Хроматографические методы анализа производных барбитуровой кислоты

  • Вид работы:
    Курсовая работа (т)
  • Предмет:
    Химия
  • Язык:
    Русский
    ,
    Формат файла:
    MS Word
    393,13 Кб
  • Опубликовано:
    2017-10-13
Вы можете узнать стоимость помощи в написании студенческой работы.
Помощь в написании работы, которую точно примут!

Хроматографические методы анализа производных барбитуровой кислоты

«БЕЛГОРОДСКИЙ ГОСУДАРСТВЕННЫЙ НАЦИОНАЛЬНЫЙ ИССЛЕДОВАТЕЛЬСКИЙ УНИВЕРСИТЕТ» (НИУ «БелГУ»)

МЕДИЦИНСКИЙ ИНСТИТУТ

Кафедра фармацевтической химии и фармакогнозии








Курсовая работа

Хроматографические методы анализа производных барбитуровой кислоты












Белгород 2017

ОГЛАВЛЕНИЕ

ВВЕДЕНИЕ

ГЛАВА 1. ОБЩАЯ ХАРАКТЕРИСТИКА ЛЕКАРСТВЕННЫХ СРЕДСТВ, ПРОИЗВОДНЫХ БАРБИТУРОВОЙ КИСЛОТЫ

.1 Химическое строение и стереометрия

.2 Способы получения лекарственных средств, производных барбитуровой кислоты

.3 Физические свойства лекарственных средств, производных барбитуровой кислоты

.4 Методы качественного анализа лекарственных средств, производных барбитуровой кислоты

.4.1 Общие реакции идентификации

.4.2 Частные реакции на производные барбитуровой кислоты

.5 Методы количественного анализа лекарственных средств, производных барбитуровой кислоты

.6 Хранение и применение лекарственных средств, производных барбитуровой кислоты

ГЛАВА 2. АНАЛИЗ ЛЕКАРСТВЕННЫХ ФОРМ, СОДЕРЖАЩИХ ПРОИЗВОДНЫЕ БАРБИТУРОВОЙ КИСЛОТЫ

.1 Общая характеристика хроматографических методов анализа

.2 Хроматографический анализ производных барбитуровой кислоты

.3 Анализ таблеток фенобарбитала, 100 мг (ОАО «Татхимпрепараты»)

.3.1 Реакции идентификации

.3.2 Количественное определение

.3.3 Хроматографический анализ

.4 Анализ таблеток бензонала 100 мг (ОАО «Татхимпрепараты»)

.4.1 Реакции идентификации

.4.2 Количественное определение

.4.3 Хроматографический анализ

.5 Анализ порошка тиопентала натрия, 500 мг (ОАО «Синтез»)

.5.1 Реакции идентификации

.5.2 Количественное определение

ВЫВОДЫ

СПИСОК ЛИТЕРАТУРЫ

 

ВВЕДЕНИЕ

барбитуровый кислота хроматографический лекарственный

В настоящее время на фармацевтическом рынке широко распространены комбинированные лекарственные средства барбитуратов с другими веществами, такими как кофеин, ацетилсалициловая кислота, эфедрин, теофиллин, кодеин, диазепам. В незаконном обороте наркотиков нередки случаи использования барбитуратов в смеси с героином, кокаином, амфетаминами, а также алкоголем. Производные барбитуровой кислоты, являясь агонистами рецепторов гамма-аминомасляной кислоты, оказывают различные виды действия на ЦНС - от легкого седативного до общей анестезии. Прием их может вызвать эйфорию, подобную морфиновой, но они практически не обладают болеутоляющим свойством [15].

Определение производных барбитуровой кислоты актуально как при анализе качества лекарственных средств, так и при токсикологическом анализе, так как их используют не только как седативно-снотворные, но и как наркотические средства.

Физико-химические методы анализа наиболее часто используются для решения диагностических и идентификационных задач при исследовании подлинности лекарств, в частности наркотических средств. Качественный хроматографический анализ, то есть идентификация вещества по его хроматограмме, занимает весомое место при анализе лекарственных средств. Хроматография - один из наиболее перспективных в настоящее время методов разделения и анализа веществ, используемый в различных отраслях аналитической химии. Основы метода были заложены М.С. Цветом для разделения сложной смеси растительных пигментов из листьев зеленых растений. Бурное развитие методов хроматографического анализа началось во второй половине XX века [32]. С 1961 года хроматография используется для анализа лекарственных средств. В ряде случаев метод тонкослойной хроматографии (ТСХ) является наиболее точным по сравнению с предшествующими методами, так как его реализация позволяет надежно дифференцировать и идентифицировать сложные смеси веществ, содержащих смеси барбитуровой кислоты.

Цель работы - изучение основных хроматографических методов анализа лекарственных форм, содержащих производные барбитуровой кислоты на основе литературных источников.

Для достижения поставленной цели необходимо решить следующие задачи:

-       изучить строение и физико-химические свойства лекарственных средств, производных барбитуровой кислоты;

-       охарактеризовать методы качественного и количественного анализа лекарственных средств, производных барбитуровой кислоты, исходя из их строения;

-       рассмотреть основные хроматографические методы, используемые при анализе барбитуратов;

-       провести анализ лекарственных форм, содержащих лекарственных средств, производных барбитуровой кислоты.

ГЛАВА 1. ОБЩАЯ ХАРАКТЕРИСТИКА ЛЕКАРСТВЕННЫХ СРЕДСТВ, ПРОИЗВОДНЫХ БАРБИТУРОВОЙ КИСЛОТЫ

 

.1 Химическое строение и стереометрия


Производные барбитуровой кислоты представляют собой синтетические препараты, содержащие в основе гексагидропиримидиновый цикл с тремя оксогруппами =С=О в положении 2,4,6 -:


Производные барбитуровой кислоты способны проявлять лактим-лактамную таутомерию (за счет водородов имидных групп) [12].


Первая группа - барбитураты - имеют лактамную форму, вторая - соли барбитуратов - лактимную форму. Общие формулы этих групп могут быть представлены следующим образом [4,12]:


барбитураты натриевые соли барбитуратов

Лактимная или аци-форма обусловливает кислый характер производных барбитуровой кислоты. В присутствии гидроксид-ионов они диссоциируют как кислоты и образуют соли с металлами:


Основные производные барбитуровой кислоты, применяемые в качестве лекарственных средств, различаются по характеру радикалов R, R1, R2. Характеристика радикалов приведена в таблице 1 [8,12,29].

Таблица 1 Характеристика радикалов, входящих в химическую структуру производных барбитуровой кислоты

Лекарственное средство

Радикалы


R1

R2

R

Барбитал

-C2H5

-C2H5

-

Фенобарбитал

-C2H5

-C6H5

-

Бензобарбитал (бензонал)

-C2H5

-C6H5

Барбитал-натрий

-C2H5

-C2H5

-

Гексобарбитал-натрий (гексенал)

-CH3

-CH3

Тиопентал-натрий

-C2H5

-СН-СН2-СН2-СН3 |  СН3

-


Снотворное действие барбитуратов впервые было обнаружено в начале ХХ века Е. Фишером и Ф. Мерингом. В 1904 г. Е. Фишер получил барбитал (веронал), а потом были синтезированы многие барбитураты и установлена связь между структурой и действием на организм [16].

. Снотворное действие проявляют производные барбитуровой кислоты, которые в положении 5,5 содержат алкильные, арильные либо другие радикалы.

. Сила и время действия барбитуратов увеличивается при увеличении длины углеводородного скелета в алкильном заместителе в положении 5,5 до пяти-шести атомов углерода. Дальнейшее увеличение длины карбонового (углеродного) скелета приводит к возникновению возбуждающего действия.

. Разветвление карбонового скелета, наличие ненасыщенных связей, спиртового гидроксила -ОН, атома галогена (особенно Br) усиливает фармакологический эффект.

. Повышение действия барбитуратов, как правило, сопровождается сокращением длительности снотворного эффекта.

Наличие одного фенильного C6H5- радикала в положении 5 усиливает действие, не изменяя длительности действия, а введение второго фенильного радикала снижает снотворный эффект [12].

. Введение алкильного радикала в одну из имидных групп (положение 1, 3) сокращает время действия препаратов.

. Замена гидрогена в положении 1 остатком ароматической кислоты (например, бензойной) придает препарату противоэлептическое действие (препарат бензонал).

. При одновременном замещении атомов Н имидных групп в положении 1 и 3 возникает способность вещества вызывать судороги.

. Производные тиобарбитуровой кислоты (в положении 2 содержит атом серы) проявляют более сильное и кратковременное действие по сравнению с оксигенсодержащими аналогами [16].

1.2 Способы получения лекарственных средств, производных барбитуровой кислоты


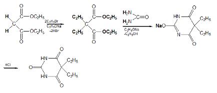
Барбитураты могут быть получены из 1,3-дикарбонильного соединения по двум схемам:

схема:


Обычно исходными веществами являются соответствующий диалкилмалоновый эфир и мочевина [16]:


Конденсация (N-ацилирование аминогрупп мочевины) идет в среде абсолютированного этанола в присутствии этилата натрия при кипячении массы в аппарате с обратным холодильником. Этилат натрия повышает нуклеофильность мочевины:


Процесс ведут в сухой аппаратуре, для предотвращения разложения этилата натрия и гидролиза исходного эфира. Выход достигает 85-90% от теории.

Первая схема синтеза барбитуратов применяется в производстве барбитала, барбамила, этаминала-натрия. Она экономически выгодна вследствие простоты производства и применения дешевой мочевины [12].

Схема синтеза барбитала выглядит следующим образом:


Первая схема применяется и для синтеза производных тиобарбитуровой кислоты, например, тиопентала-натрия конденсацией этил-(втор.пентил)-малонового эфира с тиомочевиной [12].

схема получения барбитуратов:

Обычно субстратами являются соответствующий диалкилциануксусный эфир - ЦУЭ (этилового эфира циануксусной кислоты) и дициандиамид (цианогуанидин), однако возможны и другие комбинации. Схема более сложная, так как требуется дополнительная обработка продуктов конденсации для превращения их в барбитураты [23].

Конденсацию соответствующих производных циануксусного эфира с дициандиамидом ведут в присутствии этилата (или метилата) натрия в среде метанола:


Конденсация начинается с ацилирования наиболее нуклеофильной аминогруппы дициандамида. Затем к тройной связи нитрила присоединяется нуклеофил. Образующуюся соль 5,5-диалкил-3-циано-2,4-дииминобарбитуровой кислоты кипятят с водным раствором серной кислоты. При этом нитрильная и иминогруппы гидролизуются, а образовавшаяся карбоксигруппа декарбоксилируется [16].

Конденсация по второй схеме идет в более мягких условиях (температура может быть в пределах 8-12оС). Это объясняется более высокой нуклеофильностью аминогруппы дициандиамида по сравнению с мочевиной и большей легкостью протекания стадии циклизации в данном случае вследствие более высокой кислотности фрагмента

 

по сравнению с фрагментом


и, соответственно, более высокой концентрации аниона:


Другой особенностью является проведение конденсации не в этаноле, а в метаноле, в котором дициандиамид растворяется лучше [23].

Вторая схема более сложна, менее экономична, чем первая; используются более токсичные виды сырья (метанол, органические цианистые соединения), высокий расход кислоты на стадии гидролиза. Однако производные циануксусного эфира более доступны, чем малонового эфира. Вторая схема получения барбитуратов применяется в производстве циклобарбитала, гексенала, фенобарбитала.

 

.3 Физические свойства лекарственных средств, производных барбитуровой кислоты


Русские, латинские и химические названия, а также строение и физические свойства лекарственных средств, производных барбитуровой кислоты представлены в таблице 2 [8,12,29].

Таблица 2 Строение и физические свойства лекарственных средств, производных барбитуровой кислоты

Лекарственное средство

Химическая структура

Описание

Барбитал Barbitalum

 5,5-диэтилбарбитуровая кислота или 5,5-диэтил-1Н,3Н,5Н-пиримидин-2,4,6-трион

Белый кристаллический порошок, без запаха, горького вкуса.  tплав =189-191°С   Малорастворим в воде и спирте, легко растворим в щелочах 

Фенобрбитал  Phenobarbitalum

 5-этил-5-фенилбарбитуровая кислота или  5-этил-5-фенил-1Н,3Н,5Н-пиримидин-2,4,6-трион

Белый кристаллический порошок без запаха, горького вкуса.  tплав =174-178 °С.  Очень мало растворим в холодной воде, трудно растворим в кипящей воде, легко растворим в спирте и щелочах

Бензобарбитал (бензонал) Benzonalum

 1-бензоил-5-этил-5-фенилбарбитуровая кислота

Белый кристаллический порошок, горького вкуса. tплав =134-137 °С.   Очень мало растворим в воде, трудно растворим в спирте, легко растворим в хлороформе, растворим в эфире

Барбитал-натрий Barbitalum-Natrium

 натрия 5,5-диэтилбарбитурат

Белый кристаллический порошок без запаха, горького вкуса. Водный раствор имеет щелочную реакцию.   Легко растворим в воде, мало растворим в спирте, практически нерастворим в эфире

Гексобарбитал-натрий (гексенал) Hexobarbitalum- Natrium (Hexenalum)         

натрия 1,5-диметил-5-(циклогекс-1¢-енил)-барбитурат натрияБелая пенообразная масса, на воздухе от CO2 разлагается. Гигроскопичен.   Очень легко растворим в воде и спирте; практически нерастворим в эфире и хлороформе 


 

Тиопентал-натрий Thiopentalum-Natrium

 смесь 5-этил-5-(2¢-амил)-2-тиобарбитурата натрия с безводным карбонатом натрия


1.4 Методы качественного анализа лекарственных средств, производных барбитуровой кислоты

 

.4.1 Общие реакции идентификации

1. Производные барбитуровой кислоты образуют нерастворимые соли с ионами тяжелых металлов - серебра, ртути (II), меди (II), кобальта (II). Эта реакция происходит только с ионизированной формой препарата, поэтому кислотную форму предварительно необходимо перевести в ионную [8]. Однако при этом нельзя допускать избытка щелочи, так как он при последующем выполнении реакции приведет к образованию гидроксидов металлов [12].

.1. С ионом кобальта в присутствии солей кальция образуются комплексные соединения, окрашенные в сине-фиолетовый цвет (в присутствии хлорида кальция) [8].


.2. Цветная реакция с раствором сульфата меди (II) (на примере барбитала):


Схема взаимодействия производных барбитуровой кислоты и ионов меди (II) выглядит следующим образом:


Данная реакция позволяет отличать друг от друга производные барбитуровой кислоты (табл. 3) [12].

Таблица 3 Наблюдаемый результат реакции с сульфатом меди

Лекарственное средство

Результат реакции

Барбитал

Синее окрашивание в осадок красно-сиреневого цвета

Фенобарбитал

Осадок бледно-сиреневого света, не изменяющийся при стоянии

Бензобарбитал (бензонал)

Серо-голубое окрашивание, переходящее в сиреневое

Барбитал-натрий

Синее окрашивание, затем выпадает осадок красно-сиреневого цвета

Гексобарбитал-натрий (гексенал)

Голубое окрашивание, переходящее в ярко-синее, затем выпадает белый осадок

Тиопентал-натрий

Желто-зеленое окрашивание с взвешенным осадком


.3. Реакция с ионами серебра. При взаимодействии с ионами серебра происходит образование однозамещенных (растворимых в воде) и двузамещенных (нерастворимых в воде) солей серебра [8, 12]. В присутствии карбоната натрия барбитураты образуют вначале натриевую соль, затем однозамещенную серебряную:


Однозамещенная серебряная соль при добавлении избытка нитрата серебра превращается в нерастворимую двузамещенную серебряную соль:


Гексенал и бензонал, содержащие заместители в положении 1, образуют только однозамещенные соли серебра [16].

. Мурексидная проба. Раствор исследуемого вещества в этиловом спирте помещают в фарфоровую чашку, спирт осторожно испаряют, к остатку добавляют 0,1 мл раствора хлорида аммония, содержащего следы соли Мора, и 0, 1 мл 30% раствора перекиси водорода. Реакционную смесь перемешивают и чашку нагревают на спиртовке. Через 5 минут по краям сухого остатка появляется розовое или красное окрашивание. Окрашивание становится интенсивнее при нанесении на остаток капли 25% раствора аммиака.


Чувствительность реакции различна для каждого из барбитуратов. В среднем она составляет 3-5 мг вещества в пробе.

. Сплавление со щелочью. Все барбитураты при сплавлении со щелочами выделяют аммиак. При сплавлении с NaOH молекулы барбитуратов разрушаются, образуя соли соответствующих дизамещенных производных ацетатной кислоты, аммиак NH3 и натрия карбонат Na2CO3 .


Для натриевых солей используется реакция осаждения кислотной формы барбитуратов.


Выпавший осадок барбитурата отфильтровывают, промывают водой, сушат и определяют его температуру плавления [8].

. Реакция выделения кислотной формы барбитуратов. На предметное стекло наслаивают несколько капель хлороформного раствора исследуемого вещества, удаляя хлороформ при комнатной температуре. Следующую каплю наносят после испарения предыдущей. Сухой остаток растворяют в капле концентрированной серной кислоты. Через 3-5 минут рядом с этой каплей помещают одну каплю дистиллированной воды, после чего их осторожно соединяют при помощи капилляра [12]. Через 10-20 минут наблюдают появление кристаллического осадка, характерного для каждого отдельного барбитурата (рис. 1-4).


Кристаллы кислотной формы

Кристаллы кислотной формы барбитала фенобарбитала


Кристаллы кислотной

Кристаллы кислотной формы барбамила. формы бутобарбитала

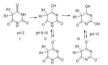
5. УФ-спектрофотометрия основана на способности барбитуратов к лактам-лактимной таутомерии [12].


Отсутствие поглощения растворов при рН=2 и появление максимума при рН=10 и λ = 239-240 нм подтверждает присутствие барбитуратов (рис. 5) [16].


Спектры поглощения производных барбитуровой кислоты в зависимости от pH раствора

. ИК-спектры производных барбитуровой кислоты имеют характеристические частот при λ = 1712-1720 см-1 (С = О - валентные колебания) и при λ = 1210-1245 см-1 (- С = О - деформационные колебания), при λ = 1680 -1693 см-1 (-NH - деформационные колебания) [12].

1.4.2 Частные реакции на производные барбитуровой кислоты

1. Реакция нитрования (на фенильный радикал -C6H5) (фенобарбитал и бензонал). При нагревании препарата, содержащего в молекуле бензольный цикл, с концентрированной сульфатной кислотой H2SO4 и раствором натрий нитрата NaNO3 (или смесью конц. HNO3 и H2SO4) происходит нитрование в мета-положение с образованием нитропроизводного желтого цвета [8].


Гексенал образует без повторного нагревания на границе двух слоев буровато-красное кольцо с зеленоватой флюоресценцией.

. Реакция на бензоат-ион после щелочного гидролиза препарата (бензонал) - реакция с хлоридом железа (III). Предварительно препарат взбалтывают с раствором гидроксида натрия и фильтруют. Образующийся при гидролизе бензонала бензоат-ион переходит в фильтрат. Он образует с ионом железа (III) розовато-желтый осадок [8].


. Реакция на двойную связь (гексенал) - обесцвечивание раствора калий перманганата KMnO4 или бромной воды Br2.


. Реакция на атом серы (тиопентал-натрий).

.1. При кипячении препарата с раствором щелочи в присутствии ацетата свинца образуется осадок сульфида свинца и ощущается запах аммиака. При последующем подкислении разведенной соляной кислотой выделяется сероводород [8,16].


.2. При минерализации препарата смесью для спекания (смесь Na2CO3 и NaNO3) сера переходит в анионы SO42-, которые выявляют раствором BaCl2:

SO42- + Ba2+ → BaSO4↓

белый осадок

. Кристаллические реакции. Реакция с хлорцинкйодом [12]. На остаток исследуемого вещества на предметном стекле (после удаления хлороформа) наносят каплю раствора хлорцинкйода. Через 10-15 минут под микроскопом наблюдают образование кристаллических осадков. Если осадок долго не образуется, к каплям на предметных стеклах добавляют 1-2 кристалла йода и препараты снова через 10-15 минут рассматривают под микроскопом (рис. 6).


Кристаллы продукта взаимодействия барбитала с раствором хлорцинкйода

Барбитал с хлорцинкйодом образует прямоугольные пластинки темно-красного, зеленого, фиолетового, серо-розового цветов [15].

 

.5 Методы количественного анализа лекарственных средств, производных барбитуровой кислоты


. Алкалиметрия в неводной среде. Метод применяется для количественного определения барбитала, фенобарбитала, бензонала [1,7].

Навеску препарата растворяют в смеси диметилформамида (ДМФА) и бензола С6Н6 (1:3), предварительно нейтрализованной по тимоловому синему в ДМФА (протофильный растворитель, усиливает кислотные свойства барбитуратов) и титруют раствором метилата натрия CH3ONa или раствором гидроксида натрия NaOH в смеси метанола CH3OH и бензола C6H6 до появления синего окрашивания [12].

Метод базируется на способности барбитуратов к таутомерным превращениям и образованием имидольной или аци-формы, имеющей кислотный характер, по схеме:


fэ = 1

.1. Схема реакции при использовании в качестве титранта раствора метилата натрия:


.2. Схема реакции при использовании в качестве титранта раствора гидроксида натрия в смеси метанола и бензола:


. Алкалиметрия в водно-спиртовой среде. Метод пригоден для количественного определения любого барбитурата, имеющего кислотный характер [12]. В качестве титранта используют раствор натрий гидроксида NaOH, а индикатора - тимолфталеин [6,7]. Навеску препарата растворяют в нейтрализованном по тимолфталеину в спирте С2Н5ОН (для улучшения растворимости барбитуратов и предупреждения гидролиза образовавшейся натриевой соли).


. Аргентометрический метод. Способ прямого титрования. Основан на количественном взаимодействии производных пиримидин-2,4,6-триона (барбитуратов) с серебра нитратом, с образованием растворимых однозамещённых серебряных солей. Во внутриаптечном контроле определение обычно проводят в среде натрия карбоната или тетрабората, индикация осуществляется по появлению устойчивой мути - осадка двузамещённой серебряной соли (титрование без индикатора) [9]. Навеску субстанции (кислотной или солевой формы) растворяют в 5 % растворе безводного натрий карбоната Na2CO3 и титруют раствором аргентум нитрата AgNO3 без индикатора по появления неисчезающей мути (двухзамещенная Ag-соль), что указывает на конец титрования. fэ = 1/2.

 

При определении в присутствии индикатора калия хромата (среда слабощелочная) сначала осаждается двузамещённая серебряная соль, затем избыточная капля титранта реагирует с индикатором, образуя осадок кирпично-красного цвета [8].

4. Меркуриметрия обратная [9]. Титрант - водный раствор Hg(NO3)2. В результате реакции образуется осадок барбитурата ртути (II), его отфильтровывают, а в фильтрате комплексонометрически оттитровывают избыток нитрата ртути (II). fэ = 1.


. Ацидиметрия в водной среде. Метод пригоден для количественного определения натриевых солей барбитуратов, имеющих основный характер (барбитал-натрий, барбамил, гексенал) [12]. В качестве титранта используют раствор HCl, а индикатора - метиловый оранжевый или метиловый красный. Na-соли барбитуратов способны гидролизовать в водных растворах, образуя щелочную среду и поэтому их можно оттитровать кислотами в присутствии метилового оранжевого или метилового красного. fэ = 1.


При этом титруется кислотой и свободная щелочь NaOH, возникающая при гидролизе препарата:


. Броматометрия, обратное титрование, с йодометрическим окончанием [22]. Метод используется для количественного определения барбитуратов с ненасыщенной связью, например, гексенала. Метод основан на бромировании субстанции по месту двойной связи. fэ = 1/2.

KBrO3 + 5KBr + 6HCl → 3Br2 + 6KCl + 3H2O

+ 2KI = I2 + 2KBr+ 2Na2S2O3 = 2NaI + Na2S4O6

Параллельно проводят контрольный опыт.

. Гравиметрия. Гравиметрический метод обычно применяют для количественного определения Na-солей барбитуратов (например, тиопентал-натрий), а также при анализе лекарственных смесей. Суть метода состоит в том, что к водному раствору препарата прибавляют разбавленную хлоридную кислоту HCl [2].


Полученную кислотную форму экстрагируют хлороформом (5 раз небольшими порциями). Все хлороформные извлечения соединяют, хлороформ отгоняют, а остаток сушат при 70°С до постоянной массы и взвешивают [12].

 

.6 Хранение и применение лекарственных средств, производных барбитуровой кислоты


Лекарственные средства, производные барбитуровой кислоты хранят в соответствии с требованиями постановления Правительства № 1148 «О порядке хранения наркотических и психотропных веществ» хранят в хорошо укупоренной таре, в сухом защищенном от света месте. В хорошо укупоренной таре. Гигроскопичные препараты - в сухом, прохладном, защищенном от света месте [15].

Фенобарбитал и бензонал - в банках темного стекла, в защищенном от света месте.

Гексенал и тиопентал-натрий - в стеклянных флаконах по 0,5-1,0 г, которые герметически закрыты резиновыми пробками, обтянуты алюминиевыми колпачками; в сухом, прохладном, защищенном от света месте. В качестве стабилизатора к гексеналу прибавляют 0,05-0,25 % NaOH, к тиопентал-натрию - 5-6 % натрий карбоната Na2CO3.

Водные растворы Na-солей барбитуратов легко гидролизуются, поэтому их готовят на физиологическом растворе в асептических условиях непосредственно перед употреблением (ex tempore).

Лекарственные средства изучаемой группы применяют как седативные и снотворные средства:

-       длительного действия - барбитал, фенобарбитал, барбитал-натрий;

-       средней продолжительности - барбамил;

-       кратковременнго действия - гексенал, тиопентал-натрий;

В качестве противоэпилептических (противосудорожных) средств используют фенобарбитал и бензонал, при этом последний снотворного действия не имеет [19].

Гексенал и тиопентал-натрий используются для вводного, интравенозного наркоза. При длительном применении и повышенных дозах барбитуратов может быть отравление, поэтому их применение должно контролироваться врачом.

ГЛАВА 2. АНАЛИЗ ЛЕКАРСТВЕННЫХ ФОРМ, СОДЕРЖАЩИХ ПРОИЗВОДНЫЕ БАРБИТУРОВОЙ КИСЛОТЫ

 

.1 Общая характеристика хроматографических методов анализа

 

В фармацевтической химии широкое распространение получили методы анализа, сочетающие в себе разделение и количественное определение веществ. В качестве одной из основных групп такого анализа можно выделить хроматографические методы.

Существует ряд определений сущности методов хроматографии. Рассмотрим основные из них.

Согласно определению международной комиссией ИЮПАК в 1993 г. хроматография представляет собой физический метод разделения, в котором разделяемые компоненты распределены между двумя фазами, одна из которых является неподвижной (стационарная или неподвижная фаза), в то время как другая (подвижная фаза) движется в определенном направлении [20]. Следует подчеркнуть, что это определение сводит хроматографию только к физическому методу разделения, а это сужает область ее применения.

Существует точка зрения, что термин «хроматография» имеет три смысла:

-       наука о межмолекулярных взаимодействиях и переносе молекул или частиц в системе несмешивающихся и движущихся относительно друг друга фаз;

-       процесс дифференцированного многократного перераспределения веществ или частиц между несмешивающимися и движущихся относительно друг друга фазами, приводящий к обособлению концентрационных зон индивидуальных компонентов исходных смесей этих веществ или частиц;

-       метод разделения смесей веществ или частиц, основанный на различии в скоростях их перемещения в системе несмешивающихся и движущихся относительно друг друга фаз [24].

Хроматографический метод представляет собой метод разделения веществ, в основе которого лежит разница в коэффициентах распределения этих веществ между неподвижной и подвижной фазами [3].

В настоящее время, по оценкам специалистов хроматография представляет собой:

-       самый распространенный и совершенный метод разделения лекарственных смесей;

-       уникальный метод качественного и количественного анализа сложных многокомпонентных смесей [11,22,27].

В соответствии с ОФС.1.2.1.2.0001.15 «Хроматография» Государственной фармакопеи Российской Федерации XIII издания хроматографией называется метод разделения смесей веществ, основанный на их многократном перераспределении между двумя контактирующими фазами, одна из которых неподвижна, а другая имеет постоянное направление движения. По механизму, лежащему в основе разделения, различают адсорбционную, распределительную, ионообменную и другие виды хроматографии [7].

Говоря о количественном анализе, необходимо отметить, что в ГФ XIII издания закреплено применение в фармацевтическом анализе четырех основных методов расчета концентрации анализируемого вещества по хроматографическим данным, в том числе:

-       метод нормирования (метод внутренней нормализации). Применение данного метода основано на предположении, что на хроматограмме зарегистрированы все вещества, входящие в состав анализируемой смеси, и что доля площади (высоты) каждого пика от суммы площадей (высот) всех пиков соответствует содержанию вещества в массовых процентах;

-       метод внешнего стандарта. При применении метода концентрацию испытуемого вещества определяют путём сравнения сигнала (пика), полученного на хроматограммах испытуемого раствора, и сигнала (пика), полученного на хроматограммах раствора стандартного образца.

-       метод внутреннего стандарта, который основан на введении в анализируемую смесь определенного количества стандартного вещества (внутренний стандарт);

-       метод стандартных добавок.Основан на введении в анализируемую смесь известного количества определяемого вещества и сравнения сигналов, полученных для испытуемого раствора со стандартной добавкой и без добавки определяемого вещества [7].

Порядок проведения качественного и количественного хроматографического анализа закреплен ГФ XIII в статьях:

-        ОФС.1.2.1.2.0002.15 «Хроматография на бумаге»;

-       ОФС.1.2.1.2.0003.15 «Тонкослойная хроматография»;

-       ОФС.1.2.1.2.0004.15 «Газовая хроматография»;

-       ОФС.1.2.1.2.0005.15 «Высокоэффективная жидкостная хроматография»;

-       ОФС.1.2.1.2.0006.15 «Сверхкритическая флюидная хроматография» [7].

Кратко охарактеризуем сущность этих методов.

Хроматография на бумаге - это хроматографический процесс, протекающий на листе фильтровальной бумаги при перемещении по ее капиллярам и поверхности подвижной фазы.

Тонкослойной хроматографией или хроматографией в тонком слое сорбента называется хроматографический процесс, протекающий при движении подвижной фазы в тонком слое сорбента, нанесенном на инертную твердую подложку (пластинку) из соответствующего материала - стекла, металла или полимера. Тонкослойная хроматография (ТСХ) может использоваться для анализа как однокомпонентных, так и многокомпонентных лекарственных средств. В последнем случае подбираются условия хроматографирования, обеспечивающие разделение компонентов смеси.

Газовая хроматография представляет собой метод разделения летучих соединений, основанный на различии в распределении компонентов анализируемой смеси в системе несмешивающихся и движущихся относительно друг друга фаз, где в качестве подвижной фазы выступает газ (газ-носитель), а в качестве неподвижной фазы - твердый сорбент или жидкость, нанесенная на твердый носитель или внутренние стенки колонки.

Высокоэффективная жидкостная хроматография (жидкостная хроматография высокого давления) является методом колоночной хроматографии, в котором подвижной фазой служит жидкость, движущаяся через хроматографическую колонку, заполненную неподвижной фазой (сорбентом). Колонки для высокоэффективной жидкостной хроматографии характеризуются высоким гидравлическим сопротивлением на входе.

Сверхкритическая флюидная хроматография представляет собой хроматографический процесс, в котором в качестве подвижной фазы используется флюид. Cверхкритический флюид (флюид) - это вещество, находящееся при значениях температуры и давления выше критических. В этом состоянии (сверхкритическом флюидном) свойства вещества являются промежуточными между свойствами газа и жидкости [7].

Говоря о значимости хроматографических методов, специалисты отмечают, что хроматография применяется во всех цивилизованных странах мира в жизненно важных сферах деятельности человека - от исследований в космосе. За вклад хроматографических методов в научные исследования - контроль загрязнений окружающей среды, пищевых продуктов и лекарств - хроматографию отнесли к двадцати выдающимся открытиям двадцатого века. Отдельно отмечается, что метод ВЭЖХ способствовал прогрессу в биохимии, биологии, медицине, фармацевтике [30,31,34].

В литературе также подчеркивается, что метод жидкостной хроматографии применим для разделения значительно более широкого круга веществ, чем газовая хроматография, поскольку большая часть веществ не обладает летучестью, а многие вещества неустойчивы при высоких температурах. В жидкостной хроматографии разделение обычно происходит при комнатной температуре [33].

К числу наиболее востребованных методов в фармацевтическом анализе также относят метод тонкослойной хроматографии (ТСХ) - важный аналитический, физико-химический и микропрепаративный метод, который отличается простотой, высокой экономичностью и универсальностью. Тонкослойная (планарная) хроматография - представляет собой оперативный метод хроматографии для анализа всех классов химических соединений, приобрела значение в качестве экспресс-метода анализа и широко используется в медицине и фармации [5,17].

 

.2 Хроматографический анализ производных барбитуровой кислоты


В настоящее время в качестве методов хроматографического анализа производных барбитуровой кислоты наибольшее применение находят:

. Тонкослойная хроматография (ТСХ).

. Газожидкостная хроматография (ГЖХ).

. Высокоэффективная жидкостная хроматография (ВЭЖХ) [5,21,26,28].

На стартовую линию хроматографической пластинки «Силуфол» или «Сорбфил» наносят с помощью капилляров в виде точек стандартные (1 мг/мл) хлороформные растворы барбитуратов (барбитал, бармамил, фенобарбитал, этаминал, бензонал, бензобамил) и хлороформное извлечение. Пластинку хроматографируют в системе хлороформ - н-бутанол - 25% раствор аммиака в объемном соотношении 7:4:0,5. Длина пробега фронта растворителей 10 см.

Хроматография в тонком слое сорбента в частной системе растворителей проводится в присутствии «стандартов», в качестве которых используют спиртовые растворы барбитала. Идентифицируют барбитураты на хроматографической пластинке по месторасположению, окраске и значению Rf анализируемого вещества и «стандарта».

Приготовление стандартного раствора барбитуратов: точную навеску барбитурата (50 мг) помещают в мерную колбу на 1000 мл и растворяют ее в 100 мл фосфатного буфера (pH 7,4) при осторожном перемешивании, затем объем жидкости доводят до метки дистиллированной водой. Концентрация барбитурата составляет 50 мкг/мл [1].

Хроматографирование ведут на пластинках с закрепленным слоем силикагеля в системах растворителей:

) хлороформ-ацетон (9:1) - для разделения N - замещенных и 5 5-замещенных производных, система является общей в скрининге лекарственных веществ кислого и нейтрального характера.

) толуол - ацетон - этанол - 25% раствор аммиака (45:45:7,5:2,5) (применяется в экспресс- анализе интоксикаций)

) хлороформ - н-бутанол - 25% раствор аммиака (70:40:5) - в качестве частной системы для разделения 5,5 -замещенных барбитуратов.

Детектирование веществ на хроматограмме проводится двумя реагентами: дифенилкарбазоном (ДФК) и HgSО4. При этом в местах расположения барбитуратов возникают красно- или сине-фиолетовые пятна. Идентификация проводится по величине Rf (отношение длины пробега вещества к длине пробега растворителя). Хроматографирование ведут параллельно метчикам (А), в качестве которых используют хлороформные растворы барбитуратов с известной концентрацией [28].

Применение метчиков наряду с расчетом Rf обусловлено невоспроизводимостью Rf из-за трудности соблюдения стандартных условий при хроматографировании. Чувствительность реакции барбитуратов с ДФК и HgSО4 достигает 0,5 мкг, однако, она неспецифична, поэтому дальнейшее подтверждение присутствия барбитурата производится микрокристаллическими реакциями, исследованием в УФ-области спектра после элюирования вещества с пластинки подходящим растворителем (боратный буфер с рН=10).

Газовая хроматография в сочетании с масс-спектрометрией используется для обнаружения нанограммовых количеств барбитуратов и позволяет вести анализ на фоне эндогенных соединений, выделенных из исследуемого объекта. Для выделения барбитуратов из объекта после гидролиза используют жидкость-жидкостную или твердофазную экстракцию. Концентрирование извлечений проводят упариванием при температуре 40-60°С. Идентифицируют барбитураты по времени удерживания - для барбитала - 5,18 мин [21].

ГЖХ-определение производных барбитуровой кислоты проводят на жидких фазах типа SE-30 или OV-17. Используют ступенчатый температурный режим колонки 180°С; 200°С - для барбитала, барбамила, нембутала; 230°С - для фенобарбитала или другие варианты программирования. Температура испарителя - 250 С. Для подготовки пробы в образец вводят серную кислоту в дозе 0,25 моль, такой же объем очищенного хлороформа. Смесь центрифугируют при 8000 об./мин. На анализ отбирают 1-5 мкл хлороформного извлечения.

При применении ГЖХ-анализа для обнаружения барбитала используют индекс удерживания 1490, фенобарбитала - 1974.

ВЭЖХ при обнаружении барбитуратов применяется в токсикологическом анализе. Барбитураты извлекают из биологических объектов при рН=1-2 хлороформом, смесью хлороформ - изопропанол 9:1 или диэтиловым эфиром. Предварительно рекомендуется при анализе мочи провести кислотный гидролиз для разрушения метаболитов - глюкуронидов [12].

Для обнаружения с помощью ВЭЖХ рекомендованы следующие условия: хроматограф «Милихром», хроматографическая колонка (62x2 мм), заполненная обращенно-фазовым сорбентом «Сепарон» С,8 (5 мкм), подвижная фаза - смесь 0,05 М водного раствора гидрофосфата аммония и метанола (60:40), скорость элюирования равна 100 мкл) мин. Сухой остаток растворяют в 100 мкл подвижной фазы и вводят в хроматограф 4 мкл.

Для обнаружения барбитуратов в исследуемой пробе сравнивают время (объем) удерживания и коэффициент емкости определяемого вещества с образцом сравнения в тех же условиях; сравнивают УФ-спектры поглощения с образцом сравнения, а также сопоставляют УФ-спектры исследуемого компонента и образца сравнения при 2 и более длинах волн и оценивают их спектральные отношения (табл. 4) [12].

Таблица 4 Хроматографические характеристики производных барбитуровой кислоты, полученные с помощью «Милихром А-02»

Барбитурат

Объем VR, мкл

Спектральные отношения (S/S210)



220

230

240

250

260

280

300

Барбитал

933

0,615

0,088

0,027

0,010

0,007

0,000

0,001

Фенобарбитал

1394

0,506

0,194

0,113

0,062

0,039

0,003

0,000


Сухой остаток, полученный при изолировании по методу В.А.Карташова и содержащий вещества кислотного характера, растворяют в небольшом объеме хлороформа и количественно наносят на стартовую линию хроматографической пластинки. По краям стартовой линии наносят хлороформные растворы «стандартов» (дифенин и тиопентал).

Условия анализа. Система растворителей: ацетон - н-гексан - диэтиламин (10:10:1). После высушивания пластинку обрабатывают раствором сульфата ртути. Вещества кислотного характера проявляются в виде полосы, а «стандарты» - в виде пятен белого цвета [16].

По полученным данным вещество относят к одной из трех хроматографических групп (табл. 5).

Таблица 5 Хроматографические группы веществ кислотного характера (производные барбитуровой кислоты)

1 группа

2 группа

3 группа

Фенобарбитал

Барбамил Барбитал Этаминал-натрий

 Тиопентал

 

.3 Анализ таблеток фенобарбитала, 100 мг (ОАО «Татхимпрепараты»)

 

.3.1 Реакции идентификации

0,1 г растертых таблеток взбалтывают с 2 мл спирта 96 %, прибавляют 1 каплю 20% раствора кальция хлорида, 2 капли 5 % раствора кобальта нитрата и 2 капли 20 % раствора натрия гидроксида; появляется сине-фиолетовое окрашивание [29].

 

2.3.2 Количественное определение

Около 0,2 г (точная навеска) субстанции растворяют в 5 мл предварительно нейтрализованного по тимолфталеину спирта 96%, прибавляют 5 мл воды и титруют 0,1 М раствором натрия гидроксида до появления синего окрашивания (индикатор - 0,5 мл 0,1 % раствора тимолфталеина) [29].

Параллельно проводят контрольный опыт.


мл 0,1 М раствора натрия гидроксида соответствует 23,22 мг фенобарбитала C12H12N2O3.

 

.3.3 Хроматографический анализ

Определение проводят методом тонкослойной хроматографии (ТСХ) [1].

Испытуемый раствор. 0,1 г субстанции растворяют в 5 мл спирта 96 %.

Раствор сравнения А. 0,5 мл испытуемого раствора разбавляют спиртом 96 % до 100 мл.

Раствор сравнения Б. 25 мл раствора сравнения А разбавляют спиртом 96 % до 50 мл.

Раствор для проверки пригодности хроматографической системы.
15 мл раствора сравнения Б разбавляют спиртом 96 % до 25 мл.

Подвижная фаза. Готовят смесь: аммиака раствор концентрированный 25 % - спирт 96 % - хлороформ (5:15:80). Дают смеси отстояться до разделения слоев и в качестве элюента используют нижний слой [29].

Раствор используют свежеприготовленным.

На линию старта пластинки Силикагель 60 F254, предварительно промытой метанолом и высушенной при температуре от 80 до 85 °C в течение 7 мин, наносят по 10 мкл испытуемого раствора (200 мкг), раствора сравнения А (1 мкг), раствора сравнения Б (0,5 мкг) и раствора для проверки пригодности хроматографической системы (0,3 мкг). Пластинку с нанесенными пробами сушат в токе теплого воздуха в течение 5 мин, помещают в камеру с подвижной фазой и хроматографируют восходящим способом. Когда фронт подвижной фазы пройдет около 80-90 % длины пластинки от линии старта, ее вынимают из камеры и немедленно просматривают в УФ-свете при длине волны 254 нм. После этого пластинку опрыскивают дифенилкарбазон-ртутным реактивом, сушат в токе теплого воздуха в течение 5 мин и опрыскивают свежеприготовленным 0,66 % спиртовым раствором калия гидроксида. Пластинку нагревают при температуре от 100 до 105 °C в течение 5 мин и немедленно просматривают.

Любое дополнительное пятно на хроматограмме испытуемого раствора при просмотре в УФ-свете и после проявления не должно превышать по величине и интенсивности поглощения или окраски пятна на хроматограмме раствора сравнения А (не более 0,5 %).

Предел обнаружения: 1 мкг анализируемого соединения.

Суммарное содержание примесей - не более 0,75 %.

Вывод: лекарственная форма «Таблетки фенобарбитала 0,1» удовлетворяют требованиям фармакопейной статьи «Фенобарбитал. ФС 2.1.0041.15» [29].

2.4 Анализ таблеток бензонала 100 мг (ОАО «Татхимпрепараты»)

 

.4.1 Реакции идентификации


В связи с отсутствием изменений в ГФ XIII и ГФ XII в силе остается статья 92 «Бензонал» ГФ X [8].

. 0,1 г препарата растворяют в 2 мл спирта при нагревании на водяной бане, прибавляют 1 каплю раствора хлорида кальция, 2 капли раствора нитрата кобальта и 1 каплю раствора едкого натра; появляется сине-фиолетовое окрашивание.


. К 0,2 г препарата прибавляют 10 капель 1% раствора едкого натра, 0,2 мл раствора гидрокарбоната и карбоната калия, 0,1 мл раствора сульфата меди и тщательно перемешивают; появляется серо-голубое окрашивание [8].



2.4.2 Количественное определение

Около 0,2 г препарата (точная навеска) растворяют в 10 мл диметилформамида, предварительно нейтрализованного по тимоловому синему в диметилформамиде, и титруют с тем же индикатором из полумикробюретки 0,1 н. раствором едкого натра в смеси метилового спирта и бензола до появления синего окрашивания. fэ = 1 [8].


Для бензонала: R1 -C2H5

R2 -C6H5

R -CO-C6H5 [12]

1 мл 0,1 н. раствора едкого натра соответствует 0,03363 г С19Н16N2О4, которого в препарате должно быть не менее 99,0%.

2.4.3 Хроматографический анализ

На хроматографической пластинке (9х12 см), покрытой тонким слоем силикагеля, закрепленным гипсом, отмечают линию старта, на которую наносят каплю хлороформной вытяжки из кислого раствора, а правее на расстоянии 2 см от нее наносят каплю раствора «свидетеля» (0,01 %-й раствор препарата в метиловом спирте). Пятна на пластинке подсушивают на воздухе, а затем пластинку помещают в камеру для хроматографирования, насыщенную парами растворителей (хлороформ- н -бутанол-25 %-й раствор аммиака в соотношении 70 : 40 : 5). Когда фронт растворителей поднимется на 10 см выше линии старта, пластинку вынимают из камеры, подсушивают и опрыскивают 0,02 %-м хлороформным раствором дифенилкарбазида, затем раствором сульфата ртути.

При наличии бензонала пятна на хроматограмме приобретают сине-фиолетовую или красно-фиолетовую окраску [28].

Пятна бензонала на пластинке имеют Rf = 0,40...0,45.

Вывод: лекарственная форма «Таблетки бензонала» удовлетворяет требованиям статьи 92 «Бензонал» ГФ Х [8].

2.5 Анализ порошка тиопентала натрия, 500 мг (ОАО «Синтез»)

 

.5.1 Реакции идентификации

В связи с отсутствием изменений в ГФ XIII и ГФ XII в силе остается статья 677 «Тиопентал-натрий» ГФ X [8].

. 0,1 г препарата растворяют в 1 мл воды, прибавляют 0,2 мл раствора гидрокарбоната и карбоната калия и 0,1 мл раствора сульфата меди; появляется желто-зеленое окрашивание со взвешенным осадком.


. 0,2 г препарата растворяют в 5 мл раствора едкого натра, прибавляют 2 мл раствора ацетата свинца и кипятят; выпадает темный осадок [6]. При охлаждении и подкислении концентрированной соляной кислотой выделяется сероводород, обнаруживаемый по запаху и по потемнению фильтровальной бумаги, смоченной раствором ацетата свинца (механизм реакции приведен в первой главе курсовой работы).

. 0,1 г препарата растворяют в 10 мл воды и прибавляют 2 мл разведенной соляной кислоты и перемешивают. Выпавший осадок отфильтровывают, промывают водой и сушат при 100-105°. Температура плавления выделенной 5-(1-метилбутил)-5-этилтио-барбитуровой кислоты 156-161° [8,12].


2.5.2 Количественное определение


. Около 0,3 г препарата (точная навеска) помещают в делительную воронку и растворяют в 20 мл воды. Прибавляют 5 мл разведенной соляной кислоты и извлекают последовательно 25, 25, 20, 10 и 10 мл хлороформа. Хлороформные извлечения соединяют, хлороформ отгоняют и остаток сушат при 70° до постоянного веса. (Механизм реакции приведен выше).

Содержание 5-(1-метилбутил)-5-этилтиобарбитуровой кислоты в препарате в пересчете на сухое вещество должно быть не менее 84,0% и не более 87,0% [8].

. Около 0,5 г препарата (точная навеска) растворяют в 20 мл свежепрокипяченной и охлажденной воды и титруют 0,1 н. раствором серной кислоты. Кипятят 1-2 минуты, охлаждают и в случае необходимости дотитровывают до розовой окраски (индикатор - метиловый красный).


мл 0,1 н. раствора серной кислоты соответствует 0,0023 г Na, которого в препарате в пересчете на сухое вещество должно быть не менее 10,0% и не более 11,0% [8].

Вывод: лекарственная форма «Порошок тиопентала натрия, 0,5» для приготовления раствора для внутривенного введения удовлетворяет требованиям статьи 677 «Тиопентал-натрий» ГФ Х [8].

ВЫВОДЫ


. Изучено строение лекарственных средств, производных барбитуровой кислоты. Определено, что они содержат в основе гексагидропиримидиновый цикл с тремя оксогруппами =С=О в положении 2,4,6. Производные барбитуровой кислоты за счет водородов имидных групп способны проявлять лактим-лактамную таутомерию, барбитураты имеют лактамную форму, соли барбитуратов - лактимную форму. По физическим свойствам все барбитураты представляют собой белые кристаллические вещества без запаха, горького вкуса, только тиопентал натрия имеет желтоватый оттенок и обладает слабым запахом серы.

2. Исходя из строения, предложены общие и специфические методы анализа лекарственных средств, производных барбитуровой кислоты. Установлено, что вce барбитураты с солями кобальта в присутствии кальция хлорида образуют комплексные соли сине-фиолетового цвета, по реакции с сульфатом меди можно отличить барбитураты друг от руга. Все барбитураты дают характерную реакцию на натрий. Для количественного определения барбитуратов используются различные методы: алкалиметрический метод в водно-спиртовой и неводной среде для барбитуратов, которые имеют кислотный характер, аргентометрический метод, обратная меркуриметрия, броматометрия, а также ацидиметрический метод в водной среде, который используется для натриевых солей барбитуратов, имеющих основный характер. Для определения производных барбитуровой кислоты применятся также гравиметрический метод, который для тиопентала натрия является фармакопейным.

3. В настоящее время все лекарственные средства, производные барбитуровой кислоты, отпускаются только по рецепту врача. В ГРЛС отсутствуют данные о производителях барбитала/веронала (порошок), для гексенала окончен срок действия регистрационного удостоверения. В связи с этим проведен анализ лекарственных форм промышленного изготовления: таблетки фенобарбитала 0,1; таблетки бензонала 0,1; порошка тиопентала натрия для приготовления раствора для внутривенного введения 0,5. Сделаны выводы об оценке качества изученных лекарственных форм согласно соответствующей нормативной документации (НД). При этом все лекарственные формы удовлетворяют требованиям НД.

. В проанализированных лекарственных формах хроматографический анализ используется для подтверждения подлинности лекарственных средств, определения примесей. Было установлено, что наиболее приемлемым для анализа качества таблеток фенобарбитала и бензонала является метод тонкослойной хроматографии. Для количественного определения тиопентал натрия хроматографический метод используют преимущественно в токсикологическом анализе, применяя метод ВЭЖХ.

 

СПИСОК ЛИТЕРАТУРЫ


1.       Актуальность и методические аспекты исследований по выявлению и количественному определению фенобарбитала в биологических жидкостях / А.В. Выдрицкий и др. // Лабораторная диагностика Восточная Европа. - 2012. - № 4. - С. 122-131.

2.       Борисевич, С.Н. Лабораторная диагностика острых отравлений барбитуратами / С.Н. Борисевич, О.М. Вергун, А.А. Шмигельский // Здравоохранение (Минск). - 2011. - № 4. - С. 52-55.

3.         Валиахметов Д.Р. Хроматографический метод анализа / Д.Р. Валиахметов, Т. Ф. Дехтярь // Наука и инновации в современных условиях : сб. ст. междунар. науч.-практ. конф. - Казань, 2017. - С. 17-19.

4.       Головнев, Н.Н. Структура трёх новых комплексов CO(II) с барбитуровой кислотой / Н.Н. Головнев, М.К. Лесников, Л.А. Соловьев // Современные тенденции развития науки и технологий. - 2016. - № 2. - С. 54-56.

5.       Голубицкий, Г.Б. Анализ многокомпонентных лекарственных препаратов хроматографическими методами / Г. Б. Голубицкий. - Воронеж : Научная книга, 2012. - 345 с. : ил.

6.       Государственная фармакопея Российской Федерации XII изд. [Электронный ресурс]. - Режим доступа : http://www.consultant.ru/online.

7.       Государственная фармакопея Российской Федерации XIII изд. [Электронный ресурс]. - Режим доступа : http://femb.ru/feml.

8.       Государственная фармакопея СССР X изд. - Москва : Медицина, 1968. - 1079 с.

9.       Государственная фармакопея СССР XI изд. Вып. 1 и 2. [Электронный ресурс]. - Режим доступа : http://www.consultant.ru/online.

10.       Государственный реестр лекарственных средств. Части 1 и 2 [Электронный ресурс]. - Режим доступа : http://www.consultant.ru/online.

11.     Ельцова, Н.О. Аналитические методы исследования стабильности фармацевтических композиций и совместимости их компонентов / Н.О. Ельцова, Г.Б. Голубицкий, Е.В. Будко // Журнал аналитической химии. - 2014. - № 10. - С. 1011.

.        Захарченко, М.Ю. Барбитураты, бензодиазепины, анаболические стероиды: история создания, действие, анализ / М.Ю. Захарченко, И.Н. Мельников, Д.В. Кайргалиев. - Саратов : Изд-во СГТУ им. Ю.А. Гагарина, 2015. - 190 с.

.        Зенкевич, И.Г. Новые возможности количественного хроматографического анализа методом двойного внутреннего стандарта / И.Г. Зенкевич, К.М. Королев // Аналитика и контроль. - 2014. - № 4. - С. 469-476.

.        Зенкевич, И.Г. Области применения и особенности количественного хроматографического анализа методом последовательных стандартных добавок / И.Г. Зенкевич, Т.Е. Морозова // Журнал аналитической химии. - 2014. - № 4. - С. 369.

.        Изолирование производных барбитуровой кислоты из тканей печени с применением солянокислого гидролиза / И.П. Водяков и др. // Medicus. - 2015. - № 6 (6). - С. 133-135.

.        Илларионова, Е.А. Токсиканты из группы барбитуратов / Е.А. Илларионова, И.П. Сыроватский. - Иркутск, 2013. - 32 с.

.        Кабиров, Г.Ф. Тонкослойная хроматография - экспресс метод анализа химических соединений / Г.Ф. Кабиров, Р.Г. Кадырова, Р.Р. Муллахметов // Ученые записки Казанской государственной академии ветеринарной медицины им. Н.Э. Баумана. - 2011. - Т. 205. - С. 88-94.

.        Казарцев, И.А. Определение кетамина и флуоксетина в сочетании с лекарственными препаратами / И.А. Казарцев, Л.М. Федосеева // Фармация. - 2011. - № 7. - С. 17-18.

.        Клиническая фармакология и фармакотерапия / под ред. В.Г. Кукеса, А.К. Стародубцева. - Москва : ГЭОТАР-Медиа, 2012. - 832 с.

.        Конюхов, В. Ю. Хроматография / В. Ю. Конюхов. - Санкт-Петербург : Лань, 2016 - 222 с. : ил.

.        Мелентьев, А.Б. Определение фенобарбитала и циклобарбитала в крови методом газовой хроматографии - масс спектрометрии с использованием микроэкстракции / А.Б. Мелентьев // Известия Челябинского научного центра УрО РАН. - 2004. - № 2. - С. 138-142.

.        Мельников, И.Н. Химическое исследование производных барбитуровой кислоты / И.Н. Мельников // Комплексные проблемы техносферной безопасности : материалы междунар. науч.-практ. конф. - 2016. - С. 226-236.

.        Мещерякова, С.А. Производные пиримидин-2,4-диона в синтезе гетероциклических систем / С.А. Мещерякова, Р.А. Халиков, В.А. Катаев // Вестник Башкирского университета. - 2012. - № 1. - С. 28-29.

.        Москвин, Л.Н. Что такое хроматография? Какие бывают хроматографии? / Л.Н. Москвин, Г.С. Катыхин, Н.М. Якимова // Вестник Санкт-Петербургского университета. Серия 4. Физика. Химия. - 2015. - № 3. - С. 244-268.

.        Определение фенобарбитала в моче и сыворотке человека с помощью проточно-инжекционной хемилюминесценции / К. Ли и др. // Биомедицинская химия. - 2012. - № 1. - С. 88-94.

.        Разработка унифицированной методики идентификации и количественного определения фенобарбитала в биологических объектах / А.В. Выдрицкий и др. // Лабораторная диагностика Восточная Европа. - 2013. - № 4. - С. 129-138.

.        Сычев, С. Н. Высокоэффективная жидкостная хроматография. Аналитика, физическая химия, распознавание многокомпонентных систем / С. Н. Сычев, В. А. Гаврилина. - Санкт-Петербург : Лань, 2016 - 255 с.

.        Тонкослойная хроматография при исследовании наркотических средств [Электронный ресурс] / В.И. Внуков и др. // Современные проблемы науки и образования. - 2015. - № 1 (ч.2). - Режим доступа : https://www.science-education.ru/ru/article/view?id=19878 (дата обращения: 01.02.2017).

.        Фармакопейная статья «Фенобарбитал. ФС.2.1.0041.15» [Электронный ресурс]. - Режим доступа : https://pharmacopoeia.ru/fs-2-1-0041-15-fenobarbital.

.        Фармакопейные методы определения размера частиц. Метод лазерной дифракции света в контроле гетерогенности лекарственных средств / Е.В. Успенская и др. // Здоровье и образование в XXI веке. - 2016. - № 9. - С. 112-115.

.        Фармацевтический анализ противовоспалительных и анальгезирующих лекарственных средств методом ВЭЖХ / С.Ю. Гармонов и др. // Ученые записки Казанского университета. Серия: Естественные науки. - 2010. - № 3. - С. 106-113.

.        Физико-химические методы идентификации и определения веществ / И.А. Авилова и др. - Курск, 2014. - 110 с.

.        Хацаюк, А.С. Роль и значение высокоэффективной жидкостной хроматографии в практике высокотехнологичных лабораторных исследований / А.С. Хацаюк, О.Е. Павлова, М.Э. Эхова // Здоровье. Медицинская экология. Наука. - 2016. - № 3. - С. 215-219.

.        Яшин, Я.И. Распространение хроматографии по странам мира в двадцатом веке / Я.И. Яшин, А.Я. Яшин // Сорбционные и хроматографические процессы. - 2016. - № 5. - С. 734-740.

Похожие работы на - Хроматографические методы анализа производных барбитуровой кислоты

 

Не нашли материал для своей работы?
Поможем написать уникальную работу
Без плагиата!
Без нейросетей!