Инвестиционная политика государства в условиях глобализации
Федеральное
государственное автономное образовательное учреждение высшего образования
«Национальный исследовательский университет «Высшая школа экономики»
Факультет
экономических наук
Образовательная
программа «Экономика и статистика»
Курсовая
работа
На тему:
Инвестиционная политика государства в условиях глобализации
Выполнила студентка Группы БСТ141
Казанцева Е.А.
Научный руководитель Доцент, к.э.н.,
Касаткина А.А.
Москва,
2016
Содержание
Введение
Глава 1. Теоретический анализ инвестиционной среды
Глава 2. Современная инвестиционная среда России
.1 Анализ основных статистических показателей
.2 Современная российская инвестиционная политика
Глава 3. Межстрановое сравнение результатов инвестиционной
политики
.1 Основные экономические показатели России и Норвегии
.2 Россия и Норвегия в международных рейтингах
Заключение
Список используемых источников
Введение
инвестиционный статистический экономический норвегия
Процесс глобализации начинает распространяться по всему миру.
Остававшиеся уникальными, свойственными конкретной стране порядки теперь
стираются, как и границы в дифференциации общенационального устройства. Смена
порядков, властвующих в государстве, требует внесения незамедлительных поправок
в схему функционирования всего общества. Таким образом, глобализация
подразумевает отход от любой привычной политики и переход к качественно новому,
пересмотренному плану действий. Первым делом государство обращается к важнейшей
- экономической сфере. В условиях нарастающей конкуренции, в условиях
глобализации необходим всесторонний контроль экономических процессов: важно
занять позицию “North” и не
опуститься до уровня “South”.
Инвестиционная активность населения является стратегически важным
параметром в определении будущего страны. Министерством экономического развития
инвестиционная политика выделена в отдельную область, над которой ведется
непрекращающаяся работа. Однако если в важности инвестиционной среды для
развития всего государства сомневаться не приходится, оценка эффективности государственной
деятельности в области развития благоприятной для инвестирования среды на
поверхности не лежит.
Целью этой работы является изучение современной государственной инвестиционной
политики и ее эффективности.
Задачи исследования состоят в документарном анализе существующих инвестиционных
политик по развитию инвестиционного климата в стране, в теоретическом и
статистическом анализе инвестиционных показателей, а также в оценивании
предпринятых мер по улучшению инвестиционной среды и их эффективности.
Объектом исследования является инвестиционная среда государства; предмет -
инвестиционная политика России и ее эффективность.
Глава 1.
Теоретический анализ инвестиционной среды
Анализ
инвестиционной деятельности сопряжен с макроэкономическими закономерностями. С
помощью формул макроэкономики можно выяснить, каково влияние инвестиционной
активности субъектов рыночных отношений на ВВП, какие факторы влияют на
формирование инвестиционных показателей и другие зависимости факторов. В
частности, статистический анализ показателей инвестиционной среды (глава 2)
основывается на теоретическом базисе, полученном в этой главе.
Универсальной
для всех расчетов формулой является основное макроэкономическое тождество:
- выпуск страны
- потребление
- инвестирование
- государственные закупки
Xn =
Ex - Im - чистый экспорт
Последующий
статистический анализ учитывает как частное, так и государственное
инвестирование. Поэтому в теоретическом анализе необходимо разграничивать
инвестиции по признаку источника финансирования. На основании тождества
сбережений и инвестиций получается, что общие инвестиции равняются сумме
частных и государственных сбережений, а также сбережений остального мира:
- сбережения
Sp - частные сбережения
Sg - государственные сбережения
Sr - сбережения остального мира
Таким
образом, в дальнейших теоретических выводах учитывается как частное, так и
государственное участие в инвестировании.
Для анализа
влияния инвестиционного компонента на ВВП рассчитаем мультипликатор инвестиций
в дифференциалах:
В общем
упрощенном случае на основе макроэкономической модели Кейнсианского креста
мультипликатор зависит от предельной склонности к сбережению, которая находится
в знаменателе и изменяется в пределах от нуля до единицы. Из этого можно
сделать вывод, что мультипликатор больше единицы, следовательно, чем меньше
предельная склонность населения к сбережению, тем мультипликатор инвестиций
больше. Мультипликатор инвестиций в частности объясняет природу изменений
валового накопления инвестиций, или доли инвестиций в ВВП.
При общих
детализированных предпосылках о задании функций мультипликатор получается более
точным и прикладным. Пусть теперь основные компоненты расходов выглядят
следующим образом:
- потребление
- налоги и трансферты, t - ставка подоходного налога
- инвестирование, mpi - предельная склонность к
инвестированию
- государственные закупки
- чистый экспорт, mpim - предельная склонность к
импортированию
Тогда мультипликатор
инвестиций будет рассчитываться по формуле:
При этом
обозначается существенная разница - в этом случае мультипликатор не обязательно
положителен в силу новых составляющих знаменателя. Также невозможно сделать
точный вывод о положении мультипликатора относительно единицы. При дальнейшем
расчете в предположении, что t =
0,13 и изменение всех предельных склонностей параметров распределено в пределах
от нуля до единицы, знаменатель мультипликатора получается интервальным:
Мультипликатор
имеет разрыв в нуле, но также имеет экстремумы в окрестности нуля. Наиболее
эффективным мультипликатор является при стремлении знаменателя к нулю с
положительной стороны, то есть для наибольшего эффекта склонность к
инвестированию должна быть максимальной.
Для удобства
систематизации статистики экономической интеграции страны с внешним миром, на
основе которой принимаются решения о выборе той или иной государственной
экономической политики, составляется платежный баланс страны (BP - balance of payments). В равновесном определении
платежный баланс должен равняться нулю:
CA - счет текущих операций
CF - счет движения капитала
Y* -выпуск других стран
r - процентная ставка внутри страны
r* - процентная ставка в других
странах
При
абстрагировании от реальной рыночной конъюнктуры в дифференциальных расчетах
платежный баланс должен удовлетворять равенству:
Для того
чтобы инвестиционная среда государства казалась инвесторам привлекательной,
стране необходимо поддерживать и повышать процентную ставку. Повышение
доходности по российским активам должно стимулировать спрос и привлекать новых
инвесторов на российский рынок.
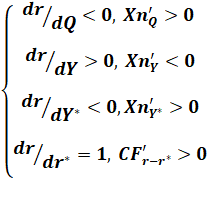
При этом
действуют определенные предпосылки, из которых следуют дифференциальные
зависимости. Рассмотрим влияние показателей платежного баланса на процентную
ставку страны.
Из системы
видно, что положительная зависимость существует между ставкой по процентам и
выпуском страны. Вывод логичен, поскольку рост ВВП вызывает общий рост
экономики и способствует становлению благоприятной экономической среды, что в
свою очередь привлекает инвесторов.
Отрицательная
зависимость наблюдается в отношении валютного курса и зарубежного выпуска. При
ослабевании национальной валюты инвестиционная привлекательность страны для
иностранных инвесторов падает, так как стоимость активов растет. Рост
зарубежного выпуска уменьшает конкурентоспособность анализируемой страны, и
инвесторы предпочтут вложить капитал в другие страны с увеличивающимся ВВП.
Такой подход в частности объясняет современные тенденции российского рынка к
снижению оборачиваемости капитала, к последующему падению валового накопления
капитала и снижению потока иностранных инвестиций.
Зависимость
между процентными ставками анализируемой страны и внешнего мира постоянна и
равна единице. Это отношение показывает прямую пропорциональность и стремление
к абсолютной конкурентоспособности экономик мира при прочих равных условиях.
Платежный
баланс страны сочетает в себе множество показателей, на основе которых может
быть проведен разносторонний анализ государственной инвестиционной среды.
Наиболее обобщающий и централизованный показатель - чистая международная
инвестиционная позиция - включает в себя разницу между всеми активами и
обязательствами.
ЧМИП=∑Активы
- ∑Обязательства
∑Активы
= инвестиции (прямые + портфельные + прочие) + ПФИ+ резервы
∑Обязательства
= инвестиции (прямые + портфельные + прочие) + ПФИ,
ПФИ -
производные финансовые инструменты (кроме резервов) и опционы на акции для
работников
Падение ЧМПИ
по каждой позиции имеет свое объяснение. Спад в инвестиционном притоке наблюдается
в основном за счет значительного темпа роста обязательств, которому не
соответствует темп роста приобретения финансовых активов. Спад по производным
финансовым инструментам, наоборот, объясняется тем, что темп отрицательного
роста активов больше аналогичного показателя для принятых обязательств.
Снижение резервов по наблюдаемым годам характеризуется падением спроса на
ценные бумаги и значительным снижением наличной валюты и депозитов.
На основе
платежного баланса могут быть проанализированы изменения резервных активов,
притока и оттока капитала, динамика иностранных инвестиций и другие показатели,
используемые для статистического анализа в главе 2 и 3.
Глава 2.
Современная инвестиционная среда России
.1 Анализ
основных статистических показателей
Инвестиционная сфера является стратегически важной составляющей в
создании благоприятного экономического климата в стране. Для анализа
сегодняшней ситуации, сложившейся на российском инвестиционном пространстве в
условиях глобализации, необходимо рассмотреть сопряженные показатели.
В предположении, что глобализационное настроение в России сменяется
изоляционным, и последняя глобализация зародилась в начале 90-ых годов,
дальнейший анализ будет построен на рассмотрении отдельных показателей, начиная
с 90-ых годов. При этом надо учитывать такие глобализационные факты, как
членство России в международных организациях: СНГ (1991), МВФ (1992), Всемирный
Банк (1992), Совет Европы (1996), АТЭС (1998), ОЧЭС (1999), G20 (1999), ШОС (2001), ЕврАзЭС
(2001-2014), БРИКС (2006), ВТО (2012).
Рейтинг
“Doing Business”
Ежегодно Всемирный Банк публикует статистику касательно легкости ведения
бизнеса в 189 странах-участницах. Это исследование позволяет увидеть общий
уровень экономического положения страны. Согласно статистике, последние годы
Россия в общем рейтинге поднимается выше и выше (рис.1). Для удобства
презентации 2006 год принят как базовый с 97 местом в рейтинге; дальнейшая
динамика основана на приросте в порядковом рейтинговом номере Российской
Федерации.
Согласно Указу о долгосрочной экономической политике 2012 года, одна из
долгосрочных экономических целей - повышение позиции Российской Федерации в
рейтинге Всемирного банка по условиям ведения бизнеса до 50-й - в 2015 году и
до 20-й - в 2018 году. Уже сейчас можно сделать некоторые выводы: 2015 год
ознаменовался 62 местом России, что на 12 позиций ниже намеченного президентом.
Построение линии тренда позволяет сделать предположение о том, что к 2018 году
позиция России укрепится и в среднем поднимется на 15 позиций, однако выше 35
места не займет.
Рис.1. Рейтинг “Doing Business”, Российская Федерация; Всемирный Банк
Доля
инвестиций в ВВП
В том же Указе Президента намечен план «увеличения объема инвестиций не
менее чем до 25% внутреннего валового продукта к 2015 году и до 27% - к 2018
году». Однако план не только не выполнен, но и в перспективе еще долго не
сможет быть реализован. Показатель инвестиционной составляющей в ВВП цикличен,
периоды подъема в среднем длятся 3 года, а рецессии не поддаются
закономерности. Разработанный МВФ план развития прогнозирует снижение доли
инвестирования до 18% к 2016 году и о последующем восстановлении (рис.2).
Рис.2. Доля инвестиций в ВВП, %; МВФ
Иностранные
инвестиции
Ввиду основной направленности глобализации на стирание границ и барьеров
целесообразно предположить, что доля иностранных инвестиций будет расти.
Создание режима наибольшего благоприятствования, в рамках которого
инвестиционная среда минимизирует риски инвесторов, стимулирует обращение
иностранных вкладов.
Рис.3. Иностранные инвестиции в ВВП, %; ФСГС
На протяжении всего периода наблюдается рост иностранных инвестиций
(рис.3). Исключение составляют 1998, 2001, 2005, 2008 и современный период с
2013 года: спады в эти годы обусловлены экономической нестабильностью в России.
При сопоставлении данных с долей инвестиций в ВВП по этим годам, информация
сходится - инвестиционная доля ВВП в эти периоды достигала своего минимума.
Отток
инвестиций
Анализ движения капитала показал, что данный показатель цикличен, в
среднем цикл составляет 5 лет. Диаграмма показывает ввоз и вывоз капитала по
России, при этом если показатель положителен, это означает вывоз, то есть отток
инвестиций, отрицательный показатель - приток капитала в Россию (рис.4).
Рис.4. Отток/приток инвестиций из/в Россию; ЦБ РФ
На сегодняшний день наблюдается серьезный отток капитала из России, что
формирует реальную критическую проблему для экономики страны. Кризис 2008 года
сыграл значительную роль в вывозе капитала из РФ, и до сих пор российская
экономика не способна восстановиться и установить доверительные отношения с
инвесторами. Более того, в 2014 году был установлен исторический за 20 лет
максимум вывоза капитала из России.
Анализ
динамики
В таблице 1 представлены основные математические расчеты по четырем
показателям. Анализ доли инвестиций в ВВП за 24 года, доли иностранных
инвестиций за 22 года и движения капитала за 21 год. Оказалось, что однородным
и относительно стабильным является инвестиционная доля в общем ВВП, остальные
показатели крайне неоднородны. Среднее значение движения капитала положительно,
следовательно, существует тенденция притока капитала.
Таблица 1. Основные показатели динамики
|
Показатель
|
max
|
min
|
Среднее значение
|
Средний темп роста
|
Средний темп прироста, %
|
Средний абсолютный прирост
|
Коэффициент вариации, %
|
|
Инвестиции в ВВП, %
|
38,286
|
4,83
|
23,3
|
0,978
|
-2,2
|
-55%
|
25 (однород.)
|
|
Иностранные: в Россию, %
|
4,503
|
0,175
|
1,0747
|
7,47
|
4,4%
|
69 (неоднород.)
|
|
Иностранные: из России, %
|
4,161
|
0,071
|
1,89
|
1,1045
|
10,45
|
12,2%
|
73 (неоднород.)
|
|
Движение капитала, $млрд
|
152,9
|
87,8
|
20,32273
|
-1,0687
|
-2,0687
|
3,4524 $млрд
|
275 (неоднород.)
|
|
|
|
|
|
|
|
|
|
Проинтерпретируем полученные данные по каждому показателю. Анализ доли
инвестиций в ВВП показал, что за 24 года доля выросла в 0,978, то есть упала на
2,2%, а в среднем за каждый год показатель падал на 55%. Иностранные инвестиции
в Россию за 22 года увеличились в 1,07469 раз, то есть на 7,4687%; ежегодно
показатель увеличивался на 4,4%. Иностранные инвестиции из России за 22 года
увеличились в 1,1045 раз, то есть на 10,45%; каждый год показатель рос на
12,2%. Движение капитала за 21 год уменьшилось в 1,0687 раз, то есть упало на
206,87%, хотя ежегодно средний абсолютный прирост был равен 3,4524 $млрд.
Таблица 2. Коэффициент корреляции
|
Показатель
|
Инвестиции в ВВП
|
Иностранные: в Россию
|
Иностранные: из России
|
Движение капитала
|
|
Инвестиции в ВВП
|
-
|
|
|
|
|
Иностранные: в Россию
|
0,089243067
|
-
|
|
|
|
Иностранные: из России
|
-0,013048988
|
0,866613278
|
-
|
|
|
Отток капитала
|
-0,019495761
|
0,171386553
|
0,445990051
|
-
|
На основе анализа взаимосвязи (таблица 2) можно сделать некоторые выводы.
Действительно, получены правдоподобные результаты - приток иностранных
инвестиций в Россию обеспечивает повышение доли инвестиций в ВВП, а инвестиции
из России за границу реализуют обратную зависимость. Интересен коэффициент
корреляции между иностранными инвестициями - получается, что чем больше
инвестируют зарубежные партнеры, тем более активны отечественные инвесторы, что
наглядно и показано на рисунке 3.
.2 Современная российская инвестиционная политика
Инвестиционная среда подвержена постоянному пристальному контролю со
стороны государственных органов. Издано множество указов, распоряжений, внесено
множество поправок в законодательство с целью совершенствования инвестиционного
климата и создания наиболее благоприятной и привлекательной для инвесторов
экономической среды.
Российский
фонд прямых инвестиций
РФПИ - «инвестиционный фонд, созданный для привлечения иностранных
инвестиций в лидирующие компании наиболее быстрорастущих секторов российской
экономики». Созданный в 2011 году по инициативе Президента и Председателя
правительства РФПИ выступает в сделках в качестве соинвестора. На сегодняшний
день РФПИ инвестировал более ₽760млрд., из которых более ₽690 млрд.
- средства партнеров.
РФПИ заключает масштабные сделки с международными партнерами, привлекает
в качестве соинвесторов ведущие зарубежные фонды. К примеру, вложив $50млн.,
РФПИ привлек более $260млн. от ЕБРР в объединенную биржу ММВБ-РТС.
В рамках работы РФПИ создано множество двусторонних инвестиционных
сотрудничеств - Российско-Китайский инвестиционный фонд, Российско-Корейская и
Российско-Итальянская инвестиционные платформы, партнерами также являются ОАЭ,
Саудовская Аравия, Кувейт, Франция и многие другие.
Агентство
стратегических инициатив
Агентство создано в 2011 году и работает в сфере улучшения
инвестиционного климата через региональную призму, содействуя снижению
административных барьеров. Организация работает на нескольких этапах.
. Упрощение процедур ведения бизнеса - ведение работ в
соответствии с «дорожными картами» - специальными плановыми мероприятиями по 22
сферам государственного регулирования, направленными на улучшение
инвестиционного климата в России. Основная цель заключается во вхождении России
к 2018 году в топ-20 стран по инвестиционному климату.
. Развитие инвестиционной инфраструктуры - разработан региональный
инвестиционный стандарт, который внедряет 15 лучших инвестиционных практик,
используемых экономически активными регионами, по всей России. Итог: 27
успешных практик, 85 регионов-участников, 70 из которых уже завершили
внедрение.
. Оценка эффективности работы региональных управленческих команд -
ведется национальный рейтинг состояния инвестиционного климата в субъектах РФ.
Основные цели - выявление лучших для инвестирования регионов и мотивация
региональных властей к применению мер по улучшению инвестиционной среды в
регионе.
. Тиражирование лучших практик - по результатам национального
рейтинга для обмена этими практиками и опытом среди регионов созданы
специальные образовательные мероприятия.
Также АСИ имеет программу поддержки инициатив - «инвестиционный лифт»,
основным направлением которой является сотрудничество с перспективными
инвестиционными проектами и их поддержка со стороны государства.
Согласно отчету АСИ, в период работы с 2012 по 2015 год достигнуты
весомые результаты. Проведено 832 мероприятия «дорожных карт», издано 408
правовых актов, в том числе: 2 Указа Президента РФ, 72 Федеральных закона, 60
постановлений Правительства РФ. Сокращено 46 процедур, по процедурному времени
сокращено 329 дней - важнейшие показатели, которые показывают действительную
работу АСИ по устранению административных барьеров для инвесторов.
Национальный рейтинг инвестиционной активности субъектов РФ за 2015 год
показывает, что наиболее активным по инвестированию в основной капитал является
город Москва (1 477 ₽млн), вдвое меньший показатель у Ямало-Ненецкого АО
(716 ₽млн) и Ханты-Мансийского АО (709 ₽млн). По прямым иностранным
инвестициям также лидирует Москва (77 874 $млн), далее в семь раз меньше - 11
217 $млн - у Тюменской области, по Санкт-Петербургу 7 912 $млн.
Агентство
по страхованию экспортных кредитов и инвестиций
Агентство создано в 2011 году и направлено на снижение рисков российских
инвесторов в осуществлении деятельности за рубежом. ЭКСАР утверждает, что
способно закрыть до 95% политических и до 90% коммерческих рисков, однако по
работе этой организации невозможно судить, так как прозрачность результатов
отсутствует.
Консультативный
совет по иностранным инвестициям в России
Совет создан в 1994 году и включает в себя 53 международные компании и
банка. С момента образования было проведено 29 заседаний Совета. На каждом из
заседаний обсуждаются определенные сферы: техническое урегулирование и
устранение административных барьеров, совершенствование налогового и
таможенного законодательства, банковский сектор и финансовые рынки, торговля и
потребительский сектор, здравоохранение и фармацевтика, локализация
производства на территории России, повышение эффективности использования
природных ресурсов России, имидж России, энергоэффективность, инновационное
развитие, а также развитие Дальнего Востока и Сибири.
Основная направленность организации - эффективное решение возникающих
проблем при реализации инвестиционных проектов, а также качественная подготовка
рекомендаций по совершенствованию условий ведения бизнеса в России.
Изменение
законодательства
Каждая из учрежденных для благоприятствования инвестиционному развитию
организаций имеет в своем распоряжении главный механизм, посредством которого
совершаются многие изменения - регулирование законодательной базы.
· Строительство
Важнейшая сфера для ведения бизнеса - строительная. Именно на этапе
строительства возникает множество барьеров - время ожидания, количество
инстанций по согласованию проекта, количество процедур и другие.
В ноябре 2014 года внедрен исчерпывающий перечень административных
процедур по жилищному строительству, в марте 2015 года установлена обязанность
государственных властей и органов местного самоуправления по проведению
аукционов о предоставлении свободных земельных участков по заявлениям граждан и
юридических лиц. В рейтинге “получение разрешения на строительство” Россия
поднялась со 178 на 119 место, количество этапов с 51 сократилось до 19, а
время на прохождение этих процедур сократилось с 423 до 263 дней.
Проведено множество реформ, и в результате опроса агентством
стратегических инициатив 56% респондентов отметили, что процесс прохождения
административных процедур в сфере строительства упростился.
· Таможенная
сфера
Таможенные процессы подверглись значительному реформированию. С 2010 года
в силу вступил Таможенный кодекс Таможенного союза, упрощающий таможенные
процедуры - увеличено время возможной оплаты пошлин, уменьшен перечень
документов и сроки выпуска товаров. В 2012 году была отменена обязанность
участников внешнеэкономической деятельности предоставления паспорта сделок; в
2013 году создана автоматизированная система учета уплаты таможенных пошлин и
налогов, в 2014 году отменена обязанность предоставления в уполномоченные банки
копии таможенной декларации.
Однако в результате опроса только 11% респондентов заметили, что
процедуры импорта упростились, 44% считают, что произошло незначительное
упрощение, 40% опрошенных не заметили разницы.
· Налоги
В налоговое законодательство регулярно вносятся поправки и дополнения,
которые максимально снижают барьеры и стимулируют инвесторов к вложению
средств. Установлено множество льготных режимов, к примеру, в 2012 году
установлена ставка 0% по налогу на прибыль организаций в области
здравоохранения и образования. В совокупном результате значительно снижается
нагрузка на важные отрасли.
В 2013 году создан универсальный передаточный документ, который заменяет
накладную и счет-фактуру; в 2014 году срок сдачи отчетности по НДС повышен на 5
дней, стало возможным получение актов сверок и справок об отсутствии
задолженностей в электронном виде, отменена обязанность юридических лиц по
уведомлению налоговых органов об открытии/закрытии банковского счета. В 2015
году были отменены командировочные удостоверения. Также стало возможным
получение налоговых вычетов у работодателей.
В рейтинге Всемирного Банка «Ведение бизнеса» по показателю
“налогообложение” РФ поднялась с 56 на 47 место, а среднее время на подготовку
налоговой отчетности сократилось со 177 до 168 часов.
· Корпоративное
регулирование
Россия в рейтинге Doing Business
“регистрация предприятий” поднялась со 111 на 41 место. Количество процедур,
необходимых для регистрации юридического лица и начала им хозяйственной
деятельности, сократилось с 9 до 3. Время на регистрацию юридического лица
сократилось с 30 до 7 рабочих дней; стоимость регистрации от 6100 рублей упала
до 4200 рублей. В результате опроса АСИ 76% респондентов считают, что за
последние годы процесс первичного создания юридического лица значительно
упростился.
В 2013 году отменена обязанность уведомления о сделках экономической
концентрации, также установлен запрет на совершение закупок в случае конфликта
интересов между участником и заказчиком. В 2014 году отменены ограничения на
использование электронных документов при взаимодействии государственных органов
с предпринимателями. В 2015 году отменена уголовная ответственность за
неоднократное злоупотребление доминирующим положением, для субъектов малого
предпринимательства исключена уголовная ответственность за нарушение
антимонопольного законодательства, для которого повысился порог ущерба.
Создано множество условий для развития экспортного бизнеса. Согласно
плану минэкономразвития на 2015, индекс роста числа организаций-экспортеров
должен был составить 145,5%, однако за прошедший 2015 год этот показатель
составил 181,46%.
Сотрудничество
с международными институтами развития
За последние годы Россия активно сотрудничает с международными экономическими
институтами. В 2011 году за все время сотрудничества России с ЕБРР достигнут
максимальный уровень инвестиций со стороны банка - €2,9 млрд.
По данным Всемирного банка, на сегодняшний день упрочняется партнерство
России с МБРР - функционируют 9 проектов на общую сумму $636,1млн. В рамках
сотрудничества с МВФ реализуются 74 проекта. Многостороннее агентство по
инвестиционным гарантиям осуществляет 3 проекта на суму $276млн.
Мнение иностранных инвесторов
При очевидных положительных результатах российской инвестиционной
программы стоит абстрагироваться от внутрироссийского взгляда на проблему и
изучить отношение к российской инвестиционной среде иностранных вкладчиков.
Компания Ernst&Young провела исследование отношения
иностранных инвесторов к проблемам инвестиционной среды РФ. Оказалось, что
большинство инвесторов (77%), занимающихся предпринимательством в России,
обеспокоено непостоянством законодательной базы. В стремлении создать
благоприятную экономическую среду, в постоянных попытках совершенствования
правовых аспектов наши власти забывают посмотреть на всю ситуацию со стороны
инвестора, который в первую очередь заботится о безопасности и стабильности
вкладов.
Однако более конкретный анализ показал, что наибольшее недовольство
вызывает закон о защите персональных данных, закон об ограничении иностранного
капитала в СМИ, запрет импорта продовольствия в Россию и другие ужесточения,
связанные с действующим вектором импортозамещения в России. Иностранных
партнеров не устраивает ситуация, которая сложилась по инициативе зарубежных
правительств. Ответная реакция России на санкционированную политику зарубежья
является двусторонней медалью: с одной стороны такой шаг должен повысить
активность отечественных инвесторов, с другой стороны этот ход заметно ограничивает
российское рыночное пространство и присутствие в нем иностранного капитала.
Иностранные инвесторы также замечают, что правовая среда ведения бизнеса
до сих пор не отвечает мировым стандартам. Наибольший прогресс отмечен в сфере
налогового и таможенного регулирования, хотя, как уже было замечено ранее,
отечественные вкладчики в целом не заметили упрощения таможенных процессов.
Также иностранные инвесторы замечают улучшение стиля ведения бизнеса
российскими партнерами и допускают увеличение этого уровня до международных
стандартов в ближайшем будущем.
Прогресс на региональном уровне, достигаемый плановым путем развития
«дорожных карт», по мнению иностранцев, также очевиден. Развитие внутренней
конкуренции между регионами мотивирует власти прилагать больше усилий в борьбе
за иностранный капитал, и таким образом инвестиционный климат за последние годы
улучшился.
Респонденты также ответили на конкретные вопросы о перспективах ведения
ими предпринимательской деятельности. 92% опрошенных заявило о неблагоприятной
современной экономической ситуации в России, что заметно снижает инициативность
инвесторов. 74% отметили ухудшение условий ведения собственного бизнеса в
России. Только 39% респондентов поделились планами о расширении присутствия в
регионах России, 8% заявили об увеличении инвестиционного потока в ближайшие
годы.
Половина опрошенных ответили, что до сих пор существует проблема
административных барьеров, хотя отечественные предприниматели в большинстве
говорят об их значительном снижении. 53% указали, что Правительству РФ
необходимо заняться снижением уровня бюрократии.
В целом, можно судить об умеренно положительном развитии российского
инвестиционного климата в глазах иностранных инвесторов. Данное исследование
сформулировало основные проблемы в уже существующей программе развития. Эти
комментарии должны послужить поправкой к основному плану, которую необходимо
совершить в целях улучшения общей ситуации.
Глава 3.
Межстрановое сравнение результатов инвестиционной политики
.1
Основные экономические показатели России и Норвегии
Для
межстранового сопоставления необходимо подобрать иностранную экономику, схожую
по основным показателям с российской.Для дальнейшего анализа была выбрана
Норвегия: основой норвежской экономики является нефтяной сектор, который, как и
в России, обеспечивает треть поступлений в национальный бюджет. Экономика
Норвегии, тем не менее, характеризуется большей неустойчивостью к кризисам, чем
Россия: в Норвегии кризисные времена начались в конце 80-ых годов прошлого
века, и на сегодняшний день можно судить о том, что лишь иногда в экономике не
наблюдается кризисного проявления. В дальнейшем анализе также следует учитывать
членство Норвегии с 1994 года в Европейской экономической зоне.
Первый
макроэкономический показатель сравнения - рост ВВП. Норвегия характеризуется
более стабильным ростом ВВП, нежели Россия: за 25 лет в Норвегии всего лишь
однажды наблюдался отрицательный показатель, тогда как в России такая ситуация
зафиксирована в 9 годах (рис.5).
Рис.5. Рост ВВП, %; Всемирный Банк
Далее
рассмотрим общий показатель - валовое накопление капитала, по-другому - валовые
внутренние инвестиции (рис.6). Если в Норвегии этот показатель стремится к
абсолютной цикличности (каждый цикл рецессии и восстановления до прежнего
уровня занимал примерно 9 лет), то в России любой тип предсказания не
представляется возможным. Заметим также и то, что в России этот показатель в
среднем ниже, чем в Норвегии.

Рис.6.Валовое
накопление капитала, %; Всемирный Банк
Сравним также
уровень прямых иностранных инвестиций - приток и отток иностранного капитала
(рис.7,8). Норвегии ввиду ее частых кризисных колебаний характерна более
нестабильная, чем в России, динамика притока иностранных инвестиций. Однако
Россия на фоне Норвегии характеризуется меньшим процентом в ВВП.

Рис.7. Приток
иностранных инвестиций, %; Всемирный Банк
При этом
заметно, что для Норвегии отток капитала превышает приток, что болезненно
сказывается на экономике. Очевидно, что норвежский инвестиционный климат
нуждается в совершенствовании. А в России наблюдается обратная ситуация:
привлеченный капитал превышает отток. Графики представляют и основную
динамическую тенденцию: в Норвегии присутствует весьма колеблющийся тренд, в РФ
динамика более гладкая.

Рис.8. Отток иностранных инвестиций, %; Всемирный Банк
Международные
валютные резервы
По этому
показателю Россия значительно выбивается вперед и в мировом рейтинге находится
на 6 месте. По состоянию на 1 мая 2016 года Центральный Банк РФ опубликовал
информацию о 391 521 $млн. международных резервов.
Наиболее
свежая информация, опубликованная Норвежским Банком, касается апреля 2016 года.
По состоянию на отчетный период международные резервы Норвегии составляют 62
258 $млн, что в 6 раз меньше российского резерва.
Этот
показатель фактически обнародует степень безопасности и защищенности, на
которую в неожиданных случаях может рассчитывать инвестор, и по официальным
данным становится очевидным, что в России инвестор может ориентироваться на
государственную поддержку в большей степени, чем в Норвегии.
3.2 Россия
и Норвегия в международных рейтингах
Legatum Prosperity Index
Существует подробный рейтинг, сравнивающий страны по множеству
общественных показателей и исследующий процветание стран в этих показателях, и
один из разделов для сравнения - экономика. Согласно этому рейтингу, с 2009
года Норвегия возглавляет этот рейтинг по общему совокупному результату. За 4
года - с 2012 по 2015 - Норвегия была в тройке сильнейших мировых держав по
благоприятному экономическому климату, в 2015 году опустилась до 4 места.
России для
достижения таких вершин предстоит преодолеть еще множество трудностей и
проблем. Лучший результат России за последние годы - 50 место в 2013 году,
тогда экономика поднялась за год на двенадцать позиций, хотя после этого опять
опустилась.

Рис.9.
Процветание экономики Норвегии и России, позиция в рейтинге The Legatum Prosperity Index
Это
исследование показывает, что Норвегия, несмотря на свои внутренние трудности,
возглавляет мировой рейтинг экономического процветания, а Россия, несмотря на
все попытки решить и преодолеть национальные трудности, до сих пор не
продвинулась в экономическом плане на общемировом уровне. Разумеется,
инвесторов не будет привлекать страна с такой репутацией, и при выборе страны
для вложения капитала инвесторы будут ориентироваться на передовые в этом плане
государства - Сингапур, Швейцарию, Китай, Норвегию, Германию.
Рейтинг экономической свободы стран мира
Американский исследовательский центр ‘The Heritage Foundation’ совместно с газетой ‘The Wall Street Journal’ реализует рейтинг стран мира по показателю
экономической свободы. На рисунке 10 представлена динамика изменения индекса
экономической свободы для Норвегии, России, всего мира и Европы в частности.
На графике заметная практически абсолютная стабильность мировой и
европейской экономической свободы. Более того, Норвегия по своему положению
находится выше и Европы, и мира, и России. Россия в этом сравнении проигрывает
и к тому же обладает наибольшей изменчивостью, хотя в кризисные годы
наблюдается совсем незначительное снижение.
Рис.10. Уровень экономической свободы в странах мира, %; The Heritage Foundation
Интересно также и то, что Европа более открыта для предпринимательства,
по сравнению с мировым показателем: это обусловлено постоянным совершенствованием
европейского устройства, снижением барьеров до минимального положения и
увеличением открытости европейского рынка.
По авторской шкале, на общем уровне Норвегия представляет эшелон частично
свободных стран, как и вся Европа, а Россия находится в группе несвободных
стран. Непосредственно в рейтинге Норвегия занимает 32 место, а Россия только
153.
В конкретных
направлениях ‘свобода ведения бизнеса’ и ‘свобода инвестирования’ между
Норвегией и Россией сохраняется основная тенденция - норвежская экономика
внушительно обгоняет российскую экономику. Если в ведении бизнеса отечественная
экономика имеет слабый тренд сближения с Норвегией (рис.11), то в
инвестировании (рис.12) ситуация обратная: индекс Норвегии с каждым годом
повышается, а Россия с 2009 года находится в стагнации на уровне 25%. График
показывает, что в кризисные года ситуация в России ухудшалась и после этого не
восстанавливалась - в результате на сегодняшний день Россия замыкает мировой
рейтинг по этому показателю.

Рейтинг
“Doing Business”
При обращении
к уже используемому ранее рейтингу “Doing business”
становится ясным преимущество Норвегии перед Россией (таблица 3). На мировом
рынке Норвегия остается лидирующей страной по легкости ведения бизнеса и защите
инвесторов, что в свою очередь играет решающую роль в формировании новых
предприятий, в выборе инвесторами страны для будущего вложения.
Таблица 3. Рейтинг “Doing Business”
|
Защита инвесторов
|
Интенсивность новых предприятий
|
Легкость ведения бизнеса
|
|
Норвегия
|
14
|
7,72
|
9
|
|
РФ
|
66
|
4,2
|
51
|
Риски в
ведении бизнеса
Организация ‘World Economic Forum’ занимается исследованием опасений предпринимателей,
а именно для каждого государства составляет рейтинг рисков, которых опасаются
инвесторы в данной стране. В таблице 4 представлены данные опроса норвежских и
российских предпринимателей за 2016 год. У отечественных и зарубежных
инвесторов существуют различные экономические страхи, и только один риск - риск
энергетического кризиса - вызывает опасения и русских, и норвежцев. Для этого
есть все основания, ведь, как было замечено ранее, треть норвежского и
российского бюджета составляют доходы энергетического комплекса.
Таблица 4.
Риски, вызывающие наибольшую обеспокоенность инвесторов
|
Россия
|
Доля, %
|
Норвегия
|
Доля, %
|
|
Финансовый кризис
|
45
|
Экономический пузырь
|
40
|
|
Неконтролируемая инфляция
|
44,6
|
Несоблюдение мер по смягчению последствий изменения климата
и адаптации к ним
|
35
|
|
Международный конфликт
|
44,3
|
Кибератаки
|
32,5
|
|
Энергетический шок
|
38,4
|
Энергетический шок
|
30
|
|
Социальная нестабильность
|
34,9
|
Неисправность информационной инфраструктуры
|
27,5
|
Даже при
первичном анализе обеспокоенности рисками выявляется разнонаправленность
сравниваемых стран. В России страхи предпринимателей более существенные и
экономически прикладные. С другой стороны, норвежские параметры показывают, что
государство в большинстве перешло на информационный режим функционирования,
тогда как в России до сих пор господствует постиндустриальный характер.
Кредитный
рейтинг
Любой
инвестор должен руководствоваться несколькими факторами при выборе страны для
вложения сбережений, и один из важнейших параметров - кредитный рейтинг страны.
Существует три наиболее авторитетных в мировой экономике рейтинговых агентства
- их ранжирование относительно Норвегии и РФ представлено в таблице 5.
Так, по
версии “Fitch” 2016 года, как и по отчетам “S&P” и “Moody’s”, Норвегии единогласно присвоен
наивысший рейтинг ААА со стабильным развитием; России - ВВВ-, что означает
среднюю снижающуюся надежность. Компания “Moody’s Investor Service” оценила Россию на уровень Ba1, что расшифровывается как возможность спекулятивных
операций со стабильным перспективным развитием. “Standard & Poor’s”
поставили России BB+ с
отрицательной перспективой развития. При сопоставлении этих оценок получается,
что три мировых агентства единодушны в существующем уровне кредитной надежности
России и Норвегии.
Таблица 5.
Кредитный рейтинг России и Норвегии, 2016 год
|
Рейтинговое агентство
|
Норвегия
|
Россия
|
|
“Fitch”
|
AAA
|
BBB-
|
Aaa
|
Ba1
|
|
“S&P”
|
AAA
|
BB+
|
Разумеется,
такой важный показатель лежит в основе выбора инвесторов, и при выборе
норвежской или российской экономики выбора как такового нет - Норвегия
определенно предлагает инвесторам более благоприятные условия и наибольшие
гарантии.
Заключение
Российская Федерация имеет значительный инвестиционный потенциал
вследствие потенциальной отраслевой многогранности. За последние годы
государственные органы оказали значительную поддержку развитию инвестиционного
климата в стране, основным механизмом внесения изменений стало законодательное
регулирование. Отмеченные отечественными предпринимателями положительно, эти
частые изменения пугают зарубежных инвесторов крайней нестабильностью и
вследствие этого незащищенностью. В целом, существует положительная
настроенность иностранных инвесторов на вложение капитала в российскую
экономику, однако в ближайшие годы ввиду усложнившейся макроэкономической
ситуации этого не произойдет.
Анализ государственной инвестиционной политики показал, что
разрабатываемые планы долгосрочного развития реализуются и по некоторым
показателям даже перевыполнены, однако по некоторым пунктам достичь намеченного
плана не удалось. Тем не менее, не остается сомнений в том, что государство
крайне заинтересовано в развитии инвестиционного потенциала страны, и
постоянная работа по корректированию мер улучшения инвестиционного климата в
стране доказывает это.
Сравнительный анализ Норвегии и России по основным показателям,
отражающим успешность работы инвестиционного комплекса, показал, что при
относительной схожести экономик в целом, уровень инвестиционного развития в
этих странах различен. Норвегия дает инвесторам не столько возможности для
инвестирования, сколько гарантии надежности и стабильности, и за счет этого
общий инвестиционный имидж России проигрывает, хотя возможностей для вложения
капитала в нашей стране больше.
Тем не менее, стоит учитывать и поддержку норвежской экономики со стороны
Европы, а потому российский самобытный путь развития только начинается. За
последние годы государственные структуры оказали значительную поддержку
развитию инвестиционного климата, и наметилась положительная тенденция
повышения российской позиции на общемировом уровне. Исследование современной
российской инвестиционной политики и намеченного стратегического планирования
доказало эффективность выбранного вектора развития.
Список
используемых источников
1. Федеральная
служба государственной статистики. www.gks.ru
. Единая
межведомственная информационно-статистическая система. www.fedstat.ru
. Центральная
база статистических данных. www.cbsd.gks.ru
. Всемирный
Банк. http://www.worldbank.org/eca/russian/
5. Международный валютный фонд http://www.imf.org/
. Рейтинг Doing Business - Russia.
http://russian.doingbusiness.org/Rankings
7. Указ Президента РФ от 7 мая 2012 г. N 596 "О
долгосрочной государственной экономической политике"
. Центральный банк РФ. http://www.cbr.ru/
. Текущее состояние инвестиционного климата и
бизнес-среды в России, Минэкономразвития, 2012
10. Российский фонд прямых инвестиций. www.rdif.ru
11. Агентство стратегических инициатив. http://asi.ru/
. 100 шагов к благоприятному инвестиционному климату:
результаты реализации дорожных карт НПИ с 2012 по 2015 год, Агентство
стратегических инициатив, 2015
13. Агентство по страхованию экспортных инвестиций и
кредитов. http://www.exiar.ru/
. Консультативный совет по иностранным инвестициям в
России. http://www.fiac.ru/
. Инвестиционный климат в России: мнение иностранных
инвесторов, Ernst&Young, 2015
. Министерство экономического развития.
http://economy.gov.ru/
17. The Heritage Foundation.
http://www.heritage.org/
18. The Legatum Prosperity Index, 2015.
http://www.prosperity.com/
. Central Intelligence Agency.
https://www.cia.gov/
20. Норвежский Банк. http://www.norges-bank.no/
21. World Economic Forum. https://www.weforum.org/
22. Trading Economics.
http://ru.tradingeconomics.com/