Оценка влияния государственно-частного партнерства на развитие города на примере Санкт-Петербурга

  • Вид работы:
    Контрольная работа
  • Предмет:
    Эктеория
  • Язык:
    Русский
    ,
    Формат файла:
    MS Word
    407,38 Кб
  • Опубликовано:
    2017-06-03
Вы можете узнать стоимость помощи в написании студенческой работы.
Помощь в написании работы, которую точно примут!

Оценка влияния государственно-частного партнерства на развитие города на примере Санкт-Петербурга














Контрольная работа

Оценка влияния государственно-частного партнерства на развитие города на примере Санкт-Петербурга

Содержание

1. Описание модели определения влияния проектов ГЧП на развитие региона

. Обработка данных и интерпретация результатов

Литература

Приложения


. Описание модели определения влияния проектов ГЧП на развитие региона

ГЧП способствует развитию региона, совершенствуя инфраструктуру и способствуя реализации социально-значимых проектов на территории субъектов Российской Федерации в условиях экономии бюджета региона, но насколько эффективно их распределение по сферам экономики с точки зрения экономической эффективности, невозможно сказать без проведения статистического анализа.

Поскольку реализация ГЧП-проектов осуществляется за счет частных инвестиций с привлечением дополнительного финансирования публичного партнера, то в качестве составляющих финансирования проектов необходимо рассматривать частные и бюджетные инвестиции. Кроме того, что ГЧП позволяет снизить нагрузку на бюджет, оно еще может способствовать более прогрессивному экономическому развитию региона. Один из основных показателей, характеризующих степень развития региона - валовый региональный продукт.

Цель данного исследования - проверить, какое финансирование (государственные расходы, в которые входят бюджетные инвестиции, или частные инвестиции) больше оказывает влияние на ВРП и какая связь существует между ними в зависимости от сферы экономики.

Для достижения данной цели будет использован такой статистический инструмент как коэффициент линейной корреляции Пирсона. Этот метод выявления связи был использован в исследовании Богдановой Е.Е. «Выявление факторов, влияющих на уровень жизни населения стран мира», показавшим, что более сильную связь с ВВП имеют такие факторы, как государственные расходы на образование, доступ к электричеству, индекс легкости ведения бизнеса, роды, принятые квалифицированным персоналом и минимальная заработная плата. Этот же метод был применен в работе Мишиной М.Ю. «Статистический анализ факторов роста валового регионального продукта Брянской области» при выявлении связи между ростом основных фондов, материальными оборотными средствами, производительностью труда и ВРП Брянской области. В исследовании Шеховцевой Л.С., Грушникова В.В. «Влияние инновационных факторов на развитие регионов России» с помощью коэффициента корреляции Пирсона оценивалось влияние объема инновационных товаров, работ и услуг и затрат на технологические инновации на ВРП. Данный метод было решено применить и в данной работе. . Линейный коэффициент корреляции Пирсона позволит оценить влияние государственных расходов и частных инвестиций на ВРП: между какими показателями зависимость больше и ее характер.

Для исследования были взяты следующие данные с 1999 года по 2013 год по городу Санкт-Петербург:

ВРП в текущих ценах, в тыс. рублей;

Государственные расходы, в тыс. рублей;

Иностранные инвестиции, в тыс. рублей;

Инвестиции в основной капитал, в тыс. рублей.. После проведения общего анализа взаимосвязи ВРП и других вышеупомянутых факторов, будут выявлена связь между ВРП и государственными расходами и инвестициями в основной капитал в таких сферах экономики Санкт-Петербурга, как:

Транспортная инфраструктура;

Социальная сфера (здравоохранение и образование);

Жилищно-коммунальное хозяйство.

Затем, когда станет ясно, какие расходы наиболее эффективны в данных отраслях, будет проведено противопоставление с реальной ситуацией в регионе - способствует ли распределение ГЧП-проектов по сферам в Санкт-Петербурге тем результатам, которые будут получены, будет выявлено насколько это распределение эффективно.

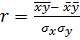
Линейный коэффициент корреляции Пирсона позволяет «установить прямые и обратные связи между переменными величинами по их абсолютным значениям и оценить их тесноту», находится в промежутке от -1 до 1 и рассчитывается по формуле:

 .

В данном случае в качестве xиy выступают два фактора (один из них для данного исследования - ВРП), между которыми выявляется связь.

Среднее значение  считается как деление суммы произведения значений переменных за соответствующие периоды (в данном исследовании статистические данные взяты за 1999-2013 гг., поэтому количество периодов, то есть, число наблюдений равно 15) на число наблюдений.


Среднее значение переменных и  рассчитывается как деление суммы значений переменных за все периоды на общее число периодов.

 

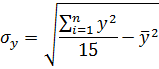
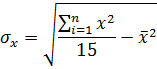
Дисперсии  и  учитывают отклонение значений переменных от их среднего значения и рассчитываются по формулам:


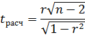
Чем ближе значение получившегося коэффициента к 1, тем теснее связь между рассматриваемыми переменными. Положительное значение коэффициента означает наличие прямой связи между переменными, отрицательное значение коэффициента - наличие обратной связи. Однако после получения коэффициента, необходимо проверить его значимость, обратившись к Таблице критических значений коэффициента Стьюдента (t-критерия)для различной доверительной вероятности p (уровень значимости) и числа степеней свободы f (n-2).

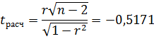
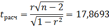
Для проверки коэффициента на значимость сравнивают два значения:  и .  вычисляется по формуле на основе уже известных значений:


 находится в Таблице критических значений коэффициента Стьюдента. Чаще всего берется 5% уровень значимости. В данном случае .

Если значит, коэффициент корреляции значим и действительно отражает сильную взаимосвязь между ВРП и другим рассматриваемым фактором.

Если , значит, коэффициент корреляции незначим и связи между переменными нет.

Источником всех данных является официальный сайт Федеральной службы государственной статистики, официальный сайт территориального органа Федеральной службы государственной статистики по городу Санкт-Петербургу и Ленинградской области, статистические сборники «Регионы России. Социально-экономические показатели <#"906923.files/image015.gif"> коэффициент является значимым:


, значит, коэффициент корреляции r=0,98 значим и действительно отражает сильную взаимосвязь между ВРП и государственными расходами.

Коэффициент корреляции между ВРП и иностранными инвестициями равен 0,93 (Приложение 3), а между ВРП и инвестициями в основной капитал - 0,92 (Приложение 4). Оба коэффициента являются значимыми.

Таким образом, между ВРП и государственными расходами и инвестициями есть тесная взаимосвязь. Теперь необходимо проверить, в каких именно отраслях данная связь проявляется наиболее сильно и для какого вида финансирования.

Транспортная инфраструктура.

Коэффициент корреляции для ВРП и государственных расходов на транспорт получился значимым и равен 0,95, что также говорит о сильной взаимосвязи двух этих показателей (Приложение 5).

Однако коэффициент корреляции между ВРП и инвестициями в основной капитал в сфере транспортной инфраструктуры оказался незначим ни при одном из уровней значимости (Приложение 6):


Нельзя однозначно сказать, что в данном случае это объективный показатель. Статистика показывает, что частные инвестиции на транспортную инфраструктуру значительно превышают государственные расходы на данную сферу. К тому же это та отрасль, которая требует больших вложений и где окупаемость инфраструктурных объектов занимает достаточно продолжительное время в силу того, что создание самих объектов довольно трудоемко. В Санкт-Петербурге данная сфера наиболее популярна и по этому направлению реализуется и планируется много крупных ГЧП-проектов. Отдача от них будет ощутима для экономики лишь по прошествии нескольких лет с момента начала эксплуатации данных объектов.

Таблица 2. Величина ВРП, государственных расходов и инвестиций в основной капитал в транспортной сфере, в тыс. руб.

Год

ВРП, в тек.ценах, тыс.руб.

Госрасходы на транспорт, тыс.руб.

Инвест в осн.К на транспорт, тыс.руб.

1999

134 354 000

3 096 648

29 807 520

2000

188 243 000

2 730 011

51 113 088

2001

251 654 000

3 149 559

101 144 875

336 692 000

3 019 626

22 997 068

2003

409 638 000

2 306 260

111 613 826

2004

542 359 000

3 705 921

71 506 119

2005

666 393 000

6 456 346

27 333 700

2006

825 102 000

9 696 318

31 501 600

2007

1 119 660 000

10 806 385

86 870 800

2008

1 431 840 000

29 370 103

106 915 000

2009

1 475 805 000

17 179 501

55 569 500

2010

1 699 486 000

23 084 856

34 146 200

2011

2 091 914 000

24 289 700

41 785 500

2012

2 280 426 000

31 187 634

35 740 100

2013

2 496 549 000

35 971 579

52 511 800

Сумма

15 950 115 000

206 050 445

860 556 696


Социальная сфера (здравоохранение и образование).

Ситуация в социальной сфере получилась абсолютно обратная: коэффициент корреляции между ВРП и государственными расходами незначим (Приложение 7), в то время как между ВРП и частными инвестициями данную связь можно охарактеризовать как заметную согласно шкале Чеддока - r=0,53 (Приложение 8).

Таблица 3. Величина ВРП, государственных расходов и инвестиций в основной капитал в социальной сфере, в тыс. руб.

Год

ВРП, в тек ценах, тыс.руб.

Госрасходы на соц.сферу, тыс.руб.

Инвест в осн. К на соц.сферу, тыс.руб.

1999

134 354 000

7 456 985

20 514 600

2000

188 243 000

9 760 802

199 114 100

2001

251 654 000

11 372 261

56 277 400

336 692 000

17 820 144

60 523 200

2003

409 638 000

21 543 407

89 808 400

2004

542 359 000

28 717 985

105 613 200

2005

666 393 000

48 858 063

2 173 700

2006

825 102 000

60 600 032

4 185 600

2007

1 119 660 000

77 147 976

10 574 900

2008

1 431 840 000

110 567 191

15 354 000

2009

1 475 805 000

112 243 291

18 178 300

2010

1 699 486 000

135 418 769

21 912 000

2011

2 091 914 000

152 390 534

15 443 300

2012

2 280 426 000

132 286 145

15 814 500

2013

2 496 549 000

151 501 466

12 905 100

Сумма

15 950 115 000

1 077 685 050

648 392 300


С одной стороны, данный коэффициент можно проинтерпретировать подобно ситуации в социальной сфере и объяснить отсутствие взаимосвязи ВРП и государственными расходами тем, что государственные расходы довольно велики. Но, с другой стороны, влияние инвестиций в основной капитал на социальную сферу велико говорит о том, данный вид финансирования с точки зрения экономики наиболее эффективен.

Жилищно-коммунальное хозяйство.

В сфере жилищно-коммунального хозяйства все коэффициенты оказались значимыми. Коэффициент корреляции между ВРП и государственными расходами равен 0,85 (Приложение 9), между ВРП и инвестициями в основной капитал чуть меньше - 0,72 (Приложение 10).

По статистическим данным же видно, что в целом государственные расходы на данную сферу по сравнению с частными инвестициями оказались почти в 5 раз больше, а коэффициент корреляции отличается не намного. Таким образом, можно сказать, что инвестиции в основной капитал в сферу ЖКХ способствуют большему приросту к ВРП в Санкт-Петербурге.

Таблица 4. Величина ВРП, государственных расходов и инвестиций в основной капитал в сфере ЖКХ, в тыс. руб.

Год

ВРП, в тек.ценах, тыс. руб.

Госрасходы на ЖКХ, тыс.руб.

Инвест в оснК на ЖКХ, тыс.руб.

1999

134 354 000

3 440 071

1 110 814

2000

188 243 000

6 143 906

1 220 294

2001

251 654 000

1 807 746

2002

336 692 000

10 383 149

2 585 564

2003

409 638 000

12 459 933

3 384 316

2004

542 359 000

11 123 309

7 158 060

2005

666 393 000

34 045 199

11 314 100

2006

825 102 000

52 493 290

10 561 200

2007

1 119 660 000

72 393 272

9 773 600

2008

1 431 840 000

97 545 587

19 093 000

2009

1 475 805 000

57 545 796

18 784 500

2010

1 699 486 000

65 848 615

14 592 200

2011

2 091 914 000

72 126 019

12 928 900

2012

2 280 426 000

75 138 562

8 950 900

2013

2 496 549 000

67 050 042

13 154 600

Сумма

15 950 115 000

644 905 854

136 419 794


В Таблице 5 сведены и интерпретированы полученные результаты.

Таблица 5. Линейные коэффициенты корреляции Пирсона (ВРП)

Фактор

Значение коэффициента

Связь (по шкале Чеддока)

Госрасходы

0,98

весьма высокая

Приток К

0,93

весьма высокая

Инвест в осн К

0,92

весьма высокая

Госрасходы (транспорт)

0,95

весьма высокая

-

-

Госрасходы (соц.сфера)

-

-

Инвест в осн К (соц.сфера)

0,53

заметная

Госрасходы (ЖКХ)

0,85

высокая

Инвест в осн К (ЖКХ)

0,72

высокая


Итак, вначале было доказано, что между ВРП и государственными расходами и инвестициями существует тесная взаимосвязь. Затем было выявлено, в каких именно сферах ГЧП данная взаимосвязь наиболее существенна. Оказалось, что в сфере транспорта на данный момент трудно оценить объективно, поскольку в Санкт-Петербурге это долгосрочные проекты, отдача от которых произойдет нескоро в силу того, что с момента начала строительства таких объектов до начала их эксплуатации пройдет долгий период, а объем инвестиций в эту сферу довольно значительный.

В социальной сфере, как оказалось, наиболее экономически эффективными оказались инвестиции в основной капитал, чем государственные расходы. А в сфере ЖКХ связь с ВРП сильна как с государственными расходами, так и с частными инвестициями.

. Рекомендации и дальнейшие направления исследования. Транспортная инфраструктура


ВРП и госрасходы

ВРП и инвестиции в основной К

Коэф.корреляции

0,98

-


Для того чтобы понять, насколько реальная ситуация соответствует полученным результатам и какие рекомендации можно дать в плане реализации ГЧП в данной сфере, необходимо сделать обзор проектов, которые реализуются или планируются в Санкт-Петербурге и каких объемов инвестиций это требует.

. Западный скоростной диаметр

Общая стоимость - 212,7 млрд.руб.

Частные инвестиции - 107,863 млрд.руб.

. Реконструкция аэропорта «Пулково»

Общая стоимость - 1,2 млрд.евро.

Частные инвестиции - более 1 млрд.евро.

. Высокоскоростная железнодорожная магистраль Москва - Санкт-Петербург

Общая стоимость - 350 млрд.руб. - 1 трлн.руб.

Частные инвестиции - 25% от общей стоимости.

. Система легкорельсового транспорта «Надземный экспресс»

Общая стоимость - 33 млрд.руб.

Частные инвестиции - 40% от общей стоимости.

Таким образом, частные инвестиции составляют значительную часть в общем объеме стоимости крупных проектов в сфере транспортной инфраструктуры на территории Санкт-Петербурга.

Кроме того, развитие транспортной инфраструктуры в таком городе, как Санкт-Петербург тесно сопряжено с развитием туризма. Поэтому в качестве направления дальнейшего исследования можно изучить связь между развитием инфраструктуры города и развитием туризма. Как уже говорилось ранее, влияние строительства и эксплуатации крупных инфраструктурных проектов на рост ВРП региона проявится только спустя несколько лет после завершения строительства объектов. Количество реализованных и реализовываемых ГЧП-проектов в сфере транспортной инфраструктуру с привлечением большого объема частных инвестиций можно считать большим достижением города и показателем создания хорошей институциональной среды.

государственный партнерство инвестиция

Социальная сфера


ВРП и госрасходы

ВРП и инвестиции в основной К

Коэф.корреляции

-

0,53


Согласно полученным результатом, наиболее целесообразным представляется дальнейшее стимулирование частных инвесторов к участию в ГЧП-проектах социальной сферы, увеличение числа ГЧП-проектов в данной отрасли. Несмотря на то, что большие государственные расходы на социальную сферу оправданы социальной ответственностью государства перед обществом, частные инвестиции оказывают большее влияние на экономическое развитие региона. Однако ввиду специфичности данной сферы развитие ГЧП должно проходить под контролем государства.

Жилищно-коммунальное хозяйство


ВРП и госрасходы

ВРП и инвестиции в основной К

Коэф.корреляции

0,85

0,72


Государственные расходы и инвестиции в основной капитал на ЖКХ, как показывают результаты, положительно и тесно связаны с ростом ВРП. Поэтому можно сказать, что применение ГЧП в данной отрасли является наиболее экономически эффективным.

При дальнейших исследованиях необходимо обратить внимание не только на взаимосвязь между факторами, но и оценить мультипликативный (синергетический) эффект, рассчитав мультипликаторы государственных расходов и инвестиций и умножив их на соответствующие виды инвестиций - государственные и частные.

Поскольку ГЧП присущ данный эффект, измерить реальное его воздействие на экономику достаточно сложно. Сложность эта проявляется не только в том, что на результат влияют дополнительные факторы, которые, в свою очередь, могут быть активированы применением других государственных инструментов стимулирования экономики, но и тем, что ГЧП проекты долгосрочны как в плане сроков и окупаемости, так и непосредственно отдачи (как в случае с транспорной инфраструкторой, например). Кроме того, для определения данного показателя на данный момент главное ограничение состоит в недостаточной базе данных, предоставляемой Федеральной службой государственной статистики.

Литература

Лихачев В., Азанов М. Практический анализ современных механизмов государственно-частного партнерства в зарубежных странах, или Как реализовать ГЧП в России // Совет Федерации Федерального Собрания Российской Федерации / Коллект. авторов. М.: Издательство журнала «Финансы, экономика, безопасность. 2009. С. 12-20.

Лихачев Н.А. Зарубежный опыт частно-государственного партнерства // Социально-экономические явления и процессы. 2011. № 5-6 (027-028). С. 134-143.

Мамченко О.П., Долженко И.А. Экономическая сущность и роль государственно-частного партнерства в реализации региональной экономической политики // Известия Алтайского Государственного Университета. 2010. № 2 (66). С. 245-249.

Панова Т.В. Становление государственно-частного партнерства в России: содержание и формы // Экономические науки. 2014. № 6 (115). С. 22-25.

Петрикова Е.М., Корзина Е.А. Возможности региональных и местных бюджетов по реализации проектов государственно-частного партнерства // Финансы и кредит. 2011. № 25 (457). С. 41-47.

Рожкова С. Анализ мирового опыта использования государственно-частного партнерства в различных отраслях экономики // Инвестиции в России. 2008. № 1 (352). С. 49-54.

Сазонов В.Е. Преимущества, недостатки и риски государственно-частного партнерства // Вестник РУДН. 2012. № 3. С. 101-109.

Сидоренко Е.Н. Государственно-частное партнерство в период модернизации российской экономики // Наука и современность: сборник статей Международнойнаучно-практической конференции (8 ноября 2014 г. Уфа). Уфа.: РИО МЦИИ «ОМЕГА САЙНС».2014. С. 149-158.

Сухих В.А., Руденко М.Н., Оборина Е.Д. Государственно-частое партнерство: опыт России и Германии // Вестник Пермского университета. Экономика. 2013. № 3 (18). С. 33-37.

Хлебников К.В. Механизмы взаимодействия власти и бизнес-структур в реализации региональных стратегий развития: Автореф. дис. … канд. эк. наук. / Сектор исследования региональной политики и местного самоуправления Центра исследований федеративных отношений ФГБУН Институт экономики РАН: М. 2012. 22 с.

Шадрина Е.В., Виноградов Д.В. Государственно-частное партнерство как форма организации бизнеса // Вопросы государственного и муниципального управления. 2012. № 4. С. 5-19.

Шадрина Е.В., Виноградов Д.В. Законодательство о ГЧП: экономическое обоснование и мировая практика // Вопросы государственного и муниципального управления. 2013. № 4. С. 166-190.

Шеховцева Л. С., Грушников В. В. Влияние инновационных факторов на развитие регионов России // Вестник Балтийского федерального университета им. И. Канта. 2013. Вып. 3. С. 124-129., R., Kiechel, J.R., Sebbag, R. &Pecoul, B. (2011). Innovative public-private partnerships to maximize the delivery of anti-malarial medicines: lessons learned from the ASAQ Winthrop experience. MalariaJournal, 10(143)., R. J., Triebcock, J. Private Provision of Public infrastructure: an organizational analysis of the next privatization frontier // University of Toronto Law Journal. 1996. P. 375.

Приложения

1. Таблица значений критерия Стьюдента (t-критерия)



2. Расчеты коэффициента корреляции между ВРП и государственными расходами



3. Расчеты коэффициента корреляции между ВРП и иностранными инвестициями.



4. Расчеты коэффициента корреляции между ВРП и инвестициями в основной капитал.


5. Расчеты коэффициента корреляции между ВРП и государственными расходами на транспортную инфраструктуру.


6. Расчеты коэффициента корреляции между ВРП и инвестициями в основной капитал на транспортную инфраструктуру.

. Расчеты коэффициента корреляции между ВРП и государственными расходами на социальную сферу.

. Расчеты коэффициента корреляции между ВРП и инвестициями в основной капитал на социальную сферу.

. Расчеты коэффициента корреляции между ВРП и государственными расходами на ЖКХ.



10. Расчеты коэффициента корреляции между ВРП и инвестициями в основной капитал на ЖКХ.

Похожие работы на - Оценка влияния государственно-частного партнерства на развитие города на примере Санкт-Петербурга

 

Не нашли материал для своей работы?
Поможем написать уникальную работу
Без плагиата!
Без нейросетей!