Економічна ефективність рослинницьких галузей та шляхи її підвищення
МИКОЛАЇВСЬКИЙ НАЦІОНАЛЬНИЙ
АГРАРНИЙ УНІВЕРСИТЕТ
Кафедра економіки сільського
господарства
КУРСОВИЙ ПРОЕКТ
З ЕКОНОМІКИ ПІДПРИЄМСТВА З ОСНОВАМИ СТАТИСТИКИ НА ТЕМУ:
Економічна ефективність рослинницьких
галузей та шляхи її підвищення
Виконала:
Студентка
Ворошилова О.Г.
Миколаїв - 2016
ЗМІСТ
Вступ
Розділ
1. Огляд літературних джерел або теоретичні основи ефективності
сільськогосподарського виробництва
1.1 Поняття
та суть ефективності сільськогосподарського виробництва
.2 Система
показників ефективності сільськогосподарського виробництва
Розділ 2.
Економічна ефективність рослинницьких галузей
.1
Виробничо-економічна характеристика господарства
.2 Місце
рослинництва в економіці господарства
2.3 Динаміка
та структура витрат в рослинництві
.4 Продуктивність
праці при виробництві продукції рослинництва
.5
Економічна ефективність виробництва і реалізації; рентабельність виробництва
продукції
Розділ
3. Динаміка виробництва продукції та фактори ефективності галузі рослинництва
.1
Динаміка валової продукції рослинництва на 100га с.г. угідь
.2
Кореляційний аналіз залежності виробництва валової продукції рослинництва від
енерго- та фондозабезпеченості
Розділ
4. Основні шляхи підвищення економічної ефективності виробництва продукції
рослинництва
Висновки
Список
використаних джерел
Додатки
ВСТУП
На всіх етапах розвитку сільського господарства одним із
основних напрямів є виробництво продукції рослинництва, а обґрунтування заходів
щодо його стабілізації і підвищення ефективності - загальнодержавним завданням.
Розвиток рослинництва здійснюється шляхом удосконалення
земельних відносин і запровадження сучасних технологій, що сприятиме
забезпеченню стабільності та ефективності використання земель
сільськогосподарського призначення, підвищенню добробуту сільського населення
[1].
Актуальність проблеми ефективності сільськогосподарського виробництва за
сучасних умов виходить на перше місце серед інших проблем. Дослідженню проблеми
ефективності виробництва продукції рослинництва в сільськогосподарських
підприємствах в умовах ринкових перетворень присвячені наукові праці багатьох
вчених-аграріїв. Розв'язування проблеми збільшення виробництва продукції
рослинництва, поліпшення її якості вимагає радикальних перетворень в
економічних відносинах, прискорення науково-технічного прогресу і соціальної
перебудови села за рахунок інвестицій і підтримки держави.
У цілому ситуація у галузі рослинництва Миколаївської області є
задовільною. На сьогоднішній день є декілька головних умов, за яких можна
досягти суттєвого збільшення виробництва основних сільськогосподарських
культур. Це, насамперед, підвищення врожайності сільськогосподарських культур
через впровадження новітніх технологі вирощування сільськогосподарських
культур, оптимізації використання техніки, збільшення обсягів внесення
органічних добрив та ін.
Важливим є налагодження більш тісних зв’язків між науковими установами та
навчальними закладами області і сільськогосподарськими формуваннями та
забезпечення переходу галузі на інноваційну модель розвитку це дасть можливість
збільшити виробництво рослинницької продукції та підняти економічну
ефективність сільськогосподарських підприємств області.
Мета та завдання курсової роботи:
. на прикладі ТОВ „Золотий Колос“, Миколаївської області, уточнити сутність економічної ефективності
виробництва сільськогосподарської продукції.
2. визначити тенденції змін, які відбулись у сільському господарстві.
3. обґрунтувати перспективи розвитку та шляхи підвищення
економічної ефективності рослинницьких галузей.
Предметом дослідження є аналіз ефективності рослинницьких
галузей та шляхи її підвищення.
Об’єктом дослідження є ТОВ „Золотій Колос“, Миколаївської області.
Як вихідна інформація в курсовій роботі використовувалися матеріали
статистичної звітності України, Миколаївської області, а саме ТОВ „Золотий Колос“, Миколаївського району.
У процесі дослідження застосовувалися статистичний,
економіко-математичний, графічний методи, а також метод порівнянь.
Під час виконання курсової роботи були використані форми державної звітності: 50-сг, 29-сг, 10-мех, 11-оз за 2012 - 2014 рр.
Даний
курсовий
<#"906623.files/image001.gif">
Рис. (1.1). Формування ефективності виробництва
Ефективність - це економічна
категорія, що відображає співвідношення між одержаними результатами і
витраченими на їх досягнення ресурсами, причому при вимірюванні ефективності
ресурси можуть бути представлені або в певному обсязі за їх первісною
(переоціненою) вартістю (застосовувані ресурси), або частиною їх вартості у
формі виробничих витрат (виробничо спожиті ресурси). Якщо при цьому врахувати, що
результати виробництва не лише є різноманітними, але й можуть бути представлені
в різних формах: вартісній, натуральній, соціальній, то стає очевидною
необхідність в ідентифікації категорії ефективності відповідно до тих аспектів
діяльності підприємства, які важливо проаналізувати й оцінити.
Економічна ефективність - це таке співвідношення між
ресурсами і результатами виробництва, за якого отримують вартісні показники
ефективності виробництва. При цьому можливі три варіанти вказаного
співвідношення:
) ресурси і результати виражені у вартісній формі;
) ресурси - у вартісній, а результати - у натуральній
формі;
) ресурси - у натуральній, а результати - у вартісній
формі.
Вимірювальну систему економічної ефективності
сільськогосподарського виробництва доцільно будувати таким чином, щоб вона була
здатна повністю розкривати дві взаємопов’язані і взаємо доповнюючі
результативні сторони діяльності аграрних підприємств - раціональність
використання ними землі через показники загального ефекту, приведені до одиниці
площі сільськогосподарських угідь, і економічність виробництва, показники якої
розкривали б, якою ціною одержано цей ефект. З огляду на сказане для оцінки
ефективності діяльності аграрних підприємств слід широко використовувати
показники ефективності використання авансованого капіталу (див. підрозділ
14.6), показники собівартості продукції і продуктивності праці (див. теми 6,
9), фондовіддачі виробничих фондів [2].
Сільське господарство має свої специфічні особливості.
Зокрема в сукупності факторів досягнення високоефективного господарювання
особливе значення має земля як головний засіб виробництва, а в тваринництві -
продуктивна худоба. Тому оцінка корисного ефекту в сільськогосподарському виробництві
завжди стосується земельної площі або поголів'я продуктивної худоби і
співвідноситься з ними.
Економічна ефективність сільськогосподарського виробництва
означає одержання максимальної кількості продукції з одного гектара земельної
площі, від однієї голови худоби при найменших затратах праці і коштів на
виробництво одиниці продукції. Ефективність сільського господарства включає не
тільки співвідношення результатів і витрат виробництва, в ній відбиваються
також якість продукції і її здатність задовольняти ті чи інші потреби
споживача. При цьому підвищення якості сільськогосподарської продукції вимагає
додаткових затрат живої і уречевленої праці.
Сільське господарство має великий економічний потенціал,
насамперед значний обсяг діючих виробничих фондів. Тому поліпшення використання
їх є одним з найважливіших завдань, розв'язання якого сприятиме підвищенню
ефективності сільськогосподарського виробництва. Рівень ефективності, що
виражається відношенням маси вироблених продуктів до трудових затрат, об'єктивно
спрямовується до свого максимуму, оскільки рівень здібностей працівників
зростає, а умови сільськогосподарського виробництва під впливом
науково-технічного прогресу постійно вдосконалюються.
Підвищення економічної ефективності
сільськогосподарського виробництва сприяє зростанню доходів господарств, що є
основою розширення і вдосконалення виробництва, підвищення оплати праці і
поліпшення культурно-побутових умов працівників галузі.
Суть проблеми підвищення ефективності виробництва
(продуктивності виробничо-економічної системи) полягає у тому, щоб на кожну
одиницю витрат - трудових, матеріальних, фінансових - досягати максимально
можливого збільшення обсягу виробництва або доходу. Виходячи з цього єдиним
народногосподарським економічним критерієм ефективності виробництва можна
вважати зростання продуктивності суспільної (живої і уречевленої) праці. У
загальному вигляді критерій ефективності виробництва відображає постійно
здійснюваний процес максимізації обсягу чистої продукції (національного доходу)
по відношенню до витрат живої і уречевленої праці (персоналу і виробничих
фондів підприємства або народного господарства в цілому). На рівні
госпрозрахункового підприємства модифікованою формою єдиного критерію
ефективності (продуктивності) його діяльності може слугувати максимізація
прибутку за умови економічно обґрунтованої побудови систем цін на вироблювану
продукцію та оплати праці залежно від кінцевих результатів виробництва. Між
народногосподарським і госпрозрахунковим (комерційним) критеріями принципової
розбіжності не існує, оскільки при правильно побудованих цінах на засоби
виробництва і кінцеву продукцію збільшення обсягу чистої продукції підприємства
справляє адекватний вплив і на величину одержуваного ним прибутку. [2]
Підвищення ефективності виробництва можливе за рахунок
нарощування обсягів сільськогосподарської продукції та високоякісних
продовольчих товарів на основі зростання врожайності сільськогосподарських
культур, раціонального використання одержаної продукції, своєчасного доведення
її до споживача. Рівень досягнутої підприємством урожай ності характеризує
культуру господарювання, міру оволодін ня інтенсивними технологіями,
досконалість організації ви робництва і залежить від цілеспрямованих
капіталовкладень у підвищення родючості землі, фондоозброєності праці,
фондооснащеності виробництва.
Достовірна оцінка діяльності виробництва досягається
при обгрунтованому методичному підході до розрахунку показників рівня
використання виробничих ресурсів: землі, основних виробничих засобів і оборотних
коштів, а також трудових ресурсів. Рівень використання землі в агропро мислових
підприємствах і фірмах характеризує вартість ви робництва валової продукції,
валовий доход і прибуток, одержані в сільському господарстві на одиницю
сільського сподарських угідь [3, с.49].
Процес виробництва здійснюється через поєднання
факторів, що його визначають: засобів праці (основні фонди), предметів праці
(оборотні фонди), робочої сили (трудові ресурси). Крім того, істотним чином на
виробництво впливає фінансовий стан підприємства, а також певні організаційні,
управлінські, технологічні та інші переваги, що відображаються як нематеріальні
ресурси. Тож за оцінку витрат логічно взяти оцінку всіх перелічених ресурсів.
Виходячи з цього можна дати таке визначення ефективності: ефективність
підприємства являє собою комплексну оцінку кінцевих результатів використання
основних і оборотних фондів, трудових і фінансових ресурсів та нематеріальних
активів за певний період часу.
Для визначення економічної ефективності сільськогосподарського
виробництва, окремих його галузей, господарської діяльності підприємств різних
форм власності, їх підрозділів, виробництва окремих культур, агротехнічних і
зоотехнічних заходів, упровадження в виробництво комплексів, нових технічних
розробок, досягнень науки і техніки, передового досвіду тощо використовують
часткові або локальні критерії. У кожному окремому випадку критерій може
набувати конкретнішої форми з урахуванням характеру й особливостей виробництва.
Наприклад, для досягнення приросту урожайності певної культури та
підвищення якості продукції визначають мінімальні витрати добрив, пального,
засобів захисту, на оплату праці, а також витрати на охорону навколишнього
середовища. У кінцевому підсумку всі часткові критерії повинні відповідати основному
народногосподарському критерію. У зв'язку з цим критерієм економічної
ефективності аграрного виробництва є збільшення обсягу чистої продукції за
найменших затрат живої й уречевленої праці на її одиницю.
1.2 Система показників ефективності сільськогосподарського
виробництва
Ефективність виробництва - це складне і багатогранне явище,
тому для її визначення необхідно використовувати систему показників, спроможних
водночас відображати специфіку і особливості сільського господарства.
В ефективності виробництва відображується вплив комплексу
взаємозв'язаних факторів, які формують її рівень і визначають тенденції
розвитку. Для оцінки економічної ефективності сільськогосподарського
виробництва використовують відповідний критерій і систему взаємозв'язаних показників,
які характеризують вимоги економічних законів і вплив різних факторів.
Економічна ефективність сільськогосподарського виробництва
визначається відповідно як ефективність народногосподарська, галузей і
виробництва окремих продуктів, а також господарської діяльності
сільськогосподарських підприємств і окремих заходів. Залежно від цього
використовують різні економічні показники, які повинні бути органічно
взаємозв'язані і відповідати критерію ефективності. Вони не можуть бути єдиними
для оцінки рівня народногосподарської ефективності сільського господарства і
госпрозрахункової ефективності окремих його галузей і видів продукції,
агротехнічних, зооветеринарних і організаційно-економічних заходів,
впровадження науки і передової практики.
Рівень народногосподарської ефективності сільського
господарства визначається такими показниками, як обсяг і темпи зростання
виробництва валової продукції і окремих її видів з розрахунку на душу
населення.
У здійсненні аграрної реформи ціни є важливим стимулюючим
фактором прискорення розвитку сільськогосподарського виробництва, підвищення
його ефективності і якості. Закупівельні ціни, які органічно пов'язані з
роздрібними цінами на продовольство і товари з сільськогосподарської сировини,
відображують інтереси всього населення і забезпечують відповідний рівень його
добробуту.
Для визначення економічної ефективності сільськогосподарського
виробництва необхідно не тільки обчислити одержаний при цьому результат, а й
зіставити його з витратами засобів виробництва і живої праці. У процесі
сільськогосподарського виробництва як затрати функціонують:
сільськогосподарські угіддя; затрати живої праці працівників матеріального
виробництва; основні і оборотні виробничі фонди; витрати спожитих засобів і
предметів праці (матеріальні витрати); річні витрати виробництва. При цьому
категорія витрат набуває певних функціональних форм, які визначають
класифікацію витрат сільськогосподарського виробництва в господарствах.
Для визначення економічної ефективності виробництва в цілому
по сільськогосподарських підприємствах використовується система показників, які
доцільно обчислювати в такій послідовності:
вартість валової продукції (грн.) на 1 га
сільськогосподарських угідь, на середньорічного працівника, на 100 грн.
виробничих витрат, розмір валового і чистого доходу та прибутку на 1 га
сільськогосподарських угідь, на 1 середньорічного працівника, на 1 люд-год, на
100 грн. витрат виробництва, на 1000 грн. виробничих фондів; рівень
рентабельності і норма прибутку сільськогосподарського виробництва.[4, с. 125]
Показники економічної ефективності сільськогосподарського
виробництва визначають і порівнюють за окремі роки або в середньому за 3 - 5
років. Вони характеризують ефективність використання землі як основного
засобу виробництва, рівень продуктивності праці, тобто ефективність
використання трудових ресурсів, фондовіддачу і фондомісткість продукції,
окупність виробничих витрат, рівень рентабельності виробництва.
РОЗДІЛ 2. ЕКОНОМІЧНА ЕФЕКТИВНІСТЬ РОСЛИННИЦЬКИХ ГАЛУЗЕЙ
2.1 Виробничо-економічна характеристика господарства
Товариство з обмеженою відповідальністю „Золотий Колос“ розташовано в
Миколаївській області, м. Миколаєва на вулиці Кіровоградська 23В. Миколаїв є
основним центром збуту продукції сільського господарства.
Миколаївський
район розташований на півдні Миколаївської області. Як
адміністративно-територіальна одиниця утворений у березні 1923 року. Межує з
Очаківським
<https://uk.wikipedia.org/wiki/%D0%9E%D1%87%D0%B0%D0%BA%D1%96%D0%B2%D1%81%D1%8C%D0%BA%D0%B8%D0%B9_%D1%80%D0%B0%D0%B9%D0%BE%D0%BD>
і Березанським районами
<https://uk.wikipedia.org/wiki/%D0%91%D0%B5%D1%80%D0%B5%D0%B7%D0%B0%D0%BD%D1%81%D1%8C%D0%BA%D0%B8%D0%B9_%D1%80%D0%B0%D0%B9%D0%BE%D0%BD>,
а по акваторії річки Південний Буг <https://uk.wikipedia.org/wiki/%D0%9F%D1%96%D0%B2%D0%B4%D0%B5%D0%BD%D0%BD%D0%B8%D0%B9_%D0%91%D1%83%D0%B3>
таБузькому лиману
<https://uk.wikipedia.org/wiki/%D0%91%D1%83%D0%B7%D1%8C%D0%BA%D0%B8%D0%B9_%D0%BB%D0%B8%D0%BC%D0%B0%D0%BD>
- з Новоодеським <https://uk.wikipedia.org/wiki/%D0%9D%D0%BE%D0%B2%D0%BE%D0%BE%D0%B4%D0%B5%D1%81%D1%8C%D0%BA%D0%B8%D0%B9_%D1%80%D0%B0%D0%B9%D0%BE%D0%BD>,
Жовтневим районами
<https://uk.wikipedia.org/wiki/%D0%96%D0%BE%D0%B2%D1%82%D0%BD%D0%B5%D0%B2%D0%B8%D0%B9_%D1%80%D0%B0%D0%B9%D0%BE%D0%BD_(%D0%9C%D0%B8%D0%BA%D0%BE%D0%BB%D0%B0%D1%97%D0%B2%D1%81%D1%8C%D0%BA%D0%B0_%D0%BE%D0%B1%D0%BB%D0%B0%D1%81%D1%82%D1%8C)>
та містом Миколаєвом.
ТОВ «Золотий Колос» створене більше десяти років потому. Види
діяльності:
вирощування, доведння до посівних кондицій і реалізація насіння
передових і вже хорошо зарекомендовавших себя сортів і гибридів різних культур,
таких як: соняшник, кукурудза, пшениця, ячмінь, тритикале, кориандр, соя,
гірчиця, гречиха, просо та інших.
переробка, зберігання і реалізація сільскогосподарської продукції, як
власного виробництва, так і придбаної;
послуги по очистці, калибровці, протравці, сушінню сільгосппродукції,
виробництво круп,
виробництво соняшникової олії.
Кліматичні умови господарства характеризується помірно-континентальним
кліматом нестачею вологи, високими літніми. Середньо
багаторічна кількість опадів складає 335 мм.Ґрунти на території господарства -
це чорноземи
<#"906623.files/image002.gif">
Кспец=100/(26,
6*(2*1-1)+19, 3*(2*2-1)+12, 2*(2*3-1)+10, 7*(2*4-1)+ 9, 6*(2*5-1)+ 7, 0*(2*6-1)+ 3, 1*(2*7-1)+ 2, 9*(2*8-1)+ 2, 8*(2*9-1)+ 2, 0*(2*10-1)+ 1, 2*(2*11-1)+ 1, 1*(2*12-1)+ 0, 7*(2*13-1)+0, 6*(2*14-1)+0,
2*(2*15-1))= 0, 155.
Розрахований коефіцієнт показує, що ТОВ «Золотий Колос» Миколаївського району
це
багатогалузеве господарство, так як його значення 0, 200.
Розглядаючи виробничо-економічну характеристику підприємства доцільно
проаналізувати виробничі ресурси та особливості їхнього використання за
допомогою табл.2.3
Таблиця 2.3.
Забезпеченість
виробничими ресурсами та ефективність їх використання в ТОВ «Золотий Колос» Миколаївського району
|
Показники
|
2 012р.
|
2 013р.
|
2 014р.
|
2014р. в %
|
|
|
|
|
2 012р.
|
2 013р.
|
|
Припадає на одного середньорічного працівника, зайнятого в
сільськогосподарському виробництві:
|
|
|
|
|
|
|
- сільськогосподарських угідь, га
|
38, 38
|
42, 5
|
39, 7
|
103, 44
|
93, 41
|
|
-основних виробничих фондів, тис.грн
|
73, 13
|
73, 21
|
74, 5
|
101, 87
|
101, 76
|
|
-енергетичних потужностей, к.с.
|
-
|
44, 64
|
41, 7
|
-
|
93, 35
|
|
Припадає на 100 га сільгоспугідь:
|
190, 50
|
172, 27
|
187, 8
|
98, 59
|
109, 03
|
|
-основних виробничих фондів, тис.грн
|
|
|
|
|
|
|
-енергетичних потужностей, к.с.
|
-
|
105, 4
|
105, 4
|
-
|
100
|
|
Одержано на 100га сільгоспугідь, тис.грн:
|
237, 29
|
351, 69
|
448, 5
|
188, 9
|
139, 41
|
|
- валової продукції сільського господарства (в порівняних
цінах 2010р.)
|
|
|
|
|
|
|
- товарної продукції
|
1229, 4
|
1034, 1
|
1354, 9
|
110, 21
|
131, 03
|
|
- прибутку
|
295, 64
|
338, 48
|
395, 8
|
133, 87
|
116, 93
|
|
Одержано на одного працівника, зайнятого в
сільськогосподарському виробництві, тис.грн.
|
|
|
|
|
|
|
- валової продукції сільського господарства (в
порівняних цінах 2010р.)
|
91, 09
|
136, 72
|
177, 9
|
195, 29
|
130, 11
|
|
- товарної продукції
|
471, 94
|
433, 48
|
537, 5
|
113, 88
|
122, 29
|
|
- прибутку
|
113, 49
|
143, 85
|
156, 9
|
138, 33
|
109, 13
|
|
Фондовіддача, грн
|
1, 25
|
1, 87
|
2, 39
|
191, 2
|
127, 81
|
|
Рівень рентабельності (збитковості), %
|
31, 67
|
48, 66
|
41, 26
|
130, 28
|
84, 79
|
|
Норма прибутку, %
|
155, 19
|
196.48
|
210, 7
|
135, 78
|
107, 25
|
Отже, за
досліджуваний період ТОВ «Золотий Колос» Миколаївського району працював з
рівнем рентабельності у 2012р. - 31, 67; 2013р. - 48, 66; 2014р. - 41, 26.
Тобто чіткої тенденції не існує.
В звітному році в ТОВ «Золотий Колос» Миколаївського району з
14 показників більшість зростає:
- основних виробничих фондів, тис.грн., що припадає на одного
середньорічного працівника,
зайнятого в сільськогосподарському виробництві на 1, 76%;
припадає на 100 га сільгоспугідь основних виробничих
фондів, тис.грн., на 9, 03%;
одержано на 100га сільгоспугідь, тис.грн., валової
продукції сільського господарства (в порівняних цінах 2010р.) на 39, 41%;
одержано на 100га сільгоспугідь, тис.грн., товарної продукції на 31, 03%;
одержано на 100га сільгоспугідь, тис.грн., прибутку на 16, 93%;
одержано на одного працівника, зайнятого в
сільськогосподарському виробництві, тис.грн., валової продукції сільського
господарства (в порівняних цінах 2010р.) на 30, 11%;
одержано на одного працівника, зайнятого в
сільськогосподарському виробництві, тис.грн., товарної продукції на 22, 39%;
одержано на одного працівника, зайнятого в
сільськогосподарському виробництві, тис.грн., прибутку на 9, 13%;
фондовіддача на 27, 81%;
норма прибутку на 7, 25%.
2.2 Місце рослинництва в економіці господарства
Для ТОВ «Золотий
Колос» Миколаївського району рослинництво - це основна і єдина галузь сільського господарства, яка
визначає його спеціалізацію. Спеціалізація виробництва - один із вагомих
чинників інтенсифікації сільського господарства. Вона сприяє найбільш
ефективному використанню землі, трудових ресурсів, основних та обігових фондів,
що у свою чергу забезпечує піднесення продуктивності суспільної праці,
прискорення темпів зростання виробництва продуктів харчування і сировини.
Спеціалізація на основі впровадження досягнень науково-технічного прогресу,
раціонального використання агрокліматичних умов, матеріально-технічних і
трудових ресурсів, інтенсифікації виробництва сприяє його концентрації та є
важливим чинником підвищення ефективності сільського господарства [5].
Виходячи з цього можна зазначити, що підприємство використовує всі
трудові, природні та матеріальні ресурси на виробництво продукції рослинництва
і одержує від цього прибуток та інші кінцеві результати діяльності.
Відповідно до діяльності ТОВ «Золотий Колос», який зосереджений на
виробництві продукції рослинництва, важливим показником, що дає оцінку цій
діяльності є урожайність.
Урожайність сільськогосподарських культур - середній розмір певної
продукції рослинництва з одиниці фактично зібраної площі даної культури. Від
правильного планування і прогнозування рівня урожайності сільськогосподарських
культур багато в чому залежить якість планового економічного рівня таких
економічних категорій, як: собівартість, продуктивність праці, рентабельність і
інші економічні показники. Таким чином, урожайність культур в кожному
господарстві грає одну з перших ролей, і виробник сільськогосподарської
продукції повинен прагнути до постійного її підвищення.
Для аналізу урожайності в господарстві розглянемо табл.2.4
Таблиця 2.4.
Динаміка урожайності
посівних площ і валового збору зернових в ТОВ «Золотій Колос» Миколаївського району
|
Культури
|
Посівна площа, га
|
Урожайність,
|
Валовий збір, ц
|
|
|
ц з га
|
|
|
2013 По
|
2014 П1
|
2013 У0
|
2014 У1
|
У0П0
|
У1П1
|
У0П1
|
|
|
|
|
|
|
|
|
|
Пшениця озима
|
266, 00
|
337, 00
|
40, 41
|
71, 38
|
10748, 00
|
24055, 00
|
13616, 83
|
|
Ячмінь озимий
|
190, 00
|
150, 00
|
43, 75
|
54, 99
|
8312, 00
|
8249, 00
|
6562, 11
|
|
Ячмінь ярий
|
97, 00
|
130, 00
|
37, 43
|
56, 55
|
3631, 00
|
7351, 00
|
4866, 29
|
|
Овес
|
37, 00
|
20, 00
|
33, 73
|
40, 7
|
1248, 00
|
814, 00
|
674, 59
|
|
Кукурудза на зерно
|
10, 00
|
15, 00
|
70, 10
|
73, 00
|
701, 00
|
1095, 00
|
1051, 50
|
|
Просо
|
30, 00
|
-
|
31, 03
|
-
|
931, 00
|
-
|
-
|
|
Гречка
|
10, 00
|
-
|
17, 40
|
-
|
174, 00
|
-
|
-
|
|
Горох
|
5, 00
|
10, 00
|
20, 40
|
44, 60
|
102, 00
|
446, 00
|
204, 00
|
|
Інші зернобобові культури
|
12, 00
|
10, 00
|
24, 25
|
27, 20
|
291, 00
|
272, 00
|
242, 50
|
|
Сорго
|
13, 00
|
-
|
44, 62
|
-
|
580, 00
|
-
|
-
|
|
∑
|
670, 00
|
672, 00
|
363, 11
|
363, 42
|
26718, 00
|
42282,
00
|
27217, 82
|
|
Середнє
|
-
|
-
|
39, 88
|
62, 77
|
-
|
-
|
-
|
Індекс валового збору має вид:
; (2.1)
Iyns=42182,
00/26718, 00 = 1, 578 або 157, 8%.
.
(2.2)
Звідси
∆yns = 42182, 00 - 26718, 00 =15464ц.
Розрахуємо
індекс урожайності:
; (2.3)
Iy = 42182,
00/27217, 82 = 1, 549 або 154, 9%.
Звідси
= 42182, 00 - 27217, 82=14964, 18 ц (2.4)
Індекс
посівних площ:
; In = 672/670= 1, 002 або 100, 2%. (2.5)
=(672-670)*39,
88=79, 75ц (2.6)
Індекс
структури посівних площ:
= 26718,
00/(39, 88*672) = 1, 016 або 101, 6%. (2.7)
= 26718,
00-(36, 31*672) = 420, 06 ц. (2.8)
Отже,
аналізуючи розраховані показники можна зробити висновок, що валовий збір у
звітному році порівняно з базисним збільшився в 1, 578 раз або на 57, 8%, що в
натуральному виразі складає 15464ц. Це пов’язано із розширенням посівних площ у
2014 році на 2 га. Таким чином урожайність зернових культур також має тенденцію
до збільшення на 54, 9% або в 1, 549 разів.
2.3
Динаміка та структура витрат в рослинництві
Для визначення собівартості кожної продукції важливо здійснювати облік
витрат, які здійснює підприємство для виробництва цієї продукції. Витрати підприємства відображаються безпосередньо за
статтями витрат, які мають місце при виробництві. Облік витрат виробництва в
рослинництві побудовано таким чином, щоб мати змогу узагальнювати витрати на
окремі види робіт за культурами або однорідними групами, а по завершенні року
обчислювати фактичну собівартість зібраної продукції. Собівартість - один з
найважливіших показників господарської діяльності аграрних підприємств,
оскільки показує, у що саме обходиться господарству виробництво відповідного
виду продукції і наскільки економічно вигідним воно є в конкретних
природно-економічних умовах господарювання. Показник собівартості дає
можливість глибоко аналізувати економічний стан підприємства і виявляти резерви
підвищення ефективності виробництва.
Розглянемо
та проаналізуємо виробничі витрати господарства в табл.2.5
Таблиця 2.5.
Склад та структура
виробничих витрат в рослинництва в ТОВ «Золотий Колос» Миколаївського району
|
Статті затрат
|
2013 рік
|
2014 р
|
Відхилення (+, -)
|
|
тис.грн
|
%
|
тис.грн
|
%
|
тис.грн
|
в.п.
|
|
Витрати на оплату праці
|
436, 3
|
5, 7
|
468, 4
|
4, 3
|
32, 1
|
-1, 4
|
|
Відрахування на соціальні заходи
|
162, 7
|
2, 1
|
170, 0
|
1, 5
|
7, 3
|
-0, 6
|
|
Матеріальні витрати - всього у тому числі
|
5122, 0
|
8501, 8
|
77, 5
|
3379, 8
|
10, 9
|
|
- на насіння та посадковий матеріал
|
615, 8
|
8, 0
|
924, 8
|
8, 4
|
309
|
0, 4
|
|
- корми
|
-
|
-
|
-
|
-
|
-
|
-
|
|
- інша продукція сільськогосподарського виробництва
|
-
|
-
|
-
|
-
|
-
|
-
|
|
- добрива
|
1758, 2
|
22, 9
|
2803, 2
|
25, 6
|
1045
|
2, 7
|
Виходячи з наведених розрахунків, можна зробити висновок, що в структурі
виробничих витрат за два наведені роки найбільшу питому вагу займають
матеріальні витрати. У 2014р. порівняно з 2013р. матеріальні витрати
збільшились на 10, 9 в.п., а у вартісному виразі - на 3379, 8 тис.грн. Серед
матеріальних витрат найбільшу частку посідають витрати на запасні частини, на
добрива та пальне і мастильні матеріали. Значну питому вагу також мають інші
витрати, включаючи плату за оренду, які порівняно з 2013р. у 2014р. зменшилися
на 11, 5 в.п., або на 514 тис. грн.
Таким чином можна зробити висновок, що в ТОВ «Золотий Колос»
Миколаївського району виробничі витрати в звітному році порівняно з базисним
зросли. Проте деякі елементи витрат, такі як амортизація, витрати на оплату
праці, відрахування на соціальні заходи, інші витрати, у тому числі орендна
плата за земельні частки, скоротилися.
ТОВ «Золотий Колос» Миколаївського району найбільше спеціалізується на
виробництві ячменю та соняшнику.
Так як в ТОВ «Золотий Колос» Миколаївського району найбільшу питому вагу
в структурі виробництва продукції рослинництва займають ячмінь та соняшник, то
доцільно відобразити аналіз собівартості 1ц. даної продукції в табл.2.6 та 2.7 та у вигляді секторних діаграм.
Таблиця 2.6.
Склад та структура
собівартості 1ц ячменю в ТОВ «Золотий Колос» Миколаївського району
|
Елементи витрат
|
2 013р.
|
2 014р.
|
Відхилення (+, -)
|
|
грн.
|
%
|
грн.
|
%
|
тис.грн.
|
в.п
|
|
Прямі матеріальні витрати всього, в т.ч.:
|
145, 0
|
69, 5
|
106, 9
|
70, 5
|
-38, 1
|
1, 0
|
|
насіння та посадковий матеріал
|
20, 3
|
9, 7
|
9, 9
|
6, 5
|
-10, 4
|
-3, 2
|
|
мінеральні добрива
|
43, 9
|
21, 0
|
41, 2
|
27, 1
|
-2, 7
|
6, 1
|
|
нафтопродукти
|
53, 4
|
25, 6
|
41, 3
|
27, 2
|
-12, 1
|
1, 6
|
|
оплата послуг і робіт сторонніх організацій
|
-
|
-
|
-
|
-
|
-
|
-
|
|
решта матеріальних витрат
|
27, 5
|
13, 2
|
14, 6
|
9, 6
|
-12, 9
|
-3, 6
|
|
Прямі витрати на оплату праці
|
11, 2
|
5, 4
|
7, 4
|
4, 9
|
-3, 8
|
-0, 5
|
|
Інші прямі та загально виробничі витрати всього, в т.ч.:
|
52, 4
|
25, 1
|
37, 4
|
24, 6
|
-15, 0
|
-0, 5
|
|
амортизація необоротних активів
|
4, 6
|
2, 2
|
15, 3
|
10, 1
|
10, 6
|
7, 8
|
|
відрахування на соціальні заходи
|
4, 2
|
2, 0
|
2, 7
|
1, 8
|
-1, 5
|
-0, 2
|
|
решта інших прямих та загальновиробничих витрат
|
43, 6
|
20, 9
|
19, 4
|
12, 8
|
-24, 2
|
-8, 1
|
|
Усого витрат
|
208, 7
|
100, 0
|
151, 7
|
100, 0
|
-57, 0
|
-
|
На основі цих даних побудуємо секторні діаграми складу та структури
собівартості 1 ц ячменю в ТОВ «Золотий Колос» Миколаївського району за 2013 та
2014рр «… див. рис. 2.1».
Рис. (2.1). Структура собівартості 1ц ячменю в ТОВ «Золотий Колос»
Миколаївського району району у 2013 та 2014 роках, %
Відповідно до розрахунків таблиці (2.7) треба відзначити, що
за досліджуваний період в ТОВ «Золотий Колос» Миколаївського району найбільшу
питому вагу в структурі виробничої собівартості 1 ц ячменю займають решта інших
прямих та загальновиробничих витрат. Цей показник у звітному році порівняно з базисним скоротився
на 8, 1 в.п., що у вартісному вираженні становить -48, 2 тис.грн., а також
мінеральні добрива, які навпаки - зросли на 6, 1 в.п., або на 54, 4 тис.грн.
Загалом більшість, а саме 6 із 10ти показників зменшились. Це означає, що
в ТОВ «Золотий Колос» Миколаївського району собівартвсть 1ц ячменю в звітному
році порівняно з базисним зменшилась.
Таблиця 2.7.
Склад та структура
собівартості 1ц соняшнику в ТОВ «Золотий Колос» Миколаївського району
|
Елементи витрат
|
2 013р.
|
2 014р.
|
Відхилення (+, -)
|
|
грн.
|
%
|
грн.
|
%
|
тис.грн.
|
в.п
|
|
Прямі матеріальні витрати всього, в т.ч.:
|
151, 3
|
67, 4
|
286, 9
|
70, 5
|
135, 6
|
3, 1
|
|
насіння та посадковий матеріал
|
16, 1
|
7, 2
|
57, 8
|
14, 2
|
41, 6
|
7, 0
|
|
мінеральні добрива
|
68, 6
|
30, 6
|
94, 8
|
23, 3
|
26, 2
|
-7, 3
|
|
нафтопродукти
|
48, 5
|
21, 6
|
95, 2
|
23, 4
|
46, 7
|
1, 8
|
|
оплата послуг і робіт сторонніх організацій
|
-
|
-
|
-
|
-
|
-
|
-
|
|
решта матеріальних витрат
|
18, 0
|
8, 0
|
39, 1
|
9, 6
|
21, 1
|
1, 6
|
|
Прямі витрати на оплату праці
|
14, 9
|
6, 6
|
19, 9
|
4, 9
|
5, 0
|
-1, 7
|
|
Інші прямі та загально виробничі витрати всього, в т.ч.:
|
58, 3
|
26, 0
|
100, 3
|
24, 6
|
42, 0
|
-1, 3
|
|
амортизація необоротних активів
|
6, 1
|
2, 7
|
40, 9
|
10, 0
|
34, 8
|
7, 3
|
|
відрахування на соціальні заходи
|
5, 6
|
2, 5
|
7, 2
|
1, 8
|
1, 7
|
-0, 7
|
|
решта інших прямих та загальновиробничих витрат
|
46, 6
|
20, 8
|
52, 2
|
12, 8
|
5, 5
|
-8, 0
|
|
Усого витрат
|
224, 5
|
100, 0
|
407, 1
|
100, 0
|
182, 6
|
-
|
На основі цих даних побудуємо секторні діаграми складу та структури
собівартості 1 ц соняшнику в ТОВ «Золотий Колос» Миколаївського району за 2013
та 2014рр «… див. рис. 2.2».
Рис. (2.2). Структура собівартості 1ц соняшнику в ТОВ «Золотий Колос»
Миколаївського району району у 2013 та 2014 роках, %
Виходячи з наведених розрахунків, можна зробити висновок, що
в структурі виробничої собівартості 1 ц соняшнику найбільшу питому вагу
займають матеріальні витрати, які в звітному році порівняно з базисним
зменшилися на 3, 1 в.п. або на 23, 9 тис.грн. В структурі матеріальних витрат
частка витрат на насіння та посадковий матеріал у 2014 році порівняно з 2013
роком зросла на 7, 0 в.п., витрати на мінеральні добрива зменшилися на 7, 3
в.п. Витрати на амортизацію необоротних активів збільшились на 7, 3 в.п. Решта
інших прямих та загальновиробничих витрат зменшились у 2014 році порівняно з
2013 - на 8, 0 в.п.
Собівартість продукції в останні роки дуже змінюється. Встановимо зміну
собівартості 1ц. продукції за два роки, в тому числі за рахунок факторів -
урожайності та затрат коштів на 1 га посіву. Для розрахунків використаємо
наведені нижче формули та данні табл. 2.8
, (2.9)
тоді
.
(2.10)
Зміна
собівартості за рахунок урожайності:
iу=
ZоУо/У1: ZоУо/Уо; (2.11)
∆у=
Zумов.- Zo; (2.12)
Зміна
собівартості за рахунок затрат коштів на 1 га посіву:
iз=
Z1У1/У1: ZоУо/У1; (2.13)
∆у= Z1- Zумов., де (2.14)
Zо, Z1 - собівартість 1 ц продукції, грн.;
Уо,
У1 - урожайність, ц з 1 га;оУо, Z1У1 - затраті на 1 га посіву, грн.,
Таблиця 2.8.
Зміна виробничої
собівартості 1ц продукції ячменюта соняшнику в ТОВ «Золотий Колос» Миколаївського району
|
Види продукції
|
Урожайність, ц/га
|
Виробнича собівартість 1ц продукції рослинництва, тис. грн.
|
Затрати на 1 га посіву, грн
|
|
2013 рік
|
2014 рік
|
2013 рік
|
2014 рік
|
2013 рік
|
2014 рік
|
умовний рік
|
|
Y0
|
Y1
|
Z0
|
Z1
|
Y0 Z0
|
Y1 Z1
|
Z0Y1
|
|
ячмінь (озимий+ярий)
|
41, 61
|
55, 71
|
208, 70
|
151, 71
|
8684, 67
|
8452, 14
|
11627, 55
|
|
соняшник
|
31, 43
|
20, 76
|
224, 46
|
407, 10
|
7054, 42
|
8451, 30
|
4659, 71
|
|
|
|
|
|
|
|
|
Виходячи з наведених даних можна дослідити зміну собівартості за рахунок
досліджуваних факторів. Для цього використаємо індивідуальні індекси:
Iz1=
151, 71/208, 70 = 0, 727 Iz2 =
407, 10/224, 46 = 1, 814;
∆z1 = 151, 71-208, 70 = -56, 99 ∆z2 = 407, 10/224, 46 = 182, 64
Зміна собівартості за рахунок урожайності:
Iy1 =
8684, 67/55, 71: 8684, 67/41, 61= 0, 747
Iy2 =
7054, 42/20, 76: 7054, 42/31, 43= 1, 514;
Зміна собівартості за рахунок затрат коштів на 1 га посіву:
Iз1 =
8452, 14/55, 71: 8684, 67/55, 71 = 0, 973
Із2 = 8451,
30/20, 76: 7054, 42/20,
76 = 1, 198
Аналізуючи наведені вище розрахунки можна зробити висновок,
що в звітному році порівняно з базисним виробнича собівартість 1ц ячменю
зменшилась в 0, 727 рази або на 27, 3%, а виробнича собівартість соняшнику зросла
- в 1, 814 разів або 81, 4%. Звідси зменшення виробничої собівартості 1ц ячменю
в 2014 році становило -56, 99 грн, а соняшнику - 182, 64 грн.
При аналізі зміни собівартості за рахунок урожайності ячменю
та соняшнику, то можна відмітити: зменшеня ячменю - в 0, 747 рази, і збільшення
соняшника - в 1, 514 разів. А при дослідженні зміни собівартості за рахунок затрат коштів на 1 га
посіву треба зазначити, що виробнича собівартість ячменю зменшилась в 0, 973 рази, а соняшника збільшилась в 1, 198 разів.
2.4 Продуктивність праці при виробництві продукції
рослинництва
Продуктивність праці як економічна категорія відображає
зв’язок між обсягом виробництва і відповідними затратами праці. Стосовно сфери матеріального
виробництва продуктивність праці означає здатність людини створювати за одиницю
часу певну кількість матеріальних благ. Чим більше продукції виробляється за
одиницю часу або чим менше робочого часу витрачається на виробництво одиниці
продукції, тим вища продуктивність праці.
Продуктивність - рухливий і динамічний показник результативності праці та
ефективності виробництва, який змінюється під впливом численних факторів.
Впровадження ринкових відносин у сільськогосподарській галузі має свої
особливості щодо прийняття раціональних і оптимальних рішень із проблем
ефективності аграрної праці. Будь - який сільськогосподарський підприємець, як
власник чи орендатор землі і майна прагнутиме отримати максимальну користь
(прибуток) за допомогою найраціональнішого використання праці виконавців з
найменшими витратами. Він зацікавлений в підвищенні продуктивності праці, тому
що це економічна основа зростання заробітної плати, створюються передумови для
скорочення робочого дня, робочого тижня і загальної кількості праці протягом
року,
вивільняються працівники галузей рослинництва і тваринництва для
забезпечення робітниками об'єктів виробничої і соціальної інфраструктури тощо.
Аналіз продуктивності праці в рослинництві в досліджуваному господарстві
наведено в табл.2.9 та табл. 2.10
Таблиця 2.9.
Вихідні дані для розрахунку
показників продуктивності праці в рослинництві
|
Показники
|
2012 рік
|
2013 рік
|
2014 рік
|
|
Вартість валової продукції в порівняних цінах 2010 року, тис.грн
|
2823, 867
|
3828, 059
|
5336, 757
|
|
Середньорічна чисельність працівників, зайнятих в
рослинництві, роц.
|
31
|
28
|
30
|
|
Виручка (дохід) від реалізації продукції, тис.грн
|
14630, 2
|
12305, 3
|
16123, 5
|
|
Собівартість реалізованої продукції, тис. грн.
|
11112, 1
|
8277, 5
|
11413, 7
|
|
Валовий дохід, тис.грн
|
5917, 6
|
6599, 5
|
8653, 4
|
|
Прибуток (збиток), тис.грн
|
3518, 1
|
4027, 8
|
4709, 8
|
Таблиця 2.10.
Показники
продуктивності праці в рослинництві в ТОВ «Золотий Колос» Миколаївського району
|
Показники
|
2012 рік
|
2013 рік
|
2014 рік
|
2014р. в порівнянні
|
2014р. в порівнянні до 2013 р., %
|
|
|
|
|
до 2012р., %
|
|
|
Одержано на 1 працівника, зайнятого рослинництві, грн:
|
91, 09
|
136, 72
|
177, 89
|
195, 29
|
130, 12
|
|
- валової продукції;
|
|
|
|
|
|
|
- прибутку;
|
113, 49
|
143, 85
|
156, 99
|
138, 34
|
109, 14
|
|
- виручки від реалізації;
|
439, 48
|
537, 45
|
113, 88
|
122, 29
|
|
- валового доходу
|
190, 89
|
235, 70
|
288, 45
|
151, 11
|
122, 38
|
Виходячи з даних табл.2.11 можна відмітити, що в ТОВ «Золотий Колос» Миколаївського району показники продуктивності
праці в звітному році порівняно з базисним покращилися. Такий висновок можна
зробити з того, що в 2014 році
на 1 працівника, зайнятого в рослинництві було одержано на 22, 29% більше виручки від реалізації
продукції в порівнянні з 2013
роком, а також на
22, 38% більше валового
доходу. Також в звітному періоді на 1 працівника
господарства було отримано більше
валової продукції на 30, 12% порівняно
з базисним. Таким чином можна зробити висновок про наявність тенденції до
зростання продуктивності праці на підприємстві.
2.5 Економічна ефективність виробництва і реалізації;
рентабельність виробництва продукції рослинництва
Ефективність виробництва - складна економічна категорія, в
якій відображається дія об’єктивних економічних законів виробництва -
результативність. Вона є формою виразу мети виробництва.
Різні культури мають неоднаковий рівень рентабельності,
оскільки для вирощування врожаю потребують різної кількості трудових і
матеріальних витрат на одиницю площі. Найбільш трудомісткі в рослинництві цукрові й кормові буряки,
картопля, у яких показники собівартості одиниці продукції, а звідси й
рентабельності значно поступаються перед іншими культурами. Найменші витрати на
одиницю продукції при вирощуванні кормових трав. Їх собівартість у 2 - 3 рази
нижча порівняно із зерновими кормовими травами і в 4 - 5 разів - порівняно з
кормовими і цукровими буряками та картоплею.
Для того щоб знизити собівартість продукції і підвищити рентабельність
трудомістких культур, слід різко підвищити їх врожайність підбором
високопродуктивних сортів і мінімізацією технологічних процесів вирощування.
Як правило, чим більша площа посіву, потужніші агрегати, тим нижчі
собівартість і рентабельність продукції. Треба замінювати трудомісткі операції
менш трудомісткими (оранку - поверхневим і навіть нульовим обробітком),
раціонально використовувати добрива, тобто оптимізувати систему живлення,
зменшити витрати на збирання і перевезення продукції та ін [6].
Підсумковим показником ефективності господарювання як галузі
рослинництва, так і аграрної сфери взагалі є рентабельність виробництва.
Рентабельність - поняття, що характеризує економічну ефективність виробництва,
за якої підприємство за рахунок грошової виручки від реалізації продукції
(робіт, послуг) повністю відшкодовує витрати на її виробництво й одержує
прибуток як головне джерело розширеного відтворення.
Для дослідження економічної ефективності виробництва продукції
рослинництва розрахунки подано в табл. 2.11
Таблиця 2.11.
Економічна
ефективність виробництва ячменю та соняшнику в ТОВ «Золотий Колос» Миколаївського району
Відповідно до проведених розрахунків, можна зробити висновок,
що ТОВ «Золотий Колос» Миколаївського району економічна ефективність
виробництва ячменю підвищилась у 2014році порівняно в 2013р, а економічна
ефективність соняшнику стрімко знизилась. Виробнича собівартість 1ц ячменю зменшилась на 27, 3%, а соняшнику зросла на 81, 37%. Собівартість 1 ц реалізованого ячменю зменшилася на 15, 89%, а соняшнику - підвищилася на 82, 78%. Середня ціна реалізації обох ячменю також зросла.
При виробництві ячменю в
господарстві прибуток в розрахунку на 1га зібраної площі зріс в звітному році
порівняно з базисним в 2, 63 рази, 1 грн
виробничих витрат - в 2, 73 разів, а 1ц
реалізованої продукції - аж у 3, 24 рази. Аналізуючи ефективність виробництва соняшнику, можна відмітити, що в 2014р. підприємство отримало прибуток від
виробництва даної продукції, хоча в 2013 р. прибуток
був значно більшим, а у 2012 році виробництво соняшнику було взагалі
неефективним і отримало збиток.
Негативним явищем для господарства є те, що в звітному році рівень рентабельності соняшнику зменшився - на 263, 11 в.п. Але рівень рентабельності ячмень все жа таки
зріс на 27, 84в.п.
РОЗДІЛ 3. ДИНАМІКА ВИРОБНИЦТВА ПРОДУКЦІЇ ТА ФАКТОРИ ЕФЕКТИВНОСТІ ГАЛУЗІ
РОСЛИННИЦТВА
3.1 Динаміка валової продукції рослинництва на 100 га с.г.
угідь
Показник виробництва валової продукції на гектар
сільськогосподарських угідь характеризує рівень ефективності використання
землі, а тому його зростання засвідчує поліпшення господарської діяльності
підприємства, і навпаки.
При
аналізі даних про сільськогосподарську продукцію широко використовуються
відносні величини інтенсивності, зокрема показники валової продукції в
розрахунку на 100 га сільськогосподарських угідь. Виробництво валової продукції
сільського господарства на 100 га сільськогосподарських угідь характеризує ефективність
використання земельних ресурсів і обчислюється діленням обсягу валової
продукції сільського господарства в порівнянних цінах на площу
сільськогосподарських угідь і множенням знайдених величин на 100
.
Для
аналізу приведено основні базисні та ланцюгові показними динаміки в табл.3.1
Таблиця
3.1. Показники динаміки валової продукції сільського
господарства на 100 га сільськогосподарських угідь в ТОВ «Золотий Колос» Миколаївського району
|
Роки
|
Валова продукція
|
Абсолютний приріст, тис.грн
|
Темп зростання, %
|
Темп приросту, %
|
Абсолютне значення 1% приросту, тис.грн
|
|
на 100 га с.г.угідь,
|
|
|
|
|
|
тис.грн
|
Базис-ний
|
Лан-цюговий
|
Базис-ний
|
Ланцюго-вий
|
Базис-
|
Ланцюго-вий
|
|
|
|
|
|
|
|
ний
|
|
|
|
2008
|
332, 20
|
-
|
-
|
100, 00
|
-
|
-
|
-
|
-
|
|
2009
|
314, 80
|
-17, 40
|
-17, 40
|
94, 76
|
94, 76
|
-5, 24
|
-5, 24
|
|
|
2010
|
314, 90
|
-17, 30
|
0, 10
|
94, 79
|
100, 03
|
-5, 21
|
0, 03
|
3, 15
|
|
2011
|
379, 5
|
47, 30
|
64, 60
|
114, 24
|
120, 51
|
14, 24
|
20, 51
|
3, 15
|
|
2012
|
237, 29
|
-94, 91
|
-142, 21
|
71, 43
|
62, 53
|
-28, 57
|
-37, 47
|
-
|
|
2013
|
321, 69
|
-10, 51
|
84, 40
|
96, 84
|
135, 57
|
-3, 16
|
35, 57
|
0, 66
|
|
2014
|
448, 47
|
116, 27
|
126, 78
|
135, 00
|
139, 41
|
35, 00
|
39, 41
|
3, 22
|
Середній рівень ряду:

=
тис. грн
Середній абсолютний приріст:
,
або
=
= =19, 38тис.грн
Середній темп зростання:
=
= 1, 051 або 105, 1%
Отже, виходячи з наведених розрахунків можна встановити, що вартість
валової продукції рослинництва в розрахунку на 100 га сільгоспугідь в
досліджуваному господарстві в період з 2008 року по 2014 рік всередньому склала
335, 55 тис.грн. Також прослідковується тенденція, згідно до якої всередньому
за рік відбувається збільшення вартості валової продукції в розрахунку на 100
га сільгоспугідь на 19, 38 тис.грн, що становить 5, 1%.
Таблиця 3.2. Вихідні та розрахункові показники для
розв’язання рівняння прямої та параболи 2-го порядку в ТОВ «Золотий Колос» Миколаївського району
|
Роки
|
Валова продукція на 100 га сільгоспугідь, тис.грн
|
Порядковий номер року t
|
t²
|
|
|
yt
|
yt²
|
|
2008
|
332, 20
|
1
|
1
|
1
|
1
|
332, 2
|
332, 2
|
|
2009
|
314, 80
|
2
|
4
|
8
|
16
|
629, 6
|
1259, 2
|
|
2010
|
314, 90
|
3
|
9
|
27
|
81
|
944, 7
|
2834, 1
|
|
2011
|
379, 5
|
4
|
16
|
64
|
256
|
1518
|
6072
|
|
2012
|
237, 29
|
5
|
25
|
125
|
625
|
1186, 45
|
5932, 25
|
|
2013
|
321, 69
|
6
|
36
|
216
|
1296
|
1930, 14
|
11580, 84
|
|
2014
|
448, 47
|
7
|
49
|
343
|
2401
|
3139, 29
|
21975, 03
|
|
∑
|
2348, 85
|
28, 00
|
140, 0
|
784, 0
|
4676, 0
|
9680, 38
|
49985, 62
|
Для виявлення закономірності зміни показників динаміки, тобто тенденції,
використаємо рівняння прямої:
Для
знаходження параметрів
і
необхідно
розв’язати нормальні рівняння:
2348, 85 = 7а0 + 28а1
, 38 = 28а0 + 140а1
а0= 294, 84
а1= 10, 18
Отже, рівняння прямої має вид:
y̅t= 294, 84 + 10, 18t
Таким чином з одержаного рівняння прямої можна стверджувати, що в
середньому в досліджуваному господарстві виробництво валової продукції
рослинництва в розрахунку на 100 га сільгоспугідь збільшилося на 10, 18 тис.грн
щорічно. Також було одержано теоретичне значення валової продукції в розрахунку
на 100 га сільгоспугідь в 2011 році, при якому t=4, що становить 294, 84 тис.грн.
Для виявлення закономірності зміни показників динаміки, тобто тенденції,
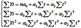
використаємо рівняння параболи 2-го порядку:
Для
знаходження параметрів
і
необхідно
розв’язати нормальні рівняння:
2348, 85=7a0 + 28a1 + 140a2
, 38=28a0 + 140a1 + 784a2
49985,
62= 140a0 + 784a1 + 4676a2
a0= 398, 95
a1= -59, 23
a2= 8, 68
Отже рівняння параболи 2-го порядку матиме вид:
= 398, 95 - 59, 23t + 8, 68t²
Аналізуючи одержане рівняння параболи другого порядку можна стверджувати,
що в році, який передує досліджуваному (2007) в досліджуваному господарстві
вартість валової продукції в розрахунку на 100 га сільгоспугідь склала 398, 95
тис.грн, а її початкова швидкість зростання склала -59, 23 тис.грн, а середнє
прискорення зміни вартості валової продукції становило майже 8, 68.
Теоретичне
значення
для кожного з досліджуваних років розрахуємо за
допомогою рівняння прямої та рівняння параболи 2-го порядку. Підсумки результатів
відображені в табл.3.
Таблиця
3.3 Фактичні і вирівняні рівні динамічного ряду вартості валової продукції
на 100 га сільськогосподарських угідь в ТОВ «Золотий Колос» Миколаївського району
Рис. (3.1) Динаміка валової продукції сільського господарства на 100 га
сільськогосподарських угідь в ТОВ «Золотий Колос» Миколаївського району
Отже, розрахунки показують, що найкращим чином зміну динаміки
валової продукції на 100 га с.г. угідь в ТОВ «Золотий Колос» Миколаївського
району за 2008-2014 роки відображає рівняння параболи 2-го порядку, адже в
цьому випадку відхилення менше ніж відхилення одержаного рівняння прямої.
3.2 Кореляційний аналіз залежності виробництва валової
продукції рослинництва від енерго- та фондозабезпеченості
Розрізняють форми зв’язку прямі та зворотні. Прямий зв’язок - це такий
зв’язок при якому із збільшенням факторної ознаки результативність також
збільшується. Зворотний зв’язок - це, коли факторна ознака збільшується
результативність зменшується [8].
Проаналізуємо залежність між вихідом валової продукції сільського
господарства на 100 га с.г.угідь та такими показниками як енергозабезпеченість
на 100 га с.г угідь та ступінь використання ріллі на 1 трактор в ТОВ «Золотий Колос» Миколаївського району. Варто зазначити, що -
енергозабезпеченість на 100 га с.г угідь та ступінь
використання ріллі на 1 трактор є незалежними змінними при аналізі кореляційної
моделі, вихід валової продукції сільського господарства на 100 га с.г.угідь -
залежна змінна.
У- вихід валової продукції сільського господарства на 100 га с.г.угідь,
тис.грн;
Х1- енергозабезпеченість на 100 га с.г угідь;
Х2- ступінь використання ріллі на 1 трактор.
Для визначення параметрів рівняння множинної кореляції наведемо
розрахунки в табл.3.4
Таблиця 2.15 Розрахунок величин для визначення
параметрів рівняння а ТОВ «Золотий Колос» Миколаївського району
|
Роки
|
Х1
|
Х2
|
У
|
Х1У
|
Х2У
|
Х1Х2
|
X1²
|
X2²
|
|
2008
|
105, 69
|
148, 96
|
332, 20
|
35111, 80
|
49484, 51
|
15744, 29
|
11171, 38
|
22189, 08
|
|
2009
|
102, 40
|
148, 50
|
314, 80
|
32235, 52
|
46747, 80
|
15206, 40
|
10485, 76
|
22052, 25
|
|
2010
|
88, 89
|
147, 80
|
314, 90
|
27991, 11
|
46542, 22
|
13137, 78
|
7901, 23
|
21844, 84
|
|
2011
|
77, 83
|
146, 20
|
379, 5
|
29536, 35
|
55482, 90
|
11378, 69
|
6057, 45
|
21374, 44
|
|
2012
|
84, 81
|
148, 75
|
237, 29
|
20123, 53
|
35296, 89
|
12614, 84
|
7192, 00
|
22126, 56
|
|
2013
|
105, 04
|
148, 75
|
321, 69
|
33790, 97
|
47851, 39
|
15625, 00
|
11033, 83
|
22126, 56
|
|
2014
|
105, 04
|
148, 75
|
448, 47
|
47108, 19
|
66709, 91
|
15625, 00
|
11033, 83
|
22126, 56
|
|
Разом
|
669, 70
|
1037, 71
|
2348, 85
|
225897, 47
|
348115, 62
|
99332, 00
|
64875, 48
|
153840, 30
|
2348, 85 = 7а0 + 669, 7а1 + 1037, 71а2
225897, 47 = 669, 7а0 + 64875, 48а1 + 99332,
00а2
348115, 62 = 1037, 71а0 + 99332, 00а1 +
153840, 30а2
Здійснивши математичні перетворення, було одержано:
a0= 10604,
23
a1= 6, 28
a2= -73, 32
Отже, рівняння множинної регресії, яке характеризує
залежність виходу валової продукції сільського господарства на 100 га с.г.угідь
від енергозабезпеченості та ступеня використання рілля на один трактор в ТОВ
«Золотий Колос» Миколаївського району матиме вигляд:
У̅х1х2= 10604, 2а0 +6, 28а1 -73, 32а2
Таким чином можна зробити висновок, що при збільшенні такого фактора як енергозабезпеченість на одиницю, вихід валової продукції
сільського господарства на 100 га с.г.угідь збільшиться на 6, 28 тис.грн. А при зміні ступеня використання рілля на 1
трактор на одиницю,
вихід валової продукції сільського господарства на 100 га с.г.угідь зменшиться на 73, 32 тис.грн. Крім
параметрів рівняння необхідно встановити щільність кореляційного зв’язку, який
знаходиться за допомогою коефіцієнтів кореляції. Для визначення множинного
коефіцієнта кореляції необхідно виконувати наступні розрахунки парних
коефіцієнтів кореляції:
Необхідні розрахунки наведено в табл.3.5
Таблиця 3.5.
Показники для
розрахунку коефіцієнтів кореляції
|
Роки
|
Ланцюгові абсолютні прирости
|
Квадрати приростів
|
Добуток приростів
|
|
          
|
|
|
|
|
|
|
|
|
|
2008
|
-
|
-
|
-
|
-
|
-
|
-
|
-
|
-
|
-
|
|
2009
|
-17, 40
|
-3, 29
|
-0, 46
|
302, 76
|
10, 86
|
0, 21
|
57, 33
|
8, 00
|
1, 52
|
|
2010
|
0, 10
|
-13, 51
|
-0, 70
|
0, 01
|
182, 55
|
-1, 35
|
-0, 07
|
9, 46
|
|
2011
|
64, 60
|
-11, 06
|
-1, 60
|
4173, 16
|
122, 31
|
2, 56
|
-714, 43
|
-103, 36
|
17, 69
|
|
2012
|
-142, 21
|
6, 98
|
2, 55
|
20223, 68
|
48, 66
|
6, 50
|
-992, 06
|
-362, 64
|
17, 79
|
|
2013
|
84, 40
|
20, 24
|
0, 00
|
7123, 36
|
409, 51
|
0, 00
|
1707, 95
|
0, 00
|
0, 00
|
|
2014
|
126, 78
|
0, 00
|
0, 00
|
16073, 17
|
0, 00
|
0, 00
|
0, 00
|
0, 00
|
0, 00
|
|
Разом
|
Х
|
Х
|
Х
|
47896, 14
|
773, 89
|
9, 76
|
57, 44
|
-458, 06
|
46, 46
|
Відповідно до проведених розрахунків можна зробити висновок, що вихід
валової продукції в розрахунку на 100 га сільгоспугідь не перебуває у зв’язку з таким фактором як фондозабезпеченість (0, 009) і в оберненому зв’язку з фактором ступінь використання рілля на у трактор (-0, 670).
Обчислений коефіцієнт множинної кореляції R = 0, 412 показує, що між двома факторними і результативною ознаками існує помірний зв’язок. Сукупний коефіцієнт множинної детермінації R²= 0, 170 свідчить про те, що варіація виходу валової
продукції в розрахунку на 100 га сільгоспугідь лише на 17 % зумовлюється двома факторами (енергозабезпеченості та ступеню використання рілля на 1 трактор), уведеними в кореляційну модель. Це означає, що вибрані фактори
суттєво не впливають на досліджуваний показник, а решта 83% відображають вплив
тих факторів, що не враховані в модель.
РОЗДІЛ 4. ОСНОВНІ ШЛЯХИ ПІДВИЩЕННЯ ЕКОНОМІЧНОЇ ЕФЕКТИВНОСТІ
ВИРОБНИЦТВА ПРОДУКЦІЇ РОСЛИННИЦТВА
Ефективність виробництва є однією із основних категорій
ринкової економіки і віддзеркалює його результативність. Вона виступає основним критерієм
механізму господарювання.
Отримання високого результату з одиниці витрачених матеріальних і інших
ресурсів характеризує рівень ефективності виробництва. Він може бути різною
величиною результатів, отриманих на однакову кількість витрачених ресурсів
сільськогосподарськими підприємствами і це означає, що вони витрачаються у
подібних умовах, але з різною ефективністю. Ефективність виробництва
сільськогосподарських підприємств та підвищення його рівня завжди мало велике
значення. Але в умовах ринкових трансформацій у зв’язку з проблемами, які виникають
стосовно ресурсного потенціалу, роль ефективності значно зростає.
Підвищення ефективності сільськогосподарського виробництва - складний і багатогранний процес, оскільки виробництво продукції
сільського господарства зв’язано з використанням різних ресурсів-земельних,
матеріально - технічних, трудових. Продуктивність їх використання виражається
різними показниками.
Підвищення ефективності виробництва означає, що на кожну одиницю затрат і ресурсів, які використовуються, аграрні підприємства
одержують більше продукції і доходу. А це має велике значення як для всього
сільського господарства, так і для кожного підприємства [9].
Шяхи підвищення економічної ефективності виробництва
продукції рослинництва
1) Визначення пріоритетів безпосередньо у
виробництві сільськогосподарської продукції. Критеріями при цьому можуть
служити спеціальна орієнтація продукції, можливості розширення експортного
потенціалу та економічна доцільність. Таким критеріям у сучасних умовах
відповідає виробництво
зерна, соняшнику, цукрових буряків.
) Економічне
стимулювання виробництва конкурентоспроможної продукції, державної підтримки
товаровиробника. Це дозволить, з одного боку, створити більш потужний
експортний потенціал, а з другого - поліпшувати рівень споживання населенням
продуктів харчування.
Основна
мета державної аграрної політики на сучасному етапі - це забезпечення сталого
розвитку аграрного виробництва, створення правових, організаційних та
економічних засад для перетворення його на високоефективний і
конкурентноспроможний сектор національної економіки, здатний гарантувати
продовольчу безпеку країни, а також зміцнювати свій експортний потенціал. Ці процеси мають
відбуватися одночасно з розвитком сільських територій і розв’язанням всіх
соціальних проблем села
.
3) Поліпшення
структури сільськогосподарських угідь у напрямі зменшення розораних земель.
4) Підвищення
родючості грунтів.
5) Удосконалення
структури посівних площ з урахуванням ринкової економіки.
)
Удосконалення ринкових форм господарювання, поглиблення інтеграційних процесів,
створення сприятливих умов для виробництва в усіх господарських структурах.
) Структурні
зміни у сфері реалізації продукції. Подальший розвиток інфраструктури ринку.
Формування ринків сільськогосподарську продукції: зерна, соняшнику і т.п.
) Поліпшення
структури сільськогосподарських угідь у напрямі зменшення розораних земель.
Важливою умовою зростання економічної ефективності галузей
рослинництва є підвищення врожайності всіх сільськогосподарських культур і
зниження матеріально-грошових затрат на виробництво і реалізацію продукції. Про
можливий резерв поліпшення чинників першого порядку свідчать досвід і значні
відмінності у рівні врожайності між окремими підприємствами, що перебувають у
порівняно однакових умовах. Це також підтверджує досвід наукових установ і
дослідних станцій, де урожайність сільськогосподарських культур з гектара в
будь-який рік вища на 4-5 ц порівняно з урожайністю відповідних культур у
навколишніх господарствах.
На рівень урожайності сільськогосподарських культур вагомий
вплив, як правило, мають природно-кліматичні умови й забезпеченість підприємств
матеріально-грошовими ресурсами і технікою.
Так, наприклад, забезпечити вирощування високих і стійких
урожаїв сільськогосподарських культур на півдні країни неможливо без розвинутої
мережі зрошуваного землеробства, запровадження високопродуктивних, стійких до
посухи сортів і гібридів. Зростання врожайності зернових культур стримується,
насамперед, недостатнім рівнем інтенсифікації галузі, нехтуванням вимог
агротехніки і технології виробництва. Досвід свідчить, що лише застосування
раціональної системи землеробства, до якої входить комплекс взаємопов’язаних
агротехнічних, меліоративних, економічних і організаційних заходів та
враховуються умови даної зони і підприємства, ефективно використовується земля,
може забезпечити підвищення врожайності зернових культур. Важливим заходом, що
може врахувати більшість елементів раціональної системи землеробства і на
основі цього підвищити урожайність, є застосування інтенсивної технології
вирощування зернових, яка забезпечує приріст урожаю на 10-15 ц/га, за інших
рівних умов.
Важливе значення має внесення необхідної кількості мінеральних добрив і в певних
пропорціях. Порушення співвідношення між азотними, фосфорними і калійними
добривами при їх внесенні не дозволяє одержати адекватну віддачу від затрат, а
надмірне внесення азотних добрив сприяє росту стеблостою і за несприятливих
погодних умов спричиняє вилягання хлібів.
Запровадження інтенсивної технології вирощування зернових не
можливе без комплексної механізації виробництва. Забезпеченість підприємств
надійною технікою і в достатній кількості дає змогу якісно і в оптимальні
агротехнічні терміни виконувати всі види робіт, що сприяє підвищенню
врожайності зернових культур при інтенсивній технології забезпечується за
рахунок раціонального застосування мінеральних добрив - на 30-35%, засобів
захисту рослин - на 20-25%, запровадження високоврожайних сортів - на 15-18%.
Решти приросту урожаю досягають за рахунок додержання агротехнічних термінів і
високої якості технологічних процесів вирощування зернових культур. Дослідження
наукових установ показали, що при збиранні врожаю зернових культур на п’ятий
день після повного дозрівання втрати зерна становлять 2-3%, тоді як на десятий
день вони зростають до 15-20%, а на двадцятий сягають більше 25%. Враховуючи
це, більшість аграрних підприємств розробляє заходи щодо впровадження нових
форм організації і стимулювання праці, щоб завершити жнива за десять днів,
внаслідок чого одержати практично весь вирощений врожай. Застосування
прогресивних форм організації та оплати праці за кінцевий результат сприяє
значному підвищенню врожайності зернових культур і продуктивності праці в
зерновому виробництві.
Підвищення врожайності й застосування комплексної механізації
проявляється не тільки у збільшенні валових зборів зерна, а у й підвищенні
економічної ефективності його виробництва (продуктивність праці, собівартість
продукції, рентабельність). При зростанні врожайності хоч і мають місце додаткові
затрати праці й засобів, але темпи їх росту нижчі. Тому з підвищенням
урожайності трудомісткість продукції та її собівартість знижуються.
Важливим чинником підвищення економічної ефективності
зернової галузі є поліпшення якості зерна. Зерно сильних і твердих сортів
пшениці з вмістом білка 15-17% і клейковини 38-43% має високий попит і
реалізується за вищою ціною.
ВИСНОВКИ
Аналізуючи проведену роботу на основі діяльності ТОВ «Золотий Колос» Миколаївського району було досліджено
економічну ефективність виробництва продукції рослинницьких галузей.
Підприємство в першу чергу займається виробництвом ячменю, соняшнику та озимої пшениці. Цьому
спияють місцеві землі та кліматичні умови.
Для підвищення ефективності виробництва продукції
рослинництва господарство повинно застосовувати оптимізацію сівозмін, що
поліпшить використання земельних ресурсів, і дасть змогу уникнути виснаження
земель.
Варто відмітити, що за досліджуваний період у всіх роках підприємство одержало прибуток. Це пов`язано із збільшенням випуску
продукції у кожному році.
Відповідно до аналізу виробничої собівартості соняшнику та
ячменю найбільшу питому вагу в її структурі посідають матеріальні витрати. Провівши кореляційний аналіз щодо
залежності виходу валової продукції сільського господарства на 100 га
сільськогосподарських угідь та такими показниками як енергозабезпеченість та ступвнь використання рілля на один
трактор, було
встановлено, що при збільшенні енергозабезпеченості вихід валової продукції збільшиться, а при зростанні ступеня використання рілля на
1 трактор - зменшиться. Тому для ТОВ «Золотий Колос» Миколаївського району буде доцільним щорічно
зменшувати показник матеріальних витрат.
Взагалі в 2014 році
ефективність виробництва продукції рослинництва покращилась, адже збільшилися
такі показники як, норма прибутку, фондовіддача. Рівень рентабельності у 2014 році
зменшився на 15, 21% через збільшення як раз таки матеріальних витрат і, на мою
думку, саме із збільшенням випуску продукції підприємство не отримало збиток.
Для ТОВ «Золотий
Колос» Миколаївського району варто в подальшій
діяльності:
знижувати собівартість продукції, зокрема матеріальні витрати;
підвищити родючість грунтів;
- провести комплекс заходів задля механізації та удосконалення
виробничих процесів, ;
- нормувати внесення мінеральних добрив у грунт та зменшити
кількість розораних земель.
СПИСОК ВИКОРИСТАНИХ ДЖЕРЕЛ
1. Державна цільова
програма розвитку українського села на період до 2015 року [Електронний
ресурс]: Постанова КМУ від 19.09.2007 р. № 1158. - Режим доступу:
<http://zakon2.rada.gov.ua/laws/show/1158-2007-%D0%BF>
2. Андрійчук
В.Г. Економіка аграрних підприємств: Підручник. - 2-ге., доп. і перероблене. -
К.: КНЕУ, 2002.
3. 20.Економіка
сільського господарства / П.П. Руснак, В.В.Жебка, М.М.Рудий, А.А.Чалий; За ред.
П.П. Руснака. - К.:Урожай, 1998.
. Економіка
підприємства. - К.: КНЕУ, 2001. - 528 с.
. Аграрне
право України: Підручник / За ред. О. О. Погрібного. - К.: Істина, 2007. - 304
с.
. О.
І. Зінченко, В. Н. Салатенко, М. А. Білоножко. Рослинництво: - К.:Аграрна
освіта, 2001.-106 с.
. Чекотовський
Е. В. Основи статистики сільського господарства: Навч. посібник. - К.: КНЕУ,
2001. - 432 с.
. Статистика:
Підручник/За наук. ред.С. С.Герасименка.-К.:КНЕУ, 2000. - 100-107 с.
. Рябчик
І.В. Нові підходи до аналізу ефективності сільськогосподарських підприємств
/І.В. Рябчик, В.В. Галушко // Економіка АПК. - 2004. - № 3. - С. 101- 107.
. Закон
України «Про основні засади державної аграрної політики на період до 2015 року
// Урядовий кур’єр - 2005. - 16 листопада.
. Господарський
кодекс України: офіц. текст: Прийнятий Верховною Радою України 16 січня 2003
року. - К.: Концерн «Видавничий дім Ін Юрс », 2003. - 204 с.
ДОДАТКИ
Додаток А
Визначення вартості валової продукції сільського господарства
в порівняних цінах 2005 року в в ТОВ «Золотий колос» Миколаївського району
|
Обсяг виробленої продукції, ц
|
Постійні
|
Валова продукція сільського господарства в постійних цінах
2010року, тис. грн.
|
|
|
|
ціни
|
|
|
Види продукції
|
|
2 010р.
|
|
|
|
|
за 1 ц продукції,
|
|
|
|
2012
|
2013
|
2014
|
грн.*
|
2012
|
2013
|
2014
|
|
|
рік
|
рік
|
рік
|
|
рік
|
рік
|
рік
|
|
Пшениця ( озима + яра)
|
9214, 00
|
10748, 00
|
24055, 00
|
102, 75
|
946738, 50
|
1104357, 00
|
2471651, 25
|
|
Жито( озима + яра)
|
х
|
х
|
х
|
х
|
х
|
х
|
х
|
|
Ячмінь( озима + яра)
|
5335, 00
|
11943, 00
|
15600, 00
|
95, 40
|
508959, 00
|
1139362, 20
|
1488240, 00
|
|
Овес
|
1335, 00
|
1248, 00
|
814, 00
|
88, 41
|
118027, 35
|
110335, 68
|
71965, 74
|
|
Кукурудза на зерно
|
1005, 00
|
701, 00
|
1095, 00
|
107, 27
|
107806, 35
|
75196, 27
|
117460, 65
|
|
Гречка
|
698, 00
|
174, 00
|
х
|
357, 69
|
249667, 62
|
62238, 06
|
х
|
|
Горох
|
105, 00
|
102, 00
|
446, 00
|
106, 23
|
11154, 15
|
10835, 46
|
47378, 58
|
|
Цукрові буряки
|
х
|
х
|
х
|
х
|
х
|
х
|
х
|
|
Соняшник
|
2671, 00
|
4620, 00
|
3197, 00
|
284, 21
|
759124, 91
|
1313050, 20
|
908619, 37
|
|
Соя
|
х
|
х
|
х
|
х
|
х
|
х
|
х
|
|
Картопля
|
х
|
х
|
х
|
х
|
х
|
х
|
х
|
|
Овочі
|
х
|
х
|
х
|
х
|
х
|
х
|
х
|
|
Баштанні продовольчі
|
х
|
х
|
х
|
х
|
х
|
х
|
х
|
|
Кормові коренеплоди
|
х
|
х
|
х
|
х
|
х
|
х
|
х
|
|
Баштанні кормові
|
х
|
х
|
х
|
х
|
х
|
х
|
х
|
|
Кукурудза на силос і зелений корм, сінаж
|
х
|
х
|
х
|
х
|
х
|
х
|
х
|