Детерминанты эффективности сделок
Введение
За последние несколько лет количество и стоимость
сделок слияний и поглощений как в мире, так и в России заметно увеличилось.
Особенно это заметно на развивающихся рынках, что связано с высоким ростом ВВП,
глобализацией, большим объемом свободных денежных средств у инвесторов, а также
с расширением влияния международных компаний. По данным консалтинговой компании
Clifford Chance, за последние десять лет объем сделок на
развивающихся рынках вырос со 150 млрд. долларов США в 2004 году до 850 млрд. долларов
США в 2014 году. Что касается объема глобального рынка M&A, за
тот же период он увеличился почти в два раза с 2,1 млрд. до 4,1 млрд. долларов
США. Это говорит о том, что доля сделок приобретений на развивающихся рынках
значительно увеличилась. Более того, такие компании, как KPMG, EY прогнозируют увеличение объемов данных сделок в дальнейшем.
Сделки по слияниям и поглощениям проводятся, в
частности, для получения синергии от объединенной компании. Наличие синергии,
либо других выгод, которые перекрывают затраты на получение данных выгод
является показателем успешности сделки. На данный момент этой теме посвящено
большое количество исследований, однако эта проблема до сих пор имеет большое
количество вопросов. Например, часть исследователей пришли к выводам, что такие
сделки ведут к улучшению финансовых показателей приобретаемой компании. (Asimacoupoulos, 2013; Beitel, 2004; De Long, 2011). Однако, что касается
компании-покупателя, ситуация является спорной: малая часть исследователей
доказала, что компания-покупатель выигрывает от сделки. (Kirchhoff, 2006), в то время, как большинство
работ (Asimacoupoulos, 2013; De Long, 2001; Williams, 2008), говорят о том, что стоимость компании-покупателя при сделке M&A снижается. Это связано, прежде всего, с тем, что в этих
исследованиях используются различные методы измерения эффективности и
предпосылки. Таким образом, существуют различные детерминанты, которые влияют
на эффективность сделки.
Данная тема является актуальной, поскольку, как было
сказано выше, объемы сделок по слияниям и поглощениям растут с каждым годом и
данное направление исследования становится достаточно популярным, поскольку
нужно узнать, в чем успех эффективного поглощения. Кроме того, достаточно
большое количество развивающихся рынков на данный момент являются
неисследованными, что предоставляет дальнейшим исследованиям достаточно большое
поле для работы. Еще одним фактором в пользу актуальности данной темы является
тот факт, что многие из детерминант эффективности являются достаточно спорными,
что говорит о необходимости искать все новые и новые зависимости и менять
предпосылки, чтобы понять, как все-таки работает эта система.
Научная новизна данной работы заключается в том, что
данная работа посвящена странам юго-западной Азии (ASEAN). Данный регион является малоисследованным, что
открывает перед исследователями огромное поле для деятельности. Кроме того, в
данной работе используется метод, который мало используется в других
исследованиях. Еще одним фактором в пользу научной новизны является использование
в исследовании в качестве основных переменных таких показателей, как
институциональная и культурная близость стран, в которых расположены
компания-покупатель и компания-цель
Целью данной работы является определение того, каким
образом институциональные и культурные различия между страной
компании-покупателя и компании-цели влияют на эффективность сделки по слиянию.
Для достижения данной цели поставлены следующие
задачи:
. Провести обзор литературы по исследованию
эффективности сделок M&A. Выявить основные детерминанты,
которые используются в исследованиях, включая контрольные переменные;
. Выбрать метод измерения эффективности сделки;
. Выбрать данные для анализа;
. Выбрать детерминанты для построения модели.
Сформулировать гипотезы для исследования;
. Построить модель, протестировать ее на
выбранных данный, интерпретировать полученные результаты
Предметом исследования в данной работе являются
факторы, которые оказывают влияние на создание стоимости компаний в сделках
слияний и поглощений, а в частности, факторы, которые определяют культурные и
институциональные различия между странами компаний-покупателя и цели
Объектом данного исследования являются сделки по
поглощениям. В качестве данных были выбраны транснациональные сделки за
последние 7 лет, покупателем в которых выступают компании из стран
Юго-Восточной Азии.
Работа состоит из введения, трех глав, заключения,
списка использованной литературы, а также приложений.
Во введении показана основная информация о данной
работе: поставлена цель и задачи, описана новизна и актуальность данной темы,
представлена структура работы.
В первой главе проведен анализ существующей
литературы, посвященной эффективности слияний и поглощений и различным
факторам, влияющим на данную эффективность. Рассматриваются различные методы
измерения эффективности сделок, описываются их достоинства и недостатки.
Факторы, влияющие на эффективность, были сгруппированы по типам. Также среди
данных факторов были описаны и те, которые являются определяющими в данном
исследовании. Помимо вышеперечисленного, в главе описаны мотивы совершения
сделок, на которых отчасти основаны переменные
Вторая глава посвящена описанию методологии, которая
используется для анализа данных в данном исследовании. Помимо методологии в
данной главе обозначены основные гипотезы, а также их теоретическое
обоснование, а также описаны данные, которые анализируются в работе
В третьей главе проведено само исследование,
основанное на методологии и данных из второй главы. Определены факторы, которые
имеют значимое влияние на эффективность сделок по поглощениям. Результаты
проинтерпретированы
В заключении представлены основные результаты
проделанной работы
В приложениях раскрыты основные таблицы, относящиеся к
построенным моделям
Глава 1. Эффективность сделок M&A и ее детерминанты
.1 Мотивы слияний
Сделки по слиянию и поглощению компаний проводятся по
различным причинам, часть из которых перечислены ниже. Данный список не
является исчерпывающим, однако, на взгляд автора работы, включает в себя
основные мотивы для слияний компаний:
Получение эффекта синергии - этот эффект происходит
из-за появления таких последствий, как экономия на масштабе, расширение рынков
сбыта, уменьшение конкуренции, использование нематериальных активов и НИОКР
поглощаемых компаний. Кроме того, синергия может проявляться в вертикальной
интеграции. В данном случае стоимость компании, которая контролирует
производственную цепочку будет немного выше, чем компании по отдельности,
поскольку самостоятельно может контролировать спрос на комплементарные блага,
из которых сама создает более сложные. Также фирма может контролировать
своевременную поставку этих комплементарных товаров. Таким образом стремление к
эффекту синергии обуславливается прежде всего снижением издержек и повышением
эффективности работы бизнеса, что теоретически должно приводить к увеличению
доходности объединенной компании по сравнению с отдельными фирмами, что в свою
очередь приводит к повышению эффективности сделки
Также при слияниях и поглощениях можно выделить такие
мотивы, которые не связанны с издержками, такие как получение налоговых льгот,
монополизация рынка, диверсификация, а также такая схема как продажа купленной
компании по частям с большей выгодой, чем она была приобретена, как часто
поступают рейдеры.
Особенно стоит отметить теорию гордыни в качестве
одного з мотивов для поглощения компании. Данная теория была сформирована
Ричардом Роллом (Roll, 1986), и далее получила развитие в работах (Hayward and
Hambrick, 1997), (Chatterjee and Hambrick, 2007), (Malmendier and Tate, 2008),
(Aktas et al., 2014). Данная теория состоит в том, что когда менеджеры проводят
успешное поглощение одной компании, в поиске новой цели для поглощения они
могут выбрать компанию, которая на самом деле не является подходящей и не
принесет тех благ, в которые верит менеджер. Таким образом, сделка будет
неэффективной.
Кроме выгод для акционеров существуют также выгоды,
которые приобретает менеджмент компании, такие как избежание враждебного
поглощения (и смены менеджмента в дальнейшем), азарт менеджмента. Таким образом
возникает конфликт интересов между менеджментом и собственниками со всеми
вытекающими отсюда последствиями вроде оппортунистического поведения, агентских
издержек.
.2 Измерение эффективности сделки M&A
сделка поглощение слияние
Для измерения эффективности существуют различные
подходы, которые можно разделить на четыре категории:
. Рыночный подход (анализ аномальных
доходностей);
. Операционный подход (анализ финансовых
показателей компании);
. Разбор конкретных ситуаций (case study).
Эти методы применяются в разных условиях, которые
зависят от ситуации. Например, если акции компании котируются на рынке, можно
использовать метод аномальных доходностей, в обратном случае у исследователя не
будет информации о том, как оценивает компанию рынок. Если компаний в выборке
достаточно много, будет сложно проводить опрос менеджеров, а также будет сложно
оценивать сделки в рамках case study. В данной
работе рассматриваются два подхода: рыночный и операционный.
Рыночный подход связан, прежде всего, с тем, как рынок
реагирует на решение об объединении компаний. В данном случае рассматривается
такой фактор, как аномальная доходность акций компании на момент объявления о
вступлении в сделку, проведении сделки, а также в течение некоторого времени
после совершения сделки.
Этот метод называется методом событий (Dolley, 1933). В данном случае измеряется
изменение курса акции в текущем периоде по отношению к предыдущему периоду в
процентном измерении. Для анализа чаще всего используются такие показатели как CAR (Cumulative Abnormal Return) и BHAR (Buy and Hold Abnormal Return). Первый показатель используется для измерения
аномальной доходности в краткосрочном периоде, второй - для измерения
аномальной доходности в долгосрочном периоде.
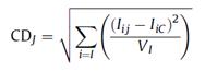
Для расчета показателя CAR используется следующая формула:
ARi,t = Rit - (α +
βi * Rmt),
где Ri,t = Pi,1 - Pi,0;m,t
= Pm,1 - Pm,0;= ∑ARi,t
В качестве аномальной доходности используется разница
между доходностью компании в текущем периоде и доходностью, рассчитанной в
соответствии с моделью CAPM.
Затем, для вычисления накопленной аномальной доходности, аномальная доходность
за текущий период складывается с аномальной доходностью за прошедшие периоды.
Помимо данного метода, существует также метод BHAR, который так же отражает накопленную
аномальную доходность, но в долгосрочном периоде.
Данная доходность рассчитывается как разница между
произведением ростов доходностей в выбранном окне событий и произведением
ростов доходностей компании в соответствии с CAPM. Формула для расчета BHAR выглядит следующим образом:
BHARi,τ = ∏ (1+ Ri,t) - ∏ (1+ Rcapm,t)
Таким образом данный показатель показывает, какую
доходность принесет акция компании, если ее купить в момент начала окна и
продать в момент окончания окна событий.
Данный метод имеет свои преимущества и недостатки. К
числу преимуществ можно отнести то, что он показывает непосредственно влияние
события на цену акций компании, таким образом, оно позволяет оценить, как
реагирует рынок на объявление о сделке слияния или поглощения. Однако, следует
отметить, что главной предпосылкой для данного метода является эффективность
рынков. Поскольку рынки неэффективны, цены акций могут отражать неполную
информацию о компании и рынок может как недооценить, так и переоценить компанию
и влияние сделки на ее стоимость. Еще одним недостатком является то, что
реакция рынка может учитывать помимо информации о сделке слияния еще и прочую
информацию не связанную с данным событием. В этом случае возникает сложность с
выбором окна событий для исследования, поэтому исследователи используют
различные окна. При использовании данного метода показателем эффективности
сделки будет являться реакция рынка на объявление о сделке.
Еще одним методом измерения эффективности сделки
является измерение операционных показателей компаний до и после проведения
сделки. В качестве индикатора в данном случае могут выступать различные
показатели эффективности, которые определяются в зависимости от введенных
исследователем предпосылок. Так, например, в статье (Григорьева и Троицкий, 2012),
в качестве показателя эффективности сделки рассматривается показатель EBITDA/Sales, поскольку данный показатель в отличие от показателя
чистой прибыли не зависит от способа финансирования и учета приобретений и не
искажает результаты. Помимо этого, данный показатель является показателем
маржинальности продаж, поскольку показывает, насколько большой является доля
издержек в выручке. Данный показатель применяется так же и в ряде других работ
по развитым и развивающимся рынкам капитала (Healey et al.,1992; Ghosh,
2001). Помимо показателя валовой прибыли до вычета амортизации к выручке
существуют также множество других показателей. Так, в статье (Yen and Andre, 2013) используется такой показатель, как OCFR (Operating Cash Flow Return), который рассчитывается как разницы операционного
денежного потока в текущем и прошедшем периодом, разделенная на операционный
денежный поток прошлого периода. Помимо этого, данный показатель нормируется на
показатель отрасли, размера компании и получается скорректированная доходность
операционного денежного потока. В качестве текущего и прошлого периода
используются потоки после поглощения и до поглощения соответственно, причем,
для анализа за прошлый период берется медианное значение операционного
денежного потока за три года до приобретения, а за текущий период - медианное
значение операционного денежного потока после приобретения. Данный метод
применяется в таких работах как (Powell and Stark, 2005; Rahman and Limmack,
2004), где также тестируется регрессионная модель, в которой рассматривается
операционная деятельность компании и оценивается доходность операционного
денежного потока, сгенерированная в рамках сделки по слиянию компаний. Методы,
основанные на измерении изменения операционного денежного потока используются для
того, чтобы избежать смещения результатов из-за налогового арбитража, либо
метода составления отчетности. Также используются такие показатели как
отношение операционного денежного потока к рыночной стоимости компании (OCF/MV), отношение валовой прибыли до вычета амортизации к
балансовой стоимости компании (EBITDA/BV) (Narayan and Thenmozhi, 2014).
Помимо показателей операционного денежного потока,
используются такие показатели операционной эффективности, как рентабельность
продаж, доходность активов, доходность капитала компании и доходность
собственного капитала (Herman and Lowenstein, 2008; Sharma and Ho, 2002).
При исследовании эффективности сделки с помощью
операционного метода так же как и при рыночном используются окна событий,
которые выбираются исследователями в соответствии с предпосылками и гипотезами.
Все перечисленные исследования пришли к выводу о том,
что сделки M&A приводят к созданию стоимости для компании-цели, однако
относительно создания или разрушения стоимости приобретающей компании существуют
разногласия. Чаще всего эти работы не учитывают влияние различных факторов на
успешность слияния, хотя упоминают, что успешность сделки зависит от разных
условий, таких как размер сделки (Loderer, Martin, 1990), враждебность сделки
(Goergen, Renneboog, 2004), публичность компании цели и способ оплаты (Martynova et al., 2008).
Существуют исследования, которые включают в себя и
рыночный и операционный методы (Ho-Mou Wu, 2009). Данное исследование проведено на данных по 1363
сделкам слияний и поглощений на Шанхайской фондовой бирже за период между 2004
и 2005 годами. Помимо самой эффективности исследователи рассматривают также
некоторые факторы: стадию делового цикла рынка и структуру собственности
компании-покупателя.
Для анализа в данной работе был выбран показатель
накопленной аномальной доходности в краткосрочном периоде (CAR). При этом мы вводим предпосылку о
том, что рынки являются эффективными, а цены акций действительно являются
отражением дисконтированных будущих денежных потоков от деятельности фирмы.
1.3 Основные детерминанты
эффективности сделок M&A
Различные показатели могут оказывать влияние на то,
будет сделка по слиянию успешной или нет. Их можно разделить на несколько
категорий. Автор данной работы разделяет их на три группы:
. операционные показатели;
. факторы корпоративного управления;
. внешние факторы
К операционным показателям относятся показатели,
непосредственно, характеристики компании-покупателя и компании-цели. К ним
также относятся условия сделки, условия оплаты. К факторам корпоративного
управления относится все, что связано с корпоративным управлением
компании-покупателя: характеристики совета директоров, публичность компании,
структура собственности. К внешним факторам относятся те показатели, которые не
вошли в первые две группы. Они включают в себя также макроэкономические
показатели.
.3.1 Операционные показатели
Наиболее распространенным фактором эффективности
сделок слияний и поглощений в исследованиях является размер компании. Этот
фактор включает в себя 2 показателя: размер компании-покупателя и размер сделки
(размер компании цели плюс премия за контроль). Также используется показатель
отношения размера сделки к стоимости компании-покупателя.
С точки зрения теории, чем больше компания-покупатель,
тем легче ей осуществить сделку по слиянию: компания обладает большими
ресурсами. Что касается размера сделки, то здесь возникает диаметрально
противоположная ситуация: чем меньше приобретаемая компания, тем легче ее
поглотить (Anskinger et al., 1996). Кроме того, слишком большая стоимость сделки может
говорить о достаточно большой переплате за компанию, это может быть причиной
такого явления, как «теория гордыни Ролла» (Roll, 1986). Данная теория подразумевает, что при слиянии
компаний покупатель платит больше, чем он получит синергии от слияния. Таким
образом, премия, которую выплачивает компания-покупатель выше, чем выгоды. Это
ведет в разрушению стоимости компании-покупателя.
С эмпирической точки зрения, ситуация неоднозначна.
Например в работе (Bhagat, et al. 2011), где исследуется влияние
различных факторов на эффективность слияний компаний из развивающихся стран
(БРИКС, Малайзия, Мексика, Филиппины), используются показатель размера сделки и
относительного размера сделки. Первый из этих показателей оказывает
отрицательное влияние на эффективность, что подтверждает теоретическое
обоснование. Что касается относительного размера сделки, то в данном случае он
имеет положительное влияние на эффективность сделки. Данные показатели
позволяют нам сделать вывод, что для такого соотношения показатель размера
компании-покупателя должен оказывать еще более негативное влияние на
эффективность сделки, чем сама сумма сделки. Эту гипотезу подтверждает
исследование, проведенное на основе сделок слияний и поглощений в Европе
(Martynova and Renneboog 2008). Модель в данном исследовании включает в себя
переменную размера компании-покупателя, которая отрицательно влияет на
аномальную доходность компании после слияния. Однако, исследования, проведенные
по сделкам в Китае (Ryu and
Lee, 2009) на основе операционных показателей компании (доходность
инвестированного капитала) и в банковском секторе стран БРИКС (Григорьева и
Гринченко, 2013) на основе рыночного анализа (CAR), дают совершенно противоположные результаты по
данной гипотезе: размер компании-покупателя положительно влияет на
эффективность слияния. Так, в статье Григорьевой и Гринченко данный показатель
оказался значимым для Южной Африки. Что касается размера сделки, то в данной
статье авторы приходят к различным выводам для разных стран: положительное
влияние для Китая и Бразилии и отрицательное влияние для Южной Африки. Авторы
работы объясняют эти результаты как следствие наличия относительно небольшого
количества субъектов на финансовых рынках, которые при слиянии получают большую
часть рынка и повышают свою конкурентоспособность. В случае с Южной Африкой,
тут ситуация, когда издержки превышают эффект синергии, что подтверждает теорию
гордыни Ролла
Что касается относительного размера сделки, ситуация
также неоднозначна: в работе (Du, Boateng 2014) исследуется влияние этой
переменной на эффективность слияний и поглощений в Китае. На основе
регрессионной модели авторы делают выводы и положительном влиянии
относительного размера сделки. Григорьева и Морковин (Grigorieva and Morkovin, 2014), также приходят к выводу о
том, что относительный размер сделки положительно влияет на эффективность
слияний компаний из стран БРИКС: влияние значимо для операционной эффективности
в долгосрочном периоде (BHAR).
В статье (Narayan, Thenmozhi 2014), авторы ставят гипотезу о том, что
относительный размер сделки должен отрицательно влиять на эффективность,
поскольку, в случае, если покупатель покупает компанию-цель используя заемные
средства, это приводит к увеличению вероятности компании стать финансово
нестабильной, а следовательно, большее давление оказывается на операционные
показатели компании после слияния. Кроме того, по мнению авторов статьи, в
данном случае также возникает ситуация с теорией гордыни Ролла. В исследовании
(Dunn et al., 2014), проведенном на американском рынке слияний в
банковском секторе, авторы приходят к различным выводам относительно данного
вопроса. В разных моделях знак коэффициента перед переменной относительного
размера различается. Авторы строили модели для различных комбинаций сделок по
тому, были ли они инициированы в кризис, были ли они закрыты в кризис, либо в
кризис произошло и то и другое. В статье (Zhou et al., 2012) используются две модели для оценки влияния
детерминант эффективности на Китайском рынке в период между 1998 и 2004 годами:
краткосрочная и долгосрочная. В краткосрочной модели относительный объем сделки
оказывает положительное влияние на эффективность, в то время как в долгосрочном
- отрицательное. Однако такие исследования, как (Dakessian and Feldmann, 2013; Nocholson and Salaber, 2013; Nurhazrina, 2013; Rahahleh and Wei, 2012; Rahim et al., 2013) пришли к совершенно
противоположным выводам: стоимость сделки относительно стоимости
компании-покупателя имеет отрицательное влияние на эффективность сделки по
слиянию на краткосрочном периоде. Разница между результатами обусловлена
спецификой стран, которые были исследованы, различными выборками, а также
различными временными интервалами, взятыми для исследования.
Следующим немаловажным и часто применяемым в
исследованиях фактором является метод платежа. Существуют несколько методов,
используя которые компания-покупатель может расплатиться с продавцами
компании-цели: денежные средства, выпуск акций, комбинация денежных средств и
акций. Конечно, денежные средства можно также разделить на две группы: денежные
средства компании и заемные денежные средства, однако, авторы исследований
рассматривают их в совокупности. В случае оплаты денежными средствами,
компания-покупатель передает денежные средства за пакет акций компании-цели ее владельцам.
В случае с выпуском акций, компания-покупатель проводит эмиссию этих ценных
бумаг, затем расплачивается с владельцами компании-цели своими же акциями в
соответствии с паритетом. В этом случае владельцы компании-цели становятся
совладельцами компании-покупателя
Оплата сделки с помощью наличных является достаточно
ликвидным инструментом в отличие от выпуска акций, на который фирма должна
потратить время, а также деньги на регистрацию и сопровождение операции по
размещению ценных бумаг. Более того, если компания-покупатель расплачивается
денежными средствами, она берет все риски по приобретению компании-цели на
себя: в случае, если предприятие станет нестабильным, потери несут владельцы
компании-покупателя, в то время, как в случае с выпуском акций, риски
неудачного слияния распределяются между владельцами и покупателя и цели. Таким
образом, у владельцев компании-покупателя больше стимулов правильно оценивать
все издержки и эффект синергии от консолидации. Следовательно, если платеж был
произведен с помощью наличных, больше вероятность того, что слияние будет
эффективным.
Все, найденные автором данной работы статьи
подтверждают данную гипотезу о том, что наличность как метод платежа
положительно влияет на эффективность слияния. В работах вводится дамми-переменная,
которая принимает значение 1, если оплата сделки производилась с помощью
наличных и 0, если оплата производилась иным способом, в частности, с помощью
выпуска акций. Так, в статье Григорьевой и Гринченко гипотеза о том, что способ
платежа положительно влияет на эффективность не отвергается для Бразилии и
Индии на 5% уровне значимости и для Китая на 10% уровне значимости. (Григорьева
и Гринченко, 2013). К тем же выводам приходят исследователи из Китая (Chi et al., 2011; Du and Boatneg, 2014; Zhou et al., 2012), где гипотеза подтверждается
как для внутри-страновых слияний, так и для международных слияний. То же самое
было подтверждено для Индийских фирм (Nicholson and Salaber, 2013) и
для банковского сектора США (Dunn et al., 2014). Таким образом, в вопросе о
влиянии метода платежа на эффективность M&A
сделок противоречий найдено не было.
Еще один операционный фактор - прибыльность
компании-покупателя до слияния. В данном случае исследователи выделяют такие
показатели как рентабельность активов (ROA) и рентабельность собственного капитала (ROE). Также в некоторых исследованиях
используется такой показатель как рентабельность инвестированного капитала (ROIC). Прибыльные фирмы имеют достаточное
количество ресурсов для инвестиций, способны получать выгоды от экономии на
масштабе капитала, которые приводят к повышению стоимости фирмы. Таким образом,
с точки зрения теоретического обоснования, чем прибыльнее компания-покупатель
до слияния, тем более прибыльным будет и консолидированное предприятие, что положительно
скажется на его стоимости, и, следовательно, тем эффективнее сделка
Данная гипотеза подтверждается в работе (Dakessian and Feldmann, 2013) на данных по слияниям и
поглощениям в Латинской Америке (Аргентина, Чили, Бразилия, Мексика, Перу,
Венесуэла). Коэффициент положительный и оказался значимым на всех уровнях
значимости. Также гипотеза подтверждена в работе Григорьевой и Гринченко
положительная зависимость на 1% уровне значимости выявлена для компаний из
Южной Африки. Остальные коэффициенты оказались незначимыми. (Григорьева и
Гринченко, 2013)
Однако есть статьи, где гипотеза о том, что
операционная эффективность компании-покупателя до слияния имеет положительное
влияние на эффективность слияния отвергается. Так, например, в статье Ду и
Боатенга коэффициент при переменной операционной эффективности оказался
отрицательным и значимым (Du and Boateng, 2014). Данный результат был неожиданным для авторов
статьи, поскольку изначально была сформулирована гипотеза о положительном
влиянии показателя на эффективность. Однако авторы постарались объяснить данное
явление с точки зрения поведения менеджеров: согласно статье Дженсена (Jensen, 1986), высокая прибыльность
компании может вести к тому, что менеджеры распоряжаются полученными средствами
неэффективно или проводят приобретения компаний с падающей стоимостью (Hatford, 1999), таким образом, данный
показатель может являться спорным в зависимости от выборки. В статье (Chi et al., 2011) в качестве фактора прибыльности используется такой
показатель как EBITDA/Sales. На основе проведенного исследования
авторы делают вывод об обратной зависимости между прибыльностью
компании-покупателя до слияния и эффективностью самого слияния на рынке
капитала Китая.
Данный показатель был отнесен к операционным,
поскольку он отражает характеристики непосредственно самой сделки и отражает,
на каких условиях происходила покупка компании. Авторы, описывающие данный
фактор в своих моделях используют дамми-переменную, которая принимает значение
1, если при покупке компании использовался тендер и 0, если не использовался
тендер, например, если покупатель был единственным, и сделка проводилась просто
по согласованию. В случае, если проводится тендер, компании-покупатели
предлагают как можно более лучшие условия для покупки, и на основе их анализа
выбирается компания-покупатель, которая и приобретает компанию-цель. Однако, в
этом случае повышается вероятность того, что сделка будет переоценена, и
компания-покупатель получит меньше выгод от синергии, чем премия, которую она
заплатит. Таким образом, с точки зрения теории, использование тендера должно
отрицательно влиять на эффективность сделки по слиянию.
С практической точки зрения эта гипотеза была
подтверждена, так, например в статье (Narayan and Thenmozhi, 2014) на данных по международным
сделкам данный коэффициент оказался отрицательным и значимым. В других
исследованиях авторы выдвигали подобную гипотезу, однако коэффициенты оказались
незначимыми. Таким образом, данная переменная имеет обратную взаимосвязь с
эффективностью сделки по слиянию или поглощению.
Наличие нематериальных активов оказывает влияние на
эффективность сделки по слиянию или поглощению. В качестве показателя,
отображающего размеры нематериальных активов, выступает коэффициент Тобина,
поскольку он отражает отношение рыночной стоимости компании к
восстановительной, чаще всего - балансовой. (Stewart, 1997). Таким образом, он позволяет учесть в
стоимости компании не только физические активы, но и те активы, которые
невозможно учесть в отчетности, например, деловая репутация компании, наличие
постоянных клиентов, связи компании в государственных структурах и прочее. Если
у компании-покупателя есть данные активы, то она может использовать их и после
поглощения и в деятельности компании-цели, то есть, в данном случае происходит усиление
эффекта синергии, следовательно, эффективность сделки по слиянию или поглощению
должна увеличиться.
Эмпирически данная теория подтверждается в статье
Григорьевой и Гринченко (Григорьева и Гринченко, 2013): коэффициенты оказались
значимыми для Индии и Китая. В работе (Bhagat et al., 2011) на развивающихся рынках для совокупной модели
коэффициенты также являются значимыми и положительными на всех уровнях
значимости. Для сделок прошедших в Китае с 1994 по 2008 годы гипотеза о
положительном влиянии коэффициента Тобина подтверждается (Zhou et al., 2012). Та же ситуация с американским рынком (Heron and Lie, 2002), однако стоит отметить, что на основании
данных о сделках, которые проходили на Нью-Йоркской фондовой бирже авторы
исследования также в качестве одного из регрессоров взяли коэффициент Тобина
для компании-цели, коэффициент перед которым оказался отрицательным. Авторы
объясняют это тем, что в показатель коэффициента Тобина входит также такой
фактор, как «хороший» менеджмент компании. Далее они говорят о том, что если
компания с хорошим менеджментом приобретает компанию-цель, то сделка с большей
вероятностью будет эффективной, однако, если компания-покупатель покупает
компанию-цель, в которой есть хороший менеджмент, то после приобретения
эффективность фирмы-цели снизится. Таким образом, авторы показали, что
операционная эффективность фирмы будет гораздо лучше, если компания с хорошим
менеджментом, хорошими возможностями роста и значительными нематериальными
активами приобретет компанию с менее выдающимися показателями, чем, в обратной
ситуации. Однако данная гипотеза не противоречит гипотезе о том, что
коэффициент Тобина оказывает положительное влияние на эффективность сделки
слияния или поглощения.
Еще один фактор, который можно причислить к списку операционных
факторов - финансовый рычаг. Как известно, фирмы используют заемное
финансирование по нескольким причинам: во-первых, при недостатке капитала это
является одной из самых быстрых альтернатив для его получения. Во-вторых,
финансирование за счет долга является более дешевым, нежели привлечение
капитала инвесторов, что отражается на денежных потоках компании, а
следовательно, на ее стоимости. Еще одним преимуществом заемного финансирования
считается наличие налогового щита, который получает компания, если использует
заемные средства. Конечно, компания вынуждена обслуживать долг: платить
проценты, однако, если компания перспективна и это обслуживание не является для
нее слишком обременительным, в долгосрочной перспективе издержки будут покрыты
благодаря росту объемов производства, чего не было бы без заемного
финансирования.
Что касается влияния наличия у компании-покупателя
заемного финансирования, то здесь возможны 2 пути: при недостатке заемных
средств компания не получает выгод от налогового щита, поскольку не достигает
оптимальной структуры капитала. В этом случае компания будет недооцененной. В
случае, если компания имеет слишком большой объем задолженности, то для того,
чтобы обслуживать его, компания будет вынуждена отдавать большую часть своей прибыли
на покрытие процентов. Таким образом, структура капитала также не будет
оптимальной. При приобретении компании-цели могут возникнуть несколько
ситуаций, которые возникают из-за долговой нагрузки компании-цели. Поэтому,
если структура капитала консолидированной компании будет ближе к оптимальной,
это положительно скажется на эффективности сделки.
В статье (Harjeet et al., 2013) авторы на примере рынка
капитала Китая показали, что финансовый рычаг отрицательно влияет на создание
стоимости консолидированной компании. Авторы объясняют это тем, что на рынке
находится большое количество фирм с высоким уровнем рычага и рынок отрицательно
реагирует на сделки по слияниям между такими компаниями. Также эта гипотеза
подтверждается по отношению к Малайзии (Rahim et al., 2013). Однако существуют исследования, в которых эта
гипотеза опровергается. Например в статье (Nnadi and Tanna, 2014) рассматривается банковская отрасль и
показатель финансового рычага положительно влияет на эффективность сделок
слияний или поглощений. Однако стоит учитывать специфику банковской отрасли,
потому как для банков высокий финансовый рычаг является обыкновенным явлением.
Более того, поскольку банковский сектор не занимается реальным производством, а
занимается движением капитала и зарабатывает преимущественно на этом, высокий
уровень долговой нагрузки является для него благом. Данный показатель не
является однозначным, поскольку для него необходимо рассматривать специфику
отрасли. Таким образом, нельзя рассматривать данный показатель для
совокупности, включающей финансовый и нефинансовый сектора, поскольку оценки в
данном случае будут незначимыми.
Настроения менеджмента компании-цели являются одним из
важных факторов того, будет успешной сделка по слиянию или нет. Так, например,
при враждебном поглощении у менеджмента возникают стимулы для использования
стратегий защиты от враждебного поглощения. Например, вносить поправки в устав
компании, которые значительно усложняют переход права собственности (shark repellent). Кроме того, менеджмент компании
может предложить выкуп акций (management bayout), что
значительно повысит стоимость компании для покупателя и таким образом премия за
контроль компанией будет выше, чем синергия. Помимо этого, в крайнем случае,
менеджмент компании-цели может использовать стратегию «ядовитой пилюли», таким
образом сделав компанию менее привлекательной для покупателя. Более того,
существует также тактика так называемой «выжженной земли», которая включает в
себя такие действия, как реструктуризация долга таким образом, чтобы его
экспирация наступила сразу после поглощения. Все это говорит о том, что
дружественные поглощения более эффективны, чем враждебные.
Данная проблема рассмотрена в статье Григорьевой и
Троицкого, в которой было доказано, что враждебность поглощения отрицательно
влияет на маржинальность продаж (Григорьева и Троицкий, 2012). Авторы объясняют
это следующим образом: при дружелюбном поглощении компания-покупатель более
подробно изучает деятельность компании-цели. Финансовое состояние компании
является более прозрачным, поскольку у менеджеров поглощаемой компании нет
стимулов скрывать информацию. Таким образом, враждебные поглощения отрицательно
влияют на операционную деятельность компаний. Та же гипотеза подтверждается в
статье Мартыновой и Роннебуга (Martynova and Ronneboog, 2008) на данных по Европейскому
рынку. Гипотезу подтверждает также и статья (Rahahleh and Wei, 2012), что опять же говорит в пользу
правильности теоретического обоснования.
Следующим фактором, который влияет на эффективность
слияний и поглощений и который выделяют исследователи это рост продаж,
измеряемый в процентном выражении. Рост продаж является хорошим индикатором
того, что спрос на продукцию компании растет, а это означает, что у компании
есть перспективы развития. После сделки слияния или поглощения инвесторы
ожидают, что за счет эффекта синергии рост продаж будет еще больше, поскольку в
этом случае компания выходит на новые рынки. Таким образом рост продаж
компании-покупателя ведет к повышению эффективности слияния.
В статье (Rahim et al., 2013) авторы подтверждают данную
гипотезу для Азиатских рынков капитала: коэффициент является значимым и имеет
положительный знак. Однако в статье (Harjeet et al., 2013), которая посвящена
Китайскому рынку, результат диаметрально противоположный. Коэффициент при
переменной роста продаж является отрицательным. Авторы объясняют данное явление
тем, что у компаний из выборки существуют агентские мотивы, которые разрушают
стоимость собственного капитала на рынке капитала Китая. Не смотря на данную неоднозначность,
мы предполагаем, что переменная все же должна оказывать положительное влияние
на стоимость консолидированной компании
Свободный денежный поток компании-покупателя оказывает
влияние на ее стоимость. Кроме того, он влияет на стоимость консолидированной
фирмы. Чем больше денежный поток компании-покупателя, тем больше создаваемая ей
стоимость в консолидированной компании
Данная гипотеза подтверждается в статье (Rahim et al., 2013). То есть для Азиатских рынков применима данная
логика. Однако исследование, проведенное Григорьевой и Морковиным говорит об
обратной зависимости для стран БРИКС в долгосрочном периоде. Данные результаты
объясняются тем, что высокие уровни FCFF ведут к тому, что менеджмент проводит поглощения, которые разрушают
стоимость консолидированной компании. Показатель также является неоднозначным и
его влияние нуждается в дальнейшем изучении
.3.2 Факторы корпоративного
управления
Самым распространенным фактором, который оценивается в
различных работах является государственное участие в собственности компании. С
одной стороны, если фирма подконтрольна государству, у нее нет большого стимула
к тому, чтобы повышать маржинальность, улучшать производимую продукцию,
поскольку государственные фирмы обычно имеют больший уровень защиты от
конкурентов, больше привилегий, например, роялти. В данном случае, при
приобретении компании-цели компания-покупатель будет разрушать как свою
стоимость, так и стоимость компании-цели, поскольку рынок отреагирует на это
негативно. Это приведет к тому, что сделка по слиянию или поглощению будет
неэффективной. С другой стороны, такая государственная защита может являться
сигналом для инвесторов, что компания достаточно надежна. В этом случае,
государственное участие в фирме будет наоборот создавать стоимость. В работе
Перотти (Perotti, 1995) предполагается, что небольшое
государственное вмешательство является сильным бонусом при сделках слияний и
поглощений, в то время как государственный контроль может привести к уменьшению
стоимости консолидированной компании.
В работе (Chi et al., 2014) данная гипотеза находит
подтверждение на данных по Китайскому рынку капитала. В качестве регрессора
выступал процент государственного участия в компании. Такие же результаты
приведены в статье (Du and Boatneg, 2014; Zhou et al., 2012) и (Harjeet et al., 2013) также по рынку капитала Китая на более длинном
временном промежутке. (Nicholson and Salaber, 2013) сравнили результаты по Китаю
и по Индии и показали, что для обеих развивающихся стран государственной
вмешательство позитивно влияет на создание стоимости консолидированной
компании. В статье (Rahahleh
and Wei, 2012) были проанализированы сделки по слияниям и
поглощениям из 17 развивающихся стран. Гипотеза о положительном влиянии
подтверждена. Исходя из всего вышеперечисленного можно сделать вывод о
положительном знаке влияния государственного участия в собственности компании и
эффективности сделки по слиянию. Хотелось бы отметить, что в проведенных
исследованиях доля государственного участия не превышала 40%. Таким образом, можно
сказать, что если государство не контролирует компанию, то влияние государства
является положительным. Необходимо исследовать случаи, когда государство имеет
контрольный пакет.
Еще одним фактором корпоративного управления является
то, является ли компания публичной, либо частной. Главное различие между
публичными и непубличными компаниями заключается в количестве доступной
информации об этих компаниях. Компании-покупатели платят больше за те
компании-цели, которые являются публичными, поскольку их цены отражают больше
информации и учитывают интересы различных групп владельцев (Fuller et al., 2002). Существует большое количество эмпирических
исследований, которые доказывают, что премия за контроль непубличных компаний
составляет гораздо большие суммы, чем премия за контроль публичных компаний.
Таким образом, в случае в непубличными компаниями, компания-покупатель
переплачивает больше, а следовательно, получает меньше при том же эффекте
синергии.
В статье Николсона и Салабера (Nicholson and Salaber, 2013), тестируется гипотеза о том, что если
компания-цель непубличная, то меньше шансов на то, что слияние будет
эффективным. Гипотеза подтверждена на всех уровнях значимости для Китая и
Индии. В остальных работах по этой теме на рынках Китая, таких как (Harjeet et al., 2013; Rahahleh and Wei, 2012; Gaur et al.,2013) гипотеза также находит подтверждение. Однако стоит
отметить, что исследования развивающихся рынков проведены на данных по
Китайскому и Индийскому рынкам капитала. Следует также использовать и данные по
сделкам с других рынков.
В некоторых статьях рассматривается такая переменная
как количество членов совета директоров. Чем больше директоров, тем более
широким является взгляд совета на принятие стратегически важных решений. Кроме
того, различные директора представляют интересы различных собственников,
поэтому, чем больше совет директоров, тем больше интересов будет учтено при
принятии решений. Таким образом, в теории, чем больше состав совета директоров
компании-покупателя, тем более эффективной должна являться сделка по слиянию,
поскольку эффект от синергии в этом случае будет выше.
Концентрация собственников измеряется в работах, как
количество акций в руках самого крупного собственника, деленное на количество
акций N собственников по объему пакета после
него. Таким образом измеряется сила голосов самого крупного собственника.
Оставшиеся N собственников могут скооперироваться
и, в случае, если для них решение является невыгодным, наложить вето на него.
Таким образом учитываются интересы всех акционеров, что делает
компанию-покупателя более привлекательной и, в случае слияния, также повышает
уровень синергии для консолидированной компании, а следовательно, чем больше
концентрация власти, тем меньше будет эта эффективность
Данные предположения подтверждаются эмпирическими
исследованиями. Так в статьях (Yen et al., 2013; Rahim et al., 2013) гипотеза о том, что размер совета директоров
положительно влияет на эффективность сделки подтверждается на всех уровнях
значимости для Китая и других Азиатских рынков капитала. Что касается
концентрации власти, то данная гипотеза подтверждается в статье (Bhagat et al., 2011) на данных по странам БРИКС, Малайзии, Мексики и
Филиппин.
.3.3 Внешние факторы
Самым распространенным и популярным среди внешних
факторов является фактор отрасли. В исследованиях данная переменная вводится в
качестве дамми, которая принимает значение 1, если компания покупатель и
компания-цель находятся в одной отрасли, и 0, если компании относятся к разным
отраслям. В случае, если компании относятся к одной отрасли, менеджмент
компании является достаточно опытным в ней, таким образом, при слиянии или
приобретении эффект синергии достигается за счет экономии от масштаба, выхода
на новые рынки, получения некоторых технологий компании-цели. В то же самое
время, если компании находятся в разных отраслях, происходит диверсификация
бизнеса. Если посмотреть, такая ситуация происходит в компаниях Virgin Group Ричарда Бренсона. Бизнес максимально диверсифицирован
и в меньшей степени подвержен спаду спроса, кризисам и прочим событиям,
влияющим на конкретные отрасли. В данном случае инвесторы видят, что бизнес
диверсифицирован, а значит и риски меньше. Поэтому сложно с теоретической точки
зрения прийти к каким-либо состоятельным выводам.
В статьях (Chi et al., 2011; Harjeet et al., 2013), анализирующих сделки на рынке капитала Китая была
поставлена и подтверждена гипотеза о том, что если компания-цель находится в
той же индустрии, что и материнская компания, то это приведет к увеличению
эффективности. То же самое и со сделками, проходящими на Нью-Йоркской фондовой
бирже (Heron and Lie, 2002). Однако на прочих развивающихся рынках (Grigorieva and Morkovin, 2014; Narayan and Thenmozhi, 2014) эта гипотеза отвергается.
Таким образом, необходимо дальнейшее изучение данной проблемы.
Данный фактор, а вернее их группа, является довольно
интересным показателем и включает в себя темпы прироста ВВП и разницу ВВП стран
компании покупателя и компании-цели. Инвестирование в компании из менее
развитых стран, но имеющих больше возможностей для роста является более
выгодным, чем инвестирование в развитые страны. Таким образом оба показателя
должны положительно влиять на создание стоимости.
Согласно эмпирическим исследованиям положительная
разница в ВВП между странами компании-покупателя и компании-цели имеет
положительное влияние на успех слияния (Григорьева и Гринченко, 2013): гипотеза
подтвердилась для Индии и Южной Африки. Что касаемо гипотезы о том, что рост
ВВП государства, в котором находится компания-цель положительно влияет на
эффективность сделки, то она также подтверждается на всех уровнях значимости в
статье (Yen et al., 2013).
Следующий внешний показатель, который необходимо
рассмотреть - это институциональная дистанция между странами
компании-покупателя и компании-цели. Данная дистанция основывается на
нескольких показателях, таких как развитие прав частной собственности, свобода
от коррупции, свобода действий правительства страны, индекс свободы бизнеса,
труда, индексом монетарной свободы, а также показателях открытости рынка:
свобода торговли, инвестиций и финансовая свобода в стране. Показатель
собирается как взвешенный от вышеперечисленных и представляет собой индекс, где
самый развитые страны с институциональной точки зрения получают наивысший балл,
в то время как неразвитые - низший. К наиболее развитым на данный момент
относятся такие страны, как Сингапур, Новая Зеландия, Швейцария, Австрия Канада
и Чили, в то время как в список неразвитых входят такие страны как Северная
Корея, Куба, Венесуэла Зимбабве, Туркменистан. Россия на момент написания
данной работы находится на 153 из 178 мест между Алжиром и Лесото. Впервые
исследование влияния данного показателя на эффективность сделки проводилось в
работе Берри (Berry, 2006). Автор статьи сделал вывод о
том, что чем более развитой в институциональном плане является страна
компании-цели, тем более успешной будет сделка, поскольку более развитая
институциональная среда предполагает наличие меньших рисков инвестирования.
Данная гипотеза подтверждается также в статьях Чана и пр. (Chan et al., 2008) на развивающихся ранках, а также в статье Губби (Gubbi, 2010) на сделках, покупателем в
которых являются компании из Индии. Также гипотеза была подтверждена в более
новом исследовании, проведенном Ду и Боатенгом по сделкам, в которым в качестве
покупателя выступают Китайские компании (Du and Boateng, 2015)
Другим внешним показателем, характеризующим
неформальную дистанцию между странами является индекс культурной дистанции.
Данный индекс рассчитывается как сумма квадратов культурных различий стран, в
которых находятся компания покупатель и компания-цель. Такие исследования как
статья Хофстеда (Hofstede,1980) а также исследование Когута и Сингха (Kogut and Singh, 1988) утверждают, что культурные различия негативно
влияют на стоимость объединенной компании уже перед слиянием, а в работе
Геринджера и др. (Geringer
et al., 1989) утверждается, что стоимость разрушается также и
после слияния. Так, например, на стадии перед слиянием культурные различия
могут стать причиной сопротивления менеджмента компании-цели, что влечет за
собой агентские издержки. Для периода после слияния культурные различия ведут к
проблемам взаимопонимания, различиям в скорости принятия решений между
локальным менеджментом компаний покупателя и цели. Таким образом, чем больше
культурные различия между странами, тем больше проблем возникает с
взаимодействием между двумя фирмами, и тем более разрушительным для стоимости
будет являться слияние или поглощение.
Последние два фактора используются в данной работе в
качестве основных детерминант эффективности M&A
сделок. Также основной является принадлежность компаний к одному сектору
экономики, поскольку данный фактор также обуславливает внешнее влияние на
эффективность сделки. Остальные показатели являются контрольными и включены в
модель для улучшения ее качества.
Глава 2. Методология исследования,
гипотезы и данные
.1 Методология
Для проведения исследования автор данной работы
опирался на статью Ду и Боатенга (Du and Boateng, 2015), которая описывает влияние
культурных и институциональных различий на эффективность сделок, в которых в
качестве покупателя выступают Китайские компании. Для исследования самой
эффективности был выбран рыночный подход для краткосрочных временных интервалов
- CAR, однако, для проведения более точного
исследования было решено использовать не просто CAR, а его модификацию - SCAR. Таким образом, в данной работе используется метод
событий, который показывает, каким образом рыночная стоимость акций реагирует
на анонс сделки по транснациональному слиянию или поглощению. Данный метод был
выбран по причине того, что он распространен в научном сообществе и для
измерения эффективности сделок M&A применяется именно он. Кроме того,
поскольку мы принимаем предпосылку о том, что рынок достаточно эффективен, а
инвесторы пытаются максимизировать стоимость компании, этот метод наиболее
точно должен отражать перспективы совершенной сделки. Кроме того, данный
показатель в отличие от accounting метода (например, расчета прибыльности) является универсальным, при этом
если бы мы использовали метод операционных показателей, он мог бы быть
смещенным из-за различий в принципах учета в разных странах. Для этого
необходимо использовать Международные стандарты, однако не все компании
составляют и публикуют отчетность по этим стандартам. Таким образом, метод
событий оптимально вписывается в данное исследование. Кроме того, вместо
обычного CAR используется SCAR. В случае использования
обыкновенного метода событий может возникнуть проблема с тем, что CAR для компании может быть больше, либо
меньше, поскольку акции компании являются по умолчанию более волатильными. В
данном случае следует исключить данную волатильность и нормировать переменную.
Ниже представлен расчет данного показателя:
Где
CAAR(D1,D2) - средний показатель CAR компании i,
который рассчитывается по формуле:
SD - функция от
дисперсии регрессионной модели, которая используется для нахождения
коэффициента бета для каждой сделки. Данная функция имеет следующий вид:
Где
S1 -
стандартное отклонение уравнения регрессии, с помощью которого был найден
коэффициент бета для компании; k - количество дней в окне; М - количество дней,
которые были взяты в качестве оценочного периода для построения регрессии при
нахождении коэффициента бета; Rmt - доходность рыночного портфеля в t-тый
день из окна событий.
Таким
образом, обычный CAR нормируется на данную функцию, следовательно, данный
подход является более правильным, однако, величина нормировочного коэффициента
обычно достаточно мала.
В
качестве статистики для определения значимости коэффициента используется Z-статистика.
Она считается по следующей формуле:
Остальные
показатели CAR рассчитываются по стандартным для них формулам,
которые показаны в главе 1.
В
качестве независимых переменных (детерминант) выступают такие показатели как
институциональные различия между странами компаний, культурные различия между
странами компаний, показатель того, относятся ли компании к одному сектору
экономики, а также несколько контрольных переменных: стоимость сделки, метод
платежа, показатель доходности активов, MTB Ratio,
государственное участие в компании-покупателе, правовая форма компании-цели и
переменная, отражающая то, получает компания-покупатель контроль или нет
В
качестве показателя институциональных различий был взят показатель
институционального климата в стране компании-цели, деленный на показатель
институционального климата в стране компании-покупателя. Данные показатели, в
свою очередь, включают в себя такие критерии как стабильность правительства,
инвестиционный климат, уровень коррупции, уровень исполнения закона с точки
зрения частной собственности и с точки зрения финансов, качество
бюрократического аппарата и экономические условия.
Условно
этот показатель можно разделить на четыре измерения:
1. Закон
. Вмешательство правительства
. Эффективность регулирования
. Открытые рынки
Измерение «законности» в стране основывается на двух
пунктах: права частной собственности и свобода от коррупции. Так, например, чем
выше показатель права частной собственности, тем выше индекс, и, следовательно,
он положительно влияет на эффективность сделки, поскольку инвесторы уверены,
что в ближайшем и долгосрочном будущем правительство страны-цели не проведен
национализацию, или не отнимет каким-либо другим способом собственность,
купленную на территории данной страны. Показатель свободы от коррупции имеет
такое же влияние: коррупция порождает дополнительные издержки для компаний, как
прямые, такие как откаты, так и косвенные, которые появляются из-за того, что
коррумпированные чиновники могут задерживать ратификацию некоторых решений
компании за чем обычно следуют большие убытки.
Измерение правительственного вмешательства в экономику
страны состоит из двух факторов: уровень налогов и правительственные расходы.
Чем выше налоги, тем меньше индекс. Это логично, поскольку обычно высокое
налогообложение душит бизнес и делает его менее эффективным. В качестве налогов
рассматриваются, как прямые, так и косвенные налоги. Уровень государственных
расходов также имеет отрицательную зависимость с индексом: чем больше
государственные закупки, тем ниже индекс. Данный факт объясняется тем, что,
когда в государстве слишком большие закупки правительства, это в долгосрочной
перспективе приводит к хроническому дефициту бюджета и накоплению
государственного долга и в перспективе снижает устойчивость экономики страны.
Эффективность регулирования также является одним из
компонентов индекса. Данное измерение показывает то, насколько свободно в
стране можно вести бизнеси насколько низки операционные риски. Так, данный
показатель делится на три составляющих: свобода бизнеса, свобода труда и
монетарная свобода. Свобода бизнеса показывает, насколько хорошо действует
государственное регулирование в этой сфере. Так, например эта компонента
состоит из таких пунктов как удобство в открытии бизнеса, время, которое
затрачивается на открытие бизнеса, изначальные требуемые вложения, требования к
минимальному капиталу, удобство, время и стоимость получения лицензий на
ведение бизнеса, а также удобство, затрачиваемое время и стоимость ликвидации
бизнеса. Соответственно, чем быстрее, проще и менее затратным является процесс
ведения бизнеса в стране, тем выше индекс. Свобода труда иллюстрирует,
насколько в стране жесткое трудовое законодательство: как регламентируется
прием на работу и увольнение, насколько минимальная ставка оплаты труда
является эффективной в соотношении с производительностью этого труда, насколько
высоки социальные взносы. Чем эффективнее регулирование в данной области, тем
выше значение индекса. Что касаемо монетарной свободы - она основана на двух
пунктах: инфляция в стране и штрафы за контроль цен. Чем выше инфляция, тем сложнее
и рискованнее вести бизнес в стране. В качестве измерителя в данном случае
рассчитывается средняя ставка инфляции за последние три года. Штрафы за
контроль цен означают, что если в стране цены являются регулируемыми, то это
негативно скажется на монетарной свободе, удобстве ведения бизнеса,
маржинальности и, соответственно на эффективности сделки по слиянию.
Открытость рынков в стране говорит о том, насколько
дешево можно вести бизнес в стране. Данный показатель состоит из трех пунктов:
свобода торговли, свобода инвестиций и финансовая свобода. Свобода торговли
показывает, насколько высоки тарифные и нетарифные барьеры при ведении торговли
в стране. Чем выше тарифы, тем больше расходов несет компания, следовательно,
тем менее прибыльной она будет. Что касаемо нетарифных барьеров, то к ним
относятся количественные ограничения - импортные квоты, ограничения на экспорт,
запреты на экспорт каких-либо товаров, эмбарго и санкции, как самой страны, так
и по отношению к стране; ограничения цен - антидемпинговые налоги, увеличение
налогообложения при увеличении цены; регуляторные ограничения - лицензирование,
протекционизм, санитарные стандарты, стандарты безопасности, ограничения
рекламы и медиа; таможенные ограничения - требования в дополнительном депозите,
процедуры растаможивания; а также прямое государственное вмешательство:
субсидии национальным компаниям, политика иммиграции государственные монополии
и предоставление государством эксклюзивных прав на определенные виды
деятельности. Свобода инвестиций относится прежде всего к ограничениям на
инвестиционные денежные потоки: ограничения на репатриацию прибылей,
ограничения на инвестиции в определенные отрасли, ограничение на инвестиции в
недвижимость - все это ведет к увеличению издержек, а также к невозможности получать
определенные выгоды от осуществления деятельности на территории страны, что
должно по факту привести к снижению индекса и снижению эффективности сделки.
Под показателем финансовой свободы подразумевается государственное
регулирование в банковской сфере. Так, например, если существуют ограничения на
выдачу кредитов иностранным компаниям, либо распределение кредитования в стране
в принципе требует утверждения государственными органами, это затрудняет
ведение бизнеса, а также приводит к недополучению, либо получению не вовремя
финансирования
Индекс институционального развития страны имеет
значение от 0 до 100, при этом 0 считается самой плохой оценкой развития, в том
время как 100 означает, что вести в стране бизнес довольно легко.
Рассчитывается индекс как сумма взвешенных показателей, перечисленных выше,
каждый из которых в свою очередь тоже измеряется в том же диапазоне
Чем выше данный показатель, тем привлекательнее страна
с инвестиционной точки зрения, следовательно, чем выше отношение институционального
развития в стране компании-цели, и ниже в стране компании-покупателя, тем более
инвесторы будут уверены в завтрашнем дне. Таким образом, если компания из
неразвитой, с этой точки зрения, страны инвестирует в компанию в развитой,
теоретически, цена должна повышаться
Показатель культурных различий рассчитывается как
корень из суммы квадратов нескольких измерений, деленных на стандартные
отклонения данных измерений:
На данный момент в различных исследованиях рассматриваются
шесть измерений. Первым из них является так называемая «дистанция власти» (Power Distance). Данное измерение показывает,
насколько люди, не имеющие власти, принимают данный факт и насколько они готовы
подчиняться тем, кто имеет власть. Этот показатель различается по всему миру,
так, например, в более традиционалистских странах он выше, чем в других,
поскольку в них сильно почитается иерархия, в то время как в либеральных
странах данный показатель ниже. Для сравнения, показатель для Албании составляет
80 баллов из 100, при этом в США и Великобритании он принимает значения 40
баллов и 20 баллов соответственно. Вторым измерением, культурной дистанции
между странами является стремление к индивидуализму. Данный показатель основан
на степени независимости членов общества по отношению к обществу. Так,
например, в странах, где преобладают социалистические взгляды (Китай), данный
показатель является низким, в то время как в США он составляет 91. Таким
образом, в индивидуалистических странах люди склонны делать то, что хотят они и
то, что будет благом только для них и их ближайшего окружения, в то время как в
коллективистских странах люди выше ставят интересы общества, но не свои
собственные. Таким образом, различия между этим показателям в странах компаний
покупателя и цели могут стать проблемой во взаимопонимании между локальным
менеджментом. Следующим показателем является так называемая Masculinity. Если данный показатель является
высоким, можно сказать, что в стране преобладает амбициозность, стремление быть
лучше во всем, высокий уровень конкуренции. Четвертое измерение - уклонение от
неопределенности. Данное измерение показывает, насколько положительно в стране
относятся к тому факту, что будущее является неопределенным: насколько сильно
люди пытаются контролировать свое будущее. Следующий показатель - ориентация на
долгосрочные перспективы. Измерение показывает склонность граждан страны
планировать долгосрочное будущее, а также менять свои предпочтения, модели
поведения при изменяющихся обстоятельствах. Последний показатель отражает
насколько высока степень стремления людей к контролю своих желаний и
импульсивности. В странах с высоким показателем люди склонны к
самоограничениям, в то время как в странах с более низким показателем люди
руководствуются только общественными ограничениями. Теоретически, если
культурные различия между странами, в которых находятся компании очень велики,
сделка будет являться менее эффективной. Это связано с различными причинами,
такими как возникновение агентских издержек, увеличение времени принятия
решений.
Хотя в большей части работ используются четыре первых
измерения культурной дистанции, в данной работе были использованы все шесть,
поскольку последние два измерения также сильно могут повлиять на реакцию рынка
на сделку по поглощению. Данные по странам были взяты из базы данных центра
Хофстеда - человека, разработавшего данный показатель. Данные были взяты за
2015 год, однако с течением короткого времени данный индекс претерпевает совсем
незначительные изменения, а, следовательно, данное изменение не окажет
существенного влияния на результаты.
Еще один из исследуемых в данной работе показателей -
принадлежность компании-покупателя и компании-цели к одному сектору экономики.
Данный показатель является дамми-переменной и принимает значение 1, если
компании принадлежат одному сектору, и 0, если относятся к разным секторам.
Вывод о принадлежности компании к какому-либо сектору был сделан на основе
выгрузки из базы Zephyr, а также на
основе данных из базы Thompson Reuters
Eikon. Далее вручную было подтянуто
значение переменной. Так, например, если обе компании относились к пищевой
промышленности, однако к различным отраслям, было сделано оценочное суждение о
том, что они находятся в одном секторе. В данной работе подразумевается, что если
компании относятся к одной отрасли, то это должно положительно повлиять на
эффективность сделки
Помимо перечисленных выше переменных в модель были
включены также несколько контрольных. Данные переменные исследовались на многих
рынках и их влияние на эффективность на различных рынках установлено, поэтому
они были взяты в модели лишь для улучшения их качества.
Первой из предложенных переменных является размер
сделки. В качестве прокси-переменных для данного показателя были взяты
объявленный размер непосредственно самой сделки: та сумма, которую платит
компания-покупатель, а также относительный размер сделки - отношение стоимости
компании-цели к стоимости компании-покупателя. Ожидаемый эффект для данного
показателя является отрицательным. Это связано прежде всего с тем, что, чем
больше компания-покупатель платит за поглощение, тем больше шанс, что она
переплачивает. Кроме того, большие компании довольно сложно интегрировать в
состав других, особенно, если сама компания-покупатель обладает небольшим
размером, что может привести к некоторым осложнениям и не приносить эффекта от
синергии в течение долгого времени, а поскольку согласно нашей предпосылке о
том, что рынок является достаточно эффективным, то, соответственно, он
принимает во внимание данный факт.
Вторая контрольная переменная - метод платежа. Как уже
говорилось в первой главе - если компания-покупатель платит за покупку из
денежных средств, это вызывает больше доверия со стороны рынка, чем, если она
платит акциями, поскольку в таком случае компания-покупатель показывает, что
она уверена в данной сделке настолько, что готова отдать денежные средства, а
не разводнить акции. Данная переменная принимает значение 1, если покупатель
расплачивался денежными средствами и 0, если покупатель расплачивался акциями,
либо с помощью привлечения долга
Еще один показатель - доходность активов
компании-покупателя до сделки. Как уже описывалось в главе 1, показатель
является спорным. В данной работе ожидается, что, чем выше данный показатель
был до совершения сделки, тем более эффективным будет слияние, поскольку рынок
полагает, что компания с высоким уровнем рентабельности активов является
эффективной, имеет хороший и компетентный менеджмент, что в дальнейшем
положительно отразится на консолидированной компании. Переменная была выбрана
именно в таком виде (рентабельность активов, а не собственного капитала),
потому как в случае с рентабельностью активов, ее оценка может быть завышена
из-за привлечения компанией-покупателем высокого уровня долга. Таким образом,
показатель рентабельности всех активов более точно будет отражать эффективность
компании. Для расчета этой детерминанты были взяты данные по каждой из фирм,
попавших в выборку за последние три года перед сделкой. Средний показатель
чистой прибыли компаний был разделен на средний показатель активов компании.
Это обусловлено тем, что, если брать последний год, он может быть выбросом.
Однако если взять данные показатели за слишком большой период времени - есть
вероятность, что этот период попадет на время кризиса, а также не учтет
положительных, либо отрицательных среднесрочных трендов операционных
показателей компании.
Следующей детерминантой является доля государственного
владения в компании-покупателе. Переменная является неоднозначной, и существуют
несколько объяснений, которые могут объяснить как положительное, так и
отрицательное влияние. Так, например отрицательное влияние объясняется тем, что
государственные компании являются неэффективными. Государство не стремится
оптимизировать процессы, таким образом в компаниях появляется слишком много
бюрократических должностей, все решения принимаются очень долго, при этом есть
большой шанс упустить выгоды. Положительное же влияние можно объяснить тем, что
компании с государственным участием могут иметь определенные льготы и роялти.
Данная переменная достаточно актуальна для развивающихся стран, поскольку
политика протекционизма в данных странах способствует выживанию компаний, и
если государство имеет в компании долю, то в случае различных кризисов компания
может рассчитывать на помощь. Конечно, можно было бы использовать в этом случае
другой критерий: имеет ли государство контрольный пакет, однако для тех данных,
которые были собраны в целях данного исследования, данная концепция
неприменима, поскольку существует очень малое количество компаний, попадающих
под данный критерий. В данной работе мы ожидаем, что государственное участие в
компании-покупателе увеличивает эффективность сделки. В качестве показателя
взят процент участия в компании местного правительства
Также в качестве контрольной переменной была
использована переменная публичности компании-цели. Поскольку о публичных
компаниях больше доступной информации, компания-покупатель может более точно
оценить реальную стоимость своей инвестиции. При этом рынок должен реагировать
положительно. Данная переменная принимает значение 1, если компания-цель
публичная, и 0, если компания является частной.
2.2 Выбор окна событий
После выбора зависимой и независимых переменных
возникает вопрос о том, какие интервалы для SCAR брать для тестирования. В различных исследованиях
данный вопрос рассматривается по разному. В частности, в большинстве случаев
берутся интервалы, которые входят в ближайшие двадцать рабочих дней
относительно анонса сделки. Основные тестируемые окна событий - (-1,1), (-3,3),
(-5,5), (-10,10). Ниже представлена таблица, в которой показаны основные окна в
разрезе исследований
Таблица 1. Описание окон событий в разрезе
статей
|
Статья
|
Данные
|
Окно
|
Знак
|
|
Xin Deng et al., 2013
|
1992-2007, 1556 слияний в США
|
CAR [-1, +1] CAR [-2, +2] CAR [-5, +5]
|
+
|
|
Kay Dunn, Intintoli, McNutt, 2014
|
2004-2010 118 слияний коммерческих
банков
|
CAR (-1,0) CAR (-1,+1) CAR (-2,+2)
CAR (-3,+3)
|
+
|
|
Nnadi, Tanna, 2014
|
1997-2008 62 слияния банков ЕС
|
SCAR (-30; +30)
|
-
|
|
Bhagat, Malhotra, Zhu 2011
|
1991-2008 698 поглощений в странах
БРИКС
|
CAR [-1, +1] CAR [-2, +2] CAR [-5,
+5]
|
+
|
|
Chi, Sun, Young, 2011
|
1998-2003 1148 поглощений в Китае
|
CAR [-6, +6]* CAR [-3, +3]* CAR
[-6, -1]*
|
+
|
|
Nicholson, Salaber 2013
|
2000-2010 203 Индийских, 63
Китайских сделок
|
CAR [-3, +1]
|
+
|
* - в месяцах
Для тестирования данных, представленных в данной
работе были использованы окна в пределах десяти рабочих дней относительно
анонса о сделке. Данное окно выбрано на основании того факта, что на самом деле
все основные события происходят в первые пару дней до анонса (слухи) и в первые
пару дней после анонса (расчеты).
Однако необходимо еще время для того, чтобы те
расчеты, которые делаются в первые дни после анонса сделки аналитиками, стали
более точными, поэтому интервал был расширен. В итоге, решающее влияние на
решение о выборе окна событий оказывает статистическая значимость, поскольку,
если накопленная аномальная доходность в интервале является незначимой, то в
дальнейшем нет смысла анализировать влияние детерминант. Для построения
моделей, показывающих влияние различных переменных на реакцию рынка при анонсе
сделки по поглощениям использовался программный пакет EViews. В качестве метода оценки данного влияния применяется
регрессионный анализ, а именно - метод наименьших квадратов. Данный метод
является оптимальным, поскольку позволяет анализировать big data и в то же время является простым в применении. После
построения моделей, были проверены все основные предпосылки МНК: несмещенность,
состоятельность и эффективность оценок. Помимо данных тестов был проведен тест
на робастность
.3 Данные
В качестве данных в исследовании были выбраны рынки
Юго-Восточной Азии, в частности - компании из блока ASEAN (Association of South-East Asia Nations). Данный выбор был обусловлен тем, что данные рынки
являются малоисследованными, автор данной работы не нашел информации о
применении к этим рынкам именно основных переменных, которые используются в
работе, это создает еще дополнительную новизну в исследовании.
Таблица 2. Критерии выбора компаний
|
Критерий
|
Оставшиеся компании
|
|
Покупатель - ASEAN
|
40 036
|
|
Нефинансовые организации
|
37 436
|
|
Статус сделки: анонсирована/завершена
|
32 681
|
|
Компания-покупатель торгуется на бирже
|
12 434
|
|
Временной период - 2009-2015
|
7 299
|
|
Доля после покупки - более 30%
|
5 237
|
|
Не Сингапур
|
2 827
|
|
Транснациональные сделки
|
437
|
Однако необходимые данные для исследования остались по
350 сделкам по слияниям. Такого количества достаточно для того, чтобы достичь
цели исследования в этой работе. Данные по сделкам были выгружены из базы
данных Zephyr, являющейся ресурсом Bureau Van Dijk. Котировки акций для компаний-покупателей были
выгружены с помощью ISIN номера из
базы данных Thomson Reuters Eikon. Те данные, которые не удалось найти, были найдены
вручную из открытых источников.
В качестве временного интервала для анализа взят
период с 2010 по 2015 годы. Выбор обусловлен тем, что данные являются свежими.
Кроме того, в расчет не взят кризис, поскольку сильные скачки стоимости акций,
происходящие в то время именно из-за того, что акции падали в цене, а потом
росли, практически невозможно элиминировать.
.4 Гипотезы
Для анализа данных были поставлены несколько гипотез.
Гипотезы основаны на проведенном анализе литературы, а также на основе
логических выводов, сделанных в процессе сбора данных и поиска общей информации
по сделкам M&A. Гипотезы выглядят следующим образом:
. Н1: Покупка компании-цели, которая находится
в стране с относительно более развитой институциональной средой создает
стоимость объединенной компании
. Н2: Покупка компании-цели, которая находится
в стране с более близкой неформальной институциональной средой (культурной)
создает стоимость объединенной компании
. Н3: Приобретение компании-цели из более
близкой отрасли создает стоимость объединенной компании
Уравнение регрессии для исследования выглядит
следующим образом:
SCAR(d1,d2)=α+β1*Inst+β2*Informal+β3*SameIndustry+β4*SOE+β5*Size+β6*Control+ +β7*Payment+β8*ROA+
β9*Control+
β10*Legal_Form
Где,
Inst - институциональные различия;
Informal - культурная дистанция;
SameIndustry - dummy-переменная, 1, если из одного сектора, 0, если из
разных;
SOE - процент государственного владения в
компании-покупателе;
Size - размер сделки;
Control - получает ли покупатель контроль над целью;
Legal_form -
dummy-переменная, 1, если компания цель
публичная, 0, если обратное
Глава 3. Тестирование гипотез на
рынках ASEAN и интерпретация полученных
результатов
.1 Описательные статистики
Прежде, чем приступить к описанию моделей, построенных
для тестирования гипотез, необходимо определиться с интервалом окон событий.
Рассмотрим график движения CAR за
десять дней до и десять дней после анонса сделки:
Рис. 1. График SCAAR по данным из выборки в окне (-10;10)
Как видно из данного графика, за два-три дня до сделки
средняя накопленная аномальная доходность проседает вниз, в то время как за
день до сделки и далее в течение практически всего периода она является
положительной. Этот факт говорит о том, что правильным было бы включать в
модель короткий интервал с одной стороны и более длинный с другой. Однако для
более точного выбора следует посмотреть на значимость SCAR на различных окнах. Ниже представлена таблица со
значениями Z-статистик по различным окнам:
Таблица 3. Определение значимости окон событий
|
Интервал
|
Z-статистика
|
Probability
|
|
SCAR (-10;10)
|
0.47
|
0.64
|
|
SCAR(-5;5)
|
0.75
|
0.46
|
|
SCAR(-3;1)
|
0.34
|
0.74
|
|
SCAR(-3;3)
|
0.43
|
0.67
|
|
SCAR(-1;10)
|
3.08
|
0.00
|
|
SCAR(-1;5)
|
2.30
|
0.02
|
|
SCAR (-1;1)
|
1.92
|
0.06
|
|
SCAR(-1;3)
|
1.74
|
0.08
|
Из данной таблицы видно, что для тестирования следует
использовать такие интервалы как (-1,1); (-1,3); (-1,5); (-1,10). Остальные
интервалы незначимы, поэтому нет смысла строить на их основе модели. Из таблицы
видно, что на данных интервалах T-статистика
является положительной. Это говорит о том, что сумма средних SCAR является также положительной, что
дает нам основание утверждать, что рынок реагирует положительно на анонс сделок
по слияниям и поглощениям на рынках Юго-Восточной Азии.
Далее необходимо проанализировать описательные
статистики всех показателей, которые используются в моделях для того, чтобы
сделать предварительные выводы о характере зависимости, а также понять, какие
значения в целом принимают показатели. Описательные статистики представлены в
таблице ниже:
Таблица 4. Описательные статистики
|
Mean
|
Median
|
Maximum
|
Minimum
|
Std. Dev.
|
|
Informal
|
44.38
|
41.83
|
74.32
|
8.00
|
22.24
|
|
Inst
|
1.12
|
1.14
|
1.63
|
0.65
|
0.21
|
|
LNValue
|
8.38
|
8.51
|
14.61
|
1.72
|
2.89
|
|
MTB
|
2.26
|
2.25
|
5.24
|
1.07
|
1.17
|
|
ROA
|
0.06
|
0.06
|
0.37
|
-0.20
|
0.12
|
|
Payment
|
0.58
|
1.00
|
1.00
|
0.00
|
0.49
|
|
Industry
|
0.60
|
1.00
|
1.00
|
0.00
|
0.49
|
|
SOE
|
0.60
|
0.00
|
80.05
|
0.00
|
5.74
|
|
Control
|
0.76
|
1.00
|
1.00
|
0.00
|
0.43
|
|
Legal
|
0.48
|
0.00
|
1.00
|
0.00
|
0.50
|
|
SCAR(-1,10)
|
0.02
|
0.00
|
0.71
|
-0.23
|
0.09
|
|
SCAR (-1,3)
|
0.01
|
0.00
|
0.44
|
-0.71
|
0.08
|
|
SCAR(-1,1)
|
0.01
|
0.00
|
0.48
|
-0.24
|
0.06
|
|
SCAR(-1,5)
|
0.01
|
0.00
|
0.58
|
-0.71
|
0.09
|
Согласно информации, представленной в таблице выше,
среднее значение культурной дистанции между странами компании-покупателя и
компании-цели составляет 44.28. При этом в выборке присутствуют как случаи
очень большой дистанции (74 балла), так и случаи совсем близких между собой
стран. Близкими в данном случае являются страны из сделок внутри самой ASEAN, например, между Малайзией и
Филиппинами.
Различия в индексе развития институциональной среды в
странах компании-покупателя и компании-цели также являются значимыми. В среднем
данный индекс принимает значения больше единицы, что говорит о том, что
покупатели из стран ASEAN предпочитают
вкладываться в компании из стран с более развитой внутренней институциональной
средой. Данный эффект связан с тем, что сами страны Юго-Восточной Азии являются
еще только развивающимися в этом плане. Кроме того, в сделках очень часто
встречаются такие развитые страны как США, Великобритания, Германия и Сингапур.
Следующий показатель - натуральный логарифм стоимости
сделки. Для тестирования брались также модели, в которые входил относительный
размер сделки, а также просто сумма сделки, однако ни одна из них не является
значимой, хотя натуральный логарифм является наиболее приближенным к значимому
значению. Этот показатель находится в пределах от 1.72 до 14.61, что говорит
нам о том, что в выборке встречаются как крупные, так и мелкие сделки. Среднее
и медианное значения почти равны и составляют около 8-9, то есть, порядка 5
млрд миллиардов долларов в денежном выражении.
В среднем рыночная стоимость компаний-покупателей до
сделки превышала балансовую в два раза, что говорит о том, что рынок видит
потенциал в данных компаниях. Значение колеблется в пределах от 1 до 5.
Средняя доходность активов по компаниям за последние
три года до сделки положительна и составляет около 6%. Это немного, учитывая
то, что рынки являются развивающимися. Однако среди них встречаются компании со
средней доходностью активов, составляющей 37%, а также компании, доходность активов
за последние три года была сильно отрицательной и составляла в среднем -20%.
Возможно стоило бы убрать данные выбросы из выборки, однако автор данной работы
посчитал, что в этом нет смысла, поскольку в самой выборке встречается довольно
большое количество значений, приближенных как к одной, так и другой границе.
В большинстве сделок (58%) из выборки в качестве
метода платежа выступают денежные средства. Остальные финансируются за счет
выпуска акций, либо за счет долговых обязательств. Также в большинстве сделок
(60%) компания-покупатель и компания-цель относятся к одному сектору экономики.
В 76% случаев компания-покупатель получает контроль над компанией-целью.
Распределение публичных и частных компаний в выборке примерно равнозначно
Что касаемо государственного участия в капитале
компании-покупателя, то данный показатель в среднем оставляет 8%. Максимальная
доля - 80%, однако лишь у 10% компаний вообще есть доля, принадлежащая местному
правительству.
В качестве предпосылки в данной работе можно выделить
то, что рынки являются достаточно эффективными и довольно быстро и полно
отражают информацию о подробностях сделки, финансовом состоянии компаний,
которые участвуют в сделке. Для дальнейшего анализа необходимо построить модель
3.2 Построение модели
Как уже обсуждалось во 2 главе, для анализа данных
были построены несколько регрессионных моделей, основанных на методе МНК. Перед
построением модели построим корреляционную матрицу, чтобы предварительно
предположить, какое влияние будут оказывать различные переменные на накопленную
аномальную доходность. Также корреляционная матрица поможет выявить одну из
возможных проблем нарушения предпосылок МНК - мультиколлинеарность.
Корреляционная матрица представлена в таблице Приложения 5
Из данных о корреляции видно, что отсутствует проблема
мультиколлинеарности, а это значит, что мы можем использовать все переменные в
модели. Кроме того, большинство переменных имеют такую же зависимость с
эффективностью, как и предполагалось в теории. Однако многие значения корреляции
находятся рядом с нулем, что означает, что они могут быть незначимыми в
моделях, и мы не сможем с точностью сказать о характере зависимости
Модели различаются зависимой переменной. Таким образом
в итоге получились 5 моделей, результаты которых представлены в таблице ниже:
Таблица 5. Свод результатов построенных моделей
|
|
Коэффициенты
|
|
Переменная
|
SCAR(-1;1)
|
SCAR(-1;3)
|
SCAR(-1;5)
|
SCAR(-1;10)
|
|
Inst
|
0.013
|
0.038**
|
0.035
|
-0.002
|
|
Informal
|
-0.0003*
|
-0.0004**
|
-0.001
|
-0.001***
|
|
Industry
|
0.007
|
0.015*
|
0.024***
|
|
Control
|
0.007
|
0.019**
|
0.022
|
0.013
|
|
Size
|
1.93E-08
|
4.80E-09
|
1.20E-08
|
9.22E-09
|
|
MTB
|
0.006**
|
0.003
|
0.013
|
0.020***
|
|
Payment
|
-0.007
|
-0.004
|
0.007
|
-0.003
|
|
ROA
|
0.043
|
0.076**
|
0.037
|
0.049
|
|
SOE
|
0.0001**
|
0.0002
|
-0.0003
|
0.00018
|
|
Legal
|
0.017
|
0.021**
|
0.032
|
0.051***
|
|
R^2
|
7.6%
|
9.7%
|
17.9%
|
40.8%
|
Согласно таблице, институциональные различия имеют
положительное влияние на оценку рынком сделки, что приводит к увеличению
накопленной аномальной доходности на интервале в 3 дня, однако во всех
остальных моделях коэффициент является статистически незначимым. Это может
сказать о том, что данный результат получился случайно, однако никакие
манипуляции с выборкой (удаление выбросов) не привели к улучшению ситуации.
Однако модель является значимой, предпосылки МНК не нарушаются (была
гетероскедастичность, однако для избавления от нее была проведена поправка
Уайта, переменная стала менее значимой, однако на 90% доверительном интервале
она такой осталась). Таким образом можно сделать вывод о том, что если
компания-покупатель из стран ASEAN
инвестирует в компанию, которая находится в более развитой с институциональной
точки зрения стране, рынок положительно оценивает данный факт:
стандартизированная накопленная аномальная доходность растет. Гипотеза о
влиянии разницы в институциональном развитии стран подтверждается
Переменная культурной дистанции между странами, в
которых находятся участники сделки является значимой на различных уровнях
значимости в трех из четырех моделей. Как и предполагалось в теории, а также в
других статьях, покупка компаний из более далеких с культурной точки зрения
стран приводит к разрушению стоимости компании-покупателя, поскольку рынок
может ожидать, что культурные различия приведут к большим потерям, чем синергия
от поглощения. Это означает, что гипотеза об отрицательном влиянии показателя
культурной дистанции подтверждается.
Что касаемо третьей гипотезы о том, что инвестирование
в компанию из того же сектора приводит к созданию стоимости акций
компании-покупателя, ситуация является неоднозначной. С одной стороны, в двух
из четырех моделей гипотеза подтверждается и коэффициенты значимы. Однако в
модели с окном событий (-1;10) присутствует автокорреляция остатков, поскольку
критерий Дарбина-Уотсона не попадает в максимально допустимый диапазон (от 1.8
до 2.2), что обычно приводит к ухудшению качества МНК модели, и к завышению
Т-статистик. Таким образом в данной модели статистическая значимость может быть
неправильной. Возможно именно данная автокорреляция и приводит к завышению как
Т-статистик переменных, так и объясняющей силы самой модели. В другой модели
(-1;3), данный показатель значим лишь на 10% уровне значимости, что является
очень сомнительным качеством. Таким образом гипотеза о том, что инвестиции в
компании из той же, либо смежной отрасли подтверждается, но с оговоркой.
Из контрольных переменных в той или другой мере
значимыми являются получение контроля компанией-покупателем, соотношение
рыночной стоимости компании к балансовой, доходность активов, доля государства
и публичность компании-цели. Степень влияния данных переменных на эффективность
сделки по поглощению согласуется с тем, что было заявлено в главе 2: если
покупатель получает контроль над целью, это увеличивает аномальную накопленную
доходность, поскольку рынок может ожидать, что собственники поставят в
руководство компании своих людей, что с точки зрения институциональной
экономики снизит агентские издержки, а также сможет в том числе снизить эффект
от культурной дистанции; если у компании высокая доходность активов до сделки,
рынок может оценить, что компания хорошо управляется, следовательно и в больших
масштабах компетентный менеджмент сможет создать дополнительные выгоды в том
числе от синергии; доля государства согласно одной из моделей положительно
влияет на аномальную доходность, однако данный эффект работает в данных
условиях только на коротком периоде (-1;1), что также говорит о сомнительности
качества данного результата, кроме того, данный эффект нивелируется уже на
недельном интервале. Публичность компании-цели положительно влияет на
аномальную доходность, поскольку рынок считает, что компания-покупатель на
основе большего объема информации о публичных компаниях принимает решение более
взвешено.
Далее необходимо проверить зависимость в разрезе
стран. В данную выборку вошли сделки, компанией-покупателем в которых являются
пять стран: Индонезия, Филиппины, Таиланд, Малайзия и Вьетнам. В данной
разбивке были построены несколько моделей, однако их качество было
сомнительным, поскольку в большинстве из них обнаружилась автокорреляция остатков,
либо гетероскедастичность. Проблема гетероскедастичности была решена с помощью
использования поправки Уайта. Что касаемо автокорреляции, модели с ней не
брались а расчет. Также не была построена модель для Вьетнама, поскольку
количество наблюдений по данной стране слишком мало. Результаты наиболее
качественных моделей показаны в таблице ниже:
Таблица 6. Свод моделей в разрезе стран
|
Коэффициенты
|
|
Переменная
|
Индонезия
|
Малайзия
|
Таиланд
|
|
Control
|
0.027
|
0.010
|
|
|
Size
|
5.08E-08
|
-1.04E-08
|
6.76E-08!
|
|
Informal
|
-0.002*
|
-0.001***
|
-0.002**
|
|
Inst
|
0.086
|
-0.025
|
-0.046
|
|
MTB
|
0.025
|
0.018***
|
0.025***
|
|
Payment
|
0.012
|
-0.003
|
-0.001
|
|
ROA
|
0.037
|
0.063
|
0.103
|
|
Industry
|
-0.010!
|
0.032***
|
0.026**
|
|
SOE
|
0.0044*
|
0.0003
|
-0.0012
|
|
Legal
|
0.076
|
0.060***
|
0.021
|
Из результатов данной таблицы можно сделать отдельно
несколько выводов по различным странам. Для Индонезии характерно отрицательное
влияние культурной дистанции на эффективность сделок, что согласуется с
теорией, а также с результатами общей регрессии. Показатель публичности компании-цели
также соотносится с теорией, а также с предыдущими исследованиями. Хотелось бы
также отметить, что показатель государственной доли в компании-покупателе, хотя
и является незначимым на 10% уровне значимости, его значимость находится очень
близко к этому значению и скорее всего, при такой динамике на большей выборке
он был бы значимым. Данный показатель принимает положительное значение, из чего
следует, что чем больше государственное участие в компании-покупателе, тем выше
эффективность сделки. Это связано прежде всего с тем, что в развивающихся
странах государство имеет значительное влияние на бизнес в котором владеет:
предоставляются различные льготы, включая налоговые, поскольку государство
все-равно получит денежные средства со своей доли, а также различные роялти и
исключительные права на определенные виды деятельности. Что касается Малайзии,
помимо показателя культурной дистанции здесь в качестве значимого добавляется
отношение рыночной стоимости к балансовой, и нахождение сливающихся компаний в
одном секторе экономики. Это говорит о том, что рынок оценивает эффект синергии
и эффект от масштаба более положительно, чем диверсификацию. Для Таиланда
ситуация является такой же, однако стоит отметить, что для Сделок, в которых
покупателем выступает Тайская компания, показатель доходности активов до
поглощения у покупателя незначим, но близок к значимости на 10% уровне. Данный
показатель имеет положительный знак, что говорит о том, что, если
компания-покупатель была более эффективной до поглощения, то эта эффективность
распространится также и на компанию-цель
Построенные для Филиппин модели получились плохого
качества с точки зрения предпосылок МНК, поэтому интерпретировать данные модели
нельзя. Это связано отчасти с тем, что для данной страны было выбрано всего 27
наблюдений.
Для сравнения результатов с прошлыми исследованиями
различных авторов были проанализированы основные работы, которые относятся к
данным переменным. Результаты и сравнение по ним представлено в таблице:
Таблица 7. Сравнение результатов с
исследованиями
|
Переменная
|
Статьи
|
Влияние в статьях
|
Результат
|
|
SOE
|
Du and Boateng, (2014); Nicholson
and Salaber, (2013); Zhou et al., (2012)
|
+
|
+?
|
|
Legal
|
Nicholson and Salaber, (2013)
|
+
|
+
|
|
Inst
|
Du and Boateng, (2014)
|
+
|
+
|
|
Informal
|
Du and Boateng, (2014)
|
+
|
-
|
|
Industry
|
Du and Boateng, (2014); Nicholson
and Salaber, (2013); Zhou et al., (2012); Rao-Nocholson and Salaber, (2015)
|
+/-
|
+
|
|
Size
|
Grigorievva and Morkovin, (2014);
Dakessian and Feldmann, (2013); Григорьева и Гринченко, (2013); Rao-Nocholson
and Salaber, (2015); Григорьева и Троицкий, (2012); Narayan and Thenmozhi,
(2014)
|
+/-
|
+?
|
|
MTB
|
Rahim and Ahmad, (2013); Zhou et
al., (2012); Rao-Nocholson and Salaber, (2015)
|
+/-
|
+
|
Из вышеперечисленного можно сделать вывод, что связи
между переменными и избыточной доходностью для разных стран выбранного региона
являются схожими. Кроме того, для разных стран одинаковое и значимое влияние
оказала переменная культурных различий между странами компании-покупателя и
компании-продавца, что говорит о неслучайности результата. Что касаемо Филиппин
- возможно для данной страны не хватило наблюдений, для того, чтобы построить
качественную модель и проинтерпретировать ее показатели. Таким образом, в
данной работе были подтверждены все три гипотезы, однако в двух из них присутствуют
оговорки. Рынки требуют дальнейшего исследования. Также стоит обратить внимание
на другие внешние переменные, которые также могут улучшить качество данных
моделей.
Заключение
В данном исследовании был проведен анализ влияния
таких показателей, как институциональные и культурные различия между странами,
в которых находятся компания-покупатель и компания цель, а также принадлежность
этих компаний одному сектору экономики.
Поставленная цель достигнута, все задачи выполнены. В
ходе исследования были рассмотрены основные статьи, которые относятся как к
измерению эффективности сделок M&A, так и к различным детерминантам
данной эффективности
В первой главе был представлен обзор литературы. Для
того, чтобы понять ради чего проводится исследование, был проведен обзор
мотивов для совершения сделок по слияниям. Далее были рассмотрены основные
работы, в которых представлены различные способы измерения эффективности.
Детально был рассмотрен рыночный метод, а также метод операционных показателей,
разобраны их достоинства и недостатки, а также предпосылки, которые приводятся
при их использовании. Далее были описаны ключевые факторы, которые используются
в базовых работах. Факторы были разделены на несколько категорий для более
удобного восприятия. Многие из факторов оказались спорными, что дает
исследователям мотив для дальнейшей работы. Кроме того, были разобраны работы,
относящиеся как к развитым, так и к развивающимся рынкам, найдены
неисследованные области.В частности было выяснено, что страны Юго-Восточной
Азии довольно редко берутся в расчет в исследованиях, зато существует огромное
количество работ, затрагивающих Китай, страны БРИКС.Это послужило мотивом к
выбору географического сегмента исследования.
Были найдены показатели, которые не так часто
применяются в исследованиях - культурные и институциональные различия между
странами, в которых находятся компании. Также был сделан выбор контрольных
переменных, призванных увеличить качество построенных моделей.
Во второй главе была показана методология
исследования. В качестве меры эффективности был выбран показатель SCAR, который обладает некоторыми
преимуществами по сравнению с обыкновенным CAR. Например данный показатель берет в расчет обычную
волатильность компании-покупателя, таким образом аномальная доходность очищается
от ненужного шума, свойственного акциям компаний. Были выбраны окна событий, в
которых анализировалась избыточная доходность
Далее были выбраны данные для анализа, описаны
критерии выбора данных и аргументирован их выбор. В качестве периода были выбраны
послекризисные годы, поскольку они являются относительно новыми. Данные
собирались с помощью базы данных Zephyr,
а также с помощью базы данных Thomson Reuters
Eikon. Из списка сделок были исключены те,
в которых в качестве покупателя были Сингапурские компании. В итоге в
исследовании рассматриваются 350 сделок с рынков ASEAN.
На основе полученных данных в главе 3 были показаны
описательные статистики и проведена их интерпретация. Затем были построены
уравнения регрессии на основе рассчитанных показателей SCAR и детерминант.
В результате были получены следующие результаты по
поставленным гипотезам:
Гипотеза №1 подтверждена, однако с оговоркой: покупка
компании-цели, которая находится в стране с относительно более развитой
институциональной средой создает стоимость объединенной компании, однако, это
подтвердилось в одной модели из четырех, следовательно, данный результат может
быть случайным
Гипотеза №2 подтверждена: покупка компании-цели,
которая находится в стране с более близкой неформальной институциональной
средой (культурной) создает стоимость объединенной компании, поскольку страны с
большой культурной дистанцией испытывают сложности во взаимодействии, и,
следовательно, необходимы дополнительные издержки.
Гипотеза №3 была подтверждена в одной модели, однако
данная модель является некачественной, поскольку в ней присутствует
автокорреляция остатков, что приводит к завышению значимостей переменных. Таким
образом, исходя из данного факта мы не можем подтвердить гипотезу.
Таким образом, данное исследование может быть
использовано как с точки зрения бизнеса - для более подробного анализа
компанией-покупателем, так и с точки зрения академических исследований. В
дальнейшем можно включить в модель такой показатель, как язык, на котором
говорят в стране, религии, и прочие культурные измерения. Стоит также отметить,
что качество моделей в данной работе является невысоким, поэтому, для более
точного выявления зависимостей следует добавить еще контрольных переменных
Список использованной литературы
1. Аглиарди Э., Лукьянова И., (2011). Финансовый рычаг, доходность
и отраслевая специфика: эмпирическое исследование сделок слияний и поглощений,
Корпоративные финансы №4(20), 2011, 54-76
. Григорьева С., Троицкий П., (2012). Влияние слияний и поглощений
на операционную эффективность компаний на развивающихся рынках капитала,
Корпоративные финансы №3(23), 2012, 31-43
. Григорьева С., Фоменко Н., (2012). Детерминанты метода платежа в
сделках слияний и поглощений на развивающихся рынках капитала, Корпоративные
финансы №4(24), 2012, 65-79
. Григорьева, С.А., Гринченко, А.Ю., (2013). Влияние сделок
слияний и поглощений в финансовом секторе на стоимость компаний-покупателей на
развивающихся рынках капитала, Корпоративные финансы №4(28), 2013, 53-71
5. Akbulut, M.E., Matsusaka, J.G. (2003), 50+ years of
diversification announcements, The Financial Review, 45 (2010) 231-262.
. Aktas, N., Bollaert, H., Roll, R., 2014. CEO
Narcissism and the Takeover Process: From Private Initiation to Deal
Completion, Journal of Financial and Quantitative Analysis
. Al Rahahleh, N., Wei, P.P., (2012). The performance
of frequent acquirers: Evidence from emerging markets. Global Finance Journal
23, 16-33.
. Asimakopoulos, I., Panayiotis, P. (2013), Revisiting
the merger and acquisition performance of European banks, International Review
of Financial Analysis, 29 (2013) 237-249.
. Beitel, P., Schiereck, D., Wahrenburg, M. (2004),
Explaining M&A-Success in European Banks, European Financial Management,
10(1) (2004) 109-140.
. Berry, H. (2006). Leaders, laggards and the pursuit
of foreign knowledge. Strategic Management Journal, 27, 151-168.
. Bhabra, H.S., Huang, J., (2013). An empirical
investigation of mergers and acquisitions by Chinese listed companies,
1997-2007. Journal of Multinational Financial Management 23, 186-207.
. Bhagat, S., Malhotra, S., Zhu, P., (2011). Emerging
country cross-border acquisitions: Characteristics, acquirer returns and
cross-sectional determinants. Emerging Markets Review 12, 250-271.
. Chan, C. M., Isobe, T., & Makino, S. (2008).
Which country matters? Institutional development and foreign affiliate firm
value. Strategic Management Journal, 29(11), 1179-1205.
. Changqi, W., Ningling, X., (2010). Determinants of
Cross-Border Merger & Acquisition Performance of Chinese Enterprises.
Procedia - Social and Behavioral Sciences 2, 6896-6905.
. Chatterjee, A., Hambrick, D., 2011. Executive
Personality, Capability Cues, and Risk Taking: How Narcissistic CEOs React to
Their Successes and Stumbles, Administrative Science Quarterly, 56, 202-237
. Chi, J., Sun, Q., Young, M., (2011). Performance and
characteristics of acquiring firms in the Chinese stock markets. Emerging
Markets Review 12, 152-170.
. Dakessian, L.C., Feldmann, P.R., (2013).
Multilatinas and value creation from cross-border acquisitions:: an event study
approach. BAR-Brazilian Administration Review 10, 462-489.
. DeLong, G.L. (2001), Stockholder gains from focusing
versus diversifying bank mergers, Journal of Financial Economics, 59 (2001)
221-252.
. Deng, X., Kang, J., Low, B.S., (2013). Corporate
social responsibility and stakeholder value maximization: Evidence from
mergers. Journal of Financial Economics 110, 87-109.
. Dolley, J.C. (1933), Characteristics and Procedure
of Common Stock Split-Ups, Harvard Business Review, 11 (1933) 316-326.
. Du, M., Boateng, A., (2015). State ownership,
institutional effects and value creation in cross-border mergers and
acquisitions by Chinese firms. International Business Review 24, 430-442.
. Dunn, J.K., Intintoli, V.J., McNutt, J.J., (2015).
An examination of non-government-assisted US commercial bank mergers during the
financial crisis. Journal of Economics and Business 77, 16-41.
. Franks, J., Harris, R., Titman, S. (1991), The
postmerger share-price performance of acquiring firms, Journal of Financial
Economics, 29 (1991) 81-96.
. Fuller, K., Netter, J., & Stegemoller, M.
(2002). What do returns to acquiring firms tell us? Evidence from firms that
make many acquisitions. Journal of Finance, 57, 1763-1793
. Gaur, A.S., Malhotra, S., Zhu, P., (2013).
Acquisition announcements and stock market valuations of acquiring firms’
rivals: A test of the growth probability hypothesis in China: Stock Market
Valuations of Acquiring Firms’ Rivals. Strategic Management Journal 34,
215-232.
. Geringer, J. M., Beamish, P. W., & daCosta, R.
C. (1989). Diversification strategy and internationalization:
Implications for MNE firm value. Strategic Management Journal, 10,
109-119.
. Ghosh, A., 2001. Does operating performance really
improve following corporate acquisitions? Journal of Corporate Finance 7, 151 -
178.
. Goergen, M., Renneboog, L. (2004), Shareholder
wealth effects of European domestic and cross-border takeover bids, European
Financial Management, 10 (1) (2004) 9-45.
. Gubbi, S., Aulakh, P., Ray, S.,Sarkar, M. B.,
&Chittoor, R. (2010). Do international acquisitions by emerging economy firms
create shareholder value? The case of Indian firms. Journal of International
Business Studies, 41, 397-418.
. Hayward, M., Hambrick, D., 1997. Explaining the
Premiums Paid for Large Acquisitions: Evidence of CEO Hubris, Administrative
Science Quarterly, 42, 103-127
. Healy, P., Palepu, K., Ruback, R., 1992. Does
corporate performance improve after mergers? Journal of Financial Economics 31,
135 - 175
. Herman, E., Lowenstein, L. (2008), The efficiency
effects of hostile takeovers, in: Coffee J.C., Lowenstein Jr., L., and S.
Rose-Ackerman (eds). Knights, Raiders and Targets. New York: Oxford University
Press. Р. 211-240.
. Heron, R., Lie, E., (2002). Operating Performance
and the Method of Payment in Takeovers. The Journal of Financial and
Quantitative Analysis 37, 137. doi:10.2307/3594998
. Ho-Mou Wu (2009), Merge Activities and Stock Market
Valuation in China, in Financial Sector Development in the Pacific Rim ed. by
Takatoshi Ito and Andrew Rose, NBER and University of Chicago Press, 2009
. Huyghebaert, N., Luypaert, M. (2013), Value creation
and division of gains in horizontal acquisitions in Europe: the role of
industry conditions, Applied Economics, 45 (2013) 1819-1833.
. Jensen, M., (1986), Agency Costs of Free Cash Flow,
Corporate Finance and Takeovers, The American Economic Review, 76(2), 1986,
323-329
. Loderer, C., Martin, K. (1990), Corporate
acquisitions by listed firms: the experience of comprehensive sample, Financial
management, 19 (1990) 17-33
. Malmendier, U., Tate, G., 2008. Who Makes
Acquisitions? CEO Overconfidence and the Market's Reaction, Journal of
Financial Economics, 89, 20-43
. Mann, B.J.S. and Kohli, R. (2009), Impact of Mode of
Payment and Insider Ownership on Target and Acquirer's Announcement Returns in
India, The Journal for Decision Makers, 4(34) (2009) 51-66
. Martynova, M., Renneboog, L. (2008), A century of
corporate takeovers: What have we learned and where do we stand?, Journal of
Banking & Finance, 32 (2008) 2148-2177
. Mat Rahim, N., Ching Pok, W., (2013). Shareholder
wealth effects of M&As: the third wave from Malaysia. International Journal
of Managerial Finance 9, 49-69.
. Morkovin, R., Grigorieva, S., (2014). The Effect Of
Cross-Border And Domestic Acquisitions On Shareholder Wealth: Evidence From
Brics Acquirers. Корпоративные финансы.
. Narayan, P.C., Thenmozhi, M., (2014). Do
cross-border acquisitions involving emerging market firms create value: Impact
of deal characteristics. Management Decision 52, 1451-1473.
. Nicholson, R.R., Salaber, J., (2013). The motives
and performance of cross-border acquirers from emerging economies: Comparison
between Chinese and Indian firms. International Business Review 22, 963-980.
. Nnadi, M.A. and Tanna, S. (2014) Post acquisition
profitability of banks: a comparison of domestic and cross border acquisitions
in the European Union. Global Business and Economics Review, volume 16 (3): 310
- 331
. Perotti, E. C., ‘Credible privatization,’ American
Economic Review, Vol.85 (1995), pp.847-859.
. Powell, R., Stark, A., (2005). Does operating performance
increase post-takeover for UK takeovers? A comparison of performance measures
and benchmarks, Journal of Corporate Finance 11 (2005) 293 - 317
. Rahim, K.F., Ahmad, N., Ahmad, I., Rahim, F.A.,
(2013). Determinants of Cross Border Merger and Acquisition in Advanced
Emerging Market Acquiring Firms. Procedia Economics and Finance 7, 96-102.
49. Rahman R.,
Limmak R., (2004). Corporate Acquisitions and the Operating Performance of
Malaysian Companies, Journal of Business Finance & Accounting, Vol. 31, No.
3-4, pp. 359-400, April 2004 <javascript:WinOpen(93429);>
. Rani, N.,
Surendra, Y.S., Jain, P.K. (2012), Impact of Mergers and Acquisition on returns
to shareholders of acquiring firms: Indian economy in perspective, Journal of
Financial Management and Analysis, 25(1) (2012) l-24
. Roll, R.,
1986. The Hubris Hypothesis of Corporate Takeovers. Journal of Business, 59,
197-216
. Ryu,
K.H., Lee, J.E., (2009). The determinant of performance of cross-border
M&As in China: A comparative study between overseas Sino and Anglo firms.
Chinese Business Review 8, 44-52.
. Seghal,
S., Banerjee, S., Deisting, F. (2012), The Impact of M&A Announcement and
Financing Strategy on Stock Returns: Evidence from BRICKS Markets International
Journal of Economics and Finance, 4(11) (2012) 76-90
. Sharma
D., Ho J., (2002). The impact of acquisitions on operating Performance: Some
Australian Evidence, Journal of Business Finance and Accounting, 29(1) and (2),
January/March 2002, 155-200
. Sharma,
D.S., Ho, J. (2002), The impact of acquisitions on operating performance: some
Australian evidence, Journal of Business Finance & Accounting, 29 (2002)
155-200
. Shoenberg
R., (2006). Measuring the Performance of Corporate Acquisitions: An Empirical
Comparison of Alternative Metrics, British Journal of Management, 2006, Volume
17, Issue 4, pages 361-370
. Williams,
J., Liao, A., (2008), Do win-win outcomes exist? A study of cross-border
M&A transactions in emerging markets, Comparative Economic Studies, 50
(2008) 274-296.
58. Yen,
T.-Y., Chou, S., André, P., (2013). Operating Performance of Emerging
Market Acquirers: Corporate Governance Issues. Emerging Markets Finance and
Trade 49, 5-19.
59. Zhou, B.,
Guo, J.M., Hua, J., Doukas, A.J., (2015). Does State Ownership Drive
M&A Performance? Evidence from China: Does State Ownership Drive
M&A Performance? European Financial Management 21, 79-105.
Приложения
Приложение 1
Модель SCAR(-1;1)
|
Dependent Variable: SCAR(-1;1)
|
|
|
Method: Least Squares
|
|
|
|
Date: Time:
|
|
|
|
Sample: 1 350
|
|
|
|
|
Included observations: 349
|
|
|
|
Variable
|
Coefficient
|
Std. Error
|
t-Statistic
|
Prob.
|
|
Control
|
0.007479
|
0.007788
|
0.960306
|
0.3376
|
|
Informal
|
-0.000293
|
0.000160
|
-1.835034
|
0.0674
|
|
Size
|
1.93E-08
|
1.23E-08
|
1.561874
|
0.1193
|
|
Inst
|
0.012670
|
0.015944
|
0.794667
|
0.4274
|
|
MTB
|
0.006403
|
0.003015
|
2.124016
|
0.0344
|
|
Payment
|
-0.006859
|
0.006728
|
-1.019395
|
0.3087
|
|
ROA
|
0.042818
|
0.028713
|
1.491261
|
0.1368
|
|
Industry
|
0.006673
|
0.007259
|
0.919192
|
0.3587
|
|
SOE
|
0.000122
|
0.000586
|
0.207698
|
0.8356
|
|
Legal
|
0.016574
|
0.007117
|
2.328747
|
0.0205
|
|
C
|
-0.052910
|
0.021464
|
-2.465063
|
0.0142
|
|
R-squared
|
0.102770
|
Mean dependent var
|
0.006843
|
|
Adjusted R-squared
|
0.076224
|
S.D. dependent var
|
0.063561
|
|
S.E. of regression
|
0.061091
|
Akaike info criterion
|
-2.721899
|
|
Sum squared resid
|
1.261446
|
Schwarz criterion
|
-2.600393
|
|
Log likelihood
|
485.9714
|
Hannan-Quinn criter.
|
-2.673530
|
|
F-statistic
|
3.871487
|
Durbin-Watson stat
|
1.852528
|
|
Prob(F-statistic)
|
0.000055
|
|
|
|
Приложение 2
Модель SCAR(-1;3)
|
Dependent Variable: SCAR(-1;3)
|
|
|
|
Method: Least Squares
|
|
|
|
Date: Time:
|
|
|
|
Sample: 1 350
|
|
|
|
|
Included observations: 349
|
|
|
|
Variable
|
Coefficient
|
Std. Error
|
t-Statistic
|
Prob.
|
|
Control
|
0.019212
|
0.009343
|
2.056274
|
0.0405
|
|
Informal
|
-0.000443
|
0.000192
|
-2.313124
|
0.0213
|
|
Size
|
4.80E-09
|
1.48E-08
|
0.324365
|
0.7459
|
|
Inst
|
0.038002
|
0.019126
|
1.986938
|
0.0477
|
|
MTB
|
0.002722
|
0.003616
|
0.752556
|
0.4522
|
|
Payment
|
-0.004477
|
0.008071
|
-0.554644
|
0.5795
|
|
ROA
|
0.075675
|
0.034444
|
2.197061
|
0.0287
|
|
Industry
|
0.015023
|
0.008708
|
1.725204
|
0.0854
|
|
SOE
|
0.000154
|
0.000703
|
0.218836
|
0.8269
|
|
Legal
|
0.020805
|
0.008538
|
2.436754
|
0.0153
|
-0.097285
|
0.025748
|
-3.778272
|
0.0002
|
|
R-squared
|
0.123059
|
Mean dependent var
|
0.007408
|
|
Adjusted R-squared
|
0.097114
|
S.D. dependent var
|
0.077125
|
|
S.E. of regression
|
0.073285
|
Akaike info criterion
|
-2.357922
|
|
Sum squared resid
|
1.815273
|
Schwarz criterion
|
-2.236415
|
|
Log likelihood
|
422.4573
|
Hannan-Quinn criter.
|
-2.309553
|
|
F-statistic
|
4.743064
|
Durbin-Watson stat
|
1.827489
|
|
Prob(F-statistic)
|
0.000002
|
|
|
|
Приложение 3
|
Dependent Variable: SCAR(-1;5)
|
|
|
|
Method: Least Squares
|
|
|
|
Date: Time:
|
|
|
|
Sample: 1 350
|
|
|
|
|
Included observations: 349
|
|
|
|
Variable
|
Coefficient
|
Std. Error
|
t-Statistic
|
Prob.
|
|
Control
|
0.022214
|
0.010185
|
2.181068
|
0.0299
|
|
Informal
|
-0.000700
|
0.000209
|
-3.351283
|
0.0009
|
|
Size
|
1.20E-08
|
1.61E-08
|
0.742475
|
0.4583
|
|
Inst
|
0.034861
|
0.020849
|
1.672094
|
0.0954
|
|
MTB
|
0.013109
|
0.003942
|
3.325433
|
0.0010
|
|
Payment
|
0.007110
|
0.008798
|
0.808086
|
0.4196
|
|
ROA
|
0.037311
|
0.037547
|
0.993714
|
0.3211
|
|
Industry
|
0.013980
|
0.009493
|
1.472735
|
0.1418
|
|
SOE
|
-0.000279
|
0.000766
|
-0.363917
|
0.7161
|
|
Legal
|
0.031740
|
0.009307
|
3.410246
|
0.0007
|
|
C
|
-0.136118
|
0.028068
|
-4.849583
|
0.0000
|
|
R-squared
|
0.203069
|
Mean dependent var
|
0.011290
|
|
Adjusted R-squared
|
0.179491
|
S.D. dependent var
|
0.088193
|
|
S.E. of regression
|
0.079887
|
Akaike info criterion
|
-2.185408
|
|
Sum squared resid
|
2.157068
|
Schwarz criterion
|
-2.063901
|
|
Log likelihood
|
392.3536
|
Hannan-Quinn criter.
|
-2.137039
|
|
F-statistic
|
8.612690
|
Durbin-Watson stat
|
1.750612
|
|
Prob(F-statistic)
|
0.000000
|
|
|
|
Модель SCAR(-1;5)
Приложение 4
Модель SCAR(-1;10)
|
Dependent Variable: SCAR(-1;10)
|
|
|
Method: Least Squares
|
|
|
|
Date: Time:
|
|
|
|
Sample: 1 350
|
|
|
|
|
Included observations: 349
|
|
|
|
Variable
|
Coefficient
|
Std. Error
|
t-Statistic
|
Prob.
|
|
Control
|
0.013140
|
0.009085
|
1.446383
|
0.1490
|
|
Informal
|
-0.001209
|
0.000186
|
-6.486464
|
0.0000
|
|
Size
|
9.22E-09
|
1.44E-08
|
0.641380
|
0.5217
|
|
Inst
|
-0.001846
|
0.018597
|
-0.099271
|
0.9210
|
|
MTB
|
0.019889
|
0.003516
|
5.655979
|
0.0000
|
|
Payment
|
-0.002983
|
0.007848
|
-0.380050
|
0.7041
|
|
ROA
|
0.049023
|
0.033492
|
1.463748
|
0.1442
|
|
Industry
|
0.024288
|
0.008467
|
2.868450
|
0.0044
|
|
SOE
|
0.000178
|
0.000683
|
0.260506
|
0.7946
|
|
Legal
|
0.050903
|
0.008302
|
6.131457
|
0.0000
|
|
C
|
-0.132388
|
0.025037
|
-5.287772
|
0.0000
|
|
R-squared
|
0.425940
|
Mean dependent var
|
0.015391
|
|
Adjusted R-squared
|
0.408956
|
S.D. dependent var
|
0.092689
|
|
S.E. of regression
|
0.071259
|
Akaike info criterion
|
-2.413988
|
|
Sum squared resid
|
1.716299
|
Schwarz criterion
|
-2.292481
|
|
Log likelihood
|
432.2408
|
Hannan-Quinn criter.
|
-2.365619
|
|
F-statistic
|
25.07887
|
Durbin-Watson stat
|
1.707611
|
|
Prob(F-statistic)
|
0.000000
|
|
|
|
Приложение 5
Корреляционная матрица
|
Control
|
Informal
|
Inst
|
Size
|
MTB
|
Payment
|
ROA
|
Industry
|
SOE
|
Legal
|
CAR(-1;3)
|
CAR(-1;10)
|
CAR(-1;5)
|
CAR(-1;1)
|
|
Control
|
1.00
|
|
|
|
|
|
|
|
|
|
|
|
|
|
|
Informal
|
0.09
|
1.00
|
|
|
|
|
|
|
|
|
|
|
|
|
|
Inst
|
-0.06
|
0.01
|
1.00
|
|
|
|
|
|
|
|
|
|
|
|
|
LNValue
|
0.00
|
-0.03
|
0.16
|
1.00
|
|
|
|
|
|
|
|
|
|
|
|
MTB
|
0.13
|
0.18
|
-0.05
|
-0.05
|
1.00
|
|
|
|
|
|
|
|
|
|
|
Payment
|
-0.02
|
0.04
|
0.01
|
-0.09
|
-0.01
|
1.00
|
|
|
|
|
|
|
|
|
|
ROA
|
0.03
|
0.07
|
-0.04
|
0.05
|
0.15
|
0.04
|
1.00
|
|
|
|
|
|
|
|
|
Industry
|
0.10
|
0.18
|
-0.13
|
-0.01
|
0.22
|
-0.03
|
0.14
|
1.00
|
|
|
|
|
|
|
|
SOE
|
0.08
|
0.03
|
-0.06
|
0.07
|
-0.12
|
0.00
|
0.02
|
0.08
|
1.00
|
|
|
|
|
|
|
Legal
|
0.04
|
0.09
|
-0.03
|
0.00
|
0.13
|
0.07
|
0.16
|
0.20
|
-0.01
|
1.00
|
|
|
|
|
|
CAR(-1;3)
|
0.14
|
-0.22
|
0.07
|
0.05
|
0.14
|
-0.02
|
0.16
|
0.18
|
0.02
|
0.22
|
1.00
|
|
|
|
|
CAR(-1;10)
|
0.15
|
-0.26
|
-0.04
|
0.04
|
0.11
|
0.01
|
0.18
|
0.34
|
0.01
|
0.46
|
0.48
|
1.00
|
|
|
|
CAR(-1;5)
|
0.16
|
-0.20
|
0.05
|
0.06
|
0.08
|
0.05
|
0.13
|
0.20
|
-0.02
|
0.30
|
0.79
|
0.70
|
1.00
|
|
|
CAR(-1;1)
|
0.09
|
-0.19
|
0.02
|
0.10
|
0.19
|
-0.05
|
0.13
|
0.14
|
0.02
|
0.21
|
0.77
|
0.49
|
0.62
|
1.00
|
Приложение 6
Индонезия
|
Dependent Variable: CAR(1;3)
|
|
|
|
Sample: 1 350 IF COUNTRY=Indonesia
|
|
|
|
Included observations: 45
|
|
|
|
Variable
|
Coefficient
|
Std. Error
|
t-Statistic
|
Prob.
|
|
Control
|
0.027231
|
0.034222
|
0.795723
|
0.4317
|
|
Size
|
5.08E-08
|
1.15E-07
|
0.440250
|
0.6625
|
|
Informal
|
-0.001620
|
0.000928
|
-1.744494
|
0.0901
|
|
Inst
|
0.085947
|
0.074325
|
1.156367
|
0.2556
|
|
MTB
|
0.025320
|
0.015428
|
1.641124
|
0.1100
|
|
Payment
|
0.011766
|
0.033621
|
0.349942
|
0.7285
|
|
ROA
|
0.037237
|
0.101776
|
0.365866
|
0.7167
|
|
Industry
|
-0.009826
|
0.047293
|
-0.207772
|
0.8366
|
|
SOE
|
0.004436
|
0.002694
|
1.646423
|
0.1089
|
|
Legal
|
0.075835
|
0.030605
|
2.477850
|
0.0183
|
|
C
|
-0.279602
|
0.127106
|
-2.199758
|
0.0347
|
|
R-squared
|
0.376102
|
Mean dependent var
|
0.032917
|
|
Adjusted R-squared
|
0.222014
|
S.D. dependent var
|
0.115251
|
|
S.E. of regression
|
0.094898
|
Akaike info criterion
|
-1.663443
|
|
Sum squared resid
|
0.306191
|
Schwarz criterion
|
-1.221814
|
|
Log likelihood
|
48.42746
|
Hannan-Quinn criter.
|
-1.498808
|
|
F-statistic
|
3.089811
|
Durbin-Watson stat
|
2.187342
|
|
Prob(F-statistic)
|
0.006704
|
|
|
|
Приложение 7
Малайзия
|
Dependent Variable: CAR(1;5)
|
|
|
Method: Least Squares
|
|
|
|
Sample: 1 350 IF COUNTRY=Malaysia
|
|
|
|
Included observations: 177
|
|
|
|
Variable
|
Coefficient
|
Std. Error
|
t-Statistic
|
Prob.
|
|
Control
|
0.009952
|
0.013505
|
0.736895
|
0.4622
|
|
Size
|
-1.04E-08
|
1.30E-08
|
-0.798036
|
0.4260
|
|
Informal
|
-0.000975
|
0.000217
|
-4.496452
|
0.0000
|
|
Inst
|
-0.025200
|
0.035655
|
-0.706776
|
0.4807
|
|
MTB
|
0.017935
|
0.005212
|
3.440773
|
0.0007
|
|
Payment
|
-0.002550
|
0.013462
|
-0.189460
|
0.8500
|
|
ROA
|
0.062764
|
0.054410
|
1.153552
|
0.2503
|
|
Industry
|
0.031690
|
0.008404
|
3.770844
|
0.0002
|
|
SOE
|
0.000332
|
0.000314
|
1.056544
|
0.2923
|
|
Legal
|
0.059643
|
0.008758
|
6.809758
|
0.0000
|
|
C
|
-0.104145
|
0.034136
|
-3.050863
|
0.0027
|
|
R-squared
|
0.400323
|
Mean dependent var
|
0.009560
|
|
Adjusted R-squared
|
0.270222
|
S.D. dependent var
|
0.085328
|
|
S.E. of regression
|
0.062107
|
Akaike info criterion
|
-2.659789
|
|
Sum squared resid
|
0.640305
|
Schwarz criterion
|
-2.462401
|
|
Log likelihood
|
246.3913
|
Hannan-Quinn criter.
|
-2.579736
|
|
F-statistic
|
16.62146
|
Durbin-Watson stat
|
1.884649
|
|
Prob(F-statistic)
|
0.000000
|
|
|
|
Приложение 8
Таиланд
|
Dependent Variable: CAR(1;3)
|
|
|
Method: Least Squares
|
|
|
|
Sample: 1 350 IF COUNTRY=Thailand
|
|
|
|
Included observations: 96
|
|
|
|
Variable
|
Coefficient
|
Std. Error
|
t-Statistic
|
Prob.
|
|
Size
|
6.76E-08
|
4.16E-08
|
1.626177
|
0.1076
|
|
Informal
|
-0.002041
|
0.000998
|
-2.046011
|
0.0438
|
|
Inst
|
-0.046080
|
0.040123
|
-1.148471
|
0.2540
|
|
MTB
|
0.025474
|
0.005738
|
4.439407
|
0.0000
|
|
Payment
|
-0.001136
|
0.013668
|
-0.083106
|
0.9340
|
|
ROA
|
0.102989
|
0.070360
|
1.463758
|
0.1469
|
|
Industry
|
0.026357
|
0.012741
|
2.068692
|
0.0416
|
|
SOE
|
-0.001154
|
0.001009
|
-1.144325
|
0.2557
|
|
Legal
|
0.021227
|
0.014701
|
1.443933
|
0.1524
|
|
C
|
-0.110775
|
0.040000
|
-2.769353
|
0.0069
|
|
R-squared
|
0.383016
|
Mean dependent var
|
0.026296
|
|
Adjusted R-squared
|
0.318447
|
S.D. dependent var
|
0.102368
|
|
S.E. of regression
|
0.084511
|
Akaike info criterion
|
-2.005536
|
|
Sum squared resid
|
0.614222
|
Schwarz criterion
|
-1.738416
|
|
Log likelihood
|
106.2657
|
Hannan-Quinn criter.
|
-1.897562
|
|
F-statistic
|
5.931959
|
Durbin-Watson stat
|
2.164578
|
|
Prob(F-statistic)
|
0.000002
|
|
|
|