Анализ влияния экономических факторов на общественное доверие к общеевропейским правительственным институтам

  • Вид работы:
    Курсовая работа (т)
  • Предмет:
    Эктеория
  • Язык:
    Русский
    ,
    Формат файла:
    MS Word
    194,67 Кб
  • Опубликовано:
    2016-10-06
Вы можете узнать стоимость помощи в написании студенческой работы.
Помощь в написании работы, которую точно примут!

Анализ влияния экономических факторов на общественное доверие к общеевропейским правительственным институтам















Курсовая работа

Анализ влияния экономических факторов на общественное доверие к общеевропейским правительственным институтам

Содержание

1. Гипотезы, данные, метод

. Результаты анализа, модели и их интерпретация

.1 Кросс-корреляционный анализ

.2 Регрессионный анализ

.3 Корреляционный анализ взаимоотношений внутри Европейского союза

Литература

1. Гипотезы, данные, метод

В этой работе будет рассказано об эмпирической части исследования, но перед этим необходимо описать метод, которые были использованы работе.

Вначале повторим гипотезы исследования.

. Существуют экономические факторы, влияющие на общественное доверие европейских граждан по отношению к общеевропейским институтам власти на наднациональном уровне и что эти факторы могут носить характер универсальных, а не специфических для отдельных стран.

. Изменение уровня общественного доверия общеевропейским институтам в одной стране Европейского союза может влиять на уровень общественного доверия в ряде других стран, и это влияние может сильно различаться в зависимости от региона и страны.

Проведение такого эмпирического анализа потребовало сбора статистических данных по европейским странам. Было решено использовать несколько ключевых экономических переменных, схожих с теми, что были использованы авторами предыдущих исследований - описывающих такие макропоказатели как уровень подушевого ВВП и данные о среднем росте ВВП, изменение уровня безработицы, коэффициента Джини. Это было сделано, во-первых, для того чтобы ограничиться исследованиям наиболее сильных факторов, а не ориентироваться на слишком узкие и специфичные, а также потому что таким образом было проще всего добиться единообразия данных по временным рядам. Кроме того, это давало возможность изучить основные взаимозависимости на макроуровне. Результаты такого исследования в дальнейшем могут быть сужены для определения специфических и более конкретных факторов влияния.

Кроме того, были собраны данные касательно общественного доверия общеевропейским институтам в странах Европейского союза. В качестве зависимой переменной в рамках исследования использовались данные Евробарометра об изменении уровня общественного доверия европейских граждан по отношению к Европарламенту. Эти данные были выбраны по той причине, что Европейский парламент - наиболее представительный орган, избираемый всеми гражданами Европейского союза, в отличие, например, от Европейской комиссии. Данные о доверие национальному правительству было решено не использовать в связи с тем, что в рамках исследования наибольший интерес представлял вопрос о том, как связано доверие на наднациональном уровне и экономические факторы, как изменяются глобальные приоритеты в связи с изменением экономической обстановки. Европейский парламент представляет собой один из тех институтов, отношение к которому теоретически может меняться в зависимости от экономической конъюнктуры. Это предположение необходимо было проверить.

Все эти данные включают в себя:

Данные о подушевом ВВП по покупательной способности (в постоянных ценах 2005 года) в странах Европейского союза с 1991 года по 2013 год.

Данные об уровне безработицы в странах Европейского союза в процентах от общего количества рабочей силы с 1991 по 2013 год.

Изменение коэффициента Джини в странах ЕС.

Средний подушевой доход в странах Европейского союза с 1991 года по 2013 год в постоянных ценах 2005 года.

Данные о росте или падении ВВП в странах Европейского союза по каждому году с 1991 года по 2013 год.

Данные о соотношении национального долга к ВВП в странах Европейского союза с 1991 года по 2013 год.

Данные об общественном доверии Европейскому парламенту в каждой стране Европейского союза с 1997 года.

Данные об общественном доверии Европейской комиссии в каждой стране Европейского союза с 1997 года.

Зависимой переменной при анализе данных являлся показатель общественного доверия по данным Евростата.

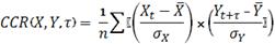
Для анализа этих данных было решено использовать комбинированный инструментальный аппарат. Основным методом анализа была избрана кросс-корреляционная функция (или взаимнокорреляционная функция).

Действие этой функции описывается следующей формулой:


Взаимнокорреляционная функция очень удобна для анализа временных рядов, так как она позволяет найти в продолжительной последовательности данных временную связь между двумя рядами данных, а также смещение двух рядов относительно друг друга. Фактически, с помощью взаимнокорреляционной функции становится возможным найти шаблон взаимоотношений между двумя рядами данных, найти более короткий временной ряд, описывающий эти взаимоотношения. В случае если данные рядов независимы друг от друга, то кросс-корреляционная функция равна нулю. Чем она больше, тем сильнее связаны данные. Кроме того, эта функция не всегда симметрична.

Дополнительная точность этой функции обусловлена тем, что она использует в своей работе метод доверительных интервалов, отсекая, таким образом, незначимые данные.

Взаимнокорреляционаяфункцция хорошо подходит для анализа сравнительно небольших временных рядов, а именно с таким пришлось иметь дело в рамках данного исследования - из-за отсутствия данных об отношении европейских граждан к общеевропейским институтам.

Также, серьезным преимуществом данного метода служит его способность показать то, с какой задержкой один процесс влияет на другой - что становится особенно полезным при анализе процессов, долгосрочные эффекты которых становится очевидным сильно позднее того момента, когда они происходят.

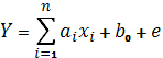
Кроме того, для анализа был применен метод множественной линейной регрессии - для поиска дополнительных зависимостей общественного доверия от экономических факторов. Регрессионная формула выглядит следующим образом:


В этой формуле, аi - регрессионные коэффициенты, b0 - свободный член, е - член, содержащий ошибку.

Наконец, использовался простой корреляционный метод - для анализа внутренних взаимозависимостей общественного доверия между странами Европейского союза.

2. Результаты анализа, модели и их интерпретация

.1 Кросс-корреляционный анализ

Первыми в этой части будут представлены результаты кросс-корреляционного анализа.

Прежде всего, необходимо отметить, что полученные после проведения анализа частично подтверждают исходную гипотезу. В рамках данной выпускной квалификационной работы удалось найти факторы, которые оказывают влияние на общественное доверие, более того, они являются характерными для нескольких стран. Однако, такие результаты были обнаружены далеко не для всех стран, данные по которым были проанализированы, во многих случаях значимых моделей обнаружить не удалось. Ниже будут представлены обнаруженные значимые модели по странам, а также небольшой комментарий после каждой модели. Общие итоги будут подведены в заключении.

Приведенные ниже данные отражают общественное доверие к Европейскому парламенту.

Греция

Именно Греция дала наибольшее количество значимых моделей, и вообще оказалось примером страны, где общественное доверие общеевропейским институтам оказалось в значительной мере связанным с экономическими факторами.

Таблица 1. Взаимные корреляции

Лаг

Взаимная корреляция

Среднеквадратичная ошибкаa

-7

165

378

-6

-053

354

-5

146

333

-4

086

316

-3

105

302

-2

093

289

-1

-188

277

0

267

1

-559

277

2

-603

289

3

-303

302

4

-178

316

5

,16

333

6

232

354

7

089

378


Рисунок 1. Общественное доверие к Европарламенту и безработица

Исходя из этих данных, мы можем заключить, что общественное доверие жителей Греции зависит от безработицы с лагом в 1-2 временных промежутка (в данном случае - 1-2 года). Рост безработицы ведет к падению общественного доверия в ближайшей перспективе.

Рисунок 2. Общественное доверие и подушевой ВВП

В этом случае мы видим сходную картину, однако, с другим временным лагом. Рост подушевого ВВП в Греции ведет к повышению общественного доверия в течение одного года. Затем этот эффект теряет свое влияние на настроение жителей Греции.

Рисунок 3. Общественное доверие и средний подушевой доход

Здесь мы видим результат, схожий с предыдущим графиком - рост среднего дохода в стране ведет к росту общественного доверия институтам Европейского союза, причем этот фактор имеет больший эффект, чем простое увеличение подушевого ВВП.

Другие экономические показатели не дали значимых моделей.

Полученные три модели показывают, что Греция является довольно ярким примером связи экономических факторов с общественным доверием наднациональным органам власти. Допустимо предположить, что во многом, такой сильный эффект связан с тем, что Греция сильно пострадала от экономического кризиса 2008-2009 годов (эффекты которого до сих пор практически не утратили своего влияния на греческую экономику), а предложенная Европейским союзом методика решения экономических проблем страны, вызвала ожесточенное сопротивление со стороны греческих граждан. Общественное доверие европейским институтам власти в Греции до кризиса находилось на среднем европейском уровне (около 60% населения доверяли институтам). Но уже в 2009 год оно обрушилось на уровень 25%-30% и до сих пор не восстановилось. Мы можем с уверенностью заключить, что в немалой степени это обусловлено именно экономическими, а не политическими проблемами страны.

Португалия

В Португалии было обнаружено две модели, описывающие взаимоотношения между экономическими факторами и общественным доверием.

Этот показатель совсем немного превышает границы доверительного интервала, но, тем не менее, является значимым. Здесь мы видим картину, похожую на греческую ситуацию - сильную корреляцию с лагом в один временной промежуток между уровнем безработицы и общественным доверием.

Рисунок 4. Общественное доверие и безработица

Рисунок 5. Общественное доверие и средний подушевой доход

Вторая из полученных моделей описывает корреляцию между средним подушевым доходом в Португалии и общественным доверием. Они связаны положительно - рост или падение среднего дохода ведет к повышению уровня общественного доверия.

Португалия, как и Греция, оказалась страной, в которой уровень общественного доверия в значительной степени зависит от состояния экономики. Можно предположить, что это также связано с серьезным уроном, который нанес стране экономический кризис. Кроме того, Португалия переживала внутренний экономический кризис еще в 2005 году, то есть до начала общеевропейского кризиса. Правительственные и общеевропейские усилия по нормализации ситуации в португальской экономике также оказались крайне непопулярны - они включали в себя массовые увольнения государственных служащих и технических работников, сокращение зарплат и пенсий, урезание финансирования многих программ, финансируемых из государственного бюджета.

Испания

Очень схожие результаты были обнаружены и для Испании. Единственная значимая модель описывает корреляцию между общественным доверием и безработицей.

Мы снова видим очень схожую картину - сильную негативную связь между безработицей и общественным доверием.

И снова, нельзя не отметить, что Испания - это страна, чрезвычайно сильно пострадавшая от экономического кризиса 2008-2009 года, уровень безработицы в которой до сих пор высок (около 20%), а среди молодежи безработица еще выше. И именно потеря работы оказалась тем фактором, который во многом определяет отношение жителей Испании к общеевропейским институтам.

Рисунок 6. Общественное доверие и безработица

Схожий паттерн удалось определить еще в двух странах, которые не так сильно пострадали от кризиса, как в рассмотренных выше случаях - Финляндия и Нидерланды.

Финляндия

Рисунок 7. Общественное доверие и безработица

Для Финляндии безработица также является довольно важным фактором, но, скорее всего, по другим причинам. Вот, например, график уровня безработицы в Финляндии в период с 2006 по 2016:

Рисунок 8

Безработица в Финляндии на протяжении нескольких десятилетий носит сезонный характер, то есть является постоянным фактором экономической и общественной жизни. По всей видимости, именно поэтому она так важна и является одним из факторов, определяющих отношение к общеевропейской политике.

Кроме того, несмотря на то, что финская экономика пострадала от кризиса не так сильно, как испанская, греческая или португальская, тем не менее, ни по уровню ВВП (общему и подушевому), ни по темпам роста экономики, ни по уровню средних подушевых доходов страна до сих пор не вышла на докризисный уровень. Экономические проблемы до сих пор имеют сильный негативный эффект на финское общество, финскую политику, и как видно из этого анализа - на уровень общественного доверия.

Те же аргументы могут быть применимы и к Голландии, безработица в которой также имеет влияние на уровень общественного доверия.

Рисунок 9. Общественное доверие и безработица

европейский доверие безработица экономический

Довольно успешная до кризиса голландская экономика до сих пор переживает спад и не вышла на докризисный уровень. И в этом случае мы видим также, что именно безработица является одним из самых важных факторов, влияющих на общественное доверие. На пике кризиса уровень безработицы в Нидерланды удвоился по сравнению с докризисными значениями - с 4% до 8%.

Здесь приведены все модели, полученные после кросс-корреляционного анализа. В остальных случаях значимых моделей обнаружить не удалось. Тем не менее, полученные результаты позволяют сделать два основных вывода. Во-первых, самыми чувствительными к экономическим факторам оказались те страны, которые сильнее всего пострадали от последнего экономического кризиса. Во-вторых, самым сильным фактором, который обладает влиянием сразу в нескольких странах является уровень безработицы.

2.2 Регрессионный анализ

В дополнение к кросс-корреляционному анализу мною был проведен также регрессионный анализ тех же данных, в результате которого также был получен ряд действующих моделей. Они будут приведены ниже.

Франция

Полученная модель описывает влияние двух переменных - подушевого ВВП и безработицы - на общественное доверие.

Таблица 2. Модель 1: влияние уровня безработицы и подушевого ВВП на уровень общественного доверия общеевропейским институтам

Зависимая переменная - общественное доверие Европарламенту

Модель 1

Стандартизованные Бета-коэффициенты

Нестандартизованные Бета-коэффициенты

Значимость

ВВП на душу населения

855

005

002

Уровень безработицы

-692

-4,541

007

R-квадрат

0,780

Adjusted R-квадрат

0,620


Уровень общественного доверия вновь оказывается связан с показателем безработицы, а также еще и с уровнем подушевого ВВП. Мы видим, что чем выше уровень безработицы, тем ниже общественное доверие - показатели соотносятся обратной связью. Подушевой ВВП дополняет эту модель, показывая, что общественное доверие также зависит от общего состояния экономики - с ростом подушевого ВВП растет и общественное доверие.

Также было получено несколько моделей по примерно тем же странам, что были представлены в результатах кросс-корреляционного анализа - Португалии и Испании.

Португалия

Таблица 3. Модель 2: влияние экономических факторов на общественное доверие

Зависимая переменная - общественное доверие ЕвропарламентуМодель 2


Переменные

Стандартизованные Бета-коэффициенты

Нестандартизованные Бета-коэффициенты

Значимость

Уровень безработицы

- 584

-1,364

010

Средний подушевой доход

 356

-0,10

036

R-квадрат

0,693

Adjusted R-квадрат

0,641


Здесь наблюдается та же самая картина - безработица влияет негативно на общественное доверие, а уровень среднего подушевого дохода связан с ним положительно.

Испания

Таблица 4. Модель 3: влияние безработицы и подушевого ВВП на общественное доверие

Зависимая переменная - общественное доверие ЕвропарламентуМодель 3


Переменные

Стандартизованные Бета-коэффициенты

Нестандартизованные Бета-коэффициенты

Значимость

ВВП на душу населения

413

005

000

Уровень безработицы

-973

-2,441

006

R-квадрат

0,836

Adjusted R-квадрат

0,809


Аналогичные выводы, как мы видим, закономерны и для Испании.

По итогам проведенного анализа (при помощи кросс-корреляционной функции и множественной линейной регрессии) можно заключить, что нам удалось найти по крайней мере один фактор, который оказывается важным для изменения общественного доверия в странах Европейского союза, причем речь идет не о доверии национальному правительству, а доверии общеевропейским институтам власти. Этим фактором является безработица, которая показала свою значимость в шести исследованных странах. Этот результат показывает, что исходная гипотеза может считаться частично подтвержденной. Нам не удалось найти фактора, который бы оказывал влияние во всех странах - в этом плане, в рамках нашего исследования мы столкнулись с той же проблемой, что и многие другие исследователи экономического голосования - невозможностью определить какой-то один универсальный показатель, оказывающий серьезное влияние на уровень поддержки правительства, на настроение граждан и удовлетворение политикой правительства.

Тем не менее, безработица представляется хотя бы отчасти важным показателем, особенно в случае сильно пострадавших от кризиса экономик. Можно заключить, что именно этот показатель обладает сравнительно большим значением, чем другие, избранные нами для анализа.

.3 Корреляционный анализ взаимоотношений внутри Европейского союза

В дополнение к предыдущему анализу, был также проведен простой корреляционный анализ, который хотя и не отличается абсолютной точностью, но, тем не менее, может показать общий характер связей и взаимодействий.

В данном случае мы анализировали то, как изменение уровня общественного доверия в одной стране Европейского союза может быть связанным с одновременным изменением уровня общественного доверия в других странах. Этот анализ может показать наиболее ключевые страны, ориентиры, от которых может зависеть поддержка общеевропейских институтов жителями других стран.

Похожие работы на - Анализ влияния экономических факторов на общественное доверие к общеевропейским правительственным институтам

 

Не нашли материал для своей работы?
Поможем написать уникальную работу
Без плагиата!
Без нейросетей!