Взаимовлияние финансовых шоков фондовых рынков РФ, США И ЕС: кейс кризиса 2014-2015 гг.
Взаимовлияние финансовых шоков
фондовых рынков РФ, США И ЕС: кейс кризиса 2014-2015 гг.
ОГЛАВЛЕНИЕ
ВВЕДЕНИЕ
Глава 1.
Описание методологии анализа и выборки данных
1.1
Методология
.2 Краткое
описание сущности проводимых тестов
1.2.1 Метод определения
структурных разрывов
.2.2 Проверка
на стационарность по критерию Дикки-Фуллера (ADF-тест)
.2.3 Критерий
KPSS (Квятковсого-Филлипса-Шмидта-Шина)
.2.4 Модель
векторной авторегрессии (VAR) и векторная модель исправления ошибок (VECM)
.2.5 Проверка
взаимной интеграции по критерию Йохансена
.2.6 Тест
Эрла-Грэнджера
.2.7 Анализ
краткосрочного импульсного воздействия
.2.8 Описание
метода вариационной декомпозиции
.2.9 Модель
обобщенной мультивариационной авторегрессионной условной гетероскедастичности
1.3 Описание
данных
1.3.1 Индекс
РТС
.3.2 Индекс
S&P500
.3.3 Индекс
STOXXEurope 50
1.4 Учет
несовпадения времени проведения торгов
.5 Краткие
выводы
Глава 2.
Результаты исследования
2.1
Определение наличия структурных разрывов
.2 Расчет
статистических показателей для периода стабильности
.3 Расчет
статистических показателей для кризисного периода
.4 Проверка
существования единичного корня, тест на стационарность
2.4.1
Результаты расчетов для периода стабильности
.4.2
Результаты расчетов для кризисного периода
2.5
Результаты проверки взаимной интеграции
2.5.1
Обоснование выбора величины интервалов для проведения теста Йохансена
.5.2 Проверка
по критерию Йохансена
.5.3 Проверка
наличия краткосрочных взаимосвязей
.5.4
Обоснование выбора величины интервалов для проведения теста Грэнджера
.5.5 Попарный
тест Грэнджера
2.6 Анализ
краткосрочного импульсного воздействия
.7 Анализ
декомпозиции вариаций
.8 Модель
мультивариационной авторегрессионной условной гетероскедастичности
.9 Краткие
выводы
ЗАКЛЮЧЕНИЕ
СПИСОК ИСПОЛЬЗУЕМОЙ
ЛИТЕРАТУРЫ
ПРИЛОЖЕНИЕ 1
ПРИЛОЖЕНИЕ 2
ВВЕДЕНИЕ
На протяжении последних нескольких десятилетий тема постоянно
изменяющихся взаимосвязей между международными рынками остается одной из самых
горячо обсуждаемых тем не только среди экономистов-теоретиков, но и среди
банков, инвесторов, хедж-фондов и различных институциональных инвесторов. В
особенности эта тема стала актуальна в 2008 году, когда крах на фондовом рынке
США способствовал падению не только внутреннего рынка, но и рынков по всему
миру, стал одной из основных причин дестабилизации Еврозоны, которая в свою
очередь привела к долговому кризису в Европе в 2011 году. Не стоит
недооценивать силу механизмов передачи информации между различными рынками.
Основной вопрос, на который дипломная работа попытается дать ответ,
заключается в следующем: «Как финансовый кризис в России 2014-2015 гг. повлиял
на взаимосвязь фондового рынка РФ с фондовыми рынками США и стран ЕС?». В
случае доказательства существования прямой связи между фондовыми рынками, результаты
могут быть полезны для должностных лиц в плане улучшения функционирования
экономической системы с целью уменьшения риска негативного влияния данных
взаимосвязей.
Кроме того, сегментированность или интегрированность рынков оказывают
влияние на финансовую стабильность, устойчивость локальных рынков и динамику их
развития, поэтому понимание поведения доходности и волатильности доходностей
финансовых инструментов, понимание источников порождения волатильности могут
помочь регулирующим органам правильно выстраивать политику открытости в
различные периоды развития экономики, разумно выстраивать защитные меры по
регулированию международного движения капитала.
Для начала необходимо дать определение основным понятиям, используемым в
дипломной работе, таким как: взаимозависимость, интеграция и негативное
влияние, или другими словами заражение.
Взаимозависимость может быть определена как состояние взаимосвязи между
рынками ценных бумаг. Она может быть как краткосрочной, так и долгосрочной. Два
других понятия базируются на анализе влияния внешних шоков и изменения
волатильности фондовых индексов. Если у двух рынков установлена высокая степень
взаимозависимости на протяжении периодов стабильности, и если после внешнего
воздействия эта связь не укрепилась, то такое явления мы будем называть
интеграцией. Напротив, если связь укрепилась, тогда такое явление будем
называть заражением. Согласно Международному банку реконструкции и развития
заражение может быть определено в широком и узком смыслах. В широком смысле это
явление, характеризующее передачу шоков и эффектов нестабильности между рынками
различных стран. В узком смысле понятие заражения можно определить, как
усиление корреляции между рынками различных стран в кризисные периоды.
Принимая во внимание существенное развитие технологий обмена информации
за последнее время, а также процесс глобализации практически невозможно найти
рынок, который в таких условиях оставался бы независимым. Таким образом,
влияние можно трактовать как увеличение воздействия внешних эффектов со стороны
других фондовых рынков и взаимозависимости волатильности в периоды кризиса
одного рынка от другого, в сравнении с периодами относительной стабильности.
Следовательно, исследование можно разделить на две составляющие: первая -
исследование степени независимости фондовых рынков, основанное на анализе
краткосрочных и долгосрочных взаимосвязей между основными индексами, и вторая,
заключающаяся в нахождении эффекта заражения, основываясь на исследовании
резких изменений волатильности и неодинаковой реакции на внешние «шоки».
Дипломная работа состоит из следующих основных разделов: основные понятия
и сокращения, используемые в работе, история зарубежных и российских
исследований, описание методов анализа и выборки данных, результаты
исследования, варианты дальнейших исследований в данной области и заключение.
Основные понятия и сокращения, используемые в выпускной
квалификационной работе
1) Динамическая связь - понятие, обозначающее взаимосвязь изменений
дневных ставок доходностей, ценовых значений и волатильности между
рассматриваемыми в ВКР фондовыми рынками;
2) Краткосрочная связь - взаимосвязь между дневными ставками
доходности между рынками;
) Долгосрочная связь - взаимосвязь между изменениями в ценовых
значениях фондовых индексов, другими словами коинтеграция;
) Взаимозависимость - устойчивое состояние зависимости рынков друг
от друга;
) Интеграция - высокая степень взаимозависимости между рынками в
долгосрочной перспективе, не вызванная внешними «шоками»;
) Влияние - увеличенный по сравнению с периодом стабильности
уровень зависимости в изменениях волатильности и «шоков» дневных ставок
доходности между рассматриваемыми в ВКР рынками, по сравнению с периодом
относительной стабильности;
) «Шоки» - резкие изменения ставок доходности фондовых индексов.
История зарубежных и российских исследований
Большинство исследований в рассматриваемой области строятся на анализе
влияния одного показателя на другой, количественной оценке этого влияния
(например, в большом числе работ показаны взаимосвязи между ростом (падением)
доходностей на разных фондовых рынках (Return Spillovereffects). Как развитие этого направления
исследований с 2000-х годов стало популярно изучение степени интеграции рынков
(влияния доходностей) относительно выхода плановых (ожидаемых) и неожиданных
(не предсказанных теми или иными моделями, например, трендовыми построениями)
выпусков новостей (например, макроэкономических) или значимых событий на
глобальных рынках.
Первые работы, направленные на изучение степени взаимной интеграции между
фондовыми рынками, относятся к середине 1970-х годов. Основной вывод, который
следует из этих работ: корреляция между фондовыми индексами мала, события
национальных рынков оказывают превалирующее влияние на значения фондовых
индексов рассматриваемых стран. Но с середины 1980-х годов исследователи
начинают отмечать возросшую роль США как мирового финансового центра,
определяющего динамику других фондовых рынков, в частности европейских. В более
поздних работах начала 1990-х годов экспертами отмечается, что влияние
фондового рынка США распространяется не только на доходность рынков других
стран, но и на волатильность [18], [25]. Основной вопрос, который представлял в
то время повышенный интерес, заключался в наличии обратных влияний развитых
региональных рынков капитала, например, Германии, Великобритании, на рынок США.
Широкое распространение для выявления таких взаимосвязей приобрела модельGARCH и ее модификации, примененные к
рядам значений доходностей фондовых индексов.
С начала 2000-х годов в круг интересов исследователей вошла оценка
динамической корреляции волатильности доходности рынков, выявления эффектов
заражения, как например в работах [21] и [22].
Согласно работе Асатурова К.Г. и Тепловой Т.В. [3], исследование эффектов
финансового заражения в основном направлены на изучение следующих связей: между
фондовыми рынками [19], между валютными рынками [23], между денежными рынками
[24], между долговыми рынками и рынками ПФИ.
Создание Европейского Союза (ЕС), включение ряда стран в зону евро
породили большое количество исследований в этом направлении. В ряде работ по
европейским рынкам показывается доминирующая роль фондового рынка Германии,
ввиду значимости экономики в регионе. Было доказано, что именно шоки
финансового рынка Германии оказывают существенное влияние на финансовые рынки
других европейских стран. Рынок России, к сожалению, был включен в анализ лишь
весьма скромного числа работ. В частности, в работе [26] показано, что
наблюдается эффект передачи волатильности от рынков России и Великобритании в страны
Центральной и Восточной Европы, при том, что обратного влияния не наблюдается.
В работе [27] автор, анализируя взаимосвязи между фондовыми рынками России и
США, странами ЕС и другими рынками Европы, а также рынками азиатского региона,
пришел к выводу, что до кризиса 1998 года наблюдались двусторонние эффекты
перетекания волатильности между рынками России и США, развивающимися рынками
европейского региона иодносторонние эффекты перетекания волатильности с рынков
ЕС в Россию; во время кризиса 1998 года фиксировался односторонний эффект
перетекания волатильности из России на все остальные рынки и из стран Азии в
Россию, а после кризиса 1998 года опять проявились двусторонние эффекты
перетекания волатильности между Россией и США, рынками Азии и односторонний
эффект перетекания волатильности из России на развивающиеся европейские рынки.
Мировой кризис 2007-2008 года стал причиной появления работ, направленных
на выявление эффектов заражения на финансовых рынках. Во многих работах того
времени рассматривается гипотеза, что именно рынок США является определяющим в
плане заражения фондовых рынков других стран.Результаты исследования [28]
свидетельствуют, что рынок РФ не былзаражен во время кризиса Доткомовначала
2000-х годов, в то время как в период кризиса 2007-2009 годов эффект заражения
наблюдался между всеми анализируемыми рынками. В работе [29] были
проанализированы эффекты заражения в течение долгового европейского кризиса
2010-2012 годов на выборке из фондовых рынков 8 стран. Выяснилось, что Греция
оказалась не единственным источником заражения в ходе этого кризиса, а стала
только триггером для более крупных экономик еврозоны. В работе Асатурова К.Г. и
Тепловой Т.В. [3] рассматривался вопрос влияния эффекта заражения в течение
кризиса Доткомов 2000-2002 годов со стороны американского рынка, в течение
Мирового финансового кризиса 2007-2009 годов - американский фондовый рынок стал
источником волатильности для мировых и локальных европейских фондовых рынков.
Также было подтверждено, что немецкий рынок может рассматриваться как источник
заражения в течение кризисов 2007-2009 годов и 2010-2012 годов для большинства
европейских рынков. Более того, данная работа проливает свет на взаимосвязи
между рынками Восточной и Северной Европы, что ранее нигде не рассматривалось.
Данное исследование является продолжением анализа взаимосвязей между
фондовыми рынками России, США и стран ЕС в период нестабильности на рынке РФ
2014-2015 годов.
Глава 1. Описание методологии анализа и выборки данных
Основной интерес представляет анализ краткосрочных и долгосрочных
взаимосвязей между фондовыми рынками США, ЕС и России в период кризиса
2014-2015 гг. на российском рынке и оценка изменения этих взаимосвязей. В
процессе исследования будет произведен анализ изменений значений, доходностей и
волатильности индексов данных стран. Основная причина выбора для исследования
таких игроков на международном финансовом рынке как США и ЕС заключается в том,
что именно страны ЕС и США наложили санкции на Россию, что в большей степени и
способствовало развитию данного кризиса. Более того, ЕС для России является не
только основным торговым партнером, но также и основным инвестором.
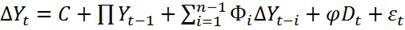
1.1 Методология
Основные эконометрические тесты, применяемые в анализе: тест структурных
разрывов Бай-Перрона, проверка на наличие единичного корня, тест на
коинтеграцию (наличие стационарной линейной комбинации между рядами), тест
Энгла-Грэнджера, тест ARCH
(авторегрессионной условной гетероскедастичности).
Сначала мы проводим тест на наличие структурных разрывов для того, чтобы
идентифицировать относительно стабильный период Российского фондового рынка и
дату начала кризисных изменений. Тест на наличие единичного корня необходим для
более тщательного исследования выборки данных на стационарность. Тест на
коинтеграцию применяется для установления долгосрочной связи между рынками,
тест Эрла-Грэнджера - для установления наличия краткосрочной связи.
Положительное значение теста на коинтеграцию говорит о том, что если даже ряды
не стационарны, они не расходятся в долгосрочной перспективе, и если ряды не
прошли проверку на коинтеграцию, то это значит, что между ними не существует
связи в долгосрочной перспективе. Тест Эрла-Грэнджера необходим для
установления причинно-следственной связи в изменениях выборок данных. Данные
тесты проведены в статистических программных пакетах Gretl иR-statistics.
1.2 Краткое описание сущности проводимых тестов
.2.1 Метод
определения структурных разрывов
Для того, чтобы определить период стабильности российского фондового
рынка и дату, которую можно считать датой начала кризисных изменений,
необходимо воспользоваться методологией идентификации структурных изменения
Бай-Перрона. Суть методологии заключается в вычислении коэффициента регрессии
последовательности ставок доходности и тестировании данного коэффициента в
пределах предопределенных периодов. В нашем случае оценка будет производиться
на индексе волатильности РТС. В общем случае данный тест показывает период
внезапных изменений среднего значения стандартного отклонения (волатильности).
Нулевая гипотеза отсутствия структурных изменений противопоставляется гипотезе
их наличия. В нашем случае регрессионная модель может быть представлена в
следующем виде:

(1)
Где

- индекс
волатильности РТС в момент времени t, 
-
среднее значение за весь рассматриваемый период, 
-
величина отклонения (ошибка). Параметр m - количество структурных разрывов.
Основные гипотезы теории представлены в виде:
Перед
осуществлением проверки наличия структурных разрывов по критерию Бай-Перрона,
необходимо провести проверку ряда 
на
стационарность.
1.2.2 Проверка
на стационарность по критерию Дикки-Фуллера (ADF-тест)
Существует три версии теста:
) Без константы и тренда

(2)
2) С константой, но без тренда

(3)
3) С константой и линейным трендом

(4)
где

-
наблюдение в момент времени t. 
-
константа. 
-
стандартная ошибка.
Гипотезы теории представлены в виде:
Для
проверки наличия единичного корня необходимо вычислить параметр t-статистики 
, и
сравнить его с критическим значением значимого уровня. Если нулевая гипотеза
отвергается, то последовательность 
не имеет
единичных корней.
Для
правильной интерпретации результатов теста ADF необходимо правильно подобрать
переменную условной разности k. Правильно подобрать параметр k можно, основываясь
на информационных критериях (SBIC или AIC), по сути, варьируя данный параметр,
необходимо их минимизировать.
Основное
ограничение в применении модели Дикки-Фуллера заключается в «слабости» данного
критерия, в частности, критерий с линейным трендом «слабее» критерия без
константы и тренда.
1.2.3 Критерий
KPSS (Квятковсого-Филлипса-Шмидта-Шина)
Этот критерий используется для обхода ограничений теста ADF. Согласно
данному критерию ряд считается стационарным по нулевой гипотезе. Данный
критерий имеет всего две разновидности: с включением константы или с включением
константы и линейного тренда. Основная формула, применяемая при использовании
данного критерия:

, (5)
где

, и 
- оценка
вариации ошибки регрессии, которая имеет вид: 
или 
Для
проверки устойчивости полученных результатов необходимо одновременно применять
оба критерия, как ADF, так и KPSS.
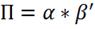
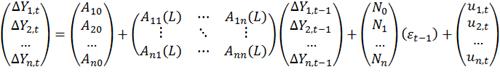
1.2.4 Модель
векторной авторегрессии (VAR) и векторная модель исправления ошибок (VECM)
Данная
модель используется для отслеживания динамики нескольких временных рядов, в
которой текущие значения этих рядов зависят от прошлых значений. Если основная
последовательность представлена в виде вектора 
, тогда
модель VAR будет иметь следующий вид:

, (6)
где
C -вектор констант,

- вектор
предопределенных переменных. В нашем случае будет использоваться модель для
проверки изменений в связях между тремя рядами. Т.е. будет использоваться
модель вида:

(7)
Ограничение
в применении модели VAR:
Все
рассматриваемые ряды должны быть стационарны, но ряды значений индексов обычно
не стационарны, следовательно, применять модель векторной авторегрессии в
чистом виде нельзя, в этом случае необходимо воспользоваться векторной моделью
исправления ошибок (VECM). Основное уравнение модели VECM:

, (8)
где

и 
Для
выбора оптимального параметра смещения используется один из двух основных
методов: метод максимального правдоподобия или информационный критерий (более
устойчивый). Будем использовать критерий SBIC, т.к.
онболееточный.
1.2.5 Проверка
взаимной интеграции по критерию Йохансена
Основная идея данного критерия заключается в следующем: если два и более
рядов не стационарны (имеют единичный корень), но линейная комбинация этих
рядов является стационарным рядом, то данные ряды можно считать
взаимосвязанными.
Данный критерий применяется для проверки установления долгосрочной
взаимосвязи между рядами. Суть метода заключается в нахождении
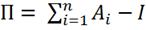
характеристических корней матрицы П.
Предположим,
мы рассматриваем переменную r, которая может быть определена как число, либо
как линейная комбинация переменных Yt либо как ранг матрицы П из уравнения 8.
Если r равно n, тогда матрица П полноранговая. Если матрица П не полного ранга,
тогда она может быть записана как 
, где a и b - матрицы размерности (nxr). Таким
образом, матрица коэффициентов П является результатом умножение матриц a и b, причем a характеризует
скорость достижения равновесия, а b - степень
взаимодействия анализируемых переменных.
Для
проверки установления краткосрочной взаимосвязи между рядами используется
критерий Энгла-Грэнджера.
1.2.6
Тест
Эрла-Грэнджера
Тест Грэнджера - это эконометрический инструмент, основанный на методе F-статистики, который позволяет понять
может ли одна последовательность предсказать будущие значения другой
последовательности, основываясь на ее прошлых значениях. Говорят, что
последовательность Х предсказывает значение последовательности Y по Грэнджеру, если изменения в
прошлых значениях последовательности Х позволяют прогнозировать настоящие значения
последовательности Y. Если такая
закономерность установлена, данное явление называют двусторонней
причинно-следственной связью.
При проведении линейного теста по Грэнджеру необходимо рассмотреть два
случая в зависимости от того, являются ли наши ряды стационарной линейной
комбинацией или нет.
) Не являются. Тогда:

(9)
Где

- вектор
стационарной серии значений индексов в момент времени t, L -
параметр лага во времени,

,

.
Таким
образом, нулевая гипотеза существования прогнозной силы последовательности Y1
над последовательностью Y2 имеет вид:
2) Являются. Тогда в модели необходимо применить механизм коррекции
ошибки (ECM - errorcorrectionmechanism):

(10)
В
данном случае также измениться формулировка нулевой гипотезы:
Если
ряды значений индексов рынков ЕС, США и России не коинтегрированы, тогда
необходимо использовать уравнение 9 для нахождения краткосрочной взаимосвязи
между рядами, если же ряды коинтегрированы, то необходимо использовать
уравнение 10. Если серии значений индексов не коинтегрированы, тогда матричное
представление модели будет иметь вид:

(11)
Где

,

, 
-
дневные доходности индексов S&P 500, STOXXEurope 50 и РТС соответственно.
Тест
Грэнджера выявляет лишь наличие корреляции, а не прямую причинно-следственную
связь между текущими значениями одного ряда и предыдущими значениями другого
ряда. В данном случае для более глубинного исследования применяют анализ
краткосрочного импульсного воздействия и метод вариационной декомпозиции.
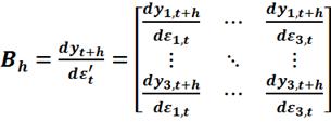
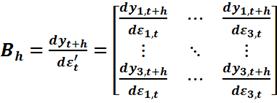
1.2.7 Анализ
краткосрочного импульсного воздействия
Ответная функция представляет собой реакцию на внешнее импульсное
воздействие. В частности, данная функция позволяет проанализировать как
зависимая переменная реагирует на «шок» со стороны независимой переменной.
Общий эффект единичных «шоков» подсчитывается путем суммирования коэффициентов
ответных функций.
Предположим, что уравнение регрессии не имеет константы и четко
выраженного тренда, тогда оно будет иметь вид:

(12)

(13)
Т.к.

, то
получим

(14)
Предположим,
что
. В дальнейшем
будем использовать векторное представление. Можно переписать данное
представление в векторном виде:

,
где

, где 
-
как
раз определяет ответную функцию, а L - обратный оператор. Более
точно функция B(L) может быть определена как

(15)
Использую
данную трехмерную модель можно представить матрицу ответных значений на
стандартный «шок», происходящий h периодов:

(16)
В
данном случае обобщенная ответная функция вычисляется согласно формуле 17:

(17)
В
этом уравнении функция 
представляет
собой обобщенную масштабированную ответную реакцию эндогенных переменных в
момент времени t+h на экзогенный «шок» из модели VAR
(уравнение 6) в период t.
1.2.8 Описание
метода вариационной декомпозиции
Если в модели VAR участвует
большое количество уравнений, а соответственно и лагов, обнаружить влияние
внешних «шоков» на внутренние заданные переменные становится практически
невозможно. В данном случае применяют анализ вариационной декомпозиции.
Данный метод позволяет проследить вклад каждой переменной в модели в
изменение каждой из сопоставляемых переменных авторегрессии. Также она дает
численное представление о том, насколько колебания прогнозных ошибок каждой
переменной может быть объяснено экзогенными «шоками» других переменных. Этот
метод является одним из самых точных и часто применяемых методов для
прогнозирования временных рядов в финансовой математике.
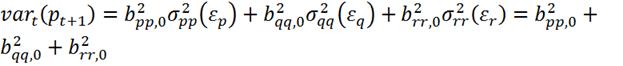
Для начала определим параметры среднеквадратической ошибки:

(18)
В
модели с тремя временными рядами будущая (на 1 шаг) прогнозная ошибка будет
представлена в виде:

(19)
где

, т.к. 
-
некоррелированная величина, имеющая единичную дисперсию, тогда:

(20)
Таким
образом, величина 
дает
количественную оценку вариации прогнозной ошибки переменной p на
шок 
.
Аналогичное утверждение будет верно и для переменных q и r.
По-другому
полученный результат можно записать в виде:

(21)
Зададим:

(22)
Реакция
прогнозной вариации на первый (p) шок может быть записана как 
, на
второй (q) шок как 
и так
далее. Сумму этих реакций можно записать в следующем виде:

(23)
Основная
формула вариации прогнозной ошибки на k шагов вперед может быть
записана как:

(24)
И 
+
(25)
тогда

(26)
есть
вариация накопленной прогнозной ошибки на k шагов вперед в
ответ на шок 
, тогда
суммарная вариация прогнозной ошибки в момент времени t+kбудет
иметь вид:

(27)
Вклад
шока 
в
вариацию ряда 
представлен
ниже:

(28)
и
основная формула вариации прогнозной ошибки на k шагов вперед:

(29)
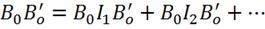
1.2.9 Модель
обобщенной мультивариационной авторегрессионной условной гетероскедастичности
Данная модель применяется для анализа финансовых временных рядов, у
которых условная (по прошлым значениям) ряда дисперсия зависит от прошлых
значений ряда, а также значений дисперсий. Она предназначена для объяснения
кластеризации волатильности на финансовых рынках, когда периоды высокой
волатильности сменяются периодами низкой волатильности при относительной стабильности
средней величины.
Для
того чтобы смоделировать зависимость между волатильностями более двух
финансовых временных рядов применяется мультивариационная GARCH
модель. Принимая во внимание то, что вектор 
- вектор
доходностей размера (Nx1), можно написать следующее уравнение:

(30)
где

- вектор
ставок доходностей в момент времени t-1 размерности (Nx1),
Г - ассоциированная матрица размерности (NxN),
- вектор
констант размерности (Nx1),
-
порождающая матрица размерности (Nx1), содержащая порождающие элементы для каждого рынка.
Матрица 
может
быть записана в виде:

(31)
где

положительно
определенная матрица размерности (NxN), и 
независимый
с идентичным распределением вектор (Nx1), с 
. Матрица

является
дисперсионно-ковариационной матрицей 
. В
случае трехмерной модели данная матрица доходностей будет иметь вид:

(32)
где

-
условная дисперсия между ставками доходности стран i и j в
момент времени t.
Чтобы
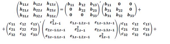
проанализировать внешнее влияние волатильности необходимо использовать модель BEKK,
в которой матрица условных ковариаций имеет вид:

(33)
где
B - верхняя треугольная матрица констант размерности (NxN),
каждый элемент 
матрицы
С определяет степень порождающих внешних влияний, исходящих из рынка iна
рынок j, каждый элемент
симметричной матрицы G размерности (NxN) определяет
силу данных влияний. В случае анализа трех фондовых рынков (N=3, p=q=1)
уравнение 33 приобретает трехмерный вид:
(34)
Диагональные
элементы матриц C и G характеризуют ответные эффекты на шоки и изменения
волатильности своих собственных фондовых рынков. Недиагональные элементы
показывают степень перекрестного влияния. Для того, чтобы оценить параметры
мультивариационной авторегрессионной условной гетероскедастичности необходимо
максимизировать функцию максимального правдоподобия, имеющую следующий вид:

(35)
где

-
параметр, который необходимо оценить, N - число временных рядов в
модели, а T - число наблюдений. Максимизировать данную функцию
можно с помощью алгоритма BHHH.
1.3 Описание
данных
Для проведения исследования были выбраны следующие фондовые индексы: RTS, S&P500 и
STOXXEurope 50. Дадим краткое описание способа
определения каждого из индексов:
1.3.2 Индекс
РТС
Данный индекс является взвешенным по капитализации с учетом free-float и рассчитывается на основе цен на обычные и
привилегированные акции 50 наиболее крупных и ликвидных российских компаний,
представленных на московской бирже. Расчет индекса начал производиться с 1
сентября 1995 года с начального значения в 100 пунктов. Начальная капитализация
составила 12 666 080 264 долларов США. Индекс рассчитывается ежесекундно. Для
исследования был выбран именно этот индекс, а не индекс ММВБ, т.к. он
номинирован в долларах США, а, следовательно, учитывает эффект курсовой
неустойчивости.
Более подробные описание и методика расчета индекса РТС представлены на
сайте Московской биржи.
1.3.3 Индекс
S&P500
Считается, что индекс S&P 500 наилучшим образом отображает
изменения в экономике США. Индекс включает в себя список из 500 наиболее
крупных по капитализации компаний США. Список принадлежит компании Standard&Poor’s и ею
же составляется. Расчет и публикация индекса производятся с 4 марта 1957 года.
В качестве базового периода взяты 1941-1943 года, а базового значения - 10.
1.3.4
Индекс STOXXEurope 50
Индекс рассчитывается по 50 наиболее крупным компаниям 18 европейских
стран, а именно: Австрии, Бельгии, Чехии, Дании, Финляндии, Франции, Германии,
Греции, Ирландии, Италии, Люксембурга, Голландии, Норвегии, Португалии,
Испании, Швеции, Швейцарии и Великобритании. Практически все страны, за
исключением Норвегии и Швейцарии, являются странами, входящими в Европейский
союз. Но они являются членами европейской ассоциации свободной торговли, что в
свою очередь говорит о сильной взаимосвязи экономик данных стран с экономиками
стран-членов ЕС.
Учитывая, что индексы RTS и S&P500 выражены в долларах США, для
сопоставимости и возможности сравнения производится конвертация ежедневных цен
закрытия индекса STOXX Europe 50 в доллары США по курсу на дату закрытия.
Исторические дневные цены закрытия индексов и данные по курсу USD/EUR можно получить на сайте архива компании «Финам» или
системе «Thomson Reuters Datastream». Для анализа были использованы
дневные данные, т.к. большая выборка значений обеспечивает более высокую
точность исследования. Кроме того, чтобы провести тест на наличие структурных
разрывов, был проанализирован индекс волатильности RTSVX.
Выборка данных по индексу волатильности РТС (RTSVX) содержит 2 386 значений, с периодом, равным одному
дню наблюдения, начиная с 10 января 2006 года и заканчивая 3 марта 2015 года.
Выборка данных по ценам закрытия индексов содержит 5 088 значений периода
с 1 сентября 1995 года по 3 марта 2015 года. Дата начала периода исследования
совпадает с датой начала расчета индекса РТС.
1.4
Учет несовпадения времени проведения торгов
Проблема заключается в отсутствии синхронизации проведения торгов на
рассматриваемых биржах из-за сдвига во времени, вызванного географическим
расположением площадок. На рис.1 показаны временные зоны торгов.
Рис. 1. Временные зоны проведения торгов на биржах RTS, STOXXEurope 50 и S&P500
Так как индекс STOXXEurope 50 включает в себя расчеты по 18 Европейским фондовым рынкам, то цены
фиксируются все время с момента открытия первых рынков и до момента закрытия
последних. Таким образом, можно считать, что рынки европейских стран открыты 9
часов в сутки. Для исключения проблемы асинхронизации торгов для анализа имеют
значения лишь цены, сформированные в период, когда все рынки открыты и
функционируют (данный период составляет 1:30 каждые сутки). Таким образом, если
на данном промежутке времени будет установлена положительная ковариация между
индексами, то ковариация будет иметь место и в разрезе дневных цен. Проблема
асинхронизации, связанная с наличием национальных праздников, когда торги на
бирже не проводятся, решается взятием цены закрытия предыдущего дня.
1.5
Краткие выводы
Для проведения исследования был выбран определенный промежуток времени (с
14:30 до 16:00 GMT+0), когда функционируют одновременно все рассматриваемые
фондовые рынки. Значения индексов фиксируются строго в момент времени закрытия
московской биржи, т.е. в момент времени 16:00GMT. Выборка данных по ценам закрытия индексов содержит 5
088 значений периода с 1 сентября 1995 года по 3 марта 2015 года, при этом если
на одном из участвующих в анализе рынков торги не проводятся, например, в связи
с национальным праздником, а на двух других проводятся, то для данного индекса
фиксируется значение закрытия предыдущего дня. Для установления периодов
относительной стабильности и кризиса на фондовом рынке России используется
показатель волатильности индекса RTSVX.Выборка
данных по индексу волатильности РТС содержит 2 386 значений, с периодом, равным
одному дню наблюдения, начиная с 10 января 2006 года и заканчивая 3 марта 2015
года.
В данной главе дается описание основных методов и тестов, используемых в
ВКР. Сначала проводится тест на наличие структурных сдвигов (разрывов) по
методу Бай-Перрона (для проверки используется тест ЧОУ), необходимый для
определения периодов относительной стабильности на фондовом рынке РФ и даты
начала кризисных изменений. После для каждого из фондовых индексов формируется
массив из двух временных рядов - значений индексов и величин дневных
доходностей, используемых в дальнейшем анализе. Данные временные ряды
подвергаются тестам на стационарность по критериям ADFиKPSS.Тест
на коинтеграцию применяется для установления долгосрочной связи между рынками
(используются ряды значений индексов), тест Эрла-Грэнджера - для установления
наличия краткосрочной связи (используются ряды значений дневных доходностей).
Для выявления прямой причинно-следственной связи между текущими значениями
одного ряда и предыдущими значениями другого ряда применяются анализ
краткосрочного импульсного воздействия и метод вариационной декомпозиции.
Все вышеперечисленные тесты выполнены в программных пакетах Microsoft Excel, Gretl,
R-studio, Python-notebook.
Глава 2.
Результаты исследования
2.1 Определение
наличия структурных разрывов
В качестве массива данных для проведения теста на наличие структурных
разрывов использовались значения индекса RTSVX. Выборка данных была осуществлена за период с 10
января 2006 года по 3 марта 2015 года. На рис. 2 представлен график
дискретизации при определении структурных разрывов индекса RTSVX.
Рис. 2. Структурные разрывы индекса волатильности РТС
Оба теста на наличие единичных корней (ADF и KPSS)
дали следующий результат: ряд данных индекса волатильности РТС стационарен на
уровне значимости в 5%. Результаты расчетов представлены в таблице ниже.
Таблица 1
Тест на стационарность значений индекса RTSVX
|
ADF
|
|
KPSS
|
|
Константа
|
-3.5158
|
Константа
|
0.4661
|
|
Константа и тренд
|
-3.5657
|
Константа и тренд
|
0.2574
|
Примечание: **, *** - обозначают уровень статистической значимости 5% 1%
соответственно. Нулевая гипотеза теста ADF: рядзначений индекса RTSVXимеет единичный корень. Нулевая гипотеза теста KPSS: ряд значений индекса RTSVXстационарен.
Проведение теста Бай-Перрона позволило обнаружить 5 дат структурных
разрывов (6 периодов, внутри которых среднее значение индекса волатильности
колеблется в предельно малом диапазоне значений). В таблице ниже представлены
результаты, полученные по тесту Бай-Перрона.
Таблица 2
Результаты теста Бай-Перрона на наличие структурных разрывов
|
Переменная
|
Дата структурного разрыва
|
Значение t-статистики
|
|
Индекс волатильности РТС
|
15 сентября 2008
|
40.92337***
|
|
27 февраля 2009
|
14.47943***
|
|
02 октября 2009
|
65.75385***
|
|
02 октября 2012
|
40.74966***
|
|
03 марта 2014
|
61.08083***
|
Примечание: *** - обозначает уровень статистической значимости 1%.
В соответствии с полученными результатами, российский фондовый рынок с
начала 2006 года переживал период относительной стабильности, который длился
приблизительно 2,5 года. Некоторые исследователи полагают, что данный период
стабильности поддерживался постоянством ставки рефинансирования ЦБ, которая на
тот период составляла 6,5%, некоторые связывают этот период с затишьем на
валютном рынке. Первое существенное изменение волатильности можно наблюдать в
середине сентября 2008 года, что связывается с мировым финансовым кризисом.
Последующие существенные изменения в сторону понижения среднего значения
индекса волатильности произошли в конце февраля 2009 года и начале октября 2009
года. Они сопровождались возвращением значений индексов к предкризисным
диапазонам колебаний. На данном уровне среднее значение индекса волатильности
установилось на 3 года, до начала октября 2012 года, когда оно еще снизилось
приблизительно на 25%. Последний наблюдаемый скачок среднего значения индекса
волатильности произошел 3 марта 2014 года, когда министр иностранных дел РФ
выступая в совете по правам человека ООН фактически признал преднамеренность
подготовки операции по защите гражданского населения в республике Крым.
Таким образом, основными периодами исследования являются период
относительной стабильности со 2 октября 2012 года по 28 февраля 2014 года и
период резкого скачка волатильности на фондовом рынке РФ с 3 марта 2014 года по
3 марта 2015 года. В общем случае для проведения дальнейшего анализа имеется
выборка в 631 значение (369 наблюдений в период стабильности и 262 наблюдения в
кризисный период).
2.2 Расчет статистических показателей для периода
стабильности
Для анализа были использованы однодневные ставки доходности индексов,
высчитываемые по формуле:

(36)
где

- ставка
доходности индекса i в момент времени t,
-значение
индекса iв момент времени t, 
-
значение индекса iв момент времени t-1.
Для
нивелирования влияния резких скачков значений индекса используется
логарифмическая шкала.
В
таблице 3 представлена описательная статистика по ставкам доходностей индексов S&P
500, STOXX Europe 50 и RTS в
период стабильности.
финансовый шок стабильный кризисный фондовый
Таблица 3
Расчет статистических показателей дневных ставок доходности по индексам в
период относительной стабильности
|
Индекс
|
Среднее значение
|
Стандартное отклонение
|
Асимметрия
|
Эксцесс
|
Q(5)
|
Q2(5)
|
ARCH LM (lag = 5)
|
|
S&P500
|
0.00068
|
0.00714
|
-0.43051
|
4.41427
|
0.857 (0.973)
|
12.737** (0.026)
|
1.61849 (0.1542)
|
|
STOXX Europe 50
|
0.00060
|
0.00909
|
-0.51503
|
5.24275
|
5.787 (0.328)
|
3.886 (0.566)
|
1.43916 (0.2094)
|
|
RTS
|
0.00048
|
0.01150
|
-0.08399
|
4.27042
|
3.037 (0.694)
|
4.190 (0.522)
|
1.14952 (0.334)
|
Примечание: ** - обозначение статистической значимости результата на
уровне 5%. Период: 02 октября 2012 - 28 февраля 2014.
Число наблюдений: 369. Q(5) -
результаты Q-теста с параметром лага равным 5. ARCHLM - результаты теста на
авторегрессионную условную гетероскедастичность.
Как видно из представленной таблицы, наибольшее среднее значение дневной
ставки доходности наблюдается на фондовом рынке США (0.068%), наименьшее
значение - на фондовом рынке России. Наибольшая волатильность, измеряемая
параметром стандартного отклонения, у индекса РТС. Несмотря на то, что функция
плотности распределения вероятностей всех трех выборок близка к нормальному
распределению, наблюдается эффект асимметрии (skewness), который у всех трех выборок
выражен в большей вероятности получить убыток, чем прибыль (отрицательное
значение параметра асимметрии). Параметр крутости распределения, эксцесса (kurtosis) у всех трех выборок превышает
значение нормального распределения, что говорит о том, что большое количество
наблюдений имеют значения, близкие к среднему. Все три распределения имеют ярко
выраженные пики и более пологие «левые хвосты» функции плотности распределения.Q-тесты показывают, что все
последовательности, кроме последовательности доходностей индекса S&P500, не гетероскедастичны. Эффекты авторегрессионной условной
гетероскедастичности (когда условная дисперсия ряда зависит от прошлых значений
ряда, прошлых значений дисперсий и других факторов) также не наблюдаются.
2.3 Расчет статистических показателей для кризисного периода
В таблице 4 приведена описательная статистика по ставкам доходности
индексов S&P 500, STOXXEurope 50 и RTS в период нестабильности.
Таблица 4
Расчет статистических показателей дневных ставок доходности по индексам в
кризисный период
|
Индекс
|
Среднее значение
|
Стандартное отклонение
|
Асимметрия
|
Эксцесс
|
Q(5)
|
Q2(5)
|
ARCH LM (lag = 5)
|
|
S&P500
|
0.00048
|
0.00717
|
-0.20125
|
3.9584
|
1.8142 (0.874)
|
48.052*** (0.000)
|
48.0523*** (0.000)
|
|
STOXX Europe 50
|
-0.00033
|
0.00928
|
-0.20866
|
4.8466
|
11.285** (0.046)
|
27.926*** (0.000)
|
3.7002*** (0.003)
|
|
RTS
|
-0.00124
|
0.02602
|
-0.24976
|
10.1243
|
94.168*** (0.000)
|
73.076*** (0.000)
|
21.4360** (0.000)
|
Примечание: **, *** - обозначение статистической значимости результата на
уровнях 5% и 1% соответственно. Период: 03 марта 2014 - 03 марта 2015. Число
наблюдений: 262. Q(5) - результаты Q-теста с параметром лага равным 5. ARCHLM - результаты теста на
авторегрессионную условную гетероскедастичность.
Как видно из представленной таблицы наибольшее значение средней величины
ставки доходности (0.048%), как и в стабильном периоде, наблюдается у индекса S&P 500. Сравнивая два периода, можно увидеть, что в период
нестабильности рынка среднее значение доходности падает. Волатильность
фондового рынка США практически не изменилась, фондового рынка Европы
увеличилась на 2%, а рынка России - на 126% по сравнению с периодом
относительной стабильности. Для всех трех выборок также наблюдается эффект
отрицательной асимметрии, уровень эксцесса рядов доходностей индексов S&P 500 и STOXXEurope 50 уменьшился, а индекса RTS
увеличился на 137%. Q-тесты
показывают, что все последовательности, кроме последовательности доходностей
индекса S&P500, не гетероскедастичны. Наблюдается эффект
авторегрессионной условной гетероскедастичности.
2.4 Проверка
существования единичного корня, тест на стационарность
Перед началом проверки существования взаимосвязи между различными
фондовыми рынками необходимо провести тесты на стационарность ADF и KPSS. Нулевая гипотеза в тесте
Дикки-Фуллера заключается в существовании единичного корня, а в тесте KPSS - в том, что ряды стационарны.
2.4.1 Результаты
расчетов для периода стабильности
На графиках ниже представлены значения и доходности рассматриваемых
индексов в период относительной стабильности.
Рис. 3. Значения индексов в стабильный период
На протяжении всего периода стабильности графики значений индексов S&P 500 и STOXX Europe 50 показывают ярко выраженный восходящий
тренд.
Рис. 4. Значения доходностей индексов в стабильный период
Таким образом, для проверки рядов на наличие единичных корней будем
использовать метод теста с константой и линейным трендом. Ряды доходностей,
напротив, не имеют ярко выраженных трендов, поэтому для проведения теста на
единичные корни будем использовать метод без константы и тренда.
Таблица 5
Тесты на наличие единичных корней выборок значений индексов в стабильный
период
|
Индекс
|
t-статистика
|
LM-статистика
|
|
ADF
|
KPSS
|
|
С константой и без тренда
|
С константой и трендом
|
С трендом без константы
|
С трендом и с константой
|
|
S&P 500
|
-0.5022 (0.8876)
|
-3.6436** (0.0276)
|
3.1558***
|
0.1728**
|
|
STOXX Europe 50
|
-0.8527 (0.6492)
|
-3.4309** (0.0491)
|
2.8451***
|
0.2231***
|
|
RTS
|
-1.3966 (0.5843)
|
-1.8102 (0.6980)
|
0.9914***
|
Примечание: **, *** - обозначение статистической значимости результата на
уровнях 5% и 1% соответственно. Величина лага (сдвига) выбрана в соответствии с
информационным критерием (SBIC).
Нулевая гипотеза теста KPSS:
ряд стационарен. Нулевая гипотеза теста ADF: имеется единичный корень. Период наблюдений: 02
октября 2012 - 28 февраля 2014. Число наблюдений: 369.
Тест Дикки-Фуллера для значений индексов S&P 500 и STOXX Europe 50 отрицает нулевую гипотезу о
существовании единичного корня на уровне значимости 5%. С другой стороны, KPSS
тест отвергает нулевую гипотезу о стационарности на уровнях значимости в 5% и
1%. Принимая во внимание, что тест KPSS имеет более строгие условия, а,
следовательно, и большую значимость, будем пользоваться результатами теста
KPSS. Для индекса РТС результаты тестов ADF и KPSS совпадают: ряд значений
индекса РТС не стационарен (отрицание нулевой гипотезы стационарности согласно
тесту KPSS). В таблице выше представлены результаты расчетов.
На рис. 4 видно, что ни один из графиков доходностей индексов не имеет
ярко выраженный тренд. Для проверки стационарности воспользуемся тестом
Дикки-Фуллера. В соответствии с результатами теста отвергается нулевая гипотеза
о существовании единичного корня на уровне значимости 1%, следовательно, ряд
доходностей индексов стационарен. Результаты расчетов приведены в таблице ниже.
Таблица 6
Тесты на наличие единичных корней выборок доходностей индексов в
стабильный период
|
Индекс
|
t-статистика
|
LM-статистика
|
|
ADF
|
KPSS
|
|
С константой и без тренда
|
С константой и трендом
|
С трендом без константы
|
С трендом и с константой
|
|
S&P 500
|
-10.824*** (0.000)
|
-10.802*** (0.000)
|
0.270
|
0.319***
|
|
STOXX Europe 50
|
-14.506*** (0.000)
|
-14.486*** (0.000)
|
0.408
|
0.329***
|
|
RTS
|
-12.606*** (0.000)
|
-12.574*** (0.000)
|
0.062
|
0.062
|
Примечание: *** - обозначение статистической значимости результата на
уровне 1%. Величина лага (сдвига) выбрана в соответствии с информационным
критерием (SBIC). Нулевая гипотеза теста KPSS: ряд стационарен. Нулевая гипотеза
теста ADF: имеется единичный корень. Период
наблюдений: 02 октября 2012 - 28 февраля 2014. Число наблюдений: 369.
2.4.2 Результаты
расчетов для кризисного периода
Рис. 5: Значения индексов в период кризиса
Рис. 5. Значения доходностей индексов в период кризиса
На рис. 5 видно, что в период кризиса только индекс американского
фондового рынка имеет ярко выраженный восходящий тренд. Индексы европейских
рынков и рынка РФ не имеют видного тренда, поэтому для проверки стационарности
будем использовать оба условия: наличие тренда и его отсутствие. Согласно тесту
ADF невозможно отрицать нулевую гипотезу
нестационарности рядов значений всех рассматриваемых индексов. Тест KPSS также подтверждает полученные
результаты на уровне значимости 1%. Результаты обоих тесто одинаковы.
Проведенные результаты расчетов представлены в таблице ниже.
Таблица 7
Результаты тестов на наличие единичных корней выборок значений индексов в
период нестабильности рынка
|
Индекс
|
t-статистика
|
LM-статистика
|
|
ADF
|
KPSS
|
|
С константой и без тренда
|
С константой и трендом
|
С трендом без константы
|
С трендом и с константой
|
|
S&P 500
|
-1.4753 (0.5447)
|
-3.3036* (0.0679)
|
1.7687***
|
0.1867***
|
|
STOXX Europe 50
|
-1.2880 (0.6357)
|
-2.6359 (0.2648)
|
1.9409***
|
0.2494***
|
|
RTS
|
-0.8825 (0.7928)
|
-0.8702 (0.7965)
|
1.8121***
|
0.4442***
|
Примечание: *, *** - обозначение статистической значимости результата на
уровнях 10% и 1% соответственно. Величина лага (сдвига) выбрана в соответствии
с информационным критерием (SBIC).
Нулевая гипотеза теста KPSS:
ряд стационарен. Нулевая гипотеза теста ADF: имеется единичный корень. Период наблюдений: 03
марта 2014 - 03 марта 2015. Число наблюдений: 262.
Из рис. 6 видно, что, как и в период относительной стабильности, ни одна
из выборок доходностей индексов не имеет ярко выраженного тренда. Как и при
проверке стационарности рядов доходностей индексов в стабильный период будем
использовать тест Дикки-Фуллера. Согласно проведенному тесту, нулевая гипотеза
существования единичного корня для всех выборок доходностей отвергается,
следовательно, ряды стационарны. Результаты расчета приведены, в таблице ниже.
Таблица 8
Результаты тестов на наличие единичных корней выборок значений
доходностей индексов в период нестабильности рынка
|
Индекс
|
t-статистика
|
LM-статистика
|
|
ADF
|
KPSS
|
|
С константой и без тренда
|
С константой и трендом
|
С трендом без константы
|
С трендом и с константой
|
|
S&P 500
|
-10.8237*** (0.000)
|
-10.7800*** (0.000)
|
0.2698
|
0.1748**
|
|
STOXX Europe 50
|
-11.8287*** (0.000)
|
-10.7792*** (0.000)
|
0.4571
|
0.1740**
|
|
RTS
|
-13.3759*** (0.000)
|
-13.3222*** (0.000)
|
0.3152
|
0.1776**
|
Примечание: **, *** - обозначение статистической значимости результата на
уровнях 5% и 1% соответственно. Величина лага (сдвига) выбрана в соответствии с
информационным критерием (SBIC).
Нулевая гипотеза теста KPSS:
ряд стационарен. Нулевая гипотеза теста ADF: имеется единичный корень. Период наблюдений: 03 марта
2014 - 03 марта 2015. Число наблюдений: 262.
2.5 Результаты проверки взаимной интеграции
Основной принцип риск-менеджмента заключается в диверсификации портфеля
активов в рамках одного фондового рынка. Такой вид диверсификации, конечно же,
уменьшит несистематический риск и позволит приблизится к границе
систематического, но опять же все это будет происходить в рамках одного
фондового рынка. Для улучшения эффекта диверсификации следует воспользоваться
возможностью вложения в активы фондовых рынков других стран. Но для этого
необходимо понимать степень интеграции и взаимосвязи отечественного фондового
рынка и фондового рынка страны, в который инвестор намеревается вложиться.
Принимая во внимание финансовый кризис в России 2014-2015 гг., анализ
такой взаимосвязи между фондовыми рынками РФ, США и ЕС, представляет
существенный интерес для инвестора. Если окажется, что между перечисленными
выше рынками и рынком России существует положительная достаточно большая
корреляция, то эффект межстрановой диверсификации будет нивелирован. Одной из
задач исследования является доказательства существования данной взаимосвязи
между рынками (или ее отсутствия) в периоды относительной стабильности и
кризиса и попытке ее численного выражения. Для нахождения долгосрочной взаимосвязи
используется проверка по критерию Йохансена.
2.5.1 Обоснование
выбора величины интервалов для проведения теста Йохансена
Для начала необходимо определить число интервалов, используемых в нашей
модели. В таблице ниже представлены результаты выбора моделей согласно
информационным критериям.
Таблица 9
Величины интервалов для проведения теста Йохансена
|
А. Период относительной
стабильности
|
|
VAR(1)
|
VAR(2)
|
VAR(3)
|
VAR(4)
|
VAR(5)
|
|
Логарифмическое
правдоподобие
|
3770.100
|
3799.438
|
3798.917
|
3796.302
|
3788.271
|
|
AIC
|
-20.425
|
-20.591
|
-20.595
|
-20.588
|
-20.551
|
|
SBIC
|
-20.297
|
-20.367
|
-20.275
|
-20.171
|
-20.037
|
|
B. Период нестабильности
|
|
VAR(1)
|
VAR(2)
|
VAR(3)
|
VAR(4)
|
VAR(5)
|
|
Логарифмическое
правдоподобие
|
2430.629
|
2449.485
|
2445.574
|
2450.432
|
2441.837
|
|
AIC
|
-18.534
|
-18.680
|
-18.653
|
-18.693
|
-18.629
|
|
SBIC
|
-18.369
|
-18.393
|
-18.241
|
-18.156
|
-17.966
|
Для периодов стабильности и кризиса будем использовать модель VAR(2) согласно критерию SBIC.
2.5.2 Проверка
по критерию Йохансена
Результаты проверки по критерию Йохансена приведены в таблице ниже.
Таблица 10
Проверка рядов на коинтеграцию по критерию Йохансена
|
А. Период
относительной стабильности
|
|
Россия, США, ЕС
|
Число начальных векторов
|
Лаг
|
Статистика «следа»
|
Критическое значение на
уровне значимости 10%
|
Статистика максимального
собственного числа
|
Критическое значение на
уровне значимости 10%
|
|
1
|
2
|
35.1339
|
39.7553
|
25.3442*
|
23.4409
|
|
B. Период нестабильности
|
|
Россия, США, ЕС
|
Число начальных векторов
|
Лаг
|
Статистика «следа»
|
Критическое значение на
уровне значимости 10%
|
Статистика максимального собственного
числа
|
Критическое значение на
уровне значимости 10%
|
|
0
|
2
|
25.5368
|
39.7553
|
14.6485
|
23.4409
|
Примечание: * - обозначение статистической значимости результата на
уровне 10%.
Из полученных результатов видно, что рынки России, США и ЕС были более взаимосвязаны
в период относительной стабильности, чем в период кризиса. Для выяснения
попарной долгосрочной взаимосвязи между рынками проведем попарный тест
Йохансена. Его результаты приведены в таблице ниже.
Таблица 11
Попарный анализ взаимосвязей между индексами RTS, S&P 500 и STOXX Europe 50
|
А. Период относительной
стабильности
|
|
Число начальных векторов
|
Лаг
|
Статистика «следа»
|
Статистика максимального
собственного числа
|
|
RTS + S&P500
|
1
|
2
|
23.6588*
|
18.2944*
|
|
RTS + STOXX Europe 50
|
1
|
1
|
25.4420*
|
20.8456**
|
|
S&P500 + STOXX Europe
50
|
1
|
2
|
22.4249
|
18.0913*
|
|
B. Период нестабильности
|
|
Число начальных векторов
|
Лаг
|
Статистика «следа»
|
Статистика максимального
собственного числа
|
|
RTS + S&P500
|
0
|
1
|
16.6032
|
11.9797
|
|
RTS + STOXX Europe 50
|
0
|
1
|
11.2768
|
7.2696
|
|
S&P500 + STOXX Europe
50
|
0
|
2
|
16.8949
|
13.3969
|
Примечание: *, ** - обозначение статистической значимости результата на
уровнях 10% и 5% соответственно.
Полученные результаты подтверждают теорию о том, что в более стабильный
период долгосрочная взаимосвязь между фондовыми рынками выше, чем в периоды
нестабильности. Основные причины данного вывода заключаются в укреплении
экономических связей между рассматриваемыми рынками, синхронности
восстановления после последнего кризиса 2008 года, а также повышению привлекательности
взаимного финансирования.
При анализе в период нестабильности были обнаружены отклонения от
значений стабильного периода, которые привели к нарушению долгосрочной
взаимосвязи между фондовыми рынками. Можно предположить, что данные изменения вызваны
неодинаковостью условий доступности информации на каждом из рассматриваемых
рынках, политическими рисками, валютными рисками, а также расхождениями в
макроэкономическое политике. Действительно, в период кризиса 2014-2015 гг. на
российском рынке экспертами отмечалось существенное увеличение величины
валютных рисков и рисков ликвидности. По итогам 2014 года отток капитала
составил 151,5 млрд. долларов США, побив рекорд 2008 года в 133,6 млрд.
долларов США. Также практически на 50% уменьшилась величина прямых иностранных
инвестиций в российский рынок и составила 41 млрд. долларов США. Основной
причиной резкого увеличения валютных рисков, безусловно, стало падение курса
рубля по отношению к доллару США более чем в 2 раза. Данное падение
способствовало уменьшению притоку иностранного капитала, что в свою очередь
уменьшило долгосрочную взаимосвязь между российским рынком капитала и мировыми
рынками.
Более того, можно утверждать, что долгосрочная взаимосвязь между рынком
США и Европы, отчетливо наблюдаемая в период относительной стабильности на
российском фондовом рынке, с наступлением кризиса 2014 года пропала.
Волатильность рынка STOXX Europe 50 в этот период также возросла, тем
самым оказав существенное влияние на решения долгосрочных стратегических
инвесторов также начать выводить капитал с рынков Европы в более стабильный
рынок США. Другим значимым фактором данного явления послужило различие в
монетарной политике Центробанков США и Европы. 10 Сентября 2014 года ЕЦБ
понизил все три основные ставки: ставка по основным операциям рефинансирования
была снижена на 10 б.п. и составила 0,05%, ставки по суточным кредитам и
депозитам были понижены на ту же величину - соответственно до 0,30% и -0,20%
годовых. Это в свою очередь привело к росту котировок акций европейских
компаний. В добавок, ФРС США наоборот проводило политику повышения процентных
ставок, что способствовало понижению котировок акций американских компаний и
повышению привлекательности вложения в них. Следует также отметить, что
проводимые в 2014 году диаметрально противоположные монетарные политики ФРС и
ЕЦБ оказали существенную роль в нарушении долгосрочной взаимосвязи между
рынками США и Европы. Таким образом, подводя итоги результатов теста Йохансена
можно утверждать, что в период нестабильности на рынках, эффект диверсификации
наиболее наглядно демонстрирует свою привлекательность.
2.5.3 Проверка
наличия краткосрочных взаимосвязей
Основываясь на результатах теста Йохансена, можно утверждать, что
долгосрочные взаимосвязи между фондовыми рынками США, стран Европы и России,
существовавшие в период относительной стабильности на рынке РФ, были нарушены в
период кризиса 2014-2015 гг. Теперь необходимо проверить наличие краткосрочных
взаимосвязей между рассматриваемыми рынками. Для этого выполним тест Грэнджера
для каждого из периодов. Результаты данной проверки можно будет
интерпретировать как степень влияния ставок доходностей одного рынка на другой.
2.5.4 Обоснование
выбора величины интервалов для проведения теста Грэнджера
Попарный тест Грэнджера основан на моделях VAR и VECM,
следовательно, для начала необходимо определить число интервалов, используемых
в нашей модели. В таблице ниже представлены результаты выбора моделей согласно
информационным критериям.
Таблица 12
Величины интервалов для проведения теста Эрла-Грэнджера
|
А. Период относительной
стабильности
|
|
VAR(1)
|
VAR(2)
|
VAR(3)
|
VAR(4)
|
VAR(5)
|
|
Логарифмическое
правдоподобие
|
3727.878
|
3739.467
|
3747.577
|
3750.007
|
3751.743
|
|
AIC
|
-20.587
|
-20.601
|
-20.596
|
-20.560
|
-20.519
|
|
SBIC
|
-20.457
|
-20.375
|
-20.273
|
-20.140
|
-20.002
|
|
B. Период нестабильности
|
|
VAR(1)
|
VAR(2)
|
VAR(3)
|
VAR(4)
|
VAR(5)
|
|
Логарифмическое
правдоподобие
|
2378.295
|
2385.330
|
2399.779
|
2401.295
|
2413.590
|
|
AIC
|
-18.632
|
-18.617
|
-18.660
|
-18.601
|
-18.627
|
|
SBIC
|
-18.465
|
-18.324
|
-18.242
|
-18.058
|
-17.958
|
Для периодов стабильности и кризиса будем использовать модель VAR (1) согласно критерию SBIC.
2.5.5 Попарный
тест Грэнджера
В таблице ниже представлены результаты проведенного попарного теста на
наличие краткосрочных взаимосвязей между рассматриваемыми рынками в стабильный
период (А) и в период нестабильности 2014-2015 гг. (B).
Таблица 13
Результаты теста Грэнджера
|
А. Период относительной
стабильности
|
|
Нулевая гипотеза
|
F-статистика
|
Вероятность
|
Вывод
|
|
S&P500 не влияет на STOXXEurope 50
|
-6.1216
|
0.000
|
S&P500 « STOXX Europe 50***
|
|
STOXXEurope 50 не влияет на S&P500
|
-4.1287
|
0.000
|
|
|
S&P500 не влияет на RTS
|
-2.0363
|
0.043
|
S&P500®RTS**
|
|
RTS не влияет на S&P500
|
0.1545
|
0.877
|
|
|
STOXX Europe 50 не влияет
на RTS
|
-4.1287
|
0.000
|
STOXX Europe 50 ®RTS***
|
|
RTS не влияет на STOXXEurope 50
|
-0.2914
|
0.771
|
S&P500 « STOXX Europe 50***
|
|
B. Период нестабильности
|
|
Нулевая гипотеза
|
F-статистика
|
Вероятность
|
Вывод
|
|
S&P500 не влияет на STOXXEurope 50
|
15.828
|
0.000
|
S&P500 « STOXX Europe 50***
|
|
STOXXEurope 50 не влияет на S&P500
|
0.7838
|
0.377
|
|
|
S&P500 не влияет на RTS
|
7.7682
|
0.006
|
S&P500®RTS***
|
|
RTS не влияет на S&P500
|
0.2089
|
0.648
|
|
|
STOXX Europe 50 не влияет
на RTS
|
6.5789
|
0.011
|
STOXX Europe 50 ®RTS**
|
|
RTS не влияет на STOXXEurope 50
|
0.8714
|
0.351
|
|
Примечание: *, ** - обозначение статистической значимости результата на
уровнях 10% и 5% соответственно.
Из таблицы видно, что статистически ставки доходностей рынка США влияют
на ставки рынков Европы и России. С другой стороны, изменения ставок на
фондовом рынке России, скорее всего, никак не повлияет на изменение ставок на
рынках США и Европы, т.е. в данном случае взаимосвязь не наблюдается.
На протяжении кризисных 2014-2015 гг. в России в структуре краткосрочных
взаимосвязей между рассматриваемыми рынками произошли существенные изменения.
Одним из важнейших таких изменений можно считать потерю статистической
значимости изменения индекса STOXX Europe 50 по
отношению к индексу S&P 500, другими словами, по изменению
ставок доходности индекса фондового рынка Европы в краткосрочном периоде
невозможно предсказать аналогичное изменение на рынке США. Это означает, что
влияние цен фондовых рынков Европы существенно уменьшилось на формирование цен
на фондовом рынке США, что в свою очередь в краткосрочной перспективе дает
возможность проводить более качественную диверсификацию между данными рынками.
Причиной того, что согласно проведенному тесту ставки доходности на рынке
США влияют на ставки доходностей на рынках других стран, является более высокий
уровень развития рынка США, который служит «мотором» в глобальном финансовом
мире. Можно утверждать, что происходящие на рынке США кризисы, спады, шоки
оказывают более существенное влияние на рынки других стран, чем наоборот.
Как можно видеть из результатов теста, европейские фондовые рынки в
период стабильности также оказывают существенное влияние на рынки других стран,
в нашем случае на рынки США и России. Это объясняется крепкой взаимосвязью
между рассматриваемыми рынками, а также высоким уровнем развития рынков стран
Европы. Также необходимо упомянуть, что во время кризиса 2014-2015 гг.
взаимосвязь в краткосрочном периоде между фондовыми рынками ЕС и РФ резко упала
из-за наложенных на Россию санкций и существенному снижению величин
товарооборота и взаимных инвестиций. Нестабильность на рынках стран Еврозоны также
была вызвана начавшейся в октябре 2014 года программой количественного
смягчения, проводимой ЕЦБ. Все вышеперечисленные причины в совокупности
повлияли на уменьшение статистической связи в краткосрочной перспективе между
рынками ЕС и США. С другой стороны, связь между рынками ЕС и России также
уменьшилась, но не столь существенно. В значительной степени, это вызвано тем,
что рынок стран ЕС более развит по сравнению с рынком России и имеет большее
влияние на последний, чем наоборот.
На рис. 6 представлено отношение капитализации рынка рассматриваемых
стран к уровню ВВП (в процентном соотношении на 2012 год).
Рис. 6. Отношение рыночной капитализации к уровню ВВП
Примечание: для расчета показателя отношения рыночной капитализации к ВВП
стран Европы были использованы два набора данных. Первый набор данных
захватывает расчет данного отношения для 28 стран-членов Европейского союза,
второй - для стран, представленных в индексе STOXX Europe 50. Следует отметить, что при расчете данного индекса
используются показатели только наиболее крупных экономик Евросоюза и двух не
входящих в ЕС стран, а именно Норвегии и Швейцарии (всего 18 стран). Как видно
из рис. 6, у России данное соотношение самое низкое из рассматриваемых.
Результаты проведенного исследования на наличие краткосрочных
взаимосвязей между рассматриваемыми рынками говорят о том, что российский рынок
практически не имеет влияния на рынки развитых стран ни в период относительной
стабильности, ни в период кризиса и нестабильности. Этому есть несколько
объяснений. Во-первых, Россия является развивающейся страной, таким образом она
больше «импортирует шоки», чем «экспортирует». Во-вторых, кризис 2014-2015 гг.
до сих пор продолжается, постоянно снижая инвестиционную привлекательность. Для
наблюдения динамики развития используемых статистических показателей,
необходимо продолжать проводить подобного рода тесты.
2.6 Анализ
краткосрочного импульсного воздействия
Проведенный тест Грэнджера дает представление о наличии статистических
краткосрочных взаимосвязей между ставками доходностей, но не объясняет характер
и продолжительность этих влияний. Для получения более подробной информации по
данному вопросу, необходимо провести импульсный тест. На рис. ниже представлены
ответные функции в период стабильности и период кризиса.
Рис. 7. Ответные функции на импульсные шоки
Ответные функции всех трех рассматриваемых фондовых рынков на
краткосрочные (импульсные) шоки, «импортируемые» каждым из фондовых рынков,
положительны. Это говорит о том, что если ставки доходности на одном из
фондовых рынков резко, то и на других рассматриваемых фондовых рынках ставки в
ближайшем будущем также увеличиваются. Более того, данное изменение на фондовом
рынке России происходит быстрее, чем на фондовых рынках США и Европы.
На графике 1 рис. 7 показаны ответные функции на изменение ставок
доходности на фондовом рынке России на протяжении периода стабильности. Как
видно из графика, наибольшее влияние данные изменения оказывают на сам рынок
России. Кроме того, шоки на рынке ЕС имеют большее, чем шоки на рынке США,
влияние на изменение ставок доходности на российском рынке. Этот результат
можно объяснить тем, что Россия является основным торговым партнером стран ЕС,
в то время как экономические связи между Россией и США не такие крепкие. На
протяжении четырех стандартных периодов влияние шоков нивелируется.
На графике 2 рис. 7 показаны ответные функции на изменение ставок
доходности на фондовом рынке России на протяжении кризисного периода.
Аналогично периоду стабильности, наибольшее влияние данные изменения оказывают
на сам рынок России, но в гораздо большей степени. В данном случае по сравнению
с периодом относительной стабильности, шоки, происходящие на рынке ЕС, влияют в
меньшей степени на изменения в фондовом рынке России. В период нестабильности
существенное влияние приобретает рынок США. Это объясняется ослаблением
экономических связей между странами Европы и Россией в период кризиса 2014-2015
гг. Ко всему прочему, результаты данного исследования показывают, что
краткосрочные изменения в ставках доходностей, происходящие на рынках США и ЕС,
в период кризиса на рынке РФ, нивелируются с большей скоростью по сравнению с
периодом стабильности. Это говорит о том, что фондовый рынок РФ стал менее
подвержен различного рода шокам со стороны рынков других стран.
На графиках 3 и 4 рис. 7 показаны ответные функции на изменение ставок
доходности на фондовом рынке США на протяжении периода стабильности и периода
кризиса на российском рынке соответственно. Как и в предыдущих случаях
наибольшее влияние данные изменения оказывают на сам рынок США. Более
существенное влияние на изменения на рынке США оказывают шоки на рынках ЕС, чем
на рынке РФ. Это закономерно, т.к. США является крупнейшим торговым партнером
ЕС.
На графиках 5 и 6 рис. 7 показаны ответные функции на изменение ставок
доходности на фондовых рынках стран Европы на протяжении периода стабильности и
периода кризиса на российском рынке. Как видно из графиков, шоки на рынках США
и России оказывают практически одинаковое влияние на рынок ЕС, однако влияние
шоков, происходящих на рынке России, на рынок ЕС в период нестабильности,
меньше аналогичного влияния со стороны шоков, происходящих на рынке США. Это
объясняется существенным снижением величины торгового оборота между Россией и
странами Европы в период 2014-2015 гг.
На графиках 1 и 2 рис. 8 видно, что колебания ставок доходностей на рынке
США не зависят от колебаний на фондовых рынках Европы и России. Как мы
установили прежде, это объясняется более высоким уровнем развития фондового
рынка США. Таким образом, для рынка США действует следующее правило:
вероятность «экспорта» шоков гораздо больше вероятности «импорта».
На графиках 3 и 4 рис. 8 представлены степени влияния величины колебаний
ставок доходностей на рынках США и России на рынок ЕС на протяжении периода
относительной стабильности и периода кризиса соответственно. На протяжении периода
стабильности в среднем 70% колебаний ставок доходности на фондовых рынках стран
ЕС можно объяснить шоками, происходящими на самих фондовых рынках стран ЕС, и
30% объясняются шоками, происходящими на фондовом рынке США.
Рис. 8. Графическое представление результатов анализа на расхождение
проведенного тестирования
В кризисный период, влияние изменений ставок доходностей на фондовом
рынке США снижается до величины в 24%. Влияние изменений ставок доходностей на
фондовом рынке России практически отсутствует как в период стабильности, так и
в период кризиса. Таким образом, в период кризиса фондовые рынки стран ЕС также
становятся более независимыми от влияния внешних факторов со стороны рынка США.
На графиках 5 и 6 рис. 8 представлены степени влияния величины колебаний
ставок доходностей на рынках США и ЕС на рынок России на протяжении периода
относительной стабильности и периода кризиса соответственно. На протяжении
стабильного периода развития экономики в РФ влияние изменений ставок
доходностей на фондовых рынках США и ЕС на рынок России практически одинаковое
и составляет в среднем 20%. Однако, в период кризиса шоки, происходящие на
рынках стран Европы, начинают оказывать меньшее влияние на рынок РФ, в то время
как степень влияния изменений американского рынка остается в среднем на уровне
19%. Это говорит о том, что кризис 2014-2015 гг. существенно уменьшил
взаимозависимость между фондовыми рынками РФ и стран Европы.
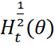
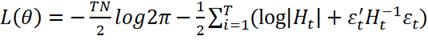
2.8 Модель
мультивариационной авторегрессионной условной гетероскедастичности
Данная модель используется для количественной оценки эффекта
«кластеризации» волатильности на финансовых рынках, когда периоды высокой
волатильности сменяются периодами низкой волатильности, причем при этом среднюю
(долгосрочную, безусловную) волатильность считают относительно стабильной.
Программный код, написанный на языке R, используемый для расчетов, представлен в приложении 1.
Расчетные коэффициенты модели представлены в приложении 2.
В соответствии с полученными результатами в кризисный период наблюдается
увеличение волатильности и «взаимопередачи» «шоков» между рассматриваемыми
фондовыми рынками. Более того, взаимосвязь между рынками в период
нестабильности более статистически значима. В частности, шоки, происходящие на
рынке России являются однонаправленными в период нестабильности и существенно
влияют на волатильность всех трех рынков, и это влияние более статистически
значимо в период кризиса, чем в период относительной стабильности.
В дополнение, результаты проведенного тестирования говорят о том, что в
период нестабильности на фондовом рынке России между фондовыми рынками стран ЕС
и США произошло взаимное шоковое колебание, что говорит о сильной
взаимозависимости между данными рынками. В общем случае, данное явление показывает,
что новости о резких изменениях, происходящих на одном фондовом рынке, с
небольшим лагом по времени находят отражение в другом фондовом рынке и
наоборот. В данном случае следует говорить о шоках, вызванных существенным по
сравнению с прошлыми годами повышением величины прямых иностранных инвестиций
из США в рынки ЕС, что еще более усилило связь между этими рынками. Степень
данного увеличения можно наблюдать на графике ниже.
Рис. 9. Величина прямых инвестиций из США в ЕС
Полученные коэффициенты, характеризующие влияние прошлых значений
волатильности на настоящие, говорят о том, что на рынке США прошлое значение
волатильности существенно влияет на будущее значение. В период кризиса прошлое
значение волатильности фондового рынка России имеет статистически значимое
влияние на будущую волатильность фондового рынка ЕС и собственного фондового
рынка РФ.
Подводя итоги, следует отметить, что в период кризиса в России 2014-2015
гг. установились новые статистически значимые связи (как по передаче
волатильности, так и по передачи различного рода шоков) между фондовым рынком
РФ и фондовыми рынками ЕС и США. Учитывая то, что становлению кризиса в большей
степени способствовали внешние факторы, что подтверждается проведенными исследованиями
и тестами, можно говорить о существовании эффекта «пагубного влияния» или
«заражения», заключающегося в передаче рисков волатильности и вероятности
возникновения различного рода «шоков» от одного фондового рынка к другому.
Краткие
выводы
Тест Грэнджера показал, что между фондовыми рынками ЕС и США существует
краткосрочная взаимосвязь, более того, она усиливается в период кризиса в
России 2014-2015 гг. Но при проверке результатов тестирования, оказалось, что
данную взаимосвязь можно считать односторонней, т.к. влияние рынка США на рынки
стран ЕС намного выше, чем наоборот. Также было обнаружено, что в период
кризиса взаимосвязь между рынками РФ и стран Европы уменьшилось, в то время как
зависимость изменений, происходящих на фондовом рынке России, от изменений на
рынке США осталось на прежнем уровне.
Используя анализ с помощью ответных функций на импульсные шоки, было
выявлено единое правило для всех рассматриваемых фондовых рынков: «шоки в
большей степени влияют на свой собственный рынок». Более того, в кризисный
период влияние со стороны рынка США на рынок РФ существенно превышает влияние
со стороны рынков Европы, несмотря на то, что в период относительной
стабильности степень этих влияний практически одинакова.
Основываясь на результатах анализа колебаний, можно сделать вывод о том,
что в период кризиса 2014-2015 гг. российский фондовый рынок стал более
изолированным. На протяжении периода относительной стабильности влияние
изменений, происходящих на рынках США и России, на рынки стран ЕС оставалось на
неизменном уровне. В период нестабильности влияние шоков со стороны российского
рынка существенно уменьшилось. На рынке США изменение ставок доходностей в
определяющей степени (99%) зависит от внутренних шоков как в период
относительной стабильности, так и в период кризисных изменений на рынке РФ.
Однако, уровень волатильности на фондовых рынках стран Европы в период кризиса
2014-2015 гг. в России стал в меньшей степени зависеть от шоков, происходящих
на фондовом рынке США. В то же время, колебания на фондовом рынке России в
большей степени можно объяснить не только внутренними шоками, но и шоками,
происходящими на фондовом рынке США.
ЗАКЛЮЧЕНИЕ
Начавшийся в 2014 году финансовый кризис в РФ существенно
дестабилизировал экономику страны. Основной целью исследования являлся анализ
влияния данного кризиса на взаимосвязь между фондовыми рынками России, США и
ЕС. В частности, были рассмотрены изменения в долгосрочной и краткосрочной
взаимосвязях, проанализирован механизм распространения волатильности между
фондовыми рынками.
Были определены статистические временные ряды значений рассматриваемых
индексов, на основании которых были построены ряды дневных ставок доходностей,
используемые в дальнейшем анализе.
Сначала был выполнен тест Бай-Перрона на нахождение структурных сдвигов
(разрывов), которые заключаются в существенном резком изменении среднего
значения волатильности на фондовом рынке России. Была найдена дата, которую
можно считать началом кризиса 2014-2015 гг. Кроме того, данный тест позволил
обнаружить периоды низкой волатильности на рынке (т.н. периоды относительной
стабильности), которые служили своего рода бенчмарком дальнейших исследований.
Результаты теста Йохансена показали, что после кризиса 2014-2015 гг.
произошло резкое уменьшение величины долгосрочной взаимосвязи между
рассматриваемыми рынками. Проводя попарный анализ, было также обнаружено, что и
попарная долгосрочная связь между рынками практически исчезла. Данный результат
указывает на рост привлекательности диверсификации портфеля активов между
фондовыми рынками России, стран ЕС и США, т.к. в долгосрочной перспективе
взаимосвязь между рассматриваемыми рынками практически отсутствует.
Для анализа влияния изменений в краткосрочной перспективе был использован
тест Грэнджера, тест краткосрочного импульсного воздействия, а также анализ
декомпозиции вариаций.
Результаты, полученные при проведении теста Грэнджера указывают на
отсутствие влияния происходящих на фондовых рынках стран ЕС изменений ставок
доходности на изменения ставок доходностей на фондовом рынке США в кризисный
период, несмотря на то, что данная взаимосвязь наблюдалась в период
относительной стабильности. Как следствие данного теста, можно говорить о
повышении привлекательности инвестирования на рынок США в краткосрочной перспективе.
Тест краткосрочного импульсного воздействия позволил осознать, что «шоки»
изменения процентных ставок имеют большее влияние на собственный фондовый
рынок, чем на фондовые рынки других стран. В нашем случае рассмотрения трех
фондовых рынков данное условие выполняется даже для рынка США. Что касается
изменения ставок доходности фондового рынка России, было обнаружено, что на
протяжении периода кризиса 2014-2015 гг., на данное изменение в большей степени
влияли «шоки» фондового рынка США, а не ЕС, в отличие от периода относительной
стабильности, когда большее влияние оказывали «шоки» фондовых рынков стран
Европы. То же касается и влияния «шоков» фондового рынка России на изменения на
рынках стран ЕС. Полученные данные позволили предположить, что двусторонние
санкции России и ЕС способствовали уменьшению взаимозависимости их фондовых
рынков.
Анализ декомпозиции вариаций позволил показать, что колебания ставок
доходностей на рынке США практически не зависят от внешних факторов как в
период стабильности, так и в период кризиса в России 2014-2015 гг. Напротив,
вариация колебаний ставок доходностей на фондовых рынках стран Европы стала
меньше зависеть от «шоков», происходящих на рынке США в период кризиса в
России. Это говорит об обособлении рынков Европы в период 2014-2015 гг. Также
было обнаружено, что по сравнению с периодом относительной стабильности в
экономике России, в период кризиса вариация колебаний ставок доходностей на
рынке РФ стала существенно меньше зависеть от «шоков», происходящих на рынках
стран Европы. Данный результат снова говорит о том, что в период кризиса в
России рынки РФ и ЕС стали более обособленными друг от друга.
Тестирование модели мультивариационной авторегрессионной условной
гетероскедастичности позволило обнаружить эффект «негативного влияния» или
«заражения», заключающегося в передаче рисков волатильности и вероятности
возникновения различного рода «шоков» от одного фондового рынка к другому.
СПИСОК
ИСПОЛЬЗУЕМОЙ ЛИТЕРАТУРЫ
Учебная литература:
1. Cochrane
J.H. Handbook of the equity risk premium. Chapter 7: Financial Markets and the
real Economy. University of Chicago, 2008.
Статьи из журналов и сборников:
2. Мануйлов
К.Е. Оценка роли финансового рынка в развитии реального сектора экономики
России. МГИМО:
2011.
3. Asaturov
K., Teplova T. Volatility spillovers and contagion in Emerging Europe //
Journal of Applied Economic Sciences, volume X, issue 6(36), 2015.
. Karlis
Locmelis, Daniel Mititel. Impact of Russia’s 2014-2015 Crisis on the Dynamic
Linkages between the stock markets of Russia, the EU and U.S.// Stockholm
school of economics, SSE RIGA, Bachelor Thesis, April 2015.
. Jia
Liu, Lyudmyla Kompaniyets. Co-Movements between Financial Markets and the Real
Economy // American Institute for economic research, AIER, Working Paper, May
2015.
. Jon
Danielson, Marcela Valenzuela, IlknurZer. Learning from history: Volatility and
Financial Crises// Department of Finance and the Systemic risk Centre, London
school of economics, December 2015.
. Matthew
Trapp, Marc Pouey. Global Research Highlights. Down but not out: investment
strategy. // Bank of America, Merril Lynch. January 2016.
. David
P. Kelly, Andrew D. Goldberg. Market insights: guide to the markets. Asia
1Q2016// J.P.
Morgan,
December 2015.
. David
P. Kelly, Andrew D. Goldberg. Market insights: guide to the markets. Europe
1Q2016// J.P.
Morgan,
December 2015.
. Nicolo
Musmeci, Tomaso Aste, T.Di Matteo. Relation between financial market structure
and the real economy: comparison between clustering methods.// London school of
economics and political science. Research online. March 2015.
. Michael
Wilson. On the markets. Global investment committee. Wealth management.//
Morgan Stanley, January 2016.
. Baijnath
Ramraika. Stock market returns - the GDP growth rate myth. // Advisor
Perspectives. April 2015.
. Sangyup
Choi, Prakash Loungani. Uncertainty and Unemployment: the effects of Aggregate
and Sectoral channels.// International monetary fund, IMF working paper 15/36.
February 2015.
. Pierre
Monnin, TerhiJokipii. The impact of banking sector stability on the real
economy.// Swiss national bank. April 2010.
. Lin,
W.L., Engle, R.F., T. Ito, (1994) Do bulls and bears move across borders? //
International transmission of stock returns and volatility, Review of Financial
Studies 7, 507-538.
. Koedijk,
K.C., R.A.J. Campbell, P. Kofman, (2002) Increased correlation in bear markets
// Financial Analysis Journal 58, 87-94.
. Ranta,
M., (2013) Contagion among Major World Markets: a Wavelet Approach //
International Journal of Managerial Finance 9 (2), 133 - 149.
. Hamao,
Y., Masulis, R., V. Ng, (1990) Correlations in price changes and volatility
across international stock markets // Review of Financial Studies 3, 281-307.
. Forbes,
K.J., R. Rigobon, (2002) No contagion, only interdependence: measuring stock
market comovements // The Journal of Finance 57, 2223-61.
. Kaminsky,
G., C. Reinhart, (2003) The Center and the Periphery: The Globalization of
Financial Turmoil // NBER Working Paper 9279.
. Barassi,
M.R., Dickinson, D.G., T.T. Le, (2012) TDCC GARCH modeling of Volatilities and
Correlations of Emerging Stock Markets // 7th RES PhD Meeting Conference 2012.
. Chiang,
T.C., Jeon, B.N. and H.M. Li, (2007) Dynamic correlation analysis of financial
contagion: evidence from Asian markets // Journal of International Money and
Finance 26, 1206-28.
. Nagayasu,
J., (2000). Currency Crisis and Contagion - Evidence from Exchange Rates and
Sectoral Stock Indices of the Philippines and Thailand // IMF Working Papers
00/39, International Monetary Fund.
. Achsani,
N.A. and H.G. Strohe, (2004). Dynamic Causal Relationships between Central-East
European Stock Market Prices and Selected International Indices // Zelias, A.
(Hg.): Przestrzen noczasowe model owaniei prognoz owaniez jawisk gospodarczych,
130-153.
. Liao,
A., J. Williams, (2004). Volatility transmission and changes in stock market
interdependence in the European Community // European Review of Economics and
Finance 3(3), 203-231.
. Caporale,
M.G., N. Spagnolo, (2011). Stock Market Integration between Three CEECs, Russia
and the UK // Review of International Economics 19(1), 158-169.
. Ross,
S.A., (1989). Information and volatility: the no-arbitrage martingale approach
to timing and resolution irrelevancy. // Journal of Finance 44, 1-17.
. Dungey,
M., Fry, R., Gonzalez-Hermosillo, B., Martin, V. and C. Tang (2010). Are
Financial Crises Alike? // International Monetary Fund. IMF Working Paper.
29. Saleem,
K., (2009). International linkage of the Russina market and the Russian
financial crisis: A multivariate GARCH analysis // Research in International
Business and Finance 23, 243-256.
30. Johansen,
S. (1991). Estimation and hypothesis testing of cointegration vectors in
Gaussian vector autoregressive models. // The Econometric Society, 59(6),
1551-1580.
Материалы конференций:
31. Duvvuri
Subbarao // Financial regulation for growth, equity and stability in the
post-crisis world. First CAFRAL-BIS international conference on “Financial
sector regulation for growth, equity and stability in the post-crisis world”.
Mumbai, 15 November, 2011 // BIS Papers No 62, January 2012.
32. Naresh
Chandra Sahu, Deepinder H. Dhiman // Correlation and Causality between Stock
Market and Macro Economic Variables in India: An Empirical study. 2010
International Conference on E-business, Management and Economics, IPEDR. IACSIT
Press. Hong Kong, 2010.
. Brooks,
C. (2002). Introductory econometrics for finance. Cambridge: Cambridge
University Press.
. Pesaran,
H.&Shin, Y. (1998). Generalized impulse response analysis in linear multivariate
models. // Economics Letters, 58(1).
. Berndt,
E., Hall, B., Hall, R.&Hausman, J. (1978). Estimation and inference in
nonlinear structural models. //Annals of Economic and Social Measurement,
653-665.
. Bai
J.&Perron, P. (1998). // Estimating and testing linear models with multiple
structuralchanges. Econometrica, 66(1).
37. Menezes,
R. (2013). // Globalization and granger causality in international stock
markets. International Journal of Latest Trends in Economics and Finance.
38. Buckley,
N. (2015). Russian economy to shrink 5%, says EBRD. //Financial Times.
March,2015.
Интернет-источники:
39. 11
“Alarm bells” that show the Global Economic crisis is getting deeper:
Zerohedge.com [Электронный ресурс]
40. Heinonen,
A. (2013). The fear gauge: VIX volatility index and the time-varying
relationship between implied volatility and stock returns. University of Helsinki. 2015. [Электронный ресурс]
41. A
new insight for investors: How Financial Markets interact with the Economy:
Aier.org [Электронный ресурс]
42. Is
there a relationship between Economy and stock market: Econompic data.
blogspot.ru [Электронный ресурс]
43. How
does the stock market effect the economy: Economicshelp.org [Электронный ресурс].
ПРИЛОЖЕНИЕ 1
Программный
код приложения для расчета модели мультивариационной авторегрессионной условной
гетероскедастичности (модель VAR-BEKK)
Примечание: Функция, указанная в коде, является частью программного
пакета MGARCH, который был разработан Гаральдом
Шмидбайером (Harald Schmidbauer).
ПРИЛОЖЕНИЕ
2
Расчетные
коэффициенты модели VAR-BEKK
|
А. Период относительной
стабильности
|
|
Коэффициент
|
Стандартная ошибка
|
Коэффициент
|
Стандартная ошибка
|
Коэффициент
|
Стандартная ошибка
|
|
U.S. (i=1)
|
E.U. (i=2)
|
Russia (i=3)
|
|
b(i,1)
|
0.00630***
|
0.00073
|
0.00000
|
-
|
0.00000
|
-
|
|
b(i,2)
|
0.00485***
|
0.00006
|
0.00657***
|
0.00036
|
0.00000
|
-
|
|
b(i,3)
|
0.00418***
|
0.00069
|
0.00447***
|
0.00065
|
0.00945***
|
-
|
|
c(i,1)
|
-0.11392
|
0.11603
|
0.07741
|
0.10455
|
0.16110**
|
0.07125
|
|
c(i,2)
|
0.01872
|
0.11167
|
-0.47211**
|
0.13721
|
0.20217**
|
0.09282
|
|
c(i,3)
|
-0.15095
|
0.14660
|
-0.17807
|
0.16491
|
0.00601
|
0.12340
|
|
g(i,1)
|
0.19017*
|
0.11477
|
-0.11313
|
0.15686
|
-0.21271
|
0.18241
|
|
g(i,2)
|
0.15041
|
0.21410
|
-0.09797
|
0.07339
|
-0.16979
|
0.15751
|
|
g(i,3)
|
0.8122
|
0.04847
|
-0.06784
|
0.13927
|
-0.09563
|
0.11277
|
|
B. Период нестабильности
|
|
Коэффициент
|
Стандартная ошибка
|
Коэффициент
|
Стандартная ошибка
|
Коэффициент
|
Стандартная ошибка
|
|
U.S. (i=1)
|
E.U. (i=2)
|
Russia (i=3)
|
|
b(i,1)
|
-0.00560***
|
0.00133
|
0.00000
|
-
|
0.00000
|
-
|
|
b(i,2)
|
0.00098
|
0.00393
|
0.00179
|
0.00694
|
0.00000
|
-
|
|
b(i,3)
|
0.00048
|
0.00307
|
0.00017
|
0.02357
|
-0.01793***
|
0.00331
|
|
c(i,1)
|
-0.03373
|
0.13290
|
0.17204**
|
0.07998
|
0.05629**
|
0.02783
|
|
c(i,2)
|
-0.57905***
|
0.11067
|
0.37697***
|
0.11380
|
0.09050***
|
0.03700
|
|
c(i,3)
|
0.71332
|
0.46317
|
0.08572
|
0.19152
|
0.37025***
|
0.07845
|
|
g(i,1)
|
-0.08545
|
0.27790
|
0.16781
|
0.17809
|
-0.17135
|
0.11366
|
|
g(i,2)
|
-0.18427
|
0.64855
|
0.33294
|
0.50104
|
-0.36097***
|
0.09883
|
|
g(i,3)
|
-0.22277
|
1.00332
|
0.42252
|
0.94774
|
-0.43915**
|
0.22067
|
Примечание: *, **, *** - обозначает уровень значимости в 10%, 5% и 1%
соответственно.