Статистика уровня жизни населения
Минобрнауки
ГБОУ
ВПО Тверской государственный технический университет
Кафедра
"Информационные системы"
КУРСОВАЯ
РАБОТА
по
дисциплине СТАТИСТИКА
тема
«Статистика уровня жизни населения»
Оглавление
Введение
Глава 1. Теоретические
аспекты уровня и качества жизни населения
.1 Понятие уровня и
качества жизни населения
.2 Показатели уровня и
качества жизни населения
.3 Краткая
характеристика социальной политики РФ
. Расчетная часть
Задание 1
Задание 2
Задание 3
Задание 4
Задание 5
Задание 6
Задание 7
Заключение
Список использованной
литературы
Введение
Основным показателем общественного
развития является уровень жизни населения, который характеризует эффективность
проводимой государством социальной и экономической политики и уровень
общественного развития.
Социальная политика - одно из
важнейших направлений государственного регулирования экономики. Поскольку
конечной целью деятельности государства является достижение высокого уровня
благосостояния общества и создание условий для его дальнейшего развития,
социальная политика имеет самое непосредственное отношение к решению этой
задачи. Государственная политика Российской Федерации в области социальной
поддержки граждан формируется в соответствии с Конституцией РФ.
Главной задачей государства является
улучшение качества и уровня жизни населения путем снижения бедности. Для этого
проводится целый ряд мероприятий, которые направлены на преодоление бедности, а
именно необходимо иметь достаточно точную и обширную статистическую базу данных
о доходах населения и жилищных условий по каждой области и стране в целом.
Существующие различные подходы к
определению понятия уровня жизни населения сформулированы в двух основных
подходах к его определению - по уровню потребления и степени удовлетворения
потребностей. Л.А. Еловиков отмечает: «Уровень жизни можно определить как
степень удовлетворения потребностей населения».
Используется ряд показателей,
характеризующих жизненный уровень населения: условия жизни, благосостояние,
качество жизни, стоимость жизни и т.д. Как представляется, различие в этих
показателях обусловлено, прежде всего, кругом показателей, их определяющих.
В основе социально-экономического
развития лежат потребности. Поведение человека всегда направлено на
удовлетворение потребностей, даже если они принимают какие-либо иррациональные
формы. Без потребности человек не имел бы стимула к действию.
Под потребностью понимается нужда в
чем-либо необходимом для поддержания жизнедеятельности организма, человеческой
личности, социальной группы, общества в целом.[3]
Сегодня развитие экономики России во
многом зависит от решения проблем уровня жизни населения и факторов, которые
определяют его динамику. От их решения во многом зависит направленность и темпы
дальнейших преобразований в стране, а именно политических и экономических.
Решение этих проблем требует государственной поддержки, центральным моментом
которой должен быть человек, его благосостояние, физическое и социальное
здоровье.
Иногда наряду с категорией уровня
жизни используется более широкое понятие качества жизни. Это обобщающая
социально-экономическая категория, включающая в себя не только показатели
уровня жизни, но и степень удовлетворения духовных потребностей, условия среды,
окружающей человека, состояние морально-психологического климата, душевного
комфорта. Не все из перечисленных показателей поддаются статистическому
измерению, что осложняет оценку качества жизни в стране. Этим обусловлена
актуальность выбранной темы курсовой работы.
Целью курсовой работы является
изучение статистических методов исследования уровня и качества жизни населения.
Для достижения поставленной цели
необходимо решение следующих задач:
изучить понятия «уровня жизни
населения» и «качества жизни населения»;
исследовать систему показателей
статистики уровня жизни населения;
изучить статистические методы, на
основе которых будет производиться анализ уровня и качества жизни населения;
выполнить практическое задание.
Объект исследования
-социально-экономические процессы, происходящие на территории РФ.
Предметом исследования является
система показателей, характеризующих уровень и качество жизни населения.
Информационная база представлена
статьями, учебно-методическими пособиями, материалами сети Интернет и
результатами собственных вычислений.
Курсовая работа состоит из введения,
двух глав, заключения, списка используемой литературы.
Глава 1. Теоретические аспекты
уровня и качества жизни населения
.1 Понятие уровня и качества жизни
населения
Уровень жизни - степень
удовлетворения материальных и духовных потребностей людей массой товаров и
услуг, используемых в единицу времени.[5]
Уровень жизни - сложная категория,
которая связывает множество аспектов, а именно степень удовлетворения
потребностей населения в материальных благах, бытовых и культурных условий, а
также возможности людей в их удовлетворении. Это и производная состояния
здоровья, уровня образования, культуры и др.
Уровень жизни населения
характеризуют следующие статистические показатели [4]:
доходы населения (реальные и
располагаемые, совокупные, личные, денежные, средний доход, средний размер
реальной заработной платы, средний размер пенсии, стипендии, пособия и др.);
расходы и потребление населением
материальных благ и услуг (общий объем потребления, денежные расходы населения,
потребительские расходы, потребление основных продуктов питания, покупательная
способность средней заработной платы и др.);
денежные сбережения;
накопления имущества и
обеспеченность жильем;
дифференциация доходов населения
(распределение населения по потреблению продуктов питания, промышленных товаров
и услуг и др.)
уровень и границы бедности
(прожиточный минимум, минимальный потребительский бюджет, минимальный размер
заработной платы и пенсии, покупательная способность минимальной заработной
платы и пенсии, коэффициент бедности, дефицит дохода, зона бедности, социальный
портрет бедности);
демографические характеристики
(рождаемость, смертность, естественный прирост, средняя продолжительность жизни
и др.);
обобщающие показатели (индекс
стоимости жизни, валовой национальный продукт (ВНП), валовой внутренний продукт
(ВВП), фонд потребления, фонд личного потребления на душу населения и др.)
Переход всей экономики нашей страны
на рыночные формы хозяйствования совершается в большей степени за счет
социальной сферы, а это проявляется в ухудшении демографической ситуации и
падении уровня и качества жизни большинства населения, а именно все больше
людей теряют здоровье, снижается рождаемость, сокращается продолжительность
жизни и т. д.
Следовательно, уровень и качество
жизни населения неразрывно связано с возможностью людей удовлетворять свои
потребности, а это требует постоянного определенного дохода. Основным доходом
населения Российской Федерации является заработная плата.
Использование статистики в
исследовании уровня и качества жизни населения способствует решениюмногих
задач, основной из которых является получение статистических данных об уровне и
качестве жизни населения с целью их повышения.
.2 Показатели уровня и качества
жизни населения
Качества жизни характеризуют
следующие виды индикаторов
Рис. 1 Виды индикаторов
Уровень жизни населения в основном
характеризуется структурой ВВП и структурой личных потребительских доходов.
Обобщающие показатели уровня жизни в
таблице 1:
Таблица 1
|
Показатель
|
Структурные составляющие
|
|
Макроэкономические показатели:
|
ВВП, ЧНП; номинальные (НД) и реальные доходы населения (РД);
демографические показатели; продолжительность рабочей недели; свободное
время; уровень инфляции и др.;
|
|
Микроэкономические показатели:
|
относятся важнейшие потребности на уровне индивида.
|
Сущность «уровня жизни»
характеризуется следующими показателями (таблица 2):
Таблица 2
|
Показатель
|
Сфера использования
|
|
прямые
|
непосредственная характеристика уровня жизни населения
|
|
косвенные
|
Косвенная характеристика уровня жизни
|
Расчетные данные показателя «уровня
жизни» характеризуют следующие показатели (таблица 3):
Таблица 3
|
Показатель
|
Характеристика
|
|
уровневые
|
абсолютные значения
|
|
структурные
|
те, которые составляют основу уровневых показателей
|
|
динамические
|
относительные значения
|
Уровень и качество жизни населения
тесно связаны с их потребностями. Соответственно выделяют следующие группы
потребностей:
Рис. 2 Виды потребностей.
К важнейшим показателям уровня жизни
населения относят: достаток, бедность, нищету. Рассмотрим каждый из них в
отдельности и дадим им характеристику (таблица 4).
Таблица 4
|
достаток
|
бедность
|
нищета
|
|
пользование благами для полного развития человека
|
потребление благ на уровне сохранения работоспособности
|
минимально допустимый набор материальных благ и услуг, который
позволяет поддерживать лишь жизнедеятельность человека
|
Все показатели уровня жизни
населения в объединены в следующую систему: [10]
) демографические характеристики
населения:
коэффициент рождаемости равен
отношению количества родившихся детей за отчетный год к среднегодовой
численности населения за указанный период, умноженное на 1000 ‰(в промиллях):
|
Значение
|
Шкала значений
|
|
<16%
|
низкое
|
|
16-24%
|
среднее
|
|
25-29%
|
выше среднего
|
|
30-40%
|
высокое
|
|
>40%
|
очень высокое
|
коэффициент смертности равен
отношению количества умерших за отчетный год к среднегодовой численности
населения за указанный период, умноженное на 1000‰(в промиллях):
|
ЗначениеШкала значений
|
|
|
<7%
|
очень низкое
|
|
7-10%
|
низкое
|
|
11-15%
|
среднее
|
|
16-20%
|
высокое
|
|
 21%очень высокое
|
|
коэффициент естественного прироста
равен отношению разности числа родившихся и числа умерших за отчетный год к
среднегодовой численности
населения за указанный период,
умноженное на 1000‰(в промиллях):
|
ЗначениеШкала значений
|
|
|
«-»
|
смертность превышает рождаемость
|
|
«+»
|
рождаемость превышает смертность
|
коэффициент Покровского (коэффициент
жизнеспособности) равен отношению числа родившихся к числу умерших за отчетный
год, умноженное на 100%:
|
ЗначениеШкала значений
|
|
|
<100%
|
снижение численности населения
|
|
>100%
|
рост численности населения растет
|
д. индекс ожидаемой
продолжительности жизни:

,
где 
- фактический уровень
ожидаемой продолжительности жизни при рождении.
Образование и культура.
индекс достигнутого
уровня образования равен сумме 2/3 индекса грамотности старшего поколения (
-это население от 25 лет
и старше - их примерно 2/3 всего населения при продолжительности жизни 85 лет и
1/3 индекса совокупной доли учащихся начальных, средних и высших учебных
заведений (
это население до 25 лет
- их примерно 1/3 всего населения за указанный промежуток времени:

+
,
Где xграм- фактическая
грамотность взрослого населения, уч- фактическая совокупная доля учащихся.
Доходы и расходы
населения:
индекс номинальных
доходов равен отношению показателей за отчетный и базисный периоды:
и представляет собой
фактический доход полученный в видезаработной платы, прибыли, процентов, ренты
и т.д.
индекс реальных доходов
равен отношению индекса номинальных доходов к индексу цен:

или 
и определяется
количеством товаров и услуг, приобретенных на сумму номинального дохода.
индекс переменного
состава определяет зависимость уровня заработной платы от заработной платы
каждого работника и структуры работников и вычисляется по формуле:

;
индекс постоянного
состава определяет зависимость средней заработной платы от изменения заработной
платы каждого работника и вычисляется по формуле:

;
индекс структурных
сдвигов определяет зависимость изменения структуры работников от изменения
средней заработной платы и вычисляется по формуле:

.
Стоимость жизни и
потребительские цены.
индекс покупательной
способности (ИПС) рубля обратно пропорционален индексу потребительских цен и
вычисляется по формуле:

.
индекс реальных
располагаемых денежных доходов (ИРРДД) равен отношению реально располагаемых
доходов в отчетном году к реально располагаемым доходам в базисном году и
вычисляется по формуле:
показатель покупательной
способности денежных доходов (ППСДД) равен отношению среднедушевого денежного
дохода к средней цене товара за указанный период и вычисляется по формуле:

.
индекс потребления
отдельных видов товаров (ИПТ) равен отношению объема потребления указанного
товара в натуральном выражении в отчетном году к объему потребления указанного
товара в натуральном выражении в базисном году и вычисляется по формуле:

.
индекс среднедушевого
потребления товара (ИСДПТ) равен отношению среднедушевого потребления
указанного товара за отчетный год к среднедушевому потреблению указанного
товара за базисный год и вычисляется по формуле:

,
где 
средняя численность
населения за соответствующий отрезок времени в отчетном и базисном периоде.
сводные индексы на
основе стоимостных показателей равен отношению произведения объема потребления
указанного товара в отчетном году (
на сопоставимую цену
товара базисного года (
) к произведению объема
потребления указанного товара в базисном периоде (
на сопоставимую цену
товара в базисном году (
) и вычисляется по
формуле:
индекс потребительских
цен (ИПЦ) равен отношению произведения объема потребления указанного товара в
отчетном году (
на сопоставимую цену
товара отчетного года (
) к индексу
потребительских цен (
:
сводный индекс
потребления на душу населения:
Показателями
дифференциации доходов населения являются:
модальный доход - часто
встречающее значение уровня дохода в исследуемой совокупности;
медианный доход -
уровень дохода, делящий исследуемую совокупность пополам, тем самым делящее
население на две части: с доходом выше (ниже) медианного;
коэффициент концентрации
(коэффициент Лоренца);
шкала значений: от 0 до
1.
коэффициент Джинни;
шкала значений: от 0 до
1.
Коэффициенты Лоренца и
Джинни имеют графическое изображение
Также применяется индекс
человеческого развития(ИЧР), который характеризует способность государства
предоставлять экономические и социальные возможности для развития индивида, а
также возможность формировать в общественном сознании понимание ответственности
человека перед обществом.
К показателям уровня
жизни относится показательуровня ВВП на душу населения, который применяется в
международных сравнениях. Согласно размеру ВВП все страны мира можно разделить
на:
свыше 8625 долл. -
страны с высоким доходом;
сот 695 до 8625 долл. -
страны со средним доходом;
менее 695долл. - страны
с низкими доходами.
.3 Краткая
характеристика социальной политики РФ
В таблице 5.
представлена динамика рождаемости и смертности населения в 2015 г.
Таблица 5 Динамика рождаемости
и смертности населения с 2006 по 2015 годы (см. приложение 1) [14]
|
Год
|
Всего, человек
|
|
родившихся
|
умерших
|
естественный прирост
|
|
2006
|
1479637
|
2166703
|
-687066
|
|
2007
|
1610122
|
2080445
|
-470323
|
|
2008
|
1713947
|
2075954
|
-362007
|
|
2009
|
1761687
|
2010543
|
-248856
|
|
2010
|
1788948
|
2028516
|
-239568
|
|
2011
|
1796629
|
1925720
|
-129091
|
|
2012
|
1902084
|
1906335
|
-4251
|
|
2013
|
1895822
|
1871809
|
24013
|
|
2014
|
1942683
|
1912347
|
30336
|
|
2015
|
1940579
|
1908541
|
32038
|
Из таблицы видно, что показатели
рождаемости и смертности в 2015 г. сохранились практически на уровне 2014 года.
Изобразим графически динамику
рождаемости и смертности населения.
Рис.3. Динамика рождаемости и
смертности населения РФ
Согласно представленным данным можно
сделать следующие выводы:
С 2010 года доля женщин в возрасте
20-29 лет сокращается, что приводит к сокращению уровня рождаемости. В
2010-2014 гг. численность женщин в возрасте 20-29 лет уменьшилась на 11,5%.
Численность умерших в 2015 г.
сократилась на 0,1.
Естественный прирост в 2015 г.
составил +32,7 тыс. человек.
Ожидаемой продолжительности жизни
при рождении в 2015 г. составила 71,07 года, при чем у мужчин 65,92 года, а у
женщин - 76,71 года.
Численность постоянного населения РФ
на 1 января 2016 г. составила 146,5 млн. человек.
Численность населения увеличилась на
0,1% за счет естественного и миграционного приростов.
год характеризуется следующими
темпами экономического развития, а именно:
ВВП - 96,3%, сокращение на 3,7%;
ИПП - 96,6%, сокращение на 3,4%
ИПЦ - 115,5%, рост на 15,5%;
среднедушевые денежные доходы
населения выросли на 10,1%
реальные располагаемые денежные
доходы населения сократились на 4,0%.
На рис. 4. представлена динамика
денежных доходов (см. приложение 2). [14]
Рис. 4. Динамика денежных доходов
населения, тыс. руб.
Среднемесячная номинально
начисленная заработная плата в 2015 г. равна 34029,5 руб. в среднем на 1
работника в месяц, что характеризуется увеличением на 4,5%, но при этом
реальная начисленная заработная плата имеет тенденцию к снижению, что составило
9,3 %.
Средний размер назначенных пенсий за
2015 г. равен 11986 руб., что показывает рост на 11,1%, но при этом реальный
размер назначенных пенсий терпит снижением на 3,8%.
На рис. 5 представлена динамика
назначенных пенсий с 2011 по 2016 гг.
Рис. 5. Динамика назначенных пенсий,
руб.
Структура денежных доходов населения
в 2015 году имеет следующие изменения:
заработная плата труда возросла на
0,2%;
социальные выплаты увеличилисьна
0,1%;
доходы от предпринимательской
деятельности снизились на 1,1%.
доходы от собственности возросли
на0,8%.
Величина прожиточного минимума на
душу населения в 2015 г. составила 9701 руб., в том числе для трудоспособного
населения - 10455 рублей, пенсионеров - 7965 рублей, детей - 9472 рубля (см.
приложение 7).[20]
Структура денежных расходов
населения в 2015 году также терпит изменения:
) расходы на покупку товаров и услуг
снизились на 4%;
) расходы на оплату обязательных
платежей и взносов снизились на 0,6%;
) расходы на сбережения увеличились
в 2 раза и составили 14,1%.
В таблице 2. представлена динамика
численности населения, имеющего высшее образование по возрастам согласно
всероссийской переписи населения 2002 и 2010 гг.
Согласно данным 2010 года,
наибольшая численность населения, имеющая высшее образование принадлежит
возрастной категории 24-34, что сравнительно ниже в 2002 году в той же
категории (см. приложение 4).
Таблица 6
Численность лиц, имеющих высшее
образование
|
Возраст населения, лет
|
Численность населения, тыс. человек
|
Число лиц, имеющих высшее образование на 1000 чел. населения
|
|
2002
|
2010
|
2002
|
2010
|
|
15-24
|
16122
|
15176
|
13299587
|
2227381
|
|
25-34
|
24712
|
24631
|
4272484
|
7697864
|
|
35-44
|
21006
|
21318
|
4776221
|
5376104
|
|
45-54
|
20097
|
19549
|
4302286
|
5101281
|
|
55-64
|
20133
|
20538
|
2437208
|
3811635
|
|
65 и старше
|
19805
|
20349
|
1891479
|
271968
|
Социальная поддержка граждан с
каждым годом становится все более индивидуальной. Каждый субъект РФ
устанавливают свои региональные дополнительные меры по оказанию социальной
поддержки для разных категорий граждан.
2. Расчетная часть
Задание 1. Расчет индексов
переменного, фиксированного состава и структурных сдвигов
Определить индексы переменного,
фиксированного состава и структурных сдвигов по данным:
|
N предприятия
|
Произведено продукции,тыс.
|
Себестоимость единицы продукции, тыс. руб.
|
|
Базисный период
|
Текущий период
|
Базисный период
|
Текущий период
|
|
1
|
360
|
1000
|
6,8
|
7
|
|
2
|
258
|
960
|
10,3
|
10,2
|
|
3
|
114
|
690
|
4,2
|
5
|
Решение:
Составим расчетную таблицу
|
N
|
Произведено продукции,тыс.
|
Себестоимость единицы продукции, тыс. руб.
|
Расчетная часть
|
Текущий период qit
|
Базисный период pi0
|
Текущий период pit
|
pit*qit
|
pi0*qi0
|
pi0*qit
|
|
1
|
360
|
1000
|
6,8
|
7
|
7000
|
2448
|
6800
|
|
2
|
258
|
960
|
10,3
|
10,2
|
9792
|
2657,4
|
9888
|
|
3
|
114
|
690
|
4,2
|
5
|
3450
|
478,8
|
2898
|
|
ИТОГО
|
732
|
2650
|
21,3
|
22,2
|
20242
|
5584,2
|
19586
|
Индекс переменного состава:
Таким образом, средняя себестоимость
изделия отчетного периода по сравнению с базисным увеличилась на 0,1%, т.е.
практически не изменилась (100,1 - 100).
Индекс постоянного (фиксированного)
состава:
Таким образом, изменение
себестоимости на каждом предприятии увеличило среднюю себестоимость на 3 % (103
- 100).
Индекс структурных сдвигов:
Таким образом, средняя себестоимость
уменьшилась на 3 % (97 - 100) за счет изменения структуры производства.
При этом справедливо равенство:
Задание 2. Базисные и цепные индексы
переменного и постоянного состава
уровень жизнь индекс цена
По следующим данным построить
системы сводных:
а) базисных индексов с постоянными
весами;
б) базисных индексов с переменными
весами;
в) цепных индексов с постоянными
весами;
г) цепных индексов с переменными
весами.
|
Вид продукции
|
1993
|
1994
|
1995
|
|
Себестои- мость единицы продукции, руб. p93
|
Коли- чество единицы продук- ции, шт. q93
|
Себестои- мость единицы продукции, руб. p94
|
Коли- чество единицы продук- ции, шт. q94
|
Себесто- мость единицы продукции, руб. p95
|
Коли- чество единицы продук- ции, шт. q95
|
|
А.
|
9,3
|
201
|
321
|
253
|
430
|
263
|
|
Б.
|
39,9
|
205
|
1017
|
161
|
1207
|
121
|
|
В.
|
2,7
|
59
|
86
|
120
|
109
|
181
|
Решение:
Для расчета индексов используются
следующие формулы:
а) Расчет системы базисных индексов
с постоянными весами:
б) Расчет системы базисных индексов
с переменными весами
в) Расчет системы цепных индексов с
постоянными весами
г) Расчет системы цепных индексов с
переменными весами
Задание 3. По следующим данным
физического товарооборота и стоимости продукции рассчитать индексы цен
Физического товарооборота;
Цен;
Стоимость продукции.
Проанализируйте полученные данные.
Исходные данные:
|
Товар
|
Себестоимость проданной продукции (млн. руб.)
|
Индивидуальный индекс цен
|
|
июль
|
август
|
|
|
картофель
|
36
|
100
|
1,2
|
|
молоко
|
9
|
25
|
1,4
|
|
яйцо
|
45
|
155
|
0,9
|
Решение:
Для расчетов используются следующие
формулы:
) Расчет индекса физического объема
товарооборота:
Объем трех видов продукции
увеличился на 204%
) Расчет индекса цены:
Цены на три вида продукции
увеличились на 2%
Расчет индекса стоимости продукции:
Товарооборот увеличился на 211%
Задание 4. Индексы затрат времени на
производство продукции, физического объема продукции и трудоемкости
Рассчитайте по следующим данным
индексы:
а) затраты времени на производство
продукции;
б) физического объема продукции;
в) трудоемкости.
|
Вид продукции
|
Количество произведенной продукции
|
Трудоемкость производства единицы продукции
|
|
1 квартал
|
2 квартал
|
1 квартал
|
2 квартал
|
|
А.
|
124,5
|
555
|
1,17
|
1,13
|
|
Б.
|
96
|
439
|
1,23
|
1,14
|
|
В.
|
162,6
|
622
|
1,81
|
1,77
|
Решение:
Для расчетов индексов используются
следующие формулы:
Расчет индекса затрат времени на
производство продукции:
Затраты времени на производство
продукции в результате изменения объема ее производства увеличились на 299%.
Расчет индекса физического объема
продукции:
Затраты времени на производство
продукции в результате изменения объема ее производства увеличились на 315%.
Расчет индекса трудоемкости:
Затраты времени на производство
продукции в результате изменения ее трудоемкости уменьшились на 4 %.
Задание 5. Рассчитать индекс цен
) Пааше;
) Фишера;
) Ласпейреса;
) Лоу
по данным о структуре продаж в
базисном и текущем периодах:
|
Вид товара
|
Базисный период
|
Текущий период
|
|
Цена за единицу товара, тыс. руб., pi0
|
Продано товара, шт. qi0
|
Цена за единицу товара, тыс. руб., pit
|
Продано товара, шт. qit
|
|
А
|
134,7
|
2618
|
864
|
1713
|
|
Б
|
9
|
911
|
34
|
2347
|
|
В
|
4,8
|
608
|
27
|
4106
|
Решение:
Для расчетов индексов цен
используются следующие формулы:
Формула Ласпейреса:
Формула Пааше:
Формула Лоу:
Формула Фишера:
Задание 6. Расчет показателей
статистики населения
На основе данных определить:
) среднегодовую численность
населения;
) число родившихся и умерших;
) естественный прирост населения за
год;
) коэффициенты естественного,
механического и общего прироста населения.
|
Численность населения на начало года, чел.
|
Численность населения на конец года, чел.
|
Коэффициент рождаемости ‰
|
Коэффициент смертности ‰
|
|
85890
|
287000
|
20,3
|
10,7
|
Решение:
Для расчета используются следующие
формулы.
) Среднегодовая численность
населения:

чел.
) Расчет числа
родившихся

чел.
) Расчет числа умерших:

чел.
) Расчет коэффициента
естественного прироста населения за год (в промилле - ‰)
Расчет коэффициента
общего прироста населения:
Расчет коэффициента
механического прироста населения:
Задание 7. Расчет
показателей статистики основных фондов
Известны данные об
основных промышленно-производственных фондах за отчетный год:
|
Полная перво началь наястои мость ОФ на начало года (млрд. руб.)
|
Износ (%)
|
Введено ОФ (млрд. руб.)
|
Получено ОФ от других предприятий по остаточной стоимости (млрд.
руб.)
|
Их из нос на мо мент пос тупления (%)
|
Выбыли ОФ
|
Сто имостькапи тально го ремонта Оф за год (млрд. руб.)
|
Годовая норма амортизации (%)
|
|
|
|
|
|
По полной первона чальной стоимости (млрд. руб.)
|
По остаточной стоимости (млрд.руб.)
|
|
|
|
1
|
2
|
3
|
4
|
5
|
6
|
7
|
8
|
9
|
|
3,63
|
14,7
|
1.02-17,1 1.04-3,5 1.10-3,0
|
1.06-3,2 1.11-0,65
|
12 14
|
1.06- 0,55 1.10-0,54
|
1.06-0,05 1.10-0,05
|
0,31
|
10,5
|
Построить баланс основных фондов
предприятия по полной первоначальной и остаточной стоимости и определить:
) полную первоначальную и остаточную
стоимость основных фондов на конец года.
) коэффициент обновления и выбытия
основных фондов.
) показатели износа и годности
основных фондов на начало и конец года.
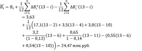
Решение:
Для расчетов используются следующие
формулы:
Расчет полной первоначальной
стоимости основных фондов на конец года:
Расчет среднегодовой стоимости
основных фондов:
Расчет амортизационных отчислений
Расчет остаточной стоимости ОФ на
конец года:
Расчет коэффициентов обновления
основных фондов:
Расчет коэффициента выбытия основных
фондов:
Расчет показателя годности на начало
года:

%
Расчет показателя
годности на конец года:
Расчет показателя износа
на начало года:
Расчет показателя износа
на конец года:
Баланс основных фондов
по первоначальной (балансовой) стоимости за отчетный год, млн. руб.
|
Наличие на начало года
|
Поступила в отчетном году
|
Выбыло в отчетном году
|
Наличие на конец года
|
|
|
всего
|
Введено новых ОФ
|
Поступило от других предприятий
|
Всего
|
из-за ветхости и износа
|
передано до.предприятиям
|
|
|
Промышленно -производственные ОФ
|
3,63
|
27,99
|
23,6
|
4,39
|
1,09
|
|
|
30,53
|
Баланс основных фондов по остаточной
стоимости за отчетный год, млн. руб.
|
Наличие на начало года
|
Поступила в отчетном году
|
Выбыло в отчетном году
|
Амортизация
|
Капремонт
|
Наличие на конец года
|
|
|
всего
|
Введено новых ОФ
|
Поступило от других предприятий
|
Всего
|
из-за ветхости и износа
|
передано до.предприятиям
|
|
|
|
|
Промышленно -производственные ОФ
|
3,1
|
27,45
|
23,6
|
3,85
|
0,1
|
|
|
2,57
|
0,31
|
27,46
|
Заключение
Уровень жизни связывает множество
показателей, которые направлены на удовлетворение потребностей населения в
материальных благах, бытовых и культурных условиях.
В курсовой работе приведена
общепринятая система основных показателей уровня и качества жизни населения,
дана характеристика каждого показателя и формула расчета, а также представлены
методы статистического анализа, которые используются для исследования.
Во второй главе курсовой работы
представлено решение заданий согласно заданному варианту.
На сегодняшний день согласно
статистических данных уровня жизни населения в РФ наблюдается улучшение
материального положения населения, которое выражается:
в увеличении реальных денежных
доходов;
снижение численности бедного
населения;
увеличение уровня занятости
населения при постоянном снижении уровня безработицы и др.
Наблюдается развитие высших
образовательных учреждений, рост удовлетворенности населения качеством
образования, расширении доступности отдельных учреждений культуры.
В сфере социальной и личной
безопасности отмечается динамичный рост качества социального обслуживания, а
также снижение роста преступности (по отдельным направлениям).
В социально-бытовой сфере можно
отметить увеличение площади жилищ, приходящейся в среднем на одного жителя,
положительную динамику в благоустройстве жилищного фонда и домовых территорий.
Но наряду с положительными
изменениями качества жизни населения Российской Федерации отмечается и ряд
негативных факторов.
В экономике страны намечается
увеличение концентрации доходов в отдельных группах обеспеченных граждан,
сохраняются проблемы доступности жилья для отдельных категорий граждан.
Результаты исследований позволяют
также сделать вывод о том, что для выявления динамики изменения качества жизни
населения Российской Федерации необходимо проведение мониторинга основных
показателей качества жизни, что повысит эффективность выбора механизмов его
обеспечения и повышения.
Одним из действенных инструментов
такого мониторинга может стать социологический анализ качества жизни населения.
Он позволяет выявить совокупность объективных и субъективных показателей,
характеризующих изменение жизненных сил населения, его жизненного пространства,
а также оценить механизмы обеспечения качества жизни с точки зрения их
эффективности.
Таким образом, поставленные цели и
задачи курсовой работы достигнуты в полном объеме.
Список использованной литературы
1. Бычкова, С.Г.
Социально-экономическая статистика: Учебник для бакалавров / С.Г. Бычкова. -
М.: Юрайт, 2013. - 591 c.
. Годин, А. М.
атистика: учебник / А. М. Годин. - Москва: Дашков и К°, 2012. - 451 с.
. Громыко Г.Л.
Общая теория статистики: Практикум. - М.: ИНФРА - М-, 1999. - 139с.
. Гусаров В.М.,
Статистика: Учеб.пособие для вузов / В.М. Гусаров. - М.: ЮНИТИ-ДАНА, 2012. -
463с.
. Елисеева И.И., Юзбашев
М.М. Общая теория статистики: Учебник / Под ред. чл.-корр. РАН И. И.Елисеевой.
- М.: Финансы и статистика, 2010. - 368с.
. Ефимова М. Р. и
др. Общая теория статистики: Учебник/М. Р. Ефимова, Е. В. Петрова, В. Н.
Румянцев. - М.: ИНФРА-М, 1998. - 416 с.
. Курс социально
- экономической статистики: Учебник для вузов /Под ред. проф. Назарова. - М.:
Финстатинформ, ЮНИТИ - ДАНА, 2000. - 771С.
. Кучмаева О.В.
Социальная статистика: учебно-практическое пособие / О.В. Кучмаева, О.А.
Золотарева. - М.: Изд. центр ЕАОИ, 2012. - 496 с.
. Макарова Н.В.,
Трофимец В.Я. Статистика в Excel: Учеб.пособие. - М.: Финансы и статистика. -
2002. - 368с.
. Мелкумов, Я.С.
Социально-экономическая статистика: Учебное пособие / Я.С. Мелкумов. - М.:
ИНФРА-М, 2013. - 236 c.
. Общая теория
статистики: Статистическая методология в изучении коммерческой деятельности:
Учебник / Под ред. А.А.Спирина, О.Э.Башиной. - М.: Финансы и статистика, 2010.
-296с.
. Попов А.М.,
Сотников В.Н. Теория вероятностей и математическая статистика. - М.: Юрайт,
2015. - 448 с.
. Социально-экономическая
статистика / Под ред. М.Р. Ефимовой. - М.: Юрайт, 2014. - 592 с.
. Статистика:
учебно-практическое пособие / М.Г. Назаров, В.С. Варагин, Т.Б. Великанова и
др.;- М.: КНОРУС, 2013. - 480с.
. Статистика:
учебник / под ред. И.И. Елисеевой. - М.: Юрайт, 2012. - 496 с.
. Теория
статистики: учебник / Р.А. Шмойлова, В.Г. Минашкин, Н.А. Садовникова, Е.Б.
Шувалова; под ред. Р.А. Шмойловой. - 5-е изд. - М.: Финансы и статистика, 2014.
- 656 с.
. Экономическая
статистика. Учебник/Под ред. Ю.Н.Иванова. - М.: ИНФРА - М, 2002. - 480с.