.Н. Управление обеспечением конкурентоспособности предпринимательских структур в строительстве: монография / М.Н. Гусева. - М.: Архитектура-С, 2011 - 400 с.

4.       Зернюк О. В. Маркетинговий менеджмент будівельного підприємства [Текст] / О. В. Зернюк, С. В. Забара // Экономика Крыма. - 2011. -№ 1(34). - С. 452-457.

5.       Карлова О.А. Особливості та потенційні можливості розвитку житлового будівництва в регіонах України [Text] / О.А.Карлова // Економіка будівництва і міського господарства. - 2013.- т. 9 №4. - С. 329-334.

6.       Конащук В. Л. Теоретичні аспекти оцінювання ефективності інноваційної діяльності будівельних підприємств [Електронний ресурс] / В.Л. Конащук, О.В. Новак // Економічний простір. - 2010. - №38. - С. 217-224. Режим доступу: http://nbuv.gov.ua/j-tit/ecpros

7.       Коренюк П.І., Чекалова Н.Е. Держава в світі глобалізацій- них процесів // Матеріали І Міжнародної науково-практичної інтернет-конференції «Стратегічно-інноваційний розвиток суб'єктів економічної системи в умовах глобалізації» 16-18 листопада 2016 року м. Кременчук. Режим доступу: https://drive.google.com/file/d/0B55milhxiziUc0dFZ290N- 2FqeDA/view.

8.       Офіційний сайт Державної служби статистики в Україні. - Режим доступу: http://www.ukrstat.gov.ua/

9.       Паліга Н.Б. Аналіз механізмів та інструментів реалізації антикризової політики держави в будівельній галузі / Н.Б. Паліга. Всеукраїнський аналітично-інформаційний журнал «Схід»/ спецвипуск - № 1 (108) січень 2011. - С. 128-131. [Електронний ресурс]. - Режим доступу : http://www.experts.in.ua/index.ph

10.     Пинда Ю.В. Організаційно-економічне забезпечення конку- рентоспромож-ності будівельного комплексу регіону: Дис. канд. ек. наук: 08.00.05 - 2009.

11.     Радюкова Я. Ю., Шамаев И. Н. Экономическая безопасность страны как многоуровневая система элементов и отношений // Социально-экономические явления и процессы. Тамбов. - 2011. - № 1-2. - С. 194-198.

12.     Рогожин П.С., Гойко А.Ф. Економіка будівельних організацій. - К.: Видавничий дім «Скарби», 2001. - 448 с.

13.     Скорук О. В. Економічна безпека держави: сутність, скла

дові елементи та проблеми забезпечення / О. В. Скорук // Науковий вісник Ужгородського національного університету. Серія : Міжнародні економічні відносини та світове господарство. - 2016. - Вип. 6(3). - С. 39-42. - Режим доступу: http://nbuv.gov.ua/UJRN/Nvuumevcg_2016_6(3)  11

14.     Тищенко О.М., Хаустова В.Є., Бєляєв О.С. Оцінка конкурентоспроможності будівельних підприємств з урахуванням їх специфіки [Електронний ресурс] / О.М.Тищенко. // Науковий журнал «Проблеми економіки». - Харків: №1-2013. - С. 185-191.

15.     Тэпман Л.Н. Риски в экономике: Учеб. пособие для вузов / Под ред. проф. В.А. Швандара. - М.: ЮНИТИ-ДАНА, 2002. - 380 с.

.Чекалова Н.Е. Методичні підходи до аналізу та оцінки галу- зевих ризиків / Проблеми формування нової економіки XXI століття: зб. наук. праць VI Міжнар. наук.-практ. конф., 19-20 груд. 2013 р. : у 2 т - Дніпропетровськ : Біла К.О., 2013. Т.2: Перспективи наукових досліджень у формуванні нової економіки. - 2013. - 111 с. С. 32-37.

.Щеглова О.Ю. Житлове будівництво як стимулятор регіонального розвитку економіки України [Text] О.Ю. Щеглова // Коммунальное хозяйство городов. - 2010. - № 94. - С. 259-263.

Похожие работы на - Управління конкурентоспроможністю будівельної галузі в сучасних умовах

 

Не нашли материал для своей работы?
Поможем написать уникальную работу
Без плагиата!
Без нейросетей!