Совокупный спрос и его факторы

  • Вид работы:
    Курсовая работа (т)
  • Предмет:
    Эктеория
  • Язык:
    Русский
    ,
    Формат файла:
    MS Word
    68,36 Кб
  • Опубликовано:
    2017-10-13
Вы можете узнать стоимость помощи в написании студенческой работы.
Помощь в написании работы, которую точно примут!

Совокупный спрос и его факторы

Оглавление

совокупный спрос макроэкономический равновесие

Введение

. Теоретические аспекты совокупного спроса

.1 Понятие совокупного спроса. График совокупного спроса. Неценовые факторы изменения совокупного спроса

.2 Понятие макроэкономического равновесия и его основные модели

.3 Совокупный спрос и совокупное предложение

. Модели совокупного спрсоа

.1 Эффект мультипликатора и его значение для совокупного спроса

.2 Стимулирование совокупного спроса в экономике России

Заключение

Список использованных источников литературы

Введение

 

Экономические циклы - явление, которому посвящены множество трудов известных ученых. Они классифицируются на краткосрочные, среднесрочные и долгосрочные.

Реальный экономический сектор представляет собой неотъемлемую часть сегодняшних экономических систем, играет решающую роль в достижении стабильности развития и экономического роста, прогресса инновационно-технологического характера, а также благополучия государства в социальной сфере.

Глобальный кризис в сфере финансов и депрессия мировой системы хозяйствования, которая последовала за ним, вызвали процессы кризисного характера в реальном экономическом секторе во множестве стран мира, которые проявились в сокращении промышленного производства, уменьшении совокупного выпуска, понижении цен на потребительские и продовольственные товары, которые критически значимы, увеличении безработицы и снижении доходов наемных работников. Вследствие мирового кризиса в экономике состояние большей части стран, включая отличавшиеся высоким темпом роста экономики, оказалось нестабильным. Кризис в экономике и депрессия, которая следовала за ним, привели к необходимости антикризисного регулирования государством реального экономического сектора, от эффективности которого имела зависимость глубина спада и в целом экономическое восстановление.

Кризисом в российском реальном секторе были обнажены неразрешенные проблемы экономического характера в секторе, а также непоследовательность и некомплексность реализации госстратегии его развития. Увеличение эффективности антикризисного регулирования государством при продолжающихся процессах кризисного характера в экономике и повторяющихся колебаниях циклического характера мировой конъюнктуры на базе анализа заграничного опыта представляет собой одно из направлений обеспечению развития российского реального сектора, чем и определяется актуальность исследования.

Целью данной курсовой работы является исследование совокупного спроса в российской экономике.

Для достижения данной цели были поставлены и решены следующие задачи:

.        Выявить сущность сущность и факторы совокупного спроса в экономике России;

.        Рассмотреть теоретические концепции совокупного спроса;

.        Рассмотреть структурированные модели макроэкономического равновесия;

.        Исследовать эффект мультипликатора и его значение для совокупного спроса;

.        Исследовать принципы стимулирования совокупного спроса в экономике России.

Предметом исследования выступают макроэкономические отношения в современной экономике.

Объектом исследования стал совокупный спрос в экономике России.

Структурно курсовая работа состоит из введения, двух глав, заключения, списка использованной литературы.

1. Теоретические аспекты совокупного спроса

 

.1 Понятие совокупного спроса. График совокупного спроса. Неценовые факторы изменения совокупного спроса


Макроэкономический анализ национальной экономики предполагает рассмотрение также совокупного спроса и совокупного предложения. Предварительно мы должны объединить тысячи отдельных цен - на разнообразные промышленные и сельскохозяйственные товары, товары длительного пользования и текущего потребления, на потребительские товары и средства производства - в единую совокупную цену, или уровень цен.

Мы также должны собрать великое множество отдельных товаров и услуг в единое целое, которое называется реальным объемом национального производства. Объединение всех цен на отдельные товары и услуги в уровень цен, а также объединение всего равновесного количества товаров в реальный объем национального производства называется агрегированием.

Объединенные цены (уровень цен) и объединенные равновесные количества товаров (реальный объем национального производства) называются совокупностями (агрегатами).

Поэтому при графическом анализе совокупного спроса и предложения на оси ординат будет отложен уровень цен, а не цена на отдельный товар, и реальный объем национального производства на оси абсцисс, а не количество отдельного товара.

Совокупный спрос (aggregate demand, AD) - это категория, отражающая общий объем товаров и услуг, на который может быть предъявлен спрос потребителями (домохозяйствами), предприятиями, государством и заграницей при любом возможном уровне цен.

Потребительский спрос (спрос домохозяйств) доминирует на рынке потребительских товаров и платных услуг.

Под инвестиционным спросом понимается спрос предпринимателей и предприятий на средства производства, реальный капитал для замены изношенных средств труда и увеличения реального капитала.

Спрос со стороны государства зависит от его доходов, средств государственного бюджета.

Спрос иностранцев будет обусловлен их доходами и динамикой валютных курсов.

Кривая совокупного спроса графически отражает взаимосвязь между расходами в экономике на конечные товары и услуги и уровнем цен на них.

Выявляется, что при прочих равных условиях, чем ниже уровень цен, тем большую часть реального объема национального производства захотят приобрести потребители внутри страны, предприятия, правительство, а также зарубежные покупатели. И наоборот, чем выше уровень цен, тем меньший объем национального продукта они захотят купить. Таким образом, зависимость между уровнем цен и реальным объемом национального производства, на который предъявлен спрос, является обратной, или отрицательной. На макроуровне также проявляется объективный экономический закон спроса.

Нисходящая траектория кривой совокупного спроса обусловлена эффектом процентной ставки, эффектом богатства и эффектом импортных закупок.

Эффект процентной ставки показывает, что при данном объеме денежной массы более высокий уровень цен повысит спрос на деньги, тем самым увеличивая банковскую процентную ставку («дорогие деньги») и уменьшая объем закупок потребительских товаров домохозяйствами и оборудования бизнесом.

Эффект богатства показывает, что при более высоком уровне цен (инфляции) покупательная способность населения уменьшится. В таком случае население реально станет беднее, и оно сокращает потребительские расходы, покупки. И, наоборот, при снижении уровня цен покупательная способность населения возрастает, расходы увеличиваются, увеличивается и совокупный спрос.

Эффект импортных закупок предполагает, что существует обратная зависимость между изменениями уровня цен в стране по сравнению с другими странами и изменением чистого объема экспорта в Национальном совокупном спросе. Так, если уровень цен в Прссииподнимется по сравнению с ценами за рубежом, покупатели будут приобретать больше импортных товаров вместо отечественных. А иностранцы будут покупать меньше российских товаров, что приведет к уменьшению российского экспорта. Тем самым сократится чистый объем экспорта (экспорт минус импорт) в совокупном спросе России, что нежелательно.

В целом, повышение уровня цен, при прочих равных условиях, приводит к уменьшению величины спроса на реальный объем ВВП. И, наоборот, уменьшение уровня цен вызывает увеличение объема покупок конечных товаров ВВП. Это соотношение можно представить на графике как движение от одной точки до другой по стабильной кривой совокупного спроса (рисунок 2). Например, от А к Б или от Б к А.

Увеличение совокупного спроса показано (рисунок 3) как смещение кривой AD вправо, от AD1 к AD2, а уменьшение совокупного спроса - как смещение от AD1 к AD3.

Неценовые факторы, смещающие кривую совокупного спроса:

1        Изменения в потребительских расходах:

–        благосостояние потребителей;

–       ожидания потребителей;

–       задолженность потребителей;

–       налоги.

Уровень AD3 AD1 AD2

цен

0                          Реальный объем ВВП

Рис. 1 Смещение кривой совокупного спроса

2        Изменения в инвестиционных расходах:

–     процентные ставки;

–       ожидаемые прибыли от инвестиций;

–       налоги с предприятий;

–       технологии;

–       избыточные мощности.

3        Изменения в государственных расходах.

4        Изменения в расходах на чистый объем экспорта:

–       национальный доход в зарубежных странах. Богаче иностранные государства - чистый объем национального экспорта возрастет и кривая AD сместится вправо. Беднее иностранные государства - меньше покупают продукции национального производства, чистый объем экспорта сокращается и кривая AD смещается влево;

–       валютные курсы. Если национальная валюта «дешевеет» можно ожидать, что экспорт возрастет, а импорт уменьшится. Иностранцам будет выгодно покупать дешевую продукцию национального производства, а национальное производство получает дополнительные стимулы для увеличения объемов выпуска продукции.

Увеличение чистого объема экспорта приведет к увеличению совокупного спроса в стране и смещению кривой AD вправо.

1.2 Понятие макроэкономического равновесия и его основные модели


Равновесие в макроэкономике представляет собой центральную проблему экономики национального уровня и ключевую категорию экономической политики и экономической теории. На микроэкономическом уровне вопрос равновесия рассматривался в отношении отдельного рынка. Тогда говорилось о частичном равновесии, то есть о равновесии на отдельном рынке услуг и товаров, производственных факторов.

Но в реальности экономика любой страны является совокупностью рынков определенных товаров, которые сплетены сложной совокупностью связей. Это можно объяснить тем, что все производители в одно и то же время представляют собой и потребителей, а все товары или напрямую, или косвенным образом друг с другом связаны в качестве составляющих суммарной товарной массы в виде взаимодополняемых и взаимозаменяемых товаров [12, c. 48].

Процесс общественного производства и воспроизводства предполагает экономическое равновесие не только на микро-, но и на макроэкономическом уровне.

В самом общем виде экономическое равновесие - это соответствие между ресурсами и потребностями. Потребность в рыночной экономике выступает опережающим явлением по сравнению с ресурсами. Однако они ограничиваются платежеспособным спросом. В свою очередь, платежеспособный спрос уравновешивается более эффективным использованием ресурсов для производства материальных благ.

Макроэкономическое равновесие - это такое состояние национальной экономики, когда использование ограниченных производственных ресурсов для создания товаров и услуг и их распределение между различными членами общества сбалансированы. В условиях макроэкономического равновесия существует совокупная пропорциональность между:

факторами производства и результатами их использования;

производством и потреблением;

предложением и спросом;

материально-вещественными и финансовыми потоками.

Достичь равновесия макроэкономического характера на продолжительный срок почти нельзя. Равновесное положение в экономике становится нарушенным. Это вызвано неравномерным и постоянным движением и развитием определенных сфер и частей экономики рыночного типа.

Макроэкономическое равновесие обладает разными видами:

. Долгосрочное и краткосрочное (текущее) равновесие.

. Реальное и идеальное равновесие. Идеальное равновесие является теоретически желаемым равновесием, обеспечивающим оптимальность сбалансированности системы экономики и ее идеальной пропорциональности. В некоторых случаях идеальное равновесие называется полным. Реальное равновесие является фактическим равновесием, существующим при конкуренции несовершенного типа и в случае наличия внешних рыночных эффектов.

. Общее и частичное равновесие. Частичное равновесие является равновесием, которое устоялось на определенных рынках, в определенных отраслях, и экономических сферах. Оно говорит о равенстве лишь определенных аспектов экономики (производство-потребление и т.д.), и достигается в пределах отдельного сектора рыночной системы, по этой причине именуется частичным. Общее равновесие является равновесием всей экономической системы [13, c. 101].

. Неустойчивое и устойчивое равновесие. Равновесие называют устойчивым, если в ответ на импульс извне, который разрушает равновесие, экономика самостоятельным образом возвращается в состояние устойчивости. Если после воздействия внешнего характера экономика восстановиться самостоятельно не может, то равновесие называют неустойчивым.

 

1.3 Совокупный спрос и совокупное предложение


Макроэкономическая модель “AD - AS ” является основой классической и кейнсианской экономических теорий. Сравнение интерпретаций совокупного предложения и совокупного спроса позволяет выявить отличия в методологических подходах теорий и выводах из них.

Рис. 2 Классический вариант модели “AD - AS” базируется на законе Сэя

Закон Сэя:

Процесс изготовления товаров ведет к созданию дохода, который в точности равен стоимости товаров, которые были произведены, итак, предложение ведет к порождению своего собственного спроса, либо спрос при любом выпуске не способен оказаться недостаточным.

Классический вариант AD/AS подразумевает:

. Эластичность абсолютного типа цен и заработной платы.

. Решающее значение в росте экономики совокупного предложения.

. Наличие сугубо конкурентного рынка и способность механизма рынка сбалансировать AS и AD при полной занятости.

. Стремление предложения совокупного характера совпасть с выпуском в экономике, который потенциально возможен (по этой причине кривая AS изображается как вертикальная линия, отражающая перемены в уровне цен и постоянство объема выпуска).

С формальной точки зрения классики (А. Смит, Д. Рикардо и др.) не оперировали категориями макроэкономики. Для них характерным являлся анализ микроэкономического типа. Но в их подходах и взглядах с достаточной определенностью можно проследить четкость представлений о работе всей рыночной системы конкуренции совершенного типа. Так, А. Смитом высказывалась идея о том, что при свободном взаимодействии потребителей и производителей действует не хаос, а порядок экономического характера индивидуумов, которые преследуют интересы личной выгоды, ведущий к тому, что устанавливается общее равновесие, которое выгодно для каждого.

Принципиальная возможность достичь общее равновесие при конкуренции совершенного типа впервые в математической форме доказана была Л. Вальрасом.

По Вальрасу достижение равновесия подразумевает не только существование условий конкуренции совершенного типа, но и неизменное состояние всех факторов предложения и спроса, за исключением цен. Разумеется, в реальной экономике такие предпосылки не соблюдены. По этой причине равновесие общего характера не типично, а представляет собой мимолетный момент, который характеризует идеальное положение экономики конкурентного типа [14, c. 205].

Многие авторы подвергали Модель Л. Вальраса критическому анализу.

Моделью общего равновесия Л.Вальраса было оказано значительное влияние на развитие экономики как науки. Но во многом она расходится с действительным положением буржуазного общества. Достаточно обратить внимание на то, что в ней допустима возможность нулевого уровня безработицы, полноты загрузки аппарата производства, отсутствия циклических производственных колебаний, технический прогресс не учитывается, как и накопление капитала. Л.Вальрас, подобно его предшественникам, не смог объяснить природу цен, двигаясь по замкнутому кругу, когда цены имеют зависимость от предложения и спроса, а последние - от цен.

Для модели Л.Вальраса является присущим противоречие в практике движения цен и денег. Так, согласно Л.Вальрасу, никакие изменения в предложении и спросе товаров не произойдут, если в случае наличия равновесия на каждом рынке относительные цены будут прежними, а цены абсолютного типа возрастут на все товары. Вместе с тем он не показывает, что рост цен абсолютного типа ведет к увеличению спроса на деньги.

Данное противоречие было разрешено американским ученым Д. Патинкиным в книге «Деньги, процент и цены» (1965 г.). Им был введен в модель Л.Вальраса такой компонент дополнительного характера, как рынок денег и реальные кассовые остатки, которые представляют собой реальную стоимость сумм денег, которые остаются на руках у покупателей и продавцов.

Д. Патинкиным была создана макроэкономическая модель общего равновесия, включавшая в себя не одни лишь рынки товаров, но и рынок денег с реальными кассовыми остатками. Вместе с тем Д. Патинкин исходил из того, что реальная стоимость денежных остатков оказывает воздействие не только на спрос товарного типа, но и на денежный спрос. Сделает предположение, что количество денежных средств, которые остались на руках у продавцов и покупателей, не изменилось в номинальном выражении. Но общее увеличение цен стало причиной того, что их покупательная способность понизилась, а по этой причине на всех рынках спрос на товары уменьшился. По этой причине равновесие будет нарушаться, что приведет к избытку предложения товаров, которое станет причиной, в соответствии с законом Л.Вальраса, избыточного спроса на денежные средства. Последнее не говорит о том, что на рынке предложение денежных средств меньше спроса. При дефиците денег, которых не достаточно для приобретения определенного количества товаров, цены абсолютного типа снизятся при не меняющихся ценах относительного типа. Вследствие снижения абсолютных цен увеличится реальное значение кассовых остатков. Общее равновесие восстановится, что говорит о способности системы саморегулироваться [8, c. 16].

Таблица 1

Модели равновесия в макроэкономике

Модели равновесия в макроэкономике

Модель Маршалла и Вальраса

Проводится анализ дефицита, и производителями ограничивается производство. Появляется избыток спроса (дефицит). Потребители начинают вести конкуренцию за товары, отсюда идет рост цены. Значительная цена ведет к стимулированию производства, что ведет к тому, что исчезает дефицит

Классическая модель

1. в экономике рыночного типа есть механизмы, которые приводят ее в равновесие; 2. маловероятной является ситуация, когда совокупные расходы недостаточны для увеличения реального производственного объема; 3. если расходы все же недостаточны, то это ведет к снижению цен и зарплаты; 4. цены, зарплата и проценты - быстро изменяются и отличаются гибкостью, отсутствует необходимость во вмешательстве государства в экономику.

Модель Кейнса

1. цены, зарплата и проценты не гибкие и медленно меняются; 2. они медленно перемещаются к точке равновесия совокупного предложения и совокупного спроса; 3. нет механизма, который гарантирует полную занятость; 4. государство имеет возможность регулирования экономики, оказывая воздействие на совокупный спрос (отсутствие спроса является главной причиной кризисов) посредством политики «экспансии»: а) рост госрасходов;  б) стимулирование вложений капитального характера;  в) применение инфляции;  г) активная политика в области кредита и денег;  д) применение инвестиционного мультипликатора;

Модель Фридмана - монетаризм

1. осуществляется политика «сдерживания», сущность которой заключается в ограниченном росте доходов населения (то есть уменьшении совокупного спроса); она должна осуществляться до сокращения инфляции до необходимого уровня, и, значит, сокращения издержек производства; 2. наступает черед политики «либерализма» - рыночным факторам предоставляется значительная свобода, то есть производство восстанавливает прежний уровень, снижается производство.


Макроэкономическое равновесие является состоянием экономики страны, при котором спрос совокупного типа является равны предложению совокупного типа. Состояние равновесия макроэкономического характера практически недостижимо и его теоретическая модель изображается на рисунке, где AD является кривой совокупного спроса, AS кривой совокупного предложения. Пересечение этих кривых и является точкой равновесия макроэкономического типа (теоретической), означающей, что при такой уровне цен весь объем национального продукта, который был произведен, будет распродан.

Признаки равновесия в макроэкономике:

1.       Соответствие целей общего характера и реальных возможностей экономического типа;

2.       Полнота использования всех ресурсов;

.        Приведение общей производственной структуры в состояние, соответствующее структуре потребления;

.        Равновесие предложения и спроса на микроуровне;

.        Свобода конкуренции;

.        Непрерывное экономическое развитие.

2. Модели совокупного спрсоа


2.1 Эффект мультипликатора и его значение для совокупного спроса


В экономическом анализе термин "инвестиции" значит применение сбережений в целях создания новых мощностей производства и прочих реальных или физических активов.

В состав инвестиций включены все затраты на приобретение оборудования и машин, осуществление работ строительно-монтажного характера, изменения запасов. Вложение средств в ценные бумаги, например, облигации и акции, называют портфельными или финансовыми инвестициями. В сравнении с физическими инвестициями, создающими новые активы и увеличивающими мощности производства в стране, инвестиции финансового характера лишь обеспечивают перераспределение права собственности на имеющиеся активы между субъектам. Именно по этой причине экономистами инвестиции связываются с вложением капитала в покупку запасов физических и активов. Важно и то, что осуществление инвестиций имеет непосредственную связь с рынком товаров, а купля-продажа ценных бумаг связана с фондовым рынком.

Так как инвестиции являются одним из компонентов расходов совокупного характера, то в сравнении со сбережениями они воздействуют на объем спроса эффективного типа прямо противоположно: если сбережения ведут к сокращению спроса, то инвестиции ведут к его увеличению.

Инвестиции являются обратной функцией от ставки процента: I = f(i). Эта убывающая функция показана на рис. 5.

Рис. 5 График функции инвестиций

Рост или снижение инвестиций ведут к росту либо снижению производства, доходов и занятости. Данные закономерности можно наблюдать не только применительно к инвестициям, но и в связи с любыми прочими видами расходов, включая госрасходы и чистый экспорт.

В случае рассмотрения спроса совокупного типа особая роль отведена госрасходам G. Именно они в модели экономики закрытого типа могут обеспечить "эффективный спрос" для того, чтобы достичь полной занятости. В связи частных инвестиций и госрасходов рассматривают и проблему мультипликатора.

В переводе на русский мультипликатор означает "множитель" (multiplication - умножение; multiplier - коэффициент, множитель). Кейнсианский мультипликатор демонстрирует, какое влияние оказывает прирост инвестиций (частных и государственных) на прирост доходов и выпуска.

На рис. 6 продемонстрировано, как перемены в государственных и частных инвестициях воздействуют на размер уровня дохода и равновесного объема выпуска.

Рис. 6 Графическая интерпретация эффекта мультипликатора

Приросты дохода dY1 и dY2 более значительны, нежели обусловившие их перемены в инвестициях частного типа dI1 и госрасходах G, обозначенных как dI2. Это и является графической иллюстрацией эффекта мультипликатора. Данный эффект в обычном виде может быть представлен так:

= k*dI (1)

где dY - прирост дохода;- прирост инвестиций;- мультипликатор.

Итак, мультипликатор является числом, которое показывает, во сколько раз требуется увеличить изначальный прирост инвестиций, чтобы вычислить прирост национального дохода, который вызван этим. Иными словами, мультипликатор является отношением изменения уровня национального дохода при равновесии к исходному изменению уровня расходов, который вызвал его.

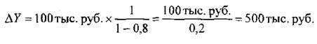
Сделаем допущение, что инвестиции в экономике увеличились на 10 млрд. руб. Если по этой причине национальный или совокупный доход возрастет на 30 млрд. руб., то в данной экономике мультипликатор является равным 3. Если же увеличение дохода, которое вызвано дополнительными инвестициями, составило бы 50 миллиардов рублей, то мультипликатор был бы равным 5.

Очевиден факт того, что прирост инвестиций в развитие базы производства в коротком периоде не может привести к быстрой отдаче в форме возрастания выпуска готовой продукции. В чем же кроется причина эффекта мультипликатора?

Итак, цепная реакция доходообразования, роста расходов и расширения производства захватывает отрасли, которые все более отдалены друг от друга. Появляется в некотором роде эффект кругов по воде. При этом по мере расширения этого процесса интенсивность эффекта возмущения становится меньше. Затухание можно объяснить тем, что не весь доход, который получен на каждой стадии, тратится на новое потребление, то есть снова превращается в чей-то доход. На каждой новой стадии доля дохода, который был получен, сберегается и таким образом, исключается из последующего доходообразования. А это говорит о том, что сила мультипликационного эффекта имеет зависимость от того, сколько дохода будет поступать на каждую следующую стадию, то есть от предельной склонности к потреблению МРС участников цепочки событий.

Для оценки величины эффекта мультипликатора совершим обращение к примеру условного характера, позволяющему понять, по какой причине мультипликатор всегда превышает единицу. Сделаем допущение, что на существующие 100 тыс. руб. некий предприниматель решил построить кирпичный завод. По причине осуществления этого инвестиционного проекта работники, которые участвуют в строительстве, получат дополнительного дохода на 100 тысяч рублей. Далее произойдет следующее. Если каждое лицо в экономике может быть охарактеризовано предельной склонностью к потреблению 0,8, то 80 тыс. руб. ими будет потрачено на приобретение новых услуг и товаров. Именно на данную сумму у продавцов снизятся запасы товаров. В качестве реакцией производителей на снижение запасов выступит возрастание объема производства на 80 тысяч рублей, вслед за чем 0,8 данной суммы другие работники, которые получили ее, потратят на собственное потребление (64 тыс. руб.). Данный процесс будет продолжаться непрерывно так, что на каждом следующем этапе расходы будут составлять 80% от расходов, которые совершены на предыдущем этапе.

Данная непрекращающаяся цепь расходов вторичного характера вызывается только тем, что нашим предпринимателем были осуществлены инвестиции первоначального характера в размере 100 тысяч рублей. Но хоть теоретически данная цепь конца и не имеет, не так уж трудно обратить внимание, что в реальности она стремится к конечной величине, поддающейся арифметическому вычислению:

тысяч рублей дохода - 100 тыс. х 0,8 (потребление)

тысяч рублей дохода - 80 тыс. х 0,8 (потребление)


Сумма увеличивающего дохода будет равна:

тысяч + 80 тысяч + 64 тысяч +... = 100 тысяч (1 + 0,8 + 0,82 + 0,83 +...).

Предел суммы прогрессии геометрического типа будет выглядеть так:


В данном уравнении 100 тыс. руб. является приростом инвестиций dI, а знаменатель дроби (1-0,8) является величиной, равной (1-MPC).


Итак, в соответствии с расчетом, что если МРС = 0,8, то мультипликатор будет равным 5. Он включает единицу изначальных инвестиций и четыре единицы вторичных или дополнительных расходов потребительского характера. Такой же результат можно получить, если применить концепцию предельной склонности к сбережению MPS. Если МРС = 0,8, то MPS = 0,2:

Общая формула мультипликатора обладает следующим видом:

 (2)

Из этой формулы следует вывод, что, чем предельная склонность к потреблению больше (а предельная склонность к сбережению меньше), тем мультипликатор больше. А это говорит о том, что тем больше будет в итоге прирост национального дохода за счет прироста инвестиций.

Еще раз стоит отметить, что мультипликационный эффект может быть вызван любыми автономными затратами, а не только частными инвестициями. Подразумевается изменение величин экспорта, государственных закупок, автономного потребления.

Само проявление эффекта мультипликатора подразумевает существование некоторых условий. В первую очередь, он наблюдается в экономике, которая находится в глубоком кризисе, в которой большая безработица и имеет место недоиспользование мощностей производства. Увеличением расходов посредством мультипликатора обеспечивается большая полнота использования ресурсов, которые уже имеются в обществе. Сам по себе мультипликатор не имеет свойства умножения производственных факторов. Если бы в экономике наблюдалась полная занятость, то увеличение расходов нашло бы выражение в росте цен и инфляции, так как было бы превышение спроса совокупного типа над совокупным предложением.

Специфика мультипликационного эффекта заключена в том, что это «механизм с двумя лезвиями»: он способен вести как к усилению роста национального дохода, так и его сокращению.

В качестве дестабилизирующего фактора мультипликатор тем сильнее, чем больше MPS, и наоборот. Для понимания этой зависимости рассмотрим необычное явление, которое называется парадоксом бережливости [6, с. 175]. Сущность его, как показано Дж. Кейнсом, заключена в том, что стремление людей к сбережению будет опережать стремление бизнесменов к инвестированию, вследствие чего сократится прирост национального дохода.

Это явление будет наблюдаться, прежде всего, в результате того, что с увеличением накопления капитала сокращается предельная эффективность его функционирования, поскольку происходит все большее сужение круга возможностей альтернативного характера высокоприбыльных вложений капитала; кроме того, по причине того, что с увеличением доходов происходит увеличение доли сбережений, так как S =f(Y). Исключение - это инфляционный перегрев экономики на уровне потенциального выпуска Y*. В этом случае возрастание сбережений общественно желательно, поскольку ведет к уменьшению совокупного спроса и помогает обуздать инфляцию, а значит, вызывает рост благосостояния.

Цепь связей в экономической сфере выглядит так: расходы автономного характера в результате действия мультипликатора ведут к увеличению национального дохода, а следовательно, к росту сбережений. Сформировавшиеся сбережения при оживлении деловой активности выступают в качестве источники инвестиций дополнительного характера, которые называются индуцированными или производными, так как они имеют зависимость от увеличившегося дохода. В свою очередь, производные инвестиции вместе с инвестициями первоначального, т. е. автономного типа, ведут к усилению экономического роста и ускорению его.

Итак, «парадокс бережливости» демонстрирует, что все попытки увеличения сбережений ведут к тому, что снижаются инвестиции и производство, сокращаются доходы и, значит, уменьшаются сбережения. Сокращение объема производства будет происходить, пока доход не снизится так, что желаемый размер сбережений будет уравнен с желаемым размером инвестиций. Но возрастание сбережений говорит о сокращении потребления. Таким образом, происходит уменьшение доходов производителей, так как расходы определенных субъектов экономики являются доходами других. Если кто-то смог сберечь больше, то лишь потому, что кому-то другому пришлось взять в долг или расстаться с собственными сбережениями. Попытки существенной части населения сократить потребление (для того, чтобы увеличить сбережения) станут причиной сокращения национального дохода.

2.2 Стимулирование совокупного спроса в экономике России


В настоящее время в российской экономике наблюдается понижательная тенденция экономического развития. Все это, на наш взгляд, является результатом политики, которая построена на краткосрочный период, а планы по развитию реализуются не полностью. За 20 лет политика импортозамещения идет очень медленно, экспорт по большей части связан с природными ресурсами и рядом объектов военной промышленности. Слабеющий без конца рубль, череда новых запретов и санкций, снижение импорта и медлительность процессов, связанных с импортозамещением... Действительно ли мы достигли «экономического дна» и в ближайшем будущем стоит ждать резкого подъёма и всплеска? Появится ли драйвер, который вызовет бурный рост экономики? Вопросы весьма актуальные. Без активного и плодотворного вмешательства государства на данном этапе развития российской экономике точно не обойтись.

Вопрос о динамике импорта особенно актуален в условиях, когда все чаще даже из официальных уст звучит тезис о «достижении дна» российской экономикой. В этой связи импорт можно рассматривать как индикатор внутреннего спроса. Однако и сезонно-сглаженная динамика импорта, и тренд пока не позволяют говорить о развороте негативной тенденции.

Первая товарная группа менее всего эластична по доходам, и на ее динамику больше влияют контрсанкции со стороны России (эмбарго на ввоз определенной части продовольствия) [4]. Две другие товарные группы - продукция длительного спроса, которая более эластична по доходам. Поскольку имеет место тенденция к сокращению реальных зарплат и в целом реальных располагаемых доходов населения (а также учитывая ажиотажный спрос в конце прошлого года), можно ожидать дальнейшего падения продаж легковых автомобилей на российском рынке и, соответственно, падения импорта иномарок и запчастей.

Графический анализ физических объемов и цен импорта позволяет сопоставить глубину и масштабы текущего кризиса с кризисами 2008 и 1998 годов. Особенностью кризиса 2015 года стало падение и физических объемов, и цен импорта, как это было в 1998 году, но только в меньших масштабах.

Таким образом, в условиях сохраняющегося слабого внутреннего спроса мы не ожидаем роста физических объемов импорта, подобных тому, что наблюдалось в конце прошлого года. В этой связи в ближайшее время давление на профицит текущих операций (при прочих равных, и на обменный курс рубля) будет отсутствовать, а его величина в начале 2016 года может повыситься до 6 млрд долларов в среднем за месяц против профицита счета текущих операций чуть менее 5 млрд долларов в декабре этого года.

Сокращение импорта было обусловлено воздействием таких факторов, как:

девальвация российского рубля относительно доллара США, способствовавшая в конечном счете снижению реальных располагаемых доходов населения и падению потребительского спроса;

уменьшение спроса отечественного рынка на инвестиционные товары и товары промежуточного спроса для производственных нужд вследствие спада в реальном секторе экономики, в том числе из-за резкого удорожания кредитов в результате всплеска инфляции и направленных на финансовый рынок России санкций со стороны Европейского союза, США и ряда других стран;

запрет на ввоз некоторых видов продовольствия в Россию из стран, которые ввели экономические санкции относительно нашей страны. В итоге за последние 10 месяцев наиболее заметно уменьшились стоимостные объемы импорта свежего и мороженого мяса птицы (на 59,5 %), свежей и мороженой рыбы (на 58,5 %), черных металлов (на 53,3 %), алкогольных и безалкогольных напитков (на 52 %), свежего и мороженого мяса, кроме мяса птицы (на 47,8 %), легковых автомобилей (на 46,9 %), стальных труб (на 45,4 %), мебели (на 41,8 %), машин, оборудования и транспортных средств, кроме легковых автомобилей (на 40,5 %) [5].

Сейчас в экономике сложился такой момент, когда необходимый потребителю продукт привезти нельзя по причине санкций или контрсанкций, а свое производство еще не налажено.

Существует два мнения относительно настоящего и будущего российского производства.

Часть экспертов считает, что дела обстоят плохо - промышленность недоразвита и драйверов ее роста пока не просматривается. Страна ничего не производит и скатывается в разряд стран третьего мира [4]. Серьезных инвестиций в основной капитал не было уже более двадцати лет. Турбулентность рубля, падение спроса, растущая инфляция, ограничение заемных ресурсов и прочие неприятности лишь усугубляют ситуацию.

Противоположная позиция подразумевает, что все не так уж плохо, а будет еще лучше. Освобождение от импорта (в том числе и в результате санкций и антисанкций) должно дать толчок к импортозамещению в различных отраслях экономики. Но соответствует ли это утверждение действительности? Наша экономика уже 20 лет пытается наладить самостоятельное производство, но результаты пока скромные.

Факторы, способствующие росту конкурентоспособности российской индустрии, - многогранные. Они могут быть как драйвером роста, так и фактором, снижающим конкурентоспособность.

Рассмотрим фактор, связанный с инвестициями. С конца 1990-х годов промышленность развивалась на фоне отсутствия какой бы то ни было промышленной политики и благодаря сугубо рыночным факторам, таким как девальвация валюты. В значительной мере производство ориентировалось на нишевые рынки, внутренний спрос (благодаря появлению так называемых отверточных производств в высокотехнологичных отраслях - электронике, автопроме) и на ресурсоемкие экспортные товары (в нефтепереработке, химии, металлургии) [2].

Последние десять лет обрабатывающая промышленность почти перестала снижать свою долю в ВВП страны и адаптировалась к общей экономической ситуации: несмотря на инвестиционный спад, привлекательность промышленных компаний растет относительно других секторов.

Кризис 2008-2009 годов стал лакмусовой бумажкой для российской индустрии. Он показал, на чем базируется конкурентоспособность российских компаний, в чем их сила и успех [3]. Среди тех, кто смог быстро восстановиться после кризиса и расти (увеличить обороты, долю рынка и прибыль), были предприятия, ведущие активную инвестиционную и управленческую политику. Они проводили реструктуризацию и модернизацию своих производств до начала финансового кризиса, инвестировали в обновление основных фондов и оборудования [6].

Инвестиционный климат в регионе также был существенным фактором. «Чем выше качество институциональной среды в регионе, чем меньше уровень коррупции, тем выше шансы у предприятий попасть в кластер быстро восстановившихся после кризиса компаний» [6]. Увеличивало «иммунитет» бизнеса относительно внешних шоков и наличие иностранных собственников.

Стоит отметить, что сегодняшняя успешность российских компаний (отдельных предприятий, а не отраслей) помимо инвестиционной и управленческой активности зависит от интеграции в мировую экономику. Чем больше интеграция, тем выше эффективность и устойчивость фирмы.

Санкции наносят урон самым успешным и быстрорастущим российским компаниям, как показали опросы промышленников. Речь идет о сложностях с закупкой импортного оборудования (научиться делать его быстро и такого же качества самим невозможно), о недоступности зарубежных кредитов, о торговых барьерах для экспорта, о рисках дискриминации за рубежом, об ограничениях на доступ к технологиям, о проблемах с трансграничными платежами.

Российская промышленность гораздо сильнее интегрирована в мировую экономику, чем принято считать. Треть средних и крупных предприятий экспортируют свою продукцию. У половины из них в выручке доля доходов от экспорта превышает 20 %. Каждая шестая российская фирма пользуется импортным сырьем, каждая третья импортирует оборудование. Среди средних и крупных фирм почти 20 % пользуются услугами иностранных банков. Доля предприятий с участием иностранных совладельцев - менее 5 %, но среди средних и крупных их более 8 %, при этом в среднем такие фирмы втрое крупнее фирм с российскими собственниками [1]. Для того чтобы индустрия росла и дальше, нужно не мешать международному сотрудничеству (инвестициям и выходам на зарубежные рынки), что активно запрещается со стороны государства.

Для того чтобы экономика страны не впадала в дальнейшую депрессию, вызванную ограничением импорта и оттоком инвестиций, а также вышла из состояния возникшей стагнации, правительство должно произвести увеличение расходов федерального бюджета и направить их на дополнительную стимуляцию производственного сектора. Производственный сектор должен начать процесс освобождения производственной и научно- технической зависимости от Запада.

Заключение


На основании проведенного исследования можно сделать следующие выводы:

В настоящее время национальная экономика переживает фазу структурно-инвестиционного кризиса. Многие предприятия в основном исчерпали имеющиеся резервы «экономического выживания» и функционируют в условиях спросовых и финансовых ограничений, ужесточающейся конкуренции, а кризисные явления «локализуются» в отдельных производствах.

Развитие национальной экономики основывалось не на диверсификации ее структуры, а на продаже сырьевых ресурсов благодаря благоприятной внешнеэкономической конъюнктуре. Богатые природные ресурсы порождают «проклятие природных ресурсов» национальной экономики, а экспортно-ориентированная модель экономического развития усугубляет симптомы развития «голландской болезни», когда происходит спад в несырьевом торгуемом секторе в ответ на повышение прибыльности сырьевого сектора.

Можно сделать вывод о необходимости повышения эффективности государственного регулирования реального сектора экономики России в условиях продолжающихся кризисных процессов в экономике и постоянных циклических колебаниях мировой экономической конъюнктуры, которое должно учитывать следующие факторы:

·        достижения мировой экономической мысли

·        специфику экономического развития страны

·        международный опыт государственного регулирования

Проведенное исследование позволило определить основные направления совершенствования государственного антикризисного регулирования реального сектора, первым из которых является установление соответствия реализуемых приоритетов антикризисного регулирования реального сектора долгосрочным приоритетам развития экономики, обусловленных положением страны в системе мирохозяйственных связей и нацеленных на минимизацию воздействия факторов дезорганизации социально-экономической среды. Для России таким приоритетом является обеспечение инновационного характера воспроизводства экономики, основанной на модернизации производства и долгосрочных капитальных инвестициях.

В результате величина совокупного спроса снижается, а следовательно, рост ВВП замедляется. Экономика в таких случаях впадает в состояние стагфляции. Необходима инверсия политических взглядов, и в период экономического спада налоговую нагрузку нужно, наоборот, снижать, увеличивая возможности активизировать деятельность населения и бизнеса в неблагополучной экономической обстановке.

. В краткосрочной перспективе не стоит ожидать резких экономических всплесков роста и подъема экономики.

. По прогнозам, переходная стадия, налаживающая собственное и независимое производство всех продуктов и услуг, может продлиться около 3 лет.

. Совокупный спрос останется на прежнем уровне, изменив лишь потребительскую направленность.

. В настоящее время не стоит ожидать резких приливов иностранных инвестиций в наш производственный сектор. Государство должно немедленно вмешаться и начать максимальное стимулирование внутренней экономики собственными инструментами. Помимо госрасходов для стабилизации экономики страны государством должны быть использованы фискально-налоговые инструменты и пересмотрена в целом налоговая политика для отдельных субъектов.

Список использованных источников литературы


1. Артемов, А. Модернизация государственного управления экономикой [Текст]// Экономист. 2014. №2. С. 3-14.

.   Бартенев С.А. Экономические теории и школы (история и современность). М.: БЕК, 2015. 352 с.

3.       Белякова Н.В. Кризис: некоторые вопросы антикризисного управления на стадии рецессии // Известия Санкт-Петербургского государственного аграрного университета. №24, СПб: Изд-во СПбГАУ, 2015.

.        Белякова Н.В. Кризисы способствуют развитию экономики на основе инноваций // Актуальные вопросы развития инновационной экономики в современном обществе: материалы международной научно-практической конференции, Саратов, 2014.

.        Белякова Н.В. Механизм обратной связи: влияние его на деловой цикл предприятия сервиса и экономики в целом // Журнал правовых и экономических исследований. №3, СПб: Изд-во ГИЭФПТ, 2014.

6. Владимиров С. О моделировании сбалансированной открытой экономики [Текст]//Общ-во и экономика. 2014. №6. С. 31-48.

.   Голышева М.О. Антикризисное государственное регулирование реальной экономики. Монография. /Голышева М.О./ LAP Lambert Academic Publishing / Германия, 2014. 304 с.

8.       Голышева М.О. Антикризисное государственное регулирование реального сектора экономики: международный опыт. / Голышева М.О. // Управление экономическими системами: электронный научный журнал. Кисловодск, 2014.№ 8.

.        Голышева М.О. Направления повышения эффективности системы государственной поддержки реального сектора экономики в условиях кризиса. / Голышева М.О. // Управление экономическими системами: электронный научный журнал. Кисловодск, 2014. № 5.

.        Долан. Э.Дж. Рынок. Макроэкономическая модель. М., 2013. 520 с.

.        Кемпбелл Р. Макконнелл,Стэнли Ли Брю. Экономикс. М., 2013. 480 с.

.        Кондратьев Н. Д. Проблемы экономической динамики. М, 2014. 380 с.

.        Морозова Т.Г. Государственная экономическая политика. М., 2013.

.        Основы экономической теории. / под ред. А.М. Терехина. М.: Юристъ, 2015. 315 с.

15.  Расулев, А. Государство и цены: механизм воздействия в условиях рыночной экономики [Текст]// Общ-во и экономика. 2014. №3-4. С. 5-18.

.   Смит А. Исследование о природе и причинах богатства народов (отдельные главы) //Антология экономической классики. М.: Эконов, 1993. Т.1.

17.     Экономическая теория. Учебник для ВУЗов. / Под ред. проф. В.Д. Камаева. М.: Владос, 2015. 328 с.


Не нашли материал для своей работы?
Поможем написать уникальную работу
Без плагиата!
Без нейросетей!