Обзор теории оценки потребления домашних хозяйств

  • Вид работы:
    Дипломная (ВКР)
  • Предмет:
    Эктеория
  • Язык:
    Русский
    ,
    Формат файла:
    MS Word
    59,68 Кб
  • Опубликовано:
    2016-10-13
Вы можете узнать стоимость помощи в написании студенческой работы.
Помощь в написании работы, которую точно примут!

Обзор теории оценки потребления домашних хозяйств

Содержание

Введение

Глава 1. Обзор теории оценки потребления домашних хозяйств.

.1 Анализ исследований, посвященных изучению потребления на основе уравнения Эйлера

.2 Методы оценки уравнения Эйлера

.3 Данные, используемые при оценке уравнения Эйлера

Глава 2. Построение модели

Глава 3. Эмпирическое тестирование

.1 Данные

.1.1 Сбор данных

.1.2 Описание данных

.2 Инструменты

.3 Описание модели

.4 Результаты оценки уравнения Эйлера

Заключение

Список использованной литературы

Введение

Домашние хозяйства являются одним из неотъемлемых секторов современной экономики. Исключительность данного сектора заключается в том, что они одновременно являются и собственниками факторов производства (труд, капитал), и определяют объем и структуру конечного спроса. Более того, на сегодняшний день одной из наиболее важных и обсуждаемых тем среди экспертов, экономистов и политиков становится динамика расходов, доходов и потребления домашних хозяйств. Происходит это по причине того, что именно домохозяйства и их потребительские расходы во многом определяют суммарное количество конечных товаров и услуг, произведенных внутри страны, то есть оказывают прямое влияние на ВВП, а, следовательно, и на экономику страны в целом. Поэтому для того, чтобы прогнозировать экономическое развитие государства необходимо проводить анализ и исследования поведения домашних хозяйств, в частности в области потребления.

Стоит также отметить, что за время постсоветского пространства такие показатели как потребительские расходы и уровень доходов на каждого члена домашнего хозяйства испытывали на себе влияние целого ряда экономических спадов, кризисов, и подъемов. Среди наиболее значимых этапов экономической нестабильности в Российской Федерации выделают следующие: либерализация цен (1992 г.), банковский кризис (1995 г.), глобальные экономические кризисы (1998 и 2008 гг.) Каждый из перечисленных периодов нестабильности оказал влияние на поведение домашних хозяйств и во многом изменил его. Именно поэтому результаты исследований в области потребления, которые проводились более чем 10 лет назад не могут быть использованы для того, чтобы описать поведение сегодняшних домашних хозяйств.

Ощущая влияние, значимость и существенную роль домашних хозяйств, их доходов, расходов и уровня потребления, которые оказывают влияние на экономику в целом, в настоящее время считается особенно актуальным проведение исследования поведения российских домашних хозяйств. В частности, на сегодняшний день важным и значимым является изучение поведения домашних хозяйств на предмет их рациональности и эффективности использования своего дохода.

В связи с этим целью моей выпускной квалификационной работы является оценка параметров, описывающих поведение российских домашних хозяйств, а именно оценка эластичности межвременного замещения.

Для достижения поставленной цели в работе определен ряд задач:

·        сделать обзор научной литературы, посвященной оценке уравнения Эйлера;

·        проанализировать модели, используемые авторами для оценки уравнения Эйлера;

·        построить теоретическую модель;

·        собрать статистические данные, на основе которых будет проводиться оценка уравнения Эйлера;

·        оценить уравнение Эйлера;

·        получить значение эластичности межвременного замещения;

·        сравнить полученные результаты с результатами других исследователей;

·        сделать выводы о поведении домашних хозяйств в области потребления.

Предметом настоящего исследования является поведение российских домашних хозяйство в области потребления. В частности, в ходе исследования будет получено значение эластичности межвременного замещения. Таким образом, в результате работы будет выявлено, на сколько процентов изменится объем потребительских расходов домашних хозяйств в Российской Федерации при изменении ставки процента на 1 процентный пункт.

Исследование проводится с использованием статистических данных об уровне потребительских расходов на каждого члена домашнего хозяйства в каждом субъекте Российской Федерации. Поэтому объектами исследования являются субъекты Российской Федерации, федеральные округа, а также Российская Федерация в целом.

Главы данной работы направлены на достижение поставленной цели и соответствуют определенным задачам.

В первой главе работы будут рассмотрены и проанализированы работы других исследователей, посвященные оценке потребления домашних хозяйств. В частности большое внимание будет уделено работам, в которых домашние хозяйства оценивались с использованием уравнения Эйлера. В данной главе также будут рассмотрены методы оценки уравнения Эйлера и данные, на которых ученые проводили свои исследования.

Во второй главе настоящей работы будет построена теоретическая модель, которая будет оцениваться и ляжет в основу исследования.

В третьей главе будет проведено непосредственно само эмпирическое тестирование. Данная глава включает в себя несколько разделов, в ходе которых будет проведен сбор и описание статистических данных, будут выбраны инструменты, описана тестируемая модель, и наконец получены результаты оценки уравнения Эйлера.

Полученные в результате исследования значения позволят определить зависимость между расходами российских домашних хозяйств на потребление и ставкой процента.

Глава 1. Обзор теории оценки потребления домашних хозяйств

.1 Анализ исследований, посвященных изучению потребления на основе уравнения Эйлера

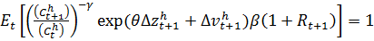
В результате анализа целого ряда работ, установлено, что в своих научных статьях исследователи часто используют макроэкономические данные для того, чтобы установить достоверность межвременной модели оптимизации потребления. Например, Роберт Халл и Фредерик Мишкин (Hall, Mishkin, 1982) говорят о том, что потребление чрезмерно чувствительно к лагированному трудовому доходу. Зельдес (Zeldes, 1989) пришел к выводу о том, что такая избыточная чувствительность объема потребления к уровню дохода характерна для домашних хозяйств с низким уровнем благосостояния. Также он предположил, что ограниченность ликвидности, то есть ограниченный доступ агентов к рынку капитала и невозможность давать в долг и занимать денежные средства по одной и той же процентной ставке, имеет важное значение для членов этих домашних хозяйств.

Однако большинство макроэкономических моделей в современных исследованиях основаны предпосылках, которые сформулированы на микроэкономическом уровне. В частности, большая часть научной литературы, посвященной исследованию и анализу потребительских расходов, достаточно часто и широко основана на уравнении Эйлера, которым задается и обосновывается динамика оптимального потребления домашних хозяйств.

Уравнение Эйлера выводится исходя из задачи максимизации полезности домашних хозяйств. Оно позволяет оценить параметры, которые определяют и описывают поведение домашних хозяйств, в частности, уровень их потребительских расходов.

Уже в работе Роберта Халла (Hall, 1978) уравнение Эйлера было применено к микро- и макронаборам данных для того, чтобы оценить различные спецификации предпочтений потребителей в различных контекстах. Главным достоинством этого подхода является то, что он позволяет избежать решения задачи оптимизации в явном виде. Другими словами, уравнение Эйлера позволяет избежать параметризации и в то же время позволяет оценить параметры предпочтений.

Ознакомившись с рядом научных работ, посвященных исследованию межвременного потреблению, было установлено, что зачастую исследователи используют следующую форму уравнения (1):

 (1)

где:

U - предельная полезность потребления,

С - объем потребления;

z - вектор наблюдаемых значений;

v - некоторая случайная переменная, которая предназначена для захвата ненаблюдаемой неоднородности;

R - реальная ставка процента;

чистый фактор дисконтирования.

Для оценки структурных параметров в уравнении необходимо определить функциональную форму функции полезности, переменные, которые влияют на предельную полезность потребления и ставку процента, вариацию которой стоит использовать, чтобы оценить некоторые из параметров, представляющих интерес для исследователя.

Спецификация функции полезности вида

 

где:

 - коэффициент неприятия риска

часто используется в исследованиях, так как она дает относительно приемлемые характеристики. В частности, вычисление соответствующих величин с использованием такой спецификацией уравнения будет выглядеть так:

 (2)

Несколько уточнений в отношении оценок параметров данного уравнения.

.        Уравнение является не функцией потребления, а условием равновесия. Данное условие может быть использовано для получения условий ортогональности, которые в свою очередь используются для оценки параметров функции полезности.

.        При отсутствии гетерогенности и ошибок измерения можно оценить фактор дисконтирования и коэффициент относительного неприятия риска. Хансен и Синглетон были первыми, кто использовал обобщенный метод моментов для того, чтобы оценить уравнение. Однако нелинейный вид уравнения и существование ошибок измерения может оказывать значительное негативное воздействие на способность получать последовательные оценки интересующих параметров.

.        Вектор z может включать в себя эндогенные переменные, такие как предложение труда и устойчивое потребления. Такая ситуация возникает в случае, если смоделированы предпочтения в зависимости от оптимального значения некоторых других переменных, которые не моделируются в явном виде.

.        В настоящее время существует значительное количество доказательств того, что нелинейная форма уравнения имеет решающее значение при объяснении результатов полученных с помощью временных рядов.

Следуя шагам, предложенным в работе Хансена и Синглетона (Hansen, Singleton, 1983) уравнение 2 можно привести к виду:

+ (3)

Если соответствующие переменные лог-нормальны, то:

 

Когда условное распределение переменных не лог-нормально, член k будет включать более высокие условные моменты. Полезно переписать данное уравнение в следующем виде:

 (4)

включает в себя логарифм коэффициента дисконтирования и безусловное среднее значения второго (и выше) моментов темпа роста потребления и реальных ставок процента;

 - остаток, который включает ожидаемые ошибки u, ненаблюдаемую гетерогенность V и отклонения к, от .

Стоит заметить, в функции полезности только параметры и  могут быть идентифицированы. Уравнение (4), как правило, оценивается или методом инструментальных переменных или обобщенным методом моментов. Если уравнение оценивается методом инструментальных переменных, то в качестве инструментов используются те переменные, которые известны в момент времени t и могут быть идентифицированы.

Таким образом, при изучении потребления домашних хозяйств с использованием уравнения Эйлера необходимо уделить внимание следующим аспектам:

·        для того, чтобы оценить параметры уравнения Эйлера важно избавиться от ошибок измерения или как минимум уменьшить их влияние;

·        привести уравнение к линейному виду, для того чтобы получить более достоверные оценки;

·        при оценивании уравнения методом инструментальных переменных, в качестве инструментов стоит использовать те переменные, которые идентифицируемы и известны в период t.

.2 Методы оценки уравнения Эйлера

домашний хозяйство уравнение эйлер

Как уже указывалось выше уравнение Эйлера как правильно оценивается методом инструментальных переменных или обобщенным методом моментов, используя в качестве инструментальных переменных те, которые известны в период времени t и могут быть идентифицируемы.

Достаточно легко сформулировать условие, при котором использование метода инструментальных переменных дает устойчивые оценки параметров уравнения (4). Одним из главным принципов метода инструментальных переменных является отсутствие корреляции между инструментами, которые используются и остатками уравнения. Эти остатки состоят из 3-х частей:

а) ожидаемые ошибки;

б) значения, отражающие неисследованную гетерогенность;

в) инновации в условных вторых (и возможно выше) моментах роста потребления и процентных ставок.

Говоря о необходимости отсутствия корреляции между остатками уравнения и его инструментами, стоит обратить внимание на тест Хансена (Hansen). Данный тест изначально был предложен Денисом Сарганом (Denis Sargan) в 1958 году. В 1972 году он вывел несколько его вариаций. Позже Ларс Хансен переработал его и свою предложил версию того, как данный тест может быть применен для моделей, оцениваемых методом обобщенных моментов.

Тест Хансена позволяет проверить наличие корреляции между инструментами модели и шумом. Таким образом, тестирование модели с использованием данного теста является достаточно значимым, так как оно позволяет оценить качество используемых инструментов и проверить выполняется ли уравнение Эйлера в целом.

Согласно мнению Аттаназио и Лоу (Attanasio, Low 2000), более широкий набор инструментов в уравнении может значительно повысить точность оценок.

Существует ряд доказательств, свидетельствующих о том, что для того, чтобы модель соответствовала данным, необходимо учитывать влияние демографической ситуации и, возможно, предложение на рынке труда на предельную полезность потребления.

Очевидно, что уравнения (3) и (4) являются лишь приближенными к уравнению (2).

Доказательство Монтекарло показывает, что при различных предположениях аппроксимированное уравнение Эйлера дает последовательные оценки EIS. Единственный случай, согласно Аттаназио и Лоу (Attanasio, Low 2000), при котором уравнение Эйлера дает неточные оценки интересующего нас параметра, ситуация, при которой коэффициент дисконтирования очень велик. Можно предположить, что большое значение коэффициента дисконтирования является не следствием линеаризации. Однако это не так. Когда потребители очень нетерпеливы, они будут потреблять количество, близкое к максимально возможному и в этом случае потребление будет сильно зависеть от текущего уровня дохода и приведет к плохим оценкам EIS. По этой причине лог-линеаризованная форма уравнения Эйлера не может быть использована для определения коэффициента дисконтирования.

Главным преимуществом уравнения Эйлера является то, что принимая во внимание изменения в предельной полезности богатства, оно позволяет избежать необходимости в полной мере уточнения стохастической среды, с которой сталкиваются индивидуальные потребители.

Как уже говорилось выше, для того, чтобы оценить уравнение Эйлера, важно получить его линейную спецификацию. Одним из возможных способов для этого является предположение линейной зависимости. Можно исходить из спецификации предельной полезности потребления, которая сочетает в себе гибкость с линейностью параметров и остатков. В качестве альтернативы можно исходить из спецификации прямой функции полезности и использовать лог-линейное приближение к уравнению Эйлера. Также в исследованиях авторы говорят о том, что для получения линеаризованной версии уравнения Эйлера может использоваться как лог-линеаризация, так и разложение в ряд Тейлора около стационарной точки, позволяющее аппроксимировать функцию до более высоких порядков.

Из вышесказанного можно заключить, что для получения максимально достоверных оценок, оценивать уравнение Эйлера стоит методом инструментальных переменных. При этом между инструментами и остатками уравнения не должно быть корреляции. Кроме того, оценивать стоит линейную спецификацию уравнения, для получения которой необходимо выполнить лог-линеаризацию.

.3 Данные, используемые при оценке уравнения Эйлера

Помимо методов оценки уравнения Эйлера большое внимание стоит обратить на данные, на которых проводится исследование. От того, какие переменные будут выбраны для включения в модель и как будут собраны данные зависит результат оценки уравнения и всего исследования в целом.

Согласно работе "Is Consumption Growth Consistent with Intertemporal Optimization? Evidence from the Consumer Expenditure Survey" (Attanasio, Weber, 1995) агрегированные данные непригодны для проверки теоретических гипотез. Некорректное объединение может привести к ложным отклонениям теории. В исследовании Аттаназио и Вебера (Attanasio, Weber, 1995) были оценены последствия пренебрежения нелинейностями, подразумеваемыми в модели. В результате чего было обнаружено, что теоретические ограничения были отклонены только лишь из-за некорректной процедуры агрегирования данных.

Распределение общего объема потребительских расходов на товары и услуги недлительного потребления с течением времени зависит от нескольких прогнозируемых изменений. Во-первых, имеют значения прогнозируемые изменения в составе домашнего хозяйства, а во-вторых изменения предложения на рынке труда отдельных членов домашних хозяйств.

Как говорилось выше, большое количество работ, посвященных исследованию межвременного замещения, используют или агрегированные данные или микроданные, которые часто содержат лишь ограниченную информацию о потребительских расходах, а именно расходы на питание. Таким образом, целый ряд научных работ, посвященных модели жизненного цикла основан на микро данных, которые включают информацию о потребительских расходах исключительно на питание. Это является серьезным ограничением. В случае, если целью исследования является оценить такой параметр поведения домашних хозяйств, как эластичность межвременного замещения, сомнительно утверждение о том, что потребление продуктов свидетельствует о замещении через несколько периодов всего потребления.

Именно поэтому особенно важно корректно агрегировать данные. Очевидно, что домашние хозяйства неоднородны. Однако проблема заключается в том, чтобы установить в какой степени неоднородность потребителей влияет на выводы о модели межвременной оптимизации, основанной на агрегированных данных.

В такой ситуации исследователи в своих работах используют временные ряды. Одним из преимуществ работы с временными рядами является то, что можно контролировать процесс агрегации напрямую: мы можем объединить любую известную нелинейную функцию отдельных данных и оценить последствия неправильной агрегации.

Марджори Флавин (Flavin,1981) и ряд других исследователей использовали агрегированные и индивидуальные данные, чтобы изучить взаимосвязь между ожидаемым ростом потребления и ожидаемым ростом доходов.

В работах Джона Кэмпбэлла и Грэгори Мэнкью (Campbell, Mankiw, 1989) со стороны макро и Халла и Мишкина (Hall, Mishkin, 1982) и Зельдеса (Zeldes, 1989) с микро стороны есть лишь несколько примеров исследований, где были проведены тестирования избыточной чувствительности. Идея заключается в том, что в соответствии с простой версией модели жизненного цикла, не должно быть никакой связи с переменными, так как потребители с вогнутой функцией полезности должны сгладить колебания ожидаемых доходов. Однако, помимо проблем агрегации, которая поднималась выше эти исследования пренебрегают вероятностью того, что предельная полезность потребления испытывает на себе воздействие демографических переменных или переменных, описывающих предложение на рынке труда.

Из данного раздела следует, что сбору данных стоит уделить особое внимание при проведении исследования с использованием оценки уравнения Эйлера. Стоит обратить внимание на то, какую информацию включают в себя потребительские расходы - потребление в целом или потребление какого-либо отдельного вида товара (например, продукты). От корректной агрегации данных зависит достоверность полученных результатов.

Глава 2. Построение модели

Еще одним важным этапом исследования поведения домашних хозяйств является построение модели уравнения Эйлера, которое и будет оцениваться.

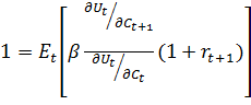
Предполагается, что домашние хозяйства максимизируют свою ожидаемую полезность, и поэтому в общем виде уравнение Эйлера описывается следующей функцией:

 

где,

 - полезность домашних хозяйств в период t;

С - уровень потребления домашнего хозяйства;

 - субъективный дисконт;

t - период времени.

Продифференцируем данное уравнение:

 

Так как:

 ,

То

 

 

 

 

Для проведения исследований и различного рода анализов нередко используют частные случаи функции полезности домашних хозяйств. В результате чего получаются частные случаи уравнения Эйлера. Рассмотрим некоторые из них.

Первый частный случай уравнения Эйлера, который довольно часто встречается - уравнение, которое выводится из следующей функции полезности:

 

Выведем уравнение:

 

 

где:

 - ставка процента в периоде t+1.

Следующий частный случай уравнения Эйлера основывается на функции полезности, которая кроме объема потребления учитывает относительный коэффициент неприятия риска:

 

 

 

где:

относительный коэффициент неприятия риска.

В настоящем исследовании именно такая функция полезности, которая содержит в себе и учитывает относительный коэффициент неприятия риска, служит достижению поставленной в работе цели. Потому что именно из этого коэффициента и выводится эластичность межвременного замещения.

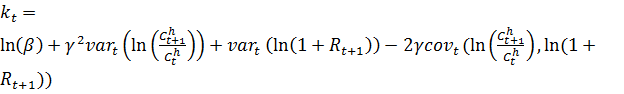
В первой главе настоящей работы говорилось о том, что для получения достоверных результатов оценки уравнения Эйлера важно избавиться от ошибок измерения. Для этого параметры данного уравнения оцениваются с использованием метода инструментальных переменных. При этом оценивать можно как нелинейное уравнение, так и его линеаризованную форму. В работе "Estimating Euler equations. Review of Economic Dynamics" (Attanasio, Low 2000) авторы говорят о том, что в случае использования линеаризованной формы оценки будут иметь меньшее влияние ошибок измерения. Для того чтобы получить линеаризованную версию уравнения в данной работе будет использована лог-линеаризация.

Чтобы выполнить лог-линеаризацию прежде всего приведем уравнение к удобному виду:

 

 


 

Теперь разделим полученное уравнение на :

 

где:

;

 - эластичность межвременного замещения.

В результате проведенных преобразований и лог-линеаризации уравнение Эйлера, которое оценивается в данной работе имеет вид:

 

Подводя итог данной главы, стоит обобщить и еще раз сказать о том, что при построении модели, за основу был взят один из нескольких частных случаев функции полезности, который включает в себя относительный коэффициент неприятия риска. Затем данная функция полезности была подставлена в уравнение Эйлера и после ряда преобразований была проведена лог-линеаризация для уменьшения влияния ошибок измерения.

Глава 3. Эмпирическое тестирование

.1 Данные

.1.1 Сбор данных

Сбор статистических данных в настоящей работе является одним из наиболее ответственных этапов по причине того, что от качества и полноты собранной информации зависит качество оценки модели и результат работы в целом.

После того, как статистические данные будут собраны и систематизированы в одну общую таблицу, их стоит исследовать на предмет наличия закономерностей и взаимозависимостей. Затем на созданной основе осуществляется эконометрический анализ экономических процессов с использованием программного пакета "Stata 12".

В данном исследовании для оценки параметров модели используются панельные данные. Панельные данные являются пространственными микроэкономическими выборками, которые при этом прослежены во времени. То есть они состоят из наблюдений одних и тех же экономических единиц (в нашем случае субъектов Российской Федерации, федеральных округов и Российской Федерации в целом), которые осуществляют свою деятельность в последовательные периоды времени. Панельные данные имеют следующие измерения: признаки, объекты, время. Использование панельных данных имеет ряд значительных преимуществ при оценке регрессионных зависимостей, потому как он позволяют проводить как анализ временных рядов, так и анализ пространственных выборок. (Ратникова, 2006)

Для данной работы собраны панельные данные, включающие в себя информацию о потребительских расходах по всем субъектам Российской Федерации за период с 2005 до 2014гг. Кроме того что исследуются данные обо всех субъектах РФ, также были собраны аналогичные данные по всем федеральным округам Российской Федерации и по Российской Федерации в целом. Таким образом, эластичность межвременного замещения можно оценить на разных данных: на данных по субъектам Российской Федерации, по федеральным округам и по Российской Федерации в целом.

Стоит отметить, что 19 января 2010 года Северо-Кавказский федеральный округ был выделен из состава Южного федерального округа в самостоятельный федеральный округ. Поэтому статистические данные по этому федеральному округ собраны за период с 2010 по 2014 г.

Также 21 марта 2014 года в состав Российской Федерации вошли республика Крым и город федерального значения Севастополь, в результате чего был образован Крымский Федеральный округ. Однако статистические данные по данному федеральному округу за 2014 год, которые могли бы быть использованы в настоящем исследовании, на момент сбора данных не были представлены на сайте Федеральной службы государственной статистики Российской Федерации. По этой причине Крымский федеральный округ, Республика Крым и город федерального значения Севастополь не были включены в выборку.

В исследование включены данные о расходах на потребление (в среднем на каждого члена домашнего хозяйства в квартал), среднедушевых денежных доходах населения , уровне безработицы, индексе потребительских цен на товары и услуги (квартальные данные). Информация об этих данных взята с сайта Федеральной службы государственной статистики Российской Федерации. Кроме вышеуказанных переменных для достижения цели настоящего исследования необходимо было собрать статистические данные по ставке процента в Российской Федерации. Для работы была выбрана средневзвешенная ставка по рублевым депозитам физических лиц в кредитных организациях сроком до 1 года. Данные о ставке процента взяты с сайта Центрального банка Российской Федерации.

По завершению процесса сбора статистической информации с сайтов Федеральной службы государственной статистики и Центрального банка Российской Федерации, была составлена сводная таблица, в которой все была объединена вся информация и все показатели были соотнесены по кварталам и по субъектам Российской Федерации. Каждому субъекту был присвоен его порядковый номер. Для федеральных округов и Российской Федерации в целом были сформированы отдельные порядковые номера, для того, чтобы позднее в "Stata 12" можно было посмотреть результаты оценки уравнения Эйлера отдельно по субъектам, федеральным округам и Российской Федерации в целом. Таким образом были сформированы панельные данные, на которых и будет оцениваться уравнение.

.1.2 Описание данных

В данном разделе 4 главы более подробно описываются данные, выбранные для настоящего исследования и с использованием которых будет строиться и оцениваться уравнение Эйлера. Также здесь объясняется, почему именно они были выбраны для данной работы.

Потребительские расходы. В выборку включаются потребительские расходы в среднем на каждого члена домашнего хозяйства в квартал по всем субъектам Российской Федерации, включая федеральные округа и Российскую Федерацию в целом, за период с 2005 по 2014 гг. Данная переменная отображает объем расходов каждого члена домашнего хозяйства на потребление товаров и услуг в общем. Статистические данные взяты с сайта Федеральной службы государственной статистики Российской Федерации, а также из ежегодных статистических бюллетеней «Доходы, расходы и потребление домашних хозяйств», которые размещены на сайте Федеральной службы государственной статистики Российской Федерации. Данная переменная является ключевой в нашем исследовании¸ поскольку его основной целью является оценка изменений потребительских расходов в ответ на изменение реальной ставки процента.

Доходы домашних хозяйств. Для настоящего исследования были собраны данные о среднедушевых доходах домашних хозяйств в среднем на каждого члена домашнего хозяйства по всем субъектам Российской Федерации за исследуемый период, а именно с 2005 до 2014гг Данные взяты в среднем за каждый анализируемый год. Статистика, описывающая доходы домашних хозяйств была собрана с сайта Федеральной службы государственной статистики Российской Федерации. Стоит подчеркнуть значимость этой переменной. В научных работах, посвященных исследованию домашних хозяйств, достаточно встречается анализ экзогенных факторов и и потрясений, которые приводят к изменению потребления домохозяйств. В частности в работе "The Response of Consumption in Russian Households to Economic Shocks» (Stillman, 2001) основной причиной изменения потребительских расходов автор выделяет внешние экономические потрясения, приводящие к изменению доходов домашних хозяйств. Таким образом, домашние хозяйства формируют свой уровень потребления, зачастую ориентируясь на уровень собственных доходов. Кроме того в статье "Estimating euler equations" (Attanasio, Low, 2000) авторы показали, что точность оценок уменьшается с увеличением изменчивости дохода. Именно по этим причинам данные о доходах домашних хозяйств были включены в настоящее исследование. В работе были взяты среднегодовые доходы на одного члена домашнего хозяйства в месяц.

Уровень безработицы. Для исследования были взяты данные о годовом уровне безработицы во всех субъектах Российской Федерации в период с 2005 до 2014 гг. Информация об уровне безработицы была взята с сайта Федеральной службы государственной статистики Российской Федерации. Взаимосвязь потери работы и изменения объема потребительских расходов домашних хозяйств исследуется в работе «Job loss and household consumption behavior».(Melvin, 2004) Авторы статьи анализируют влияние потери работы на изменение уровня дохода домашних хозяйств и, как следствие, изменение потребления. Поэтому и в данном исследовании не стоит упускать влияние уровня безработицы на объем потребления.

Ставка процента. Для данного исследования была собрана информация о средневзвешенной ставке процента по рублевым депозитам физических лиц в кредитных организациях (включая ПАО «Сбербанк России») сроком до одного года. Статистические данные, отражающие значение процентной ставки, представлены на сайте Центрального банка Российской Федерации. В работе статье "Estimating euler equations" (Attanasio, Low, 2000) авторы пришли к выводу, что увеличение изменчивости процентной ставки не обязательно снижает точность оценок эластичности межвременного замещения и наоборот часто увеличивает ее. Причина понятна даже на интуитивном уровне: увеличение изменчивости процентной ставки вызывает бóльшие вариации в межвременных ценах, и это позволяет получить более точные оценки межвременных предпочтений домашних хозяйств. Однако в данном исследовании ставка процента будет использоваться в качестве инструмента в том числе и по причине ярко выраженного временного тренда.

Индекс потребительских цен. Из центральной базы статистических данных, расположенной на Едином Интернет-портале Росстата, были выгружены ежемесячные данные об индексе потребительских цен каждого субъекта Российской Федерации за период с 2005 до 2014 гг. На основе месячных данных были посчитаны индексы потребительских цен за каждый из кварталов, входящих в анализируемый период. Затем за базовый период был принят первый квартал 2005 года и по отношению к нему были рассчитаны индексы потребительских цен для всех регионов и для всех кварталов, входящих в исследуемы период. Индекс потребительских цен отражает уровень инфляции в каждом из субъектов Российской Федерации. Показатель инфляции необходим в данном исследования для того, чтобы с ее помощью из номинальных величин получить реальные величины потребления, доходов, ставки процента,

Реальные потребительские расходы домашних хозяйств. На сайте Федеральной службы статистики Российской Федерации представлена информация только о номинальных расходах на потребление домашних хозяйств. Однако для оценки уравнения Эйлера необходимо использовать значения реальных потребительских расходов. Для того, чтобы рассчитать реальный объем расходов на потребления, в данном исследовании номинальные значения потребительских расходов были поделены на индекс потребительских цен, описание которого было представлено выше.

Реальные доходы домашних хозяйств. Определив реальный объем потребительских расходов, логично определить и реальные доходы домашних хозяйств. Ввиду того, что на сайте Федеральной службы статистики Российской Федерации представлена информация лишь о номинальных значениях доходов домохозяйств, реальные доходы необходимо было посчитать способом аналогичным тому, что был использован при расчете реальные потребительских расходов. В частности значения номинальных доходов домашних хозяйств были поделены на индекс потребительских цен.

Реальная ставка процента. Обычно, для оценки уравнения Эйлера исследователи включают лагированные значения переменных (уровень потребления и доходов., ставки процентов), а также константу. (Attanasio, Low, 2004; Weber, 2000). Однако, на момент принятия решения об объеме потребления домашние хозяйства располагают информацией исключительно о номинальных ставках процента по депозитам. .Для того чтобы решить эту проблему и определить значения реальной ставки процента было посчитано отношение двух выражений:

(1+r)/100/4 (1)

где:

r - номинальная средневзвешенная ставка процента по рублевым депозитам физических лиц в кредитных организациях.

И

() (2)

где:

ИПЦ - индекс потребительских цен;

t - период времени.

Первое выражение (1) делится на 4 для того, чтобы определить квартальную ставку, так как r - средневзвешенная ставка процента по рублевым депозитам сроком до 1 года. Для того, чтобы скорректировать полученное значение на инфляцию прошлого года, делим полученное значение номинальной квартальной ставки процента на второе выражение (2). Предполагая, что домашние хозяйства при прогнозировании инфляции в следующих периодах ориентируются на инфляцию в прошлых периодах, делаем вывод о том, что полученные значения с большой вероятностью приближается к прогнозу реальной ставки процента.

Темп роста реального потребления домашних хозяйств. Стоит отметить, что в уравнении Эйлера используется не просто объем реальных потребительских расходов, а темп роста потребления. Именно поэтому для каждого домохозяйства во всех субъектах Российской Федерации на протяжении всего анализируемого периода был рассчитан темп роста реального потребления. Для того, чтобы определить эти значения, было, высчитано отношение реальных потребительских расходов будущего периода к текущему.

Темп роста реальных доходов домашних хозяйств. Аналогично темпу роста реального потребления домашних хозяйств, тем роста реальных доходов определяется отношением реальных доходов следующего периода к текущему.

Таким образом, в настоящем исследовании используются следующие данные: потребительские расходы, доходы домашних хозяйств, уровень безработицы, ставка процента, индекс потребительских цен, реальные потребительские расходы домашних хозяйств, реальные доходы домашних хозяйств, реальная ставка процента, темп роста реального потребления домашних хозяйств, темп роста реальных доходов домашних хозяйств,.

Описательная статистика переменных, используемая при оценке уравнения Эйлера приведена в табл. 1.

Таблица 1.

Описательная статистика переменных

Переменные

Период


2005-2014 гг.

Темп роста реального потребления

1,04 (0.23)

Темп роста реального дохода

1.01 (0.09)

Реальная ставка процента

0,98 (0,1)

Реальное потребление на человека

15318,83 (6282,17)

Реальный доход на человека

9726,04 (5375,74)

Число периодов

40

Число наблюдений

3680

Примечание. В таблице приведены средние значения переменных, в скобках указаны стандартные отклонения.

.2 Инструменты

Как уже говорилось выше, уравнение Эйлера в настоящем исследовании будет оцениваться методом инструментальных переменных, и для того, чтобы уменьшить влияние ошибок измерения оцениваться будет линеаризованная версия уравнения.

Прежде всего необходимо выбрать переменные, которые будут использоваться в модели в качестве инструментов. В первой главе настоящего исследования было определенно, что в качестве инструментов могут служить только те переменные, которые идентифицируемы и известны в период t. Кроме того инструментальные переменные не должны коррелировать с остатками уравнения. Исходя из этих условий инструментальными переменными были выбраны реальная ставка процента, темп роста реального потребления, а также дамми-переменная по кварталам.

Для того, чтобы уменьшить влияние ошибок измерения и получить линеаризованное уравнение Эйлера необходимо выполнить лог-линеаризацию. Поэтому в уравнении используются логарифмированные переменные темпа роста реального потребления домашних хозяйств и реальной процентной ставки.

Построив гистограммы полученных значений логарифмированных переменных, обнаружилось наличие выбросов в этих переменных. Для того, тчобы избавиться от выбросов, которые могут отрицательно сказаться на качестве оценки параметров уравнения, из выборки были исключены наблюдения, при которых логарифмированный темп реального роста потребления и логарифмированная реальная ставка процента меньше -5.

Важно заметить, что согласно авторам работ, проводивших оценку уравнения Эйлера (Attanasio, Low, 2004; Weber, 2000) в набор инструментов включаются лагированные значения переменных. Так как в работе используются квартальные данные, то разумно включить в модель 4 лага для каждой переменной, чтобы охватить весь год. Также согласно этим же научным работам, в инструменты включается константа.

Таким образом, для оценки уравнения Эйлера методом инструментальных переменных используется следующий набор инструментов: 4 лага логарифмированной реальной ставки процента, 4 лага логарифмированного темпа роста реального потребления, дамми-переменная по кварталам, а также константа.


В настоящем исследовании оценка уравнения Эйлера и его параметров осуществляется с использованием программы "Stata 12". " Stata 12" является универсальным пакетом для решения статистических задач в разных прикладных областях, в то числе и в экономике. Одним из основных ее достоинств является большой спектр статистических методов, включая обобщенный метод моментов и возможность гибкой обработки данных.

Уравнение Эйлера оценивается методом инструментальных переменных. Как описывалось выше в данной работе используется уравнение следующего вида:

 

Поэтому в Stata строится регрессия, где в качестве зависимой переменной стоит логарифмированный темп реального роста потребления, а в качестве регрессоров берутся лагированная на 1, 2, 3 и 4 шага логарифмированная реальная ставка процента а также лагированный на 1, 2, 3 и 4 шага логарифмированный темп роста реального потребления. Так как в исследовании используются квартальные данные, очень важно в уравнении захватить весь год. По этой причине в уравнению включаются регрессоры с 4 лагами. Кроме того в модель, в качестве регрессоров включается также дамми-переменная по кварталам и константа.

Как уже подробно описывалось в предыдущем разделе, в качестве инструментов в модели используются константа и лагированные значения переменных - 4 лага логарифмированной реальной ставки процента, 4 лага логарифмированного темпа роста реального потребления, а также дамми-переменная по кварталам. Стоит обратить внимание на последний инструмент. В модель в качестве инструмента включается именно дамми-переменная по кварталам, а не просто переменная, отражающая номер квартала. Это делается для того, чтобы учесть сезонность и решить проблемы, которые с ней связаны.

Построив гистограммы для всех переменных было замечено наличие выбросов у логарифмированной реальной ставки процента и логарифмированного темпа роста реального потребления. Поэтому для того, чтобы избавится от ошибок, связанных с выбросами, в модели оставляем только те значения этих переменных, которые больше -5.

При построении эконометрических регрессий обычным требованием является независимость и отсутствие корреляции между наблюдениями. Однако, в данной модели для переменной, отражающей порядковый номер квартала, добавляется условие, которое допускает существование внутригрупповой корреляции. То есть наблюдения являются независимыми между собой, но необязательно внутри групп. Данное допущение также добавляется в модель в "Stata".

Кроме того, что в работе оцениваются параметры уравнения Эйлера, уравнение также тестируется с использованием теста Хансена. Как описывалось в первой главе настоящей работы проведение данного теста особенно важно при оценке уравнения методом инструментальных переменных. При использовании этого метода изначально предполагается, что инструменты не коррелируют с шумом. Тест Хансена позволяет проверить данную предпосылку. Тестирование также осуществляется в программе "Stata" с использованием специальной команды.

Теперь, после того, как модель описана, стоит более подробно и детально описать каждый шаг, который был сделан для оценки уравнения Эйлера и получения значения эластичности межвременного замещения.

Прежде всего необходимо указать в программе, что модель строится с использованием панельных данных.

Далее создаются переменные, на основе которых строится и оценивается уравнение Эйлера. На сайте Федеральной службы государственной статистики представлены только номинальные значения потребительских расходов домашних хозяйств. Для того, чтобы получить реальные значения, с помощью команды создается новая переменная, которая отражает отношение номинальных потребительских расходов к индексу потребительских цен.

Аналогичные действия выполняются в "Stata12" для того, чтобы получить значения реальных доходов домашних хозяйств.

Кроме значений реальных потребительских расходов и доходов, необходимо найти значения реальной ставки процента. Так как для исследования взята ставка процента по депозитам сроком до 1 года, а все остальные данные являются квартальными, то ставку процента делим на 4. Также для получения реального значения стоит учесть изменение индекса потребительских цен. Подробное описание того, как рассчитывается реальная ставка процента приведено в разделе 3.1.2 данной работы

Для оценки эластичности межвременного замещения¸ что является целью настоящей работы, в уравнение Эйлера включаются не просто реальные значения потребительских расходов и доходов домашних хозяйств, а их темпы роста. Поэтому следующим шагом работы в "Stata 12" является создание переменной отражающей значения темпов роста реальных потребительских расходов домашних хозяйств.

Аналогичная команда прописывается в программе для того, чтобы создать переменную, отражающую значения темпов роста реальных доходов домашних хозяйств.

Как уже говорилось ранее, в данной работе оценивается линеаризованная версия уравнения Эйлера. Поэтому необходимо выполнить лог-линеаризацию и получить логарифмированные значения переменных, используемых в модели. Для этого в программе "Stata 12" создаются новые переменные - логарифмированную переменную темпа роста реальных потребительских расходов и логарифмированная реальная ставка процента. Чтобы получить эти переменные необходимо прописать в программе команду, которая возьмет логарифм от роста реальных потребительских расходов и реальной ставки процента соответственно.

Далее переходим к построению самого уравнения Эйлера. Прежде всего указывается, что оценка будет осуществляется методом инструментальных переменных.

Затем указывается зависимая переменная - логарифмированный темп роста реальных потребительских расходов, после чего перечисляются инструментальные переменные, которые используются в модели - 4 лага логарифмированной реальной ставки процента, 4 лага логарифмированного темпа роста реального потребления, а также дамми-переменная по кварталам.

После того как в программе прописана модель, необходимо наложить все указанные ранее ограничения. Выше подчеркивалось, что у двух переменных было обнаружено наличие выбросов - у логарифмированной реальной ставки процента и логарифмированного темпа роста реального потребления. Поэтому далее прописывается условие, которое исключает из выборки наблюдения, при которых логарифмированный темп реального роста потребления и логарифмированная реальная ставка процента меньше -5.

В данном разделе настоящей работы говорилось о том, что в модель для переменной, отражающей порядковый номер квартала, добавляется условие, которое допускает существование внутригрупповой корреляции. Поэтому следующим шагом работы в "Stata 12" в модель добавляется такое условие.

В работе не раз отмечалась важность и значимость проведения теста Хансена при оценивании уравнения методом инструментальных переменных. Исходя из этого, чтобы проверить допущение об отсутствии корреляции между инструментами и шумом и протестировать построенное уравнение Эйлера с помощью теста Хансена последним шагом в программе прописывается специальная команда, которая проводит такой тест.

В результате всех описанных выше шагов в программе "Stata 12" составлено уравнение Эйлера, которое полностью отвечает и соответствует целям и задачам даннного исследования. Кроме того на модель были наложены некоторые ограничения и условия, а также введена команда, которая проведет дополнительный тест.

Составив модель, можно переходить к оценке уравнения, в ходе которой будет получено искомое значение эластичности межвременного замещения. Полученные результаты, их интерпретация и описания приведены в следующем разделе даннного исследования.

.4 Результаты оценки уравнения Эйлера

После введения в программу "Stata 12" всех команд, которые формируют оцениваемую модель, накладывают на нее определенные ограничения и проводят дополнительные тесты, можно переходить к оценке уравнения.

В программе были получены ОММ-оценки линеаризованного уравнения Эйлера для ставки процента по депозитам сроком до одного года. Результаты данной оценки приведены в табл. 2. В данной таблице  отражает эластичность межвременного замещения.

Таблица 2.

Оценка уравнения Эйлера


Coef.

Robust Std. Err.

z

P>z

[95% Conf. Interval]

1,55

0,904

1,72

0,86

-0,22

3,32


Полученные результаты оценки уравнения Эйлера можно интерпретировать следующим образом. в данном случае оценка проводилась на данных о потребительских расходах домашних хозяйств по субъектам Российской Федерации. Прежде всего стоит отметить, что оценка эластичности межвременного замещения для выборки по субъектам РФ оказалась значимой на 10% уровне значимости. Это значит, что между ставкой процента и темпом роста потребительских расходов обнаружено наличие зависимости. Существование такой зависимости свидетельствует о рациональном поведении домашних хозяйств при распределении своего дохода между временными периодами, учитывая при этом изменение ставки процента.

Теперь проинтерпретируем непосредственно сами полученные значения оценки эластичности межвременного замещения. Для субъектов Российской федерации оценка эластичности межвременного замещения значима на 10% уровне значимости и равна 1,55. Таким образом, получается, что при изменении ставки процента на 1 процентный пункт, темп роста потребительских расходов домашних хозяйств по субъектам Российской Федерации изменится на 1,55%.

Значение оценки эластичности межвременного замещения, которое удалось получить в результате оценки уравнения Эйлера в настоящем исследовании оказалось похожим на значение оценки, которое было получено для американской экономики (Attanasio, Weber, 1995). В данной работе авторами было получено значение оценки эластичности межвременного замещения чуть меньше единицы. Однако разница в значениях оценки эластичности межвременного замещения все же имеется и объясняется она следующим. оцениваемая в работе эластичность связывает значение ставки процента со значением темпа роста потребительских расходов. В связи с этим полученный результат оценки эластичности определяется прежде всего разницей вариаций этих переменных. Стоит отметить, что по сравнению с вариацией российских ставок процента по депозитам, доходность американских индексов имеет вариацию в несколько раз больше. Кроме разницы в вариациях между ставками процентов, между российскими и американскими показателями темпа роста потребительских расходов так же есть разница. Изменения темпа роста потребительских расходов в России значительно превышают изменения аналогичных показателей в Соединенных Штатах Америки. Другими словами, по рпичине значительной разницы в вариации ключевых переменных, логично предположить, что изменение ставки процента на 1 процентный пункт сильнее скажется на изменении потребительских расходов, чем изменение доходности рыночного индекса на 1 процент.

Как уже говорилось ранее, в программе "Stata 12" была добавлена команда, которая проверяет допущение об отсутствии корреляции между инструментами и шумом с использованием теста Хансена. В результате проведения даннного теста были получены следующие результаты:

's J chi2(7) = 12.797 (p = 0.0772)

Проинтерпретируем полученные результаты. Результат теста Хансена свидетельствует о том, что на 5% уровне значимости инструменты не коррелируют с шумом. Таким образом, допущение об отсутствии корреляции между инструментами и шумом является верным, в следствии чего оценка уравнения Эйлера методом инструментальных переменных корректна.

В данном разделе третьей главы были получены, описаны и проинтерпретированы результаты оценки уравнения Эйлера, в частности оценка эластичности межвременного замещения. Благодаря проведению теста Хансена было установлено, что инструменты уравнения не коррелируют с шумом, а значит использование метода инструментальных переменных для оценки уравнения является корректным. Полученный результат оценки эластичности межвременного замещения оказался схожим с оценками эластичности для американской экономики, однако разница в значениях все же есть, причины которой также приведены в данном разделе работы.

Заключение

В ходе данной выпускной квалификационной работы последовательно были решены поставленные во введении задачи.

В первой главе работы был проведен обзор научной литературы, посвященной анализу и оценке уравнения Эйлера, в том числе и оценке эластичности межвременного замещения. Здесь же были рассмотрены основные методы, с использованием которых осуществляется оценка.

Следующая глава работы посвящена построению теоретической модели уравнения Эйлера. которая легла в основу практической части данной работы.

Третья глава исследования является практической. В разделах данной главы был проведен сбор статистических данные, на основе которых оценивалось уравнение Эйлера. Затем подробно была описана тестируемая модель и, наконец, получены результаты оценки уравнения Эйлера, в частности оценки эластичности межвременного замещения.

В анализируемой модели темп роста потребительских расходов определяется ставкой процента по депозитам. Так как по результатам оценки модель получилась значимой, то наличие такой зависимости между ставкой процента и темпом роста потребительских расходов подтвердилось.

Для оценки модели использовался метод инструментальных переменных. Оценка осуществлялась на квартальных данных по субъектам Российской Федерации, которые представлены на сайте Федеральной службы государственной статистики Российской Федерации, а также на сайте Центрального банка Российской Федерации.

По результатам исследования удалось установить, что домашние хозяйства в субъектах Российской Федерации рациональны и распределяют своего дохода между временными периодами с учетом изменение ставки процента. Оценка эластичности межвременного замещения, полученная в настоящем исследовании равна 1,55. Таким образом, получается, что при изменении ставки процента на 1 процентный пункт, темп роста потребительских расходов домашних хозяйств по субъектам Российской Федерации изменится на 1,55%.

Получив значение оценки эластичности межвременного замещения, было проведено сравнение полученного значения с результатами исследователей, проводивших схожее исследование но на данных американской экономики. Здесь же были приведены причины разницы в результатах.

По итогам работы, можно заключить, что полученные результаты свидетельствуют о рациональном поведении домашних хозяйств в субъектах Российской Федерации в виду того, что при формировании своих расходов на потребление они учитывают изменение ставок процента.

Таким образом, все поставленные в работе задачи выполнены, цель исследования достигнута.

Среди ряда возможностей для дальнейших исследований в данной теме, стоит выделить следующие. Прежде всего можно рассмотреть как изменятся результаты оценки эластичности замещения, если вместо средневзвешенной ставки процента по депозитам, в модель включить ставку по кредитам. Также интересно посмотреть на результаты оценки уравнения Эйлера используя данные о потребительских расходах не в целом, а по отдельным группам товаров. Еще одним направлением исследования в продолжение данной работы может служить включение в модель таких переменных как уровень доходов, безработицы, и тд.

Список использованной литературы

1.       Alan, Sule; Attanasio, Orazio; Browning, Martin. Estimating euler equations with noisy data: two exact gmm estimators. / Alan Sule; Attanasio Orazio; Browning Martin. - : Journal of applied econometrics, 2009/ - pp. 309-324

2.       Attanasio, O., Weber, G. Consumption growth, the interest rate and aggregation. / Orazio P. Attanasio, Guglielmo Weber <http://www.nber.org/people/guglielmo_weber>. - : Review of Economic Studies, 60(3), 1993. - pp. 631-649.

.        Attanasio, O., and Weber, G. Is consumption growth consistent with intertemporal optimization? Evidence from the Consumer Expenditure Survey. / Orazio P. Attanasio, Guglielmo Weber <http://www.nber.org/people/guglielmo_weber>. - : Journal of Political Economy, 103, 1995. - pp. 1121-1157.

4.       Attanasio O., Low H. Estimating Euler equations. / Orazio P. Attanasio, Hamish Low. - : Review of Economic Dynamics, 7 (2), 2004. - pp. 405-435.

.        Campbell, John Y. Mankiw, N. Gregory. Consumption, Income and Interest Rates: Reinterpreting the Time Series Evidence. / Olivier Jean Blanchard and Stanley Fischer, editors. - : NBER Macroeconomics Annual 1989, Volume 4, 1989. - pp. 185 - 246. - ISBN 0-262-02296-6.

.        Flavin Marjorie A. The Adjustment of Consumption to Changing Expectations About Future Income. / Marjorie A. Flavin. - : Journal of Political Economy Vol. 89, No. 5,Oct., 1981. - pp. 974-1009.

.        Hall, Robert. E. Stochastic implications of the life cycle-permanent income hypothesis: Theory and evidence. / Robert E. Hall. - : Journal of Political Economy, 86, 1978. - pp. 971-987.

.        Hall, Robert E. and Mishkin, Frederic S. The Sensitivity of Consumption to Transitory Income: Estimates from Panel Data on Households. / Robert E. Hall, Frederic S. Mishkin. - : Econometrica, Vol. 50, No. 2, March 1982. - pp. 461-481.

9.       Hansen, Lars P. and Singleton Kenneth J. Stochastic Consumption, Risk Aversion, and the Temporal Behavior of Asset Returns. / Lars Peter Hansen and Kenneth J. Singleton. - : Journal of Political Economy, Vol. 91, No. 2, Apr., 1983. - pp. 249-265

10.     Khvostova, Irina; Larin, Alexander; & Novak, Anna. Euler equation with habits and measurement errors: estimates on Russian micro data. <http://www.cpc.unc.edu/projects/rlms-hse/publications/2279> / Khvostova Irina; Larin Alexander; Novak Anna. - : Higher School of Economics Research Paper No. WP BRP 52/EC/2014.,2014. - p. 32.

.        Stillman, Steven. The Response of Consumption in Russian Households to Economic Shocks. / Steven Stillman. - : William Davidson Institute Working Papers Series, No. 412, 2001. - 43 p.

.        Zeldes, S. P. Consumption and liquidity constraints: An empirical investigation / Zeldes, S. P. - : Journal of Political Economy, 97 (2), 1989. - pp. 305-346.

14.     Ларин, А. В., Новак, А. Е., Хвостова, И. Е. Особенности динамики потребления в России: оценка на дезагрегированных данных./ А. В. Ларин, А. Е. Новак, И. Е. Хвостова. - : Прикладная эконометрика № 32 (4), 2013. - с. 29-44.

.        Ратникова, Т. А. Введение в эконометрический анализ панельных данных / Ратникова, Т. А. - : Экономический журнал ВШЭ, №2, 2006. - С. 267-316

Похожие работы на - Обзор теории оценки потребления домашних хозяйств

 

Не нашли материал для своей работы?
Поможем написать уникальную работу
Без плагиата!
Без нейросетей!