Разработка амортизационной политики предприятия
Разработка амортизационной политики
предприятия
ВВЕДЕНИЕ
Актуальность темы исследования определяется тем, что любое предприятие,
осуществляя производственно-хозяйственную деятельность, использует ограниченные
экономические ресурсы, которые подразделяются на естественные, материальные,
трудовые, финансовые ресурсы.
Эффективная система хозяйствования невозможна без решения вопросов
эффективности использования основных фондов и производственных мощностей. От
решения данной проблемы зависит место хозяйствующего субъекта в экономике, его
финансовое состояние, рыночная конкурентоспособность. Многие показатели
продукции, такие как технический уровень, качество, надежность, долговечность
зависят от состояния основных фондов компании и их эффективного использования.
В условиях рыночного хозяйства основные фонды могут представлять
государственную или частную формы стоимости. Однако независимо от правового
статуса функционирования, основные фонды выражают значительную часть
национального богатства общества. Поэтому проблемы воспроизводства и
перспективного использования основных фондов занимают одно из главных мест в
экономике РФ.
Повышение темпов развития и достижения соответствующего уровня
производства промышленных предприятий невозможно без обновления их
материально-технической базы и эффективного использования действующих основных
фондов. Необходимым условием технического развития предприятия является наличие
рационально построенной амортизационной политики, является одной из наиболее
значимых составляющих регулирования процесса воспроизводства основных средств.
Предприятиям необходимо осуществлять такую амортизационную политику,
которая направлена на эффективное использование основных фондов, уменьшение
затрат и соответственно увеличения прибыли.
Проблемы амортизационной политики широко освещены в научной литературе. В
частности, свои исследования в области амортизационной политики посвятили такие
ученые, специалисты, практики, как В. В. Бочаров, Э. И. Крылов, О. Н. Лихачева,
В. Я. Соколов, Г. А. Тунин и другие.
Целью исследования совершенствование амортизационной политики
предприятия.
Задачи исследования:
- рассмотреть теоретические основы амортизационной политики
организаций;
- исследовать основные финансово-экономические показатели ЗАО МПБК
«Очаково» и амортизационную политику предприятия;
- предложить мероприятия по совершенствованию амортизационной политики
ЗАО МПБК «Очаково».
Объектом исследования являются экономические отношения, возникающие в
процессе управления основным капиталом.
Предметом исследования является амортизационная политика предприятия.
Методы исследования. Исследование базируется на общенаучных методах -
анализе и синтезе, методах экономического анализа, балансовом методе, системном
подходе, комплексной оценке.
Информационной базой исследования служили финансово- экономические
данные, бухгалтерская отчетность предприятия ЗАО МПБК «Очаково» за 2013-2015
годы, материалы периодической печати, работы отечественных и зарубежных
специалистов в области управления предприятием, экономики предприятия, основных
фондов, амортизации, амортизационной политики.
Теоретическая и практическая значимость исследования состоит в том, что
решение поставленных задач даст возможность улучшить эффективность
использования основных фондов на анализируемом предприятии, увеличивая, в
конечном итоге, результаты его производственно-хозяйственной деятельности.
По структуре дипломная работа состоит из введения, трех глав, заключения,
списка использованных источников, приложения.
Первая глава посвящена теоретическим основам амортизационной политики
организаций.
Во второй главе проводится практическая оценка амортизационной политики
ЗАО МПБК «Очаково».
Третья глава посвящена предложениям по совершенствованию амортизационной
политики ЗАО МПБК «Очаково».
Глава 1. ТЕОРЕТИЧЕСКИЕ ОСНОВЫ АМОРТИЗАЦИОННОЙ ПОЛИТИКИ ПРЕДПРИЯТИЯ
актив
амортизация воспроизводство основной
1.1 Понятие амортизации
Экономический кризис обострил основные проблемы, накопившиеся в народном
хозяйстве, поэтому современная экономическая ситуация обуславливает
необходимость улучшения инвестиционной политики предприятий.
Среди основных причин кризисного состояния экономики РФ можно выделить
наличие проблем в инвестиционном процессе, который является центром современной
политики экономического роста. Инвестиции в форме капитальных вложений
способствуют ускорению обновления изношенной техники и оборудования,
механизации и автоматизации существующего производственного процесса, внедрению
новых технологий, увеличению производственных мощностей, реализации других
инновационных целей.
Несмотря на то, что меры по расширению инвестиций в экономику
руководством страны постоянно объявляются приоритетными, технологическое
отставание российской экономики не только от передовых, но уже и от ведущих
развивающихся стран становится все более явным. По данным Росстата, степень
износа основных фондов предприятий нашей страны за последние четверть века
имела постоянную отрицательную динамику. Если в 1990 г. она составляла 37,6%,
на рубеже веков - 39,3, то на конец 2014 г. - 49,4%. Причем наиболее изношенной
стала активная часть основных фондов - машины, оборудование, транспорт.
За 2012 и 2013 гг. инвестиции в основной капитал составляли в среднем
около 10 трлн руб. в год, в 2014 г. - 10,4 трлн руб. Однако, если привести эти
показатели к сопоставимым ценам, то налицо их сокращение: в 2014 г. по
сравнению с 2013 г. - 97,3%, в I полугодии 2015 г. к этому же периоду 2014 г. -
94,6%.
Как показывает практика государственного регулирования инвестиционного
процесса в развитых странах, его эффективным инструментом в условиях реализации
стратегии инновационно- инвестиционного развития предприятий выступает
амортизация основного капитала. Примерно на 60-70% потребности предприятий в
инвестиционных средствах удовлетворяются за счет амортизационных отчислений.
Преимущества амортизации очевидны:
- отсутствие дополнительных издержек при использовании
амортизационных отчислений на инвестиционные цели по сравнению с привлекаемыми
заемными средствами;
- большая стабильность, непрерывность и прогнозируемость
амортизационных отчислений как финансового потока (по сравнению с прибылью,
дотациями, субсидиями и т. п.);
- возможность формирования амортизационного фонда через
регулирование налогооблагаемой базы по налогам на прибыль и имущество;
- самостоятельность в регламентации обязательности формирования и
воспроизводства амортизационной политики в составе учетной политики
предприятия2.
В российских организациях в 2014 г. в числе инвестированных в основной
капитал 10,3 трлн руб. немногим более 2 трлн руб. (20%) приходится на
амортизационные отчисления, что по удельному весу в 3-4 раза ниже, чем в
развитых странах.
В нашей стране государственная амортизационная политика недостаточно
гибкая и имеет ярко выраженный пассивный характер. До сих пор амортизация рассматривается
как простое выражение износа основных фондов, часть издержек, а не как источник
активизации инвестиционной деятельности для обновления и модернизации основного
капитала. И этот переход от «затратного» порядка определения амортизации к процессу
формирования реального денежного амортизационного фонда затянулся, несмотря на
то, что предприятиям предоставлена возможность применять ускоренные методы
начисления амортизации. Они на первый взгляд выглядят вполне прогрессивными,
поскольку сама по себе возможность осуществления ускоренной амортизации есть
положительное явление в условиях деградации производственного потенциала страны
и необходимости структурно-технологической модернизации экономики. Однако
относительная выгодность нелинейной амортизации уменьшается по мере роста
периода эксплуатации основных средств. Но в РФ почти две трети парка машин и
оборудования имеет срок эксплуатации более 10 лет, а 13% из них работает еще с
советских времен. Это является одной из причин того, что до сих пор основным
методом начисления амортизации остается линейный.
Суммы начисленной в 2013-2014 гг. амортизации, т.е. износа основных
средств, включенного в себестоимость продукции (работ, услуг), составила
соответственно 4,18 трлн руб. и 4,75 трлн руб. Однако не все эти средства были
направлены на возмещение износа, а только часть. Разница между этими суммами и
фактически направленными на капвложения в основные средства составила в 2013 г.
около 2 трлн руб., в 2014 г. - 2,75 трлн руб4. То есть более половины амортизационных
отчислений направляются на цели, никак не связанные с формированием
амортизационного фонда, предназначенного для воспроизводства основного
капитала. В случае, если бы эти средства организации использовали на
капвложения, то они могли бы повысить удовлетворение своих инвестиционных
потребностей в 2 раза, т.е. до 40-50%, приблизив показатели к уровню
капвложений предприятий ведущих развитых стран.
Как представляется, основной причиной отказа от применения
амортизационных отчислений по своему прямому назначению - направлению на
капвложения - является тяжелое финансовое положение части предприятий страны.
По материалам выборочных исследований Росстата среди факторов, ограничивающих
инвестиционную деятельность, 60% организаций указали на недостаток финансовых
средств, 30% - на неопределенность экономической ситуации в стране, 29% - на
высокий процент коммерческого кредита5.
Если учесть, что в 2014 г. 33% предприятий были убыточными, то вполне
обоснованно можно предположить, что амортизационные отчисления в общей сумме
поступившей выручки за реализованную продукцию (работы, услуги) они направляли
на возмещение затрат, которые никак не связаны с износом основных средств. Не
формируя резерв на восстановление основных средств, такие предприятия обрекают
себя на ухудшение позиций в конкурентной борьбе в будущем. Варианты с
получением кредита на пополнение оборотных средств для них малодоступны по
причине запредельно высоких процентных ставок кредитных учреждений. Про
использование кредитных ресурсов на инвестиции в форме капитальных вложений в
текущей экономической ситуации говорить не приходится.
В связи с этим в экономике страны должна быть организована система
долгосрочного кредитования, замкнутая на внутренние источники предоставления
«длинных» денег. Это в настоящее время является основным вопросом
эффективности, инвестиций, выживаемости предприятий6. Государство, имея
определенные накопления, должно способствовать тому, чтобы они могли дойти до
предприятий в виде дешевых кредитов на пополнение оборотных средств. Так
делается в развитых странах в сложной экономической ситуации. С этой точки
зрения, государство не стремится облегчить жизнь бизнесу, и даже ухудшает ее
тем, что удерживает ставку рефинансирования Центробанка РФ на высоком уровне.
Являясь затратной статьей себестоимости, амортизация имущества изменяет
величину прибыли, подлежащую налогообложению, в сторону уменьшения,
соответственно уменьшается налог на прибыль. Как было отмечено, осуществляя
нецелевое использование более половины амортизационных отчислений, организации
увеличивают себестоимость продукции (работ, услуг), что позволяет им
образовывать дополнительный скрытый финансовый резерв. Например, несмотря на то
что в 2014 г. организациями по сравнению с 2013 г. получено меньше прибыли на
2,51 трлн руб. (4,34 трлн против 6,85 трлн руб.)., в составе их оборотных
активов величина денежных средств выросла на 1,92 трлн. руб. (с 5,56 трлн до
7,48 трлн руб.)7. Это свидетельствует о том, что финансовое положение
эффективно работающих предприятий, особенно тех, которые связаны с экспортом
своей продукции, улучшилось, и они свои свободные денежные средства,
образовавшиеся в основном от амортизационных отчислений, направили не в
капитальные, а в финансовые вложения.
Таким образом, государство лишилось одного из мощнейших рычагов
регулирования экономики страны и стимулирования ее развития на макроуровне, не
добилось инвестиционной направленности амортизационных ресурсов. В условиях
кризиса и отсутствия контроля со стороны государства за целевым использованием
амортизационного фонда его природа была деформирована: из фонда воспроизводства
капитала он стал в значительной степени фондом текущего дохода, используемого
на покупку валюты, ценных бумаг, приобретение товаров непроизводственного
назначения.
Далее необходимо отметить и другое упущение в государственной финансовой
политике данного направления. Увеличивая себестоимость за счет амортизационных
отчислений, не использованных на обновление основных средств, предприятия
уменьшают на эту величину валовую прибыль и, соответственно, величину налога на
прибыль. Сумма налога на прибыль, которую не получает консолидированный бюджет
страны из-за необоснованного завышения себестоимости, ежегодно равен примерно
400- 500 млрд руб. при существующей ставке налога на прибыль 20%9.
Поэтому в целях обеспечения целевого использования суммы амортизационных
отчислений вполне логичным будет предложение об изменениях в Налоговом кодексе
РФ в части взимания налога на прибыль с той суммы амортизации, которая не была
направлена на инвестиции в форме капитальных вложений. Для тех предприятий,
которые обоснуют свое трудное положение объективными причинами (конъюнктура
рынка, неплатежи за поставленную продукцию и т.п.), для финансового обеспечения
хозяйственных операций предоставить возможность вычесть из облагаемой прибыли
суммы амортизации, как это делается сейчас, но включить их в прибыль после
того, как дела поправятся. Отложенный налог в условиях рыночной экономики
должен означать беспроцентный, необеспеченный заем на определенный срок, предоставленный
юридическому лицу государственным бюджетом.
В этой связи представляется целесообразным введение соответствующей
отчетности предприятий по размерам амортизационных отчислений и направлений их
использования, а также введение требования к предприятиям по формированию
специального амортизационного фонда, который должен использоваться строго по
целевому назначению. Уместным было бы и внедрение опыта отдельных стран по
помещению и накоплению амортизационных средств на специальных субсчетах, исключающее
их необоснованное отвлечение в сферу обращения или непроизводственного
потребления.
Данные предложения не новы, но они не воспринимаются положительно
финансово-экономическим блоком правительства, потому что это означает лишение
предприятий права самостоятельно распоряжаться своими финансовыми активами
(если предприятию потребуется денежные средства не на цели инвестирования), что
противоречит основам ведения хозяйственной деятельности предприятий и основным
принципам реформирования бухгалтерского учета, разработанным в соответствии с
Международными стандартами финансовой отчетности. Однако в данном случае можно
продумать механизм, который позволял бы избежать ущемления прав предприятий
распоряжаться своими денежными средствами. Например, кредитные учреждения, у
которых на депозитных счетах находятся амортизационные фонды предприятий, могли
бы в случае необходимости по запросам этих предприятий выдавать краткосрочные
кредиты на текущие цели под залог этих амортизационных фондов, но процент за
пользование кредитом должен быть равен проценту по депозитному счету
амортизационного фонда. В этом случае возникают отношения, при которых
предприятию реально предоставляется возможность распоряжаться собственными
средствами, но на условиях их возвратности в амортизационный фонд.
Перечисленные проблемы представляют лишь небольшую часть проблем
амортизационной политики правительства РФ. В современной практике большинства
развитых стран мира хозяйственное развитие страны не отдается на произвол так
называемых самонастраивающихся механизмов конкуренции или классического
либерализма, полностью свободных от влияния и контроля властей, ответственных
за экономику и финансы. Постоянно применяются меры, цель которых - побудить
хозяйствующие субъекты избирать ту или иную линию поведения, осуществлять
долгосрочные платежи или принимать решения, отвечающие задачам общей
экономической политики.
Неразвитость законодательства в отношении амортизации, регулируемой лишь
ст. 256-259 Налогового кодекса, подчинили амортизационную политику фискальной
функции налоговой системы. Другие законодательные акты об инвестиционной
деятельности, осуществляемой в форме капитальных вложений, о промышленной
политике декларативны, и об амортизации в них упоминается лишь вскользь. В
современных условиях назрела необходимость того, чтобы амортизационная политика
в Российской Федерации получила самостоятельное правовое регулирование в форме
отдельного закона, который можно подготовить совместными усилиями
законодателей, Правительства РФ, научной и экономической общественности.
В нем должны быть определены пути решения кроме изложенных вопросов по
контролю и отчетности за использованием амортизационных средств также вопросы
оценки и переоценки основных фондов, сокращения сроков их полезного
использования, методов начисления амортизации с учетом специфики отдельных
видов деятельности и др. Необходимо изучить все передовое в законодательстве об
амортизации в развитых странах, рассмотреть возможность его реализации
применительно к современным экономическим условиям РФ.
Отдельными учеными и практиками предлагается разработать и реализовать
федеральную Программу повышения эффективности и контроля за целевым
использованием амортизационного фонда хозяйствующими субъектами с
государственным участием на период 2016-2020 гг. (далее - Программа), а именно:
- провести «инвентаризацию» нормативно-законодательной базы. Принять
новые нормативные документы (положения, законы) о целевом использовании
амортизационного фонда;
- усилить контроль за целевым использованием средств фонда, в том числе
путем предоставления строгой ежегодной отчетности хозяйствующих субъектов
учредителю по установленной форме;
- разработать единые методики обновления основных фондов и
формирования амортизационного фонда. Привлечь научно- исследовательские институты
и министерства к разработке методических документов и руководящих материалов.
применить так называемый экспертный метод;
- оптимизировать схему распределения амортизационных, заемных денежных
средств и прибыли внутри хозяйствующих субъектов для повышения эффективности и
оперативности формирования амортизационного фонда.
Для хозяйствующих субъектов с частным капиталом необходимо создать такие
элементы хозяйственного механизма, в том числе в налоговой сфере, при которых
фирмы были бы экономически заинтересованы в своевременном обновлении изношенных
фондов за счет грамотного использования амортизационного фонда. Кроме того,
необходимо разработать ежегодные мероприятия по поощрению фирм с наиболее
низкой степенью износа основных фондов.
Успешная реализация Программы в 20162020 гг. задаст вектор и
законодательную основу ускорению обновления основных фондов в стране и
обеспечит в дальнейшем успешную модернизацию и инновационное развитие экономики
страны, в том числе за счет импортозамещения, а главное, повысит надежность и
безаварийность производств, а также уровень экономической безопасности
территорий.
Однако, реализуя государственную Программу, направленную на модернизацию
и развитие основных фондов, необходимо детально проработать вопросы
интенсификации обновления основного капитала, ориентируясь на целевой,
комплексный подход, учитывающий множество факторов, влияющих на процесс, в том
числе с использованием комплексного анализа финансового состояния хозяйствующих
субъектов.
1.2 Сущность амортизационной политики предприятия
Основной капитал организации, представленный основными средствами, за
время эксплуатации физически изнашивается и теряет свою стоимость, периодически
перенося ее на затраты производства в виде амортизационных отчислений. В целях
постоянного осуществления производственной деятельности организации необходимо
воспроизводство основных средств, которое возможно осуществить исключительно
через механизм амортизации, что является традиционным для отечественного
бухгалтерского учета.
Процесс амортизации основных средств с одной стороны приводит к снижению
реальной стоимости актива вследствие его физического износа, с другой стороны
является процессом переноса расходов, связанных с приобретением долгосрочного
амортизируемого актива, на затраты отчетного периода в течение установленного
срока полезного использования объекта основных средств.
В первом случае амортизация отождествляется с физическим износом объектов
основных средств, его старением и потерей стоимости. Во втором случае
амортизация представляет собой стоимостную оценку физического износа,
участвующую в качестве одного из элементов затрат организации в целях
определения себестоимости произведенной продукции, работ, услуг, и, как
следствие, финансового результата деятельности организации в целом14.
В соответствии с этим важной задачей выступает правильное управление
процессом кругооборота основных средств, для чего необходимо решение некоторых
задач, таких как правильное определение срока полезного использования объектов
основных средств; выбор оптимального срока начисления амортизации и целый ряд
других.
Все эти задачи напрямую связаны с проводимой организацией амортизационной
политикой, поскольку на сегодняшний день именно амортизация является
единственным инструментом отражения в бухгалтерском учете физического износа
основных средств и механизмом управления основными средствами, несмотря на
существующий некоторый элемент условности этой процедуры.
Следует также учитывать помимо физического износа и так называемый
моральный износ, представляющий собой потерю капитала, вызванную изменением
социально-экономических потребностей и научно- техническим прогрессом. Возможно
выделение двух вариантов морального износа. Первый - вызван снижением стоимости
некоторых объектов основных средств на рынке, обусловленное технологическим
особенностями производства (как рост производительности труда, удешевление
сырья и т. д.), а также экономическим факторами (конъюнктурой рынка, развитием
конкуренции и т. д.). Второй вариант морального износа вызван появлением новых
объектов основных средств, имеющих большую функциональность, потребительскую
ценность, более удобных в эксплуатации, отвечающих требованиям современности.
При этом устаревшие, но физически пригодные к эксплуатации объекты основных
средств становятся ненужными.
К сожалению, из данных бухгалтерского учета не представляется возможным
получение информации о стоимостном выражении морального износа основных средств
ни на уровне конкретной организации, ни на уровне отрасли или региона в целом.
Возможно использование косвенных способов, с помощью которых возможна
приблизительная оценка морального износа капитала.
Проведенные исследования позволили судить о том, что преимущественными
источниками финансирования основных средств в организациях всегда были получаемая
прибыль и амортизационные отчисления.
Однако при имеющемся числе убыточных организаций амортизационные
отчисления являются единственно возможным источником воспроизводства основных
средств и управления ими15.
Многие отечественные организации, в особенности сельскохозяйственные,
обладают высокой изношенностью основных средств, превышающий средний показатель
по отрасли или региону. Вызвано это многими причинами, такими как отсутствие
свободных денежных средств для нормального воспроизводства объектов основных
средств, а также неэффективной амортизационной политикой организации.
Первоначальной задачей является определение оптимального срока полезного
использования объекта основных средств. Так, согласно ПБУ 6/01
«Учет основных средств» срок полезного использования основных средств
организация определяет самостоятельно при принятии объекта на учет, исходя из
следующих условий:
- ожидаемого срока использования этого объекта в соответствии с
ожидаемой производительностью или мощностью;
- ожидаемого физического износа, зависящего от режима эксплуатации
(количества смен), естественных условий и влияния агрессивной среды, системы
проведения ремонта;
- нормативно-правовых и других ограничений использования этого объекта
(например, срок аренды)16.
В случаях улучшения (повышения) первоначально принятых нормативных
показателей функционирования объекта основных средств в результате проведенной
реконструкции или модернизации организацией пересматривается срок полезного
использования по этому объекту.
При установлении срока полезного использования объекта основных средств
чаще всего организации опираются на Постановление Правительства РФ от
01.01.2002 № 1 «О Классификации основных средств, включаемых в амортизационные
группы». Но при этом необходимо учитывать и такой момент как выбор способа
начисления амортизации основных средств.
Согласно ПБУ 6/01 «Учет основных средств», начисление амортизации
объектов основных средств производится одним из следующих способов:
- линейный способ;
- способ уменьшаемого остатка;
- способ списания стоимости по сумме чисел лет срока полезного
использования;
- способ списания стоимости пропорционально объему продукции
(работ)17.
В соответствии с этим перед организацией стоит задача правильного выбора
способа начисления амортизации как наиболее предпочтительного к реалиям жизни.
Уделим пристальное внимание способам начисления амортизации. Самым
распространенным способом амортизации, как показывают проведенные исследования,
является линейный способ. При применении этого способа стоимость основного
средства списывается равными долями в течение срока полезного использования
объекта на затраты организации. При этом способе ежемесячная сумма
амортизационных отчислений будет постоянной. Если представить этот процесс
графически, то на графике будет изображена прямая линия, положившая
название этому способу.
В защиту этого способа можно сказать, что он довольно удобен в
применении, сближает бухгалтерский учет с налоговым учетом. Этот способ
начисления амортизации удобен для объектов недвижимости, особенно с длительным
сроком использования, для которых он является единственно возможным. В
соответствии с этим те организации, которые располагают преимущественно такими
объектами основных средств, как здания, сооружения, срок которых довольно
велик, лучшего способа начисления амортизации не найдут.
При способе уменьшаемого остатка годовая сумма амортизации на всем
протяжении срока полезного использования объекта не будет равномерной,
поскольку начисляется амортизация от остаточной стоимости основного средства.
Кроме того, организация вправе применять так называемый коэффициент ускорения,
величиной не выше 3, который указывается в учетной политике и позволяет
организации максимально увеличить амортизационные накопления. В силу того, что
амортизационные отчисления производятся от остаточной стоимости объекта
основных средств, они не будут равномерными в течение срока службы объекта, и
за период использования объекта основных средств амортизационные отчисления не
будут абсолютно равны первоначальной стоимости объекта.
Проведенные расчеты этим способом дали возможность утверждать, что
амортизационные отчисления по данному способу наиболее высоки в первые годы
службы объекта, гораздо выше, чем при линейном способе. Но в дальнейшем по мере
эксплуатации объекта основного средства величина амортизационных отчислений
снижается.
Несмотря на то, что имеет место некоторая трудоемкость расчетов
амортизации, применение данного способа некоторые организации могут выбрать как
единственно предпочтительного. Так, если организация располагает объектами
основных средств, которые работают в так называемой агрессивной среде и
физическая нагрузка на основные средства ожидается именно в первые годы его
службы, то этот способ станет предпочтительным. К тому же это особенно
актуально при том условии, что после активного использования основное средство
быстрее выходит из строя, начинает чаще ломаться и, возможно, не доработает до
окончания срока полезного использования, тем самым, не самортизируется
полностью.
Также применение этого способа будет желательно при условии получения
максимальной выручки от продажи произведенной продукции, выпущенной с помощью
данного основного средства. Это характерно для производства продукции,
пользующейся высоким спросом благодаря веяниям моды, ожиданием производства
данной продукции вследствие активной рекламной компании и по многим другим
причинам. Несмотря на высокие амортизационные отчисления выручка от продажи
готовой продукции может быть в первые годы настолько высока, что с лихвой
покроет амортизационные отчисления.
Что касается способа списания стоимости по сумме чисел лет полезного
использования (кумулятивный способ), то при его расчете амортизационные
отчисления производятся исходя из первоначальной стоимости и кумулятивного
числа, представляющего собой дробь: числитель которой - число лет полезного
использования, а знаменатель - сумма чисел лет полезного использования. При
данном способе амортизационные отчисления не будут равномерными как при
линейном способе, но, тем, не менее, первоначальная стоимость основного
средства будет полностью списана за весь период эксплуатации данного объекта.
Условия применения данного способа будут, в принципе, такими же, как и при
способе уменьшаемого остатка. В первые годы срока службы объекта
амортизационные отчисления будут больше, нежели в последующие периоды
использования объекта. Те организации, которые выпуск продукции планируют
осуществить максимально в первые годы использования данного основного средства,
могут выбрать данный способ в качестве предпочтительного.
Отдельного внимания заслуживает способ списания стоимости основного
средства пропорционально объему продукции (работ, услуг). Как правило, данный
способ находит применение в тех организациях, в которых физический износ
основных средств прямо пропорционален нагрузке объекта, т. е. сумма
амортизационных отчислений зависит от интенсивности использования основных
средств. Здесь отталкиваются от того, что чем больше работает основное
средство, тем больше физический износ и тем выше сумма амортизационных отчислений18.
Единственной трудностью здесь может стать достоверное определение
предполагаемого физического показателя, к которому привязаны амортизационные
отчисления - потенциально возможный выпуск готовой продукции, предполагаемый
пробег автомобильного транспорта и т. д. некоторым «плюсом» при использовании
данного способа является тот факт, что при снижении выпуска продукции
сокращаются и амортизационные отчисления, а при его отсутствии - они вообще не
имеют места. Это приводит к тому, что амортизационные отчисления всегда
сопоставляются с получаемыми организацией доходами, и практически отсутствует
возможность получения убытка, по крайне мере, в бухгалтерском учете.
В настоящее время в учетном процессе не находит свое проявление важная
функция амортизации - целевого резерва, равно как и исчезло понятие
«амортизационный фонд». В целях развития стратегического учета основных средств
было бы целесообразно отражать накопленные амортизационные отчисления на
определенном счете бухгалтерского учета, например, на счете 85 «Амортизационный
резерв», сальдо которого будет обеспечено денежными средствами на расчетном
счете организации, использовать которые можно будет строго по назначению -
воспроизводство основных средств. Такое резервирование и детализация
амортизационных отчислений также позволит организации проводить
правильную амортизационную политику.
На основании изложенного можно сделать вывод о том, что амортизация как
категория бухгалтерского учета независимо от способа ее начисления позволяет
сохранить основной капитал или его эквивалент, измеренный в первоначальных
затратах на момент его приобретения. Возможность использования различных
способов начисления амортизации по отдельным группам основных средств позволит
организациям ускорить процесс воспроизводства долгосрочного капитала и
осуществлять эффективную инвестиционную и налоговую политику в современных
условиях хозяйствования.
1.3 Роль амортизационной политики в обеспечении эффективного
воспроизводства
Техническая оснащенность предприятия, уровень инвестиций и инвестиционной
деятельности характеризуется состоянием основного капитала. Уровень
технического развития организации характеризуется составом и движением основных
фондов, а также эффективностью их использования20.
Возврат денежных средств, вложенных в основные средства, возможен после
нескольких производственных циклов (рис. 1).
Таким образом, амортизационные отчисления, как часть стоимости основных
средств, включается в себестоимость продукции. Так как амортизация относятся к
группе постоянных статей расходов, она после реализации товарной продукции
возвращается компании в виде маржинальной прибыли.
Рисунок 1. Цикл круговорота средств, вложенных в основные фонды
предприятия
Маржинальная прибыль включает также прибыль организации, образованная в
процессе производственно-хозяйственной деятельности при эксплуатации всей суммы
капитала (активов)21.
Сумма прибыли, которая образуется в результате использования основных
средств, определяют на базе рентабельности общего капитала, с учетом прибыли до
налогообложения, по формуле:
(1)
где Пос. ср. - прибыль полученная от использования основных средств; ОС -
сумма первоначальной стоимости основных средств;- уровень рентабельности
капитала, с учетом прибыли до налогообложения.
Основные и оборотные средства должны восстанавливаться за счет доходов
организации, основной частью которых является перенесенные на себестоимость
продукции расходы в виде амортизации, материально- производственных расходов,
оплаты труда персонала и др. Также, каждой компании необходимо иметь достаточно
средств для уплаты налогов, различных отчислений, и после этого получить
прибыль.
Как источники увеличения основных средств выступают средства, полученные
как инвестиций, кредиты, ссуды, финансирование из разных источников,
капитализированной части прибыли организации.
Вместе с тем, необходимо отметить, что доход компании не может быть
источником финансирования реальных и финансовых инвестиций. Доход организации
является источником возврата производственных затрат, которые включают в себя
сырье, материалы, оплату труда, налоги, другие затраты, и сумму прибыли.
Капитализированная часть прибыли предприятия выступает как источник
расширенного воспроизводства при вложении средств в пополнение основных
средств, нематериальных активов, капитальных вложений, оборотных средств.
В международной практике принято при определении амортизационных
отчислений и срока эксплуатации, из суммы амортизируемой стоимости вычитать
остаточную стоимость после окончания срока эксплуатации. Срок эксплуатации
основных средств и их остаточную стоимость после окончания данного срока
определяется руководством организации на основе заключения комиссии по приемке
данных основных средств.
Российские предприятия, в соответствии с установленными положениями
бухгалтерского и налогового учета, приравнивают амортизируемую стоимость к
первоначальной стоимости. Норматив амортизации, срок эксплуатации,
устанавливают согласно утвержденным нормам. При этом учитывается, что в конце
срока эксплуатации основных средств произойдет их полный износ и они будут
иметь нулевую остаточную стоимость23.
На практике, все виды основных средств, по окончании эксплуатации имеют
различные остатки, в виде оборудования, запасных частей и др., которые возможно
реализовать либо использовать в хозяйственно- производственной деятельности. В
соответствии с действующим положением их необходимо оприходовать. На стоимость
данных остаточных средств в течении срока эксплуатации основных средств происходило
начисление амортизации, включаемой в себестоимость, которая возвращалась
организации в виде доходов после реализации. Это приводит к двойному учету
доходов от одного вида продукции.
Также, как показывает практика, это может приводить к бесхозяйственному
отношению к списанным основным средствам, иногда и к хозяйственным
злоупотреблениям.
В современной экономике данное определение амортизационных отчислений
приводит к завышению себестоимости, занижению показателей прибыли и
рентабельности.
Необходимо также отметить, что установленные нормативы длительного срока
эксплуатации основных средств, периода их окупаемости, отрицательно влияют на
ускоренное обновление основных средств с учетом научно-технического прогресса.
Например, в международной практике принято, что активная часть основных
средств, подлежит обновлению в течении 5 лет.
Для повышения конкурентоспособности российских предприятий в части
выпускаемой и реализуемой продукции, следует учитывать в стратегических планах
развития производства обновление основной части активных основных средств, на
протяжении пяти лет, на базе этого могут определяться сроки их окупаемости и
начисления амортизации.
Как было сказано выше, оборотный капитал составляют инвестированные
средства в оборотные фонды, участвующие в процессе производства один
производственный цикл либо на протяжении одного года, в виде денежной,
производительной, товарной формы, что приводит к их разделению на
производственные оборотные фонды и фонды обращения.
На данной основе можно рассматривать оборачиваемость основных и оборотных
средств как цикл оборачиваемости денежных средств, проходящих все стадии
обращения, при этом количество стадий обращения зависит от отраслевой
принадлежности компании.
Вместе с основными и оборотными средствами в оборачиваемости капитала
принимают участие нематериальные активы, долгосрочные и краткосрочные
финансовые вложения (рис. 2)24.
Капитал в процессе производственно-хозяйственной деятельности находится в
постоянном кругообороте, изменяя свою денежную форму на материальную, в виде
различных форм продукции, товаров, услуг, а затем заново обретая форму денежных
средств.
В соответствии с классическим определением, кругооборот капитала состоит
из трех стадий.
На первой стадии кругооборот капитала организаций имеет начало с
авансирования своей стоимости в денежной форме для приобретения основных
средств, нематериальных активов, оборотных средств, преобразуя денежные
средства в производственные запасы, из сферы обращения в сферу производства.
При этом, стоимость не расходуется, а авансируется, так как она
возвращается после окончания кругооборота. По завершению данной стадии
прерывается товарное обращение, но не кругооборот.
Рисунок 2 .Цикл кругооборота капитала предприятия
Вторая стадия включает процесс производства, как создания новой продукции
с добавочной стоимостью, капитал совершает кругооборот в процессе производства,
в котором рабочая сила осуществляет производительное потребление средств
производства, создавая новый продукт, который несет в себе перенесенную и
дополнительно созданную стоимость. На этом этапе авансированная стоимость
преобразуется из производственной в товарную форму.
Третья стадия кругооборота основана на получении денежных средств от
продажи произведенной продукции. На протяжении этой стадии оборотные средства
заново переходят из сферы производства в сферу обращения, прерванное товарное
обращение снова возобновляется, при этом стоимость из товарной преобразуется в
денежную форму. На данной стадии образуются денежные накопления организации, в
виде разницы между денежными средствами, израсходованных на производство и
реализацию товарной продукции, и полученных непосредственно от ее реализации.
Кругооборот фондов коммерческих организаций может происходить лишь при условии
авансирования стоимости, которая выражается в денежной форме. При вступлении в
кругооборот, производственные фонды несколько раз изменяют свои функциональные
формы.
Среди основных экономических законов, которые необходимо учитывать при
управлении процессом воспроизводства основного капитала, следует обратить
внимание на закон движения. На данный закон обращали внимание ученые П.А.
Малышев и Ф.Ф. Стерликов26. В соответствии с данным законом, любая
экономическая система является динамической, движение которой определяется
изменением ее состояния с течением времени.
Если применить данный закон к процессу воспроизводства основного
капитала, то будет наблюдаться последовательное изменение основных элементов,
определяющих его функционирование. К примеру, реализация закона движения в
процессе воспроизводства основного капитала выражается в том, что с ростом
инвестиций всегда повышается стоимость основного капитала, что приводит к росту
амортизационных отчислений, либо например, проведение ремонтных работ приводит
к снижению изношенности средств труда.
С законом движения в непосредственной связи находится другой
экономический закон, который воздействует на процесс воспроизводства основного
капитала - закон развития. Данный закон можно сформулировать как поступательное
цикличное движение экономических явлений и процессов.
Расширенный процесс воспроизводства основного капитала может быть
экстенсивным или интенсивным. Экстенсивное расширенное воспроизводство
выражается как рост размера основного капитала за счет средств труда
аналогичных уже используемых предприятием в производственном процессе27. Данный
процесс воспроизводства основного капитала характерен, главным образом, при
реализации закона движения. Закон развития, в первую очередь, предусматривает
интенсивный способ расширенного воспроизводства основного капитала, основанного
на использовании в производственно-хозяйственной деятельности организации
нового оборудования, более экономичного и производительного.
Проявление закона развития в процессе воспроизводства основного капитала
можно наблюдать как результат использования инновационных решений в
инвестиционных вложениях предприятия.
Также, управление процессом воспроизводства основного капитала необходимо
осуществлять на основе выполнения закона стоимости. Данный закон является
законом товарного производства, который регулирует товарный обмен исходя из
количества затраченного на производство общественно-необходимого труда.
Качественный аспект закона стоимости выражается в том, что товары соизмеримы,
так как имеют одну общественную составляющую - овеществленный в них труд. При
действии закона стоимости возникает единообразие во множестве продуктов труда,
создавая общественную связь между различными в рамках разделения труда
производителями продукции.
Принимая в виде овеществленного труда живой труд прошлых периодов,
воплощенный в средствах производства, а именно в средствах и предметах труда,
можно говорить о том, что основной капитал, привлеченный в процесс
производства, принимая участие в создании продукции, является одним из
экономических элементов, воспроизводство которого находится под воздействием
закона стоимости.
Выполнение закона стоимости приводит производителей продукции к
необходимости уменьшения индивидуальных затрат труда в сравнении с общественно
необходимыми затратами труда, что при конкуренции выполнимо не для всех
компаний. Организации, которые не возмещают затраты при реализации товаров,
разоряются, те же, которые используют в производстве различные инновационные
решения, которые снижают расходы труда, материалов, энергозатрат, получают
прибыль.
Действие закона стоимости приводит к повышению эффективности процесса
воспроизводства основного капитала, увеличивая загруженность производственных
мощностей, сокращая бездействующие средств труда28.
Управление процессом воспроизводства основного капитала также подчиняется
экономическому закону прибавочной стоимости. Данный закон характеризует
объективный процесс ведения индивидуального производства, связанного с
созданием наемными работниками стоимости сверх стоимости собственной рабочей
силы и ее присвоением собственником средств производства. Действительно,
предприниматели, создавая экономические ресурсы в необходимых для
производственного процесса объемах, рассчитывают на более высокую отдачу от их
использования.
Поэтому вновь созданная стоимость, воплощенная в продукции, может быть
разделена на стоимость рабочей силы, что соответствует оплате ее труда, и
прибавочную стоимость, которая включает не только величину потребленных средств
производства, но и прибыль.
Содержание и возмещение использованной части основного капитала
предусматривает включение соответствующих расходов в стоимость произведенной
продукции. Здесь можно согласиться с утверждением о том, что в любом обществе
производитель не может получить все, что им создано для индивидуального
потребления. Прежде, чем товар войдет в индивидуальное потребление, из его
стоимости необходимо вычесть амортизацию, накопление, страховые запасы, затраты
на социальные нужды. Прибавочная стоимость расходуется на накопление, в виде
налогов уходит в бюджет, включается в потребление собственников.
Таким образом, в соответствии с законом прибавочной стоимости, наиболее
эффективное управление процессом воспроизводства основного капитала
коммерческой организации, связанное с использованием в процессе производства
нового, инновационного оборудования, позволяет значительно увеличить размер
прибавочной стоимости, таким образом повышая прибыльность
финансово-хозяйственной деятельности.
Расширенное воспроизводство основного капитала также ведется в
соответствии с законом накопления капитала. Данный закон регулирует соотношения
между потреблением и накоплением прибавочной стоимости, определяя дно из
необходимых условий ведения расширенного воспроизводства - капитализацию части
прибыли. Закон накопления капитала характеризуется как «превышение производства
над текущим потреблением, превышение производства над доходом». Данное
превышение соответствует части прибавочной стоимости, накапливаемой и
используемой для целей развития производства.
Накопление основного капитала осуществляется экстенсивным либо
интенсивным путем29.
Экстенсивное накопление основного капитала включает расширение масштабов
производства за счет приобретения средств труда, в целом аналогичным уже
используемым на предприятии. Поэтому экстенсивное накопление основного капитала
является его количественным увеличением. Интенсивное накопление, в отличие от
экстенсивного накопления основного капитала, это качественное улучшение
технического уровня производства в результате использования нового,
инновационного оборудования.
Накопление основного капитала ограничивается размером прибыли, которая
остается в распоряжении организации. Но темпы развития производства довольно
часто нуждаются в дополнительных финансовых ресурсах для инвестирования в
основной капитал компании. Для привлечения дополнительного капитала могут быть
использованы разные заемные финансовые инструменты. Возможность использования
заемных источников средств финансирования капитальных вложений в процессе воспроизводства
основного капитала должна подчиняться закону денежного обращения.
Применительно к процессу воспроизводства основного капитала закон
денежного обращения состоит в следующем: возможности, размеры и условия
привлечения заемного капитала в инвестиционный процесс должны быть ограничены
генерируемыми им денежными потоками. На уровне предприятий действие закона
денежного обращения влияет на обоснование экономической эффективности
инвестиционных проектов. Выполнение данного закона позволяет предприятиям
обеспечить рациональное соотношение собственных и заемных средств, поддерживая
финансовую устойчивость на приемлемом уровне, сохраняя платеже - и
кредитоспособность.
Вместе с тем, использование кредитных ресурсов в производственно -
хозяйственной деятельности не отделимо от возникновения финансовых рисков. На
это влияет характер предоставления заемных средств, с их срочностью,
возвратностью, платностью и обеспеченностью.
Экономические законы, на основе которых осуществляется процесс управления
и воспроизводства основного капитала, действуют комплексно, оказывая влияние на
функционирование средств труда в тесной взаимосвязи.
Вывод по главе 1
Эффективным инструментом регулирования инвестиционного процесса выступает
амортизация основного капитала. Примерно на 60-70% потребности предприятий в
инвестиционных средствах удовлетворяются за счет амортизационных отчислений.
Основной капитал организации, представленный основными средствами, за
время эксплуатации физически изнашивается и теряет свою стоимость, периодически
перенося ее на затраты производства в виде амортизационных отчислений. В целях
постоянного осуществления производственной деятельности организации необходимо
воспроизводство основных средств, которое возможно осуществить исключительно
через механизм амортизации, что является традиционным для отечественного
бухгалтерского учета.
Важной задачей является правильное управление процессом кругооборота
основных средств, для чего необходимо правильное определение срока полезного
использования объектов основных средств; выбор оптимального срока начисления
амортизации. Эти задачи напрямую связаны с проводимой организацией
амортизационной политикой, поскольку на сегодняшний день именно амортизация
является единственным инструментом отражения в бухгалтерском учете физического
износа основных средств и механизмом управления основными средствами.
Преимущества амортизации следующие:
- отсутствие дополнительных издержек при использовании
амортизационных отчислений на инвестиционные цели по сравнению с привлекаемыми заемными
средствами;
- большая стабильность, непрерывность и прогнозируемость
амортизационных отчислений как финансового потока (по сравнению с прибылью,
дотациями, субсидиями и т. п.);
- возможность формирования амортизационного фонда через
регулирование налогооблагаемой базы по налогам на прибыль и имущество;
- самостоятельность в регламентации обязательности формирования и
воспроизводства амортизационной политики в составе учетной политики
предприятия.
В РФ государственная амортизационная политика недостаточно гибкая и имеет
ярко выраженный пассивный характер. До сих пор амортизация рассматривается как
простое выражение износа основных фондов, часть издержек, а не как источник
активизации инвестиционной деятельности для обновления и модернизации основного
капитала. И этот переход от «затратного» порядка определения амортизации к
процессу формирования реального денежного амортизационного фонда затянулся,
несмотря на то, что предприятиям предоставлена возможность применять ускоренные
методы начисления амортизации.
Существует необходимость принятия государственной программы, направленной
на модернизацию и развитие основных фондов, детально проработать вопросы
интенсификации обновления основного капитала, ориентируясь на целевой,
комплексный подход, учитывающий множество факторов, влияющих на процесс, в том
числе с использованием комплексного анализа финансового состояния хозяйствующих
субъектов.
Глава 2. ОЦЕНКА АМОРТИЗАЦИОННОЙ ПОЛИТИКИ ЗАО МПБК «ОЧАКОВО»
2.1 Организационно-экономическая характеристика
предприятия ЗАО МПБК «ОЧАКОВО»
Закрытое акционерное общество Московский пиво-безалкогольный комбинат
«Очаково» (ЗАО МПБК «Очаково») было основано в 1978 году.
Московский пиво-безалкогольный комбинат «Очаково» и его региональные
заводы, оснащены самым современным оборудованием от ведущих европейских
производителей: «SIG Simonazzi» (Италия), «Sidel» (Франция) «Buhler»
(Швейцария-Германия), «Steinecker» (Германия), «Holvrieka» (Бельгия), «Filtrox»
(Швейцария), «CFT» (Италия).
В ассортименте компании широкий выбор продукции, среди которой пиво,
квас, сок, медовуха, безалкогольные и слабоалкогольные напитки, питьевые и
минеральные воды, вино и водка.
Напитки компании поставляются в 60 регионов России и более чем в 30
зарубежных стран, таких как США, Германия и другие. Конкурентные преимущества
продукции компании:
- натуральная продукция: все напитки производятся из натурального
сырья, качество которого контролируется;
- качественное оборудование для производства лучших мировых
производителей;
- опытный персонал, как с опытом высшей советской школы, так и
современные специалисты европейского уровня;
- выпуск продукции по традиционной рецептуре; классические технологии
выпуска.
В состав компании входит более 10 предприятий.
Органами управления Общества являются: Общее собрание участников; Совет
директоров; Генеральный директор; Ликвидационная комиссия - с момента
назначения ликвидационной комиссии при добровольной ликвидации компании.
Структура управления предприятием ЗАО МПБК «Очаково» представлена на
рисунке.
Рисунок 3 . Структура управления ЗАО МПБК «Очаково»
Рассмотрим функции Генерального директора, как главного органа управления
предприятием:
- действует от имени ООО, в том числе выступает от имени ООО в
отношениях с любыми организациями и государственными органами по всем вопросам,
связанным с деятельностью;
- определяет размер необходимых затрат;
- осуществляет открытие счетов и вкладов в банках;
дает указания и распоряжения персоналу компании;
утверждает структуру и штаты компании;
- проводит прием на работу и увольнение персонала, применяет к нему
меры поощрения и взыскания.
Директор подотчетен в своей деятельности общему собранию собственников
компании.
В обязанности главного бухгалтера входит осуществление организации
бухгалтерского учета хозяйственно-финансовой деятельности и контроля за
экономным использованием материальных, трудовых и финансовых ресурсов,
расходование средств на выплаты персоналу компании.
В подчинении у главного бухгалтера находятся работники бухгалтерии.
Директор по коммерции осуществляет контроль коммерческой, сбытовой,
маркетинговой, рекламной деятельности предприятия, торгового персонала,
складов. В обязанности Директора по коммерции входит составление планов продаж
и их согласование с Генеральным Директором ЗАО МПБК «Очаково».
Директор по экономике и финансам заведует экономическими и финансовыми
вопросами предприятия, следит за выполнением финансовых обязательств
предприятия и его контрагентов.
Директор по производству осуществляет контроль производственного процесса
и производственных подразделений компании.
Директор по безопасности и режиму курирует вопросы пропускного режима,
получения и отправки грузов через проходные предприятия, заведует охранной
службой.
Директор по персоналу контролирует кадровую службу предприятия,
осуществляя набор, увольнение, движение персонала.
Линейное и функциональное подчинение линейных Директоров -
непосредственно Генеральному Директору ЗАО МПБК «Очаково».
Организационная структура управления ЗАО М ПБК «Очаково» представлена на
рисунке 4.
Рассмотрим уровни управления ЗАО МПБК «Очаково»: 1 уровень: единоличный
орган управления
2 уровень: директоры разных направлений.
3 уровень: заместители директоров. Контролируют и направляют
деятельность предприятия в рамках своих должностных обязанностей.
4 уровень: руководители различных цехов и отделов.
5 уровень: начальники отделов. Работают как заместители.
Контролируют ежедневную деятельность и делопроизводство в отделе.
6 уровень: специалисты разного профиля. Обладают специальными навыками
и знаниями для выполнения конкретных сложных задач.
Рисунок 4 . Организационная структура управления ЗАО МПБК «Очаково»
Организационная структура управления ЗАО МПБК «Очаково» является
линейно-функциональной. Данная структура управления соответствует его размерам
и эффективному выполнению производственных, хозяйственных и коммерческих задач.
Основные показатели финансово-хозяйственной деятельности предприятия
представлены в табл. 2.1.1.
Некоторые из значащих показателей деятельности предприятия имеют
тенденцию к росту за 2013-2015 годы:
- выручка от реализации продукции увеличилась на 2036044 тыс. руб.
(23,1%);
- стоимость основных фондов - на 163336 тыс. руб. (144,5%);
- оборотные средства - на 591225 тыс. руб. (20,0%).
Таблица 2.1.1 - Основные показатели производственно-хозяйственной
деятельности ЗАО МПБК «Очаково» в 2013-2015 гг., тыс. руб.
|
Показатели
|
Годы
|
Отклонение 2015/2013
|
|
2013
|
2014
|
2015
|
абсол. +/-
|
относ., %
|
|
Выручка от реализации
продукции
|
8832692
|
9419266
|
10868736
|
2036044
|
23,1
|
|
Стоимость основных фондов
|
113001
|
288226
|
276337
|
163336
|
144,5
|
|
Фондоотдача, руб. /руб.
|
78,2
|
32,7
|
39,3
|
-38,8
|
-49,7
|
|
Оборотные средства
|
2952896
|
2831148
|
3544121
|
591225
|
20,0
|
|
Коэффициент оборотности
оборотных средств, об.
|
2,99
|
3,33
|
3,07
|
0,08
|
2,5
|
|
Стоимость активов
|
12548932
|
7447766
|
8725295
|
-3823637
|
-30,5
|
|
Себестоимость продукции
|
4392114
|
6685190
|
8667439
|
4275325
|
97,3
|
|
Чистая прибыль
|
3939870
|
2366738
|
1741810
|
-2198060
|
-55,8
|
|
Рентабельность продукции по
чистой прибыли, %
|
89,7
|
35,4
|
20,1
|
-69,6
|
-
|
|
Рентабельность активов по
чистой прибыли, %
|
31,4
|
31,8
|
20,0
|
-11,4
|
-
|
Вместе с тем, некоторые показатели снизились:
- активы предприятия - на 3823637 тыс. руб. (30,5%);
- чистая прибыль - на 2198060 тыс. руб. (55,8%).
Несмотря на снижение чистой прибыли, предприятие остается прибыльным на
протяжении 2013-2015 годов, поэтому показатели рентабельности находятся на
сравнительно высоком уровне - 20,0% рентабельности активов, 20,1%
рентабельности продукции.
Таким образом, ЗАО МПБК «Очаково» находится на второй стадии структурного
развития. Сконцентрировавшись в одной привлекательной нише, предприятие с
данной структурой может успешно функционировать. Но при переходе на новые виды
продукции преимущества могут быть утрачены, может развиться кризис автономии,
при котором персоналу, управляющему новым производством, может потребоваться
больше свободы при принятии управленческих решений.
На протяжении 2013-2015 годов предприятие было прибыльным, с позитивной
динамикой роста выручки, основных фондов и других показателей.
2.2 Анализ основных финансовых показателей предприятия
Оценим состояние активов и пассивов ЗАО МПБК «Очаково» по данным
финансовой отчетности за 2013-2015 гг.
Составим на основе годовой отчетности предприятия агрегированный баланс
предприятия (табл. 2.2.1).
Позитивным является увеличение основного производственного капитала
(основных средств) - на 163336 тыс. руб. или на 144,5%.
Отрицательным в этот период является то, что организация имеет
краткосрочную дебиторскую задолженность в сумме 3331922 тыс. руб. на конец 2015
года. Наличие ее в такой значительной сумме вызывает отвлечение оборотных
средств компании из производственно- хозяйственного оборота.
Позитивным является увеличение основного производственного капитала
(основных средств) - на 163336 тыс. руб. или на 144,5%.
Отрицательным в этот период является то, что организация имеет
краткосрочную дебиторскую задолженность в сумме 3331922 тыс. руб. на конец 2015
года. Наличие ее в такой значительной сумме вызывает отвлечение оборотных средств
компании из производственно- хозяйственного оборота.
Позитивным является увеличение основного производственного капитала
(основных средств) - на 163336 тыс. руб. или на 144,5%.
Таблица 2.2.1 - Основные статьи баланса ЗАО МПБК «Очаково» в 2013-2015
гг., тыс. руб.
|
Статьи
|
2013
|
2014
|
2015
|
Отклонение 2015 г. от 2013
г.
|
|
|
|
|
абс.
|
%
|
|
Активы
|
|
|
|
|
|
|
Внеоборотные активы, в том
числе:
|
9596036
|
4616618
|
5181173
|
-4414863
|
-46,0
|
|
Нематериальные активы
|
0
|
0
|
0
|
0
|
-
|
|
Основные средства
|
113001
|
288226
|
276337
|
163336
|
144,5
|
|
Финансовые вложения
|
9427579
|
4275842
|
4872934
|
-4554645
|
-48,3
|
|
Отложенные налоговые активы
|
3427
|
0
|
5145
|
1718
|
50,1
|
|
Прочие внеоборотные активы
|
52029
|
52550
|
26758
|
-25271
|
-48,6
|
|
Оборотные активы, в том
числе:
|
2952896
|
2831148
|
3544121
|
591225
|
20,0
|
|
Запасы
|
31865
|
33863
|
57280
|
25415
|
79,8
|
|
Дебиторская задолженность
|
2830641
|
2621568
|
3331922
|
501281
|
17,7
|
|
Финансовые вложения
|
0
|
0
|
0
|
0
|
-
|
|
Денежные средства
|
59294
|
103869
|
92817
|
33523
|
|
Прочие статьи оборотных
активов
|
23341
|
40337
|
47893
|
24552
|
105,2
|
|
Пассивы
|
|
|
|
|
|
|
Капитал и резервы, в том
числе:
|
4388376
|
4907888
|
6649697
|
2261321
|
51,5
|
|
Уставный капитал
|
48000
|
48000
|
48000
|
0
|
0,0
|
|
Резервный капитал
|
7200
|
7200
|
7200
|
0
|
0,0
|
|
Нераспределенная прибыль
|
4333163
|
4852675
|
6594484
|
2261321
|
52,2
|
|
Долгосрочные обязательства
|
0
|
5786
|
9261
|
9261
|
-
|
|
Краткосрочные обязательства,
в том числе:
|
8160556
|
2534092
|
2066337
|
-6094219
|
-74,7
|
|
Заемные средства
|
8402
|
0
|
0
|
-8402
|
-100,0
|
|
Кредиторская задолженность
|
8152155
|
2516118
|
2040613
|
-6111542
|
-75,0
|
|
Прочие краткосрочные
обязательства
|
0
|
0
|
0
|
0
|
-
|
|
Баланс
|
12548932
|
7447766
|
8725295
|
-3823637
|
-30,5
|
Согласно данным таблицы, за исследуемый период наблюдалось снижение
капитала компании (имущества) - на 4414863 тыс. руб. (46,0%).
Динамика основных разделов актива баланса предприятия представлена на
рис. 5.
Рисунок 5 . Динамика активов ЗАО МПБК «Очаково» в 2013-2015 гг., тыс.
руб.
Позитивным является увеличение основного производственного капитала
(основных средств) - на 163336 тыс. руб. или на 144,5%.
Отрицательным в этот период является то, что организация имеет
краткосрочную дебиторскую задолженность в сумме 3331922 тыс. руб. на конец 2015
года. Наличие ее в такой значительной сумме вызывает отвлечение оборотных
средств компании из производственно- хозяйственного оборота.
За три года деятельности уменьшение активов организации на 3823637 тыс.
руб. (на 30,5%) произошло в основном, за счет статей внеоборотного капитала -
на 4424863 тыс. руб. (46,0 %): финансовых вложений - на 4554645 тыс. руб. (48,3
%); прочих внеоборотных активов - на 25271 тыс. руб. (48,6 %).
Оборотный капитал компании увеличился на 591225 тыс. руб. (20,0 %), в том
числе запасы возросли на 25415 тыс. руб. (79,8%), средства в расчетах - на
501281 тыс. руб. (17,7%), денежные средства - на 33523 тыс. руб. (56,5%).
Далее рассмотрим статьи пассива баланса предприятия ЗАО МПБК «Очаково».
Динамика основных статей заемных и привлеченных средств пассива баланса
компании представлена на рис. 6.
Рисунок 6 . Динамика заемных и привлеченных средств ЗАО МПБК «Очаково» в
2013-2015 гг., тыс. руб.
За три года деятельности увеличение источников капитала ЗАО МПБК
«Очаково» произошло, в основном, за счет собственного капитала - на 2261321
тыс. руб. (на 51,5%), за счет нераспределенной прибыли на эту сумму.
Позитивным является сокращение финансирования деятельности предприятия за
счет статей заемного капитала: произошло снижение краткосрочных обязательств на
сумму 6094219 тыс. руб. (на 74,7%), в том числе кредиторской задолженности на
6111542 тыс. руб. (75,0%), сумма долгосрочных обязательств возросла за 3 года с
0 до 9231 тыс. руб. Далее исследуем структурные сдвиги в капитале предприятия.
Таблица 2.2.2 - Удельный вес статей активов и пассивов ЗАО МПБК «Очаково»
в 2013-2015 гг., %
|
Статьи
|
2013
|
2014
|
2015
|
Отклонение 2015 г. от
2013г.
|
|
Активы
|
|
|
|
|
|
Внеоборотные активы, в том
числе:
|
76,5
|
62,0
|
59,4
|
-17,1
|
|
Нематериальные активы
|
0,0
|
0,0
|
0,0
|
0,0
|
|
Основные средства
|
0,9
|
3,9
|
3,2
|
2,3
|
|
Финансовые вложения
|
75,1
|
57,4
|
55,8
|
-19,3
|
|
Отложенные налоговые активы
|
0,0
|
0,0
|
0,1
|
0,0
|
|
Прочие внеоборотные активы
|
0,4
|
0,7
|
0,3
|
-0,1
|
|
Оборотные активы, в том
числе:
|
23,5
|
38,0
|
40,6
|
17,1
|
|
Запасы
|
0,3
|
0,5
|
0,7
|
0,4
|
|
Дебиторская задолженность
|
22,6
|
35,2
|
38,2
|
15,6
|
|
Финансовые вложения
|
0,0
|
0,0
|
0,0
|
0,0
|
|
Денежные средства
|
0,5
|
1,4
|
1,1
|
0,6
|
|
Прочие статьи оборотных
активов
|
0,2
|
0,5
|
0,5
|
0,4
|
|
Баланс
|
100,0
|
100,0
|
100,0
|
|
|
Пассивы
|
|
|
|
|
|
Капитал и резервы, в том
числе:
|
35,0
|
65,9
|
76,2
|
41,2
|
|
Уставный капитал
|
0,4
|
0,6
|
0,6
|
0,2
|
|
Резервный капитал
|
0,1
|
0,1
|
0,1
|
0,0
|
|
Нераспределенная прибыль
|
34,5
|
65,2
|
75,6
|
41,0
|
|
Долгосрочные обязательства
|
0,0
|
0,1
|
0,1
|
0,1
|
|
Краткосрочные
обязательства, в том числе:
|
65,0
|
34,0
|
23,7
|
-41,3
|
|
Заемные средства
|
0,1
|
0,0
|
0,0
|
-0,1
|
|
Кредиторская задолженность
|
65,0
|
33,8
|
23,4
|
-41,6
|
|
Прочие краткосрочные
обязательства
|
0,0
|
0,0
|
0,0
|
0,0
|
|
Баланс
|
100,0
|
100,0
|
100,0
|
|
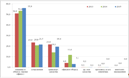
По структуре активов предприятия в 2013-2015 гг. доля статей
внеоборотного капитала уменьшилась с 76,5% в 2013 г. до 59,4% в 2015 г.
Соответственно, доля оборотного капитала возросла с 23,5 до 40,6% - за счет
роста доли дебиторской задолженности (на 15,6%), денежных средств (на 0,6%),
запасов (на 0,4%).
Общие изменения в структуре произошли вследствие сокращения активов ЗАО
МПБК «Очаково».
В структуре оборотного капитала в 2013-2015 годах изменилась доля
ликвидных средств - в расчетах (с 22,6% до 38,2%), возросла доля денежных
средств (с 0,5% до 1,1%), запасов (с 0,3% в 2013 г. до 0,7% в 2015 г.), что
объясняется их ростом в 2015 году в абсолютном выражении.
В структуре источников капитала ЗАО МПБК «Очаково» доля собственного
капитала возросла с 35,0% в 2013 г. до 76,2% в 2015 г., соответственно
снизилась доля заемного капитала. Такие сдвиги произошли вследствие роста
собственных средств, снижения доли заемного капитала на протяжении 2013-2015
гг. соответственно.
За этот период деятельности ЗАО МПБК «Очаково» доля заемного капитала
снижалась в большей мере за счет краткосрочных займов - снижение с 65,0% в 2013
г. до 23,7% в 2015 году, доля долгосрочных займов не изменилась - около 0,1%,
доля кредиторской задолженности снизилась с 65% в 2013 г. до 23,4% в 2015 г.
соответственно.
Разные стороны производственной, сбытовой, снабженческой и финансовой
деятельности любого предприятия получают оценку в системе показателей
финансовых результатов.
Для проведения вертикального и горизонтального анализа показателей
рассчитаем табл. 2.2.3, используя данные отчетности предприятия.
Таблица 2.2.3 - Анализ прибыли ЗАО МПБК «Очаково» в 2013 - 2015 гг., тыс.
руб.
|
Наименование показателя
|
2013
|
2014
|
2015
|
откл. 2015/ 2013
|
откл. 2015/ 2013, %
|
|
Выручка от реализации
|
8832692
|
9419266
|
10868736
|
2036044
|
23,1
|
|
Себестоимость реализации
|
4392114
|
6685190
|
8667439
|
4275325
|
97,3
|
|
Валовая прибыль
|
4440578
|
2734076
|
2201397
|
-2239181
|
-50,4
|
|
Прибыль (убыток) от продаж
|
4440578
|
2734076
|
2201397
|
-2239181
|
-50,4
|
|
Другие обычные доходы и
расходы
|
421991
|
215564
|
171148
|
-250843
|
-59,4
|
|
Прибыль (убыток) до
налогообложения
|
4862569
|
2949640
|
2372445
|
-2490124
|
-51,2
|
|
Налог на прибыль
|
922697
|
573361
|
458931
|
-463766
|
-50,3
|
|
Чистая прибыль отчетного
периода
|
3939870
|
2366738
|
1741810
|
-2198060
|
-55,8
|
Чистая выручка от реализации продукции в 2014 г. возросла с 8832692 тыс.
руб. до 9419266 тыс. руб. (на 586574 тыс. руб. или на 6,6%), чистая прибыль
предприятия в 2014 г. уменьшилась в сравнении с 2013 - уменьшение с 3939870
тыс. руб. до 2366738 тыс. руб. в 2014 г. (на 1573132 тыс. руб. или на 39,9%).
Изменение прибыли в 2014 г. произошло в основном, вследствие роста
себестоимости на 52,2%, который не смог компенсировать рост выручки на 6,6% от
уровня 2013 г.
Окончательно повлияло на размер прибыли 2014 г. снижение налога на
прибыль на 37,9%.
Далее проанализируем изменение прибыли предприятия в 2015 г. в сравнении
с 2014 г.
Чистая выручка от реализации продукции в 2015 г. возросла с 9419266 тыс.
руб. до 10868736 тыс. руб. (на 1449470 тыс. руб. или на 15,4%), но чистая прибыль
предприятия снизилась до 1741810 тыс. руб., (снижение на 624928 тыс. руб., что
составило 26,4%). Это произошло вследствие роста себестоимости продукции на
1982249 тыс. руб. или на 29,7%.
Также уменьшилась сумма других обычных расходов - на 20,6% от уровня 2014
г., что в итоге привело к снижению чистой прибыли на 26,4% от уровня 2014 г.
Динамика изменения показателей выручки и прибыли предприятия представлена
на рис. 7.
За 3 года деятельности ЗАО МПБК «Очаково» уменьшил величину чистой
прибыли на 55,8%.
Наибольшим образом положительно повлиял рост выручки на 23,1%,
отрицательно - рост себестоимости на 97,3%.
Рисунок 7 . Динамика показателей выручки и прибыли ЗАО МПБК «Очаково» в
2013-2015 гг., тыс. руб.
Структуру прибыли предприятия ЗАО МПБК «Очаково» проанализируем с помощью
нижеследующей табл. 2.2.4.
Таблица 2.2.4 - Анализ структуры прибыли ЗАО МПБК «Очаково» в 2013 - 2015
гг., %
|
Наименование показателя
|
2013
|
2014
|
2015
|
2015/2013
|
|
Выручка от реализации
|
100,0
|
100,0
|
100,0
|
0,0
|
|
Себестоимость реализации
|
49,7
|
71,0
|
79,7
|
30,0
|
|
Валовая прибыль
|
50,3
|
29,0
|
20,3
|
-30,0
|
|
Прибыль (убыток) от продаж
|
50,3
|
29,0
|
20,3
|
-30,0
|
|
Другие обычные доходы и
расходы
|
4,8
|
2,3
|
1,6
|
-3,2
|
|
Прибыль (убыток) до
налогообложения
|
55,1
|
31,3
|
21,8
|
-33,2
|
|
Налог на прибыль
|
10,4
|
6,1
|
4,2
|
-6,2
|
|
Чистая прибыль отчетного
периода
|
44,6
|
25,1
|
16,0
|
-28,6
|
На уменьшение доли чистой прибыли в объеме чистой реализации в 2013-2014
гг. наибольшим образом повлиял рост себестоимости на 21,3%, снижение доли
сальдо других обычных доходов и расходов на 2,5 процента.
И хотя за счет других факторов отрицательное значение этого роста удалось
в определенной степени нейтрализовать (снижение доли налога на прибыль), доля
чистой прибыли в 2014 г. уменьшилась с 44,6% в 2013 г. до 25,1% от объема
чистой реализации.
В 2014-2015 гг. на снижение доли чистой прибыли в объеме чистой
реализации наибольшим образом повлиял рост себестоимости - с 71 до 79,7%.
Таким образом, в 2013-2015 гг., компания ЗАО МПБК «Очаково» была
прибыльной, но уменьшила чистую прибыль на 55,8%.
Наибольшие негативные факторы, вызвавшие снижение прибыли - рост
себестоимости на 97,3%.
2.3 Исследование амортизационной политики ЗАО МПБК «ОЧАКОВО »
Амортизация и учет основных средств (ОС) и нематериальных активов (НМА) в
компании ЗАО МПБК «Очаково» закреплены учетной политикой бухгалтерского учета.
В целях учетной политики управленческого учета компания в целях
начисления амортизации ОС использует линейный способ.
На размер амортизации влияет стоимость объекта ОС и сроки начисления
амортизации. Амортизация по объектам ОС начисляется ЗАО МПБК «Очаково»
ежемесячно в размере 1/12 годовой суммы амортизации (п. 19 ПБУ 6/01).
Исключение установлено для ОС сезонного использования, по которым годовая сумма
амортизации исчисляется равномерно в течение периода работы компании в отчетном
году.
Согласно ПБУ 6/01 начисление амортизации по объекту ОС ведется с 1 числа
месяца, после его принятия на учет, и происходит до полного погашения стоимости
ОС или его списания с учета. Начисление амортизации прекращается с 1 числа
месяца, после полного погашения стоимости Ос или списания с учета.
Возможно приостановление начисления амортизации:
при консервации данных ОС более чем на 3 месяца;
на срок восстановления объекта ОС, если он больше 12 месяцев.
Фактом приостановления начисления амортизации считается приказ
генерального директора компании.
В состав нематериальных активов включаются объекты интеллектуальной
собственности (в соответствии с п.3 ПБУ 14).
Нематериальные активы (НМА) принимаются к учету по первоначальной
стоимости. Первоначальная стоимость НМА, в случае их получения по договорам с
оплатой неденежными средствами, исчисляется по стоимости ценностей, переданных
компанией при таком обмене, исходя из сравнимой стоимости аналогичных объектов.
По НМА с неопределенным сроком полезного использования начисление
амортизации не производится (п. 23 ПБУ 14/2007).
В зависимости от принадлежности в организации имеются собственные
основные средства (принадлежащие организации по праву собственности) и полученные
в аренду без права выкупа. Все арендуемые здания и помещения отражаются в
финансовом учёте на забалансовых счетах. На предприятии основные средства
играют большую роль, они связаны со специализацией, благодаря им предприятие
имеет возможность производить металлопродукцию и оказывать разнообразные
услуги.
Учет основных средств на предприятии организован так, чтобы можно было
установить наличие основных средств по каждой классификационной группе и
отдельно по каждому объекту, местам нахождения и источникам их приобретения.
Это обеспечивается аналитическим учетом основных средств на карточках,
открываемых для каждого объекта и синтетическим учетом в целом по счету 01
«Основные средства» (ф. № ОС - 6).
Пассивную часть основных фондов представляют здания: складские помещения;
помещения цехов; офисные помещения. В ЗАО МПБК «Очаково» в настоящее время все
основные фонды, которые числящиеся на балансе, находятся в эксплуатации.
Основные фонды, приобретенные за плату, в том числе бывшие в
эксплуатации, принимаются к бухгалтерскому учету по первоначальной стоимости.
Оценка объектов основных фондов, ранее бывших в эксплуатации, проводится
на договорной основе.
Основным направление инвестиционных вложений ЗАО МПБК «Очаково» на
протяжении 2013-2015 гг. было финансирование основных средств и капитальных
вложений (табл. 2.3.1).
Таблица 2.3.1 - Направления инвестиционных вложений ЗАО МПБК «Очаково» на
протяжении 2013-2015 гг., тыс. руб.
|
статья
|
2013
|
2014
|
2015
|
|
первонач. стоимость
|
начисл. амортиз.
|
первонач. стоимость
|
накопл. амортиз.
|
начисл. амортиз.
|
первонач. стоимость
|
накопл. амортиз.
|
начисл. амортиз.
|
|
Основные средства, всего
|
650851
|
510250
|
59839
|
668269
|
555268
|
63488
|
858699
|
570473
|
70995
|
|
Машины и оборудование.
(кроме офисн.)
|
309898
|
226143
|
30435
|
338967
|
255674
|
33874
|
412952
|
261362
|
39717
|
|
сооружения
|
107958
|
79146
|
14003
|
107266
|
91499
|
13188
|
166342
|
101667
|
15272
|
|
транспортные средства
|
184427
|
161068
|
12908
|
172885
|
162435
|
8960
|
235923
|
168914
|
13769
|
|
офисное оборудование
|
46117
|
41985
|
2391
|
46786
|
43735
|
7394
|
41179
|
36589
|
2168
|
|
др. основные средства
|
1080
|
913
|
66
|
994
|
894
|
49
|
994
|
942
|
45
|
|
производ. и хоз. инвентарь
|
905
|
529
|
36
|
905
|
565
|
23
|
843
|
531
|
24
|
|
многолетние насаждения
|
468
|
466
|
0
|
466
|
466
|
0
|
466
|
466
|
0
|
Основные направления вложений в составе основных средств - машины и
оборудование, здания и сооружения, транспортные средства.
Основной рост инвестиционных вложений в 2013-2015 гг. произошел по
статьям: машины и оборудование - на 103054 тыс. руб. (33,3%); сооружения,
здания - на 58384 тыс. руб. (54,1%); транспортные средства - на 51496 тыс. руб.
(27,9%).
Уменьшение произошло по офисному оборудованию - на 4938 тыс. руб.
(10,7%), незначительно сократились другие основные средства - на 86 тыс. руб.
(8,0%), инвентарь - на 62 тыс. руб. (6,9%), многолетние насаждения - на 2 тыс.
руб. (0,4%).
В 2014 году направления инвестиционных вложений ЗАО МПБК «Очаково»
включали в себя затраты на ремонт основных фондов, которые возросли на 24% за
счет роста ремонтных работ в зданиях (ремонт лифтов и вентиляции, ремонт
рекламных щитов, противопожарного оборудования, сантехнического оборудования)
на 45%, на фоне снижения затрат по ремонту оборудования на 17%.
Динамика изменения статей основных средств предприятия представлена на
рис. 8.
Рисунок 8 . Динамика основных средств ЗАО МПБК «Очаково» в 2013-2015 гг.,
тыс. руб.
Аренда и услуги сторонних организаций возросли в 3,1 раза за счет
увеличения затрат по аренде, услугам по санитарно - гигиеническому содержанию
на 23% (увеличение убираемых площадей), услугам связи на 24% (увеличение услуг
и тарифов сторонних организаций).
Прочие производственные расходы возросли на 33% за счет услуг по охране
объектов инфраструктуры.
Общехозяйственные расходы возросли на 2% за счет увеличения налогов на
16% за счет увеличения налогооблагаемой базы.
Затраты на содержание и эксплуатацию зданий, сооружений и оборудования
ЗАО МПБК «Очаково» возросли на 4%, в т.ч. за счет роста расходов на
коммунальные услуги на 4%: рост расходов по электроэнергии на 2% из-за роста
объемов потребления; рост расходов по теплу на 2% из-за роста потребления
тепла; рост расходов по воде составил 7% из-за роста потребления воды.
Затраты на ремонт возросли на 24% в т.ч.:
расходы на ремонт зданий возросли на 45% (окраска стен и потолков, ремонт
лифтов и т.д.);
уменьшились затраты на содержание и эксплуатацию автотранспорта на 28%.
Снижение обусловлено сокращением количества единиц автотехники и как следствие
затрат техническое обслуживание и ремонт транспорта.
Структура инвестиционных затрат предприятия ЗАО МПБК «Очаково»
представлена в табл. 2.3.2.
Таблица 2.3.2 - Структура инвестиционных затрат ЗАО МПБК «Очаково» в
2013-2015 гг., %
|
Статья
|
2013
|
2014
|
2015
|
2015/2013
|
|
Основные средства, всего
|
100,0
|
100,0
|
100,0
|
0,0
|
|
машины и оборудование
|
47,6
|
50,7
|
48,1
|
0,5
|
|
инвентарь
|
16,6
|
16,1
|
19,4
|
2,8
|
|
транспортные средства
|
28,3
|
25,9
|
27,5
|
-0,9
|
|
офисное оборудование
|
7,1
|
7,0
|
4,8
|
-2,3
|
|
другие основные средства
|
0,2
|
0,1
|
0,1
|
-0,1
|
|
сооружения
|
0,1
|
0,1
|
0,1
|
0,0
|
|
многолетние насаждения
|
0,1
|
0,1
|
0,1
|
0,0
|
В структуре инвестиционных вложений ЗАО МПБК «Очаково» за 2013-2015 гг.
наибольшим образом изменилась доля производственного и хозинвентаря - рост на
2,8%; машин и оборудование - рост на 0,5%.
Произошло снижение доли офисного оборудования - на ,3%, транспортных
средств - на 0,9%, других основных средств - на 0,1%.
В 2015 году затраты на ремонт ОПФ возросли на 24% за счет роста затрат на
ремонт оборудования.
Аренда и услуги сторонних организаций возросли на 63% за счет увеличения
затрат по аренде.
Наглядно изменения в структуре инвестиционных вложений представлены на
рис. 9.
Рисунок 9 . Структура инвестиционных вложений в 2013-2015 годах, %
Затраты ЗАО МПБК «Очаково» на аренду оборудования в 2015 году возросли на
30%, рост по услугам по санитарно - гигиеническому содержанию на 3% (увеличение
убираемых площадей), услугам связи на 12% (увеличение услуг и тарифов сторонних
организаций).
Прочие производственные расходы возросли на 8% за счет услуг по охране и
роста курса валют, затраты на обучение персонала возросли в 2,3 раза.
Затраты на содержание и эксплуатация зданий, сооружений и оборудования
возросли на 17% в т.ч. за счет роста расходов на коммунальные услуги на 9%:
рост расходов по электроэнергии на 10% из-за роста тарифа и объемов
потребления; рост расходов по теплу на 19% из-за роста потребления тепла и
среднего тарифа.
Расходы на ремонт в зданиях снизились на 46% (ремонт лифтов и вентиляции,
ремонт рекламных щитов, противопожарного оборудования, сантехнического
оборудования), так как большая часть ремонтных работ была проведена в 2014
году.
Проведем анализ степени износа основных средств. Степень износа основных
средств характеризует их возраст, возможность дальнейшего использования в
производственном процессе и необходимость замены оборудования.
Для проведения анализа износа основных средств рассчитаем значения
следующей системы показателей.
Таблица 2.3.3 - Показатели износа основных средств
|
Показатель
|
Формула
|
Экономическая
характеристика
|
|
Коэффициент
|
Сумма износа
|
основных
|
Степень износа основных
|
|
Износа основных
|
средств/Первоначальная
|
|
средств и возмещение затрат
от
|
|
средств
|
стоимость ОС
|
|
Формирования основных
|
|
|
|
средств
|
|
Коэффициент
|
Остаточная стоимость
основных
|
Возможность
|
дальнейшего
|
|
пригодности
|
средств/Первичная стоимость
|
использования,
|
степень
|
|
основных средств
|
возмещения
|
затрат на
|
|
|
формирование
|
основных
|
|
|
средств
|
|
С целью характеристики степени пригодности основных средств для
дальнейшего использования целесообразно также проводить группировку основных
средств по продолжительности их эксплуатации и сравнивать среднюю
продолжительность эксплуатации с нормативным значением.
Чем выше средний возраст отдельных групп основных средств и степень
соответствия нормативному сроку эксплуатации, тем ниже их технический уровень и
потребительские качества.
Показатели интенсивности восстановления основных средств предприятия
приведены в табл. 2.3.4.
Таблица 2.3.4 - Показатели интенсивности восстановления основных средств
|
Показатель
|
Формула
|
Экономическая
характеристика
|
|
1
|
2
|
3
|
|
Коэффициент обновления
основных средств
|
Стоимость введения ОС за
период/Стоимость ОС на конец аналитического периода
|
Удельный вес введения
основных средств в их общем объеме; степень обновления основных средств.
|
|
Коэффициент выбытия
основных средств
|
Стоимость основных средств,
которые выбыли из эксплуатации Стоимость основных средств на начало
аналитического периода
|
Удельный вес выбытия
основных средств в их общем объеме, степень потери основных средств.
|
|
Скорость обновления
|
1/Коэффициент основных
средств
|
обновления
|
Средний период полного
обновления всех основных средств предприятия (исходя из продолжительности
периодов)
|
|
|
|
|
Анализ данных показателей позволяет сделать вывод относительно состояния
восстановления основных средств и приоритетов предприятия в этом вопросе. Для
целей анализа сведем вышеприведенные данные в таблицу (табл. 2.3.5).
Таблица 2.3.5 - Анализ износа и восстановления основных средств ЗАО МПБК
«Очаково» в 2013-2015 гг.
|
Показатель
|
Годы
|
Отклонение
|
|
2013
|
2014
|
2015
|
2014 г. От 2013 г.
|
2015 г. от 2014 г.
|
2015 г. от 2013 г.
|
|
Коэффициент износа основных
средств
|
0,09
|
0,10
|
0,08
|
0,01
|
-0,02
|
-0,01
|
|
Коэффициент пригодности
|
0,78
|
0,55
|
0,48
|
-0,23
|
-0,07
|
-0,30
|
|
Коэффициент обновления ОС
|
0,48
|
0,27
|
0,17
|
-0,21
|
-0,10
|
-0,31
|
|
Коэффициент выбытия ОС
|
0,02
|
0,07
|
0,01
|
0,04
|
-0,06
|
-0,01
|
|
Скорость обновления
|
2,1
|
3,6
|
5,7
|
1,5
|
2,1
|
3,6
|
Согласно данным, представленным в таблице, можно утверждать, что износ
основных средств незначительно снижается (на 0,01 за 2 года). Негативным
является уменьшение за анализируемый период коэффициента обновления ОС - на
0,31, соответственно общая скорость обновления увеличилась в 2014 году в
сравнении с 2013 г. на 1,5, а в 2015 году - еще на 2,1, т.е. на 3,6 за 3 года.
Динамика показателей износа и восстановление основных средств ЗАО МПБК
«Очаково» в 2013 - 2015 гг. следующая:
Коэффициент износа основных средств возрос в 2014 году по сравнению с
2013, но снизился в 2015.
Коэффициент пригодности изменился снизился с 0,78 до 0,55 в 2014 году, и
уменьшился до 0,48 в 2015 г.
Коэффициент обновления ОС снизился с 0,48 до 0,27 по сравнению в 2013 и
2014 гг., и в 2015 г. - до 0,17.
Коэффициент выбытия ОС за 3 года имел незначительные колебания: 0,02 в
2013 г, 0,07 в 2014г., и 0,01 в 2015г.
Скорость обновления возросла за период 2013-2015 гг. с 2,1 до 5,7.
В целом можно сказать, что ЗАО МПБК «Очаково» проводило на протяжении
2013-2014 гг. политику постоянного обновления основных средств, увеличивая
объемы приобретения ОФ, но в 2015 году уменьшило темпы обновления.
В целом, проведенный анализ ОФ говорит о том, что основные средства в
деятельности ЗАО МПБК «Очаково» используются эффективно, но с одновременным
снижением отдельных показателей в 2015 году.
Динамика амортизационных отчислений ЗАО МПБК «Очаково» на протяжении
2013-2015 годов представлена в табл. 2.3.6.
Таблица 2.3.6 - Динамика амортизационных отчислений ЗАО МПБК «Очаково» на
протяжении 2013-2015 гг., тыс. руб.
|
Статья
|
2013
|
2014
|
2015
|
отклонение
|
|
|
|
|
2014/2013, %
|
2015/2014, %
|
2015 от 2013
|
2015/2013, %
|
|
1
|
2
|
3
|
4
|
5
|
6
|
7
|
8
|
|
Основные средства, всего
|
59839
|
63488
|
70995
|
6,1
|
11,8
|
11156
|
18,6
|
|
оборудование
|
30435
|
33874
|
39717
|
11,3
|
17,2
|
9282
|
30,5
|
|
сооружения
|
14003
|
13188
|
15272
|
-5,8
|
15,8
|
1269
|
9,1
|
|
транспорт. средства
|
12908
|
8960
|
13769
|
-30,6
|
53,7
|
861
|
6,7
|
|
офисное оборуд.
|
2391
|
7394
|
2168
|
209,2
|
-70,7
|
-223
|
-9,3
|
|
другие ОС
|
66
|
49
|
45
|
-25,8
|
-8,2
|
-21
|
-31,8
|
|
инвентарь
|
36
|
23
|
24
|
-36,1
|
4,3
|
-12
|
-33,3
|
|
многолет. насаждения
|
0
|
0
|
0
|
-
|
-
|
0
|
-
|
Динамика изменения амортизационных отчислений предприятия представлена на
рис. 10.

В 2015 г. произошел рост амортизации всех статей ОС на 11,8%, в основном,
за счет роста амортизации таких статей ОС, как оборудование - на 17,2%,
сооружения и здания - на 15,8%.
Структура амортизации ЗАО МПБК «Очаково» представлена в табл. 2.3.7.
Таблица 2.3.7 - Структура начисленной амортизации в 2013-2015 гг., %
|
Статья
|
2013
|
2014
|
2015
|
2015/2013
|
|
Основные средства, всего
|
100,0
|
100,0
|
100,0
|
0,0
|
|
Машины и оборудование
(кроме офисного)
|
50,9
|
53,4
|
55,9
|
5,1
|
|
сооружения
|
23,4
|
20,8
|
21,5
|
-1,9
|
|
транспортные средства
|
21,6
|
14,1
|
19,4
|
-2,2
|
|
офисное оборудование
|
4,0
|
11,6
|
3,1
|
-0,9
|
|
другие основные средства
|
0,1
|
0,1
|
0,1
|
0,0
|
|
инвентарь
|
0,1
|
0,0
|
0,0
|
0,0
|
|
многолетние насаждения
|
0,0
|
0,0
|
0,0
|
0,0
|
В структуре начисленной амортизации ЗАО МПБК «Очаково» за 2013- 2015 гг.
наибольшим образом возросла доля оборудования - рост на 5,1%.
Произошло снижение доли амортизации зданий - на 1,9%, транспортных средств
- на 2,2%, офисного оборудования - на 0,9%.
В 2015 году затраты на ремонт ОПФ возросли на 24% за счет роста затрат на
проведение ремонта оборудования.
Наглядно изменения в структуре начисленной амортизации представлены на
рис. 11.
В целом, основное внимание в амортизационной политике предприятие уделяет
обновлению оборудования и сооружений.
Оборудование постепенно обновляется на более новое и производительное, в
зданиях обновляются системы вентиляции, кондиционирования, лифты.
Вывод по главе 2
Московский пиво-безалкогольный комбинат «Очаково» (ЗАО МПБК «Очаково»)
является предприятием пивоваренной отрасли.
На протяжении 2013-2015 годов предприятие было прибыльным, с позитивной
динамикой таких показателей: выручка от реализации продукции увеличилась на 2036044
тыс. руб. (23,1%); стоимость основных фондов - на 163336 тыс. руб. (144,5%);
оборотные средства - на 591225 тыс. руб. (20,0%). Вместе с тем, некоторые
показатели снизились: активы предприятия - на 3823637 тыс. руб. (30,5%); чистая
прибыль - на 2198060 тыс. руб. (55,8%).
Несмотря на снижение чистой прибыли, предприятие остается прибыльным на
протяжении 2013-2015 годов, поэтому показатели рентабельности находятся на
сравнительно высоком уровне - 20,0% рентабельности активов, 20,1%
рентабельности продукции.
Рисунок 11 . Структура начисленной амортизации в 2013-2015 годах, %
Вместе с тем, некоторые показатели снизились: активы предприятия - на
3823637 тыс. руб. (30,5%); чистая прибыль - на 2198060 тыс. руб. (55,8%).
Несмотря на снижение чистой прибыли, предприятие остается прибыльным на
протяжении 2013-2015 годов, поэтому показатели рентабельности находятся на
сравнительно высоком уровне - 20,0% рентабельности активов, 20,1%
рентабельности продукции.
За три года деятельности уменьшение активов организации на 3823637 тыс.
руб. (на 30,5%) произошло в основном, за счет статей внеоборотного капитала -
на 4424863 тыс. руб. (46,0 %): финансовых вложений - на 4554645 тыс. руб. (48,3
%); прочих внеоборотных активов - на 25271 тыс. руб. (48,6 %).
Оборотный капитал компании увеличился на 591225 тыс. руб. (20,0 %), в том
числе запасы возросли на 25415 тыс. руб. (79,8%), средства в расчетах - на
501281 тыс. руб. (17,7%), денежные средства - на 33523 тыс. руб. (56,5%). За
три года деятельности увеличение источников капитала ЗАО МПБК «Очаково»
произошло, в основном, за счет собственного капитала - на 2261321 тыс. руб. (на
51,5%), за счет нераспределенной прибыли на эту сумму.
Позитивным является сокращение финансирования деятельности предприятия за
счет статей заемного капитала: произошло снижение краткосрочных обязательств на
сумму 6094219 тыс. руб. (на 74,7%), в том числе кредиторской задолженности на
6111542 тыс. руб. (75,0%), сумма долгосрочных обязательств возросла за 3 года с
0 до 9231 тыс. руб.
Инвестиционная деятельность ЗАО МПБК «Очаково» направлена на эффективное
использование основных средств. Основной рост инвестиционных вложений в
2013-2015 гг. произошел по статьям: машины и оборудование - на 103054 тыс. руб.
(33,3%); здания и сооружения - на 58384 тыс. руб. (54,1%); транспортные
средства - на 51496 тыс. руб. (27,9%).
Оборудование постепенно обновляется на более новое и производительное, в
зданиях обновляются системы вентиляции, кондиционирования, лифты.
Компания на протяжении 2013-2014 гг. политику постоянного обновления
основных средств, увеличивая объемы приобретения ОФ, но в 2015 году уменьшило
темпы обновления.
Амортизация и учет основных средств (ОС) и нематериальных активов (НМА) в
компании ЗАО МПБК «Очаково» закреплены учетной политикой бухгалтерского учета.
В целях учетной политики управленческого учета компания в целях начисления
амортизации ОС использует линейный способ.
В соответствии с ростом статей ОС, в 2013-2015 гг. произошло увеличение
амортизации по оборудованию (на 30,5%), сооружениям (на 9,1%), транспорту (на
6,7%).
Основное внимание в амортизационной политике предприятие уделяет
обновлению оборудования и сооружений.
Глава 3. ПРЕДЛОЖЕНИЯ ПО СОВЕРШЕНСТВОВАНИЮ АМОРТИЗАЦИОННОЙ ПОЛИТИКИ
КОМПАНИИ ЗАО МПБК «ОЧАКОВО»
Стратегической целью амортизационной политики ЗАО МПБК «Очаково» является
обеспечение максимально эффективного использования ОС при минимальных расходах
на содержание и обслуживание.
Достижение стратегической цели управления определяется эффективностью
следующих управленческих задач (рис. 12).
Рисунок 12 . Задачи амортизационной политики ЗАО МПБК «Очаково»
Расчеты потребности в отдельных видах и элементах основных фондов
предприятия обобщаются в специально разработанном плане развития
материально-технической базы.
В число основных разделов данного плана входят:
- план развития производства;
- план развития складского хозяйства;
план технического оснащения предприятия.
Потребность во введении в эксплуатацию отдельных видов оборудования
определяется так:
1. Оценка фактической мощности системы оборудования компании.
2. На основе планов производства и товарооборота проводится оценка
потребности в увеличении мощности системы оборудования.
3. Определение видов оборудования, препятствующих росту мощности
организации.
4. Определение необходимого роста мощности по отдельным видам
оборудования.
5. Расчет количества единиц оборудования каждого вида, необходимых для
ввода в эксплуатацию31.
Потребность в увеличении пассивной части основных фондов (торговых,
складских помещений) оценивается экспертно на основе анализа фактического
использования.
Потребность в приросте основных фондов организации может быть
удовлетворена разными путями:
- Приобретение необходимых основных средств в собственность (новых
или бывших в использовании);
- возведения основных средств (подрядным или хозяйственным способом);
- аренда или лизинг необходимого оборудования и площадей (оперативный
или финансовый лизинг) и т.п.
Каждый из данных способов удовлетворяет потребности организации в
пополнении его основных фондов, но размер затрат на каждый из них различается.
Большое влияние на объем затрат имеет и структура финансирование: за счет
собственных или привлеченных финансовых средств.
Выбор приемлемого способа развития основных фондов организации
осуществляется сопоставлением приведенных (дисконтированных) затрат на их
реализацию. Для экономического обоснования различных вариантов может быть
разработан бизнес-план инвестиционного проекта с оценкой экономической
эффективности его реализации.
Повышение эффективности использования основных фондов компании на стадии
их эксплуатации может быть достигнуто за счет:
- осуществления рационального размещения основных средств, повышения
коэффициента сменности (продолжительности полезного использования) работы ОФ;
- улучшения контроля за соблюдением эксплуатации и обслуживания ОФ;
- усовершенствования отбора и подготовки персонала, осуществляющего
эксплуатацию и техническое обслуживание ОФ;
- внедрение систем материального стимулирования за безаварийную работу
ОФ, удлинения ремонтных циклов и эксплуатации и др.
Сохранение потребительской стоимости основных средств и удлинения
возможного срока их полезной эксплуатации определяется эффективностью ремонтной
политики организации.
Одной из важных задач управления основными средствами является
определения оптимальных сроков их эксплуатации.
Сокращение сроков эксплуатации позволяет обеспечить ускоренное обновление
основных средств, уменьшить уровень технико-экономического старения, повысить
технический уровень компании, обеспечить рост производительности труда и
снизить ремонтно-эксплуатационные расходы.
В то же время, негативным последствием такой политики может быть рост
текущих затрат за счет амортизационных отчислений, рост потребности в
дополнительных финансовых ресурсах, отягощение компании долговыми
обязательствами.
Основными направлениями повышения эффективности использования основных
фондов ЗАО МПБК «Очаково» являются следующие:
- экстенсивный, к которому относится в основном расширение основных
средств (или увеличение времени работы основных средств);
- интенсивный, к которому принадлежит повышение отдачи средств труда
на единицу времени32.
Интенсивный путь обновления основного капитала не может быть принят
предприятием в силу специфики его деятельности: производство ведется в одну
смену, оборудование является устаревшим.
В то же время, экстенсивный путь обновления основного капитала позволит
ЗАО МПБК «Очаково» приобрести новое оборудование, повысить сложность
выполняемых технологических операций, что приведет к освоению новой продукции,
увеличению продаж, прибыли и рентабельности.
Наименее затратным в данное время является списание или продажа части
основных средств, особенно непроизводственных или пассивных ОС.
Продажа непроизводственных фондов в сумме 615,7 тыс. руб. позволит
получить дополнительный доход на эту сумму (таблица 3.1.1).
Таблица 3.1.1 - Перечень непроизводственных фондов для продажи
|
№ п/п
|
Наименование
|
Стоимость, тыс. руб.
|
|
1
|
Сборный ангар
|
513,2
|
|
2
|
Беседка
|
22,8
|
|
3
|
Офисная оргтехника
|
79,7
|
|
Всего
|
615,7
|
Кроме того, списание части устаревших активных основных средств, также
оптимизирует состав основного капитала и обеспечит рост показателя фондоотдачи
предприятия ЗАО МПБК «Очаково».
Перечень активных основных средств для списания указан в таблице 3.1.2.
Таблица 3.1.2 - Перечень устаревших активных основных средств для
списания
|
№ п/п
|
Наименование
|
Стоимость к списанию, тыс.
руб.
|
|
1
|
гидравлический пресс HP 5
|
61,3
|
|
2
|
источник бесперебойного
питания LP 2
|
18,6
|
|
3
|
Сетевое оборудование
|
84,3
|
|
4
|
Инструменты
|
15,1
|
|
Всего
|
179,3
|
В итоге за счет продажи и списания основных средств предприятие может
получить дополнительный доход в сумме 795 тыс. руб.
Достоверность управленческой отчетности, корректность финансовых результатов
среди прочего зависят и от используемой методики расчета амортизации основных
средств и нематериальных активов. Ориентироваться на суммы, начисленные в
бухгалтерском или налоговом учете, не всегда корректно, поскольку они не
отражают реального состояния активов, в частности степень износа.
В бухгалтерском и налоговом учете начисление амортизации имущества
обязательно, тогда как в управленческом - это вопрос открытый. Главный аргумент
против амортизации - в управленческой отчетности необходимо видеть реальное
движение денег, поэтому затраты на приобретение основных средств и
нематериальных активов лучше относить полной суммой на период их приобретения.
В пользу амортизации говорит то, что ее начисление на протяжении срока
полезного использования отражает реальный экономический процесс потребления
выгод от купленного имущества. А учет основных средств по остаточной стоимости
(первоначальная стоимость за минусом накопленной амортизации) представляет
более объективную картину состояния производственных мощностей предприятия.
Выбор между этими двумя подходами во многом зависит от стратегических
целей компании. Если собственники (руководство) стремятся к повышению
доходности бизнеса, то начисление амортизации может быть исключено из
учетно-аналитических процедур.
Но ее рекомендуется начислять, когда в стратегических планах -
сбалансированное развитие компании.
В зависимости от выбранной учетной политики и назначения основных средств
амортизация:
включается в себестоимость продукции, работ, услуг;
учитывается в составе общепроизводственных или общехозяйственных
расходов;
выделяется в качестве отдельного показателя управленческого отчета о
прибылях и убытках, учитывается при расчете таких показателей, как прибыль,
остаточная прибыль, экономическая добавленная стоимость (EVA) и др.
Понятие амортизации, перечень амортизируемого имущества, способ расчета
амортизационных отчислений закрепляются в учетной политике для целей
управленческого учета.
В группу «амортизируемое имущество» включают материальные объекты
(здания, транспорт, оборудование и т. д.) с предполагаемым сроком использования
свыше года. В бухгалтерском и налоговом учете амортизацию считают для объектов
стоимостью свыше 40 тыс. руб. В управленческом учете можно ориентироваться на
эту цифру либо обозначить свою сумму. В последнем случае потребуется изучить,
какие основные средства приобретались в компании за несколько предыдущих
периодов, как часто и по какой стоимости, а затем отсечь самые недорогие из
них. Например, в такой крупной компании, как ЗАО МПБК «Очаково», этот критерий
может быть гораздо выше - 150 тыс. руб.
Условия признания того или иного имущества амортизируемым закрепляются в
учетной политике для целей управленческого учета.
Для целей управленческого учета срок полезного использования основного средства
должен отражать предполагаемый срок получения экономических выгод от его
эксплуатации. На этот показатель могут повлиять планы ЗАО МПБК «Очаково»
относительно сдачи объекта ОС в аренду, его предполагаемой продажи, изменения
режима эксплуатации, списания и др. А это означает, что срок полезного
использования допустимо корректировать.
Например, компания ЗАО МПБК «Очаково» приобрела оборудование и установила
для него срок полезного использования десять лет. Через три года стало ясно,
что производство продукции на этом оборудовании будет приостановлено через два
года, а само оборудование будет продано. Соответственно, срок полезного
использования должен быть заменен на пять лет.
Срок полезного использования для основных средств можно установить для
группы однородных объектов или для каждого объекта по отдельности (в
зависимости от назначения, изношенности, условий работы и др.).
Амортизационные отчисления рассчитываются по первоначальной стоимости
основных средств (стоимость создания или приобретения) или по ней же, но за
минусом ликвидационной стоимости, то есть цены возможной реализации объекта
после окончания его использования. Ликвидационная стоимость нередко признается
нулевой, но это не всегда корректно (даже если остается металлолом, доход от
его продажи может быть существенным). Например, ЗАО МПБК «Очаково» приобрела
автомобиль стоимостью 600 тыс. руб. Срок его полезного использования - пять
лет. При традиционном расчете амортизации линейным методом ее ежемесячная сумма
составит 10 тыс. руб. (600 тыс. руб. : 5 лет : 12 мес.).
Если рассчитывать амортизацию тем же методом, но с учетом ликвидационной
стоимости автомобиля, установленной в размере 150 тыс. руб., то ее ежемесячная
величина сократится до 7,5 тыс. руб. ((600 тыс. руб. - 150 тыс. руб.) : 5 лет :
12 мес.).
Показатель ликвидационной стоимости - оценочный. С течением времени он
может изменяться под воздействием различных факторов (рыночных цен на
определенные виды имущества, физического состояния и морального износа
основного средства, непредвиденных аварий или поломок). В этом случае
производится перерасчет амортизационной стоимости.
Например, в случае дорожно-транспортного происшествия на третьем году
использования автомобиля его ликвидационная стоимость снижена до 80 тыс. руб.
За три года накопленная амортизация составила 270 тыс. руб. ((600 тыс. руб. -
150 тыс. руб.) : 5 лет Ч 3 года). Ежемесячная амортизация в течение оставшихся
двух лет использования будет равна 10,4 тыс. руб. ((600 тыс. руб. - 80 тыс.
руб. - 270 тыс. руб.) : 2 года : 12 мес.).
Применение данных о ликвидационной стоимости имущества при начислении
амортизации делает этот процесс более трудоемким (показатель периодически
приходится уточнять и пересматривать), но позволяет точнее учитывать реальный
экономический эффект от использования имущества при расчете финансового
результата. Все методы расчета амортизации можно разделить условно на три
группы: линейный, ускоренные и функциональные. Линейный метод амортизации,
подразумевающий равномерное отнесение стоимости основного средства на расходы
организации на протяжении срока полезного использования, проще остальных в
расчетах. Однако он мало соответствует реальному процессу сокращения стоимости
имущества во времени. Если максимальный эффект от эксплуатации основного
средства приходится на первые годы, то логичнее применять ускоренный метод
амортизации. У него есть различные модификации (метод «по сумме чисел лет»,
повышающие коэффициенты, метод «уменьшаемого остатка», нелинейный метод), суть
которых одинакова - в начальном периоде использования списывается большая часть
стоимости нового основного средства, в конечном - гораздо меньшая.
Для оборудования, транспортных средств, задействованных в
производственном процессе, обычно используют функциональный метод.
Последний можно условно назвать неравномерным, так как сумма амортизации
при его применении зависит от объема произведенной продукции, сезонности,
режима использования основного средства. Для проведения расчетов финансовой
службе ЗАО МПБК «Очаково» понадобится ежегодно запрашивать у ответственных
подразделений дополнительные сведения о показателях производственной
деятельности. Это трудоемко, зато эффект от использования основного средства
будет учтен в себестоимости произведенной продукции наиболее точно.
Проведем сравнение начисления амортизации различными методами.
Компания ЗАО МПБК «Очаково» приобрела автомобиль для перевозки за 600
тыс. руб., его ликвидационная стоимость - 150 тыс. руб., а срок полезного
использования - пять лет. Чтобы сделать выбор в пользу конкретного метода амортизации,
финансовой службе необходимо рассчитать суммы ежегодных отчислений по каждому
из них.
Таблица 3.1.3 - Расчет амортизации автомобиля различными методами
|
Годы
|
Сумма амортизации (линейный
метод)1, тыс. руб.
|
Сумма амортизации (метод
«суммы чисел лет»)2, тыс. руб.
|
Пробег, км
|
Сумма амортизации
(функциональный метод)3, тыс. руб.
|
|
1 год
|
90
|
150
|
100
|
72
|
|
2 год
|
90
|
120
|
-
|
-
|
|
3 год
|
90
|
90
|
300
|
216
|
|
4 год
|
90
|
60
|
100
|
72
|
|
5 год
|
90
|
30
|
125
|
90
|
|
Итого:
|
450
|
450
|
625
|
450
|
Примечание: 1 рассчитывается как ((первоначальная стоимость -
ликвидационная стоимость): срок полезного использования); 2 рассчитывается как
((первоначальная стоимость - ликвидационная стоимость) Ч соотношение, в
числителе которого - число лет, остающихся до конца срока полезного
использования ОС, а в знаменателе - сумма срока полезного использования ОС); 3
рассчитывается как ((первоначальная стоимость - ликвидационная стоимость):
итоговая сумма пробега Ч пробег за соответствующий период)
Применение линейного способа приведет к равномерному включению амортизации
в расходы компании ЗАО МПБК «Очаково» на протяжении всех пяти лет. Ускоренная
амортизация позволит списать в первые же два года более половины стоимости
автомобиля. А при использовании функционального метода наибольшая сумма
отчислений будет включена в расходы ЗАО МПБК «Очаково» за третий год
эксплуатации автомобиля, что соответствует интенсивности режима его работы.
Вывод по главе 3
Стратегической целью амортизационной политики ЗАО МПБК «Очаково» является
обеспечение максимально эффективного использования ОС при минимальных расходах
на содержание и обслуживание.
Повышение эффективности использования основных фондов компании на стадии
их эксплуатации может быть достигнуто за счет:
- осуществления рационального размещения основных средств, повышения
коэффициента сменности (продолжительности полезного использования) работы ОФ;
- улучшения контроля за соблюдением эксплуатации и обслуживания ОФ;
- усовершенствования отбора и подготовки персонала, осуществляющего
эксплуатацию и техническое обслуживание ОФ;
- внедрение систем материального стимулирования за безаварийную работу
ОФ, удлинения ремонтных циклов и эксплуатации и др.
Сохранение потребительской стоимости основных средств и удлинения
возможного срока их полезной эксплуатации определяется эффективностью ремонтной
политики организации.
Основными направлениями повышения эффективности использования основных
средств ЗАО МПБК «Очаково» являются следующие:
- экстенсивный, к которому относится в основном расширение основных
средств (или увеличение времени работы основных средств);
- интенсивный, к которому принадлежит повышение отдачи средств труда на
единицу времени.
Экстенсивный путь обновления ОФ позволит ЗАО МПБК «Очаково» приобрести
новое оборудование, повысить сложность выполняемых технологических операций,
что приведет к освоению новой продукции, увеличению продаж и прибыли.
Наименее затратным в данное время является списание или продажа части
основных средств, особенно непроизводственных или пассивных ОС.
Продажа непроизводственных фондов в сумме 615,7 тыс. руб. позволит
получить дополнительный доход на эту сумму.
Списание части устаревших активных основных средств на сумму 179,3 тыс.
руб., также оптимизирует состав основного капитала
Таким образом, продажа и списание устаревших непроизводственных и пассивных
ОС позволит предприятию получить дополнительный доход 795 тыс. руб.
Кроме того, для оборудования, транспортных средств, задействованных в
производственном процессе, рекомендуется использовать функциональный метод,
сумма амортизации при его применении зависит от объема произведенной продукции,
сезонности, режима использования основного средства. Для проведения расчетов
финансовой службе ЗАО МПБК «Очаково» понадобится ежегодно запрашивать у
ответственных подразделений дополнительные сведения о показателях
производственной деятельности. Это трудоемко, зато эффект от использования
основного средства будет учтен в себестоимости произведенной продукции наиболее
точно.
При использовании функционального метода наибольшая сумма отчислений
будет включена в расходы ЗАО МПБК «Очаково» за период наиболее интенсивной
эксплуатации ОФ.
ЗАКЛЮЧЕНИЕ
Амортизация является эффективным инструментом регулирования
инвестиционного процесса. Примерно на 60-70% потребности предприятий в
инвестиционных средствах удовлетворяются за счет амортизационных отчислений.
Основной капитал организации, представленный основными средствами, за
время эксплуатации физически изнашивается и теряет свою стоимость, периодически
перенося ее на затраты производства в виде амортизационных отчислений. В целях
постоянного осуществления производственной деятельности организации необходимо
воспроизводство основных средств, которое возможно осуществить исключительно
через механизм амортизации, что является традиционным для отечественного
бухгалтерского учета.
Важной задачей является правильное управление процессом кругооборота
основных средств, для чего необходимо правильное определение срока полезного
использования объектов основных средств; выбор оптимального срока начисления
амортизации. Эти задачи напрямую связаны с проводимой организацией
амортизационной политикой, поскольку на сегодняшний день именно амортизация
является единственным инструментом отражения в бухгалтерском учете физического
износа основных средств и механизмом управления основными средствами.
Преимущества амортизации следующие:
- отсутствие дополнительных издержек при использовании
амортизационных отчислений на инвестиционные цели по сравнению с привлекаемыми
заемными средствами;
- большая стабильность, непрерывность и прогнозируемость амортизационных
отчислений как финансового потока (по сравнению с прибылью, дотациями,
субсидиями и т. п.);
- возможность формирования амортизационного фонда через
регулирование налогооблагаемой базы по налогам на прибыль и имущество;
- самостоятельность в регламентации обязательности формирования и
воспроизводства амортизационной политики в составе учетной политики
предприятия.
Существует необходимость принятия государственной программы, направленной
на модернизацию и развитие основных фондов, детально проработать вопросы
интенсификации обновления основного капитала, ориентируясь на целевой,
комплексный подход, учитывающий множество факторов, влияющих на процесс, в том
числе с использованием комплексного анализа финансового состояния хозяйствующих
субъектов.
Проведенный в дипломной работе анализ основных показателей и
амортизационной политики компании ЗАО МПБК «Очаково» дает основания для
следующих выводов.
Московский пиво-безалкогольный комбинат «Очаково» (ЗАО МПБК «Очаково»)
является предприятием пивоваренной отрасли.
На протяжении 2013-2015 годов предприятие было прибыльным, с позитивной
динамикой таких показателей: выручка от реализации продукции увеличилась на
2.036.044 тыс. руб. (23,1%); стоимость основных фондов - на 163.336 тыс. руб.
(144,5%); оборотные средства - на 591.225 тыс. руб. (20,0%).
Инвестиционная деятельность ЗАО МПБК «Очаково» направлена на эффективное
использование основных средств. Основной рост инвестиционных вложений в
2013-2015 гг. произошел по статьям: машины и оборудование - на 103.054 тыс.
руб. (33,3%); здания и сооружения - на тыс. руб. (54,1%); транспортные
средства - на 51.496 тыс. руб. (27,9%).
Компания на протяжении 2013-2014 гг. политику постоянного обновления
основных средств, увеличивая объемы приобретения ОФ, но в 2015 году уменьшило
темпы обновления.
Амортизация и учет основных средств (ОС) и нематериальных активов (НМА) в
компании ЗАО МПБК «Очаково» закреплены учетной политикой бухгалтерского учета.
В целях учетной политики управленческого учета компания в целях начисления
амортизации ОС использует линейный способ.
В соответствии с ростом статей ОС, в 2013-2015 гг. произошло увеличение
амортизации по оборудованию (на 30,5%), сооружениям (на 9,1%), транспорту (на
6,7%).
Основное внимание в амортизационной политике предприятие уделяет
обновлению оборудования и сооружений.
Стратегической целью амортизационной политики ЗАО МПБК «Очаково» является
обеспечение максимально эффективного использования ОС при минимальных расходах
на содержание и обслуживание.
Повышение эффективности использования основных фондов компании на стадии
их эксплуатации может быть достигнуто за счет:
- осуществления рационального размещения основных средств, повышения
коэффициента сменности (продолжительности полезного использования) работы ОФ;
- улучшения контроля за соблюдением эксплуатации и обслуживания ОФ;
- усовершенствования отбора и подготовки персонала, осуществляющего
эксплуатацию и техническое обслуживание ОФ;
- внедрение систем материального стимулирования за безаварийную работу
ОФ, удлинения ремонтных циклов и эксплуатации и др.
Сохранение потребительской стоимости основных средств и удлинения
возможного срока их полезной эксплуатации определяется эффективностью ремонтной
политики организации.
Основными направлениями повышения эффективности использования основных
средств ЗАО МПБК «Очаково» являются следующие:
- экстенсивный, к которому относится в основном расширение основных
средств (или увеличение времени работы основных средств);
- интенсивный, к которому принадлежит повышение отдачи средств труда на
единицу времени.
Экстенсивный путь обновления ОФ позволит ЗАО МПБК «Очаково» приобрести
новое оборудование, повысить сложность выполняемых технологических операций,
что приведет к освоению новой продукции, увеличению продаж и прибыли.
Наименее затратным в данное время является списание или продажа части
основных средств, особенно непроизводственных или пассивных ОС.
Продажа и списание устаревших непроизводственных и пассивных ОС позволит
предприятию получить дополнительный доход 795 тыс. руб.
Кроме того, для оборудования, транспортных средств, задействованных в
производственном процессе, рекомендуется использовать функциональный метод,
сумма амортизации при его применении зависит от объема произведенной продукции,
сезонности, режима использования основного средства. Для проведения расчетов
финансовой службе ЗАО МПБК «Очаково» понадобится ежегодно запрашивать у
ответственных подразделений дополнительные сведения о показателях
производственной деятельности. Это трудоемко, зато эффект от использования основного
средства будет учтен в себестоимости произведенной продукции наиболее точно.
При использовании функционального метода наибольшая сумма отчислений
будет включена в расходы ЗАО МПБК «Очаково» за период наиболее интенсивной
эксплуатации ОФ.
СПИСОК ИСПОЛЬЗОВАННЫХ
ИСТОЧНИКОВ
1. Гражданский
кодекс Российской Федерации. Часть первая: [федер. закон от 30 нояб.1994. №
51-ФЗ (принят ГД ФС РФ 21.10.1994) (ред. от 05.05.2014) // Рос. газ. - 1994. -
№ 238-239. -08 дек.; 2014.-№ 101.-07 мая.
2. Налоговый
кодекс Российской Федерации. Часть вторая: [федер. закон от 05 авг. 2000 №
117-ФЗ (принят ГД ФС РФ 19.07.2000) (ред.от 21.07.2014)//Соб.Законодательства
Рос. Федерации.-2000.-№ 32 ст.3340.- 07 авг.; Рос.газ.- 2014.-№ 163.-23 июл.
. О
бухгалтерском учете: [федер. закон 06 дек. 2011 г. № 402-ФЗ (ред. от 28.12.2013
г. № 425-ФЗ] // Собр. Законодательства Рос. Федерации. -2011.- № 50. Ст. 7344.
-12 дек.; Рос.газ. -2013. -№ 295. -30 дек.
4. Об
утверждении Положения по бухгалтерскому учету «Бухгалтерская отчетность организации»
(ПБУ 4/99): [приказ Минфина РФ от 06 июл.1999 № 43н (ред. от 08.11.2010 г. №
142-н) // Фин. газ.-1999. -№ 34; 2010. -№ 52.-23 дек.
5. О
формах бухгалтерской отчетности организаций: [приказ Минфина России от
02.07.2010 №66н (ред. от 04.12.2012 г. №154-н) // Бюллетень нормативных актов
федеральных органов исполнительной власти. - 2010. - № 35. - Ст. 190.- 30 авг.;
Рос.газ.-2013.- № 9.-18 янв.
6. Положение
по бухгалтерскому учету «Учет основных средств» ПБУ 6/01 6: утв. приказом
Минфина РФ от 30 марта 2001 г. № 26н (ред. От 24.12.15 г.) // Бюллетень
нормативных актов федеральных органов исполнительной власти. 2011. № 13, 28
марта.
. Алексеева
А.И. Комплексный экономический анализ хозяйственной деятельности / А.И.
Алексеева, Ю.В. Васильев, А.В. Малеева, Л.И. Ушвицкий. - М.: Кнорус, 2015. -
720 с.
. Алиев
Р. А. Ускорение обновления основных фондов хозяйствующих субъектов РФ //
Вестник АГТУ. - №4. - 2015. - С. 51-54.
. Антонова
О.В. Экономика организации (предприятия, фирмы). - М., 2015. - 319 с.
. Арбенина
Т.И. Экономика и управление предприятием (фирмой) / Т.И. Арбенина, Г.П. Бутко,
В.Ж. Дубровский и др. - Екатеринбург: Изд-во УГЭУ, 2015. - 400 с.
. Астахов
В.П. Бухгалтерский (финансовый) учет / В.П.Астахов. - М.: Юрайт, 2014. - 984 с.
. Бариленко
В.И. Бизнес-анализ как инструмент обеспечения устойчивого развития
хозяйствующих субъектов // Учет. Анализ. Аудит. 2014. №1. С. 25-31.
. Бахрушина
М. А. Стандарты финансовой отчетности / М. А. Бахрушина, Л. А. Мельникова, Н.
С. Пласкова / Под ред. М. А. Вахрушиной. М.: Омега-Л, 2015. - 568 с.
. Бланк
И.А. Основы финансового менеджмента / И.А. Бланк.- К.: КТЭУ, 2014. - 412 с.
. Большакова
Л.Г. Моделирование в анализе финансового положения предприятия/ Л.Г.Большакова,
М.М. Ханнанов, Ю.С. Бурая // Ученые записки РАП. - 2014. - №28. - С.16-22.
. Бригхем
Ю. Финансовый менеджмент / Ю.Бригхем, Л.Гапенски. - СПб.: Экономическая школа,
2013. - 608 с.
. Бузырев
В.В. Планирование на предприятии /В.В. Бузырев, Е.В. Гусев, И.П. Савельева,
И.В. Федосеев. - М.: Изд-во «КноРус», 2014. - 406 с.
. Бухгалтерский
учет и анализ / Под ред. Костюкова Е.И. - М.: Кнорус, 2015. - 400 с.
. Волков
И.О. Экономика предприятия / И.О. Волков, В.К. Скляренко. - М.: ИНФРА, 2015. -
245 с.
. Галицкая
С.В. Финансовый менеджмент / С.В.Галицкая. - М.: Эксмо, 2015. - 359 с.
. Генералова
Н.В. Методология бухгалтерского учета и ее влияние на показатели финансовой
отчетности/ Н.В. Генералова, А.А. Корабельников Финансы и бизнес. - 2013. - №1.
- С.162-176.
. Горшенина
Е.В. Мониторинг устойчивого развития промышленного предприятия// Российское
предпринимательство. - 2014.- №01-02.- С.63 - 67.
. Данилин
В.Н. Развитие капитала как экономической категории/ В.Н. Данилин, Е.И.Данилина,
Д.В. Горелов // Проблемы современной экономики. 2014. - №4. - С.46-52.
. Ендовицкий
Д.А. Сущность основных средств как объекта бухгалтерского учета / Д.А.
Ендовицкий // Международный бухгалтерский учет. - 2014. - №25. - С.31-38.
. Ерошевский
С.А. Выявление этапов обновления оборудования на предприятии/ С.А. Ерошевский
// Проблемы совершенствования организации производства и управления: межвуз.
сб. науч. тр. / редколлегия: Н.А. Чечин и др. Москва, 2014. Вып. 1. С. 43-50.
. Ефимова
О. В. Финансовый анализ / О.В. Ефимова. - М.: Бухгалтерский учет, 2013. - 320
с.
. Ивасенко
А.Г. Антикризисное управление / А.Г. Ивасенко, Я.И. Никонова, М.В. Каркавин. -
М.: Кнорус, 2014. - 504 с.
. Либерман
И.А. Анализ и диагностика финансово-хозяйственной деятельности / И.А. Либерман.
- М.: ИЦ РИОР, 2015. - 220 с.
. Любушин
Н.П. Экономика организации / Н.П. Любушин. - М.: Кнорус, 2015. - 304 с.
. Малышев
П.А. Законы экономической жизни/ П.А. Малышев, Ф.Ф. Стерликов. - М.: Проспект,
2014. - 281 с.
. Мамедов
О.Ю. Современная экономика / О.Ю. Мамедов. - М.: Кнорус, 2015. - 320 с.
. Мескон
М. Основы менеджмента: пер. с англ. /М. Мескон, М. Альберт, Ф. Хедоури. - М.:
Дело, 2012. - 564 с.
. Петров
А.М. Концептуальные подходы к анализу платежеспособности и финансовой
устойчивости предприятия/ А.М.Петров, О.В. Антонова // Вопросы экономики и
права. - 2015. - №60. - С.93-97.
. Попов
В.В. Анализ эффективности управления коммерческим циклом предприятия /
В.В.Попов. - М.: ИНФРА-М, 2015.- 190 с.
. Пятов
М.Л. Бухгалтерский учет для принятия управленческих решений М.Л.Пятов. - М.:
1С-Паблишинг, 2015. - 202 с.
. Россия
в цифрах. 2015: Кратк. стат. сб. - M.: Росстат, 2016. - 618 с.
. Сирополис
Н.К. Управление бизнесом / Н.К. Сирополис. - М., 2015. - 672 с.
. Стрельцов
А.В. Инвестиционное обеспечение устойчивого экономического развития
промышленных предприятий/ А.В.Стрельцов, С.А. Ерошевский // Экон. науки. 2014.
№ 4 (113). С. 49-61.
. Сураева
М.О. Организационно-экономические механизмы развития инвестиционного потенциала
// Вестник СГЭУ. Самара, 2014. - № 11 (97). - С. 100-104.
. Управление
кризисным состоянием организации (предприятия) Под ред. В.А. Швандара. - М.,
2014. - 512 с.
. Финансовый
менеджмент: теория и практика / Под ред. Стояновой Е.С. М.: Перспектива, 2012.
- 405с.
ПРИЛОЖЕНИЕ
Отчетность ЗАО МПБК «Очаково» за 2013-2015 гг.
Бухгалтерский баланс на 31 декабря 2015г.
|
Пояснения
|
АКТИВ
|
Код строки
|
На 31.12.2013г.
|
На 31.12.2014.
|
На 31.12.2015г.
|
|
1
|
2
|
3
|
4
|
5
|
6
|
|
I. ВНЕОБОРОТНЫЕ АКТИВЫ
|
|
|
|
|
|
5100
|
Нематериальные активы
|
1110
|
|
|
|
|
Результаты исследований и
разработок
|
1120
|
|
|
|
|
5200
|
Основные средства
|
1150
|
113001
|
288226
|
276337
|
|
5220
|
Доходные вложения в
материальные ценности
|
1160
|
|
|
|
|
5301
|
Финансовые вложения
|
1170
|
9427579
|
4275842
|
4872934
|
|
Отложенные налоговые активы
|
1180
|
3427
|
0
|
5145
|
|
Прочие внеоборотные активы
|
1190
|
52029
|
52550
|
26758
|
|
Итого по разделу I
|
1100
|
9596036
|
4616618
|
5181173
|
|
II. ОБОРОТНЫЕ АКТИВЫ
|
|
|
|
|
|
5400
|
1210
|
31865
|
33863
|
57280
|
|
Налог на добавленную
стоимость по приобретенным ценностям
|
1220
|
7756
|
31509
|
14209
|
|
5510
|
Дебиторская задолженность
|
1230
|
2830641
|
2621568
|
3331922
|
|
5306
|
Финансовые вложения (за
исключением денежных эквивалентов)
|
1240
|
|
|
|
|
Денежные средства и
денежные эквиваленты
|
1250
|
59294
|
103869
|
92817
|
|
Прочие оборотные активы
|
1260
|
23341
|
40337
|
47893
|
|
ИТОГО по разделу II
|
1200
|
2952896
|
2831148
|
3544121
|
|
БАЛАНС (актив)
|
1600
|
12548932
|
7447766
|
8725295
|
|
Пояснения
|
ПАССИВ
|
Код строки
|
На 31.12.2013
|
На 31.12.2014г.
|
На 31.12.2015г.
|
|
1
|
2
|
3
|
4
|
5
|
6
|
|
III. КАПИТАЛ И РЕЗЕРВЫ
|
|
|
|
|
|
Уставный капитал
(складочный капитал, уставный фонд, вклады товарищей)
|
1310
|
48000
|
48000
|
48000
|
|
Собственные акции,
выкупленные у акционеров
|
1320
|
|
|
|
|
Переоценка внеоборотных
активов
|
1340
|
|
|
|
|
Добавочный капитал (без
переоценки)
|
1350
|
13
|
13
|
13
|
|
Резервный капитал
|
1360
|
7200
|
7200
|
7200
|
|
Нераспределенная прибыль
(непокрытый убыток)
|
1370
|
4333163
|
4852675
|
6594484
|
|
ИТОГО по разделу III
|
1300
|
4388376
|
4907888
|
6649697
|
|
IV. ДОЛГОСРОЧНЫЕ
ОБЯЗАТЕЛЬСТВА
|
|
|
|
|
|
5501
|
Заемные средства
|
1410
|
|
|
|
|
Отложенные налоговые
обязательства
|
1420
|
|
5786
|
9261
|
|
Оценочные обязательства
|
1430
|
|
|
|
|
Прочие обязательства
|
1450
|
|
|
|
|
ИТОГО по разделу IV
|
1400
|
|
5786
|
9261
|
|
V. КРАТКОСРОЧНЫЕ
ОБЯЗАТЕЛЬСТВА
|
|
|
|
|
|
5511
|
Заемные средства
|
1510
|
8402
|
|
|
|
Кредиторская задолженность
|
1520
|
8152155
|
2516118
|
2040613
|
|
Доходы будущих периодов
|
1530
|
|
|
|
|
5700
|
Оценочные обязательства
|
1540
|
|
17973
|
25724
|
|
Прочие обязательства
|
1550
|
|
|
|
|
ИТОГО по разделу V
|
1500
|
8160556
|
2534092
|
2066337
|
|
БАЛАНС (пассив)
|
1700
|
12548932
|
7447766
|
8725295
|
Отчет о финансовых результатах
|
Наименование показателя
|
Код строки
|
За 2013 г.
|
За 2014 г.
|
|
Выручка
|
2110
|
8832692
|
9419266
|
|
Себестоимость продаж
|
2120
|
4392114
|
6685190
|
|
Валовая прибыль (убыток)
|
2100
|
4440578
|
2734076
|
|
Коммерческие расходы
|
2210
|
0
|
0
|
|
Управленческие расходы
|
2220
|
0
|
0
|
|
Прибыль (убыток) от продаж
|
2200
|
4440578
|
2734076
|
|
Доходы от участия в других
организациях
|
2310
|
0
|
0
|
|
Проценты к получению
|
2320
|
611016
|
411172
|
|
Проценты к уплате
|
2330
|
1091
|
232
|
|
Прочие доходы
|
2340
|
138226
|
231274
|
|
Прочие расходы
|
2350
|
326160
|
426650
|
|
Прибыль (убыток) до
налогообложения
|
2300
|
4862569
|
2949640
|
|
Текущий налог на прибыль
|
2410
|
922697
|
573361
|
|
в т.ч. постоянные налоговые
обязательства (активы)
|
2421
|
49819
|
(54917)
|
|
Изменение отложенных
налоговых обязательств
|
2430
|
|
(5786)
|
|
Изменение отложенных
налоговых активов
|
2450
|
2
|
(3427)
|
|
Прочее
|
2460
|
(4)
|
(328)
|
|
Чистая прибыль (убыток)
|
2400
|
3939870
|
2366738
|