Анализ эффективности модификаций высокодивидендных стратегий
Введение
На настоящий момент написано достаточно много работ, посвященных
стратегиям инвестирования на финансовых рынках и, в частности, на рынках акций.
Во многих работах авторы пытаются решить задачу получения доходности выше
доходности индекса путем создания различных стратегий, предполагающих выбор
акции компаний из некоторого перечня, используя определенные правила. Эти
правила могут быть связаны как с чисто фундаментальными показателями, такие как
прибыльность, рентабельность, скорость роста активов или объема продаж, так и с
показателями, связанными с поведением цены акций на рынке, используя
технический анализ.
Данная работа также посвящена анализу эффективности одного из таких
правил. Оно связано с дивидендной доходностью компаний. Будут рассмотрены так
называемые высокодивидендные стратегий, то есть стратегии, основанные на
покупке высокодивидендных акций. Компании - эмитенты таких акций выплачивают за
отчетный период наибольший размер дивиденда по отношению к цене акции.
Актуальность поднятого вопроса подтверждается как большим количеством
работ, посвященных данной теме, так и результатами, подтверждающими возможность
использования высокодивидендных стратегий для получения прибыли выше
нормальной. И если еще 5-10 лет назад такие исследования касались исключительно
американского рынка, то в последнее время появляется все больше работ,
исследующих эффективность стратегии как на рынках развитых, так и на рынках
развивающихся стран.
Тем не менее, большинство исследователей рассматривают высокодивидендные
стратегии весьма усеченным образом, ограничиваясь изучением эффективности
стратегий, аналогичным первоначально предложенной стратегии «Dogs of the Dow»,
о которой будет сказано более подробно в основной части работы. Это означает,
что степень исследованности высокодивидендных стратегий является достаточно
низкой, существует широкое пространство для дальнейших исследований.
В данной работе будут рассмотрены модификации высокодивидендной стратегии
«Dogs of the Dow». Вместо десяти акций из индекса, предлагаемых для
инвестирования в классической стратегии, будут рассмотрены комбинации из 1, 3,
5, 7 и 10 акций, и, кроме того, будет использована стратегия, предполагающая
инвестирование во все акции, по которым выплачивались дивиденды в отчетном
периоде. Кроме того, будут рассмотрены версии вышеперечисленных стратегий, в
которых наиболее высокодивидендная акция исключается из инвестиционного
портфеля, а также версии, в которых её вес удваивается.
Еще одной существенной модификацией являются стратегии, предполагающие
инвестирование не только в конце декабря, последнего месяца каждого года, как
это предусмотрено классической стратегией, а в конце июля, августа, сентября,
октября, ноября и декабря, что существенно повысит разнообразие исследуемых
стратегий.
Наконец, будет рассмотрена эффективность описанных стратегий не в рамках
одной страны, как это происходит в подавляющем большинстве работ по теме, а на
примере пяти стран: Германии, Франции, Бразилии, ЮАР и России. Это позволит
сравнить применимость стратегий на рынках развитых и развивающихся стран.
Таким образом, цель данного исследования - провести
комплексную оценку эффективности различных модификаций инвестиционных
стратегий, предполагающих использование высокодивидендных акций, на мировых
рынках.
Задачи, выполнение которых необходимо для достижения
поставленной цели:
) Определить модификации высокодивидендных
стратегий, которых потенциально позволят получить более высокую прибыль.
) Осуществить выбор рынков, на которых будет
тестироваться работоспособность таких модификаций.
) Определить временной период, в котором будет
проведена проверка работоспособности стратегий.
) Оценить эффективность высокодивидендных
стратегий на выбранных рынках за выбранный период времени, рассчитав доходность
и показатели соотношения риска/доходности.
) Оценить влияние параметров модификаций на
доходность стратегий и на показатели соотношения риска/доходности.
Глава 1.
Обзор литературы
риск доходность
высокодивидендный инвестиционный
Общие
сведения о высокодивидендных стратегиях.
Первая высокодивидендная стратегия, которая была описана в работах это
стратегия «Dogs of the Dow». Данная стратегия предполагает ежегодное
инвестирование в 10 акций, которые входят в индекс Dow Jones Industrial
Average, эмитенты которых выплатили за последний год наибольший дивиденд по
отношению к рыночной цене, причем такое инвестирование должно происходить в
конце каждого года, желательно в последних числах декабря.
Эта стратегию впервые
предложил [John Slatter] в 1988 году, рассказав о ней в своей работе «Study of Industrial Averages Finds Stocks with High Dividends Are
Big Winners». Тем
не менее, популярна она стала лишь тремя годами позднее, когда [Michael
O'Higgins] подробно рассмотрел её в своей работе “Beating The Dow” в 1991 году.
[Michael O'Higgins] исходил из того, что крупнейшие американские
компании, акции которых входят в индекс Dow Jones Industrial Average, при этом
выплачивающие высокие дивиденды, будут опережать в цене другие компании на
протяжении следующего года. В обоснование этого тезиса им были выдвинуты
следующие утверждения.
Во-первых, по мнению автора, так называемые «голубые фишки» - наиболее
крупные компании страны не склонны сильно варьировать размер дивидендных выплат
год от года, так как стабильность выплачиваемого дивиденда является показателем
стабильности самой компании и, соответственно, залогом доверия к ней со стороны
инвесторов.
Во-вторых, очевидно, что менеджмент компании получает наиболее полную
информацию о состоянии дел в ней, что нельзя сказать о других участниках рынка,
даже если рассматривать наиболее квалифицированных инвесторов.
Исходя из предыдущих утверждений можно сделать вывод, что выплата
компанией высоких дивидендов по эмитированным акциям означает, что компания
прогрессирует, руководство не ожидает каких-либо спадов или проблем, так как
иначе бы ей пришлось снижать дивидендные выплаты в будущем, ухудшая собственный
имидж.
В-третьих, [Michael B. O'Higgins] предположил, что, учитывая первое
утверждение, размер дивидендной доходности является индикатором положения компании
в рамках ее бизнес-цикла, так как размер дивиденда относительно стабилен, а вот
стоимость акций сильно варьируется в зависимости от большого количества
факторов.
Это означает, что если показатели дивидендной доходности компании
достаточно высоки, то компания находится на дне своего бизнес-цикла, и можно
рассчитывать на рост стоимости ее акций в будущем.
Таким образом, можно сделать вывод, что размер дивидендной доходности
акций компании является опережающим индикатором стоимости ее акций, что может
быть использовано для получения повышенной доходности от ее инвестирования.
Тем не менее, сам автор обратил внимание на несколько условий, при
которых данные предпосылки работать не будут.
Во-первых, это ситуация, при которой руководство компании и определяет
размер дивиденда не в соответствии со своими убеждениями, учитывая текущие
внешние и внутренние факторы, влияющие на компанию, а в соответствии с
указаниями сверху. Такая ситуация нередко встречается в компаниях, большая доля
которых принадлежит государству. В этих случаях размер дивиденда будет отражать
не текущую ситуацию в компании, а желания крупнейших акционеров.
Аналогичная ситуация возникает в случаях, если руководству приходится
руководствоваться долгосрочными программами развития или бизнес-планами. Такими
документами может быть заранее предусмотрен размер дивидендных выплат на годы
вперед, и, очевидно, размер дивидендных выплат никак не будет отражать
положение компании на данный момент.
Также автор обратил внимание, что стратегия будет работать хуже или
вообще не работать при использовании в портфеле большого количества компаний, у
которых не прослеживаются цикличные колебания стоимости акций на протяжении
достаточно длительного промежутка времени. В этом случае высокий размер
дивидендной доходности не будет сигнализировать о дне бизнес-цикла компании.
Причем для достижения наибольшей эффективности желательно не только наличие
таких цикличных движений цены, но и их слабая связь с общими движениями рынка.
Последним случаем неработоспособности стратегии, по мнению автора,
является ситуация, при которой компания, напротив, испытывает трудности, при
этом выплачивает высокий дивиденд. Менеджмент может делать это для того, чтобы
поддержать интерес к компании, стимулировать внимание инвесторов к себе. Тем не
менее, это будет являться скорее негативным, чем позитивным фактором.
Пытаясь избежать вышеперечисленных проблем, автор предлагает использовать
свою стратегию именно на американском рынке, а именно инвестировать в компании,
акции которых входят в индекс Dow Jones Industrial Average. Эти акции,
во-первых, крайне стабильны, то есть могут преодолеть любые трудности, и,
следовательно, их покупка возможна и на дне бизнес-цикла, не опасаясь, что в
будущем они упадут еще сильнее. Кроме того, такие компании зачастую достаточно
цикличны, что благотворно влияет на эффективность использования стратегии.
Предложенное автором обоснование эффективности стратегии было доказано и
на практике. Проведенные расчеты показали, что в период с 1957 по 2003 год
доходность классической стратегии «Dogs of the Dow» опережала рынок, а именно
индекс Dow Jones Industrial Average, ежегодно в среднем более чем на 3%.
Средняя доходность индекса за этот период времени составляла около 11%, средняя
доходность стратегии «Dogs of the Dow» составила 14,3% в год. В некоторые
периоды превышение доходности стратегии над доходностью индекса было еще более
существенным. К примеру, с 1973 по 1996 год средняя доходность «Dogs of the
Dow» составила более 20,3% при средней доходности индекса в 15,8%.
Популярность стратегии объясняется не только ее доходностью, но и
простотой использования. Для того, чтобы определить компании, в которые лучше
инвестировать в следующем году, не нужно обладать какими-то специальными
знаниями. Определить дивидендную доходность акций в индексе и выбрать из
индекса бумаги с наибольшей доходностью может любой инвестор, даже если он не
является профессионалом.
Анализ
эффективности высокодивидендных стратегий на американском рынке.
Так как изначально стратегия «Dogs of the Dow» предполагала
инвестирование исключительно на американском рынке, а также по причине того,
что наибольшее число работ касается эффективности стратегии именно при работе с
акциями американских компаний, литература, касающаяся американского рынка
вынесена в отдельную часть обзора.
Начать следует с работы наиболее известного из авторов стратегии.
[Michael O’Higgins], как уже упоминалось выше, популяризировал идею
инвестирования в высокодивидендные стратегии в своей работе “Beating The Dow”,
(Michael O’Higgins,1991), несмотря на то, что впервые эта идея была предложена
другим автором в работе «Study of Industrial Averages Finds Stocks with High
Dividends Are Big Winners», (J.Slatter, 1988).
Книга “Beating The Dow” состоит из нескольких частей. В первой части автор
поясняет, по какой причине для инвестирования он рекомендует выбирать именно
акции, а не другие активы вроде недвижимости или золота. Акции, по мнению
автора, наиболее подходят для долгосрочного инвестирования, так как оно не
будет требовать какого-либо регулярного вмешательства или регулярного
пересмотра методики инвестирования. Кроме того, автор считает, что долгосрочное
инвестирование в акции является более стабильным.
Далее, автор приводит аргументы в пользу своей точки зрения, касающейся
того, что предлагаемая им стратегия «Dogs of the Dow» не является одним из
типов инвестирования, который был бы известен до этого. В частности, он
сравнивает свою стратегию с такими методами как growth investment и value
investment, показывая, что в книге описывается метод, отличающийся от них.
После этого Michael O’Higgins рассказывает, для какой цели создается
новая стратегия. Иными словами, он объясняет, какой же показатель будет
наиболее правильным в качестве показателя эффективности стратегии. Таким
показателем для него является разница между доходностью стратегии и доходностью
индекса. Соответственно, целью является наибольшей разницы.
В качестве дополнительной цели автор ставит задачу опережать не только
индекс, но и доходность работающих паевых инвестиционных фондов. В данном
случае речь идет только о консервативных фондах, работающих длительное время,
так как характер их инвестирования и характер инвестирования с использованием
стратегии «Dogs of the Dow» является схожим.
Первая часть книги завершается историей и характеристикой самого индекса
Dow Jones Industrial Average. Автор приводит подробную методику формирования и
расчета индекса, объясняет структуру компонентов индекса и то, каким образом
эти компоненты взвешиваются. Автор также приводит компании, которые наиболее
длительный период входили в индекс, приводит отчетности этих компаний и дает их
краткую оценку.
Во второй части своей книги [Michael O’Higgins] подробно описывает
стратегию, которая им предлагается. Автор объясняет, что «твердый», стабильный
дивиденд является важной характеристикой для инвесторов, причем не только для
уже владеющих компанией, но и для потенциальных. Дивидендная стратегия
компании, по мнению автора, стала частью инвестиционной культуры, которую
нельзя не учитывать.
При этом, даже компании, акции которых входят в Dow Jones Industrial
Average не всегда заботятся о своей дивидендной привлекательности, в полной
мере не осознавая её важность, продолжая платить невысокие дивиденды. Автор
проводит критику такой политики, объясняя крайнюю важность высоких дивидендов
для привлечения новых инвесторов.
Далее, [Michael O’Higgins] рассказывает, каким образом он пришел к работе
с высокодивидендными стратегиями. Автор говорит, что стратегия создавалась им с
использованием исторических данных в период времени с 1973 по 1991 год.
Впоследствии этот факт стал причиной большого количества критики в адрес
работы, так как, по мнению оппонентов, данный промежуток времени является
слишком коротким для вывода об эффективности стратегии. Тем не менее, в той или
иной степень другие авторы подтверждали эффективность стратегии и для других
периодов времени.
Интересно, что автор не дает названия своей стратегии, ограничиваясь
характеристикой «высокодивидендная». Название «Dogs of the Dow» возникло
несколько позднее, его первоисточник однозначно не определен. В русскоязычных
источниках можно встретить дословный перевод этого названия - «Собаки Доу».
В своей книге Michael O’Higgins предусматривает два варианта
инвестирования. Первый, названный им консервативным, предусматривает покупку
десяти бумаг из индекса с наибольшей дивидендной доходностью за отчетный период
в конце декабря каждого года. Покупка акций предполагается при этом в равных
долях. Продажа акций осуществляет ровно через год - в конце декабря следующего
года. Именно такая стратегия и получила название «Dogs of the Dow».
Менее консервативным вариантом стратегии является формирование портфеля
из пяти акций с самой высокой дивидендной доходностью, приобретенных в равных
долях. Автор показывает, что данная стратегия может показывать более высокий
доход, чем предыдущая, но показатели риска этой стратегии выше. Этот факт
объясняется некоторым снижением диверсификации портфеля, что логично ведет к
повышению волатильности доходности.
В последней части автор анализирует то, каким образом работают иные
стратегии, использующие индекс Dow Jones Industrial Average. В частности, автор
рассматривает стратегии, основанные на стоимостных и моментум-эффектах. Michael
O’Higgins описывает преимущества своей стратегии по сравнению с другими
стратегиями, в том числе путем сравнения их доходностей в период с 1973 по 1991
год.
Как уже упоминалось, стратегия популярна не только на практике, но и в
исследовательских работах. Одним из примеров таких работ может служить
“Does The Dogs Of The Dow Strategy Really Outperform The Market?”, (Arie Goren,
2013).
Автор приводит ряд аргументов в пользу использования стратегии «Dogs of
the Dow». Во-первых, отмечается, что стратегия является очень простой, она
доступна для каждого, её легко внедрять и контролировать. Она не требует ни
сил, ни времени, достаточно раз в год совершить несколько сделок, после чего
можно забыть о ней еще на год. Во-вторых, стратегия эффективна в части уплаты
налогов и комиссионных платежей. Стратегия предусматривает достаточно долгое
удержание позиции, что порождает необходимость уплаты комиссий лишь раз в год,
при изменении портфеля на следующий период. С точки зрения уплаты налогов
важно, что доходность стратегии стабильна, так как законодательство большинства
стран предусматривает необходимость уплаты налогов с полученной на бирже
прибыли, при этом вычеты при получении убытка возвращаются не всегда.
В-третьих, стратегия показывает себя достаточно консервативной, но при этом она
явно ориентирована на получение реального, а не гипотетического дохода. Это
делает ее доступной для консервативных инвесторов, таких как пенсионные фонды
или консервативные паевые фонды. Наконец, согласно расчетам автора, за весь
прошлый век было всего 2 десятилетия, в которые стратегия уступила доходности
Dow Jones Industrial Average и S&P 500 - это 90е и 30е годы.
Тем не менее, ряд авторов, в том числе и современные, не разделяют
оптимизма по поводу использования данной стратегии. [Jack Hough] в своей статье
“'Dogs of the Dow' Investing Strategy No Longer Works” (Jack Hough, 2013)
предполагает, что успех статьи в прошлом и, в частности, в XX веке, может никак
не определять ее успешность в дальнейшем. Автор отмечает, что положительный
результат 'Dogs of the Dow' чаще всего не является статистически значимым, а в
некоторых случаях объясняется случайным стечение обстоятельств.
Но даже если принять во внимание тот факт, что некоторая предсказательная
сила у стратегии все же присутствует, то, по мнению автора, гипотеза
эффективности рынка должна сработать, а, вероятнее, уже сработала, и акции,
компании которых выплатили высокие дивиденды, к моменту покупки уже окажутся
дороже и, следовательно, не принесут прибыли в дальнейшем.
Аналогичную сдержанность в отношении успешности 'Dogs of the Dow'
демонстрируют и авторы статьи «The rise and fall of the “Dogs of the Dow”»
([Dale L. Domiana, David A. Loutonb, Charles E. Mossman, 1998). Её авторы
показали, что зачастую с использованием этой стратегии в портфель попадали
такие акции, которые демонстрировали отрицательную ценовую динамику в
рассматриваемый период. несмотря на то, что компанией выплачивался высокий
дивиденд. В связи с этим авторы сомневаются, можно ли рассчитывать на то, что в
следующем периоде мы увидим рост таких акций.
Кроме того, авторами приводится статистика, согласно которой у
рассматриваемой стратегии наблюдались как успешные, так и провальные периоды.
Также, несмотря на то, что сама стратегия и ее результаты неоднократно
обсуждались в профессиональных источниках и специализированной прессе, объективных
причин для существования положительных результатов стратегии так и не было
выявлено.
Успехи и провалы стратегии, согласно данным авторов, носили циклический
характер: до падения рынка в 1987 году результат стратегии варьировался около
нуля, но следующие несколько лет результат оказывался высоким. Это, по мнению
авторов, не позволяет говорить о стабильности стратегии. Возможно она и
работает в определенные временные периоды, но для постоянного инвестирования
она не подходит.
В качестве опровержения авторам последней статьи можно привести тот факт,
что падение стоимости и, соответственно, нахождение на дне бизнес-цикла,
является одним из основных положений, на которых стоится сама стратегия.
Поэтому падение цены в последний период при высоких дивидендах и является
индикатором последующего роста в соответствии с идеей “Dogs of the Dow”.
Тем не менее, основная идея, которая доказывалась авторами, а именно то,
что эффективность стратегии является следствием реализации гипотезы о
чрезмерной реакции рынка на события, была доказана. Единственным существенным
отличием от других случаев чрезмерной реакции рынка является то, что в качестве
события играет роль не выход какой-либо новости или публикация отчетности, а
то, что акция имеет большую дивидендную доходность по итогам года, чем другие.
Несколько работ были посвящены пересчету результатов стратегии и попытке
объяснить их. В частности, Larry J. Prather, Genell L. Webb] в своей работе
«Window Dressing, Data Mining, Or Data Errors: A Re-Examination Of The Dogs Of
The Dow Theory» (Larry J. Prather, Genell L. Webb, 2002) полностью
перепроверили результаты, полученные исследователями до них.
Авторы также провели анализ результативности стратегии “Dogs of the Dow”,
в результате чего был сделан вывод, что действительно существует некоторое
аномальное поведение рынка, в результате которого возможно получать повышенную
прибыль при помощи высокодивидендных акций. Это означает, что гипотеза
эффективного рынка не является на 100% верной.
Результаты авторов статьи показали регулярное превышение доходности
стратегии над рыночной доходностью на величину до 4%. Также авторы
предположили, что в расчетах их предшественников могла присутствовать какая-то
ошибка, связанная с неправильной методологией или человеческим фактором, но
оказалось, что все расчеты действительно были верными.
В итоге авторы пришли к выводу, что эффективность стратегии связана с
CAPM - аномалиями, достаточно подробно описанными для других случаев, не
связанных с высокими дивидендами. К таким аномалиям относятся эффекты P/E,
эффект небольшой фирмы, а также эффект чрезмерной реакции рынка.
В выводе к своей статье авторы показывают, что даже простейшие правила
торговли на рынке, при условии, что они жестко соблюдаются, зачастую позволяют
получать доходность выше рыночной. Кроме того, они обосновали, что в индексе
Dow Jones Industrial Average нет никаких существенных особенностей, которые
могли бы существенно повлиять на работу различных стратегий и, в частности, на
стратегию «Dogs of the Dow». В связи с этим вполне вероятно, что эта стратегия
может быть использована и для инвестирования на рынках других стран, причем
результат, вероятно, будет аналогичным. Единственным условием для реализации
этой возможности является то, что компании на рассматриваемых рынках должны
исправно платить дивиденды по своим акциям.
Анализ
эффективности высокодивидендных стратегий на рынках стран мира.
В начале работы уже упоминался тот факт, что лишь в небольшом числе
работ, посвященных высокодивидендным стратегиям, можно увидеть комплексный
анализ эффективности стратегии «Dogs of the Dow» на рынках, отличных от
американского. Одним из исключений является статья «Empirical Analysis of
the “Dogs of the Dow" Strategy: Japanese Evidence» (Mingyue Qiu, Yu Song,
Masayoshi Hasama, 2013).
В начале статьи авторы обращают внимание на тот факт, что опережение
рыночных индикаторов, таких как индекс рынка, является наиболее важной целью
любого инвестирования. Тем не менее, касаясь японского рынка, эту цель не
всегда достигают даже профессиональные управляющие. В связи с этим необходимо
рассматривать возможность применения различных стратегий, позволяющих обогнать
рыночные индикаторы. В данной работе - это стратегия “Dogs of the Dow" и
японский индекс Nikkei 225. В статье анализируется доходность стратегии за
временной период с 1981 по 2010 год и ее возможное превышение над доходностью
самого индекса Nikkei 225.
Результаты показывают, что за рассмотренный период доходность “Dogs of
the Dow" в среднем превосходит доходность индекса Nikkei 225, причем он
является значимым на 95% доверительном интервале. После чего авторами была
рассмотрена зависимость эффективности стратегии от различных рыночных условий,
причем был сделан вывод, что эти условия влияют на положительный результат
незначительно.
Рисунок 1. Сравнение доходности стратегии «Dogs of the Dow» и индекса
NIKKEI 225
Авторы отметили, что результат оказывается значимым даже если осуществить
поправку на риск с использованием коэффициента Шарпа.
Таблица 1. Сравнение доходности стратегии «Dogs of the Dow» и индекса
NIKKEI 225 с учетом использования коэффициента Шарпа
Авторы также показали, что стратегии, предполагающие покупку меньшего
числа акций, зачастую показывали лучший результат по сравнению с классической
стратегией. Еще одним выводом авторов является тот факт, что стратегия является
практикоориентированной, то есть выгодной не только в теории, но и при
использовании на практике при включении налоговых расходов и расходов на
транзакции. Это делает ее более выгодной, чем использование инвестиционных
фондов.
Существуют и другие работы, анализирующие доходность стратегии «Dogs of
the Dow» на рынках стран мира. К примеру, статья «An Empirical Analysis of the
Dog of the Dow Strategy for the Taiwan Stock Market», (Hong Yan, Yu Song,
Mingyue Qiu, Fumio Akagi, 2013) посвящена оценке доходности стратегии на
фондовой бирже Тайваня. Авторы отмечают, что сама стратегия не является новой
для Тайваня, она давно признана тайваньскими управляющими в качестве одного из
методов, используемых при инвестировании. Авторами оценивается доходность
стратегии на временном периоде с 2003 по 2012 год. В качестве основного индекса
для расчета был выбран индекс Taiwan 50, включающий из 50 наиболее ликвидных
акций, торгующихся на бирже Тайваня. Расчеты авторов показали, что в
большинстве случаев стратегия «Dogs of the Dow» действительно опережает индекс.
В среднем за рассматриваемый период времени опережение составило около 2х
процентных пунктов.
Таблица 2. Сравнение доходности и стандартного отклонения стратегии «Dogs
of the Dow» и индексов Taiwan 50 и TAIEX
Помимо основного результата, авторами было добавлено две модификации.
Во-первых, был использован коэффициент Шарпа для оценки показателя
риск/доходность, во-вторых, была рассчитана доходность портфелей с меньшим
количеством акций в составе. Расчеты показали, что и в этих условиях стратегия
эффективна.
Рисунок. 2. Сравнение доходности стратегии «Dogs of the Dow» и индексов
Taiwan 50 и TAIEX
Тем не менее, оказалось, что из-за снижения степени диверсификации,
портфели с меньшим количеством бумаг в составе показали большее стандартное
отклонение доходности, что означает больший риск.
Таблица 3. Сравнение доходности и стандартного отклонения
высокодивидендных портфелей с различным числом акций в составе
Существенного прироста доходности при этом не наблюдалось. Это означает,
что на японском рынке снижение числа бумаг в портфеле ниже десяти не является
эффективным.
При расчете коэффициента Шарпа использовалась ставка по годовым
государственным облигациям Тайваня. Результаты показали, что и при
использовании этого коэффициента стратегия эффективна, его среднее значение
оказалось выше аналогичного значения для индекса.
Наконец, авторы обратили внимание на существование некоторой цикличности
в результатах стратегии, что отмечалось также и в предыдущих рассмотренных
работах. Схожий вывод, полученный несколькими авторами на различных рынках,
позволяет говорить о тенденции, свойственной именно таким стратегиям.
Еще одна похожая статья - «Empirical tests of the Dogs of the Dow
strategy in Latin American stock markets» (Andre L.C. Da Silva, 2010) - анализирует
доходность стратегии «Dogs of the Dow» на рынках стран Латинской Америки. Одна
из наиболее значимых заслуг авторов - подробное описание причин, по которым
стратегия является эффективной. В частности, авторы продолжили идею, касающуюся
использованию дивидендной доходности в качестве опережающего индикатора,
установив, что крупные компании неохотно дают рынку сигналы в виде слишком
низких и слишком высоких дивидендов, обосновывая это теоретически.
В работе авторы приходят к выводу, что рассматриваемая стратегия
достаточно эффективна во всех странах Латинской Америки за исключением
Бразилии, где стратегия показала свою неработоспособность. В остальных случаях
средняя доходность стратегии превышает доходность рыночного портфеля. Тем не
менее, зачастую результат оказывался статистически незначимым, что, по мнению
авторов, влечет за собой необходимость дальнейших исследований с использованием
более широких временных интервалов.
Таблица 4. Оценка эффективности высокодивидендных стратегий на рынке
Венесуэллы
Что касается европейских рынков, большой интерес представляет работа «The ‘Dogs of the Dow’ strategy revisited: Finnish evidence» (Eemeli Rinnea, Sami Vähämaa, 2011), посвященная рынку акций
Финляндии. Стратегия тестировалась на временном промежутке с 1988 по 2008 год,
причем авторы не только оценивали доходность стратегии, но и изучали ее
зависимость от ситуации на рынке.
Результаты показали, что в среднем за рассматриваемый период доходность
«Dogs of the Dow» превышала доходность рыночного портфеля на 4,5 процентных
пункта. Причем оказалось, что в периоды большей волатильности рынка стратегия
показывает лучший результат. Кроме того, авторы установили, что наиболее
популярные показатели риск/доходность также говорят об эффективности стратегии,
что свидетельствует о том, что повышенная доходность стратегии - это не просто
бонус за риск из-за использования меньшего количества бумаг по сравнению с
рыночным портфелем.
До последнего времени не существовало качественного исследования
применимости высокодивидендных стратегий на рынке Китая, несмотря на его
очевидную значимость для международных инвесторов, пока в 2011 году не была
опубликована работа «The Dogs of the Dow in China» (Carol Wang, James E.
Larsen, M. Fall Ainina, Marlena L. Akhbari, Nicolas Gressis).
К сожалению, в работе была использована не совсем понятная методология,
и, кроме того, не слишком понятно итоговое представление авторами данных. Тем
не менее, расчеты авторов показали, что стратегия «Dogs of the Dow» является
успешной как в чистом виде, так и после проведения корректировок на налоги и
транзакционные издержки.
Таблица 5. Сравнение доходности и стандартного отклонения
высокодивидендных портфелей с различным числом акций в составе на рынке Китая
Авторы также показали, что доходность портфеля существенным образом
зависит от количества наиболее высокодивидендных акций в портфеле, причем эта
зависимость является строго положительной. При этом, увеличение числа акций в
портфеле повышает степень диверсификации его риска, стандартное отклонение
существенным образом снижается.
Анализ
эффективности высокодивидендных стратегий на российском рынке.
Говоря о применимости высокодивидендных стратегий на российском рынке, в
первую очередь стоит обратить внимание на статью «Инвестиционные стратегии на
дивидендных акциях российского фондового рынка: «собаки Доу» и портфели с
фильтрами по фундаментальным показателям» (Гальперин М.А., Теплова Т.В.),
опубликованную в Экономическом журнале ВШЭ в 2012 году.
Данная статья примечательна не только качественным анализом применимости
высокодивидендной стратегии, а именно стратегии «Dogs of the Dow», на
российском рынке, но и большим количеством предложенных авторами
усовершенствований в виде фильтров, в том числе и фильтров по прибыли. Авторами
также был предложено усовершенствование отбора акций в портфель с помощью
показателя темпа роста дивидендов. Кроме того, авторами были использованы
показатели риска, такие как коэффициент Шарпа, коэффициент Сортино, а также
метод VaR.
В качестве базовых индексов для исследования авторами были выбраны
индексы ММВБ и РТС, период тестирования - 2001-2010 гг. Данный период времени
был выбран не случайно, до 2001 года тестирование высокодивидендных стратегий
представляется затруднительным из-за проблем с данными. Авторами были
рассмотрены портфели РТС-Див-5 (портфель, состоящий из пяти наиболее
высокодивидендных акций индекса РТС за прошедший год), РТС-Див-10 (портфель,
состоящий из десяти наиболее высокодивидендных акций индекса РТС за прошедший
год), ММВБ-Див-5 (портфель, состоящий из пяти наиболее высокодивидендных акций
индекса ММВБ за прошедший год), ММВБ-Див-10 (портфель, состоящий из десяти
наиболее высокодивидендных акций индекса ММВБ за прошедший год). В качестве
контрольного месяца, то есть месяца, в который подсчитывались результаты
портфеля за прошедший год и менялась структура портфеля, был выбран декабрь,
что соответствует классической стратегии «Dogs of the Dow». Тем не менее,
авторами была предпринята попытка использовать в качестве контрольного месяца и
июль. Помимо простой доходности портфелей, авторами также рассчитывалась чистая
доходность, то есть доходность после выплаты налогов, что, с одной стороны, не
является нововведением, но, с другой стороны, такое усовершенствование
встречалось лишь в небольшом количестве работ по теме.
Особого внимания заслуживают результаты, полученные авторами статьи.
Портфель РТС-Див-10 показал существенное опережение индекса РТС на всем
протяжении периода исследования (39% за 10 рассматриваемых лет без учета
налогов). Тем не менее, авторы статьи не были удовлетворены полученным
результатом, так как стандартное отклонение портфеля РТС-Див-10 оказалось выше
почти в 1,5 раза, что является не очень хорошим показателем для долгосрочного
инвестирования.
Для того, чтобы попытаться исправить данную ситуацию, авторы статьи
разработали две стратегии, которые, по замыслу авторов, могли бы быть более
эффективны для долгосрочного инвестирования.
Первая стратегия заключается в выборе акций, которые показали не
наибольшую абсолютную дивидендную доходность, а наибольший относительный
прирост дивиденда за прошедший год. В портфель включались компании, чей прирост
дивиденда оказывался выше среднего прироста дивидендов компаний, входящих в
рассматриваемый индекс. Вторая стратегия аналогична первой, но при выборе бумаг
в портфель использовался фильтр прироста прибыли, то есть из компаний, входящих
в портфель с использованием первой стратегии, исключались компании, чей прирост
прибыли оказывался ниже медианного прироста прибыли компаний этого портфеля.
Этот метод основывался на предположении, согласно которому рост цен акций
компании в следующем периоде более вероятен в том случае, когда рост дивиденда
подкреплен ростом прибыли, а не зависит от желания руководства компании по
каким-то причинам показать высокий дивиденд. Очевидно, что такой способ
формирования портфелей предусматривает различное, не фиксированное количество
акций в портфеле в разные периоды времени. Кроме того, авторами было рассмотрено
3 различных сценария: без капитализации дивидендов и без уплаты налогов, с
капитализацией дивидендов, но без уплаты налогов, с капитализацией дивидендом и
с полной уплатой всех налогов. Результаты исследования приведены в таблицах:
Таблица 6
Таблица 7
Таблица 8
Из представленных таблиц видно, что среднегодовая доходность портфеля,
составленного по первой стратегии, превышает доходность индекса на 1 процентный
пункт. Использование фильтра по прибыли во второй стратегии улучшает этот
результат. Исходя из расчетов авторов, превышение среднегодовой доходности
портфеля, составленного по второй стратегии, выше доходности индекса почти на
3,5 процентных пункта.
Результаты применения коэффициентов Шарпа и Сортино представлены в
следующей таблице:
Таблица 9
Как видно из представленной таблицы, для обеих тестируемых стратегий, при
всех используемых сценариях, коэффициенты Шарпа и Сортино оказались выше аналогичных
значений для индексного портфеля, что говорит о более высокой их эффективности
и большей привлекательности для инвестирования, в том числе долгосрочного.
Полученные результаты наглядно демонстрируются авторами исследования на
графике.
Рисунок 3. Сравнение динамики стоимости портфелей и рыночным индексом без
капитализации дивидендов
Таким образом, авторами исследования рекомендовано использование для
инвестирования именно второй стратегии, предусматривающей инвестирование в
акции, показывающие прирост дивиденда выше среднего, с использованием фильтра
по прибыли. Данная стратегия оказалась не только более доходной, чем другие
рассмотренные стратегии, но и более эффективной с точки зрения показателя
риск-доходность.
Еще одной работой, посвященной применимости стратегии Dogs of the Dow на
российском рынке, является статья «Анализ доходности дивидендных стратегий на
российском фондовом рынке» (Аистов, А. В., Кузьмичев, К. Е., Александровский,
С. В., Фоменков, Д. А., Макарова, Л.Г., 2011 г.), которая представляет собой
классическое исследование применимости стратегии «Dogs of the Dow» на
российском рынке, но, тем не менее, существенно уступает в фундаментальности и
комплексности подхода предыдущей рассмотренной статье.
В качестве базового индекса авторами был взят индекс ММВБ, период
исследования - 2003-2010 гг. Авторами тестировалось применение четырех
портфелей: состоящего из одной наиболее высокодивидендной акции, состоящего из
второй по счету высокодивидендной акции, состоящего из пяти наиболее
высокодивидендных акций, и состоящего из десяти наиболее высокодивидендных
акций. Контрольный месяц - декабрь.
Таблица 10
Как мы видим из результатов авторов, среднегодовая доходность всех
предложенных портфелей оказалась выше, чем среднегодовая доходность индексного
портфеля, но, тем не менее, выше оказался и риск данных портфелей.
Таблица 11
Представленная таблица демонстрирует существенное снижение эффективности
предлагаемых портфелей с точки зрения показателя риск-доходность (был
использован коэффициент Шарпа). Фактически, относительную применимость для инвестирования
показал только портфель из десяти наиболее высокодивидендных акций, т.к.
значения коэффициента Шарпа оказались выше аналогичных значений индекса в 5
периодах из 7. Таким образом, рекомендовано использование именно такого
портфеля.
Анализ эффективности
модификаций высокодивидендных стратегий.
Благодаря чрезвычайной простоте стратегии «Dogs of the Dow», было
предпринято несколько попыток её модификации с целью получить более высокую
доходность.
К примеру, предлагалось уменьшить число наиболее высокодивидендных бумаг,
в которые будет осуществляться инвестирование с 10 до 5. По мнению авторов
идеи, это позволит избавиться от компаний в портфеле, которые слабее всего
подходят под идеи, на которых строится стратегия «Dogs of the Dow».
Другая идея состояла в увеличении числа акций, из которых будут
выбираться наиболее высокодивидендные. Предлагалось использовать не компании,
входящие в индекс Dow Jones Industrial Average, которых насчитывается всего 30,
а 50 или даже 100 наиболее ликвидных компаний, торгующихся на бирже NYSE. Это
также может привести к росту средней доходности компании, но при этом теряется
идея использования наиболее стабильных из существующих компаний.
В качестве альтернативы возможно было бы использование 50 компаний биржи
NYSE с наибольшей капитализацией, но эта идея по какой-то причине не была
описана в исследовательских работах.
Кроме модификаций, основанных на реальных фундаментальных идеях, в разное
время предлагались и даже тестировались стратегии, основанные на простом
переборе различных параметров с целью получения наилучших результатов. В
частности, одной из таких стратегий является Dow 5, предполагающая вложение в 5
самых дешевых в абсолютном выражении акций индекса Dow Jones Industrial
Average.
Данная стратегия также была модифицирована, появилась стратегия Dow 4,
которая предполагала вложение в 4 самых дорогих бумаги из числа выбранных для
Dow 5. То есть, на конец года выбирались 5 самых дешевых акций и из их числа
исключалась первая.
Учитывая предыдущие две стратегии, была придумана стратегия Foolish 4.
Портфель, составленный на основе данной стратегии, должен состоять из 40%,
вложенных в наиболее дешевую акцию из числа Dow 4, а остальные средства должны
быть вложены в оставшиеся три акции поровну.
Таблица 12. Оценка эффективности модификаций стратегии «Dogs of the Dow»
в период с 1973 по 1996 год
Представленная таблица показывает, что описанные выше стратегии Dow 5,
Dow 4 и Foolish 4 с 1973 по 1996 год показывали лучший результат не только по
сравнению с самим индексом Dow Jones Industrial Average, но и по сравнению со
стратегией «Dogs of the Dow».
Так, стратегия Dow 5 опережала индекс в среднем на 7,6 процентных пункта
в год, Dow 4 - на 10,6 процентных пункта, Foolish 4 - на 12,2 процентных
пункта.
Несмотря на подтвержденную доходность этих стратегий, очевидно, что их
успех не свидетельствует о каких-либо фундаментальных причинах, способствующих
эффективности данных стратегий. Такие стратегии создавались исключительно на
основе исторических данных о ценах акций индекса Dow Jones Industrial Average.
Тем не менее, факт существования подобных стратегий позволяет сделать
некоторые выводы, которые будут полезны в следующей части работы. Становится
очевидно, что модификация стратегий путем перебора параметров, учитывая только
исторические данные, не будет эффективной. Для того, чтобы получить
действительно работающую модификацию, необходимо обосновывать выбор
изменяющихся показателей фундаментальными факторами, причем количество таких
изменений не должно быть слишком большим.
Глава 2.
Методология исследования
Формулировка
проблемы.
Анализируя литературу, связанную с оценкой применимости высокодивидендных
стратегий на рынках стран мира, были обнаружены следующие пробелы:
) Лишь небольшое количество работ посвящены комплексному анализу
эффективности высокодивидендных стратегий. Подавляющее большинство работ
рассматривают эффективность высокодивидендных стратегий в рамках какой-либо
одной страны мира, причем большинство из них посвящены американскому рынку.
) Большинство авторов тестирует классическую стратегию «Dogs of
the Dow", не пытаясь внести в нее какие-либо изменения, хотя существует
позитивный опыт, показывающий, что модификации высокодивидендных стратегий
могут показывать большую прибыль, чем классическая стратегия.
) Больше половины авторов статей по теме рассматривают лишь
простую доходность высокодивидендных портфелей, сравнивая её с рыночной
доходностью, то есть доходностью индексного портфеля, не принимая во внимание
меры риска данных портфелей.
Цели и задачи
исследования.
Учитывая пробелы, выявленные в ходе анализа
литературы, цель данного исследования - провести комплексную оценку
эффективности различных модификаций инвестиционных стратегий, предполагающих
использование высокодивидендных акций, на мировых рынках.
Задачи, выполнение которых необходимо для достижения
поставленной цели:
) Определить модификации высокодивидендных
стратегий, которых потенциально позволят получить более высокую прибыль.
) Осуществить выбор рынков, на которых будет
тестироваться работоспособность таких модификаций.
) Определить временной период, в котором будет
проведена проверка работоспособности стратегий.
) Оценить эффективность высокодивидендных
стратегий на выбранных рынках за выбранный период времени, рассчитав доходность
и показатели соотношения риска/доходности.
) Оценить влияние параметров модификаций на
доходность стратегий и на показатели соотношения риска/доходности.
План исследования:
1) Определить цель и задачи исследования.
) Определить параметры стратегий, варьирование
которых может привести к росту эффективности портфелей.
) Определить перечень стран, на рынках которых
будут тестироваться стратегии.
) Определить временной промежуток, который
будет использован при тестировании.
) Определить источники данных для проведения
тестирования.
) Произвести тестирование сформированных
стратегий на выбранных рынках в определенном ранее временном периоде.
) Сформулировать окончательные выводы на основе
полученных результатов.
Ход
исследования.
После постановки цели и задач исследования, необходимо определить
параметры высокодивидендных стратегий, за счет варьирования которых будут
осуществляться попытки достижения более высоких результатов, чем при
использовании стандартной стратегии «Dogs of the Dow».
Первым таким параметром будет количество наиболее высокодивидендных
акций, которые будут формировать портфель. В классической стратегии «Dogs of
the Dow» это количество равно десяти акциям, но во многих работах приводятся
доводы в пользу того, что изменение этого количества может давать лучший
результат, нежели классическая стратегия. В данном исследовании будут
формироваться портфели из 1, 3, 5, 7, 10 акций, а также «дивидендный» портфель,
состоящий из всех акций, по которым за прошедший период выплачивались дивиденды.
Кроме того, было введено еще одно усовершенствование, заключающееся во
включении новых портфелей по следующему принципу: во-первых, из каждого
вышеперечисленного портфеля исключается первая наиболее высокодивидендная
акция, во-вторых, в каждом из вышеперечисленных портфелей вес первой наиболее
высокодивидендной акции удваивается. Остальные акции в обоих случаях включаются
в портфель в равных долях.
Таким образом, полный перечень тестируемых портфелей будет выглядеть
следующим образом:
Таблица 13. Методика формирования высокодивидендных портфелей
Следующая модификация заключается в изменении месяца, в который
подсчитываются результаты работы портфеля за предыдущий год и происходит
изменение структуры портфеля. В литературе такой месяц иногда называется
«контрольный», такое обозначение будет использовано и в данной работе.
В большинстве работ, в соответствии с классической стратегией «Dogs of
the Dow», контрольным месяцем выбран декабрь. В данном исследовании в качестве
контрольных месяцев будут использованы июль, август, сентябрь, октябрь, ноябрь
и декабрь. Выбор месяцев обусловлен тем, что к концу июля подавляющее
большинство компаний уже определились с размером дивиденда, вследствие чего их
акции уже пригодны для включения в портфель.
В качестве временного периода для исследования выбраны 2006-2015 гг., при
этом 2006 год уже будет годом полноценной работы портфелей, соответственно,
выбор акций для портфеля будет осуществлен по итогам выплаты дивидендов
компаниями за 2005 год.
Для выбора стран, основные индексы которых станут базовыми для
исследования, был составлен перечень государств с развитыми торговыми
площадками. Причем в этих странах должны рассчитываться соответствующие
индексы, которые были бы пригодны для тестирования (к примеру, были исключены
страны, в которых индекс не рассчитывался в какой-то части выбранного периода
исследования). Итоговый перечень стран, пригодных для использования в
исследовании, выглядел следующим образом:
Таблица 14. Перечень стран, пригодных для участия в исследовании
|
Australia
|
|
Austria
|
|
Belgium
|
|
Brazil
|
|
Canada
|
|
Chile
|
|
China
|
|
Colombia
|
|
USA
|
|
Egypt
|
|
Finland
|
|
France
|
|
Germany
|
|
Greece
|
|
Hong Cong
|
|
India
|
|
Indonesia
|
|
Japan
|
|
Portugal
|
|
Russia
|
|
Spain
|
|
South Africa
|
|
Turkey
|
|
UK
|
Из представленного перечня стран случайным образом были выбраны две
страны с развитой и две страны с развивающейся экономикой. К полученным странам
была добавлена Россия.
Итоговый перечень стран, которые будут использованы для тестирования,
выглядит следующим образом:
) Франция (CAC-40 Index)
) Германия (DAX-30 Index)
3) Бразилия
(Bovespa Index)
) ЮАР
(Johannesburg's Top-40 Index)
5) Россия (MICEX Index).
Источник данных для исследования: терминал Thomson Reuters Eikon.
Помимо доходности каждого портфеля, в качестве меры риска будет
рассчитано его годовое стандартное отклонение.
Показатели эффективности портфелей:
) Превышение среднегодовой доходности портфеля над среднегодовой
доходностью базового индекса.
) Превышение значения коэффициента Шарпа, рассчитанного для портфеля,
над значением коэффициента Шарпа, рассчитанного для базового индекса.
Дивидендные выплаты не учитываются при расчете доходности портфелей, так
как они не включаются в стоимость самих индексов.
Глава 3.
Результаты исследования
Анализ
данных.
1. Германия.
В качестве первой страны, на рынке которой будут тестироваться
предложенные стратегии, была выбрана Германия. Базовый индекс - DAX-30.
Число акций в индексе - 30.
Среднее число компаний, выплачивающих дивиденды, за период исследования -
25,3.
Динамика количества компаний, выплачивающих дивиденды:
Рисунок 4. Динамика количества компаний, выплачивающих дивиденды, из
числа входящих в индекс DAX-30
Средний размер дивидендной доходности среди компаний, выплачивающих
дивиденды, за период исследования - 3,064%, размер медианной доходности -
2,643%.
. Франция.
Базовый индекс - CAC-40.
Число акций в индексе - 40.
Среднее число компаний, выплачивающих дивиденды, за период исследования -
34,3.
Динамика количества компаний, выплачивающих дивиденды:
Рисунок 5. Динамика количества компаний, выплачивающих дивиденды, из
числа входящих в индекс CAC-40
Средний размер дивидендной доходности среди компаний, выплачивающих
дивиденды, за период исследования - 3,475%, размер медианной доходности -
3,04%.
) Бразилия.
Базовый индекс - Bovespa.
Число акций в индексе - 64.
Среднее число компаний, выплачивающих дивиденды, за период исследования -
40,5.
Динамика количества компаний, выплачивающих дивиденды:
Рисунок 6. Динамика количества компаний, выплачивающих дивиденды, из
числа входящих в индекс Bovespa
Средний размер дивидендной доходности среди компаний, выплачивающих
дивиденды, за период исследования - 5,37%, размер медианной доходности - 3,90%.
) ЮАР.
Базовый индекс - Johannesburg's Index.
Число акций в индексе - 40.
Среднее число компаний, выплачивающих дивиденды, за период исследования -
22,9.
Динамика количества компаний, выплачивающих дивиденды:
Рисунок 7. Динамика количества компаний, выплачивающих дивиденды, из
числа входящих в индекс Johannesburg
Средний размер дивидендной доходности среди компаний, выплачивающих
дивиденды, за период исследования - 4,179%, размер медианной доходности -
3,841%.
) Россия.
Базовый индекс - MICEX.
Число акций в индексе - 50.
Среднее число компаний, выплачивающих дивиденды, за период исследования -
12,8.
Динамика количества компаний, выплачивающих дивиденды:
Рисунок 8. Динамика количества компаний, выплачивающих дивиденды, из
числа входящих в индекс MICEX
Средний размер дивидендной доходности среди компаний, выплачивающих
дивиденды, за период исследования - 4,39%, размер медианной доходности - 2,56%.
Расчет
доходности стратегий.
На данном этапе будет осуществлен расчет доходности стратегий без учета
их риска. Представление результатов будет выполнено отдельно по каждой из
выбранных стран.
. Германия.
Таблица 15. Результаты расчета доходности сформированных стратегий на
примере индекса DAX-30
Как можно видеть из представленной таблицы, высокодивидендные стратегии
неэффективны при работе с данным инструментом. В подавляющем большинстве
случаев доходность индекса превосходит доходность каждой из тестируемых
стратегий.
Лучше других показали себя стратегии, предусматривающие включение в
портфель всех акций, по которым выплачивались дивиденды. Но даже доходность
этих стратегий оказалась ниже рыночной.
Рассмотрим динамику годовой доходности портфеля, сформированного по
стратегии div - 1 в сравнении с аналогичной динамикой индекса DAX-30.
Рисунок 9. Динамика годовых доходностей портфеля div - 1 и индекса DAX -
30
На представленном графике можно увидеть, что практически во все периоды
времени рыночный портфель опережал предложенный портфель по доходности. Близкие
значения доходности двух портфелей объясняются тем, что подавляющее число
компаний индекса DAX-30 выплачивают дивиденды, и, следовательно, большинство
компаний, входящих в рыночный портфель, входят и в портфель div - 1.
Из представленных результатов можно сделать вывод, что высокодивидендные
стратегии не рекомендуются для использования на немецком рынке.
. Франция.
Рассмотрим результаты тестирования на французском индексе CAC-40.
Таблица 16. Результаты тестирования стратегий на рынке Франции
Большая часть тестируемых стратегий также показали низкую эффективность,
их доходность оказалась ниже рыночной. Тем не менее, «дивидендные» портфели и,
в частности, портфели div и div - 1 показали хорошую динамику доходности.
Рассмотрим сравнение динамики доходности портфеля div - 1 и индекса CAC -
40.
Рисунок 10. Динамика годовых доходностей портфеля div - 1 и индекса CAC -
40
Как видно на графике, в большинстве случаев на периоде тестирования
портфель div - 1 показывает лучшую доходность, нежели рыночный портфель. Таким
образом, стратегии div и div - 1 могут быть рекомендованы для применения на
рынке Франции.
При выборе контрольного месяца следует отдавать предпочтение периоду с
июля по сентябрь, так как портфели, сформированные именно в эти месяцы,
показывают наилучшую доходность.
. Бразилия
Таблица 17. Результаты тестирования стратегий на рынке Бразилии
Тестирование стратегий на рынке Бразилии с использованием индекса Bovespa
в качестве базового показало крайне высокую их эффективность. Особенно хорошо
проявили себя портфели «1», «5» и «5»+1, многократно превзойдя рыночную
доходность.
Рисунок 11. Динамика годовых доходностей портфеля "5"+ 1 и
индекса Bovespa
Сравнение доходностей портфеля «5» +1 и рыночного портфеля показывает,
что в большинстве случаев, если не брать в расчет спад в 2013 году, доходность
сформированного портфеля оказывалась существенно выше доходности рыночного
портфеля.
Отдельно хотелось бы отметить тот факт, что портфель «5» +1 прошел
кризисный период без серьезных потерь, в то время как доходность рыночного
портфеля оказалась в районе -40%.
Указанные выше портфели могут применяться на рынке Бразилии. При выборе
контрольного месяца следует отдавать предпочтение августу, ноябрю и декабрю.
. Южная Африка.
Таблица 18. Результаты тестирования стратегий на рынке ЮАР
Тестирование высокодивидендных стратегий на рынке Южной Африки показало
их крайне высокую эффективность. При рыночной доходности за период тестирования
в районе 200-240%, более половины тестируемых портфелей показали доходность в
300% и выше.
Особенно большая доходность могла быть получена при использовании
портфелей «5», «7», «3» - 1, «5» - 1, «7» - 1. Увеличение числа акций в портфеле,
как правило, приводило к снижению общей доходности портфеля.
В качестве контрольных месяцев рекомендуется выбирать период с июля по
октябрь.
Рассмотрим сравнение доходности стратегии «3» - 1 и рыночной доходности
за период тестирования.
Рисунок 12. Динамика годовых доходностей портфеля "3"- 1 и
индекса Johannesburg's Index
По аналогии с результатами на бразильском рынке, сформированный
оптимальный портфель в большинстве случаев опережал рыночную доходность. Особенно
ярко выражается преимущество сформированного портфеля в период кризиса, когда
он практически не потерял в доходности при серьезном падении доходности
рыночного портфеля.
. Россия.
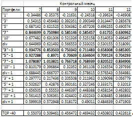
Таблица 19. Результаты тестирования стратегий на рынке России
На вопрос об эффективности тестируемых стратегий на российском рынке
ответить однозначно нельзя. С одной стороны, большинство стратегий показали
общую доходность ниже рыночной. С другой, использование нескольких стратегий
позволило бы превысить рыночную доходность.
Если же решение использовать высокодивидендные стратегии на российском
рынке уже принято, рекомендуется применение стратегии «3» - 1 с контрольным
месяцем сентябрь-октябрь.
Рисунок 13. Динамика годовых доходностей портфеля "3"- 1 и
индекса MICEX.
Сравнение доходности указанной стратегии с рыночной доходностью
показывает, что тестируемая стратегия лучше показала себя как в кризисный
период, потеряв меньше, чем рыночный портфель, так и в послекризисный период,
демонстрируя более быстрые темпы восстановления.
Анализ
соотношения риска/доходности оцениваемых стратегий.
На данном этапе будет выполнен расчет коэффициента Шарпа для всех
тестируемых портфелей, после чего будет возможным дать ответ на вопрос об
эффективности стратегий с точки зрения риска/доходности.
. Германия
Таблица 20. Значения коэффициента Шарпа при тестировании стратегий на
рынке Германии
Как видно из таблицы, результаты аналогичны результатам первого этапа.
Коэффициент Шарпа для тестируемых стратегий оказался ниже того же показателя
для рыночного портфеля, что означает низкую эффективность высокодивидендных
стратегий на немецком рынке не только с точки зрения простой доходности, но и с
точки зрения риска/доходности.
. Франция
Таблица 21. Значения коэффициента Шарпа при тестировании стратегий на
рынке Франции
Расчет коэффициента Шарпа для рассматриваемых стратегий на французском
рынке подтвердил возможность их использования для долгосрочного инвестирования.
В большинстве случаев значение коэффициента для стратегий div и div - 1
оказалось выше рыночных значений, что позволяет использовать эти стратегии на
рынке Франции.
. Бразилия
Таблица 22. Значения коэффициента Шарпа при тестировании стратегий на
рынке Бразилии
Результаты, полученные при расчете доходности стратегий в предыдущей
части, нашли свое подтверждение и при расчете коэффициента Шарпа. Сразу
несколько стратегий оказались эффективными для инвестирования.
При торговле на бразильском рынке рекомендуется использовать различные
вариации стратегий, подразумевающих вложение в портфели из 3, 5 и 7 акций,
выбирая при этом август-сентябрь в качестве контрольного месяца.
. ЮАР
Таблица 23. Значения коэффициента Шарпа при тестировании стратегий на
рынке ЮАР
Использование коэффициента Шарпа при анализе эффективности стратегий на
рынке ЮАР также доказывает их эффективность. Портфели, состоящие из 3, 5 и 7
бумаг показали наивысшую эффективность не только с точки зрения простой
доходности, но и с поправкой на риск. Как и в предыдущих случаях, рекомендуется
использовать август - сентябрь в качестве контрольных месяцев.
. Россия
Таблица 24. Значения коэффициента Шарпа при тестировании стратегий на
рынке России
Наконец, расчет коэффициента Шарпа для сформированных стратегий на
российском рынке показал результаты, схожие с результатами, полученными на
предыдущем этапе исследования. Эффективным оказался лишь портфель «3» - 1, уже
рекомендованный ранее.
Заключение
В данной работе была исследована эффективность высокодивидендных
стратегий на рынках стран мира. При тестировании использовались различные
вариации классических высокодивидендных стратегий, такие как изменение количества
акций в портфеле, исключение из портфеля или удвоение веса акции с наибольшей
дивидендной доходностью, изменение контрольного месяца.
В качестве базовых стран для тестирования были выбраны Германия, Франция,
Бразилия, ЮАР и Россия. Соответственно, в качестве базовых индексов были
использованы индексы DAX-30, CAC-40. Bovespa, Johannesburg’s Index (TOP 40
index) и MICEX. Период тестирования - 2006 - 2015 гг., при этом 2005 год
использовался для определения бумаг, который войдут в портфель в 2006 году.
Произведенные расчеты подтвердили возможность использования
высокодивидендных портфелей в ряде случаев. В частности, такие портфели
показали высокую эффективность на рынках развивающихся стран, а именно в
Бразилии и ЮАР. Использование некоторых высокодивидендных портфелей оказалось
возможным и на рынках Франции (портфель div - 1) и России (портфель «3» - 1). В
то же время, использование подобных стратегий на рынке Германии не
рекомендуется.
В работе был осуществлен расчет коэффициента Шарпа для всех тестируемых
стратегий в целях корректировки доходности на риск. Значения коэффициента Шарпа
для сформированных стратегий в сравнении аналогичными показателями для
рыночного портфеля подтвердили результаты, приведенные выше.
Еще одним важным выводом является тот факт, что изменение контрольного
месяца с декабря (используемого в классических стратегиях) на июль-сентябрь
позволяет получать больший размер доходности, а в некоторых случаях делает
стратегию, которая была неэффективной в классическом варианте, эффективной.
В большинстве случаев результаты, показываемые оптимальными стратегиями
из числа сформированных, оказывались устойчивыми, что позволяет предполагать
сохранение тенденции к существованию повышенной доходности высокодивидендных
стратегий при ее наличии ранее.
Перспективы
дальнейших исследований.
При работе с данным исследованием были выявлены следующие возможности для
продолжения исследования по теме:
) Значительное увеличение числа стран для исследования. Наиболее
предпочтительным вариантом было бы использование при тестировании всех стран,
из которых осуществлялся отбор: Australia, Austria, Belgium, Brazil, Canada,
Chile, China, Colombia, USA, Egypt, Finland, France, Germany, Greece, Hong
Cong, India, Indonesia, Japan, Portugal, Russia, Spain, South Africa, Turkey,
UK.
) Увеличение количества портфелей. Предполагается тестирование
стратегий, подразумевающих создание портфелей со всеми возможными количествами
наиболее высокодивидендных акций в составе в промежутке от 1 до 15. Также
возможно добавление портфеля, состоящего целиком из второй наиболее
высокодивидендной акции, что предусматривается во многих работах по теме,
рассмотренных при проведении исследования.
) Расширение периода исследования. Планируется рассмотреть
возможность введения разных периодов тестирования для различных базовых
индексов, в зависимости от доступности информации в открытом доступе по ним.
) Увеличения числа используемых показателей риска при
тестировании. Коэффициент Шарпа является наиболее популярным, но не
единственным показателем риска/доходности портфеля. Предполагается
предусмотреть возможность использования коэффициентов Сортино и Трейнора.
) Построение эконометрической модели для выявления внутренних
факторов, влияющих на эффективность стратегий.
Список
использованной литературы
1. Теплова Т. В., Гальперин М. А. Инвестиционные стратегии на
дивидендных акциях российского фондового рынка:«собаки Доу» и портфели с
фильтрами по фундаментальным показателям //Экономический журнал Высшей школы
экономики. - 2012. - Т. 16. - №. 2.
. Аистов А. В. и др. Анализ доходности дивидендных стратегий на
российском фондовом рынке //Экономический анализ: теория и практика. - 2011. -
№. 48. - С. 8-16.
. Yan H. et al. An empirical analysis of the dog of
the dow strategy for the Taiwan stock market //Journal of Economics, Business
and Management. - 2014. - Т. 3. -
№. 4. - С. 435-439.
. O'Higgins M. Beating the Dow: A High-return,
Low-risk Method for Investing in the Dow Jones Industrial Stocks with as Little
as $5,000 //- HarperCollins, 1991.
. Does The Dogs Of The Dow Strategy Really Outperform
The Market? // Электронный ресурс: http://seekingalpha.com/. Дата обращения: 01.02.2016
. Jack Hough. 'Dogs of the Dow' Investing Strategy No
Longer Works// Электронный ресурс: online.barrons.com//. Дата обращения: 01.02.2016
. Qiu M., Song Y., Hasama M. Empirical analyses of the
“dogs of the dow” strategy: Japanese evidence //International Journal of
Innovative Computing, Information and Control. - 2013. - Т. 9. - №. 9. - С. 3677-3684.
. Empirical tests of the Dogs of the Dow strategy in
Latin American stock markets» (Andre L.C. Da Silva, International Review of
Financial Analysis 02/2001).
. Slatter J. Study of industrial averages finds stocks
with high dividends are big winners //Wall street journal (eastern edition). -
1988. - С. 1.
. Rinne E., Vähämaa S. The ‘Dogs of the
Dow’strategy revisited: Finnish evidence //The European Journal of Finance. -
2011. - Т. 17. - №. 5-6. - С. 451-469.
11.
«The rise and fall of the “Dogs of the Dow”» ([Dale L. Domiana, David A.
Loutonb, Charles E. Mossman, Financial Services Review 7, рp. 145-59, 1998).
12. Prather L. J., Webb G. L. Window dressing, data
mining, or data errors: A re-examination of the Dogs of the Dow Theory
//Journal of Applied Business Research (JABR). - 2002. - Т. 18. - №. 2.
. Wang C. et al. The dogs of the Dow in China
//International Journal of Business and Social Science. - 2011. - Т. 2. - №. 18.
Приложение 1
Доходность
портфелей при тестировании на рынке Германии
|
2006
|
7
|
8
|
9
|
10
|
11
|
12
|
|
"1"
|
1.235340314
|
1.281965
|
1.22308
|
1.243386
|
1.199852
|
1.176679
|
|
"3"
|
0.959271
|
0.990028
|
1.07336
|
1.041076
|
1.011593
|
|
"5"
|
1.09720411
|
1.152762
|
1.159431
|
1.308005
|
1.324008
|
1.32536
|
|
"7"
|
1.062923277
|
1.10286
|
1.107674
|
1.253761
|
1.265976
|
1.260982
|
|
"10"
|
1.125088744
|
1.158263
|
1.155067
|
1.298493
|
1.284724
|
1.272411
|
|
div
|
1.163204041
|
1.209274
|
1.201832
|
1.302312
|
1.237836
|
1.223477
|
|
"3" - 1
|
0.760930536
|
0.797925
|
0.873503
|
0.988347
|
0.961689
|
0.92905
|
|
"5" - 1
|
1.062670059
|
1.120461
|
1.143518
|
1.32416
|
1.355047
|
1.36253
|
|
"7" - 1
|
1.034187105
|
1.073009
|
1.088439
|
1.25549
|
1.276997
|
1.275032
|
|
"10" - 1
|
1.11283857
|
1.101266
|
1.099073
|
1.250855
|
1.238619
|
1.225566
|
|
div - 1
|
1.160067682
|
1.206114
|
1.200908
|
1.304874
|
1.239488
|
1.225512
|
|
"3" + 1
|
0.998135425
|
1.039945
|
1.048291
|
1.115867
|
1.08077
|
1.052864
|
|
"5" + 1
|
1.120226811
|
1.174296
|
1.170039
|
1.297235
|
1.303315
|
1.30058
|
|
"7" + 1
|
1.084475407
|
1.125248
|
1.122099
|
1.252464
|
1.257711
|
1.250444
|
|
"10" + 1
|
1.135111614
|
1.169509
|
1.16125
|
1.293483
|
1.277008
|
1.263708
|
|
div + 1
|
1.166089492
|
1.212182
|
1.202682
|
1.299955
|
1.236317
|
1.221605
|
|
2007
|
7
|
8
|
9
|
10
|
11
|
12
|
|
"1"
|
1.226954863
|
1.241932
|
1.387035
|
1.435106
|
1.436881
|
1.415832
|
|
"3"
|
1.196069109
|
1.229825
|
1.214389
|
1.223522
|
1.256159
|
1.254877
|
|
"5"
|
1.451548233
|
1.501284
|
1.441912
|
1.471822
|
1.348367
|
1.291187
|
|
"7"
|
1.431478807
|
1.452325
|
1.426787
|
1.431687
|
1.33712
|
1.272316
|
|
"10"
|
1.454372947
|
1.44561
|
1.400237
|
1.410698
|
1.316992
|
1.282386
|
|
div
|
1.338177089
|
1.307761
|
1.289651
|
1.278311
|
1.248069
|
1.228192
|
|
"3" - 1
|
1.180626232
|
1.223771
|
1.128066
|
1.117729
|
1.165798
|
1.1744
|
|
"5" - 1
|
1.507696575
|
1.566122
|
1.455632
|
1.481001
|
1.326239
|
1.260026
|
|
"7" - 1
|
1.465566131
|
1.487391
|
1.433412
|
1.431117
|
1.320494
|
1.248396
|
|
"10" - 1
|
1.479641623
|
1.39821
|
1.337442
|
1.346962
|
1.237723
|
1.204093
|
|
div - 1
|
1.343012838
|
1.310623
|
1.285417
|
1.271494
|
1.23986
|
1.220034
|
|
"3" + 1
|
1.203790548
|
1.232852
|
1.25755
|
1.276418
|
1.30134
|
1.295116
|
|
"5" + 1
|
1.414116004
|
1.458059
|
1.432766
|
1.465703
|
1.36312
|
1.311961
|
|
"7" + 1
|
1.405913314
|
1.426026
|
1.421818
|
1.432115
|
1.349591
|
1.290255
|
|
"10" + 1
|
1.433698576
|
1.427094
|
1.399037
|
1.412917
|
1.327891
|
1.294518
|
|
div + 1
|
1.111440167
|
1.087607
|
1.077955
|
1.070486
|
1.046351
|
1.029748
|
|
2008
|
7
|
8
|
9
|
10
|
11
|
12
|
|
"1"
|
0.714216634
|
0.686041
|
0.684184
|
0.536538
|
0.560163
|
0.61416
|
|
"3"
|
0.729105732
|
0.71913
|
0.671276
|
0.558246
|
0.53099
|
0.547057
|
|
"5"
|
0.776651563
|
0.761155
|
0.699557
|
0.599556
|
0.596342
|
0.604604
|
|
"7"
|
0.748908692
|
0.746223
|
0.655517
|
0.528481
|
0.533482
|
0.540353
|
|
"10"
|
0.748448791
|
0.745303
|
0.644267
|
0.511365
|
0.525899
|
0.535444
|
|
div
|
0.831769432
|
0.813488
|
0.730705
|
0.624635
|
0.579978
|
0.581868
|
|
"3" - 1
|
0.73655028
|
0.735675
|
0.664821
|
0.5691
|
0.516404
|
0.513505
|
|
"5" - 1
|
0.792260295
|
0.779934
|
0.7034
|
0.615311
|
0.605386
|
0.602215
|
|
"7" - 1
|
0.754690701
|
0.756253
|
0.65074
|
0.527138
|
0.529035
|
0.528052
|
|
"10" - 1
|
0.752252364
|
0.703398
|
0.594126
|
0.46071
|
0.479917
|
0.484844
|
|
div - 1
|
0.836290693
|
0.81839
|
0.732494
|
0.628024
|
0.58074
|
0.580626
|
|
"3" + 1
|
0.725383457
|
0.710858
|
0.674503
|
0.552819
|
0.538283
|
0.563833
|
|
"5" + 1
|
0.766245741
|
0.748636
|
0.696995
|
0.589053
|
0.590312
|
0.606197
|
|
"7" + 1
|
0.744572185
|
0.7387
|
0.659101
|
0.529488
|
0.536817
|
0.549579
|
|
"10" + 1
|
0.745336777
|
0.739916
|
0.647896
|
0.513654
|
0.529014
|
0.5426
|
|
div + 1
|
0.827571118
|
0.808937
|
0.729043
|
0.621489
|
0.57927
|
0.583021
|
|
2009
|
7
|
8
|
9
|
10
|
11
|
12
|
|
"1"
|
0.805916629
|
0.866295
|
0.802245
|
0.901745
|
0.957209
|
|
"3"
|
0.813297153
|
0.873835
|
0.959827
|
1.041253
|
1.142279
|
1.197114
|
|
"5"
|
0.715303761
|
0.762144
|
0.904734
|
1.059081
|
1.131118
|
1.139347
|
|
"7"
|
0.689819685
|
0.749147
|
0.922436
|
1.090581
|
1.161863
|
1.15956
|
|
"10"
|
0.754624812
|
0.745553
|
0.891952
|
1.062986
|
1.105882
|
1.096315
|
|
div
|
0.817225991
|
0.821025
|
0.948048
|
1.15961
|
1.240132
|
1.231213
|
|
"3" - 1
|
0.816987415
|
0.900716
|
1.006593
|
1.160758
|
1.262545
|
1.317066
|
|
"5" - 1
|
0.692650544
|
0.747663
|
0.914344
|
1.12329
|
1.188461
|
1.184881
|
|
"7" - 1
|
0.670470194
|
0.737326
|
0.931792
|
1.138637
|
1.205216
|
1.193285
|
|
"10" - 1
|
0.748925722
|
0.685966
|
0.839815
|
1.038072
|
1.074465
|
1.049381
|
|
div - 1
|
0.817697214
|
0.821065
|
0.951455
|
1.1745
|
1.254231
|
1.242629
|
|
"3" + 1
|
0.811452022
|
0.860394
|
0.936444
|
0.981501
|
1.082145
|
1.137138
|
|
"5" + 1
|
0.730405906
|
0.771799
|
0.898327
|
1.016275
|
1.092889
|
1.108991
|
|
"7" + 1
|
0.704331803
|
0.758012
|
0.915418
|
1.054539
|
1.129348
|
1.134266
|
|
"10" + 1
|
0.759287705
|
0.752328
|
0.88962
|
1.039283
|
1.087324
|
1.083669
|
|
div + 1
|
0.816791016
|
0.820988
|
0.944904
|
1.145865
|
1.227117
|
1.220674
|
|
2010
|
7
|
8
|
9
|
10
|
11
|
12
|
|
"1"
|
1.146829811
|
1.120216
|
1.075563
|
1.12056
|
1.004684
|
0.93829
|
|
"3"
|
1.021136139
|
0.963056
|
0.929367
|
1.008988
|
0.937951
|
0.905461
|
|
"5"
|
1.042598243
|
0.929119
|
0.901109
|
1.008626
|
0.937165
|
0.90429
|
|
"7"
|
1.098194397
|
0.980288
|
0.97463
|
1.091598
|
1.015368
|
0.976702
|
|
"10"
|
1.103744682
|
1.001669
|
1.015783
|
1.122743
|
1.055922
|
1.04394
|
|
div
|
1.111546041
|
1.015758
|
1.034146
|
1.113248
|
1.106035
|
1.08542
|
|
"3" - 1
|
0.958289304
|
0.884476
|
0.856269
|
0.953202
|
0.904584
|
0.889047
|
|
"5" - 1
|
1.016540351
|
0.881344
|
0.857495
|
0.980643
|
0.920285
|
0.89579
|
|
"7" - 1
|
1.090088495
|
0.956967
|
0.957807
|
1.086771
|
1.017148
|
0.983104
|
|
"10" - 1
|
1.098957446
|
0.931833
|
0.954646
|
1.061947
|
1.001696
|
0.994627
|
|
div - 1
|
1.110011964
|
1.059955
|
1.076703
|
1.170462
|
1.158253
|
1.149001
|
|
"3" + 1
|
1.052559557
|
1.002346
|
0.965916
|
1.036881
|
0.954634
|
0.913668
|
|
"5" + 1
|
1.059970171
|
0.960968
|
0.930184
|
1.027282
|
0.948418
|
0.909956
|
|
"7" + 1
|
1.104273824
|
0.997779
|
0.987246
|
1.095218
|
1.014032
|
0.9719
|
|
"10" + 1
|
1.107661512
|
1.012446
|
1.021217
|
1.122544
|
1.051264
|
1.034335
|
|
div + 1
|
1.112957392
|
1.064776
|
1.076612
|
1.16647
|
1.145967
|
1.132144
|
|
2011
|
7
|
8
|
9
|
10
|
11
|
12
|
|
"1"
|
1.051406402
|
0.847546
|
0.88002
|
0.883189
|
0.977093
|
0.918177
|
|
"3"
|
0.855092474
|
0.680184
|
0.73186
|
0.754095
|
0.816104
|
0.730341
|
|
"5"
|
0.891856287
|
0.753538
|
0.767952
|
0.790279
|
0.846589
|
0.792378
|
|
"7"
|
0.920365701
|
0.787673
|
0.781252
|
0.806635
|
0.874166
|
0.803632
|
|
"10"
|
1.020406908
|
0.863572
|
0.791241
|
0.808603
|
0.831934
|
0.775835
|
|
div
|
1.156196543
|
0.986593
|
0.86868
|
0.911836
|
0.88369
|
0.839111
|
|
"3" - 1
|
0.756935511
|
0.596503
|
0.65778
|
0.689548
|
0.73561
|
0.636424
|
|
"5" - 1
|
0.851968759
|
0.730036
|
0.739935
|
0.767051
|
0.813963
|
0.760929
|
|
"7" - 1
|
0.898525584
|
0.777694
|
0.76479
|
0.793876
|
0.857011
|
0.784542
|
|
"10" - 1
|
1.01696252
|
0.835762
|
0.748661
|
0.765177
|
0.778341
|
0.728088
|
|
div - 1
|
1.160226933
|
0.991941
|
0.868244
|
0.912938
|
0.880098
|
0.83607
|
|
"3" + 1
|
0.904170956
|
0.722024
|
0.7689
|
0.786369
|
0.856351
|
0.7773
|
|
"5" + 1
|
0.918447973
|
0.769206
|
0.78663
|
0.805764
|
0.86834
|
0.813345
|
|
"7" + 1
|
0.936745789
|
0.795157
|
0.793598
|
0.816204
|
0.887032
|
0.817951
|
|
"10" + 1
|
1.023225044
|
0.862115
|
0.799311
|
0.815383
|
0.84513
|
0.788775
|
|
div + 1
|
1.152454038
|
0.981627
|
0.869085
|
0.910813
|
0.887026
|
0.841934
|
|
2012
|
7
|
8
|
10
|
11
|
12
|
|
"1"
|
0.846586716
|
1.077107
|
1.084249
|
0.958125
|
0.878631
|
0.969543
|
|
"3"
|
0.948974235
|
1.217252
|
1.214386
|
1.124506
|
1.108574
|
1.18503
|
|
"5"
|
0.908205407
|
1.180742
|
1.21396
|
1.10502
|
1.150826
|
1.238238
|
|
"7"
|
0.947434891
|
1.221698
|
1.254005
|
1.130776
|
1.133083
|
1.204818
|
|
"10"
|
0.892740883
|
1.162619
|
1.207083
|
1.079436
|
1.085269
|
1.16104
|
|
div
|
0.933504237
|
1.156153
|
1.248673
|
1.136793
|
1.170833
|
1.230179
|
|
"3" - 1
|
1.000167994
|
1.287325
|
1.279454
|
1.207696
|
1.223545
|
1.292773
|
|
"5" - 1
|
0.923610079
|
1.20665
|
1.246388
|
1.141744
|
1.218875
|
1.305412
|
|
"7" - 1
|
0.96424292
|
1.245797
|
1.282297
|
1.159551
|
1.175492
|
1.244031
|
|
"10" - 1
|
0.897869124
|
1.097302
|
1.147039
|
1.026069
|
1.046996
|
1.115029
|
|
div - 1
|
0.936847218
|
1.159193
|
1.254997
|
1.143664
|
1.182071
|
1.240203
|
|
"3" + 1
|
0.923377355
|
1.182216
|
1.181851
|
1.082911
|
1.051088
|
1.131158
|
|
"5" + 1
|
0.897935625
|
1.163469
|
1.192341
|
1.080537
|
1.10546
|
1.193456
|
|
"7" + 1
|
0.934828869
|
1.203624
|
1.232785
|
1.109195
|
1.101277
|
1.175409
|
|
"10" + 1
|
0.88854505
|
1.154845
|
1.195916
|
1.068408
|
1.066484
|
1.143631
|
|
div + 1
|
0.930400039
|
1.15333
|
1.2428
|
1.130412
|
1.160397
|
1.22087
|
|
2013
|
7
|
8
|
9
|
10
|
11
|
12
|
|
"1"
|
0.996839926
|
1.021824
|
1.11906
|
1.316835
|
1.379575
|
1.44619
|
|
"3"
|
0.812905726
|
0.766879
|
0.851107
|
0.951872
|
1.094431
|
1.083305
|
|
"5"
|
1.002421226
|
0.960708
|
1.054402
|
1.154893
|
1.223214
|
1.189951
|
|
"7"
|
1.110233712
|
1.048826
|
1.116902
|
1.199644
|
1.244208
|
1.213757
|
|
"10"
|
1.090073194
|
1.032509
|
1.111705
|
1.179533
|
1.219799
|
1.197848
|
|
div
|
1.15980009
|
1.101254
|
1.135765
|
1.175392
|
1.186168
|
1.175698
|
|
"3" - 1
|
0.720938626
|
0.639407
|
0.71713
|
0.76939
|
0.951859
|
0.901863
|
|
"5" - 1
|
1.003816552
|
0.94543
|
1.038238
|
1.114408
|
1.184123
|
1.125891
|
|
"7" - 1
|
1.129132676
|
1.053326
|
1.116542
|
1.180112
|
1.221646
|
1.175019
|
|
"10" - 1
|
1.100432446
|
0.995381
|
1.069241
|
1.119392
|
1.142258
|
1.114577
|
|
div - 1
|
1.166590097
|
1.104564
|
1.136461
|
1.169499
|
1.17811
|
1.164427
|
|
"3" + 1
|
0.858889276
|
0.830615
|
0.918095
|
1.043112
|
1.165717
|
1.174026
|
|
"5" + 1
|
1.00149101
|
0.970894
|
1.065179
|
1.181884
|
1.249274
|
1.232657
|
|
"7" + 1
|
1.096059489
|
1.04545
|
1.117171
|
1.214293
|
1.261129
|
1.242811
|
|
"10" + 1
|
1.081597442
|
1.031538
|
1.112374
|
1.192015
|
1.234324
|
1.220425
|
|
div + 1
|
1.153532391
|
1.098199
|
1.135123
|
1.180833
|
1.193607
|
1.186101
|
|
2014
|
7
|
8
|
9
|
10
|
11
|
12
|
|
"1"
|
1.064343164
|
1.106599
|
1.083766
|
1.019168
|
1.028882
|
1.034967
|
|
"3"
|
1.165128026
|
1.145062
|
1.101991
|
1.025271
|
1.069345
|
1.053027
|
|
"5"
|
1.201871172
|
1.213206
|
1.117455
|
1.028295
|
1.070059
|
1.043937
|
|
"7"
|
1.170572091
|
1.181413
|
1.081525
|
1.005876
|
1.044475
|
1.015029
|
|
"10"
|
1.167038582
|
1.184149
|
1.073519
|
1.002232
|
1.040392
|
1.012336
|
|
div
|
1.099246032
|
1.126841
|
1.064445
|
1.011705
|
1.039793
|
1.011899
|
|
"3" - 1
|
1.215520457
|
1.164294
|
1.111103
|
1.028323
|
1.089576
|
1.062057
|
|
"5" - 1
|
1.236253174
|
1.239858
|
1.125877
|
1.030576
|
1.080353
|
1.04618
|
|
"7" - 1
|
1.188276912
|
1.193882
|
1.081151
|
1.003661
|
1.047074
|
1.011706
|
|
"10" - 1
|
1.178449184
|
1.125256
|
1.00792
|
0.940675
|
0.982799
|
0.947942
|
|
div - 1
|
1.100700318
|
1.127685
|
1.06364
|
1.011395
|
1.040248
|
1.010938
|
|
"3" + 1
|
1.13993181
|
1.135447
|
1.097435
|
1.023745
|
1.059229
|
1.048512
|
|
"5" + 1
|
1.178949837
|
1.195438
|
1.11184
|
1.026774
|
1.063196
|
1.042442
|
|
"7" + 1
|
1.157293475
|
1.172061
|
1.081805
|
1.007538
|
1.042526
|
1.017521
|
|
"10" + 1
|
1.157702635
|
1.177099
|
1.074451
|
1.003771
|
1.039346
|
1.014394
|
|
div + 1
|
1.097903614
|
1.126063
|
1.065188
|
1.039374
|
1.012786
|
|
2015
|
7
|
8
|
9
|
10
|
11
|
12
|
|
"1"
|
1.053526448
|
1.073394
|
1.065155
|
1.077144
|
1.019922
|
1.019306
|
|
"3"
|
1.229982744
|
1.133224
|
1.112826
|
1.065837
|
1.005468
|
1.037925
|
|
"5"
|
1.13588031
|
1.03782
|
0.998237
|
0.975012
|
0.905217
|
0.942997
|
|
"7"
|
1.216871951
|
1.116434
|
1.071919
|
1.062208
|
0.983855
|
1.006822
|
|
"10"
|
1.144455239
|
1.040153
|
0.981193
|
1.003657
|
0.933932
|
0.953892
|
|
div
|
1.204482088
|
1.091813
|
1.023791
|
1.063949
|
0.996691
|
1.006816
|
|
"3" - 1
|
1.318210892
|
1.163138
|
1.136662
|
1.060184
|
0.998241
|
1.047235
|
|
"5" - 1
|
1.156468775
|
1.028926
|
0.981508
|
0.949479
|
0.876541
|
0.92392
|
|
"7" - 1
|
1.244096201
|
1.123607
|
1.073046
|
1.059718
|
0.977844
|
1.004742
|
|
"10" - 1
|
1.154558438
|
0.982812
|
0.916855
|
0.935738
|
0.866892
|
0.886563
|
|
div - 1
|
1.210771906
|
1.09258
|
1.022068
|
1.063399
|
0.995723
|
1.006296
|
|
"3" + 1
|
1.18586867
|
1.118266
|
1.100908
|
1.068664
|
1.009081
|
1.03327
|
|
"5" + 1
|
1.122154666
|
1.043749
|
1.00939
|
0.992034
|
0.924334
|
0.955715
|
|
"7" + 1
|
1.196453763
|
1.111054
|
1.071073
|
1.064075
|
0.988363
|
1.008383
|
|
"10" + 1
|
1.136188985
|
1.043175
|
0.988826
|
1.010337
|
0.94175
|
0.959839
|
|
div + 1
|
1.198676102
|
1.091104
|
1.025382
|
1.064456
|
0.997585
|
1.007297
|
Приложение 2
Доходность
портфелей при тестировании на рынке Франции
|
2006
|
7
|
8
|
9
|
10
|
11
|
12
|
|
"1"
|
0.64631198
|
0.681368
|
0.757956
|
0.938653
|
0.921919
|
0.998094
|
|
"3"
|
0.98346652
|
1.058242
|
1.042155
|
1.147905
|
1.120006
|
1.121048
|
|
"5"
|
1.07042683
|
1.153898
|
1.111117
|
1.196444
|
1.162744
|
1.166676
|
|
"7"
|
1.09947084
|
1.196499
|
1.156305
|
1.255103
|
1.24021
|
1.233862
|
|
"10"
|
1.13517209
|
1.221817
|
1.173515
|
1.243421
|
1.20869
|
1.202488
|
|
div
|
1.09898527
|
1.161148
|
1.127481
|
1.183958
|
1.150556
|
1.160327
|
|
"3" - 1
|
1.15204379
|
1.24668
|
1.184254
|
1.252532
|
1.21905
|
1.182525
|
|
"5" - 1
|
1.17645554
|
1.27203
|
1.199407
|
1.260892
|
1.22295
|
1.208822
|
|
"7" - 1
|
1.17499732
|
1.282355
|
1.222697
|
1.307844
|
1.293259
|
1.273156
|
|
"10" - 1
|
1.18948988
|
1.197704
|
1.142393
|
1.196812
|
1.166893
|
1.152333
|
|
div - 1
|
1.11229919
|
1.17526
|
1.138349
|
1.191173
|
1.157281
|
1.165098
|
|
"3" + 1
|
0.89917789
|
0.964024
|
0.971105
|
1.095592
|
1.070485
|
1.09031
|
|
"5" + 1
|
0.99974102
|
1.075143
|
1.052257
|
1.153479
|
1.122607
|
1.138579
|
|
"7" + 1
|
1.04282599
|
1.132108
|
1.106512
|
1.215546
|
1.200424
|
1.204391
|
|
"10" + 1
|
1.09073027
|
1.172685
|
1.135737
|
1.215715
|
1.18262
|
1.183907
|
|
div + 1
|
1.08641101
|
1.147821
|
1.117217
|
1.177144
|
1.144205
|
1.15582
|
|
2007
|
7
|
8
|
9
|
10
|
11
|
12
|
|
"1"
|
1.21097561
|
1.33615
|
1.29779
|
1.251106
|
1.32398
|
1.175179
|
|
"3"
|
1.20131185
|
1.196615
|
1.168544
|
1.145866
|
1.188481
|
1.122195
|
|
"5"
|
1.15497961
|
1.093781
|
1.070802
|
1.042137
|
1.069688
|
1.006775
|
|
"7"
|
1.13033976
|
1.075774
|
1.068876
|
1.039977
|
1.045268
|
0.966821
|
|
"10"
|
1.13241215
|
1.069127
|
1.041745
|
1.055728
|
1.035858
|
0.968354
|
|
div
|
1.19794173
|
1.130285
|
1.097097
|
1.116208
|
1.052159
|
0.991224
|
|
"3" - 1
|
1.19647998
|
1.126848
|
1.103921
|
1.093246
|
1.120732
|
1.095703
|
|
"5" - 1
|
1.14098061
|
1.033189
|
1.014055
|
0.989895
|
1.006115
|
0.964674
|
|
"7" - 1
|
1.11690045
|
1.032378
|
1.030724
|
1.004789
|
0.998816
|
0.932095
|
|
"10" - 1
|
1.12368287
|
0.973025
|
0.945068
|
0.967413
|
0.935955
|
0.879196
|
|
div - 1
|
1.19755838
|
1.12423
|
1.091195
|
1.112241
|
1.044165
|
0.985813
|
|
"3" + 1
|
1.20372779
|
1.231499
|
1.200855
|
1.172176
|
1.222356
|
1.135441
|
|
"5" + 1
|
1.16431228
|
1.134176
|
1.108633
|
1.076965
|
1.11207
|
1.034842
|
|
"7" + 1
|
1.14041924
|
1.108321
|
1.097491
|
1.066368
|
1.080107
|
0.992866
|
|
"10" + 1
|
1.13955428
|
1.093402
|
1.065022
|
1.073489
|
0.987156
|
|
div + 1
|
1.19830379
|
1.136003
|
1.102672
|
1.119955
|
1.05971
|
0.996334
|
|
2008
|
7
|
8
|
9
|
10
|
11
|
12
|
|
"1"
|
0.99523514
|
0.97169
|
0.747822
|
0.43487
|
0.431761
|
0.437483
|
|
"3"
|
0.78153354
|
0.781259
|
0.690761
|
0.520921
|
0.501726
|
0.507888
|
|
"5"
|
0.75583968
|
0.776235
|
0.732596
|
0.555988
|
0.520403
|
0.501946
|
|
"7"
|
0.74949258
|
0.771405
|
0.705413
|
0.566834
|
0.547778
|
0.54522
|
|
"10"
|
0.66531524
|
0.698234
|
0.62233
|
0.476378
|
0.465795
|
0.471441
|
|
div
|
0.72855801
|
0.757495
|
0.668122
|
0.543446
|
0.529184
|
0.534521
|
|
"3" - 1
|
0.67468275
|
0.686044
|
0.662231
|
0.563946
|
0.536709
|
0.54309
|
|
"5" - 1
|
0.69599081
|
0.727371
|
0.728789
|
0.586267
|
0.542563
|
0.518062
|
|
"7" - 1
|
0.70853548
|
0.738024
|
0.698345
|
0.588828
|
0.567115
|
0.563176
|
|
"10" - 1
|
0.62865747
|
0.620831
|
0.562339
|
0.441123
|
0.429797
|
0.433672
|
|
div - 1
|
0.72115031
|
0.751545
|
0.665908
|
0.546462
|
0.53189
|
0.537217
|
|
"3" + 1
|
0.83495894
|
0.828867
|
0.705026
|
0.499408
|
0.484235
|
0.490287
|
|
"5" + 1
|
0.79573892
|
0.808811
|
0.735133
|
0.535801
|
0.505629
|
0.491202
|
|
"7" + 1
|
0.7802104
|
0.796441
|
0.710714
|
0.550338
|
0.533276
|
0.531753
|
|
"10" + 1
|
0.69530796
|
0.723093
|
0.633738
|
0.472605
|
0.462701
|
0.468354
|
|
div + 1
|
0.73557582
|
0.763132
|
0.670219
|
0.540589
|
0.52662
|
0.531968
|
|
2009
|
7
|
8
|
9
|
10
|
11
|
12
|
|
"1"
|
0.74130127
|
0.786387
|
1.004259
|
0.99371
|
0.987639
|
0.979655
|
|
"3"
|
0.90506419
|
0.894541
|
1.107003
|
1.116247
|
1.334143
|
1.220209
|
|
"5"
|
0.72732931
|
0.740723
|
0.962999
|
1.146905
|
1.344922
|
1.424417
|
|
"7"
|
0.75953793
|
0.778831
|
0.988321
|
1.172023
|
1.314731
|
1.403107
|
|
"10"
|
0.75425208
|
0.783245
|
0.978464
|
1.158087
|
1.264103
|
1.320044
|
|
div
|
0.81885469
|
0.83855
|
0.985954
|
1.107298
|
1.206816
|
1.291064
|
|
"3" - 1
|
0.98694565
|
0.948617
|
1.158374
|
1.177516
|
1.507395
|
1.340486
|
|
"5" - 1
|
0.72383632
|
0.729307
|
0.952683
|
1.185204
|
1.434243
|
1.535608
|
|
"7" - 1
|
0.76257737
|
0.777572
|
0.985665
|
1.201742
|
1.369247
|
1.473682
|
|
"10" - 1
|
0.75569106
|
0.72347
|
0.893884
|
1.088679
|
1.168624
|
1.25215
|
|
div - 1
|
0.8212048
|
0.840131
|
0.985399
|
1.11074
|
1.213458
|
1.300501
|
|
"3" + 1
|
0.86412346
|
0.867502
|
1.081317
|
1.085613
|
1.247517
|
1.160071
|
|
"5" + 1
|
0.72965797
|
0.748334
|
0.969875
|
1.121372
|
1.285375
|
1.35029
|
|
"7" + 1
|
0.75725834
|
0.779776
|
0.990313
|
1.149734
|
1.273845
|
1.350176
|
|
"10" + 1
|
0.75307474
|
0.783531
|
0.980809
|
1.143143
|
1.23897
|
1.2891
|
|
div + 1
|
0.81663888
|
0.83706
|
0.986477
|
1.104053
|
1.200554
|
1.282167
|
|
2010
|
7
|
8
|
9
|
10
|
11
|
12
|
|
"1"
|
1.07861095
|
0.946238
|
0.900251
|
0.994806
|
1.002997
|
1.085181
|
|
"3"
|
1.02147835
|
0.911809
|
0.879642
|
0.98227
|
0.943173
|
0.979348
|
|
"5"
|
0.98642412
|
0.884649
|
0.864965
|
0.995563
|
0.941738
|
0.971032
|
|
"7"
|
0.98256036
|
0.882441
|
0.874464
|
0.992118
|
0.933273
|
0.946107
|
|
"10"
|
0.99721596
|
0.898442
|
0.895298
|
1.001567
|
0.93992
|
0.940798
|
|
div
|
1.10267864
|
0.989396
|
1.01195
|
1.10123
|
1.036953
|
1.02205
|
|
"3" - 1
|
0.99291205
|
0.894594
|
0.869337
|
0.976001
|
0.913261
|
0.926431
|
|
"5" - 1
|
0.96337742
|
0.869251
|
0.856144
|
0.995752
|
0.926423
|
0.942495
|
|
"7" - 1
|
0.96655193
|
0.871809
|
0.870166
|
0.99167
|
0.921652
|
0.922928
|
|
"10" - 1
|
0.98817207
|
0.841376
|
0.843986
|
0.94805
|
0.878755
|
0.868723
|
|
div - 1
|
1.10343075
|
0.990745
|
1.01544
|
1.104556
|
1.038014
|
1.020077
|
|
"3" + 1
|
1.0357615
|
0.920416
|
0.884794
|
0.985404
|
0.958129
|
1.005806
|
|
"5" + 1
|
1.00178859
|
0.894913
|
0.870846
|
0.995437
|
0.951948
|
0.990057
|
|
"7" + 1
|
0.99456669
|
0.890416
|
0.877688
|
0.992454
|
0.941988
|
|
"10" + 1
|
1.00461551
|
0.902787
|
0.895748
|
1.000952
|
0.945655
|
0.953923
|
|
div + 1
|
1.07048589
|
0.959894
|
0.979845
|
1.066726
|
1.006355
|
0.994652
|
|
2011
|
7
|
8
|
9
|
10
|
11
|
12
|
|
"1"
|
0.89856876
|
0.829177
|
0.776025
|
0.755285
|
0.820513
|
0.778134
|
|
"3"
|
0.9212416
|
0.862718
|
0.728999
|
0.727834
|
0.788906
|
0.75915
|
|
"5"
|
0.92706907
|
0.881737
|
0.784129
|
0.773461
|
0.841511
|
0.812052
|
|
"7"
|
0.90541145
|
0.850124
|
0.752223
|
0.750572
|
0.806146
|
0.750619
|
|
"10"
|
0.95399451
|
0.905695
|
0.800977
|
0.811247
|
0.858213
|
0.813361
|
|
div
|
1.01260202
|
0.930082
|
0.776082
|
0.817313
|
0.821202
|
0.762058
|
|
"3" - 1
|
0.93257801
|
0.879489
|
0.705486
|
0.714108
|
0.773103
|
0.749658
|
|
"5" - 1
|
0.93419414
|
0.894877
|
0.786155
|
0.778005
|
0.846761
|
0.820531
|
|
"7" - 1
|
0.90655189
|
0.853615
|
0.748255
|
0.749787
|
0.803751
|
0.746033
|
|
"10" - 1
|
0.96015293
|
0.865222
|
0.765964
|
0.780311
|
0.825248
|
0.778579
|
|
div - 1
|
1.01559547
|
0.934716
|
0.784902
|
0.827747
|
0.829162
|
0.769748
|
|
"3" + 1
|
0.91557339
|
0.854333
|
0.740756
|
0.734697
|
0.796808
|
0.763896
|
|
"5" + 1
|
0.92231902
|
0.872977
|
0.782779
|
0.770432
|
0.838012
|
0.806399
|
|
"7" + 1
|
0.90455611
|
0.847506
|
0.755198
|
0.751161
|
0.807942
|
0.754058
|
|
"10" + 1
|
0.94895581
|
0.898739
|
0.798709
|
0.80616
|
0.854785
|
0.810158
|
|
div + 1
|
1.00952004
|
0.927355
|
0.77608
|
0.815637
|
0.821183
|
0.762492
|
|
2012
|
7
|
8
|
9
|
10
|
11
|
12
|
|
"1"
|
0.75415512
|
0.826692
|
0.763252
|
0.659663
|
0.635859
|
0.687186
|
|
"3"
|
0.67528364
|
0.772106
|
0.788541
|
0.708364
|
0.803247
|
0.930518
|
|
"5"
|
0.71627064
|
0.847486
|
0.862346
|
0.806035
|
0.884094
|
0.971605
|
|
"7"
|
0.73748791
|
0.856595
|
0.846169
|
0.802964
|
0.892327
|
0.992483
|
|
"10"
|
0.74355688
|
0.870264
|
0.886075
|
0.849082
|
0.909397
|
0.999032
|
|
div
|
0.87655923
|
1.01494
|
1.108283
|
1.032844
|
1.113382
|
1.170951
|
|
"3" - 1
|
0.6358479
|
0.744813
|
0.801185
|
0.732714
|
0.886941
|
1.052185
|
|
"5" - 1
|
0.70679951
|
0.852685
|
0.887119
|
0.842628
|
0.946152
|
1.04271
|
|
"7" - 1
|
0.73471004
|
0.861579
|
0.859989
|
0.826848
|
0.935072
|
1.043365
|
|
"10" - 1
|
0.7423793
|
0.832623
|
0.855369
|
0.826663
|
0.888095
|
0.970465
|
|
div - 1
|
0.88050775
|
1.021012
|
1.119413
|
1.044882
|
1.128785
|
1.186557
|
|
"3" + 1
|
0.69500151
|
0.785752
|
0.782218
|
0.696188
|
0.7614
|
0.869685
|
|
"5" + 1
|
0.72258472
|
0.84402
|
0.84583
|
0.781639
|
0.842721
|
0.924202
|
|
"7" + 1
|
0.73957131
|
0.852857
|
0.835805
|
0.785051
|
0.860269
|
0.954321
|
|
"10" + 1
|
0.74452036
|
0.866303
|
0.874909
|
0.831862
|
0.88453
|
0.970682
|
|
div + 1
|
0.87285002
|
1.009235
|
1.097827
|
1.021536
|
1.098911
|
1.156292
|
|
2013
|
7
|
8
|
9
|
10
|
11
|
12
|
|
"1"
|
0.86719824
|
0.837803
|
1.067241
|
1.035866
|
0.98699
|
1.097592
|
|
"3"
|
0.95102032
|
0.948463
|
1.162827
|
1.264674
|
1.369846
|
1.338042
|
|
"5"
|
1.00452909
|
1.085393
|
1.282382
|
1.399621
|
1.399516
|
1.306631
|
|
"7"
|
1.01825755
|
1.066701
|
1.234825
|
1.335497
|
1.326901
|
1.257821
|
|
"10"
|
1.14292243
|
1.130956
|
1.304357
|
1.34878
|
1.339124
|
1.273356
|
|
div
|
1.26994417
|
1.213436
|
1.303171
|
1.313308
|
1.254371
|
1.209301
|
|
"3" - 1
|
0.99293136
|
1.003793
|
1.21062
|
1.379078
|
1.561273
|
1.458267
|
|
"5" - 1
|
1.03886181
|
1.14729
|
1.336167
|
1.49056
|
1.502648
|
1.35889
|
|
"7" - 1
|
1.0434341
|
1.104851
|
1.262755
|
1.385436
|
1.383552
|
1.284525
|
|
"10" - 1
|
1.17355846
|
1.122702
|
1.272965
|
1.314817
|
1.309165
|
1.22977
|
|
div - 1
|
1.28214859
|
1.224818
|
1.31032
|
1.321715
|
1.262474
|
1.212686
|
|
"3" + 1
|
0.9300648
|
0.920798
|
1.138931
|
1.207472
|
1.274132
|
1.27793
|
|
"5" + 1
|
0.98164062
|
1.044128
|
1.246525
|
1.338995
|
1.330762
|
1.271791
|
0.99937514
|
1.038089
|
1.213877
|
1.298043
|
1.284412
|
1.237792
|
|
"10" + 1
|
1.1178566
|
1.104306
|
1.282801
|
1.320333
|
1.307112
|
1.257378
|
|
div + 1
|
1.25843714
|
1.202703
|
1.29643
|
1.305381
|
1.246732
|
1.206109
|
|
2014
|
7
|
8
|
9
|
10
|
11
|
12
|
|
"1"
|
1.59020165
|
1.500782
|
1.284389
|
1.257666
|
1.473219
|
1.572222
|
|
"3"
|
1.37424103
|
1.280942
|
1.153727
|
1.123222
|
1.288104
|
1.317811
|
|
"5"
|
1.3331706
|
1.244137
|
1.122412
|
1.074841
|
1.19261
|
1.200332
|
|
"7"
|
1.26599343
|
1.227078
|
1.119075
|
1.049272
|
1.135126
|
1.14759
|
|
"10"
|
1.25242254
|
1.248774
|
1.156423
|
1.057104
|
1.109872
|
1.113373
|
|
div
|
1.09259737
|
1.113594
|
1.046017
|
0.974241
|
1.017673
|
1.007011
|
|
"3" - 1
|
1.26626072
|
1.171022
|
1.088397
|
1.056
|
1.195547
|
1.190606
|
|
"5" - 1
|
1.26891283
|
1.179976
|
1.081918
|
1.029134
|
1.122457
|
1.107359
|
|
"7" - 1
|
1.21195873
|
1.181461
|
1.091523
|
1.01454
|
1.078777
|
1.076818
|
|
"10" - 1
|
1.21489152
|
1.153932
|
1.079663
|
0.973103
|
1.001617
|
0.995922
|
|
div - 1
|
1.07704724
|
1.101495
|
1.038567
|
0.965384
|
1.003437
|
0.989348
|
|
"3" + 1
|
1.42823119
|
1.335902
|
1.186393
|
1.156833
|
1.334383
|
1.381414
|
|
"5" + 1
|
1.37600911
|
1.286911
|
1.149408
|
1.105311
|
1.239378
|
1.262314
|
|
"7" + 1
|
1.30651946
|
1.261291
|
1.139739
|
1.075322
|
1.177387
|
1.200669
|
|
"10" + 1
|
1.28312973
|
1.271684
|
1.168056
|
1.075337
|
1.142904
|
1.155086
|
|
div + 1
|
1.10723279
|
1.124982
|
1.053028
|
0.982577
|
1.031071
|
1.023635
|
|
2015
|
7
|
8
|
9
|
10
|
11
|
12
|
|
"1"
|
0.93730505
|
0.813011
|
0.781341
|
0.956137
|
1.00778
|
1.066322
|
|
"3"
|
0.98918883
|
0.935842
|
0.874901
|
0.967365
|
0.942703
|
0.978416
|
|
"5"
|
1.03021027
|
0.95479
|
0.891383
|
0.95822
|
0.928906
|
0.9512
|
|
"7"
|
1.12784399
|
1.043463
|
1.007683
|
1.06546
|
1.018634
|
1.033096
|
|
"10"
|
1.10601126
|
1.038155
|
1.006739
|
1.067297
|
1.036999
|
1.046781
|
|
div
|
1.19921556
|
1.077069
|
1.035264
|
1.11196
|
1.061302
|
1.076791
|
|
"3" - 1
|
1.01513073
|
0.997257
|
0.92168
|
0.972979
|
0.910165
|
0.934464
|
|
"5" - 1
|
1.05343657
|
0.990235
|
0.918894
|
0.95874
|
0.909187
|
0.922419
|
|
"7" - 1
|
1.15960047
|
1.081871
|
1.045407
|
1.08368
|
1.020443
|
1.027558
|
|
"10" - 1
|
1.12475639
|
1.017584
|
0.996283
|
1.037818
|
0.999329
|
1.001451
|
|
div - 1
|
1.20715224
|
1.085071
|
1.042959
|
1.116682
|
1.062924
|
1.077108
|
|
"3" + 1
|
0.97621789
|
0.905134
|
0.851511
|
0.964558
|
0.958972
|
1.000393
|
|
"5" + 1
|
1.01472607
|
0.93116
|
0.873043
|
0.957872
|
0.942051
|
0.970387
|
|
"7" + 1
|
1.10402662
|
1.014656
|
0.979391
|
1.051795
|
1.017277
|
1.037249
|
|
"10" + 1
|
1.09067433
|
1.017688
|
0.986248
|
1.057191
|
1.034343
|
1.048557
|
|
div + 1
|
1.1917324
|
1.069525
|
1.028009
|
1.107508
|
1.059773
|
1.076492
|
Приложение 3
Доходность
портфелей при тестировании на рынке Бразилии
|
2006
|
7
|
8
|
9
|
10
|
11
|
12
|
|
"1"
|
1.555804
|
1.351176344
|
1.197605
|
1.537572
|
1.406522
|
1.282306
|
|
"3"
|
1.349497
|
1.42375205
|
1.207522
|
1.2405
|
1.218454
|
1.208449
|
|
"5"
|
1.289878
|
1.36537171
|
1.2016
|
1.203823
|
1.22153
|
1.267093
|
|
"7"
|
1.290136
|
1.29801704
|
1.126107
|
1.18497
|
1.22294
|
1.280205
|
|
"10"
|
1.357399
|
1.325309205
|
1.188754
|
1.291515
|
1.309133
|
1.341552
|
|
div
|
1.465933
|
1.333843982
|
1.195938
|
1.332271
|
1.334294
|
1.362061
|
|
"3" - 1
|
1.246344
|
1.460039904
|
1.21248
|
1.091964
|
1.12442
|
1.171521
|
|
"5" - 1
|
1.223396
|
1.368920551
|
1.202599
|
1.120386
|
1.175283
|
1.26329
|
|
"7" - 1
|
1.245858
|
1.289157156
|
1.114191
|
1.126203
|
1.192343
|
1.279855
|
|
"10" - 1
|
1.335354
|
1.216557502
|
1.110384
|
1.202041
|
1.229111
|
1.278193
|
|
div - 1
|
1.462025
|
1.333090401
|
1.195866
|
1.323345
|
1.331154
|
1.365529
|
|
"3" + 1
|
1.401074
|
1.405608124
|
1.205042
|
1.314768
|
1.265471
|
1.226913
|
|
"5" + 1
|
1.363005815
|
1.200934
|
1.259448
|
1.252362
|
1.269629
|
|
"7" + 1
|
1.323345
|
1.304661953
|
1.135044
|
1.229045
|
1.245888
|
1.280468
|
|
"10" + 1
|
1.375436
|
1.327660763
|
1.189559
|
1.313884
|
1.317986
|
1.336166
|
|
div + 1
|
1.469528
|
1.334537276
|
1.196005
|
1.340483
|
1.337183
|
1.358871
|
|
2007
|
7
|
8
|
9
|
10
|
11
|
12
|
|
"1"
|
1.212133
|
1.281368746
|
1.371643
|
1.204297
|
1.16707
|
0.928669
|
|
"3"
|
1.30963
|
1.310458405
|
1.46288
|
1.363296
|
1.282013
|
1.108619
|
|
"5"
|
1.518759
|
1.615762475
|
1.924507
|
1.779007
|
1.607785
|
1.418406
|
|
"7"
|
1.541785
|
1.604228639
|
1.825551
|
1.698795
|
1.547081
|
1.372387
|
|
"10"
|
1.516483
|
1.593923974
|
1.770927
|
1.675129
|
1.540701
|
1.363879
|
|
div
|
1.403829
|
1.441612555
|
1.550147
|
1.538527
|
1.396702
|
1.282744
|
|
"3" - 1
|
1.358379
|
1.325003234
|
1.508499
|
1.442795
|
1.339485
|
1.198594
|
|
"5" - 1
|
1.595416
|
1.699360908
|
2.062723
|
1.922685
|
1.717964
|
1.54084
|
|
"7" - 1
|
1.596726
|
1.658038621
|
1.901202
|
1.781212
|
1.610416
|
1.446339
|
|
"10" - 1
|
1.550299
|
1.54207138
|
1.721897
|
1.646816
|
1.505862
|
1.347234
|
|
div - 1
|
1.412957
|
1.449243213
|
1.558648
|
1.554443
|
1.407636
|
1.299605
|
|
"3" + 1
|
1.285256
|
1.30318599
|
1.440071
|
1.323546
|
1.253277
|
1.063632
|
|
"5" + 1
|
1.467655
|
1.560030187
|
1.832363
|
1.683222
|
1.534332
|
1.336783
|
|
"7" + 1
|
1.500578
|
1.563871152
|
1.768812
|
1.636983
|
1.499579
|
1.316922
|
|
"10" + 1
|
1.488815
|
1.565509862
|
1.734628
|
1.632326
|
1.506735
|
1.324315
|
|
div + 1
|
1.395494
|
1.434645433
|
1.542386
|
1.523996
|
1.386718
|
1.26735
|
|
2008
|
7
|
8
|
9
|
10
|
11
|
12
|
|
"1"
|
1.008988
|
0.992694297
|
0.903172
|
0.761917
|
0.959742
|
0.90857
|
|
"3"
|
1.240224
|
1.117729642
|
1.128793
|
0.928017
|
1.094421
|
1.027395
|
|
"5"
|
1.219718
|
1.12591312
|
1.089281
|
0.945169
|
1.086646
|
1.059468
|
|
"7"
|
1.172721
|
1.107887433
|
1.07365
|
0.937652
|
1.061238
|
1.046678
|
|
"10"
|
1.168478
|
1.120245635
|
0.999254
|
0.868913
|
0.969613
|
0.960194
|
|
div
|
1.069091
|
1.011851528
|
0.851083
|
0.656239
|
0.699196
|
0.71015
|
|
"3" - 1
|
1.355843
|
1.180247315
|
1.241604
|
1.011067
|
1.16176
|
1.086807
|
|
"5" - 1
|
1.2724
|
1.159217825
|
1.135808
|
0.990982
|
1.118372
|
1.097192
|
|
"7" - 1
|
1.20001
|
1.127086289
|
1.102063
|
0.966941
|
1.078154
|
1.069696
|
|
"10" - 1
|
1.186199
|
1.057474254
|
0.927734
|
0.815485
|
0.892043
|
0.89533
|
|
div - 1
|
1.07103
|
1.012469503
|
0.849403
|
0.65283
|
0.690791
|
0.703749
|
|
"3" + 1
|
1.182415
|
1.086470806
|
1.072388
|
0.886492
|
1.060751
|
0.997689
|
|
"5" + 1
|
1.184596
|
1.103709982
|
1.058263
|
0.914627
|
1.065495
|
1.034318
|
|
"7" + 1
|
1.152254
|
1.093488291
|
1.05234
|
0.915685
|
1.048551
|
1.029415
|
|
"10" + 1
|
1.153979
|
1.108650059
|
0.99052
|
0.859187
|
0.968716
|
0.955501
|
|
div + 1
|
1.06727
|
1.011271005
|
0.852662
|
0.659441
|
0.707091
|
0.716163
|
|
2009
|
7
|
8
|
9
|
10
|
11
|
12
|
|
"1"
|
1.194916
|
1.281409363
|
1.281749
|
1.349031
|
1.14747
|
1.359207
|
|
"3"
|
1.260309
|
1.336812748
|
1.421934
|
1.706949
|
1.640379
|
1.653899
|
|
"5"
|
1.115869
|
1.195584248
|
1.32774
|
1.677924
|
1.684493
|
1.670421
|
|
"7"
|
1.082107
|
1.166579953
|
1.261535
|
1.52996
|
1.523364
|
1.584747
|
|
"10"
|
1.023861
|
1.102313275
|
1.204662
|
1.447254
|
1.519391
|
1.576946
|
|
div
|
0.93414
|
1.048552624
|
1.214808
|
1.56689
|
1.785809
|
1.790521
|
|
"3" - 1
|
1.293005
|
1.364514441
|
1.492027
|
1.885908
|
1.886834
|
1.801245
|
|
"5" - 1
|
1.096107
|
1.17412797
|
1.339238
|
1.760147
|
1.818749
|
1.748225
|
|
"7" - 1
|
1.063306
|
1.147441718
|
1.258166
|
1.560114
|
1.586014
|
1.622337
|
|
"10" - 1
|
1.004854
|
1.012649967
|
1.109086
|
1.337108
|
1.42453
|
1.47419
|
|
div - 1
|
0.92647
|
1.041703897
|
1.21284
|
1.573298
|
1.804584
|
1.803206
|
|
"3" + 1
|
1.24396
|
1.386888
|
1.61747
|
1.517152
|
1.580226
|
|
"5" + 1
|
1.129043
|
1.209888434
|
1.320075
|
1.623108
|
1.594989
|
1.618552
|
|
"7" + 1
|
1.096208
|
1.180933629
|
1.264061
|
1.507344
|
1.476378
|
1.556555
|
|
"10" + 1
|
1.039411
|
1.118594738
|
1.21167
|
1.438325
|
1.48558
|
1.557151
|
|
div + 1
|
0.941383
|
1.055020867
|
1.216668
|
1.560839
|
1.768078
|
1.77854
|
|
2010
|
7
|
8
|
9
|
10
|
11
|
12
|
|
"1"
|
1.00107
|
1.012618434
|
1.044588
|
1.041364
|
1.069657
|
1.147522
|
|
"3"
|
1.112082
|
1.154804285
|
1.17029
|
1.186315
|
1.203158
|
1.291985
|
|
"5"
|
1.157344
|
1.190251576
|
1.199616
|
1.247557
|
1.208545
|
1.23247
|
|
"7"
|
1.148227
|
1.163138248
|
1.170246
|
1.267216
|
1.178618
|
1.132551
|
|
"10"
|
1.181653
|
1.159515489
|
1.156918
|
1.234588
|
1.149877
|
1.121877
|
|
div
|
1.281517
|
1.172177882
|
1.159185
|
1.219857
|
1.090821
|
1.067651
|
|
"3" - 1
|
1.167588
|
1.22589721
|
1.233141
|
1.25879
|
1.269909
|
1.364217
|
|
"5" - 1
|
1.196413
|
1.234659861
|
1.238373
|
1.299105
|
1.243267
|
1.253707
|
|
"7" - 1
|
1.172753
|
1.188224884
|
1.191189
|
1.304858
|
1.196778
|
1.130056
|
|
"10" - 1
|
1.201718
|
1.092024667
|
1.085227
|
1.169035
|
1.070632
|
1.022163
|
|
div - 1
|
1.288528
|
1.176166868
|
1.16205
|
1.224319
|
1.09135
|
1.065654
|
|
"3" + 1
|
1.084329
|
1.119257822
|
1.138865
|
1.150077
|
1.169783
|
1.255869
|
|
"5" + 1
|
1.131299
|
1.160646052
|
1.173778
|
1.213191
|
1.185397
|
1.218312
|
|
"7" + 1
|
1.129833
|
1.144323271
|
1.154539
|
1.238985
|
1.164998
|
1.134422
|
|
"10" + 1
|
1.165236
|
1.146161211
|
1.146706
|
1.217022
|
1.142584
|
1.124209
|
|
div + 1
|
1.27484
|
1.168378847
|
1.156456
|
1.215607
|
1.090317
|
1.069553
|
|
2011
|
7
|
8
|
9
|
10
|
11
|
12
|
|
"1"
|
1.248707
|
1.166959235
|
1.11892
|
1.061749
|
1.205559
|
1.372335
|
|
"3"
|
1.187641
|
1.123778726
|
1.087065
|
1.075371
|
1.117859
|
1.203014
|
|
"5"
|
1.186946
|
1.139772502
|
1.075868
|
1.09415
|
1.126492
|
1.184759
|
|
"7"
|
1.13325
|
1.106174856
|
1.033624
|
1.04966
|
1.068094
|
1.1306
|
|
"10"
|
1.107133
|
1.091695591
|
1.023468
|
1.055045
|
1.08885
|
1.136114
|
|
div
|
0.948545
|
0.964874774
|
0.848851
|
0.89867
|
0.907269
|
0.899386
|
|
"3" - 1
|
1.157108
|
1.102188471
|
1.071137
|
1.082182
|
1.074009
|
1.118354
|
|
"5" - 1
|
1.171506
|
1.132975818
|
1.065105
|
1.102251
|
1.106725
|
1.137865
|
|
"7" - 1
|
1.114007
|
1.096044126
|
1.019408
|
1.047645
|
1.045183
|
1.09031
|
|
"10" - 1
|
1.091403
|
1.000846518
|
0.933317
|
0.972441
|
0.99511
|
1.027888
|
|
div - 1
|
0.941874
|
0.960384008
|
0.842849
|
0.895046
|
0.90064
|
0.888876
|
|
"3" + 1
|
1.202908
|
1.134573853
|
1.095029
|
1.071965
|
1.139784
|
1.245344
|
|
"5" + 1
|
1.197239
|
1.144303624
|
1.083043
|
1.08875
|
1.13967
|
1.216022
|
|
"7" + 1
|
1.147682
|
1.113772903
|
1.044286
|
1.051171
|
1.085277
|
1.160817
|
|
"10" + 1
|
1.120004
|
1.098537741
|
1.032146
|
1.055654
|
1.099459
|
1.157588
|
|
div + 1
|
0.954931
|
0.969174443
|
0.854597
|
0.90214
|
0.913615
|
0.909449
|
|
2012
|
7
|
8
|
9
|
10
|
11
|
12
|
|
"1"
|
1.809637
|
1.608543607
|
1.213902
|
1.159514
|
1.133276
|
1.041325
|
|
"3"
|
1.346103
|
1.19763156
|
1.046871
|
0.918463
|
0.921368
|
0.933438
|
|
"5"
|
1.156403
|
1.082475398
|
0.97451
|
0.840009
|
0.742043
|
0.721824
|
|
"7"
|
1.086963
|
1.033477989
|
0.978832
|
0.861833
|
0.806765
|
0.800334
|
|
"10"
|
0.990085
|
0.948374239
|
0.946235
|
0.858817
|
0.825984
|
0.867955
|
|
div
|
1.095276
|
1.094401327
|
1.179901
|
1.067016
|
1.08961
|
1.120148
|
|
"3" - 1
|
1.114336
|
0.992175536
|
0.963355
|
0.797937
|
0.815414
|
0.879494
|
|
"5" - 1
|
0.993095
|
0.950958346
|
0.914662
|
0.760133
|
0.644235
|
0.641948
|
|
"7" - 1
|
0.966517
|
0.93763372
|
0.939654
|
0.81222
|
0.752347
|
0.760169
|
|
"10" - 1
|
0.899024
|
0.813214286
|
0.866255
|
0.784401
|
0.753088
|
0.813432
|
|
div - 1
|
1.078268
|
1.082159844
|
1.064813
|
1.08857
|
1.122024
|
|
"3" + 1
|
1.461986
|
1.300359571
|
1.088628
|
0.978725
|
0.974345
|
0.96041
|
|
"5" + 1
|
1.265275
|
1.170153433
|
1.014409
|
0.89326
|
0.807249
|
0.775074
|
|
"7" + 1
|
1.177297
|
1.105361192
|
1.008216
|
0.899043
|
0.847579
|
0.830458
|
|
"10" + 1
|
1.06459
|
1.008389636
|
0.970569
|
0.886153
|
0.85392
|
0.883716
|
|
div + 1
|
1.111512
|
1.106086379
|
1.180674
|
1.069118
|
1.090602
|
1.118356
|
|
2013
|
7
|
8
|
9
|
10
|
11
|
12
|
|
"1"
|
0.491856
|
0.585942331
|
0.680753
|
0.874115
|
1.278653
|
1.123097
|
|
"3"
|
0.526144
|
0.579859852
|
0.774039
|
0.899024
|
1.057593
|
1.038456
|
|
"5"
|
0.63598
|
0.674397397
|
0.840406
|
0.921522
|
0.984325
|
0.951826
|
|
"7"
|
0.768775
|
0.801551787
|
0.936991
|
1.045808
|
1.039103
|
0.972457
|
|
"10"
|
0.755278
|
0.81992537
|
0.953519
|
1.072548
|
1.08761
|
1.031256
|
|
div
|
0.963523
|
0.988223988
|
1.015392
|
1.081779
|
1.051862
|
0.993237
|
|
"3" - 1
|
0.543288
|
0.576818613
|
0.820682
|
0.911478
|
0.947063
|
0.996135
|
|
"5" - 1
|
0.672011
|
0.696511164
|
0.88032
|
0.933373
|
0.910743
|
0.909008
|
|
"7" - 1
|
0.814928
|
0.837486696
|
0.979698
|
1.074423
|
0.999178
|
0.94735
|
|
"10" - 1
|
0.784547
|
0.821926229
|
0.951223
|
1.054403
|
1.017537
|
0.962518
|
|
div - 1
|
0.973776
|
0.996969241
|
1.022667
|
1.086293
|
1.046932
|
0.990414
|
|
"3" + 1
|
0.517572
|
0.581380472
|
0.750718
|
0.892796
|
1.112858
|
1.059616
|
|
"5" + 1
|
0.61196
|
0.659654886
|
0.813797
|
0.91362
|
1.03338
|
0.980371
|
|
"7" + 1
|
0.73416
|
0.774600605
|
0.904961
|
1.024346
|
1.069047
|
0.991287
|
|
"10" + 1
|
0.731331
|
0.798654185
|
0.928722
|
1.054509
|
1.104977
|
1.039605
|
|
div + 1
|
0.953696
|
0.97984312
|
1.00842
|
1.077453
|
1.056587
|
0.995943
|
|
2014
|
7
|
8
|
9
|
10
|
11
|
12
|
|
"1"
|
1.605096
|
1.673150347
|
1.241967
|
1.16983
|
1.23562
|
1.34163
|
|
"3"
|
1.515747
|
1.65196763
|
1.152192
|
0.999355
|
1.053162
|
1.10984
|
|
"5"
|
1.410967
|
1.588403616
|
1.128667
|
1.023019
|
1.128273
|
1.130437
|
|
"7"
|
1.255587
|
1.417651786
|
1.040437
|
0.946364
|
1.015495
|
0.962727
|
|
"10"
|
1.202875
|
1.331907009
|
1.019468
|
0.939005
|
1.005177
|
0.95723
|
|
div
|
1.130471
|
1.206259784
|
1.020104
|
0.982036
|
1.003871
|
0.952593
|
|
"3" - 1
|
1.471072
|
1.641376271
|
1.107304
|
0.914117
|
0.961932
|
0.993946
|
|
"5" - 1
|
1.362435
|
1.567216933
|
1.100342
|
0.986317
|
1.101436
|
1.077638
|
|
"7" - 1
|
1.197335
|
1.375068693
|
1.006849
|
0.90912
|
0.978807
|
0.899577
|
|
"10" - 1
|
1.158183
|
1.19249883
|
0.930046
|
0.859356
|
0.916889
|
0.853612
|
|
div - 1
|
1.120153
|
1.196109989
|
1.015281
|
0.977954
|
0.998833
|
0.944136
|
|
"3" + 1
|
1.538084
|
1.657263309
|
1.174636
|
1.041974
|
1.098776
|
1.167788
|
|
"5" + 1
|
1.443322
|
1.602528071
|
1.147551
|
1.047488
|
1.146164
|
1.165636
|
|
"7" + 1
|
1.299275
|
1.449589107
|
1.065629
|
0.974298
|
1.043011
|
1.01009
|
|
"10" + 1
|
1.23944
|
1.362929131
|
1.039695
|
0.959989
|
1.026127
|
0.992176
|
|
div + 1
|
1.140359
|
1.215986671
|
1.024726
|
0.985949
|
1.008699
|
0.960698
|
|
2015
|
7
|
8
|
9
|
10
|
11
|
12
|
|
"1"
|
0.826409
|
0.692455544
|
0.840809
|
0.897522
|
1.026208
|
1.09629
|
|
"3"
|
0.747117
|
0.58939937
|
0.696378
|
0.749439
|
0.767895
|
0.792552
|
|
"5"
|
0.887054
|
0.744483154
|
0.813589
|
0.891354
|
0.905358
|
0.931319
|
|
"7"
|
0.767801
|
0.668938995
|
0.735124
|
0.837836
|
0.890013
|
0.924161
|
|
"10"
|
0.727023
|
0.628541723
|
0.686988
|
0.786079
|
0.818364
|
0.862943
|
|
div
|
0.897195
|
0.764404618
|
0.823193
|
0.871741
|
0.857529
|
0.916809
|
|
"3" - 1
|
0.707471
|
0.537871283
|
0.624162
|
0.675398
|
0.638739
|
0.640683
|
|
"5" - 1
|
0.902215
|
0.757490057
|
0.806784
|
0.889813
|
0.875146
|
0.890076
|
|
"7" - 1
|
0.758033
|
0.665019571
|
0.71751
|
0.827889
|
0.867314
|
0.895472
|
|
"10" - 1
|
0.71598
|
0.584147018
|
0.627329
|
0.751598
|
0.794875
|
|
div - 1
|
0.898734
|
0.765968728
|
0.82281
|
0.87118
|
0.853862
|
0.912907
|
|
"3" + 1
|
0.76694
|
0.615163413
|
0.732486
|
0.78646
|
0.832474
|
0.868487
|
|
"5" + 1
|
0.876946
|
0.735811886
|
0.818125
|
0.892382
|
0.9255
|
0.958814
|
|
"7" + 1
|
0.775127
|
0.671878564
|
0.748335
|
0.845297
|
0.907037
|
0.945677
|
|
"10" + 1
|
0.736058
|
0.63435207
|
0.700971
|
0.79621
|
0.837259
|
0.884156
|
|
div + 1
|
0.895721
|
0.762905679
|
0.82356
|
0.872278
|
0.861043
|
0.920548
|
Приложение 4
Доходность
портфелей при тестировании на рынке ЮАР.
|
2006
|
7
|
8
|
9
|
10
|
11
|
12
|
|
"1"
|
1.397993
|
1.3820639
|
1.545687
|
1.533887
|
1.401304
|
1.331476
|
|
"3"
|
1.691075
|
1.7086638
|
1.660106
|
1.658844
|
1.560993
|
1.469789
|
|
"5"
|
1.57137
|
1.5937103
|
1.522227
|
1.572174
|
1.523744
|
1.444521
|
|
"7"
|
1.525181
|
1.5375393
|
1.474957
|
1.547766
|
1.508834
|
1.426268
|
|
"10"
|
1.525181
|
1.5375393
|
1.474957
|
1.547766
|
1.508834
|
1.426268
|
|
div
|
1.525181
|
1.5375393
|
1.474957
|
1.547766
|
1.508834
|
1.426268
|
|
"3" - 1
|
1.837616
|
1.8719637
|
1.717315
|
1.721323
|
1.640837
|
1.538945
|
|
"5" - 1
|
1.614715
|
1.6466219
|
1.516362
|
1.581745
|
1.554354
|
1.472782
|
|
"7" - 1
|
1.550619
|
1.5686344
|
1.460812
|
1.550542
|
1.53034
|
1.445226
|
|
"10" - 1
|
1.550619
|
1.5686344
|
1.460812
|
1.550542
|
1.53034
|
1.445226
|
|
div - 1
|
1.550619
|
1.5686344
|
1.460812
|
1.550542
|
1.53034
|
1.445226
|
|
"3" + 1
|
1.617805
|
1.6270138
|
1.631501
|
1.627605
|
1.521071
|
1.435211
|
|
"5" + 1
|
1.542474
|
1.5584359
|
1.526137
|
1.565793
|
1.503337
|
1.42568
|
|
"7" + 1
|
1.507012
|
1.5153286
|
1.485062
|
1.545784
|
1.493473
|
1.412726
|
|
"10" + 1
|
1.507012
|
1.5153286
|
1.485062
|
1.545784
|
1.493473
|
1.412726
|
|
div + 1
|
1.507012
|
1.5153286
|
1.485062
|
1.545784
|
1.493473
|
1.412726
|
|
2007
|
7
|
8
|
9
|
10
|
11
|
12
|
|
"1"
|
1.291062
|
1.2955882
|
1.289963
|
1.294427
|
1.081784
|
0.975334
|
|
"3"
|
1.430582
|
1.3801023
|
1.49423
|
1.610023
|
1.415566
|
1.312718
|
|
"5"
|
1.536786
|
1.4118275
|
1.498831
|
1.532473
|
1.368329
|
1.279728
|
|
"7"
|
1.452647
|
1.3563525
|
1.443445
|
1.4597
|
1.30866
|
1.201668
|
|
"10"
|
1.404917
|
1.329514
|
1.367194
|
1.36314
|
1.195181
|
1.088861
|
|
div
|
1.304492
|
1.2367942
|
1.241304
|
1.248176
|
1.112218
|
1.020465
|
|
"3" - 1
|
1.500342
|
1.4223594
|
1.596363
|
1.76782
|
1.582457
|
1.48141
|
|
"5" - 1
|
1.598217
|
1.4408873
|
1.551048
|
1.591985
|
1.439965
|
1.355827
|
|
"7" - 1
|
1.479578
|
1.3664799
|
1.469026
|
1.487245
|
1.346472
|
1.23939
|
|
"10" - 1
|
1.417567
|
1.2420367
|
1.25552
|
1.235433
|
1.097712
|
0.993445
|
|
div - 1
|
1.304972
|
1.2346944
|
1.239567
|
1.246524
|
1.113305
|
1.022077
|
|
"3" + 1
|
1.395702
|
1.3589738
|
1.443163
|
1.531124
|
1.332121
|
1.228372
|
|
"5" + 1
|
1.495832
|
1.3924543
|
1.46402
|
1.492799
|
1.320572
|
1.228996
|
|
"7" + 1
|
1.432449
|
1.348757
|
1.42426
|
1.439041
|
1.2803
|
1.173376
|
|
"10" + 1
|
1.394566
|
1.3264298
|
1.360173
|
1.356894
|
1.184872
|
1.078541
|
|
div + 1
|
1.304045
|
1.238754
|
1.242926
|
1.249718
|
1.111203
|
1.01896
|
|
2008
|
7
|
8
|
9
|
10
|
11
|
12
|
|
"1"
|
0.822485
|
0.7912032
|
0.605879
|
0.597458
|
0.701031
|
0.82971
|
|
"3"
|
1.141245
|
1.129349
|
0.890569
|
0.758379
|
0.801475
|
0.873707
|
|
"5"
|
1.071803
|
1.0346163
|
0.828504
|
0.657153
|
0.742588
|
0.811677
|
|
"7"
|
1.018258
|
1.0155749
|
0.847401
|
0.747188
|
0.782619
|
0.855686
|
|
"10"
|
0.908148
|
0.9181601
|
0.813331
|
0.703422
|
0.759445
|
0.830301
|
|
div
|
0.834791
|
0.8629486
|
0.784787
|
0.667586
|
0.700108
|
0.761931
|
|
"3" - 1
|
1.300625
|
1.2984219
|
1.032915
|
0.83884
|
0.851697
|
0.895706
|
|
"5" - 1
|
1.134132
|
1.0954695
|
0.88416
|
0.672077
|
0.752978
|
0.807169
|
|
"7" - 1
|
1.050887
|
1.0529702
|
0.887655
|
0.772144
|
0.860015
|
|
"10" - 1
|
0.917666
|
0.8398245
|
0.779065
|
0.679366
|
0.725783
|
0.789722
|
|
div - 1
|
0.835247
|
0.8656058
|
0.791413
|
0.670184
|
0.700074
|
0.759421
|
|
"3" + 1
|
1.061555
|
1.0448126
|
0.819397
|
0.718149
|
0.776364
|
0.862708
|
|
"5" + 1
|
1.03025
|
0.9940474
|
0.791399
|
0.647204
|
0.735662
|
0.814683
|
|
"7" + 1
|
0.993787
|
0.9875285
|
0.817211
|
0.728472
|
0.772421
|
0.852439
|
|
"10" + 1
|
0.90036
|
0.9066185
|
0.794472
|
0.693789
|
0.754135
|
0.830247
|
|
div + 1
|
0.834367
|
0.8604746
|
0.778617
|
0.665168
|
0.70014
|
0.764269
|
|
2009
|
7
|
8
|
9
|
10
|
11
|
12
|
|
"1"
|
0.873349
|
0.9780224
|
1.291375
|
1.306849
|
1.149197
|
1.027305
|
|
"3"
|
1.009499
|
1.0996341
|
1.223422
|
1.288492
|
1.125141
|
1.115328
|
|
"5"
|
0.996444
|
1.0847401
|
1.210292
|
1.237125
|
1.191666
|
1.206202
|
|
"7"
|
1.03377
|
1.0644148
|
1.169171
|
1.273018
|
1.270951
|
1.279732
|
|
"10"
|
0.976575
|
1.0201244
|
1.13153
|
1.301264
|
1.234702
|
1.270799
|
|
div
|
0.963003
|
0.9915419
|
1.097481
|
1.277325
|
1.289995
|
1.320317
|
|
"3" - 1
|
1.077574
|
1.1604399
|
1.189446
|
1.279314
|
1.113112
|
1.15934
|
|
"5" - 1
|
1.027217
|
1.1114195
|
1.190021
|
1.219694
|
1.202284
|
1.250926
|
|
"7" - 1
|
1.060507
|
1.0788135
|
1.148803
|
1.26738
|
1.291243
|
1.321803
|
|
"10" - 1
|
0.988044
|
0.9481836
|
1.036101
|
1.224857
|
1.175363
|
1.229613
|
|
div - 1
|
0.966589
|
0.9920826
|
1.089725
|
1.276144
|
1.295627
|
1.332037
|
|
"3" + 1
|
0.975461
|
1.0692312
|
1.240411
|
1.293081
|
1.131155
|
1.093322
|
|
"5" + 1
|
0.975928
|
1.0669538
|
1.223806
|
1.248745
|
1.184588
|
1.176386
|
|
"7" + 1
|
1.013718
|
1.0536157
|
1.184446
|
1.277247
|
1.255732
|
1.248178
|
|
"10" + 1
|
0.96719
|
1.0162969
|
1.146061
|
1.301772
|
1.226928
|
1.248663
|
|
div + 1
|
0.959682
|
0.9910411
|
1.104662
|
1.278419
|
1.28478
|
1.309465
|
|
2010
|
7
|
8
|
9
|
10
|
11
|
12
|
|
"1"
|
0.881759
|
0.7740152
|
0.890791
|
0.822955
|
0.940782
|
1.014686
|
|
"3"
|
1.345179
|
1.122421
|
1.24777
|
1.256942
|
1.25948
|
1.235722
|
|
"5"
|
1.269813
|
1.097995
|
1.202927
|
1.186231
|
1.201638
|
1.210511
|
|
"7"
|
1.256353
|
1.0916957
|
1.179604
|
1.157619
|
1.17293
|
1.184519
|
|
"10"
|
1.239857
|
1.0945425
|
1.181471
|
1.141903
|
1.148394
|
1.162432
|
|
div
|
1.195111
|
1.103054
|
1.173945
|
1.142577
|
1.13321
|
1.152559
|
|
"3" - 1
|
1.576888
|
1.296624
|
1.42626
|
1.473936
|
1.418829
|
1.346239
|
|
"5" - 1
|
1.366826
|
1.1789899
|
1.280961
|
1.277051
|
1.266852
|
1.259467
|
|
"7" - 1
|
1.318786
|
1.1446424
|
1.227739
|
1.213396
|
1.211622
|
1.212824
|
|
"10" - 1
|
1.279646
|
1.0521956
|
1.128188
|
1.078719
|
1.079263
|
1.097456
|
|
div - 1
|
1.209355
|
1.1180103
|
1.186816
|
1.157106
|
1.141956
|
1.158826
|
|
"3" + 1
|
1.229324
|
1.0353196
|
1.158526
|
1.148445
|
1.179806
|
1.180463
|
|
"5" + 1
|
1.205137
|
1.0439983
|
1.150904
|
1.125685
|
1.158162
|
1.177874
|
|
"7" + 1
|
1.209529
|
1.0519856
|
1.143502
|
1.115786
|
1.143912
|
1.16329
|
|
"10" + 1
|
1.207303
|
1.0654037
|
1.155046
|
1.112908
|
1.12952
|
1.149
|
|
div + 1
|
1.182055
|
1.089344
|
1.162147
|
1.12926
|
1.125192
|
1.146815
|
|
2011
|
7
|
8
|
9
|
10
|
11
|
12
|
|
"1"
|
1.158334
|
1.2084926
|
1.058869
|
1.097011
|
1.174343
|
1.12226
|
|
"3"
|
0.988641
|
0.9869557
|
0.882206
|
0.935217
|
0.982942
|
0.956597
|
|
"5"
|
1.095022
|
1.1405382
|
0.952251
|
1.021251
|
1.081206
|
1.039945
|
|
"7"
|
1.119984
|
1.1652689
|
0.982284
|
1.069445
|
1.118337
|
1.075157
|
|
"10"
|
1.107212
|
1.1482002
|
0.977131
|
1.056339
|
1.092635
|
1.027255
|
|
div
|
1.108384
|
1.1333218
|
0.999374
|
1.070201
|
1.118741
|
1.050807
|
|
"3" - 1
|
0.903794
|
0.8761873
|
0.793874
|
0.854319
|
0.887242
|
0.873766
|
|
"5" - 1
|
1.079194
|
1.1235497
|
0.925596
|
1.002311
|
1.057922
|
|
"7" - 1
|
1.113593
|
1.1580649
|
0.96952
|
1.06485
|
1.109003
|
1.067307
|
|
"10" - 1
|
1.101532
|
1.0916261
|
0.918662
|
1.001341
|
1.029368
|
0.960395
|
|
div - 1
|
1.106114
|
1.1299049
|
0.99667
|
1.068983
|
1.116214
|
1.047559
|
|
"3" + 1
|
1.031064
|
1.0423399
|
0.926372
|
0.975665
|
1.030793
|
0.998013
|
|
"5" + 1
|
1.105574
|
1.151864
|
0.97002
|
1.033877
|
1.096729
|
1.053665
|
|
"7" + 1
|
1.124778
|
1.1706718
|
0.991858
|
1.07289
|
1.125338
|
1.081045
|
|
"10" + 1
|
1.111859
|
1.1536813
|
0.984562
|
1.060037
|
1.100063
|
1.035892
|
|
div + 1
|
1.110466
|
1.1364539
|
1.001853
|
1.071318
|
1.121058
|
1.053784
|
|
2012
|
7
|
8
|
9
|
10
|
11
|
12
|
|
"1"
|
1.009565
|
0.9907325
|
1.17813
|
1.148329
|
1.070866
|
1.13776
|
|
"3"
|
1.196819
|
1.2009411
|
1.255107
|
1.294229
|
1.289418
|
1.34062
|
|
"5"
|
1.143825
|
1.2004958
|
1.327919
|
1.39357
|
1.41587
|
1.444372
|
|
"7"
|
1.191948
|
1.2443816
|
1.332725
|
1.354158
|
1.380877
|
1.438588
|
|
"10"
|
1.209572
|
1.2724601
|
1.360286
|
1.357248
|
1.369183
|
1.402
|
|
div
|
1.170861
|
1.2025524
|
1.27834
|
1.249294
|
1.268497
|
1.348041
|
|
"3" - 1
|
1.290446
|
1.3060454
|
1.293596
|
1.367179
|
1.398695
|
1.44205
|
|
"5" - 1
|
1.177391
|
1.2529367
|
1.365367
|
1.45488
|
1.502121
|
1.521025
|
|
"7" - 1
|
1.222345
|
1.2866565
|
1.358491
|
1.388463
|
1.432546
|
1.488726
|
|
"10" - 1
|
1.231795
|
1.2202144
|
1.295305
|
1.291656
|
1.314878
|
1.344176
|
|
div - 1
|
1.177874
|
1.211762
|
1.282697
|
1.253684
|
1.27709
|
1.357183
|
|
"3" + 1
|
1.150005
|
1.148389
|
1.235863
|
1.257754
|
1.23478
|
1.289905
|
|
"5" + 1
|
1.121449
|
1.1655353
|
1.302954
|
1.352696
|
1.358369
|
1.39327
|
|
"7" + 1
|
1.16915
|
1.2126755
|
1.313401
|
1.32843
|
1.342126
|
1.400985
|
|
"10" + 1
|
1.191389
|
1.2468485
|
1.343726
|
1.338256
|
1.342064
|
1.377978
|
|
div + 1
|
1.164409
|
1.1940796
|
1.274332
|
1.245255
|
1.260592
|
1.33963
|
|
2013
|
7
|
8
|
9
|
10
|
11
|
12
|
|
"1"
|
0.850262
|
0.9375
|
0.922612
|
0.775332
|
0.731434
|
0.779514
|
|
"3"
|
1.103149
|
1.0729575
|
1.121636
|
1.034601
|
0.988963
|
1.024685
|
|
"5"
|
1.49182
|
1.4830683
|
1.481752
|
1.379278
|
1.333946
|
1.402131
|
|
"7"
|
1.42072
|
1.3741831
|
1.403453
|
1.319273
|
1.25652
|
1.31207
|
|
"10"
|
1.323506
|
1.2914567
|
1.332389
|
1.303451
|
1.237886
|
1.257936
|
|
div
|
1.239079
|
1.2028299
|
1.267256
|
1.252718
|
1.197617
|
1.198754
|
|
"3" - 1
|
1.229592
|
1.1406862
|
1.221149
|
1.164235
|
1.117728
|
1.14727
|
|
"5" - 1
|
1.65221
|
1.6194604
|
1.621538
|
1.530265
|
1.484574
|
1.557786
|
|
"7" - 1
|
1.515796
|
1.4469636
|
1.483593
|
1.40993
|
1.344035
|
1.40083
|
|
"10" - 1
|
1.376089
|
1.2673422
|
1.306639
|
1.300602
|
1.234293
|
1.24837
|
|
div - 1
|
1.255984
|
1.2143659
|
1.28224
|
1.273474
|
1.217886
|
1.216982
|
|
"3" + 1
|
1.039927
|
1.0390931
|
1.07188
|
0.969784
|
0.924581
|
0.963392
|
|
"5" + 1
|
1.384894
|
1.3921403
|
1.388562
|
1.27862
|
1.233527
|
1.298362
|
|
"7" + 1
|
1.349412
|
1.3195977
|
1.343348
|
1.25128
|
1.190885
|
1.245501
|
|
"10" + 1
|
1.280484
|
1.2592788
|
1.295137
|
1.25544
|
1.191845
|
1.214443
|
|
div + 1
|
1.223527
|
1.1922167
|
1.25347
|
1.233623
|
1.17897
|
1.181985
|
|
2014
|
7
|
8
|
9
|
10
|
11
|
12
|
|
"1"
|
0.856314
|
0.7077778
|
0.574418
|
0.655474
|
0.647675
|
0.540985
|
|
"3"
|
1.068465
|
1.0562412
|
0.950841
|
1.005663
|
0.997987
|
0.905733
|
|
"5"
|
1.153834
|
1.1470132
|
1.069822
|
1.062111
|
1.002132
|
0.915031
|
|
"7"
|
1.192953
|
1.1895112
|
1.094928
|
1.08253
|
1.054497
|
0.994874
|
|
"10"
|
1.193846
|
1.1658365
|
1.062259
|
1.065832
|
1.061072
|
1.017155
|
|
div
|
1.24772
|
1.2253975
|
1.128998
|
1.125623
|
1.157151
|
1.116647
|
|
"3" - 1
|
1.174541
|
1.2304729
|
1.139053
|
1.180757
|
1.173143
|
1.088107
|
1.228213
|
1.2568221
|
1.193673
|
1.16377
|
1.090746
|
1.008542
|
|
"7" - 1
|
1.249059
|
1.2698001
|
1.18168
|
1.153706
|
1.122301
|
1.070522
|
|
"10" - 1
|
1.231349
|
1.1520598
|
1.055376
|
1.043373
|
1.043173
|
1.013593
|
|
div - 1
|
1.265511
|
1.2489257
|
1.154206
|
1.146993
|
1.180308
|
1.142814
|
|
"3" + 1
|
1.015427
|
0.9691253
|
0.856735
|
0.918116
|
0.910409
|
0.814546
|
|
"5" + 1
|
1.104247
|
1.0738073
|
0.987255
|
0.994338
|
0.943056
|
0.85269
|
|
"7" + 1
|
1.150873
|
1.1292945
|
1.029864
|
1.029148
|
1.003645
|
0.938138
|
|
"10" + 1
|
1.163161
|
1.1241948
|
1.01791
|
1.028527
|
1.02349
|
0.973867
|
|
div + 1
|
1.231411
|
1.20383
|
1.10589
|
1.106033
|
1.135922
|
1.092661
|
|
2015
|
7
|
8
|
9
|
10
|
11
|
12
|
|
"1"
|
0.289542
|
0.2836421
|
0.294526
|
0.32583
|
0.34826
|
0.374114
|
|
"3"
|
0.850317
|
0.8249876
|
0.839976
|
0.842451
|
0.845472
|
0.872805
|
|
"5"
|
0.841572
|
0.7792803
|
0.779753
|
0.817755
|
0.867831
|
0.895417
|
|
"7"
|
0.944709
|
0.8901543
|
0.8943
|
0.920315
|
0.950388
|
0.965627
|
|
"10"
|
0.96035
|
0.9291784
|
0.927179
|
0.939357
|
0.956454
|
0.966856
|
|
div
|
1.111466
|
1.090997
|
1.088544
|
1.091096
|
1.081845
|
1.083284
|
|
"3" - 1
|
1.130705
|
1.0956603
|
1.112701
|
1.100761
|
1.094078
|
1.12215
|
|
"5" - 1
|
0.979579
|
0.9031898
|
0.901059
|
0.940737
|
0.997724
|
1.025743
|
|
"7" - 1
|
1.053904
|
0.9912396
|
0.994263
|
1.019395
|
1.050743
|
1.064213
|
|
"10" - 1
|
1.034884
|
0.9364382
|
0.935621
|
0.945913
|
0.96202
|
0.968513
|
|
div - 1
|
1.148826
|
1.1276949
|
1.124635
|
1.125881
|
1.11519
|
1.115519
|
|
"3" + 1
|
0.710124
|
0.6896512
|
0.703614
|
0.713296
|
0.721169
|
0.748132
|
|
"5" + 1
|
0.749567
|
0.6966739
|
0.698881
|
0.735768
|
0.781236
|
0.808533
|
|
"7" + 1
|
0.862813
|
0.8143402
|
0.819329
|
0.846004
|
0.875122
|
0.891688
|
|
"10" + 1
|
0.899367
|
0.8704933
|
0.869665
|
0.883581
|
0.901164
|
0.91297
|
|
div + 1
|
1.077219
|
1.0573572
|
1.05546
|
1.05921
|
1.051279
|
1.053735
|
Приложение 5
Доходность
портфелей при тестировании на рынке России
|
2006
|
12
|
11
|
10
|
9
|
8
|
7
|
|
"1"
|
1.116082
|
1.02077432
|
1.081569
|
1.027364
|
1.119
|
1.294929
|
|
"3"
|
1.186003
|
1.08573604
|
1.159804
|
1.040401
|
1.269634
|
1.502507
|
|
"5"
|
1.196336
|
1.13360896
|
1.199213
|
1.106928
|
1.414807
|
1.61992
|
|
"7"
|
1.196336
|
1.13360896
|
1.199213
|
1.106928
|
1.414807
|
1.61992
|
|
"10"
|
1.196336
|
1.13360896
|
1.199213
|
1.106928
|
1.414807
|
1.61992
|
|
div
|
1.196336
|
1.13360896
|
1.199213
|
1.106928
|
1.414807
|
1.61992
|
|
"3" - 1
|
1.220963
|
1.1182169
|
1.198921
|
1.046919
|
1.344951
|
1.606297
|
|
"5" - 1
|
1.223088
|
1.17122051
|
1.238427
|
1.133449
|
1.513409
|
1.72825
|
|
"7" - 1
|
1.223088
|
1.17122051
|
1.238427
|
1.133449
|
1.513409
|
1.72825
|
|
"10" - 1
|
1.223088
|
1.17122051
|
1.238427
|
1.133449
|
1.513409
|
1.72825
|
|
div - 1
|
1.223088
|
1.17122051
|
1.238427
|
1.133449
|
1.513409
|
1.72825
|
|
"3" + 1
|
1.168523
|
1.06949561
|
1.140245
|
1.037141
|
1.231975
|
1.450613
|
|
"5" + 1
|
1.180286
|
1.11104203
|
1.175684
|
1.091015
|
1.355645
|
1.554922
|
|
"7" + 1
|
1.180286
|
1.11104203
|
1.175684
|
1.091015
|
1.355645
|
1.554922
|
|
"10" + 1
|
1.180286
|
1.11104203
|
1.175684
|
1.091015
|
1.355645
|
1.554922
|
|
div + 1
|
1.180286
|
1.11104203
|
1.175684
|
1.091015
|
1.355645
|
1.554922
|
|
2007
|
12
|
11
|
10
|
9
|
8
|
7
|
|
"1"
|
1.275106
|
1.20555042
|
1.081371
|
0.988626
|
0.866488
|
0.915493
|
|
"3"
|
0.844247
|
0.87522618
|
0.905888
|
0.90139
|
0.771179
|
0.758547
|
|
"5"
|
0.916192
|
0.92105957
|
0.951112
|
0.914063
|
0.79038
|
0.816859
|
|
"7"
|
0.916192
|
0.92105957
|
0.951112
|
0.914063
|
0.79038
|
0.816859
|
|
"10"
|
0.916192
|
0.92105957
|
0.951112
|
0.914063
|
0.79038
|
0.816859
|
|
div
|
0.916192
|
0.92105957
|
0.951112
|
0.914063
|
0.79038
|
0.816859
|
|
"3" - 1
|
0.71006406
|
0.818146
|
0.857772
|
0.723525
|
0.680074
|
|
"5" - 1
|
0.796554
|
0.82622929
|
0.907693
|
0.889209
|
0.765011
|
0.783981
|
|
"7" - 1
|
0.796554
|
0.82622929
|
0.907693
|
0.889209
|
0.765011
|
0.783981
|
|
"10" - 1
|
0.796554
|
0.82622929
|
0.907693
|
0.889209
|
0.765011
|
0.783981
|
|
div - 1
|
0.796554
|
0.82622929
|
0.907693
|
0.889209
|
0.765011
|
0.783981
|
|
"3" + 1
|
0.951962
|
0.95780724
|
0.949759
|
0.923199
|
0.795006
|
0.797783
|
|
"5" + 1
|
0.987975
|
0.97795774
|
0.977164
|
0.928976
|
0.805602
|
0.836586
|
|
"7" + 1
|
0.987975
|
0.97795774
|
0.977164
|
0.928976
|
0.805602
|
0.836586
|
|
"10" + 1
|
0.987975
|
0.97795774
|
0.977164
|
0.928976
|
0.805602
|
0.836586
|
|
div + 1
|
0.987975
|
0.97795774
|
0.977164
|
0.928976
|
0.805602
|
0.836586
|
|
2008
|
12
|
11
|
10
|
9
|
8
|
7
|
|
"1"
|
0.295788
|
0.3017146
|
0.397037
|
0.777739
|
0.917494
|
0.998115
|
|
"3"
|
0.335582
|
0.34419257
|
0.385594
|
0.809556
|
1.088285
|
1.21971
|
|
"5"
|
0.391735
|
0.40088788
|
0.413514
|
0.644834
|
0.868348
|
0.977873
|
|
"7"
|
0.338886
|
0.36114431
|
0.417684
|
0.662426
|
0.948802
|
1.023083
|
|
"10"
|
0.367535
|
0.36323795
|
0.41829
|
0.648365
|
0.888648
|
0.989707
|
|
div
|
0.36212
|
0.35726317
|
0.405642
|
0.626342
|
0.86408
|
0.941067
|
|
"3" - 1
|
0.355479
|
0.36543155
|
0.379873
|
0.825464
|
1.17368
|
1.330508
|
|
"5" - 1
|
0.415722
|
0.42568121
|
0.417634
|
0.611608
|
0.856062
|
0.972812
|
|
"7" - 1
|
0.346069
|
0.37104926
|
0.421125
|
0.643207
|
0.95402
|
1.027244
|
|
"10" - 1
|
0.375507
|
0.34468428
|
0.390697
|
0.572371
|
0.815745
|
0.907445
|
|
div - 1
|
0.36815
|
0.36231304
|
0.406424
|
0.612579
|
0.859224
|
0.935881
|
|
"3" + 1
|
0.325634
|
0.33357307
|
0.388455
|
0.801602
|
1.045587
|
1.164312
|
|
"5" + 1
|
0.375744
|
0.384359
|
0.410768
|
0.666985
|
0.876539
|
0.981246
|
|
"7" + 1
|
0.333499
|
0.3537156
|
0.415103
|
0.67684
|
0.944888
|
1.019962
|
|
"10" + 1
|
0.361012
|
0.35764492
|
0.416358
|
0.660127
|
0.89127
|
0.990471
|
|
div + 1
|
0.357017
|
0.35299021
|
0.40498
|
0.637988
|
0.868189
|
0.945455
|
|
2009
|
12
|
11
|
10
|
9
|
8
|
7
|
|
"1"
|
1.985402
|
2.01008249
|
1.518582
|
0.907871
|
0.708199
|
0.667296
|
|
"3"
|
2.996158
|
2.7451611
|
2.458105
|
1.176949
|
0.856964
|
0.713626
|
|
"5"
|
2.887949
|
2.7300254
|
2.486453
|
1.325333
|
0.916914
|
0.795079
|
|
"7"
|
2.795719
|
2.5518614
|
2.179079
|
1.375474
|
0.963655
|
0.832814
|
|
"10"
|
2.65785
|
2.44118245
|
2.049552
|
1.338997
|
0.926102
|
0.792324
|
|
div
|
2.65785
|
2.44118245
|
2.049552
|
1.338997
|
0.926102
|
0.792324
|
|
"3" - 1
|
3.501536
|
3.1127004
|
2.927866
|
1.311488
|
0.931346
|
0.736791
|
|
"5" - 1
|
3.113585
|
2.91001113
|
2.728421
|
1.429698
|
0.969093
|
0.827025
|
|
"7" - 1
|
2.930772
|
2.64215788
|
2.289161
|
1.453407
|
1.006231
|
0.8604
|
|
"10" - 1
|
2.741906
|
2.49506994
|
2.115923
|
1.392888
|
0.95334
|
0.807953
|
|
div - 1
|
2.741906
|
2.49506994
|
2.115923
|
1.392888
|
0.95334
|
0.807953
|
|
"3" + 1
|
2.743469
|
2.56139145
|
2.223224
|
1.10968
|
0.819773
|
0.702044
|
|
"5" + 1
|
2.737524
|
2.61003492
|
2.325141
|
1.255756
|
0.882128
|
0.773782
|
|
"7" + 1
|
2.69443
|
2.48413903
|
2.096517
|
1.317023
|
0.931723
|
0.812124
|
|
"10" + 1
|
2.590605
|
2.39807245
|
1.996455
|
1.295885
|
0.904312
|
0.779821
|
|
div + 1
|
2.590605
|
2.39807245
|
1.996455
|
1.295885
|
0.904312
|
0.779821
|
|
2010
|
12
|
11
|
10
|
9
|
8
|
7
|
|
"1"
|
1.172268
|
1.15868673
|
1.229544
|
1.234975
|
1.369341
|
1.361064
|
|
"3"
|
1.280722
|
1.2557013
|
1.323447
|
1.285335
|
1.38464
|
1.350037
|
|
"5"
|
1.334182
|
1.22960747
|
1.27761
|
1.265642
|
1.301518
|
1.313552
|
|
"7"
|
1.314865
|
1.2315555
|
1.256634
|
1.256457
|
1.27656
|
1.294654
|
|
"10"
|
1.349151
|
1.28078829
|
1.335267
|
1.312112
|
1.358187
|
1.384
|
|
div
|
1.389829
|
1.35396
|
1.32832
|
1.367262
|
1.435528
|
|
"3" - 1
|
1.334949
|
1.30420858
|
1.370398
|
1.310515
|
1.392289
|
1.344523
|
|
"5" - 1
|
1.374661
|
1.24733765
|
1.289626
|
1.273308
|
1.284562
|
1.301674
|
|
"7" - 1
|
1.338631
|
1.24370029
|
1.261149
|
1.260037
|
1.261096
|
1.283586
|
|
"10" - 1
|
1.368804
|
1.20868246
|
1.255946
|
1.234071
|
1.259104
|
1.303194
|
|
div - 1
|
1.409607
|
1.35481551
|
1.365271
|
1.336806
|
1.367073
|
1.442298
|
|
"3" + 1
|
1.253608
|
1.23144765
|
1.299971
|
1.272745
|
1.380815
|
1.352793
|
|
"5" + 1
|
1.307197
|
1.21778734
|
1.269599
|
1.260531
|
1.312822
|
1.32147
|
|
"7" + 1
|
1.29704
|
1.2224469
|
1.253248
|
1.253771
|
1.288157
|
1.302955
|
|
"10" + 1
|
1.333071
|
1.26968815
|
1.325656
|
1.305099
|
1.359201
|
1.381915
|
|
div + 1
|
1.373094
|
1.32464185
|
1.34439
|
1.32114
|
1.367422
|
1.4298
|
|
2011
|
12
|
11
|
10
|
9
|
8
|
7
|
|
"1"
|
0.704864
|
0.83419913
|
0.77498
|
0.706542
|
0.877217
|
1
|
|
"3"
|
0.937306
|
1.14563184
|
1.173108
|
1.109292
|
1.320349
|
1.383247
|
|
"5"
|
0.80804
|
1.01181547
|
1.030467
|
0.965344
|
1.155769
|
1.231305
|
|
"7"
|
0.885716
|
1.09895147
|
1.107943
|
1.043891
|
1.238185
|
1.305857
|
|
"10"
|
0.807112
|
1.01203252
|
1.043872
|
1.00285
|
1.173563
|
1.245394
|
|
div
|
0.842229
|
1.00533189
|
1.025797
|
0.970488
|
1.149388
|
1.222224
|
|
"3" - 1
|
1.053527
|
1.3013482
|
1.372173
|
1.310667
|
1.541915
|
1.574871
|
|
"5" - 1
|
0.833834
|
1.05621955
|
1.094339
|
1.030044
|
1.225407
|
1.289131
|
|
"7" - 1
|
0.915858
|
1.14307686
|
1.163437
|
1.100116
|
1.298346
|
1.356833
|
|
"10" - 1
|
0.818473
|
0.94734571
|
0.97094
|
0.938227
|
1.089864
|
1.148478
|
|
div - 1
|
0.854717
|
1.02088942
|
1.048599
|
0.994484
|
1.174131
|
1.242426
|
|
"3" + 1
|
0.879195
|
1.06777367
|
1.073576
|
1.008605
|
1.209566
|
1.287435
|
|
"5" + 1
|
0.790844
|
0.98221275
|
0.987886
|
0.92221
|
1.109344
|
1.192754
|
|
"7" + 1
|
0.86311
|
1.06585743
|
1.066323
|
1.001722
|
1.193064
|
1.267625
|
|
"10" + 1
|
0.797817
|
0.99586585
|
1.019428
|
0.975913
|
1.146622
|
1.223085
|
|
div + 1
|
0.831663
|
0.99216783
|
1.006504
|
0.950185
|
1.128452
|
1.205129
|
|
2012
|
12
|
11
|
10
|
9
|
8
|
7
|
|
"1"
|
1.342941
|
1.09322074
|
1.189789
|
1.29786
|
1.103101
|
1.02736
|
|
"3"
|
0.95921
|
0.91371129
|
1.000789
|
1.176576
|
0.939036
|
0.872806
|
|
"5"
|
1.028296
|
0.95313358
|
0.998076
|
1.158609
|
0.906617
|
0.889687
|
|
"7"
|
0.982127
|
0.88550999
|
0.886641
|
1.05398
|
0.790116
|
0.749891
|
|
"10"
|
1.0013
|
0.90349731
|
0.937352
|
1.091643
|
0.913252
|
0.841872
|
|
div
|
1.079822
|
0.96957685
|
1.006327
|
1.151189
|
0.960722
|
0.867326
|
|
"3" - 1
|
0.767345
|
0.82395656
|
0.90629
|
1.115934
|
0.857004
|
0.795529
|
|
"5" - 1
|
0.949634
|
0.91811179
|
0.950147
|
1.123796
|
0.857496
|
0.855268
|
|
"7" - 1
|
0.921991
|
0.85089153
|
0.836116
|
1.013333
|
0.737951
|
0.703646
|
|
"10" - 1
|
0.96334
|
0.84381295
|
0.873271
|
1.017255
|
0.861505
|
0.793129
|
|
div - 1
|
1.057896
|
0.95927319
|
0.991039
|
1.138966
|
0.948857
|
0.85399
|
|
"3" + 1
|
1.055143
|
0.95858865
|
1.048039
|
1.206897
|
0.980053
|
0.911444
|
|
"5" + 1
|
1.080737
|
0.97648144
|
1.030028
|
1.181817
|
0.939364
|
0.912632
|
|
"7" + 1
|
1.027229
|
0.91147383
|
0.924534
|
1.084465
|
0.829239
|
0.784575
|
|
"10" + 1
|
1.032359
|
0.92074489
|
0.9603
|
1.11039
|
0.930511
|
0.858735
|
|
div + 1
|
1.098616
|
0.97840855
|
1.019432
|
1.161665
|
0.970892
|
0.878757
|
|
2013
|
12
|
11
|
10
|
9
|
8
|
7
|
|
"1"
|
0.895988
|
1.00211864
|
0.969966
|
0.904652
|
0.952352
|
1.011597
|
|
"3"
|
1.088787
|
1.13556692
|
1.130528
|
1.07901
|
1.014296
|
0.960021
|
|
"5"
|
0.986174
|
1.02025617
|
1.034509
|
1.029378
|
0.992446
|
0.922323
|
|
"7"
|
1.001487
|
1.02776231
|
1.027712
|
1.008597
|
0.969716
|
0.930927
|
|
"10"
|
1.061154
|
1.07543625
|
1.067961
|
1.025639
|
1.016085
|
|
div
|
1.061154
|
1.07543625
|
1.076623
|
1.067961
|
1.025639
|
1.016085
|
|
"3" - 1
|
1.185186
|
1.20229105
|
1.210809
|
1.16619
|
1.045267
|
0.934233
|
|
"5" - 1
|
1.008721
|
1.02479055
|
1.050644
|
1.060559
|
1.00247
|
0.900005
|
|
"7" - 1
|
1.019071
|
1.03203625
|
1.037337
|
1.025921
|
0.97261
|
0.917482
|
|
"10" - 1
|
1.079506
|
1.02196531
|
1.033044
|
1.031875
|
0.981362
|
0.972059
|
|
div - 1
|
1.079506
|
1.08358265
|
1.088474
|
1.086106
|
1.033782
|
1.016584
|
|
"3" + 1
|
1.040587
|
1.10220485
|
1.090388
|
1.035421
|
0.99881
|
0.972915
|
|
"5" + 1
|
0.971143
|
1.01723325
|
1.023752
|
1.00859
|
0.985764
|
0.937202
|
|
"7" + 1
|
0.9883
|
1.02455685
|
1.020494
|
0.995604
|
0.967546
|
0.941011
|
|
"10" + 1
|
1.046139
|
1.06877101
|
1.066927
|
1.053115
|
1.018977
|
1.015677
|
|
div + 1
|
1.046139
|
1.06877101
|
1.066927
|
1.053115
|
1.018977
|
1.015677
|
|
2014
|
12
|
11
|
10
|
9
|
8
|
7
|
|
"1"
|
0.625
|
0.65751559
|
0.685271
|
0.660735
|
1.019832
|
0.9815
|
|
"3"
|
0.746999
|
0.77715231
|
0.770194
|
0.769605
|
1.063735
|
1.111567
|
|
"5"
|
0.634007
|
0.77223234
|
0.766793
|
0.781984
|
0.976544
|
1.039384
|
|
"7"
|
0.717578
|
0.81968362
|
0.860768
|
0.895515
|
1.028707
|
1.056335
|
|
"10"
|
0.670656
|
0.7778025
|
0.815222
|
0.844915
|
0.958969
|
0.978663
|
|
div
|
0.905811
|
0.97374993
|
0.944575
|
0.946602
|
1.010344
|
1.004172
|
|
"3" - 1
|
0.807999
|
0.83697068
|
0.812655
|
0.82404
|
1.085686
|
1.176601
|
|
"5" - 1
|
0.636258
|
0.80091153
|
0.787174
|
0.812297
|
0.965722
|
1.053855
|
|
"7" - 1
|
0.733007
|
0.84671163
|
0.890017
|
0.934644
|
1.030186
|
1.068808
|
|
"10" - 1
|
0.675729
|
0.75440173
|
0.793305
|
0.828434
|
0.883039
|
0.893517
|
|
div - 1
|
0.917043
|
0.98639931
|
0.954947
|
0.958037
|
1.009965
|
1.005079
|
|
"3" + 1
|
0.716499
|
0.74724313
|
0.748963
|
0.742388
|
1.052759
|
1.079051
|
|
"5" + 1
|
0.632505
|
0.75311288
|
0.753206
|
0.761776
|
0.983759
|
1.029737
|
|
"7" + 1
|
0.706005
|
0.79941262
|
0.838831
|
0.866167
|
1.027597
|
1.046981
|
|
"10" + 1
|
0.666505
|
0.76686732
|
0.803408
|
0.828171
|
0.964502
|
0.97892
|
|
div + 1
|
0.895411
|
0.96203755
|
0.934971
|
0.936015
|
1.010695
|
1.003332
|
|
2015
|
12
|
11
|
10
|
9
|
8
|
7
|
|
"1"
|
1.700972
|
0.98084112
|
0.990562
|
1.022388
|
1.103521
|
0.856315
|
|
"3"
|
1.826666
|
1.25897491
|
1.254054
|
1.260218
|
1.183574
|
0.983196
|
|
"5"
|
1.610874
|
1.16728698
|
1.159052
|
1.138159
|
1.105766
|
0.968983
|
|
"7"
|
1.519734
|
1.22370208
|
1.207592
|
1.184617
|
1.164326
|
0.998426
|
|
"10"
|
1.513729
|
1.33515991
|
1.331162
|
1.370065
|
1.291135
|
1.147203
|
|
div
|
1.367366
|
1.25814794
|
1.320453
|
1.354832
|
1.367012
|
1.298121
|
|
"3" - 1
|
1.889512
|
1.3980418
|
1.385799
|
1.379132
|
1.2236
|
1.046637
|
|
"5" - 1
|
1.58835
|
1.21389844
|
1.201174
|
1.167102
|
1.106328
|
0.99715
|
|
"7" - 1
|
1.489528
|
1.26417891
|
1.243764
|
1.211655
|
1.174461
|
1.022111
|
|
"10" - 1
|
1.492924
|
1.27001205
|
1.261214
|
1.298118
|
1.228113
|
1.117985
|
|
div - 1
|
1.354022
|
1.26924021
|
1.333648
|
1.36813
|
1.377552
|
1.315793
|
|
"3" + 1
|
1.795242
|
1.18944146
|
1.188181
|
1.20076
|
1.16356
|
0.951476
|
|
"5" + 1
|
1.62589
|
1.13621267
|
1.13097
|
1.118864
|
1.105392
|
0.950205
|
|
"7" + 1
|
1.542389
|
1.19334446
|
1.180464
|
1.164338
|
1.156726
|
0.980662
|
|
"10" + 1
|
1.530751
|
1.30294911
|
1.300199
|
1.338458
|
1.274079
|
1.120759
|
|
div + 1
|
1.379722
|
1.24787732
|
1.308235
|
1.342519
|
1.357253
|
1.281758
|