Инвестиционные проекты и их классификация

  • Вид работы:
    Курсовая работа (т)
  • Предмет:
    Эктеория
  • Язык:
    Русский
    ,
    Формат файла:
    MS Word
    42,37 Кб
  • Опубликовано:
    2017-12-04
Вы можете узнать стоимость помощи в написании студенческой работы.
Помощь в написании работы, которую точно примут!

Инвестиционные проекты и их классификация

МИНИСТЕРСТВО СЕЛЬСКОГО ХОЗЯЙСТВА РОССИЙСКОЙ ФЕДЕРАЦИИ ФЕДЕРАЛЬНОЕ ГОСУДАРСТВЕННОЕ БЮДЖЕТНОЕ ОБРАЗОВАТЕЛЬНОЕ УЧРЕЖДЕНИЕ ВЫСШЕГО ОБРАЗОВАНИЯ

СТАВРОПОЛЬСКИЙ ГОСУДАРСТВЕННЫЙ АГРАРНЫЙ УНИВЕРСИТЕТ








КУРСОВАЯ РАБОТА

по дисциплине «Инвестиции» на тему:

«Инвестиционные проекты и их классификация»


Выполнила работу:

студентка учетно-финансового факультета

направления 38.03.01 - «Экономика» Сажнева Е.Н.

Проверила работу: к.э.н., доцент Латышева Л.А.




Ставрополь, 2017

Содержание

Введение

.       Понятие инвестиционного проекта

2.       Классификация и состав инвестиционных проектов

.        Этапы разработки и реализации инвестиционного проекта

.        Окружающая среда инвестиционного проекта

.        Организационно-экономический механизм реализации инвестиционного проекта

Практическая часть. Анализ инвестиционного проекта

Заключение

Список использованной литературы


Введение

Инвестиции играют значительную роль как на макро- и микроуровне. По сути, они определяют перспективу государства в целом, отдельного субъекта хозяйствования и являются локомотивом в развитии экономики.

В настоящее время одной из наиболее острых проблем России является обеспечение устойчивого развития экономики. Среди факторов, оказывающих большое влияние непосредственно на процесс финансового развития, играет решающую роль инвестирование. В условиях перехода экономики к рыночным условиям, кардинальные изменения произошли и в организации инвестиционного процесса. Возникла необходимость формирования основ нового механизма финансирования инвестиционной деятельности на микроуровне и в масштабах государства. Это обуславливает интерес, проявленный к исследованиям в области инвестирования.

Традиционно под инвестициями понимали осуществление конкретной реализации финансовых проектов в настоящем с расчетом получить доход в будущем. Такой подход к пониманию инвестиций является преобладающим как в отечественной, так и зарубежной экономической литературе. В широком смысле, под инвестициями принято понимать денежные средства, имущественные и интеллектуальные ценности государства, юридических и физических лиц, которые направлены на создание новых предприятий, расширение, реконструкцию и техническое перевооружение функционирующих, приобретение недвижимости, акций, облигаций и других ценных бумаг и активов для получения прибыли и других положительных результатов.

Цель данной курсовой работы - определить понятие инвестиционного проекта и его показателей.

Задачами курсовой работы являются: раскрытие сущности общих инвестиций и инвестиционных проектов, а также характеристики эффективности инвестиционного проекта.

.     Понятие инвестиционного проекта

Термин "инвестиция" входит в число наиболее часто используемых понятий в экономике, которые находятся в переходном состоянии или испытывает подъем.

Это понятие происходит от латинского слова и предполагает долгосрочные инвестиции в экономику внутри страны и за рубежом. В руководствах по инвестиционной деятельности его, как правило, трактуют в широком смысле, понимая инвестиции "расходование ресурсов в надежде на получение дохода после длительного периода времени".

Традиционно различают два вида инвестиций - финансовые и реальные. Первый - это инвестиции в долгосрочные финансовые активы - паи, акции, облигации; вторые - в развитие материально-технической базы предприятий производственной и непроизводственной сфер.

За реальными инвестициями в российском законодательстве устанавливается особый срок капитальных инвестиций, объем инвестиций в основной капитал (основные средства), в том числе затраты на новое строительство, расширение, реконструкцию и техническое перевооружение действующих предприятий, приобретение машин, оборудования, инструмента, инвентаря, проектно-изыскательские работы и другие затраты.

Реальные инвестиции, как правило, оформляются в виде инвестиционного проекта. Согласно Закону № 39-ФЗ "инвестиционный проект есть обоснование экономической целесообразности, объема и сроков осуществления капитальных вложений, в том числе необходимая проектная документация, разработанная в соответствии с законодательством Российской Федерации и утвержденными в установленном порядке стандартами (нормами и правилами), а также описание практических действий по осуществлению инвестиций (бизнес-план).

Таким образом, инвестиционный план трактуется как набор документации, содержащий два основных документа:

- Документальным обоснованием экономической целесообразности, объема и сроков осуществления капитальных вложений, в том числе необходимая проектная документация, разработанная в соответствии с законодательством Российской Федерации и утвержденными в установленном порядке стандартами (нормами и правилами);

- Бизнес-план, как описание практических действий по осуществлению инвестиций.

Субъектами инвестиционной деятельности являются инвесторы, заказчики, подрядчики, пользователи объектов капитальных вложений.

Инвесторы, т. е. лица, осуществляющие капитальные вложения, могут быть физическими и юридическими лицами, создаваемыми на основе договора о совместной деятельности.

Заказчиками по инвестиционному проекту могут выступать как собственно инвесторы, так и уполномоченные ими юридические и физические лица.

2.   Классификация и состав инвестиционных проектов

Наиболее важным критерием для классификации является степень взаимного влияния инвестиционных проектов друг на друга, и результатов но одному проекту от решений, принимаемых по другому проекту.

Взаимное влияние друг на друга инвестиционные проекты можно разделить на следующие типы.

Независимых инвестиционных проектов, когда решение о принятии одного проекта не влияет на решение о принятии другого IP.

Для того чтобы инвестиционный проект был независим от проекта требуется, как минимум, два условия:

Должно быть технически возможным осуществить проект независимо от наличия или отсутствия проекта. Например, технически возможно наладить производство оконных рам без проекта по производству оконного стекла. Аналогичным образом, с технической точки зрения можно реализовать проект строительства автозаправочной станции без учета решения по проекту строительства, скажем, детского сада;

На доход ожидается от проекта и не должны влиять на принятие решений по проекту;

Если рассматривать выше пару инвестиционных проектов, очевидно, что в таком состоянии проектов строительства автозаправочной станции и детском саду не связаны между собой - трудно представить, что доходы владельцев АЗС по результатам работы детского сада. Как для первых двух проектов - по производству оконных рам и оконные стекла, вывод об отсутствии взаимосвязи доходов представляется неверным.

Обоснованным является предположение, что эти два проекта должны быть реализованы одновременно.

Иногда фирма из-за отсутствия средств не может одновременно осуществить два проекта. В таких ситуациях одного проекта повлечет за собой отклонение второго. Однако называть проекты зависимыми только на том основании, что у инвестора не хватает средств для их совместной реализации, было бы неправильным. Действительно, если фирма не имеет финансовых возможностей, чтобы одновременно построить заправочную станцию и детский сад, из-за этого, эти проекты не будут взаимозависимыми.

Зависимые инвестиционные проекты - это проекты, для которых решение для реализации одного проекта влияет на другой проект, то есть денежные потоки по проекту а меняются в зависимости от того, принят или отклонен проект.

Зависимые проекты можно разделить на несколько типов.

. Альтернативные (взаимоисключающие) проекты - когда два или более анализируемых проектов не могут быть реализованы одновременно, и принятие одного автоматически означает, что другие проекты не могут быть реализованы. Например, на выделенном участке земли может быть выстроен либо цех, либо столовая, либо стоянка - принятие одного из этих проектов автоматически делает невозможным внедрение других.

. Дополнительные проекты, когда реализация нескольких проектов может происходить лишь совместно. Значительный интерес представляют две взаимодополняющие типы проектов:

а) дополнительных проектов - в этом случае принятие инвестиционного проекта приводит к росту доходов по другим проектам. Примером взаимодополняющих проектов могут служить рассмотренные выше проекты по производству оконных рам и оконные стекла;

б) проекты, связанные с отношениями замещения, когда создание нового проекта приводит к некоторому снижению доходов по одному или нескольким действующим проектам. Отношениями замещения связаны, например, выпуск товаров длительного пользования (электроинструменты) и в дополнение к проекту производства на ремонт этого инструмента. Действительно, производитель электроинструмента понимает, что он столкнется с трудностями сбыта своей продукции, если не будут открыты мастерские для ее ремонта. Но для производителя идеальным будет ситуация, когда отсутствовала возможность ремонта и какой-либо неисправности электроинструмента он будет заменен на новый экземпляр.

Второй критерий классификации инвестиционных проектов является срок их реализации (создания и функционирования). По этому критерию, инвестиционные проекты делятся на три вида:

) краткосрочные инвестиционные проекты сроком реализации до трех лет;

) среднесрочные инвестиционные проекты - срок реализации от трех до пяти лет;

) долгосрочные инвестиционные проекты - срок реализации свыше пяти лет.

Третьим критерием для классификации проектов по их масштабам. Отметим, что масштаб инвестиционного проекта характеризует его общественную значимость, которая определяется влиянием результатов реализации проекта на хотя бы один из внутренних или внешних рынков (финансовых, товаров и услуг, ресурсов), а также экологической и социальной ситуации. С точки зрения масштабности, проекты рекомендуется разделить на следующие типы.

. Глобальные инвестиционные проекты, что существенно влияет на экономическую, социальную или экологическую ситуацию в мире или в большой группе стран. Примерами таких проектов может стать строительство континентальных нефте-и газопроводов, строительство глобальных сетей информационного обмена, формирование прямого железнодорожного транзита Восток - Запад и т. д.

. Экономические инвестиционные проекты, которые затрагивают всю страну в целом или ее крупные регионы (Урал, Поволжье), и при их оценке можно ограничиться только этот эффект. Проекты такого масштаба могут быть отнесены к федеральной автомобильной дороге и железной дороги, крупных электростанций и т. д.

. Масштабные инвестиционные проекты, охватывающие отдельные отрасли или крупные территориальные образования (регионы, города, районы), и при их оценке можно НС учитывать влияние этих проектов на ситуацию в других регионах или секторах - строительство крупных предприятий, мостов, региональных информационных систем и т. д.

. Местные инвестиционные проекты, которые приурочены к предприятия, реализующего ИП. Их реализация не оказывает существенного влияния ПА экономическую, социальную и экологическую ситуацию в регионе и не изменяет уровень и структуру цен на товарных рынках.

Следует иметь в виду, что глобальные экономические и масштабные проекты государственные проекты, результаты реализации которых важны для общества в целом. Местные проекты не считаются значительными.

Четвертый критерий классификации инвестиционных проектов является их основной задачей. В центре внимания инвестиционного проекта зависит от его целей. С точки зрения этого критерия инвестиционных проектов можно разделить на следующие типы:

.     Коммерческие инвестиционные проекты, главной целью которых является получение прибыли;

2.       Инвестиционные проекты социальной, посвященных, например, проблемы безработицы и социальной адаптации бывших военнослужащих и т. д.;

.        Инвестиционные экологические проекты, основным направлением которой является улучшение условий жизни людей, а также флоры и фауны, например, создание парков, строительство очистных сооружений, рекультивация земель и т. д.

Соответствующая классификация проектов позволяет фирмам по оказанию адресной инвестиционной политики, рационального использования финансовых и других ресурсов, для достижения оптимального соотношения затрат на проект и полученных результатов.

.     Этапы разработки и реализации инвестиционного проекта

Разработка этой политики предполагает:

. Разработка долгосрочных корпоративных целей;

. Поиск новых перспективных сфер приложения свободного капитала;

. Инженерно-технологических, маркетинговых и финансовых прогнозов;

. Формулирование целей и подцелей инвестиционной деятельности;

. Исследование рынка и идентификация возможных проектов;

. Экономическую оценку и перебор вариантов в условиях различных ограничений.

. Формирование инвестиционного портфеля;

. Подготовка и периодический пересмотр бюджета капитальных вложений;

. Постоянная оценка существующих проектов;

. Оценка влияния реализованных проектов.

В ходе развития стратегии развития фирмы очерчиваются основные направления ее деятельности, сферы и приоритетность инвестиций. Ожидание приемлемого уровня рентабельности, устойчивости роста диверсификации бизнеса. Поиск перспективных районах столицы поднимает в стабилизации выбранного бизнеса и появления денежных средств, которые собственники считают возможным изымать из бизнеса.

Любые инвестиционные программы, основанные на оценках маркетингового, технического, технологического и финансового характера, которые используются при разработке бюджета капиталовложений. С течением времени в крупной фирме чаще всего формируется портфель допустимых проектов, которые могут быть реализованы в качестве источников финансирования.

Жизненный цикл проекта можно разделить на три основных этапа: прединвестиционный, инвестиционный и эксплуатационный.

Начальная (прединвестиционная) стадия обычно подразделяется на прединвестиционные исследования и разработку проектно-сметной документации, планирование проекта и подготовка к строительству. При проведении прединвестиционной стадии, как правило, выделяют следующие три фазы:

. Изучение инвестиционных возможностей проекта;

. Предпроектные исследования;

. Для оценки целесообразности инвестиционного проекта.

Различие между уровнями прединвестиционных исследований весьма условно, и глубина проработки каждого уровня зависит от сложности проекта, временных ограничений, требований потенциального инвестора и множества других факторов. Стоимость проведения предпроектных исследований также различна и варьируется от 0,8% для крупных проектов до 5,0% для проектов с небольшими вложениями.

Инвестиций (этап строительства) является:

Проведение тендеров и заключение договоров;

Организация закупок и поставок, подготовительные работы;

Строительно-монтажные работы;

Завершение строительной фазы проекта.

На этапе эксплуатации содержит использования, восстановления, развития производства и ликвидации проекта. Для российских условий в отношении функционирующих в Российской Федерации, нормативных документов, политики, модели жизненного цикла - это классический инвестиционный проект состоит из четырех этапов:

- Фаза 1:концепция (1-5%);

- Фаза 2:планирование и разработка (9-15%);

- Фаза 3:осуществление(055-80%);

- Фаза 4: завершение (10-15%).

Жизненный цикл инвестиционного проекта характеризуется инвестиционным и бизнес - риском(предпринимательским). Виды рисков, связанных с финансированием инвестиционного проекта, во времени условно можно подразделить на риски подготовительной стадии, риски создания проекта, риски ввода объекта в эксплуатацию, риски функционирования объекта.

Первые три этапа реализации проекта присущи как общие, так и специфические типы и виды рисков, которые являются частью общего инвестиционного риска. На всех этапах осуществления проекта присутствуют риски и факторы макроэкономической, социально-политической, технической, коммерческой и др. На четвертой стадии возникают, инвестиции, риски, связанные с предпринимательской деятельностью - предпринимательский риск, включающий этапы введения на рынок товаров и услуг, роста, зрелости, насыщения рынка и упадка спроса на товары и услуги.

Таблица 1 - Данные инвестиционных проектов за период 2013 - 2016

Показатели

Инвестиционный проект № 1

Инвестиционный проект № 2

Объём инвестируемых средств, млн.руб

28.0

26.8

Период эксплуатации проектов, лет

3

4

Денежный поток (доход от проектов), млн.руб

40.0

44.0


Таблица 2 - Расчет настоящей стоимости по двум инвестиционным проектам (млн. руб.)

 Годы Инвестиционный проект № 1  Инвестиционный проект № 2   Будущая стоимость денежных потоков Дисконтный множитель при ставке 10% Настоящая стоимость (НС)  Будущая стоимость денежных потоков     Дисконтный множитель при ставке 12% Настоящая стоимость (НС)   2016 24 0,909 21,816  8  0,893 7,144  2015 12 0,826 9,912  12  0,797 9,564  2014 4 0,752 3,080  12  0,712 8,544  2013 - - -  12  0,636 7,632  Всего 40 - 34,808  44  - 32,884 


Коэффициент дисконтирования () определяется по формуле:




где Г - дисконтная ставка; t - число периодов лет.

по проекту №1 для 2016 года

Аналогичные расчеты проводятся по проекту №2.

Показателя NPV может быть применен не только для относительной оценки эффективности инвестиционных проектов, но и как один из аспектов, необходимых для их реализации. Проект, по которому ЧТС является отрицательной величиной или равен нулю, отвергается инвестором, так как они не принесут ему дополнительного дохода на вложенный капитал. Проект с положительным NPV позволяет увеличить первоначально авансированного капитала инвестора.

Показатель - индекс доходности (ИД) рассчитывается по формуле:


где НС- объем денежных потоков в настоящей стоимости;

И - сумма инвестиций, направленных на реализацию проекта (с разными сроками вложений также приводится к этому значению).

Рассмотрим следующий пример:

Использовать данные для двух инвестиционных проектов и определить для них коэффициент рентабельности по проекту №1 индекс доходности:

ИД = индекс (34,808: 28) = 1,24.

Для проекта 2 индекс доходности:

ИД = (32,884: 26,8) = 1,23.

Следовательно, по этому критерию эффективность проектов примерно одинакова. Если значение индекса доходности меньше единицы или равно ей, то проект не принимается к обсуждению, потому что кто-то принесет дополнительных инвесторов дохода, и банк не гарантирует, заключенный заемные средства.

Срок окупаемости (Т) является одним из наиболее распространенных методов оценки эффективности инвестиционных проектов. Он рассчитывается по формуле:


где И - сумма инвестиций направленных на реализацию проекта (при разновременности вложений приводит к настоящей стоимости);

НС - настоящая стоимость денежного потока в период T.

Используя данные из предыдущей практики, мы определяем их, срок окупаемости - Т.

Для этих целей устанавливается среднегодовая сумма денежного потока в настоящей стоимости.

По проекту № 1 она равна 11,603 млн. руб. (34,808: 3);

По проекту №2 - 8,2221 млн. руб. (32,884: 4).

По проекту № 1 - 2,4 года (28,0:11,603);

По проекту №2 - 3,3 года (26,8: 8,221).

Это указывает на значительное преимущество проекта № 1. При сравнении информационных проектов на основании ЧТС и индекс доходности ИД эти преимущества были менее заметны.

Характеризуя соотношение "период окупаемости", необходимо отметить, что он может быть применен не только для оценки эффективности капитальных вложений, но уровня инвестиционного риска, связанного с ликвидностью.

На практике чем дольше период реализации проекта до его окупаемости, тем выше уровень инвестиционного риска.

Недостатком этого способа является то, что он не учитывает те денежные потоки, которые возникают после периода окупаемости капитальных вложений.

Так, по проектам с длительными сроками окупаемости может быть получена большая сумма ЧТС, чем проекты с короткими сроками

Таблица 3 - Динамика денежных потоков и показатели эффективности проектов

Годы и показатели

Прогнозируемые денежные потоки, тыс. руб.


Проект №1

Проект №2

Проект №3

1

-82

-43

-82

2

60

30

61

3

55

22

40

4

38

13

25

5

20

6

9

6

10

0

4

NPV

66.42

16.32

33.93

PI

1.81

1.38

1.41

1.6

1.455

1.475

IRR

48.95

31.97

33.91


Анализируя данные значения в таблице 4 можно сделать следующие выводы:

. Максимальное значение NPV принадлежит первый проект. Следовательно, принятие данного проекта обещает наибольший прирост капитала.

. Наибольшее значение PI =1,81 также принадлежит первый проект.

. Наименьший срок окупаемости РР=1,455 на второй проект, но учитывая, что разница в окупаемости между наибольшим значением (1,6 года) и наименьшим значением мало, этим преимуществом можно пренебречь.

. Наибольшее значение показателя IRR =48,95% - первый инвестиционный проект. Таким образом, рассмотрев три инвестиционных проекта по четырем показателям, можно отдать предпочтение первому проекту.


4.   Окружающая среда инвестиционного проекта

Возникает инвестиционной проект, существует и развивается в определенном окружении, называемой окружающей (внешней) средой. Внешняя среда инвестиционного проекта - это совокупность переменных, которые находятся за пределами проекта, но влияют на его реализацию и результаты.

Внешняя среда проекта характеризуется нестабильностью. Некоторые элементы инвестиционного проекта в процессе его реализации могут менять свое местоположение, переходя от проекта к внешней среде. Ряд элементов проекта может использоваться в его состав, и состав внешней среды.

Факторы внешней среды инвестиционного проекта включает:

. Технологические (уровень существующих технологий, наличие новых, использование иностранной разработки - лицензий, ноу-хау);

. Финансирования (внутренние источники, доступ, количество поставщиков и т. д.);

. Экономические (инфляция, налоги, валютные курсы, уровень цен на аналогичные товары или услуги и т. д.);

. Ограничения государственного сектора (законодательство, лицензирование, надзор, экспертиза);

К экономическому окружению инвестиционного проекта включает:

Цены на оборудование, сырье, материалы, топливно - энергетические ресурсы и т. д.;

Прогноз общего индекса инфляции и прогноз абсолютного или относительного (по отношению к общей инфляции) изменения цен на отдельные товары (услуги) и ресурсы на шагах расчетного периода;

Прогноз изменения обменного курса или индекса внутренней инфляции иностранной валюты на весь период реализации проекта;

Для экономических расчетов требуемого проекта информация об общей динамике инфляции и темпы инфляции по отдельным элементам, формирующих входы и выходы из инвестиций. Общая динамика инфляции, используемая для преобразования номинальных и реальных процентных ставок.

Темпы инфляции по отдельным элементам необходимы для корректировки исходных данных, если анализ инвестиционного проекта ведется в текущих ценах. Инфляция по-разному воздействует на отдельные элементы, формирующие доходы и затраты, следовательно динамику изменения цен следует прогнозировать:

. По элементам инвестиционных затрат (оборудование, затраты на строительство и т. д.);

. По элементы текущих затрат (материалы, заработная плата);

. По готовой продукции или услуг.

.     Организационно - экономический механизм реализации проекта

Организационно - экономический механизм реализации проекта - форма взаимодействия участников проекта, записанные в проекте материалов для обеспечения реализуемости проекта и возможности учета интересов каждого участника инвестиционного проекта.

Потребность в информации об организационно - экономическом механизме реализации проекта в первую очередь при оценке его коммерческой эффективности. Кроме того, участники проекта являются наиболее важными элементами этого механизма, которые влияют на их расходы и доходы.

Инвестиционный проект организационно - механическим способом включает в себя:

. Нормативные документы, на основе которых осуществляется взаимодействие участников;

. Обязательства, принятые сторонами в связи с осуществлением ими совместных действий по реализации проекта, гарантии таких обязательств и санкции за их нарушение;

. Условия финансирования инвестиций, в частности основные условия кредитных соглашений (сроки кредита, процентная ставка, периодичность уплаты процентов и т. д.);

. Особые условия сбыта продукции и ресурсов между участниками (например, использование бартерного обмена, льготных цен для взаимных расчетов, предоставление товарных кредитов, безвозмездная передача основных средств на постоянное или временное пользование и т. д.);

. Реализация проекта системы управления, которая обеспечивает(при возможных изменениях условий реализации проекта) синхронизацию деятельности отдельных участников, защиту интересов каждого из них и своевременную корректировку их последующих для успешного завершения проекта.

. Меры по взаимной финансовой, организационной и иной поддержке (предоставление временной финансовой помощи, займов, отсрочек платежей и т. д.), включая меры государственной поддержки;

. Основные особенности учетной политики каждого российского предприятия-участника, а также иностранных фирм, получающих на российской территории доходы от участия в проекте.

Отдельные элементы организационно-экономического механизма на стадии реализации проекта могут закрепляться и указываются в уставных документах и договорах между сторонами.

Знание организационно-экономического механизма инвестиционного проекта нужно как минимум по двум причинам. Во-первых, без этого мы не можем быть уверены в проекте. Во-вторых, без знания учетной политики, партии с точки зрения ее отношений с другими субъектами невозможно корректно определить результаты и затраты для определения рентабельности инвестиционного проекта.


Практическая часть. Анализ инвестиционного проекта

Таблица 4 - Источники средств

Наименование источника

Средняя стоимость данного источника средств, %

Удельный вес источника средств в пассиве, %

Привилегированные акции

40

0,2

Обыкновенные акции

50

0,3

Добавочный капитал

20

0,4

Резервы и фонды

25

0,1

Земные средства

40

0,2


Таблица 5 - Выручка, затраты и уровень инфляции

Годы

Поступления и затраты в ценах базового периода, млн.руб.

Прогнозируемый уровень инфляции, %


Поступления

Затраты

Поступления

Затраты

1

11

4

0,3

0,25

2

12

5

0,35

0,3

3

13

6

0,3

0,3

4

16

7

0,3

0,25


Таблица 6 - Данные инвестиционного проекта

Показатели

Значение

Первоначальные затраты на проект, млн.руб.

Срок жизни проекта, лет

4

Ежегодные амортизационные отчисления, млн.руб.

3

Ставка налога, %

20

Инфляционная премия, %

20

инвестиционный проект инфляция капитал

Средневзвешенная стоимость капитала

(ССК) = ССсс+ССзс.

Где ССсс - средневзвешенная стоимость собственных средств,

ССзс - средневзвешенная стоимость заемных средств.

ССК=(40*0,2)+(50*0,3)+(20*0,4)+(25*0,1)+(40*0,2)=41,5

Определение внутренней ставки рентабельности графическим методом.

Сначала определяем чистую настоящую стоимость проекта NPV по формуле:


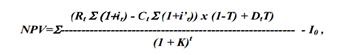
где Rt - номинальная выручка t-го года, оцененная по безинфляционной ситуации r-го года; r - темпы инфляционных доходов, r-го года; t - номинальные денежные затраты t-го года в ценах базового периода;’r - темпы инфляции издержек r-го года; - ставка налогообложения прибыли; 0 - первоначальные затраты на приобретение основных средств; - средневзвешенная стоимость капитала, включая инфляционную премию Dt - амортизационные отчисления t-го года

К = ССК х (1 + ИП),

где ИП - инфляционная премия.

(1-T) = 1-0,2=0,8tT=3*0,2=0,6=0,415*(1+0,2)=0,498

Для того, чтобы облегчить расчеты, вычислим числитель и знаменатель дроби за каждый год.

Числитель:

год=(11*1,3 - 4 *1,25) * 0,8 + 0,6=8,04

год=(12*1,35 - 5 *1,3) * 0,8 + 0,6=8,36

год=(13*1,3 - 6 *1,3) * 0,8 + 0,6=7,88

год=(16*1,3 - 7 *1,25) * 0,8 + 0,6=10,24

Знаменатель:

год = (1+0,498) = 1, 498

год = (1+0,498)2 = 2, 244004

год = (1+0,498)3 = 3, 36151799

год = (1+0,498)4 = 5, 03555395=((8,04/1,498) + (8,36/2,244004) + (7,88/ 3,36151799) + (10,24 / 5,03555395)) - 12= 1,47

Задаем произвольную ставку дисконтирования, вычисляем NPV проекта.

Таблица 7 - Расчет значений дисконтированных денежных потоков PV, r = 14%

Период

1 год

2 год

3 год

4 год

Итого

Чистый денежный поток, млн.руб., NFC

7

7

7

9

30

Ставка дисконтирования, %

14

14

14

14


Дисконтированный денежный поток, PV, млн.руб.

6,14

5,39

4,72

5.33

21,58

= PV - I0 = 21,58 - 12=9,58

Увеличиваем ставку дисконтирования в несколько раз и снова вычисляем NPV проекта.

Таблица 8 - Расчет значений дисконтированных денежных потоков PV, r = 70 %

Период

1 год

2 год

3 год

4 год

Итого

Чистый денежный поток, млн.руб., NFC

7

7

7

30

Ставка дисконтирования, %

70

70

70

70


Дисконтированный денежный поток, PV, млн.руб.

4,11

2,42

1, 43

1, 07

9, 03


NPV = PV - I0 = 9, 03 - 12 = - 2, 96

Построим график, соединив эти две точки.


График пересекается с осью абсцисс в значении ставки дисконтирования, равной 48%. Это значение и является внутренней нормой рентабельности проекта (IRR). При данной ставке проект не принесет ни прибыли, ни убытка.

Сделаем проверку:

Таблица 9 - Расчет значений дисконтированных денежных потоков PV, r = 48 %

Период1 год2 год3 год4 годИтого






Чистый денежный поток, млн.руб., NFC

7

7

7

9

30

Ставка дисконтирования, %

48

48

48

48


Дисконтированный денежный поток, PV, млн.руб.

4,74

3,19

2,18

1,89

12

= PV - I0 = 12 - 12 = 0


Заключение

Термин "инвестиции" является одним из наиболее часто используемых понятий в экономике, особенно в экономике, которые находятся в процессе трансформации или испытывает подъем. Это понятие влечет за собой долгосрочные вложения средств в экономику внутри государства и за рубежом. В руководствах согласно инвестиционной деятельности его, как правило, трактуют в широком смысле, принимая инвестиции за "расходование ресурсов в надежде на будущие доходы, после довольно продолжительного периода времени".

В современной экономике важную роль играют инвестиции на финансовых рынках. Управление финансовыми инвестициями становится одной из главных задач, как финансовых институтов, так и многих крупных компаний. В свою очередь, процесс управления финансовыми инвестициями требует умения правильно прогнозировать рыночные цены различных финансовых инструментов, оценивать и хеджировать риски, связанные с этими инструментами.

Сегодня знания о финансовых инвестициях достигли уровня, позволяющего классифицировать и исследовать их с помощью методов, основанных на устоявшейся современного математического аппарата.

Инвестиционные проекты можно оценивать по многим аспектам с точки зрения их социальной значимости, масштабов воздействия на окружающую среду, уровень вовлечения трудовых ресурсов и т. д. Но основное место в этих оценках принадлежит эффективности инвестиционного проекта. Предприятия самостоятельно оценивают эффективность тех или иных объектов, потребность в их реализации, срок реализации.


Список использованной литературы

1.     Николенко, Е. Б. Организационно-экономический механизм инвестиционного обеспечения НИОКР / дис. канд. экон. наук: 08.00.05/Е. Б. Николенко. - Уфа, 2012. - 174 с.

2.       Фазрахманова, А. И. Оценка эффективности формирования и реализации инвестиционной политики предприятия -автореф. дис.... канд. экон. наук: 08.00.05 / А. И. Фазрахманова. - Уфа, 2013. - 27 с.

3.     Управление рисками инновационно-инвестиционных проектов: учеб.пособие для подготовки магистров по направлению 080100.68 "Экономика" программы "Управление инновационным развитием социально-экономических систем" / авт. коллектив: Л. С. Валинурова, О. Б. Казакова, Э. И. Исхакова, М. В. Казаков. - Уфа: БАГСУ, 2013. - 80 с.

4.       Теплова, Т. В. Инвестиции: учеб.для бакалавров / Т. В. Теплова. - М.:Юрайт, 2012. - 724 с.

.        Инвестирование. Управление инвестиционными процессами инновационной экономики: учеб.-метод. пособие для подготовки магистров по направлению «Экономика»/ авт. коллектив: Л. С. Валинурова, О. Б. Казакова, Э. И. Исхакова. - Уфа: БАГСУ, 2012- 77с.

6.     Янковский К. П. Инвестиции: Учебник / К. П. Янковский. - СПб.: Питер, 2012. - 368 с.

7.       Андрианов, А.Ю. Инвестиции в вопросах и ответах: учебное пособие / А.Ю. Андрианов, С.В. Валдайцев, П.В. Воробьев - Москва: Проспект, 2015 - 376 с.

.        Гитман, Л.Д.. Основы инвестирования: учебное пособие / Л.Д. Гитман, М.Д. Джоник- М.: Дело, 2011 - 374 с.

.        Кукукина, И.Г. Экономическая оценка инвестиций: учебное пособие / И.Г. Кукукина - Москва: Кнорус, 2013 - 302 с.

.        Макарин, Н.П. Эффективность реальных инвестиций: учебное пособие / Н.П. Макарин - Москва: Инфра-М, 2011 - 432 с.

.        Мельников, Р.М. Экономическая оценка инвестиций: учебное пособие / Р.М. Мельников - Москва: Проспект, 2017 - 264 с.

.        Слепнева, Т.А. Инвестиции: учебное пособие / Т.А. Слепнева, Е.В. Яркин - Москва: ИНФРА, 2012 - 218 с.

.        Орлова Е.Р. Инвестиции: учебник / Е.Р.Орлова - Москва: Омега-Л, 2015 - 240 с.

.        Лахметкина Н.И. Инвестиционная стратегия предприятия. - М.: КноРус, 2012.

.        Лукасевич И.Я. Инвестиции. - М.: Вузовский учебник, 2013.

.        Бард В. С., Бузулуков С. Н., Дрогобыцкий И. Н., Щепетова С. Е. Инвестиционный потенциал Российской экономики; Экзамен - Москва, 2012. - 320 c.

.        Серов, В.М. Инвестиционный менеджмент; М.: Инфра-М - Москва, 2013. - 272 c

.        Кравченко Н. А. Инвестиционный анализ; Дело - Москва, 2013. - 264 c.

.        Колмыкова Т. С. Инвестиционный анализ; Инфра-М -, 2011. - 208 c.

.        Катасонов В. Ю. Инвестиционный потенциал экономики. Механизмы формирования и использования; Анкил - Москва, 2011. - 328 c.

Похожие работы на - Инвестиционные проекты и их классификация

 

Не нашли материал для своей работы?
Поможем написать уникальную работу
Без плагиата!
Без нейросетей!