Процесс предоставления клубных благ в современном городе
Оглавление
Введение
Раздел 1.
Обзор литературы
1.1 Закрытые
(частные) сообщества в зарубежной литературе
1.2 Закрытые
(частные) сообщества в российской литературе
1.3
Экономический взгляд на огораживания в литературе
1.3.1
Огораживание и социальный капитал
Коллективное
принятие решения об огораживании: ключевые факторы
1.3.2 Влияние
уровня преступности в городе на распространение огораживания
1.3.3 Способы
экономического моделирования инвестиций в частные способы защиты и обеспечения
безопасности
Раздел 2.
Модель, объясняющая распространение частных сообществ в современных городах
через преступность (инвестиции в безопасность)
2.1
Содержательное описание модели
2.2 Модель
Раздел 3.
Огораживание и клубные блага в Москве (case-study)
Раздел 4.
Заключительные замечания
Список
используемой литературы
Введение
В рамках данной магистерской диссертации будет рассмотрен вопрос
предоставления клубных благ в современном городе. Прежде всего, нас будет
интересовать форма, которую приобрел процесс предоставления клубных благ, а
также причины роста популярности клубов среди населения и возможные последствия
такого тренда в городском развитии.
Фактически, в данной работе будет исследован наблюдаемый всеми жителями
крупных городов феномен огораживания (в иностранной литературе также известный
как «gated communities»). Отметим сразу, что в российской
практике в настоящий момент еще нет устоявшейся терминологии, описывающей
данный элемент городской среды, который дословно переводится с английского как
«дом за забором». Однако в русскоязычной литературе специалисты используют
термины огораживание, закрытые или частные сообщества; мы вслед за ними также
будем пользоваться ими. Более того, в России некоторые товарищества
собственников жилья (ТСЖ), а также формы территориально общественного
самоуправления (ТОС) в городах представляют собой частные сообщества со всеми
характерными для них признаками. Данный факт объясняется тем, что жителям
закрытых сообществ необходимо взаимодействовать друг с другом при решении
вопросов, связанных с содержанием общедомового имущества и развития придомовой
территории, для чего они должны создать некоторую юридически оформленную
структуру, от лица которой будут приниматься управленческие решения с учетом
мнения большинства участников. Именно поэтому можно утверждать, что в
российской практике частные сообщества представлены некоторыми ТСЖ и ТОС.
Почему именно огораживание выбрано в качестве объекта исследования? Ответ
на этот вопрос очевиден и одновременно нетривиален: это самая распространённая
форма предоставления клубных благ в современных городах, при этом, несмотря на
то, что сам феномен уже не нов и во многих крупных городах стал неотъемлемой
частью облика некоторых районов мегаполисов, он по-прежнему остается вне поля
активного внимания экономистов. Традиционно этим вопросом занимались урбанисты,
социологи, архитекторы, географы, а экономисты держались в стороне. Таким
образом, нам известны социальные мотивы, распространения огораживания, но
экономическое обоснование укоренения заборов в современных городах остается за
рамками статей, посвященных изучению данного феномена. Именно по этой причине
актуальность предлагаемого к рассмотрению вопроса видится достаточно высокой.
Более того, специалисты, из разных областей знаний, которые, так или иначе,
связаны с урбанистикой, отмечают, что в действительности распространение
заборов является серьезной проблемой для современных городов, однако зачастую
мы даже не представляем масштабов данной проблемы, так как статистику закрытых
сообществ никто не ведет.
С одной стороны, процесс огораживания в городах может быть рассмотрен как
рыночный ответ населения, которое не довольно качеством предоставления
локальных общественных благ, прежде всего, обеспечиваемым уровнем безопасности
(Blakely, Snyder 1997). С другой стороны, огораживание может быть также и
социальным ответом на различные провалы государства. Когда население не имеет
реальных инструментов, позволяющих влиять на политику, проводимую различными
органами власти, люди начинают решать накопившиеся проблемы собственными
силами, объединяясь в небольшие группы. Рассматривая огораживание с такой точки
зрения, мы, фактически, используем знаменитую дихотомию Хиршмана (Hirschman
1970) «уход - голос/протест». В данном случае увеличение числа закрытых
сообществ демонстрирует выбор населения в пользу «ухода», нежели «голосования
или протеста», которые могли бы повлечь улучшение качества работы
государственных органов. Таким образом, рост популярности закрытых сообществ
способствует дальнейшему ухудшению качества городского управления, снижению
эффективности использования городских пространств.
Среди способов появления частных сообществ можно выделить два основных:
первый - возведение жилых комплексов, имеющих ограду, застройщиком, второй -
самоорганизация жителей одного дома и проведение закрепленных в
законодательстве действий по огораживанию участка, на котором стоит дом. В
обоих случаях можно обнаружить мотивы социального ответа населения на
неудовлетворительную работу государства (Le Goix, Webster, 2008).
Взаимосвязь между огораживанием и клубными благами в современных городах
подробно будет раскрыта в обзоре литературы, однако сейчас отметим, что дома,
имеющие огороженную территорию, являются поставщиками особых выгод для своих
резидентов. Эти выгоды находят отражение в предоставлении более высокого уровня
безопасности, а также более развитой инфраструктуры, доступной только жильцам
данного жилого комплекса. При этом негативные внешние эффекты экспортируются в
городскую среду за пределами огороженной территории. Нетрудно заметить, что
такая модель поведения, когда выгоды от взаимодействия делятся между
ограниченным количеством участников, а все отрицательные внешние эффекты
распространяются на весь город, имеет негативные последствия для развития
городских территорий и населения города в целом. Как отмечает в своей статье Warner (2011), город становится похож на
швейцарский сыр с большими дырками, в котором роль дыр, впитывающих все
положительное и выбрасывающих негативные внешние эффекты за свои пределы,
играют различные формы предоставления клубных благ (в том числе закрытые
сообщества).
В рамках данного исследования мы сосредоточим внимание именно на жилищных
комплексах с ограниченным доступом на территорию, как основной форме
предоставления клубных благ конечным потребителям. Такое решение связано с тем,
что именно жилищный сектор стал площадкой для массового предоставления клубных
благ, в то время как различные формы бизнес-инкубаторов и технопарков, которые
также являются поставщиками клубных благ в городах для предпринимателей, носят
локально-ограниченный характер. Таким образом, объектом данного исследования
являются частные/закрытые сообщества в современных городах, а предметом -
факторы, влияющие на их распространение.
Исходя из всего отмеченного выше, сформулируем цель данной работы:
выявить, систематизировать и установить причинно-следственную связь межу
социальными, экономическими и политическими предпосылками возникновения и
распространения огораживания (закрытых/частных сообществ) в современных городах.
Для достижения поставленной цели нужно решить несколько задач. Первая и самая
основная - проанализировать существующую литературу по данному вопросу. Далее
необходимо определить, что можно нового привнести в уже имеющийся объем знаний.
Сформулировать выводы, полученные в ходе исследования.
Логика построения работы следует последовательному решению каждой из
задач: в разделе 1 представлен обзор литературы, раскрывающий различные аспекты
частных/закрытых сообществ, в разделе 2 формулируется модель, объясняющая
распространение огораживания в современных городах через спрос на безопасность
и изменение в уровне преступности между разными районами города. Раздел 3
содержит некоторые эмпирические данные для города Москвы. В разделе 4
сформулированы основные выводы.
Раздел 1.
Обзор литературы
.1
Закрытые (частные) сообщества в зарубежной литературе
Закрытые или частные сообщества, также известные как gated communities, - это тренд в городском развитии,
получивший широкое распространение сначала в Соединенных Штатах Америки, Канаде
и Европейских странах, а затем переместившийся в развивающиеся страны Южной
Америки и Азии, а также Россию как устойчивая форма жилищного строительства. В
целом упоминание о частных сообществах в зарубежной литературе появляется около
50 лет назад, хотя наибольшее развитие данная тема получает, начиная с 80-90-х
годов прошлого века и по настоящий день.
Анализ зарубежной литературы показывает, что четко устоявшегося
определения закрытых сообществ (gated-communities) нет, однако большинством авторов
выделяются сходные характеристики, которыми должен обладать исследуемый объект,
чтобы называться закрытым сообществом. Среди прочих характеристик наиболее
часто встречаются следующие: ограничение посредством стен и заборов
общественных городских пространств и превращение их таким образом в частные
территории, находящиеся под коллективным управлением, наличие службы
безопасности и систем видеонаблюдения, а также инфраструктуры, предназначенной
для максимально комфортного отдыха и развлечений на территории данного жилого
комплекса. Разнообразие услуг, которые предоставляют закрытые сообщества,
различается в зависимости от класса жилья, проектов строительства,
разработанных девелоперами, и множества других факторов. Однако одно условие
всегда остается обязательным - это наличие закрытой территории с ограниченным
доступом. Blakely и Snyder (1997) дают следующее определение частных сообществ:
«жилые пространства с ограниченным доступом на территорию, в которых
традиционно общественные пространства приватизированы». Отметим также, что
огораживание может иметь место как в форме экономического выбора населения
проживать в огороженном комплексе, возведенном строительной компанией, так и
носить характер самоорганизации жильцов одного дома, которые на добровольной
основе решили ограничить доступ на территорию вокруг дома, которая принадлежит
им по закону. В обоих случаях огораживание имеет негативные внешние эффекты,
которые приводят к ухудшению качества и возможностей городского развития.
Переходя к анализу литературы по данному вопросу, обратимся к
рассмотрению трех масштабных работ, которые принято считать фундаментальными в
сфере изучения частных сообществ (Webster 2001): «Fortress America» (Blakely,
Snyder 1997), «City of Quartz» (Davis 1990) и «Public Goods and Private
Communities» (Foldvary 1994). Первые две работы представляют собой эмпирические
исследования частных сообществ в Соединенных Штатах Америки, причем «City of
Quartz» специализируется на рассмотрении феномена в Лос-Анжелесе. Базовыми эти
исследования считаются в виду того, что они формируют спектр, в рамках которого
распределились современные исследователи, занимающиеся вопросами огораживания.
Противники распространения закрытых сообществ солидарны со взглядами Davis (1990), сторонники, наоборот, поддерживают
Foldvary (1994), который рассматривает новую
форму городского развития, с положительной точки зрения. Сторонники
распространения частных сообществ настаивают на чистых выгодах, которые
получают все агенты (резиденты, застройщики, местные органы власти), однако
подобный взгляд противоречит эволюционной теории институциональных изменений
Alchian (1950) и Hayek (1973), согласно которому конкуренция между различными
институтами со временем оставляет только наиболее эффективные из них. В
действительности же функционировать продолжают и государственные органы, и их
частные заменители (конкуренты), что приводит к возникновению пересечения
рынка, государства и гражданской культуры. В отсутствие механизмов
разграничения деятельности агентов, включенных в это пересечение, имеет место
неэффективность и смещение равновесия от общественного оптимума.
Центральную часть рассматриваемого спектра занимают Blakery и Snyder с
работой «Fortress America» (1997), они отражают взгляды большинства современных
ученых, которые придерживаются идеи «рыночного реализма». Суть данной точки
зрения заключается в том, что частные сообщества являются рыночным ответом
низкоэффективным органам муниципальной власти в вопросах предоставления
локальных общественных благ: на месте неэффективной для всего города
государственной возникает эффективная для участников конкретного сообщества
клубная форма предоставления благ. При этом авторы также обращают внимание
исследователей на то, что наряду с преимуществами, которые имеет подобная форма
самоорганизации населения, необходимо внимательно следить за возможными
негативными внешними эффектами, появляющимися в результате деятельности
закрытых сообществ и отражающимися на городском развитии.
По какой причине закрытые сообщества могут иметь преимущества перед
государством при предоставлении локальных общественных благ? Чтобы ответить на
этот вопрос, воспользуемся моделью коллективного принятия решений. Результаты
неоднократно проводимых исследователями экспериментов показывают, что в
большинстве случаев агенты готовы вкладывать около половины имеющихся у них
средств в производство общественных благ в однопериодной игре (E. Ostrom 2000).
Если же речь идет о многопериодных играх, то вклад снижается с каждым
последующим раундом. При этом предельно четко можно выделить два типа игроков:
«рациональные эгоисты», для которых всегда доминантная стратегия «не вкладывать
ничего в производство общественного блага», и «просоциальных агентов», которые
способны и стремятся к кооперации. Именно «просоциальные агенты» готовы
вкладывать средства в производство общественных благ. Однако объем вложений
зависит от таких ситуационных факторов, как: допустимые правила игры,
возможность коммуникации между игроками, уровень кооперации внутри сообщества
(соотношение типов агентов внутри группы), наличие санкционных механизмов, а
также распределения выгод между агентами (E. Ostrom 2000). Экстраполируя выводы
экспериментов на ситуации, возникающие в повседневной жизни, мы приходим к
выводу о том, что эффективная кооперация невозможна в рамках больших сообществ
(в данном случае - всех жителей крупных городов), но при этом она может
возникнуть, если жители разделятся на группы, состоящие из «просоциальных
агентов», которые будут следовать нормам реципрокции. В результате образуются
группы долгосрочной стабильной самоорганизации. Долгосрочное функционирование
подобным объединениям агентов обеспечивают, так называемые, «ключевые принципы
самоорганизации» (E. Ostrom 1990, 2000):
· четко определенные границы сообщества, когда все агенты понимают, кто
включен во взаимодействие, а кто нет;
· наличие унифицированных правил взаимодействия, включая
процесс принятия решения, распределение ресурсов, выгод между участниками
сообщества;
· возможность каждого из участников участвовать в формировании
и изменении правил взаимодействия (учет мнения каждого агента);
· самостоятельный выбор сообществом контролирующего лица,
которое следит за состоянием объектов и ресурсов;
· наличие разработанной системы санкций за отклонение от
принятых моделей поведения.
Так сообщества, способные к самоорганизации, могут быть более
эффективными в предоставлении локальных общественных благ, потому что для них
характерна большая гибкость, чем для государственных органов. Такие сообщества
самостоятельно формируют приемлемые нормы взаимодействия, которые учитывают
интересы участников, поэтому у них не возникает стимулов отклониться от
ожидаемой модели поведения. При этом в основе этих норм лежат такие понятия,
как: доверие, реципроктность и справедливость, то есть именно то, чего обычно
не достает крупным объединениям людей.
Среди наиболее популярных причин, которыми исследователи объясняют
распространение закрытых сообществ в городах, Le Goix (2005) выделяет следующие:
· социальные изменения в обществе в постиндустриальную эпоху, широкое
распространение фрагментации в обществе, а также индивидуализма (Sorkin 1992, Flusty 1998);
· распространение социальных патологий, уменьшение общественных
пространств, ухудшение их качества, глобализация внешнего мира (Blakely, Snyder 1997; Calderia 2000; Glaze, Frantz 2002);
· предоставление общественных благ ответственными за это лицами
стало неэффективным, общество вынуждено самостоятельно искать пути решения
имеющихся проблем (Foldvary 1994).
К ним необходимо добавить еще одну не менее значимую причину, о которой
стали говорить несколько позже - это ухудшение криминальной ситуации в городах,
и как следствие боязнь людей пострадать от деятельности преступников (Helsley, Strange 1999). Фактически, в данной ситуации напрашивается
вывод о том, что закрытые сообщества являются вполне закономерным общественным
ответом (рыночным и социальным) на имеющиеся городские патологии и провалы
государства, которые не решаются государственными органами в течение долгих
периодов времени.
Однако подчеркнем также и тот факт, что в некоторых случаях закрытые
сообщества могут выступать в качестве пережитков истории, так как подобная
форма проживания в той или иной форме возникала в ходе исторического развития
данной страны. Например, наиболее обеспеченные люди или первые лица государства
предпочитают жить в закрытых частных поселках в транспортной доступности от
города, подобные предпочтения наблюдаются в ходе исторического развития
постоянно и характерны для разных стран.
Более того, исторически процесс распространения огораживания в крупных
городах по всему миру начинался именно с элитного жилья, предназначенного для
самых богатых слоев населения и имеющего ограду, а также повышенный уровень
безопасности. Экономическую логику такого огораживания можно объяснить с
помощью гипотезы Тибу: наиболее обеспеченное население имеет более высокие
предпочтения относительно безопасности, при этом общество в целом не готово
тратить на безопасность столько, сколько предлагают наиболее богатые слои
населения, а они в свою очередь не готовы субсидировать данные расходы всем
прочим гражданам. Отсюда остается один выход - создавать закрытые сообщества,
которые будут представлять собой элитное жилье с более высоким уровнем защиты и
обеспечения безопасности.
Нет ничего удивительного в том, что развитие подобной формы проживания в
городах стартовало именно с наиболее богатого населения, так как именно эти
группы, с одной стороны, имели потребность в более высоком уровне защиты, а с
другой - владели ресурсами для оплаты соответствующих услуг. Таким образом,
здесь возникает ситуация, когда несогласные с общественным уровнем обеспечения
безопасности имеют возможность докупить данное благо (Epple, Romano 1996)
посредством приобретения частных способов защиты (частные охранные агентства,
камеры слежения, строгий пропускной контроль и т.д.). Именно это позволяет
говорить о том, что огораживание элит - это рыночный ответ наиболее
обеспеченных слоев населения, которые не согласны с реализацией усредненной
позиции общественного большинства (теорема о медианном избирателе) по вопросам
обеспечения уровня безопасности. В данном случае уровень доходов медианного
избирателя значительно ниже, чем доходы элит, а значит, имеет место
несовпадение предпочтений в расходах на обеспечение общественного уровня
безопасности, в результате наиболее богатые слои докупают недостающие объемы
безопасности посредством огораживания.
Со временем уровень благосостояния населения начинает расти, а варианты
предоставляемых частными сообществами услуг дифференцироваться, в результате
происходит постепенное проникновение закрытых сообществ в сегмент экономически
более доступного жилья для среднего класса. Распространению частных сообществ
для среднего класса также способствовал эффект несогласия крайних позиций
спектра альтернатив по вопросам государственных расходов на обеспечение
безопасности с принимаемой в итоге обществом медианной позицией.
Логика рассуждения прежняя: хвост распределения, где находится бедное
население, которое хотело бы тратить меньше, чем вынуждено тратить в
действительности, имеет возможность выбора только между двумя альтернативами
платить или не платить налог на безопасность (за счёт него финансируется
деятельность полиции). Однако хвост распределения с наиболее обеспеченными
жителями города имеет возможность выбора дополнительной альтернативы - докупить
частные способы обеспечения безопасности. С ростом доходов населения постепенно
увеличивается доля населения, которое предпочитает более высокий уровень
безопасности с одной стороны, а с другой - хочет видеть более качественную
работу местных органов власти. При этом рост доходов у населения оказывается
более быстрым, чем изменение качества и эффективности работы государственной
полиции, а также всех прочих органов власти. Другими словами, закрытые сообщества
для среднего класса - это, скорее социальный, чем рыночный, ответ населения на
отсутствие подотчётности муниципальных органов власти, неэффективности их
деятельности, нежеланием учитывать предпочтения населения.
Социальная составляющая здесь превалирует рыночную в виду того, что
основной причиной огораживания становится именно недовольство работой органов
власти, а не желание огородиться, чтобы подчеркнуть свой статус и престиж, то
есть на первое место выходят именно общественные проблемы, а не способность
докупать безопасность. Частные способы защиты здесь становятся инструментом
волеизъявления («уходом» по Хиршману), а не способом отделить себя от
остального общества. Ключевым негативным внешним эффектом распространения
огораживания среди среднего класса будет ухудшение качества работы
государственных органов, так как население не пытается бороться с недостатками
в их работе, а просто отстраняется от подобных проблем.
Таким образом, укоренение частных сообществ в современных городах имеет
двойственную природу, обусловленную с одной стороны историческим развитием, а с
другой - эволюцией общества, которое склонно порождать все новые стимулы к
огораживанию. Среди основных мотивов добровольного ограждения от внешнего мира,
по результатам большинства проведенных за рубежом исследований (Atkinson, Blandy 2005; Wu
2005; Webster 2001; Blandy, Lister
2005 и другие), следует выделить:
· желание проживать в безопасности;
· предпочтения к ведению закрытого образа жизни;
· обострение социальной сегрегации по различным признакам
(доходы; идеологические, культурные, расовые признаки и проч.);
· желание участвовать в коллективном управлении и развитии
территорий и невозможность реализовать себя в этом при взаимодействии с
местными органами власти;
· привлекательность «клубных благ»;
· возможность выбирать свое окружение в терминах сообщества,
разделяющего одни и те же ценности.
Среди основных драйверов, обуславливающих распространение закрытых
сообществ, прежде всего, необходимо выделить: интересы муниципального образования,
потенциальных жителей данных анклавов, а также инвесторов и девелоперов
(Atkinson, Blandy 2005, Le Goix 2005, Glazer 2005). Несмотря на то, что
интересы каждой из этих групп достаточно широки и скорее различны, чем близки,
иногда они могут совпадать стратегическим образом в пользу выбора агентами
каждого типа частных сообществ. С одной стороны, имеет место слабость местных
органов власти, их неспособность эффективно управлять городскими территориями и
устанавливать контакт с населением при решении проблем, имеющих высокую
социальную значимость. Постепенно в своей деятельности местные органы власти
начинают преследовать цели, отличные от целей, которые на них возлагает
общество. Провал в работе государства автоматически заполняется рыночной структурой
- закрытыми сообществами.
Привлекательность частных сообществ основана на том, что с точки зрения
экономической теории они в данной ситуации являются более эффективными
поставщиками локальных общественных благ, так как имеют больше возможностей и
инструментов воздействия на качество предоставляемых услуг, способов борьбы с
безбилетниками и так далее. С другой стороны, местные органы власти, которые
несут бремя обязанности по предоставлению общественных благ при жестком
бюджетном ограничении, имеют возможность переложить часть своих обязанностей на
девелоперов, которые стремятся получить прибыль, если развитие территорий
происходит в формате государственно-частного партнерства (Le Goix 2005). Более
того, капиталистический подход к освоению территорий очень часто сопровождается
прямыми выгодами местных органов власти, которые получают дополнительные доходы
от увеличения налогооблагаемой базы (Grant 2005) или накладывания обязательств
на инвестора по возведению/реконструкции дополнительных социально значимых объектов.
Инвесторы в данном случае получают выгодные контракты и перекладывают свои
расходы на будущих жильцов частных сообществ, которые готовы платить больше за
качественные клубные блага: дополнительные услуги, доступ к которым для не
резидентов ограничен. Таким образом, закрытые сообщества генерируют чистые
выгоды, которые перераспределяются между всеми участниками, включенными в
процесс их производства и использования.
При анализе привлекательности закрытых сообществ довольно часто прибегают
к использованию модели клубного блага (Webster 2002, Glaze 2005). Это самый
простой и очевидный способ объяснить популярность такого типа жилья среди
жителей города, а также описать принимаемые индивидами решения о проживании в
закрытом сообществе с позиции анализа выгод и издержек. Делая выбор в пользу
огороженного жилого дома, индивид получает не только жилье, но и доступ к
осязаемым и неосязаемым клубным благам, а также избавляет себя от необходимости
взаимодействовать с местными органами власти по вопросам городского развития.
Такой подход эффективен при рассмотрении индивидуального принятия решения, но
совершенно неинформативен при ответе на вопрос о причинах распространения
закрытых сообществ, а также возможных внешних эффектах, которые данные
сообщества экспортируют в городскую среду.
К счастью, есть фактор, позволяющий экономистам развивать теории
распространения закрытых сообществ, - и это безопасность. Формально
безопасность - общественное благо, предоставление которого является прямой
обязанностью местных органов власти (или властей другого уровня, что
регулируется соответствующими нормативно-правовыми актами, однако в любом
случае деятельность полиции финансируется из средств бюджета). Спрос на
безопасность в локальных масштабах является функцией, которая зависит от
доходов конкретного домохозяйства, неравенства доходов внутри данного
сообщества, различных культурных и социологических факторов, внимания средств
массовой информации к преступности и также многого другого (Chris Webster 2001).
Гипотеза Тибу в данном случае позволяет объяснить возрастающий спрос на
частные способы защиты, в том числе проживание в закрытых сообществах:
«голосование ногами» заключается принятии решения о проживании в подобных
комплексах. А далее эффект самоотбора граждан приводит к их самоорганизации и
решению локальных вопросов в рамках своего сообщества, а также потере интереса
к участию в решении общегородских вопросов. Таким образом, формируется порочный
круг: неэффективно работающие власти - самостоятельные жители, теряющие интерес
к общественным вопросам - неработающие власти.
Еще один аспект, на который стоит обратить внимание при изучении
зарубежной литературы, посвященной анализу частных/закрытых сообществ, -
наличие классификации, описывающей суть и мотивы формирования таких сообществ.
Выделяют закрытые сообщества трех типов: «зоны безопасности», жилье,
подчеркивающее «образ жизни», а также статусное жилье характеризующееся
«роскошью и престижем» (Blakely, Snyder 1997; Le Goix 2005; Manzi, Bowers 2005;
Atkinson, Blandy 2005; Wu 2005). Первый тип в западной литературе предполагает
наличие минимума клубных благ помимо обеспечения безопасности. Второй тип
строится для людей, предпочитающих обособленный стиль жизни и избирательность в
общении, третий тип - является сигналом о статусе и занимаемом в обществе
положении. По сути, это разделение огороженного жилья на экономический, бизнес
и элитный классы.
Подводя итоги знакомству с общими характеристиками, а также причинами
распространения огораживания можно сказать следующее: фактически, частные
сообщества могут быть рассмотрены как самостоятельные юрисдикции,
представляющие собой еще один уровень городского управления, после местных
органов власти.
Эти юрисдикции самостоятельно создают правила взаимодействия внутри своей
территории, определяют налоги (взносы на содержание общедомового имущества),
борются с проблемами безбилетника, перераспределяют выгоды от своей
деятельности между всеми участниками. При этом очевидно, что подобный подход
позволяет создать индивидуальные условия для каждого конкретного частного
сообщества. Такая логика, в свою очередь, позволяет обратить внимание на еще
один пласт экономической литературы, связанной с вопросами бюджетного
федерализма, в частности, теоремой о децентрализации Оутса (Oates (1972)). Идея
ее заключается в том, что если расходы на производство локальных общественных
благ близки, то децентрализованный способ производства может быть более
эффективным по сравнению с централизованным производством. Это достигается за
счет учета индивидуальных различий в предпочтениях между юрисдикциями при
децентрализованном производстве, в то время как централизованное производство
предлагает некоторый средний между предпочтениями всех юрисдикций вариант.
Более того, теория бюджетного федерализма предполагает, что необходимо выбирать
децентрализованный вариант производства общественных благ, если различия в
предпочтениях между юрисдикциями превышают масштабы перераспределения между
этими юрисдикциями. Все это также может быть рассмотрено как одна из теорий,
объясняющей, почему широкое распространение огораживания имеет государственную
поддержку или отсутствие государственного вмешательства в данный процесс.
.2
Закрытые (частные) сообщества в российской литературе
Если в зарубежной литературе феномен огораживания проработан достаточно
подробно, то работ, посвященных изучению российской действительности не так
много, при том, что закрытые сообщества абсолютно не новый для крупных
российских городов элемент. Обращение к ретроспективному анализу показывает,
что уже в Советский период частные сообщества были достаточно широко
распространены. Они находили отражение в строительстве дач и поселков,
возводимых на обширных загородных участках имевших постоянную охрану и
пропускную систему (Blinnikov et al 2006).
Данный факт подтверждает важность исторического развития, а также
показывает, что в российской практике огораживание также распространялось от
наиболее обеспеченных к менее обеспеченным слоям населения. На сегодняшний день
огораживание по-прежнему остается актуальным, так как продолжается активное
строительство охраняемых коттеджных поселков с ограниченным доступом на
территорию вдоль основных радиальных шоссе столицы. Такое развитие территорий
позволяет совмещать близость к природе и транспортную доступность центра города.
В центральной части города и в спальных районах Москвы также продолжается
возведение многоквартирных домов с ограниченным доступом на территорию.
Способы развития и планирования городских территорий города Москвы
претерпели изменения с Советских времен, поэтому в настоящее время город
характеризуется достаточно плотной застройкой, а мест для возведения закрытых
сообществ в формате коттеджных поселков практически не осталось. Однако в
начале 90-х годов прошлого века город имел больше свободного пространства, и в
наследие от этого времени мы имеем такие элитные частные сообщества в черте
города, как Серебряный бор, Покровские холмы, Донской посад, Воробьёвы горы,
Квартал 75, Алые паруса и другие (Blinnikov et al 2006; Lentz 2006).
Необходимо отметить, что закрытые сообщества как форма проживания в
современном понимании были заимствованы у Соединенных Штатов Америки, а также
завезены экспатами в 90-е годы прошлого века. Для иностранцев, приезжающих на
работу в Москву, специально строились жилые комплексы, которые представляли
собой «город в городе», чтобы обеспечить комфортное проживание для этих людей в
новой среде. Постепенно эту идею подхватила наиболее богатая часть населения
города Москвы и Санкт-Петербурга, а затем посредством механизмов, описанных в
предыдущем разделе, огораживание распространилось и на средний класс.
Активнее всего закрытые сообщества в России, а точнее в Москве и
Санкт-Петербурге, стали развиваться после распада Советского Союза. Урбанисты и
географы выделяют ряд факторов, которые могли стать основными двигателями
развития частных сообществ в этих городах (например, Blinnikov et al 2006).
Среди основных факторов: быстрые экономические, политические, правовые и
социальные изменения, бурно происходившие в стране в последнее десятилетие 20
века. Люди были вынуждены очень быстро реагировать на изменяющуюся
действительность, приспосабливаться к новым условиям. Возросший уровень
преступности, вандализма, падение моральных ценностей - все это приводило к
тому, что жители города хотели защититься и оградиться от враждебной городской
среды.
Наиболее обеспеченные слои населения могли позволить себе жить в
коттеджных поселках за городом. Средний класс на тот момент еще только
формировался, и основная масса населения проживала в многоквартирных домах в
черте города. Такие дома еще не стали закрытыми сообществами и не огородились
от внешних опасностей, но стали использовать различные методы защиты не только
жизни и жилья, но и всей инфраструктуры дома в целом, организовывая дежурства,
нанимая консьержей, используя иные методы обеспечения безопасности и
правопорядка собственными силами. На фоне таких изменений во внешней среде
города вполне логичным видится возникновение закрытых сообществ в формате
комплексов многоквартирных домов с огороженной территорией, внутри которой
жителям предоставляется дополнительная инфраструктура для комфортного
проживания и отдыха.
Мотивы добровольного огораживания в российских городах аналогичны
мотивам, выявленным в мировой практике. Ключевой аспект - это проживание на
безопасной территории, далее следует привлекательность клубных благ,
разнообразие которых зависит от типа частного сообщества. Справедливыми
остаются и выводы о самоотборе жителей, имеющих сходные взгляды на проживание и
развитие прилежащей домовой территории.
На фоне слабости местных органов власти, не способных решать городские
проблемы и предоставлять общественные блага надлежащего качества,
распространение закрытых сообществ в России также является закономерным ответом
рынка в лице инвесторов и населения, которое рассматривает подобный тип жилья
как наиболее предпочтительный.
.3
Экономический взгляд на огораживания в литературе
.3.1
Огораживание и социальный каптал
На распространение закрытых сообществ в городах, среди прочего, также
влияют политико-экономические факторы. Как было отмечено во введении,
огораживание может рассматриваться как социальный ответ населения на провалы
государства, здесь мы рассмотрим эту идею подробнее.
Качество городского управления, с точки зрения населения, воспринимается
как некоторая постоянная, изменить которую крайне непросто, например, в виду
отсутствия реальных инструментов воздействия на деятельность местных органов
власти, временных лагов между продвижением решения и его исполнением,
забюрократизированности и непрозрачности политического процесса. Существование
таких барьеров создает предпосылки для самоорганизации населения и поиска
альтернативных способов решения городских проблем. Коллективное решение проблем
своими силами, в свою очередь, приводит к смещению равновесия от общественно
оптимального (first best/первое наилучшее) к равновесию с общественными
потерями (second best/второе наилучшее).
Вне зависимости от того, является ли огораживание следствием
строительства изначально огороженных проектов жилья, когда застройщик сам
заранее продумывает, какие услуги будет предлагать данный жилой комплекс, и
возводит всю необходимую инфраструктуру, определяет институциональные рамки
взаимодействия (McKenzie, 1994), или люди сами объединяются и огораживаются от
внешнего мира - все это демонстрирует наличие выявленных предпочтений в пользу
проживания в закрытых сообществах и принятия частных решений (более
эффективных, с точки зрения населения) (Le Goix, Webster,
2008). Более того, это показывает недоверие государству и демократическому
процессу. В наибольшей степени это относится к ситуации, когда происходит
огораживание домов, изначально не имевших физических границ территории. Для
осуществления подобных действий жильцам одного дома необходимо кооперироваться
и взаимодействовать в интересах большинства, что обеспечивается наличием
социального капитала, культурными особенностями и спецификой самой ситуации, в
которой оказалось население данного района города.
Возможности и формы взаимодействия в обществе определяет социальный
капитал, его можно рассматривать как измеритель способности, а также качества
взаимодействия населения для достижения конкретной цели. Социальный капитал
имеет две формы: закрытую и открытую, - закрытый может быть проиллюстрирован
принадлежностью к какой-либо малой группе интересов, социальному классу, иметь
привязку к физическим и географическим границам, открытый же, напротив,
способствует поддержанию функционирования больших социальных групп (Putnam, 1993). Хотя социальный капитал и не
является фундаментальным фактором распространения огораживания, но определенное
влияние на это процесс он также оказывает. Рассмотрим, как это происходит.
Закрытая форма социального капитала относится к ближайшему окружению
людей и отвечает за взаимодействие в малых социальных группах, которые могут
быть представлены, в том числе и закрытыми/частными сообществами. Такие группы
способны наладить предоставление локальных общественных благ. Однако появление
таких групп в городах сопровождается увеличением общественных издержек,
вызванных отрицательными экстерналиями от распространения закрытых сообществ:
например, недопроизводство общественных благ, так как часть населения перестает
участвовать в жизни города, уменьшение общественных пространств, доступных для
всего населения города, необходимость изменять привычные маршруты движения
из-за распространения заборов. Подобные эффекты представляют собой «темную»
сторону закрытого социального капитала, которая не принимает во внимание
интересы, выгоды и издержки людей, не включенных в конкретную социальную
группу.
Открытый социальный капитал позволяет поддерживать взаимодействие людей
внутри всего сообщества в целом (всех жителей города), благодаря открытому
социальному капиталу люди способны успешно принимать решения в интересах
развития муниципального образования или иных крупных социальных групп. Основной
составляющей социального капитала является гражданская культура, отвечающая за
высокую активность населения в политической жизни сообщества, что положительно
сказывается на эффективности работы местных органов власти. При этом открытые
формы социального капитала встречаются намного реже, чем закрытые. Кроме того,
важно отметить, что открытый и закрытый социальный капитал оказывают
противоположные эффекты на взаимодействие людей. Невозможно наращивать
одновременно обе формы социального капитала, так как одна вытесняет другую.
Недостаточный уровень гражданской культуры приводит к выбору населения в
пользу распространения закрытых сообществ (Almond, Verba,
1963) и провоцирует провалы государства в локальных масштабах в виду отсутствия
санкций со стороны населения при неэффективной работе местных органов власти.
Избыток закрытого социального капитала способствует распространению закрытых
сообществ, а также накапливанию закрытых форм социального капитала. Наличие
подобной спирали постепенно смещает равновесие все дальше от общественно
оптимального уровня, так как закрытые сообщества становятся все более
доступными для разных слоев населения.
Примечательно, что связь между социальным капиталом и огораживанием имеет
двусторонний характер. Alesina и La Ferrara (2000) в своей работе показали, что
гражданская активность и участие ниже в тех сообществах, которые имеют
разделение по социальным, экономическим, культурным и этническим принципам.
Физическая ограда, такая как забор, в данном случае препятствует накоплению
открытых форм социального капитала (Glaeser, Sacerdote 2000), так как делит
общество на тех, кто внутри ограды и за ее пределами. Более того, территории,
изъятые из общего пользования, затрудняют передвижение по городу, а также
являются еще одним фактором разделение общества на классы. В том смысле, что
люди, живущие вне огороженных территорий, могут чувствовать себя «людьми
второго сорта» из-за отсутствия возможности пользоваться пространствами, которые
раньше были публичными (Zotova
2012).
Влияние разных форм социального капитала на общество является нелинейным.
Например: закрытый социальный капитал помогает обществу, если оно беззащитно
перед государством, не выполняющим свои обязательства, однако со временем
положительный эффект сменяется отрицательным, так как закрытый социальный
капитал не дает обществу перейти на новую ступень развития, где преобладают
открытые формы социального капитала. Отказ населения принимать участие в жизни
города приводит к тому, что частные сообщества начинают доминировать город в
целом, они превращаются в альтернативу государству. При этом снова возникает
порочный круг, который все сложнее разорвать: эффективность работы местных
органов власти все ниже, а население все меньше интересует происходящее за
пределами ограды. Таким образом, частные сообщества постепенно становятся
элементами спирали, где они предоставляют все больше клубных благ, а также
увеличивают свое количество в городах, а качество работы местных органов власти
и государственных производителей локальных общественных благ продолжает
снижаться (Woo,Webster, 2014). В результате можно говорить о появлении
«клубных городов» (LeGoix, Webster, 2006).
Уровень и форма социального капитала, накопленного в обществе, влияет на
масштабы огораживания в городах. Однако не только социальный капитал является
детерминантной принятия коллективных решений, сюда также относятся культура и
сплоченность населения (Roitman, 2010; Manzi, Smith-Bowers, 2005). Ключевая
идея здесь состоит в том, что уровень культуры, сложившийся в обществе,
является условием, определяющим будут ли в данном обществе люди огораживаться.
То есть культура в данном случае представляет собой не следствие
распространения огораживания, а один из факторов, влияющих на существование
данного феномена. В данном случае неспособность население влиять на
деятельность государственных органов приводит к тому, что население не пытается
изменить сложившуюся практику, а ищет выход в «самоорганизации снизу»
(Menyashev, Polishchuk, 2015; Шагалов, 2015). Рассмотрим, какие еще факторы
способствуют принятию населением решения об огораживании.
Коллективное
принятие решения об огораживании: ключевые факторы
Традиционно в вопросах принятия обществом решений относительно оптимального
уровня благ, услуг и платы за них пользуются теоремой о медианном избирателе,
предпочтения которого должны отражать приемлемый, с точки зрения большинства,
объем/способ/стоимость предоставления благ. То есть теорема о медианном
избирателе - это реализация правила простого большинства. Однако в случае
сильной дифференциации доходов групп населения, а также несопоставимом
количестве богатых и бедных, возникает ситуация, когда общество поляризуется. В
этом случае теорема о медианном избирателе по-прежнему способствует принятию
решения, отражающего мнение большинства, но некоторые слои населения будут не
согласны с таким решением, и поэтому они будут пытаться его «сдвинуть» в более
приемлемую для них сторону доступными для этого способами. Говоря точнее, богатые
в ответ на недостаточный, по их мнению, уровень общественной безопасности
начинают самостоятельно докупать недостающие объемы безопасности через
распространение огороженных домов. Проиллюстрируем этот процесс с помощью
небольшой модели:
Рассматривается единичный континуум экономических агентов, располагающих
активами
(возможно, разной ценности). Если
- инвестиции в безопасность агента,
то его актив защищен на уровне
, то есть агент теряет долю актива
в результате преступности.
Функция
удовлетворяет условиям
Если активы всех агентов имеют одну и ту же ценность
, то общественно оптимальный уровень
расходов на безопасность
удовлетворяет условию
. Этот оптимум может быть реализован
как политическое равновесие, когда репрезентативный (он же медианный) агент
голосует за налог
, который расходуется на обеспечение безопасности.
Предположим теперь, что агенты принадлежат двум группам - богатым и
среднему классу, величиной соответственно
и
. Богатые агенты имеют активы
ценностью
, а средний класс обладает активами с более низкой
стоимостью:
. В таком случае, считая
, медианный избиратель принадлежит к
среднему классу, и в политическом равновесии величина налога будет оптимальной
с точки зрения медианного избирателя и составит
, где
. Данный уровень безопасности
окажется недостаточным для богатых агентов, которым принадлежат более ценные
активы, и они дополнят его расходами на безопасность в пределах своей группы в
виде огороженных сообществ. Если каждый обеспеченный агент вносит в бюджет
сообщества дополнительный платеж
, то совокупный уровень безопасности
для таких агентов составит
Величина
определяется из задачи
, и находится из условия
. Таким образом, элитные огороженные
сообщества действительно являются рыночной реакцией на поляризацию предпочтений
относительно общественных решений, вызванную экономическим неравенством.
Заметим, что двухуровневая система защиты от преступности с общим для всех
уровнем защиты
, дополненным до
в случае богатых агентов, является
общественно оптимальной, поскольку величины
и
являются решением задачи
Разумеется, вывод об общественной оптимальности элитного огораживания не
учитывает эффекта вытеснения преступности, который подробнее рассматривается в
работе далее.
Продолжая рассматривать причины, влияющие на принятие решения об
огораживании, отметим, что в основе разделения общественных взглядов
относительно расходов на производство локальных общественных благ лежит три
фундаментальных фактора: неравенство, эффективность и подотчетность государства
(органов его управления) и культура. Рассмотрим, каким образом каждый из этих
факторов может влиять на другой (см. Табл. 1). Понятие культура включает в себя
не только нормы и правила, принятые в обществе, но и социальный капитал (все
социокультурные факторы, которые играют роль при выборе способа организации
производства общественных благ).
Таблица 1
Каналы влияния факторов друг на друга
|
Государство → Неравенство
|
Неравенство → Государство
|
|
Система налогообложения и перераспределения
|
Лоббирование интересов наиболее богатых
|
|
Качество предоставляемых общественных услуг
|
Снижение подотчетности власти населению
|
|
Подмена общественных интересов интересами более
обеспеченных групп населения
|
|
Культура → Неравенство
|
Неравенство → Культура
|
|
Отношение общества к перераспределению
|
Приоритет личных и социально значимых ценностей
|
|
Значимость имущественной сегрегации при взаимодействии по
решению общественно значимых вопросов
|
Увеличение неравенства снижает стимулы к совместному
принятию решений разными группами
|
|
Государство → Культура
|
Культура → Государство
|
|
Закрепление принципов экономического взаимодействия в
культурных принципах
|
Подотчетность властей населению
|
|
Эффективность институтов
|
Таким образом, некоторое сложившееся в данном обществе значение каждого
из факторов определяет принятые модели взаимодействия, в том числе способы
организации и предоставления общественных услуг. Для развивающихся стран
современного мира в большей степени характерна ситуация, когда недостаток
общественных благ начинает воспроизводиться посредством распространения клубных
благ. Однако появление клубов, скорее всего, будет ухудшать качество
предоставления общественных благ, постепенно вытесняя их с рынка. И такой тренд
будет скорее способствовать дальнейшей сегрегации в обществе, чем объединению
населения города для решения проблем.
Комбинация уровня социального капитала, культуры, неравенства и качества
городского управления объясняет распространение закрытых сообществ как выбор в
пользу «ухода» в соответствии с дихотомией Хиршмана. Накопление закрытых форм
социального капитала и склонности к сплочению не позволяют развиваться
гражданской культуре, в результате имеет место объединение населения по
признакам доходов, социального статуса, расе, а зачастую даже по формальному
признаку проживания внутри общей физической ограды. Более того, культура и
качество государственного управления позволяют объяснить, почему изначально
феномен огораживания относился только к элите и только потом получал более
широкое распространение. Изначально огораживание - было сигналом о статусе и
престиже, как только оно перестало быть сигналом, то сразу же оказалось
доступным для более широких слоев населения, то есть для среднего класса.
Несмотря на то, что влияние распространения огораживания на участие и
заинтересованность людей в участии в политическом процессе и общественной жизни
города остается предметом споров в литературе, нам видится наличие сильной
обратной зависимости: чем выше уровень отгороженности, тем ниже гражданское
участие. Это следствие того, что закрытые сообщества являются факторами
разделения общества на группы (Low, Donovan, Gieseking, 2011), а также причиной
потери интереса к проявлению активной гражданской позиции (накопление закрытых
форм социального капитала), подрыва эффективного функционирования местного
самоуправления (Caldeira, 2000; Roitman, 2010). В сложившейся ситуации интерес
частных сообществ во взаимодействии с государством сводится к решению
внутренних для этого частного сообщества проблем, что также негативно влияет на
принимаемые государством решения о перераспределении бюджетных средств.
В политической экономике широко известна проблема борьбы за ресурсы и
лояльность со стороны населения между государством и кланами (небольшими
группами интересов). Эту проблему можно перенести на распространение
огораживания, где роль кланов будут играть закрытые сообщества, сформированные
и функционирующие посредством социального капитала, культуры и предпочтений, а
роль государства выпадает городским органам власти.
Если победу в политическом процессе одерживают кланы (закрытые
сообщества), то города превращаются в оболочки, где отсутствует полноценное
социально-экономическое взаимодействие между жителями (Greif, Tabellini, 2012).
В данном случае речь идет о все большем распространении огораживания, что
влечет за собой победу такой формы развития городских территорий. Последствием
этого будет ухудшение подотчётности органов государственного управления,
разрушение демократического политического процесса, дальнейшее ухудшение
качества работы органов власти и увеличение провалов государства.
.3.2
Влияние уровня преступности в городе на распространение огораживания
Рассмотрев социальные аспекты огораживания, перейдем к изучению наиболее
близкого к экономической природе распространения закрытых сообществ фактора. В
своей статье Webster и Glasze (2006) говорят, что «во многих развитых странах
частные сообщества стали важными заменителями местных органов власти в терминах
предоставления общественных благ и услуг, включая управление городскими
территориями и безопасность». Распространение в городах частных/закрытых
сообществ связано со сравнительными преимуществами, которыми они обладают.
Когда общественные блага предоставляют муниципальные или государственные
органы власти, положительные внешние эффекты от оказания таких услуг или
предоставления благ, как правило, сводятся к минимуму по множеству объективных
причин. В то время как распространение закрытых сообществ в современных городах
сигнализирует о том, что частные сообщества приносят чистые выгоды его
участникам. Так, например, закрытые сообщества предоставляют более высокий
уровень безопасности и более комфортное проживание, которое находит отражение в
наличие как минимум в чистой облагороженной территории вокруг дома.
Как уже было отмечено ранее, ключевую роль в росте числа частных или
закрытых сообществ в городах играет желание жить в безопасности или боязнь
преступности. Именно с этой точки зрения чаще всего исследователи строят
экономические модели распространения закрытых сообществ в городе. Причем при
построении модели необходимо учитывать, что угроза может быть как реальной - фактически
высокий уровень преступности в данном районе города, - так и надуманной - в
действительности уровень преступности невысокий, но население по каким-то
причинам оценивает его как высокий. Подобные опасения имеют три основных
негативных последствия для городского развития (Helsley, Strange 1999):
· увеличение расходов на содержание органов полиции и тюрем;
· рост расходов на различные способы частного обеспечения
безопасности (по оценкам некоторых авторов данные расходы могут в 2 раза
превышать общественно оптимальный уровень расходов);
· увеличение количества частных сообществ.
В свою очередь эмпирические исследования показывают, что чем лучше
охраняется дом и чем сложнее в него проникнуть, тем менее привлекателен он для
грабителей (Buck, Hakim 1993). Это связано с тем, что, фактически,
рациональные грабители, принимая решение о совершении преступления, помимо
сопоставления своих выгод и издержек, отвечают на четыре базовых вопроса (Deutsch, Hakim, Weinblatt 1987; Buck, Hakim 1993):
· определение района города;
· выбор конкретной улицы;
· выбор дома на этой улице;
· способ проникновения (дверь/окно).
Таким образом, распространение частных сообществ является прямым ответом
населения на недостаточно эффективную, по их мнению, работу органов полиции.
Это приводит к тому, что население начинает инвестировать в различные
альтернативные способы защиты от преступников, в частности предпочитает жить в
закрытых сообществах.
Рост популярности частных способов защиты населения, в том числе
привлечения частных охранных предприятий (ЧОПов/private police) для охраны
огороженных территорий домов связан с тем, что государственная полиция
представляет собой монополию, не склонную к внедрению новых, более эффективных
технологий, она не так быстро адаптируется к новой экономической ситуации, и
поэтому становится менее эффективной по сравнению с частными способами защиты.
Кроме того, бюджет на содержание полиции ограничен, что затрудняет возможности
внедрения инноваций, а также оптимизации расходов (Blackstone, Hakim 2013).
Однако взаимосвязь между уровнем преступности и распространением частных
сообществ является двухсторонней, то есть закрытые сообщества также влияют на
уровень преступности, перераспределяя его между районами города (Hakim et al (1979); Helsley, Strange 1999). Более того, появление
закрытых сообществ в одном районе города может спровоцировать их
распространение также и в других районах.
Рассмотрим подробнее, почему наиболее яркий способ проиллюстрировать
негативные внешние эффекты от распространения огораживания в современных
городах - это построение размышлений вокруг уровня безопасности и преступности
в городе. Традиционно безопасность в городах обеспечивают органы полиции,
которые, как правило, содержатся за счёт средств налогоплательщиков. При этом
система налогообложения с точки зрения сбора, а также перераспределения налогов
на различные общественные цели, является некой унифицированной системой,
которая далеко не всегда правильно и справедливо (с точки зрения населения)
отражает предпочтения разных групп общества относительно оптимального уровня
безопасности в городе.
Неравенство доходов и различия в предпочтениях обуславливают появление
социальных групп, которые готовы, хотят и в действительности тратят больше на
безопасность, что находит отражение в распространении домов за заборами с
ограниченным доступом на территорию, сложными пропускными системами и т.д.
Таким образом, подобные действия незамедлительно влияют на распределение уровня
преступности в разных районах города: криминальная ситуация начинает ухудшаться
в районах с меньшим уровнем защиты. Это в свою очередь вынуждает эти районы
города тоже больше инвестировать в безопасность, чтобы предотвратить увеличение
уровня преступности. Таким образом, имеет место ситуация подталкивания жителей
города к участию в «гонке вооружений», выражающейся в строительстве заборов,
привлечении частной охраны и прочих элементов частной/клубной защиты, чтобы
обезопасить себя и своих близких. При этом общественные и частные способы
защиты выступают скорее как комплименты, а не субституты, так как население не
имеет возможности выбора между двумя альтернативами: государственной полицией и
частными способами защиты, - полиция функционирует в любом случае и каким-то
образом дополняется огораживанием (полиция - общественное благо,
неисключаемость и неконкурентность сохраняются, оплата налогов также
обязательна). Более того, инвестиции в развитие, облагораживание и обеспечение
безопасности на частной территории зачастую являются также более высокими, чем
было бы оптимально с общественной точки зрения (Feder, Feeny 1991). Это может
приводить к переиспользованию ресурсов внутри закрытых сообществ и нехватке
ресурсов для развития в масштабах всего города, а также концентрации социальных
проблем в наименее обеспеченных и престижных районах города.
В результате мы можем говорить о возникновении известной в экономической
теории проблемы под названием «трагедия общин», которая, однако, выражается не
в переиспользовании ресурса и, как следствие, его истощении, а, наоборот, в
переинвестировании в ресурс (безопасность). Это приводит к неэффективности
использования имеющихся у населения средств и смещения равновесия от
общественно оптимального уровня. Если говорить об оптимальном уровне
безопасности в городе, то мы переходим к рассмотрению вопроса об эффективности
работы полиции, а также наличии или отсутствии необходимости дополнения ее
частными вариантами обеспечения более высокого уровня безопасности.
Другими словами, пытаемся ответить на вопрос: насколько конкурентны в
данном случае общественный и частный способы обеспечения безопасности? В самом
широком смысле - насколько сильна конкуренция общественных и клубных благ?
Какие факторы могут лежать в основе принятия решения о наиболее эффективном
способе производства безопасности?
1.3.3 Способы
экономического моделирования инвестиций в частные способы защиты и обеспечения
безопасности
В рамках данного подраздела собраны основные способы и подходы,
используемые при моделировании расходов на государственные и частные методы
обеспечения безопасности. Сразу необходимо отметить, что напрямую об
огораживании в большинстве рассмотренных статей речи не идет, однако существует
целый класс работ, которые ставят перед собой задачу ответа на вопрос о том,
почему люди инвестируют в средства индивидуальной (частной) защиты от
преступников, если есть государственная полиция. Каким образом определяются
размеры расходов на государственные и частные способы обеспечения безопасности,
какие факторы определяют решения, принимаемые домохозяйствами. Как правило, в этих
статьях речь идет об установке сигнализаций, дополнительных защитных замков,
видеонаблюдении и прочих средствах защиты. Именно поэтому распространение домов
за заборами с повышенным уровнем безопасности видится еще одним способом
инвестирования в безопасность, альтернативным установлению индивидуальных
средств защиты. По этой же причине данный раздел литературы об экономике
преступности считается релевантным для настоящей работы.
Основная идея исследований о том, почему люди используют также и частные способы
повышения уровня безопасности, заключается в том, что частная инициатива и
государственное производство общественного блага могут быть прекрасными
заменителями друг друга (Epple,
Romano 1996, Clotfelter 1976, 1977), более того, иногда они
могут действовать как комплименты. В статье Epple, Romano
(1996) на примере здравоохранения (общественного блага близкого по своим
характеристикам к безопасности) показано, что равновесие, где имеет место
совместное производство, всегда оказывается предпочтительнее, чем равновесия
только с государственной или частной инициативой. Однако совместное
производство приводит к перерасходованию средств на производство общественного
блага. В целом, данные выводы можно считать справедливыми и для производства
безопасности, так как она, также как и здравоохранение, может производиться как
частным, так и государственным способом. Выбор между частным и общественным
способами производства определяется такими факторами, как технология
производства в каждом из секторов и соотношение издержек, институциональными
условиями и принимаемыми политическими решениями, соотношением эффективности
администрирования в каждом из секторов (Clotfelter 1976).
Кроме того, во всех работах выделяются три базовых внешних эффекта от
использования частных способов защиты, которые учитываются при построении
теоретических моделей (Clotfelter 1977, Hakim et al (1978,1980,1987), Helsley, Strange 1999):
· снижение общего уровня преступности;
· перенос преступности на другие районы/менее защищенные
объекты;
· возможное ухудшение работы традиционных и общепринятых
практик по борьбе с преступностью.
Среди способов моделирования чаще всего используют теоретико-игровой
подход, концепцию общего равновесия, а также модель Мелтзера-Ричардса
(например, Hakim et al (1979), Helsley, Strange (1999)). Причем использование
каждого из этих подходов не является конкурентами или альтернативой друг другу,
они служат достижению разных исследовательских целей, и потому дополняют друг
друга. Так модели поиска общественного оптимума позволяют найти равновесие в
идеальной ситуации, то есть описывают происходящие процессы с позиции «как
должно быть». Теоретико-игровой подход напротив, больше приближен к реальности
и позволяет увидеть, что происходит в действительности («как есть на самом
деле»), указывает на отклонение от общественно оптимального равновесия.
Таким образом, использование этих двух способов моделирования позволяет
сравнить и сопоставить действительное и желаемое равновесия, определить какие
факторы влияют на несовпадение этих равновесий.
Альтернативный способ моделирования стоит в максимизации итогового уровня
безопасности, который будет произведен совместно государством и частными
способами (а не общего уровня полезности от потребления всех благ). В рамках
максимизации именно этого общего совместного выпуска безопасности определяется
уровень расходов на каждый из способов производства. Третий способ состоит в
том, чтобы сформировать функцию безопасности, которая будет разумным образом
зависеть от государственного и частного способов борьбы с преступниками
(Clotfelter 1977), по сути, определить функцию реакции, и уже относительно нее
решить задачу об оптимальном размере производства каждого вида безопасности.
Поскольку частные сообщества включают все базовые варианты частных
способов обеспечения безопасности, мы предлагаем рассматривать людей,
проживающих в подобных комплексах как «целевую аудиторию», которая предпочитает
инвестировать в частные способы защиты. Все прочее население, которое
проживание в обычных многоквартирных домах будем относить к классу
удовлетворенных работой государственной полиции и предпочитающих не тратить
дополнительные средства на защиту от преступников.
Поэтому в рамках данной работы экономический взгляд на частные сообщества
будет направлен как на альтернативно-конкурентную по отношению к местным
органам власти форму организации предоставления локальных общественных благ,
прежде всего, безопасности, а потом уже всех прочих клубных благ. При этом еще
раз подчеркнем, что закрытые сообщества представляют собой самостоятельные
юрисдикции, находящиеся под управлением собственников жилых помещений. Именно
они принимают решения о развитии территорий, правилах их использования,
определяют размер платы за содержание общего имущества и порядке его
содержания.
Таким образом, подобные сообщества, фактически, формируют еще один
уровень управления городскими территориями после местных органов власти и
именно поэтому могут быть рассмотрены как конкуренты местным органам власти,
так как подобные объединения являются целостным образованием, функционирующим в
течение долгого времени, а также принимающим обдуманные стратегические решения
по своему развитию. Другими словами, действия таких групп являются более
слаженными, чем поведение отдельных домохозяйств, влияние принятых решений
имеет далеко идущие последствия и их намного труднее отменить или как-то
повлиять на них по сравнению с решениями, принятыми отдельными домохозяйствами.
частный клубный огораживание безопасность
Раздел 2.
Модель, объясняющая распространение частных сообществ в современных городах
через преступность (инвестиции в безопасность)
.1
Содержательное описание модели
Как уже было отмечено ранее, с технической точки зрения, способов
моделирования распространения закрытых сообществ через безопасность может быть
несколько. В рамках данной работы мы будем использовать концепцию совершенного
в подыграх равновесия Нэша, рассматривая два действующих лица: население и
преступников. Идея, которая лежит в основе предлагаемой далее модели, очень
близка к результатам, полученным Helsley и Strange (1999), однако все же имеют
место несколько различий. С технической точки зрения мы не рассматриваем рынок
труда как одну из составляющих модели, которая может влиять на изменение
количества преступников, так как население выбирает между двумя альтернативами:
быть занятым официально или стать преступником. В нашей модели количество
преступников задано экзогенно: для простоты мы предполагаем, что есть некоторый
фиксированный пул преступников, который распределяется внутри разных районов
города в зависимости от характеристик данных районов.
Концептуально необходимо обратить внимание, что в рамках данной работы мы
хотим подчеркнуть важность двух эффектов, которые не были ранее подробно
рассмотрены в литературе по отношению к распространению закрытых сообществ. Это
две проблемы: зеркальное отражение проблемы «трагедии общин» и проблема «гонки
ко дну».
Традиционно проблема трагедии общин широко известная в экономической
литературе связана с переиспользованием различных экономических ресурсов,
которые приносят выгоды агентам, не учитывающим возможные внешние эффекты,
возникающие в процессе. Наиболее популярный пример в этой связи пример - выпас
скота на пастбище: если у жителей деревни есть одно общее пастбище, на котором
все пасут своих животных, то качество пастбища напрямую зависит от количества
животных, которые там питаются. При этом каждый конкретный агент заинтересован
в увеличении своих доходов от скотоводства и поэтому хочет наращивать поголовье
в стаде, однако поступая так, жители не учитывают тот факт, что действие
каждого из них ухудшает качество пастбища и как следствие снижает их доходы от
скотоводства. Это связано с тем фактом, что экономические агенты хорошо
заботятся о тех вещах, на которые они имеют права собственности и несут за них
ответственность, а в случае, когда права собственности не распределены, интерес
в эффективном использовании ресурса пропадает. В отсутствие учета внешних
эффектов, благо общего пользования истощается, потому что никто не несет
ответственность за эффективность его использования.
В случае с распространением огораживания в современных городах имеет
место абсолютно аналогичная по своей сути ситуация, только в зеркальном
отображении: здесь мы не переиспользуем ресурс, а переинвестируем в благо -
безопасность -, негативным внешним эффектом в данном случае является вытеснение
государственных способов обеспечения безопасности, неэффективное использование
населением денежных средств, смещением равновесия от общественно оптимального
уровня. Чем больше людей принимает решение жить в закрытых сообществах, тем
выше их инвестиции в частные способы обеспечения безопасности, тем меньше они
заинтересованы в государственной полиции, тем больше страдает та часть
населения, которая не может позволить себе жить в частных сообществах.
Одновременно с эффектом обратной трагедии общин имеет место эффект,
хорошо объясняющий рост популярности и повсеместное распространение
огораживания в городах - это эффект «гонки ко дну» (race to the bottom). Традиционно данный экономический термин
используется для описания действий независимых регионов, соперничающих за
привлечение какого-либо мобильного ресурса, чаще всего капитала. Для этого
региона, как правило, начинают снижать налоги и не замечают, что в этой
конкурентной борьбе уровень налогов становиться сильно ниже общественно
оптимального уровня и в итоге регион беднеет, а не богатеет. Политика снижения
налогов не оправдывает себя и не способствует достижению поставленной цели.
Перенося логику рассуждений на кейс с распространением огораживания, мы видим,
что использование частных способов защиты, то есть проживание в закрытом
сообществе, ограбить которое сложнее приводит к перераспределению преступности
на менее защищенные районы, что в свою очередь заставляет эти районы также
инвестировать в распространение частных сообществ. В результате имеет место
слишком высокий уровень инвестиций в огораживание со стороны населения и
слишком много огороженных домов в равновесии, что общественно неоптимально.
.2 Модель
В данном разделе представлена модель, позволяющая объяснить
распространение закрытых сообществ в современных городах через инвестирование в
частные способы защиты, в данном случае это выбор в пользу проживания в
закрытых сообществах. Данные расчеты позволяют продемонстрировать наличие двух
эффектов, описанных в начале главы, и на которых хочется сосредоточить внимание
читателя. После расчетов сделаны краткие выводы.
Рассматривается двухпериодная игра с двумя участниками: домохозяйствами и
преступниками. В первом периоде домохозяйства выбирают уровень инвестиций в
частные способы защиты (другими словами, где они хотят жить в закрытом
сообществе или в обычном доме), во втором периоде преступники распределится
между районами города. Количество преступников в модели задано экзогенно, оно
постоянно. Решаем задачу методом обратной индукции, ищем совершенное в подыграх
равновесие Нэша (SPNE). В Таблице 2
представлено описание всех параметров модели, а также ограничения на них.
Таблица 2
Описание параметров модели
|
Параметр
|
Описание
|
|
|
Выигрыш каждого преступника в i-ом районе города
|
|
=
|
Суммарный выигрыш всех преступников, орудующих в i-том районе; Z(x,s)
является аналогом производственной функции для преступников
|
|
|
Количество преступников в i-ом районе города
|
|
X
|
Общее количество преступников в городе
|
|
|
Инвестиции в безопасность в i-ом районе города (здесь и далее подразумеваются
инвестиции в огораживание)
|
|
|
Инвестиции в безопасность во всех районах города, кроме i-го
|
|
N
|
Количество районов города
|
|
B>1
|
Предполагаем, что потери населения от ограбления выше, чем
выигрыш преступников, так как стоимость товаров на «черном рынке» ниже их
реальной стоимости, а также имеют место моральные издержки от причинения
ущерба
|
|
|
Технические предположения о виде функций: с увеличением
количества преступников суммарный (общий) получаемый ими выигрыш растет,
однако выигрыш каждого отдельного преступника снижается; чем выше инвестиции
в безопасность, тем ниже суммарный выигрыш преступников.
|
Таким образом, сумма всех преступников, работающих в определенном районе
города, составляет общее количество преступников в данном городе:
Каждый преступник в i-ом
районе получает выигрыш, который зависит от количества преступников, орудующих
в этом районе, а также уровня инвестиций населения в безопасность, это аналог
производственной функции для преступников:
,
Исходя из этих условий, в равновесии для всех преступников должна
выполняться следующая система уравнений: выигрыш каждого из преступников должен
составлять среднее значение от суммарного выигрыша, получаемого всеми
преступниками
Покажем, каким образом расходы на безопасность в каждом из районов города
влияют на расходы в соседних с ним районах. Другими словами, покажем, что
количество преступников в i-том
районе города монотонно убывает по расходам на безопасность в данном районе, а
также монотонно возрастает по расходам на безопасность соседних районов.
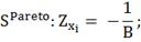
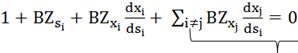
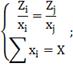
Пусть каждый из преступников получает:
,
тогда для всех районов города должно выполняться условие тождественного
равенства выигрышей для всех преступников в зависимости от их распределения по
районам городов, а также расходов на безопасность в каждом из районов города:
=
= … =
;
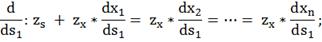
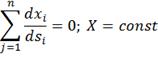
Возьмем районы 1 и 2 как базовые и покажем, как влияют инвестиции в
безопасность в первом районе на распределение преступников в обоих районах
города:
Поскольку суммарное количество преступников задано экзогенно, то есть:
, - поэтому имеет место следующее
соотношение:
Очевидно, что рост расходов на безопасность в первом районе приводит к
снижению количества преступников в нем и их перераспределению между другими
районами города, таким образом,
и
Исходя из этого, можно говорить о взаимосвязанности инвестиций в
безопасность среди разных районов города, а также перераспределении
преступников между ними. Другими словами, количество преступников в i-том районе города отрицательно
зависит от расходов на безопасность в этом районе и положительно от расходов на
безопасность окружающих его районов. Для двух районов города данные эффекты
можно изобразить графически (рис. 1), где
:
Рисунок 1. Перераспределение уровня преступности между районами города в
зависимости от изменения инвестиций в безопасность
Теперь используем предположение о том, что потери населения выше, чем
выигрыш преступников от ограбления, найдем равновесные стратегии поведения для
жителей каждого района города. Их основная цель состоит в минимизации потерь от
ограблений, а также расходов на безопасность. Запишем эти условия, а затем
найдем равновесие в модели (SPNE):
Условие первого порядка принимает следующий вид:
Руководствуясь этим правилом, жители каждого из районов города будут
оптимизировать свои расходы на безопасность, а принятые в рамках этого правила
решения будут влиять на распределение преступников внутри районов города. Для
того, чтобы понять, насколько эффективна такая модель поведения, сравним ее с
ситуацией общественного планировщика. Другими словами, представим, что жители
разных районов города координируют свои действия и минимизируют потери от
ограблений и затраты на безопасность всех жителей города сразу, а не жителей
отдельных районов. Такое равновесие будет оптимальным по Парето или первым
наилучшим.
по предположению о фиксированном количестве
преступников, а также влиянию расходов на безопасность:
Теперь предположим, что равновесие по Нэшу и Парето оптимум являются
симметричными. Покажем, что в данном случае оптимальные по Нэшу стратегии
поведения жителей разных районов города приводят к слишком высокому уровню
расходов на безопасность по сравнению с оптимальными по Парето (см. рис. 3).
Как хорошо видно на рисунке 2, при отсутствии кооперации инвестиции в
безопасность становятся слишком высокими. Кроме того, нам удалось показать, что
возникают два эффекта, которые обсуждались в начале главы: зеркальное
отображение трагедии общин, а также «гонка ко дну».
Рисунок 2.
Соотношение расходов на безопасность в двух типах равновесий: Нэш-равновесии и
Парето оптимуме
Именно наличие этих двух эффектов являются ключевыми причинами
распространения огораживания в современных городах. При этом важную роль играет
тот факт, что стоит хотя бы одному из районов города повысить расходы на
безопасность, как все прочие становятся насильно втянутыми в эту «гонку по
защите от преступников».
В заключение
хочется также отметить еще один возможный эффект, возникающий из-за
самостоятельных инвестиций населения в огораживание. Государственные органы,
которые сталкиваются с ситуацией активных частных инвестиций в безопасность,
понимая последствия таких действий населения, могут снижать расходы на
обеспечение государственной безопасности, то есть снижать расходы по
обеспечению деятельности полиции, предполагая, что это позволит им
оптимизировать бюджетные расходы, а недостаток государственного дополнит
частная инициатива в виде дальнейшего распространения огораживания.
Раздел 3.
Огораживание и клубные блага в Москве (case-study)
Как было отмечено в обзоре литературы, в России огораживание
распространено только в крупных городах, таких как: Москва, Санкт-Петербург, а
также городах-столицах регионов. Мотивы, объясняющие всю большую популярность
жизни за оградой, те же: прежде всего, желание жить в безопасности,
привлекательность клубных благ. Однако для российской действительности
характерна еще одна причина широкого распространения клубных благ и огороженных
домов - это слабость местных органов власти, которые не предоставляют
общественные блага должного качества и объемов, требуемых обществом. Более
того, если говорить о практике распространения огораживания в Москве, то
результаты социологических опросов населения показывают, что власти города
неохотно взаимодействуют с населением, не стремятся принимать во внимание нужды
и просьбы граждан (см. рис. 3 и 4). Отметим также, что в Москве наибольшую
популярность приобрели две формы закрытых сообществ: это элитное жилье и экономически
доступное жилье для среднего класса.

Источник: ФОМ, опрос москвичей: «Роль мнений горожан в работе московских
властей»,26 января-7 февраля 2013 г.
Как видно из рисунка 3, большинство жителей всех административных округов
города Москвы считают, что власти не учитывают мнение местного населения при
принятии решений по развитию города: в целом, можно сказать, что около 60%
населения убеждено, что мнение горожан не учитывается, и только 30% думают, что
власти учитывают пожелания местного населения.
Рисунок 4. Распределение ответов москвичей на вопрос: «Как Вы полагаете,
власти Москвы, принимая важные решения, должны прислушиваться к мнениям,
пожеланиям горожан больше или меньше, чем сейчас? Или московские власти
учитывают мнения горожан в той мере, в какой следует?»
Источник: ФОМ, опрос москвичей: «Роль мнений горожан в работе московских
властей»,26 января-7 февраля 2013 г.
Если посмотреть на распределение ответов на вопрос о том, в достаточной
ли степени власти города учитывают мнение горожан (рис. 4), то мы увидим, что
процент людей, считающих, что местным органам власти необходимо больше
учитывать интересы местного сообщества заметно превышает процент тех, кто
считает, что их интересы не учитываются органами власти. Данный факт может
свидетельствовать в пользу того, что даже те люди, чьи интересы учитываются при
принятии решений, убеждены, что это происходит в недостаточной степени.
Следовательно, имеет место ситуация, в которой взаимодействие между населением
и местными органами власти затруднено, возникающее недопонимание между агентами
приводит к принятию неэффективных решений по развитию городских территорий.
Люди перестают доверять местным властям в виду того, что они не учитывают их
мнение и принимают «неправильные» решения. Население теряет интерес к
взаимодействию с властями, а они в свою очередь становятся неподотчетными
населению. В результате у населения остается единственный выход: решать
накопившиеся городские проблемы собственными силами, что находит отражение в
распространении огораживания. Более того, урбанисты связывают распространение
огораживания в крупных российских городах с «культурой страха и недоверия»,
которая восполняет пробелы в законах и их исполнением возведением физических
барьеров (Melnikova, 2015).
Еще одним фактором, способствующим распространению огороженных территорий
в Москве, является низкий уровень гражданской культуры у населения города.
Именно из-за этого население не способно объединяться в масштабах всего
муниципального образования для решения городских проблем. Другими словами, в
Москве распространены формы закрытого, а не открытого социального капитала, что
приводит к формированию не гражданской культуры, а ТСЖ и ТОС локального
масштаба, когда люди заинтересованы в объединении в небольшие группы или
сообщества для решения конкретных задач. Причем эти конкретные задачи чаще
всего оставляют за рамками внимания вопросы районного масштаба. Отметим также,
что создание ТОС - крайне привлекательная альтернатива для граждан, так как
подобное объединение не требует формальной регистрации и образования
юридического лица как в случаях с ТСЖ и иными объединениями, это сокращает
временные издержки и снижает административные барьеры при организации
взаимодействия людей (И.Л. Шагалов 2015). Исследование, проведенное в городе Кирове,
показывает, что наибольшая доля ТОСов формируется на базе жителей одного или
нескольких соседних домов для решения абсолютно конкретных задач, среди которых
самая популярная - облагораживание и развитие придомовых территорий.
Примечательно, что, по мнению местных органов власти, самоорганизация местного
населения может быть полезна для них тем, что жители намного лучше знают, на
какие цели в первую очередь стоит тратить имеющиеся ресурсы. Таким образом,
ТОСы могут становиться информаторами для власти, если последняя готова к
сотрудничеству. Перенося результаты исследования в Кирове на московскую
действительность, отметим, что основания и механизм для формирования сообществ
те же самые, однако ТСЖ и ТОС не стали еще «помощниками» местных органов власти,
они по-прежнему остаются альтернативой местным органам власти.
В поисках ответа на вопрос о потенциале самоорганизации и способности
взаимодействия жителей города Москвы, обратимся серии опросов, которые могут
косвенно свидетельствовать о формировании именно локальных социальных связей.
Это опросы населения по теме «Соседство», а также «Жизнь районов». Отношение с
соседями у москвичей, в соответствии с опросом населения, проведенным ФОМ
весной 2014 года, складываются очень хорошо. Около 30% часто помогают своим
соседям, а те в ответ помогают им. Более 60% москвичей уверены, что лучший
вариант отношения с соседями - хорошие, но не очень близкие отношения, а 30%
процентов стараются поддерживать приятельские отношения со своими соседями.
Более половины москвичей сообщили, что доверяют своим соседям по подъезду.
Однако в случае активности участия населения в жизни их районов, ситуация
обстоит иначе. К сожалению, только 44% москвичей принимают участие в
мероприятиях районного значения, а более половины даже не следит за подобными
событиями. При этом четверть от них предпочитает посещать праздничные площадки.
Похвастаться участием в других мероприятиях, таких как: выборы, встречи с
представителями местных органов власти, спортивные мероприятия и прочее, -
смогли около 1-2% горожан. Только 6% населения Москвы участвуют в различных
районных мероприятиях на регулярной основе. На основании этих данных можно
говорить о том, что среди москвичей распространены социальные связи локального,
а не районного масштаба, а значит, преобладают формы закрытого социального
капитала, которые отвечают за взаимодействие с ближайшим окружением. Это в свою
очередь может объяснять распространение закрытых сообществ, как ответ на
неэффективную работу местных органов власти и попытки объединиться для решения
общих проблем.
В дополнение к сказанному также необходимо отметить, что за время
существования современной России в столице страны успела сформироваться
довольно внушительная по размерам прослойка «среднего класса». Доходы этой
социальной группы постоянно растут (см. рис.5), в то время как качество
предоставляемых в городе общественных услуг улучшается более медленными
темпами, чем этого хотели бы видеть местные жители. Таким образом, у жителей
города появляется желание и возможность улучшать свои жилищные условия
(Гипотеза Тибу), переезжая жить в закрытые сообщества.
Рисунок 5. Среднедушевые денежные доходы москвичей в месяц, 2000-2012 гг.
Все это позволяет сделать вывод о том, что появление частных/закрытых
сообществ является закономерным процессом развития общества, и смещения полюса
от коллективизма к индивидуализму. Слабость местных органов власти, которые не
способны удовлетворять спрос населения на общественные блага, такие как
адекватно и равномерно развитые городские территории, комфортные для
проживания, безопасность и многое другое, оставляют только один возможный выход
для выживания сообщества - подыскивать крупных инвесторов. В свою очередь
инвесторы и девелоперы заинтересованы, в основном, в масштабных проектах,
включающих не только жилищное строительство, но и возведение объектов,
позволяющих получать прибыль и быстрее возвращать свои вложения.
Повсеместное распространение закрытых жилищных комплексов является
отражением дефицита гражданской культуры, а также низкой подотчетности местных
органов власти населению. Привлекательность клубных благ растет с ростом
доходов населения, возрастанием их требований к развитию и обустройству
городской среды. При этом местные органы власти ограничены бюджетными
средствами, административными и иными барьерами, которые не позволяют улучшать
качество общественных благ теми же темпами, с какими изменяются предпочтения
населения. Вместе с этим местные органы власти готовы поддерживать
распространение ТСЖ и ТОС тем, что не изменяют качество предоставляемых услуг,
а также способствуют распространению домов за заборами, когда выдают разрешения
на строительство таких комплексов. Для местных органов власти такая практика
сопряжена с преимуществом, состоящим в том, что свои прямые обязанности по
предоставлению общественных благ они перекладывают на ТСЖ, которые занимаются
организацией предоставления локальных общественных благ, которые в результате
превращаются в клубные блага. Таким образом, для российской практики
огораживание и местные инициативы являются субститутами по отношению к
производимыми государственными органами локальными общественными благами.
Однако не только жители новых жилых комплексов могут быть огорожены от
внешнего мира. Российское законодательство позволяет огородиться любому дому,
не имеющему забора. Для этого необходимо пройти некоторые установленные
законодательством несложные процедуры, поэтому ключевым в данном случае
является непосредственно желание самих собственников жилых помещений в доме
ограничить доступ на прилежащую к их дому территорию. Более того, например, в
связи с недостатком парковочных мест в центре города Москвы и введением платных
парковок, использовать которые население не хочет, инициатива огородить дворы,
установив на въезде шлагбаумы, исходит от органов власти города. Они готовы
активно поддерживать население, выделяя щедрые субсидии на установку шлагбаумов
(до 70% стоимости устройства) при въезде на дворовую территорию. В целом,
данная ситуация свидетельствует о том, что население ищет альтернативы
общественным услугам, так как их цена и качество не соответствуют друг другу. В
свою очередь местные органы власти вместо того, чтобы улучшать качество работы,
насильно насаждают уровень и объемы уже имеющихся благ, возводя физические
преграды внутри города. Таким образом, создается еще один мост для дальнейшего
перекладывания решения городских проблем на население. Имеет место ситуация,
при которой и местные органы власти, и население видят решение городских
проблем в распространении частных сообществ. В результате можно ожидать
ухудшение качества городского управления, неэффективного использования
ресурсов, снижения уровня общественного благосостояния.
Первые негативные результаты такого решения уже появились. Поддержка
установки шлагбаумов в Москве местными органами власти привела к тому, что
несколько домов в Пресненском районе города утроили «шлагбаумное
противостояние». Суть проблемы заключается в том, что сначала один из трех
соседних домов отгородил шлагбаумами часть общего внутреннего двора и не
предоставил ключи от устройства своим соседям. Вслед за этим жители двух других
домов также установили шлагбаумы вплотную к уже установленным устройствам. В
результате общий двор трех домов оказался забаррикадирован шлагбаумами, которые
разделили его на три сектора. Теперь в этот двор не смогут заехать не только «чужаки»,
но и жители трех соседних домов, которые изначально имели общую дворовую
территорию. Местные органы власти в свою очередь описывают сложившуюся
ситуацию, как «странную» и надеются, что рано или поздно неудобства, созданные
жильцами трех домов, окажутся сильнее, чем желание оградить территорию именно
своего дома, и жильцы трех соседних домов смогут прийти к консенсусу. Мы же
отметим, что помимо неудобств для соседей, более важными являются неудобства,
причиняемые специальным службам, таким как: скорая помощь, пожарная служба,
полиция. Ведь каждая потерянная минута при работе этих служб может стоить людям
жизни, а значит, огораживание далеко не всегда имеет положительные последствие
даже для самих резидентов огородившихся домов.
Раздел 4.
Заключительные замечания
Подводя итоги проделанному исследованию, еще раз подчеркнем высокую
актуальность рассматриваемой темы. Проблема широкого распространения закрытых
(частных) сообществ в современных городах, которые становятся основными
поставщиками клубных благ и альтернативой государству как производителю
локальных общественных благ, находится на стыке нескольких дисциплин. С
экономической точки зрения данная проблема неглубоко изучена и именно поэтому
привлечение экономистов как исследователей частных сообществ наряду с
социологами, урбанистами, географами и архитекторами могла бы принести
серьезный практический вклад в изучение данного феномена. Одним из направлений,
на которое стоит обратить внимание, это сбор и работа с данными, которые могли
бы показать реальную экономическую эффективность/неэффективность
распространения таких объектов в городах. Ведь наличие таких исследований,
подтвержденных фактами и цифрами, могло быть использовано при развитии и
планировании городских территорий, что в свою очередь способствовало лучшему
функционированию экономики городов.
Данная работа дополняет класс теоретических работ, которые пытаются
объяснить распространение закрытых сообществ через спрос на более высокий
уровень безопасности, чем предоставляют органы государственной полиции. Таким
образом, в данной работе огораживание является следствием недовольства
качеством предоставления общественных благ, в основном безопасности. В ответ на
это люди предпочитают жить в более защищенных, чем обычные многоквартирные
дома, жилищных комплексах, которые по совместительству являются поставщиками
локальных общественных благ.
Среди множества негативных эффектов от распространения частных сообществ,
таких как перераспределение уровня преступности, потеря у населения интереса
участия в жизни города, снижение уровня гражданской культуры и других, мы хотим
подчеркнуть важность двух широко известных в экономике проблем, которые ранее
не соотносились с распространением огораживания. Речь идет о зеркальном
отражении проблемы под названием «трагедия общин» и, так называемой, «гонки ко
дну». Обе эти идеи связаны с тем, что огораживание приводит к слишком высокому,
неоптимальному с общественной точки зрения, уровню инвестиций в безопасность.
Таким образом, с одной стороны, население тратит больше средств, чем могло бы,
если бы имела место кооперация в рамках всего населения города, а не отдельных
районов. С другой стороны, как только жители одного района начинают
огораживаться, это неминуемо втягивает жителей всех других районов в данный
процесс, так как иначе преступники перетекают в менее огороженные районы.
Данная ситуация в некотором смысле напоминает «гонку вооружений» между разными
районами города. В результате в итоговом равновесии расходы на безопасность
слишком высоки, более того, чрезмерно высок уровень огораживания.
Изучение практики огораживания в Москве проведено с содержательной точки
зрения в виду отсутствия какой-либо статистики, которая позволила бы сделать
прямые выводы о том, как данный феномен влияет на социально-экономические
процессы, происходящие в городе. Однако даже такой анализ показывает, что для
столицы России, распространение закрытых сообществ является серьезной
проблемой, которая имеет длительную историю развития, причем ключевые факторы,
определяющие популярность огораживания в разные периоды времени отличаются, а
иногда накладываются друг на друга. Также важно отметить, что в отличие от
международной практики, в Москве идея огораживания имеет серьезную поддержку со
стороны властей города, которая выражается как в утверждении возведения
огороженных многоквартирных домов, так и, что более важно, финансировании
большей части затрат по установки шлагбаумов на въездах во дворы (частичное
огораживание территорий).
Нельзя не отметить, что наряду с глобальными причинами распространения
огораживания, затрагивающими все население городов в целом, существует ряд
«эгоистичных» причин роста спроса на огороженные жилые дома. Здесь речь идет о
том, что более богатые слои населения могут иметь предпочтения о проживании в
более богатых и дорогих домах, которые предоставляют дополнительные услуги,
такие как собственные парки, бассейны, магазины и иные опции из сферы услуг для
комфортного проживания и отдыха на территории, принадлежащей жильцам
многоквартирного дома. Наличие дополнительных сервисов повышает
привлекательность закрытых сообществ по сравнению с обычными жилыми домами, так
как говорит о том, что жители подобных комплексов получают чистые выгоды. На
данном этапе только выигрыш резидентов частных сообществ может быть рассмотрен
как однозначный положительный эффект распространения огораживания. При этом
негативные внешние эффекты с общественной точки зрения перевешивают выгоды
жильцов закрытых сообществ. Именно поэтому стоит с опаской допускать широкое
распространение огораживание в городах, так как количество негативных
последствий значительно больше, чем позитивных. Другими словами,
распространение частных сообществ внутри городской среды может
свидетельствовать о наличии социальных, культурных, экономических и
политических проблем и патологий.
На основе собранной и проанализированной информации необходимо
подчеркнуть, что децентрализация процесса производства и предоставления
локальных общественных благ может спускаться ниже уровня местных органов
власти, однако это непростой и рискованный по своей организации процесс, в
котором необходимо учесть интересы как самих будущих пользователей услуг, так и
их окружения, которое будет исключено из этого процесса. Необходимо
предусмотреть долгосрочные последствия такого решения на городское развитие, в
том числе эффективность работы органов власти, участие населения в политическом
процессе и прочих аспектах. Наличие чистых выгод для вовлеченных в
децентрализацию групп агентов не оспаривается, однако возможные внешние эффекты
от реализации подобного решения далеко не всегда очевидны и прозрачны, а также
могут иметь долгосрочную природу и выявляться не в ближайшие несколько лет
после принятия решения.
В таблице 3 просуммированы положительные и отрицательные эффекты
распространения закрытых (частных) сообществ.
Таблица 3
Положительные и отрицательные эффекты распространения закрытых (частных)
сообществ
|
Положительные эффекты
|
Отрицательные эффекты
|
|
Чистые выгоды для резидентов закрытых сообществ от доступа
к эксклюзивным услугам (клубным благам), из потребления которых исключена
оставшаяся часть сообщества
|
1. Переинвестирование в безопасность, слишком высокий
уровень огораживания в равновесии
|
|
2. Перераспределение уровня преступности, перемещение
преступников в менее богатые и как следствие менее огороженные районы
|
|
3. Потеря интереса населения к участию в общественной
деятельности, снижение гражданской культуры, чрезмерное накопление закрытых
форм социального капитала, препятствующих эффективному городскому развитию и
социально-экономическому взаимодействию
|
|
4. Дальнейшее снижение качества городского управления и
эффективности работы органов власти
|
|
5. Ухудшение качества работы полиции из-за вытеснения
государственных способов обеспечения безопасности частными
|
|
6. Усиление сегрегации и напряженности в обществе из-за
разделения людей по принципу «свой-чужой»
|
Список
используемой литературы
Зарубежные источники:
1. Alchian,
A. (1950). Uncertainty, Evolution and Economic Theory. Journal of Political
Economy, 58(3), 211-221.
2. Verba
S., Almond G. The civic culture //Political Attitudes and Democracy in Five
Nations. - 1963.
. Hayek,
F. (1973). Law, Legislation and Liberty, vol. 1: Rules and Order, Chicago:
University of Chicago Press.
. Clotfelter
C.T. Public services, private substitutes, and the demand for protection
against crime // The American Economic Review. - 1977. - Т. 67. - №5. - С.
867-877.
. Clotfelter
C.T. Private security and the public safety // Journal of urban economics. -
1978. - Т. 5. - №3. - С. 388-402.
. Hakim
S., Ovadia A., Weinblatt J. Crime attraction and deterrence in small
communities: theory and results // International Regional Science Review. -
1978. - Т. 3. - №2. - С. 153-163.
. Hakim
S. The attraction of property crimes to suburban localities: A revised economic
model // Urban Studies. - 1980. - Т. 17. - №3. - С. 265-276.
. Buck
A.J., Hakim S., Spiegel U. The natural rate of crime by type of community
//Review of Social Economy. - 1985. - Т. 43. - №2. - С. 245-259.
. Deutsch
J., Hakim S., Weinblatt J. A micro model of the criminal's location choice //
Journal of Urban Economics. - 1987. - Т. 22. - №2. - С. 198-208.
. Ostrom,
Elinor. 1990. Governing the Commons: The Evolution of Institutions Jbr
Collective Action.New York: Cambridge University Pr-ess.
. Feder,
G., and D. Feeny. 1991. “Land Tenure and Property Rights: Theory and
Implications for Development Policy.” World Bank Economic Review 5(1):135-53.
. Malik,
A., and R. Schwab. 1991. “Optimal Investments to Establish Property Rights in
Land.” Journal of Urban Economics 29(295):309.
. De
Meza, D., and J. Gould. 1992. “The Social Efficiency of Private Decisions to
Enforce Property Rights.” Journal of Political Economy 100(3):561 -80.
. Buck
A.J., Hakim S., Rengert G.F. Burglar alarms and the choice behavior of
burglars: A suburban phenomenon // Journal of Criminal Justice. - 1993. - Т.
21. - №5. - С. 497-507.
. Putnam,
R. (1993). Making Democracy Work: Civic Tradition in Modern Italy. Princeton
University Press.
. Holcombe
R.G., Foldvary F. Public Goods and Private Communities: The Market Provision of
Social Services. - 1994.
. McKenzie,
E. (1994). Privatopia: homeowner associations and the rise of residential
private government. New Haven, CT: Yale University Press.
. Epple
D., Romano R.E. Public provision of private goods //Journal of Political
Economy. - 1996. - С. 57-84.
. Blakely
E., Snyder M. Fortress America (Washington, Brookings Institution). - 1997.
. Edward
Blakely, Mary Snyder (1997), Divided We Fall: Gated and Walled Communities in
the Unated States, Architecture of Fear. Nan Ellin, ed. New York: Princenton
Architecture Press, 1997;
. Helsley
R.W., Strange W. C. Gated communities and the economic geography of crime
//Journal of Urban Economics. - 1999. - Т. 46. - №1. - С. 80-105.
22. Caldeira T. (2000) City of
Walls. Crime, Segregation and Citizenship in São Paulo. University of
California Press, Berkeley, CA.
. Ostom
E., 2000 «Collective action and the Evolution of Social Norms.» Journal of
Economic Perspectives 14 (3), 137-158.
. Chris
Webster (2001), Gated Cities of Tomorrow, The Town Planning Review, April 2001,
72 (2), pp. 149-170;
. James
DeFilippis (2001), The Myth of Social Capital in Community Development, Housing
Policy debate, 2001, 12 (4), pp.781-806;
. Rowland
Atkinson, John Flint, Fortress UK? Gated Communities, the Spatial Revolt of the
Elites and Time-Spaces Trajectories of Segregation, Housing Studies, November
2004, 19 (6), pp.875-892;
. Renaud
Le Goix (2005), Gated Communities: Sprawl and Social Segregation in Southern
California. Housing Studies, Taylor&Francis, 2005, 20 (2), pp.323-343;
. Toy
Manzi, Bill Smith Bowers (2005), Gated Community as a Club Goods: Segregation
or Social Cohesion? Housing Studies, March 2005, 20 (2), pp.345-359;
. Kevin
Roming, The Upper Sonoran Lifestyle: Gated Communities in Scottsdate, Arisona
. Rowland
Atkinson, Sarah Blandy (2005), Introduction: International Perspectives on The
New Enclavism and the Rise of Gated Communities, Housing Studies, March 2005,
20 (2);
. Fulong
Wu (2005), rediscovering the «Gate» Under Market Transition: From Work-unit
Compounds to Commodity Housing Enclaves, Housing Studies, March 2005, 20 (2),
pp.235-254;
. Jill
Grant (2005), Planning Responses to Gated Communities in Canada, Housing
Studies, March 2005, 20 (2), pp.273-285;
. Manzi,
T., Smith-Bowers, B. (2005). Gated communities as club goods: segregation or
social cohesion? Housing Studies, 20(2), 345-359.
. Saran
Blandy, Diane Lister (2005), Gated Communities: (Ne)Gating Community
Development? Housing Studies, March 2005, 20 (2), pp.278-301;
. Georg
Glaze (2005), Some Reflections on the Economic and Political Organization of
Private Neighborhoods, Housing Studies, March 2005, 20 (2), pp.221-233;
. Guy
Thullier (2005) Gated Communities in the Metropolan Area of Buenos Aires,
Argentina: A Challenge for Town Planning, Housing Studies, March 2005, 20 (2),
pp.255-271;
. Evan
McKenzie (2005), Constructing the Pomerium in Las Vegas: a Case Study of
Emerging Trends in American Gated Communities, Housing Studies, March 2005, 20
(2), pp.187-203;
. Davis
M. City of Quartz: Excavating the Future in Los Angeles (New Edition). - Verso
Books, 2006.
. Mikhail
Blinnikov, Andrey Shanin, Nikolay Sobolev, Ludmila Volkova (2006), Gated
Communities of the Moscow Green Belt: Newly Segregated Landscape and the
Suburban Russian Environment, GeoJournal, 2006, 66 (1/2), pp.65-81;
. Sebastian
Lentz (2006), More Gates, Less Community? Guarded Housing in Russia
. Renuad
Le Goix, Chris Webster (2008), Gated Communities. Geography Compass,
Wiley-Blackwell, 2008;
. Roitman,
S. (2010). Gated communities: definitions, causes, and consequences. Urban Design
and Planning, 163(1), 31-38.
. Eshuis
J., Klijn E.H., van Twist M. Housing enclaves: Security in gated communities or
mainly a pleasant living environment? //Journal of Town&City Management
Vol. - 2011. - Т. 2. - №1. - С. 00-00.
. Low,
S., Donovan, G., Gieseking, J. Shoestring democracy: gated condominiums and
market-rate cooperatives in New York. (2011). Journal of Urban Affairs, 34(3),
279-296.
. Zotova,
M. (2012). Emergence of gated communities in Russia: Causes and consequences.
L’Espace Politique, 17(2), 1-15.
. Blackstone
E.A., Hakim S. Competition versus monopoly in the provision of police
//Security journal. - 2013. - Т. 26. - №2. - С. 157-179.
. Woo,
Y., Webster, Ch. (2014). Co-evolution of gated communities and local public
goods. Urban Studies, 51(2), 2539-2554.
. Menyashev,
R., Polishchuk, L. (2015). Social capital and governance: Bright and dark
sides. Mimeo.
. Melnikova,
X. (2015). Why there are so many fences in Moscow and how to get rid of them?
(In Russian). The Village, June 18.
Отечественные источники:
51. Шагалов
И.Л. Особенности влияния социального капитала объединений по месту жительства
на городское развитие // Журнал новой экономической ассоциации. 2014. Т. 22.
№2. С. 133-151.
52. Шагалов
И.Л. Оценка эффективности института самоорганизации граждан по месту жительства
// В кн.: XV Апрельская международная научная конференция по проблемам развития
экономики и общества: в 4-х книгах / Отв. ред.: Е.Г. Ясин. Кн. 2. М.:
Издательский дом НИУ ВШЭ, 2015.
. Шагалов
И.Л. ТОС: альтернатива или помощник городской власти? // ЭКО. 2015. №4.