Анализ конкурентной среды фармацевтического рынка
Содержание
Введение. Теория многоуровневой конкуренции
1.1 Конкуренция и методы её измерения
.2 Основные положения теории многоуровневой конкуренции
.3 Анализ существующих методов оценки уровня конкуренции
II. Анализ экономической конъюнктуры фармацевтического рынка
2.1 Мировой рынок лекарственных препаратов
.2 Характеристика фармацевтического рынка
.3 Характеристика уровней фармацевтического рынка России
.4 Характеристика фармацевтического рынка г. Санкт-Петербург
III. Анализ конкурентной среды фармацевтического рынка
3.1 Анализ ценовой среды рынка лекарственных препаратов
.2 Оценка уровня конкуренции на отдельных иерархических
уровнях фармацевтического рынка России
.3 Общие представления о многоуровневой конкуренции на
фармацевтическом рынке
Заключение
Список литературы
Приложения
Введение
Актуальность темы диссертационного исследования. Рыночную экономику
невозможно представить без конкуренции, которая, согласно мнению подавляющего
большинства теоретиков и практиков, есть благо. В реальной жизни на пути
конкуренции часто встречаются преодолимые и непреодолимые преграды, которые
обуславливают конъюнктуру рынка. Оценка степени монополизированности рынка
антимонопольными службами производится исходя их предположения, что
характеристика структуры рынка говорит об интенсивности конкуренции. Оценить
распределение рыночных сил согласно данному предположению позволяют
общепринятые инструменты, такие как индексы концентрации, коэффициенты
вариации, индексы Херфиндаля-Хиршмана, Розенблюта, Ханна-Кея и многие другие,
но такие показатели имеют не только преимущества, но и недостатки. Несмотря на
слабые стороны таких измерительных инструментов, показатели концентрации долей
широко применяются различными исследователями, аналитиками и самими участниками
рынка в виду отсутствия альтернативы. С целью составить более адекватную оценку
конкурентной среды рынка в целом предлагается условно разделить рынок на
иерархические уровни и охарактеризовать их с точки зрения конкуренции по
отдельности, используя общепринятые показатели и новые предложенные
коэффициенты, характеризующие распределение рыночных долей по уровням.
Теоретическую базу исследования составили работы таких зарубежных и
отечественных классиков экономической мысли как Азоев Г.Л. [1], Бахтеев Ю.Д.
[3], Гавриленко Н.И. [4], Кирцнер И.М. [11], Котлер Ф. [12], Портер M. [18],
Радаев В. [21], Светуньков С.Г. [33-40], Смит. А. [42], Томпсон А.А. и
Стрикленд А.Дж. [44], Третьяк О.А. [46], Фатхутдинов, Р.А. [50-51], Хашукаев
С.Ф. [56] и другие.
В исследовании выдвинута основная гипотеза, согласно которой рынок товара
в целом представляет собой многоуровневую структуру, определённую каналами
сбыта, поэтому конкуренция на нём представляет собой сложную систему,
определяемую конкуренцией на отдельных иерархических уровнях данного рынка. На
конкуренцию на каждом уровне рынка оказывает влияние конкуренция на других
уровнях рынка и на рынке в целом.
Цель исследования. Исследование теорий, методов и подходов, существующих
в современной теории конкуренции, с позиций их использования в формировании
теории многоуровневой конкуренции.
Для достижения заявленной цели исследования поставлены следующие задачи:
изучить и систематизировать подходы к определению конкуренции на рынке и
методы её оценки,
проанализировать сильные и слабые стороны каждого метода,
исследовать основные положение теории многоуровневой конкуренции,
собрать эмпирическую базу по исследуемому рынку,
выделить и описать основные особенности и тенденции исследуемого рынка,
выделить уровни исследуемого рынка,
построить модель исследуемого рынка,
провести анализ макроэкономической среды, под влиянием которой находится
исследуемый рынок,
провести анализ ценовой среды исследуемого рынка,
провести оценку конкуренции на отдельных иерархических уровнях рынка с
помощью показателей концентрации и других инструментов оценки конкуренции,
провести анализ многоуровневой конкуренции в динамике по данным за
несколько лет.
Объектом исследования выступил фармацевтический рынок России и г.
Санкт-Петербург.
Предметом исследования является оценка уровня конкуренции рынка как
многоуровневой системы.
Эмпирическую базу исследования составили ежегодные и ежемесячные
аналитические отчеты маркетингового агентства DSM Group, исследование консалтинговой фирмы KPMG, отчет исследовательской компании
GfK, отраслевой отчет Национального рейтингового агентства, реестр выданных
лицензий Комитета по здравоохранению г. Санкт-Петербург, данные
Территориального органа Росздравнадзора по г. Санкт-Петербургу и Ленинградской
области, сайты аптек и аптечных сетей г. Санкт-Петербург.
Методология и методы исследования. В диссертационном исследовании были
применены следующие общенаучные методы теоретического исследования: анализ,
индукция, моделирование; общенаучные методы эмпирического исследования -
сравнение, измерение. Специальные методы сбора информации - опрос, глубинное
интервью, исследование общедоступных информационных ресурсов.
По теме исследования была опубликована статья «Взаимозависимость степени
конкуренции на разных уровнях в многоуровневой модели рынка» в монографии
«Методологические проблемы теории многоуровневой конкуренции».
Результатом диссертационного исследования является оценка конкурентной
среды фармацевтического рынка России по данным за 2015 год с позиции концепции
многоуровневой структуры рынка, а также апробация нового показателя
распределения рыночных долей конкурентов, предложенного ученым-экономистом
Светуньковым С.Г.
I.
Теория многоуровневой конкуренции
1.1 Конкуренция и методы её
измерения
Явление конкуренции изучается в деловых кругах и среди видных ученых
деятелей, является объектом внимания научно-исследовательских институтов,
органов государственной власти. Конкуренция по-прежнему остается актуальным
предметом для обсуждения, так как не все знания все еще систематизированы, а
вопрос оценки конкуренции остается открытым и на сегодняшний день.
Такие зарубежные классики экономической мысли как У. Джевонс, И. Кицнер
[11], Ф. Котлер [12], К. Маркс, А. Маршалл [14], К. Менар, Ф. Дж. С. Милль, Г.
Мур, Ф. Найт [16], В. Ойкен, М. Портер [18], Д. Рикардо, Дж. Робинсон, А. Смит
[42], А. Дж. Стрикленд [44], А. Томпсон [44], Ф. Хайек [55], П. Хайне, Э.
Чемберлин, Й. Шумпетер [62], Г. Штакельберг [73] и Ф. Эджоурт, исследовали
сущность и проявление конкуренции. В числе деятелей российской экономической науки
звучат следующие имена ученых, посвятивших свои работы конкуренции: С.
Авдашева, Г. Азоев [1], Т. Игнатова [7], И. Князева, Р. Нуреев, Р. Фатхутдинов
[49], Н. Фонарева, С. Хашукаев [56], А. Шаститко [57], А. Юданов [63] и др.
Существуют три подхода к определению сущности и оценке уровня
конкуренции: поведенческий, структурный и функциональный.
Первый подход именуется поведенческим, так как основная мысль его
последователей заключается в том, что конкуренция выражается в соперничестве
среди субъектов рынка. Поведенческая трактовка конкуренции была впервые
предложена А. Смитом [72], который утверждал, что конкуренция является честным
соперничеством между продавцами (или потребителями) при отсутствии сговора за
наиболее выгодные условия реализации (или приобретения) товаров и услуг.
Изначально, основным инструментом реализации конкурентной борьбы считалось
изменение цен, отражающее положение участника на рынке в текущий момент, а с
развитием поведенческого подхода понимание конкуренции совершенствовалось в векторе
уточнения цели существования такой борьбы и методов её ведения.
Также идеи поведенческого подхода конкуренции прозвучали от
представителей неоклассической школы: А. Маршалла, Г. Мура, У. Джевонса и П.
Хайне, которые рассматривали конкуренцию как борьбу за ограниченное количество
экономических ресурсов и за деньги потребителя. М. Портер [71] рассматривал
поведение субъектов рынка по достижениям сокращения собственных издержек и
дифференциации свойств производимых товаров и услуг с учетом того, что состояние
конкуренции на рынке неизбежно подвержено влиянию прочих внешних факторов.
Стоит отметить, что для выделения именно поведенческого аспекта конкуренции её
часто называют соперничеством («rivalry»).
Ниже представлены определения конкуренции согласно поведенческому
подходу:
«Конкуренция - это динамический, постоянно изменяющийся процесс,
сопровождающийся новыми наступательными и оборонительными действиями компаний и
переносом акцента с одних видов конкурентной борьбы на другие», - А. Томпсон и
А. Дж. Стрикленд [44];
«Конкуренция - это поведение компаний, направленное на борьбу за деньги
потребителей и их максимальное удовлетворение», - Ф. Котлер [12];
«Конкуренция - это соперничество на каком-либо поприще между отдельными
юридическими или физическими лицами, заинтересованными в достижении одной и той
же цели», - Г. Азоев [1];
«Конкуренция - это объективная социально-экономическая категория,
выражающая отношения между товаропроизводителями по поводу обеспечения наиболее
выгодных условий производства и сбыта производимой продукции в целях повышения
эффективности предпринимательской деятельности», - С. Хашукаев [56];
«Конкуренция - это процесс управления субъектом своими конкурентными
преимуществами на конкретном рынке (территории) для одержания победы или достижения
других целей в борьбе с конкурентами за удовлетворение объективных и
субъективных потребностей в рамках законодательства либо в естественных
условиях», - Р. Фатхутдинов [49].
«Конкуренция - соперничество хозяйствующих субъектов, при котором самостоятельными
действиями каждого из них исключается или ограничивается возможность каждого из
них в одностороннем порядке воздействовать на общие условия обращения товаров
на соответствующем товарном рынке», - статья 4 ФЗ N 135-ФЗ от 26.07.2006 (ред. от 03.07.2016) «О защите
конкуренции» [51].
В соответствии со вторым - структурным - подходом уровень конкуренции
напрямую связан со структурой, а именно, с количеством участников на рынке и с
соответствующими им долями. Такая трактовка восходит к работам таких крупнейших
ученых, как А. Курно, Дж. Робинсон, Э. Чемберлин, Ф. Эджоурт и других. В
фундаменте классификаций рынков лежат следующие типы конкуренции: монополия,
олигополия, монополистическая конкуренция, чистая конкуренция и совершенная
конкуренция.
При наличии единственного продавца говорят о монополии. В условиях
олигополии на рынке действуют несколько участников, владеющие значительными
долями рынка. Для монополистической конкуренции характерно множество
участников, обладающих незначительным уникальным преимуществом, выгодно
отличающих их друг от друга в глазах потребителя. Чистая конкуренция - это
идеализированный рынок, на котором работает множество продавцов, не имеющих
никаких конкурентных преимуществ друг перед другом. Совершенная конкуренция
обладает пятью признаками [40], к числу которых относятся:
однородность товаров и услуг;
множество фирм-участников, действующих на рынке;
отсутствие влияния на рыночные цены со стороны участников рынка
(продавцов и покупателей);
среда абсолютной информированности (о характеристиках товаров и ценах на
них) среди всех участников рынка;
отсутствие барьеров на рынке для входа и выхода.
Согласно данному подходу конкуренция является состоянием рынка, на
котором продается однородные товары множеством фирм, при этом число участников
настолько велико, что ни один субъект не способен повлиять на цену через
изменение своего объема реализации, а значит, конкурирующие фирмы лишены
существенной рыночной власти. Классификацию рынков проводят по таким критериям,
как число продавцов, их доли на рынке. Структурная трактовка является более
распространенной среди всех трех подходов, поэтому сам термин «конкуренция» («competition») используется в большей мере в
структурном аспекте.
Приверженцы данного подхода дают следующие определения конкуренции:
«Конкуренция - это взаимодействие множества независимых хозяйственных
единиц, действующих в условиях неопределенности», - Ф. Найт [16];
«Конкуренция - это борьба двух и более фирм, когда каждая предполагает,
что объем производства ее конкурентов будет оставаться неизменным», - А. Курно;
«Конкуренция - это борьба товаропроизводителей за ограниченный объем
платежеспособного спроса потребителей, ведущаяся субъектами на доступных им
сегментах рынка», - А. Юданов. [63]
Интересно, что Н. Третьяк не исключает существование нескольких типов
конкуренции на одном рынке с учетом деления фирм по их долям на кластеры. [45]
Изучением и систематизацией видов структур рынка с целью выявления уровня
конкуренции занимался немецкий ученый-экономист Г. фон Штакельберг (1934 г.).
[73] Результатом такой систематизации стал перечень с девятью типами рынков по
числу действующих участников (покупателей и продавцов) от двусторонней
монополии до двусторонней полиполии (Таблица 1.1). Деление количества субъектов
на «много», «несколько», «один» не вполне удовлетворяет требованиям точности
оценки конкуренции, однако подойдет для условного разграничения на типы
конкуренции на рынке.
Все взаимоотношения на любом уровне рынка можно рассматривать с позиции
взаимодействия продавца и покупателя. Например, на рынке оптового сбыта
продавцом будет являться оптовый продавец, а покупателем - розничный или более
мелкий оптовый продавец; на уровне производства продавцом может быть оптовый
продавец сырья по отношению к производителю или производитель по отношению к
крупному оптовому продавцу, закупающему готовую продукцию напрямую у
производителя.
фармацевтический рынок
ценовой конкуренция
Таблица 1.1
Типы строения рынков по Г. фон Штакельбергу (1934 г.)
|
Покупатели
|
Продавцы
|
|
Много
|
Несколько
|
Один
|
|
Много
|
Двухсторонняя полиполия
|
Олигополия
|
Монополия
|
|
Несколько
|
Олигопсония
|
Двусторонняя олигополия
|
Монополия, ограниченная
олигополией
|
|
Один
|
Монопсония
|
Монопсония, ограниченная
олигополией
|
Двусторонняя монополия
|
Изучение вида структуры рынка помогает в выявлении состояния рыночной
среды и уровня конкуренции, а также может стать обоснованием необходимости
государственного вмешательства в ход развития рыночных отношений (например,
протекционизм или антимонопольное регулирование).
Третьим подходом является функциональный. Конкуренция, согласно третьему
подходу, исследуется как сила, уравновешивающая рыночную цену и обеспечивающая
взаимодействие спроса и предложения. Согласно функциональному подходу сущность
конкуренции выражается в реализуемых ею функциях, другими словами, конкуренция
выступает как сила, уравновешивающая рыночную цену и обеспечивающая
взаимодействие спроса и предложения.
Сущность обязательного рыночного механизма проявляется через его функции,
к которым относят регулирующую, аллокационную, инновационную, адаптационную,
распределительную и контролирующую. Регулирующая функция конкуренции
проявляется в воздействии на предложение, в результате которого уровень
производства стремится к оптимальному соответствию с уровнем потребления.
Аллокационная функция (функция размещения) конкуренции выражается в стремлении
к эффективному распределению факторов производства на наиболее выгодных
территориях. Инновационная функция проявляется в стремлении игроков рынка к
новаторству на основе достижения научно-технического прогресса. Адаптационная
функция реализуется через рациональное приспособление предприятий к условиям
внешней и внутренней среды. Распределительная функция конкуренции оказывает
прямое и косвенное воздействие на распределение всего объема произведенных благ
среди всех потребителей. Контролирующая функция помогает нивелировать
монополистический диктат отдельных участников рынка над другими. Таким образом,
реализуемые конкуренцией функции обусловливают развитие рынка в виде
саморегулирующейся и самокорректирующейся системы, которая отражает сущность
рыночной экономики.
Существует множество определений в том числе соответствующих
функциональному видению явления конкуренции:
«Конкуренция - это совокупность взаимосвязанных попыток продавцов
установить контроль на рынке в долгосрочной перспективе; «невидимая рука»
рынка, которая координирует деятельность его участников», - А. Смит [72];
«Конкуренция - это процесс, посредством которого люди получают и передают
знания», - Ф. Хайек [55];
«Конкуренция - это динамический процесс, который ведет к открытию нового
товара, новой технологии», - Й. Шумпетер [62];
«Конкуренция - это процесс обнаружения нового - новых возможностей и
способов их удовлетворения», - И. Кирцнер [11];
«Конкуренция - это способ адаптации действующих на рынках субъектов к
изменяющимся обстоятельствам экономических обменов посредством обнаружения
новых возможностей использования известных ресурсов, а также открытия новых
ресурсов», - А. Шаститко [58];
«Конкуренция приводит к обогащению среды и росту собственного потенциала
не только у победителей, но и у значительной части участников конкуренции», -
А. Шмелев [60].
Согласно концепции многоуровневой структуры рынка, как части структурного
подхода, можно дать следующее определение конкуренции - это ситуация на рынке,
обусловленная взаимосвязями участников рынка на всех его уровнях, с учётом
конкурентной среды на каждом уровне исследуемого рынка.
Подходы к определению конкуренции не являются взаимоисключающими, а
наоборот, дополняют друг друга, описывая многогранное явление конкуренции.
Каждый подход находит своё лучшее применение в решении определенных задач
исследователя. Например, поведенческих подход находит применение при
обосновании методов конкурентной борьбы, для установления принципов выбора
стратегии конкурентного взаимодействия на рынке. В целях оценки уровня
конкуренции на рынке целесообразно применять структурный подход, а для
определения роли конкуренции и обосновании внесения изменений в деятельность
фирмы в виде инноваций подходит функциональная интерпретация конкуренции.
.1. Основные положения теории многоуровневой конкуренции
Изучением такого важнейшего фактора рыночного механизма как конкуренция
занималось множество различных школ, на разных этапах развития научной мысли в
области конкуренции возникали всё новые подходы. Теория многоуровневой
конкуренции не имеет аналогов в мировой экономической литературе и на данный
момент находится на этапе становления, поэтому мало изучена. Основные постулаты
теории многоуровневой конкуренции позволяют выделить данное направление среди
остальных учений о конкуренции в рыночных структурах. К предпосылкам к изучению
конкуренции с учетом уровней рынка относят тот факт, что встреча потребителя и
производителя согласно классическому подходу к вопросу соотношения спроса и
предложения не происходит в подавляющем большинстве случаев. Современная
ситуация на рынке ярко контрастирует с той, что главенствовала во времена Адама
Смита, стоящего у истоков теории конкуренции, которая базировалась на идее о пересечении
реального предложения (производителя) и реального спроса (покупателя). Иными
словами, согласно теории многоуровневой конкуренции, структура рынка такова,
что между конечным потребителем и производителем существует как минимум один
посредник, воплощающий собой один из уровней рынка, будучи его частью, что в
свою очередь предопределяет многоуровневый характер конкуренции.
Каждый уровень последовательного распределения товара характеризует собой
соответствующий уровень рынка. Интенсивность конкуренции на разных уровнях
может различно влиять на конкуренцию рынка в целом и на отдельные
взаимозависимые уровни в частности. Любой рынок можно рассмотреть в виде, как
минимум, двух уровней - оптовый (B2B) и розничный (B2C) рынок. Таким образом,
исследование конкуренции согласно подходу Светунькова С.Г. [39], представляется
в многоуровневой структуре производитель-посредник-конечный покупатель.
Процессы, протекающие на оптовом рынке, характеризуются отличными от
розничного рынка признаками. Это обусловлено тем, что на разных уровнях
взаимодействуют различные субъекты, чья роль меняется от уровня к уровню, где
действуют определенные правила, и решения принимаются с учетом разных факторов,
потребности и запросы субъектов имеют различные масштабы. Учитывая упомянутые
различия, следует сделать вывод, что каждый из уровней, являясь элементом одной
системы, достоин отдельного рассмотрения.
Рассмотрим частный случай многоуровневой конкуренции, когда субъект
представляет собой интегрированную структуру, состоящую из дочерних фирм,
которые являются участниками конкурентной борьбы на различных рынках. Такой
результат вертикальной интеграции не отменяет сущность многоуровневого рынка, а
лишь дает преимущества в виде дополнительных, часто нематериальных преимуществ,
которые определяют конкурентоспособность и прибыль субъекта.
Другой частный случай - широкое распространение аутсорсинговых компаний.
Разветвление видов деятельности и специализация групп компаний способствуют
тому, что возникают новые уровни рынка, достойные отдельного изучения.
Важность изучения рынка с точки зрения многоуровневой структуры
объясняется тем, что положение субъекта на рынке B2C во многом
обусловлено конкурентным положением на предыдущих уровнях рынка (на предыдущих
звеньях цепочки создания ценности).
Множество комбинаций конкурентных ситуаций на разных уровнях одного рынка
требуют систематизации для приближения теоретической оценки интенсивности
конкуренции к реальной ситуации и для возможности достоверных (надежных)
прогнозов. [39]
Комбинации могут быть составлены с учетом того, что все взаимоотношения
на любом уровне рынка возможно рассматривать с позиции взаимодействия продавца
и покупателя. Например, на рынке оптового сбыта продавцом будет являться
оптовый продавец, а покупателем - розничный или более мелкий оптовый продавец;
на уровне производства продавцом может быть оптовый продавец сырья по отношению
к производителю или производитель по отношению к крупному оптовому продавцу,
закупающему готовую продукцию напрямую у производителя. Влияние числа игроков
на поведенческие факторы и проявление рыночной власти и конкурентной борьбы
рассмотрим на примере уровня B2B.
Классификация Г. фон Штакельберга [73] изначально была предусмотрена для
сектора B2B, однако и на розничном рынке с учетом применения сегментного
подхода можно применить структурную типологию. Существует необходимость
рассмотреть отдельные ситуации рыночной конъюнктуры для адаптации подхода к
розничному рынку. Например, монопсония подразумевает наличие единственного
потребителя, но в условиях реального рынка работа, выполненная «под заказ» для
одного субъекта, будет аналогична работам по другим индивидуальным заказам.
Сущность выпущенных единичных товаров или предоставленных услуг не влияет на
количество потребителей, желающих приобрести благо, следовательно, такой рынок
не характеризуется монопсонией. Если в виду технологических ограничений,
уникальных характеристик потребителя, спрос в действительности единичный, то
предложение будет стремиться к такому же числу, а значит, скорее возникает ситуация
монопсонии, ограниченной олигополией, или двусторонней монополии.
Примем допущение, что число розничных продавцов (оптовых покупателей)
достаточно, чтобы назвать этот рынок конкурентным. С учетом упомянутого
допущения рассмотрим 9 возможных ситуаций, возникающих вследствие комбинации
двух типов рыночных структур на рынке оптовых продавцов и рынке производителей.
Рассмотрим типы рыночных структур на рынке оптовых продавцов и рынке
производителей подробнее:
) монополия на рынке оптового продавца и на рынке производителя
(двусторонняя монополия) может сложиться с большой вероятностью лишь временно.
Производитель передаёт задачу сбыта и распределения партнеру, с которым имеет
тесные и долгосрочные связи. Вероятны два варианта развития ситуации: первая -
производитель впоследствии выделит персонал и средства на осуществление
самостоятельного первоначального сбыта (например, с помощью дочерней компании
или отдела сбыта), вторая - мощный оптовый посредник установит деловые связи с
производителями товаров другого рода со сходным рынком сбыта. Существование
монополии на рынке оптового продавца не исключает возникновения других типов
рыночной структуры на уровне «ниже»: например, оптовик-монополист продает товар
более мелким оптовикам, среди которых может вестись ожесточенная конкурентная
борьба. В ситуации двусторонней монополии рыночной силой обладают оба субъекта.
В случае, например, разветвленной логистической сети и наличия дорогостоящего
оборудования и недвижимости оптовый посредник может диктовать условия сотрудничества.
При условии высокого спроса на товар на рынке и достаточных или соизмеримых
финансовых резервов производителя для создания собственной системы сбыта,
превосходящей рыночной силой будет обладать производитель. Стоит отметить, что
в эпоху глобализации (а именно, повсеместного использования сети Интернет в B2B секторе) у производителя есть возможность использовать
альтернативные пути сбыта своей продукции, а значит, больше возможностей
инициировать условия партнерства. Цена на розничном рынке находится под
влиянием отдельных субъектов, так как сила конкуренции на первых этапах сбыта
отсутствует.
) монополия на рынке оптового продавца и олигополия на рынке
производителя (монопсония, ограниченная олигополией). Монополистическое
положение оптового продавца позволяет ему концентрировать в своём предприятии
существенную часть прибыли благодаря рыночной власти. Участники
олигополистичного рынка - производители - борются за большие объемы реализации,
стимулируя оптового продавца (применение push-стратегии), а также воздействуя на рынок В2С (pull-стратегия). Благоприятный для рынка
результат конкуренции, выраженный в цене на продукт, среди крупных
производителей может быть компенсирован действиями единственного сбытового
посредника. Также посредник имеет власть над распределением конкурентных сил
между производителями, поэтому производители будут стремиться выйти из-под
контроля партнера по сбыту или, наоборот, иметь скрытые договоренности.
) монополия на рынке оптового продавца и конкуренция на рынке
производителя (монопсония). Условия на рынке сходные с монопсонией,
ограниченной олигополией, но со следующими особенностями: конкуренция среди
производителей может трансформироваться в олигополию с высокими входными
барьерами на рынок. Барьером в данном случае может выступить контакт с оптовым
посредником.
) олигополия на рынке оптового продавца и монополия на рынке
производителя (монополия, ограниченная олигопсонией). Производитель может
руководствоваться преференциальной или единой сбытовой политикой, воздействуя
на конкурентное положение посредников, однако это воздействие в большей степени
распространяется на реализацию собственного выпускаемого товара.
) олигополия на рынке оптового продавца и олигополия на рынке
производителя (двусторонняя олигополия). Структура взаимосвязей может быть
различной (производитель работает со всеми или с избранными посредниками), а
конкуренция может быть межуровневой, например, когда к противостоянию между
прямыми конкурентами подключаются партнеры из других уровней (например, совместные
проекты и программы продвижения и пр.).
) олигополия на рынке оптового продавца и конкуренция на рынке
производителя (олигопсония) может считаться благоприятным условием для рынка в
целом, при условии добросовестной конкуренции среди оптовых продавцов,
отсутствии сговора и прочих негативных проявлениях рыночной власти.
) конкуренция на рынке оптового продавца и монополия на рынке
производителя. Рыночная власть производителя подкрепляется наличием
бесперебойного сбыта. Такая ситуация на рынке обусловлена тем, что
производитель не задается вопросом о качественной стороне сбыта: нет
сертифицированных посредников, имеющих право на продажу товара. Отсутствие
четкой сбытовой политики может спровоцировать сбытовую сеть на сговор, тем
самым создавая резерв для входа на рынок других производителей за счет
завышенной розничной цены.
) конкуренция среди оптовых продавцов и олигополия на рынке
производителя. В условиях олигополии производители выпускают соизмеримый объем
продукции и стремятся к его увеличению через мотивацию сбытовых посредников и
совершенствуя комплекс маркетинга для воздействия на потребительские
предпочтения. В условиях конкуренции среди сбытовых посредников удается
сохранить конкурентную конечную стоимость товара, а крупные производители стремятся
в равной конкурентной борьбе улучшить и прочие характеристики продукции, а
также совершенствовать маркетинговое сопровождение.
) конкуренция на рынке оптового продавца и конкуренция на рынке
производителя (двухсторонняя полиполия). В условиях существования конкурентной
среды преградами могут служить инфраструктурные, информационные барьеры,
создавая при этом ограничения для свободной конкуренции.
В упрощенной модели рынка, где действуют такие субъекты, как поставщик
сырья, производитель, оптовый посредник, розничный посредник и конечный
потребитель существует четыре прямых связи, которые и знаменуют собой
возникновение отдельного уровня рынка. Для того, чтобы выяснить, как уровень
конкуренции на отдельных уровнях может влиять на уровень конкуренции рынка в
целом, необходимо рассмотреть все возможные комбинации для выявления
взаимосвязи степени конкуренции на разных уровнях в многоуровневой модели
рынка. Для упрощенной модели с четырьмя уровнями рынка необходимо рассмотреть
81 комбинацию структур, т. е.
(где x -
количество уровней, а 3 - число рассматриваемых типов структуры рынка (от
монополии до конкуренции), которое может впоследствии увеличиться с вводом
новой характеристики в оценочную шкалу). [15]
1.2 Анализ существующих методов оценки уровня конкуренции
Существует ряд подходов к оценке интенсивности и характера конкуренции на
рынке, а также к определению влияния конкурентного взаимодействия субъектов
рынка на их экономические результаты.
Согласно структурному подходу концентрация участников рынка обуславливает
интенсивность конкурентного взаимодействия: высокий уровень концентрации
обуславливает большую зависимость (взаимозависимость) субъектов от поведения
друг друга. Другими словами, от рыночной реакции конкурентов зависит свобода
действий фирм-участников.
Вычисление значений уровня концентрации основано на сопоставлении одного
из показателей размера субъекта с общей величиной исследуемого рынка в целом,
которому принадлежит такой субъект. В различных источниках применяется
множество показателей, которые лежат в основе оценки, например, доля продаж
предприятия в суммарном рыночном объеме реализации, доля производства в валовом
объеме производства на однородном товарном рынке, доля занятых на предприятии в
численности занятых в производстве данного продукта в целом по рынку, доля
стоимости активов в совокупной стоимости активов всех фирм на исследуемом
рынке, доля добавленной стоимости на предприятии в сумме добавленной стоимости
всех производителей, действующих на рынке. [59]
Рассмотрим основные показатели концентрации рыночных долей конкурирующих
фирм (табл. 1.2).
Таблица 1.2
Определение показателей концентрации
|
Показатели концентрации
|
Нижняя граница (минимальная
концентрация)
|
Верхняя граница
(максимальная концентрация)
|
|
Индекс концентрации
|
0
|
1
|
|
Коэффициент
Херфиндаля-Хиршмана
|
0
|
1
|
|
Индекс Ханна-Кея
|
0
|
1
|
|
Коэффициент Розенблюта
|
|
1
|
|
Показатель энтропии
|
|
0
|
|
Коэффициент Джини
|
0
|
|
|
Коэффициент вариации
|
0
|
|
|
Индекс Линда
|
|
∞
|
|
Коэффициент Папандреу
|
0
|
1
|
Примечание: n - общее число
единиц в области наблюдения.
Очевидно, используя разные показатели для оценки степени концентрации,
исследователь получает несопоставимые между собой результаты, иными словами,
выбор показателя существенно влияет на получаемую оценку. Примером такого
несоответствия может служить оценка крупных компаний, применяющих капиталоемкие
технологии, наряду с более мелкими предприятиями с использованием всех
показателей. Результат оценки по доле занятых на предприятии в численности
занятых в производстве данного продукта в целом по рынку покажет, что уровень
совокупной концентрации гораздо ниже, чем по другим показателям. [59]
Для определения уровня концентрации чаще всего используют индекс
концентрации
(concentration ratios), который отражает долю признака
концентрации i наиболее крупных субъектов исследования. Преимуществом
использования индекса (или иначе его называют дискретным показателем
концентрации) является легкость расчета, наглядность, простота математического
построения и доступность для понимания.
Однако индекс не лишен недостатков, к числу которых относят
произвольность выбора числа изучаемых субъектов (так
рассчитывается и отслеживается
национальной статистикой США и Франции для 4, 8, 20, 50, 100, в ФРГ, Англии и
Канаде - для 3, 6, 10, в России - для 3, 4, 6, 8 ведущих предприятий рынка).
Еще одним недостатком выступает не сплошное исследование, а изучение только
ряда (количество, равное i) крупных фирм, при этом индивидуальные значения
признака и число мелких предприятий оказываются неучтенными. Решение о выборе
количества учитываемых предприятий не обосновано; решить этот вопрос, возможно
с помощью коэффициентов, используемых в теории вероятности, исходя из общего
числа участников и требуемого уровня достоверности. Слабым местом индекса
является тот факт, что он не отображает распределение долей рынка между
конкурентами, хотя этот фактор способен иметь принципиальное значение для
результатов исследования концентрации на рассматриваемом рынке.
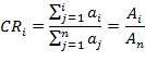
Индекс концентрации решает задачу сопоставления уровней концентрации
различных рынков и отраслей (при условии применения сопоставимых показателей),
помогает отследить динамику конкурентной среды, а также выявить, за счет каких
субъектов произошло изменение распределения рыночной власти.
Распределение рыночных долей среди конкурирующих фирм оценивается
индексом Херфиндаля-Хиршмана (HHI - Herfindahl-Hirschman index) путем расчета суммы квадратов рыночных долей
конкурирующих субъектов. Использование HHI позволяет дополнить оценку на основе
. Индекс Херфиндаля-Хиршмана
позволяет оценить уровень монополизации конкретного рынка, поэтому в ряде стран
(в частности в США) он используется как показатель, определяющий необходимость
получения разрешения на слияния и поглощения антимонопольной службой.
В случае чистой монополии, когда отрасль состоит из одной фирмы, HHI=1.
Для двух фирм с равными долями HHI=
= 0,5, для 100 фирм с долей в 1 % HHI
= 0,01. Таким образом индекс Херфиндаля-Хиршмана реагирует на рыночную долю
каждой фирмы в отрасли. Индекс Херфиндаля-Хиршмана ограничен сверху 1.
Разумеется, крайне редко встречается ситуация, когда можно четко
определить абсолютно всех участников рынка и их рыночные доли, поэтому на
практике учитываются только самые крупные игроки в порядке убывания их рыночной
доли (влияния). Игроки с крайне низкими значениями рыночной доли не оказывают
существенного влияния на подсчет значения индекса. Иными словами, с добавлением
все более мелкого конкурирующего субъекта значение индекса перестаёт
существенно изменяться.
Чем выше значение HHI,
тем менее выражена конкуренция на исследуемом рынке. Условно выделяют три типа
рынка по степени концентрации рыночной власти - высококонцентрированные,
умеренно концентрированные и низко концентрированные рынки (табл. 1.3).
Таблица 1.3
Типы рынков по степени концентрации
|
Высококонцентрированные
рынки
|
При 70 % < < 100 % 0.2 < HHI
< 1
|
При 80 % < < 100 % 0.18 < HHI
< 1
|
|
Умеренно концентрированные
рынки
|
При 45 % < < 70 % 0.1 < HHI < 0.2
|
При 45 % < < 80 % 0.1 < HHI < 0.18
|
|
Низко концентрированные
рынки
|
При < 45 % HHI < 0.1
|
При < 45 % 0.18 < HHI < 0.1
|
Имеющиеся статистические данные показывают, что существует высокая
степень зависимости между различными показателями концентрации: корреляция
между
и HHI, определенная по 437 отраслям
американской промышленности, составляла 0,954. Еще более высокое значение
корреляции - 0,992 - было получено при использовании логарифмов HHI и
.
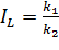
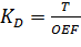
Индекс Ханна-Кея (Hannah‐Kay index) аналогичен индексу Херфиндаля-Хиршмана, но
позволяет присваивать различные веса фирмам отрасли. Главное достоинство
индекса перед HHI - это возможность присвоить больший
вес более крупным фирмам, функционирующим на рынке, увеличив значения α.
При α=2
индекс Ханна-Кея
совпадает с индексом Херфиндаля-Хиршмана. Значение индекса лежит в пределах от
0 до 1.
(1)
,
где δ - доля i-той фирмы на рынке, α - положительная константа, подбираемая
в зависимости от целей исследования n - число фирм на рынке.
Индекс Розенблюта (
), иначе именуемый как коэффициент Холла-Тайдмана (HT), рассчитывается с учетом порядковых
номеров (рангов) рассматриваемых фирм, расставленных по убыванию.
(2)
где НТ - ранговый индекс концентрации;
- ранг i-й предпринимательской фирмы
на рынке одноимённых товаров (по убывающей, самая крупная фирма имеет ранг 1);
- доля продаж i-й
предпринимательской фирмы на рынке одноимённых товаров.
Ранговый индекс НТ изменяется в пределах
, где n - число конкурентов на данном
секторе рынка. Чем меньше значение индекса, тем рынок более конкурентный. При
максимальном значении индекса (НТ=1) один из субъектов исследуемого рынка
находится в монопольной позиции.
По экономическому смыслу данный показатель близок по значению к
коэффициенту Херфиндаля-Хиршмана (HHI). Очевидным достоинством перед HHI индекса Розенблюта является
возможность учесть соотношения объемов продаж крупнейших субъектов рынка.
Показатель энтропии может служить дополнительным показателем уровня
концентрации, определяя степень хаотичности и неупорядоченности рынка по долям
конкурентов. Энтропия показывает среднюю долю исследуемых субъектов, взвешенную
по натуральному логарифму обратной ей величины. В экономической литературе
представлены разные методики расчета данного показателя, однако вне зависимости
от метода, значения позволяют анализировать тенденции на рынке за исследуемый период,
а также подходит для сопоставления рынков. Для сравнения показателей энтропии
на разных рынках часто используют относительный показатель энтропии:
Коэффициент энтропии позволяет более глубоко исследовать уровень и
динамику рыночной концентрации, поскольку характеризует степень деконцентрации
(показатель, обратный концентрации): чем выше значение Е, тем больше
экономическая неопределенность и ниже уровень концентрации продавцов на рынке,
и чем выше показатель энтропии, тем ниже возможности продавцов влиять на
рыночную цену.
Коэффициент Джини (G - Gini coefficient) - это количественный показатель,
отражающий степень неравенства различных вариантов распределения доходов,
разработанный итальянским экономистом, статистиком и демографом Коррадо Джини
(1884-1965 гг.). На рисунке (рис. 1.1) линия OABCDE показывает фактическое
распределение совокупного дохода. Коэффициент G получается путем деления
площади между кривой Лоренца и главной диагональю на общую площадь треугольника,
образуемого ординатой, горизонтальной прямой на уровне 100 %-й отметки на оси
ординат и диагональю. Коэффициент Джини принимает нулевое значение при
равномерном распределении показателей. Для измерения неравномерности не играет
роли, распределяется ли все значение признака среди большого или малого числа
единиц.
Рисунок 1.1 Графическое изображение расчета коэффициента Джини
Заштрихованная площадь показывает степень неравенства в распределении
доходов. Обозначим ее через Т. Разделив Т на площадь треугольника OEF, получим
коэффициент Джини, показатель степени неравенства доходов:
(3)
Преимуществом использования коэффициента Джини является возможность
сравнивать распределения признака в разных совокупностях с неравным числом
исследуемых единиц. Другой положительной стороной индекса выступает возможность
его применения для отслеживания динамики неравномерности распределения долей на
рынке в разных временных промежутках.
Вольность определения квантилей в основе измерений можно отнести к
ограничениям показателя, влекущее проблемы с сопоставлением результатов и
лишающее его такого свойства, как универсальность: так, чем на большее
количество групп поделен один и тот же рынок (больше квантилей), тем выше для
него значение коэффициента Джини. Также, прямые выводы из сравнения
коэффициентов могут привести к ошибочным оценкам в связи с его диапазонной
асимметричностью, когда площадь между кривой Лоренца и диагональю одинаковая
для различных форм кривой Лоренца, следовательно, и коэффициент Джини как мера
этой площади тоже принимает одинаковые значения, но соотношения в размерах
единиц, входящих в рассматриваемую область, могут быть неидентичны.
К числу инструментов, имеющих сходство с коэффициентом Джини, также
относятся индекс Аткинсна и индекс Тейла.
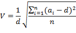
Еще один показатель относительной концентрации - коэффициент вариации (V)
- характеризует степень отклонения значений признака (долей) конкурирующих фирм
от средней величины на исследуемом рынке, а также характеризует возможную
рыночную власть участников рынка. Расчет коэффициента вариации производится в
неразрывной связи с расчетом дисперсии логарифмов рыночных долей для
определения относительной оценки. Чем ниже коэффициент вариации, тем равномернее
распределение объема производства или продаж между предприятиями и ниже уровень
концентрации (только при условии наличия множества фирм на одном рынке).
Коэффициент V не может быть использован
самостоятельно, так как является дополнением к основному индексу. Этот факт
обусловлен тем, что коэффициент вариации в паре с дисперсией не отражают
объективных размеров долей рассматриваемых фирм, а также нет возможности
определить число субъектов по данному показателю, так как коэффициент является
«безразмерным». Например, на рынке может функционировать одна, три или 100
фирм, если при этом у каждой из них будут равные доли, в результате расчетов
коэффициент вариации будет равен нулю во всех случаях, а степень концентрации,
очевидно, - различной.
Концентрация на отраслевом рынке достаточно часто оценивается с позиции
неравномерности распределения единиц совокупности по уровню признака. В странах
Европейского Экономического Союза для анализа рыночных структур широко
используется индекс, предложенный сотрудником Комиссии ЕЭС в Брюсселе Ремо
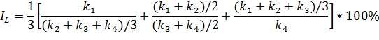
Линда. Индекс Линда представляет собой целую систему индексов концентрации:
кумулятивные доли значений признака для наиболее крупных единиц (для самого
большого, для двух самых больших, для трех самых больших и т. д.), ранжированных
по возрастанию, соотносятся с соответствующими долями значения признака для
оставшихся (более мелких) единиц рассматриваемой области n* (n*n). Определение
границ товарного рынка является принципиальным вопросом в анализе рыночных
структур. Обычно рекомендуется начинать с изучения рынка данного товара, затем
принять во внимание наличие товаров-заменителей, затем расширить анализ,
включив в него заменители этих заменителей, и т. д., до тех пор, пока не
появится определенный разрыв в отношениях заменимости. Этот разрыв и образует
границы рынка. Коэффициент Линда используется для определения границ олигополии
(для рынка с 2-мя или 3-мя олигопольными участниками дается характеристика
жесткой олигополии, для 6-7 фирм - размытой).
Этот индекс обладает сходными чертами с индексом концентрации, так как
рассчитывается лишь для нескольких крупнейших фирм и обходит вниманием менее
крупных участников. Однако в отличие от индекса концентрации он ориентирован на
учет различий в группе самых значительных фирм рынка.
Для двух крупнейших фирм он равен процентному отношению их рыночных
долей:
*100%
Если
= 50%,
= 25%, то
= 200%.
Для трех крупнейших фирм индекс Линда определяется по формуле:
Для четырех фирм:
При последовательном расчете для j = 1, 2, ..., n*-1 крупных предприятий
данный метод дает EQj коэффициентов. Отношение EQj, называемое олигополическим
равновесием, характеризует среднюю долю признака наиболее крупных единиц в
сравнении со средней долей признака остальных более мелких хозяйственных
субъектов. Индекс Линда Ln* для n* наблюдаемых крупных предприятий (2n* < n)
- это арифметическая средняя из n*-1 отношения EQj, поделенного на число
наблюдаемых единиц n*. Таким образом, для каждого n* может быть определен
индекс Ln. В случае равных по размеру единиц индексы Линда образуют ряд
монотонно убывающих значений в n* с
. Если единицы n различны по размеру,
то индексная система показывает скачок в размере единиц в точке
(
единиц образуют «ядро олигополиса»),
в которой индекс впервые принимает минимальное значение.
Папандреу в 1949 году предложил свой коэффициент, называемый
коэффициентом проникновения, который показывает, на сколько процентов изменится
объем продаж фирмы при изменении цены конкурента на один процент. Коэффициент
основывается на концепции перекрестной эластичности остаточного спроса на товар
фирмы. Формула коэффициента показателя монопольной власти Папандреу выглядит
так:
(4)
где Qdi - объем спроса на товар фирмы, обладающей монопольной властью, Pj
- цена конкурента,
- коэффициент ограниченности мощности конкурентов, измеряемый
как отношение потенциального увеличения выпуска к росту объема спроса на их
товар, вызванного понижением цены. Он варьируется в пределах от 0 до 1.
На рынке совершенной конкуренции эластичность остаточного спроса на товар
фирмы стремится к нулю.
Выражение
отражает перекрестную эластичность спроса на товар фирмы,
его величина отражает возможность переключения спроса потребителей на товар
конкурентов. Сомножитель
характеризует способность конкурентов воспользоваться
увеличением спроса на их продукцию. Чем ниже любой из сомножителей, тем выше
монопольная власть фирмы.
Без учета сопутствующих факторов (числа фирм на рынке и степени
заменимости товара рассматриваемого субъекта и товаров других участников) сам
по себе коэффициент не может служить показателем монопольной власти.
Интересно, что индекс Папандреу практически не используется в прикладных
исследованиях, однако способен учесть две грани монопольной власти: наличие
товаров-заменителей на рынке и ограниченность мощности конкурентов (или
возможность их проникновения в отрасль).
Индекс Херфиндаля-Хиршмана, коэффициент Розенблюта и показатель энтропии
в целом сходны между собой, за исключением показателя, лежащего в основе
взвешивания значений: в HHI значения конкурирующих фирм взвешиваются по их
доле, для
используется ранговое число (крупные единицы входят в расчет
с меньшим весом, чем мелкие), показатель энтропии (E) взвешивает по натуральному логарифму от обратной величины
доли фирмы на рынке. Выбор показателя для взвешивания единиц измерения влияет
на получаемый результат: так, HHI
практически не зависит от малых фирм, в отличие от
, а использование E позволяет нивелировать более
значимое положение самых крупных участников рынка перед мелкими фирмами.
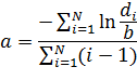
В сравнительно недавних публикациях ученого-экономиста С. Светунькова был
представлен новый подход к оценке уровню концентрации на рынке, согласно
которому доля крупнейшего участника рынка d1=b, и коэффициент a в разрезе уравнения, описывающего
распределение долей участников (простой экспоненциальной кривой типа кривой
Гаусса
(или
)), отражают свойства распределения
власти субъектов на исследуемом рынке [37], то есть они являются по своей сути
индексами, характеризующими концентрацию.
С помощью метода наименьших квадратов был получен показатель степени,
равный
(5)
размер которого отражает равномерность распределения долей: чем дальше
коэффициент a от нуля - тем более нелинейной является кривая, описывающая
распределение долей фирм и тем более неравномерным является исследуемый рынок.
В ходе сравнительного анализа было выявлено, что предложенный подход
оказался более гибким и чувствительным к неравномерности распределения долей
участников, чем общеприменимые показатели концентрации.
Автор данного показателя планирует развивать это направление, в частности
в вопросах применения теории комплекснозначных чисел, что позволит представить
комплексную переменную в экспоненциальной и в тригонометрической формах, как
минимум, для дополнительной оценки «размаха» или «масштаба» комплексной
переменной. [37]
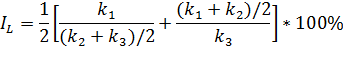
Все известные на сегодняшний день показатели измерения уровня
концентрации на рынке обладают рядом отдельных преимуществ и недостатков,
поэтому оптимальным станет выбор использования сразу нескольких показателей,
дополняющих, но не дублирующих друг друга, например, индекс концентрации и
индекс Линда. Индекс Линда поможет обосновать число крупных субъектов исследования,
а с помощью CR на основе руководства по выбору числа крупнейших фирм по
будет произведен расчет концентрации
долей выбранных субъектов.
Выбор того или иного показателя зависит главным образом от того, какие проблемы
должны быть решены при исследовании рыночной концентрации. Также стоит
отметить, что от немаловажно учитывать специфику рынка, так как от этого
зависит обоснование применения инструментов для измерения концентрации.
II. Анализ экономической конъюнктуры
фармацевтического рынка
.1 Мировой рынок лекарственных препаратов
Фармацевтический сектор динамично развивается, не смотря на общий спад в
мировой экономике, по большому счету это возможно за счет роста емкости рынка
ЛП (недостаточно «освоенными» по-прежнему остаются рынки развивающихся стран) и
активным расширением ассортимента продукции, обусловленным развитием НИОКР в
данной области и в связи с возникновением новых недугов, доныне неизвестных
человечеству.
Уровень потребления лекарственных средств зависит от ряда факторов:
уровень развития медицины в конкретной стране, организация и состоятельность
системы здравоохранения, культурная и социальная среда общества, менталитет и
поведение потребителей, активность фармпроизводителей и дистрибьюторов на рынке
ЛП.
Функции фармацевтического рынка в определенном смысле уникальны, так как
заключаются в обеспечении населения доступными лекарственными средствами и
поддержании здоровья всех членов общества. Такая функция автоматически делает
фармацевтическую отрасль стратегически важной в масштабах страны и мира в
целом.
В некоторых развитых странах наблюдается ситуация избыточного потребления
лекарственных средств. Анализ потребления ЛП, проведенный на рубеже XX-XXI
веков, подтверждает установленный в 70-е годы феномен роста объемов потребления
лекарств в индустриально развитых странах с различными общественными и
экономическими системами: нации с более высоким уровнем дохода на душу
населения тратят на лекарственные средства больше, чем граждане стран с низким доходом.
Поэтому, по мнению экспертов, показатель среднедушевого потребления препаратов
стоит оценивать в комплексе с показателем валового национального продукта на
человека.
Тенденции, затрагивающие фармацевтическую отрасль, а также способные
влиять на конъюнктуру национальных рынков и на развитие мировой экономики в
целом:
увеличение средней продолжительности жизни населения;
небывалый рост распространенности таких хронических заболеваний, как
злокачественные новообразования, аутоиммунная патология, сахарный диабет,
инфекционные болезни, ревматизм и прочие;
плавный переход к персонифицированной терапии с диверсификации
назначаемых лекарственных препаратов с учетом конкретного случая;
патентный обвал массовый выход традиционных синтетических препаратов, находящихся
на пике продаж, из-под патентной защиты;
замедление темпа разработки и общего числа инновационных молекул, быстро
растущие регуляторные требования, необходимость инвестиций в разработку и
регистрацию этих новых препаратов;
появление новой для рынка лекарств целевой группы, как медицинские
страховые компании;
увеличение спроса на доступные медикаменты на быстроразвивающихся рынках.
Помимо непосредственно связанных с рынком факторов при планировании
деятельности на международном рынке фармацевтической продукции стоит обращать
внимание на ситуацию в мире:
политическая нестабильность и региональные конфликты (например, в Украине
и на Ближнем Востоке);
финансовые и валютные изменения и серьезные колебания курсов валют в
таких странах, как Аргентина, Бразилия, Венесуэла, Россия и Украина, которые
способны негативно сказать на фармацевтической отрасли в мире, а также приводят
к прямым убыткам в хозяйственной деятельности фармацевтических компаний.
Рост объемов мирового фармацевтического рынка обусловлена, главным
образом, продолжающимся динамичным расширением крупнейшего рынка - рынка США
(рис.2.1). Основным драйвером данного тренда стал небывалый рост цен на ЛП.
Рисунок 2.1 Динамика развития мирового фармацевтического рынка в
2012-2015 годах, млрд $ США [47]
По данным на 2015 год вторым по размерам стал рынок Китая, достигнув 137
млрд. долларов, сдвинув с этой позиции рынок Японии. Уже с середины 2015 года
произошла либерализация на фармрынке Китая: ранее действующее ценовое
регулирование, распространяющееся на большинство препаратов, было отменено:
теперь на цены формируются под воздействием рыночных сил. Драйвером роста
китайского рынка станет также рост числа граждан, имеющих медицинское
страхование (130 до 600 млн. человек). Что же касается японского рынка ЛП, то
рост в последние годы незначительный. Особенность рынка Японии в соотношении
генериков к оригинальным препаратам (60% к 40% соответственно), и сравнительно
малая доля продаж OTC-препаратов (от англ. «ОТС-drugs» - «out the corner drugs»
или безрецептурные препараты), составляющая 10%.
Российский рынок ОТС-препаратов продолжает расширяться за счет ускорения
процесса перехода из категории рецептурного в категорию безрецептурного
отпуска.
Рост данной тенденции связан с нижеперечисленными явлениями:
необходимостью урезать расходы из бюджета страны на здравоохранение,
исключением препаратов из льготных компенсационных списков,
истечением сроков патентной защиты на значительный перечень ЛП,
пользующихся большим спросом,
ростом уровня жизни и доходов отдельных групп населения,
ростом числа лиц пожилого возраста.
% рынка, приходящиеся на ОТС-препараты (безрецептурные лекарства) в
России, являются беспрецедентно высокой долей: достаточно сравнить ее с уровнем
10-12% характерными для Нидерландов, Испании, Великобритании, или с 18%,
наблюдаемыми в Германии и Франции или 29% - в Швейцарии. По данным, полученным
социологами в ходе опроса, выявлено, что более половины россиян занимаются
самолечением.
Учитывая прогнозы экспертов, в соответствии с которыми прирост рынка
составляет не менее 4-7%, можно полагать, что за 2017 год распределение
потребления ЛП будет выглядеть следующим образом (рис. 2.2).
Рисунок 2.2 Прогнозируемый годовой объем фармацевтического рынка ведущих
стран в 2017 году, млрд $ США
Крупнейшие международные производители лекарственных препаратов
Бизнес, связанный с производством препаратов, сопряжен с колоссальными
инвестициями в разработку новых препаратов, поэтому весьма логично для
участников данного уровня рынка реализовывать свои наработки в виде готовых
препаратов по всему миру. Крупнейшие производители задают стандарты, создают
новые сегменты на фармацевтическом рынке, потому анализ рынка лекарственных
препаратов невозможно представить без рассмотрения мировых лидеров среди
фармацевтических производителей.
Как видно из таблицы ниже, развитие за 2015 год среди производителей
происходило в разных направлениях - когда одни производители показывали рост,
производство других - снижалось. Максимальный рост демонстрируют
биотехнологические компании, разрабатывающие новых высокоэффективных
биотехнологических молекул.
Таблица 2.1
Рейтинг Топ-20 мировых фармацевтических компаний по объему продаж и
чистой прибыли в 2015 году
|
Место в рейтинге
|
Компания
|
Объем продаж, млн $ США
|
|
Чистая прибыль, млн $ США
|
|
|
|
2014
|
2015
|
Прирост 2015/2014, %
|
2014
|
2015
|
Прирост 2015/2014, %
|
|
1
|
Roche
|
52.156
|
52.906
|
1,44%
|
10.478
|
9.952
|
-5%
|
|
2
|
Novartis
|
52.180
|
49.414
|
-5,30%
|
12.653
|
12.041
|
-5%
|
|
3
|
Pfizer
|
49.605
|
48.851
|
-1,52%
|
9.135
|
6.960
|
-24%
|
|
4
|
Sanofi
|
42.212
|
46.321
|
9,73%
|
8.559
|
9.212
|
8%
|
|
5
|
Johnson & Johnson*
|
46.809
|
44.937
|
-4,00%
|
10.365
|
9.862
|
-5%
|
|
6
|
MerckSharpDohme
|
42.237
|
39.498
|
-6,48%
|
11.920
|
4.442
|
-63%
|
|
7
|
Glaxo SmithKlin e
|
37.960
|
36.602
|
-3,58%
|
4.671
|
12.809
|
174%
|
|
8
|
Gilead Sciences
|
24.890
|
32.639
|
31,13%
|
12.059
|
18.108
|
50%
|
|
9
|
Bayer**
|
25.470
|
27.533
|
8,10%
|
6.997
|
8.382
|
20%
|
|
10
|
Astra-Zeneca
|
26.600
|
24.708
|
10.216
|
9.265
|
-9%
|
|
11
|
Abbvie
|
19.960
|
22.859
|
14,52%
|
1.774
|
5.144
|
190%
|
|
12
|
Amgen
|
20.063
|
21.662
|
7,97%
|
5.158
|
6.939
|
35%
|
|
13
|
Elli Lilly
|
19.616
|
19.959
|
1,75%
|
2.390
|
2.408
|
1%
|
|
14
|
Teva
|
20.272
|
19.652
|
-3,06%
|
3.951
|
3.352
|
-15%
|
|
15
|
Novo Nordisk
|
15.801
|
19.204
|
21,54%
|
3.946
|
5.194
|
32%
|
|
16
|
Boehringer Ingelheim
|
16.113
|
17.905
|
11,12%
|
1.266
|
1.907
|
51%
|
|
17
|
BristolMyersSquibb
|
15.879
|
16.560
|
4,29%
|
2.381
|
2.077
|
-13%
|
|
18
|
Allergan
|
6.739
|
15.071
|
123,64%
|
454
|
2.334
|
414%
|
|
19
|
Takeda
|
16.310
|
14.930
|
-8,46%
|
-1.312
|
690
|
147%
|
|
20
|
Astellas
|
11.336
|
12.473
|
10,03%
|
1.391
|
1.800
|
29%
|
В 2016 году FDA (Агентство по контролю лекарственных средств и продуктов
питания США) одобрило регистрацию 22 препаратов, а годом ранее был достигнут
рекордно высокий показатель в 45 новых ЛП, при этом 16 препаратам был присвоен
статус «first-in-class» (первый в своем классе). Такие препараты обладают по
определению совершенно новым и уникальным механизмом действия. Другие
зарегистрированные лекарства в основном предназначены для лечения орфанных
(47%), онкологических (20%) и сердечно-сосудистых (9%) заболеваний. В Германии
в 2015 году было одобрено 36 новых молекул.
Как уже ясно, будущее фармацевтической отрасли лежит в области разработки
и развития новых молекул и новых терапевтических концепций, а также за
биотехнологическими препаратами.
Крупнейшие производители стремятся сконцентрироваться на самых
востребованных и передовых направлениях своей индустрии, к которым на данный
момент относится сегмент онкологических средств, в частности, иммунологических
препаратов. В данной области идет разработка совершенно иного подхода к лечению
опухолевых заболеваний: в отличии от токсичной химиотерапии новые препараты
должны стимулировать собственную иммунную систему человека на борьбу с раковыми
клетками. В этом сегменте лидируют две компании - BMS (Великобритания) и Roche (Швейцария). В портфеле компании BMS два препарата Nivolumab и Yervoj, которые в ближайшем будущем принесут их
правообладателю рост продаж на 18%. Нововведения Roche имеют потенциал в 7 миллиардов долларов США.
Еще одно передовое направление рынка - биосимиляры или биологические
генерики (Biosimilars), которое считается основным
драйвером роста. Объем второго важнейшего сегмента в 2015 году составил 20 млрд
долларов и до 2020 года он увеличится по прогнозам до 55 млрд долларов. В
настоящее время в мире проводится 642 исследования 146 биосимиляров. Больше
половины этих молекул предназначены для применения в области онкологии и
иммунологии/моноклональные антитела. Производители биосимиляров пользуются
стратегией «снятия сливок», повышая цены на свои новые препараты, в то время
как традиционные участники фармрынка по-прежнему терпят снижение продаж,
применяя при этом другие разнообразные стратегии.
Так как ведущие компании формируют рыночные тенденции и значительно
влияют своими действиями на структуру рынка, рассмотрим основные тенденции их
развития на текущий момент.
Компания Roche является одним из первопроходцев, сделав вовремя ставку на
биотехнологический сектор и диагностическое направление и начав инвестировать в
эту область с 2010 года. Стратегия развития компании основана на органическом
росте, который в данном случае наиболее эффективен, подтверждением чего стал
зарегистрированный в США в приоритетном порядке онкопрепарат atezolizumab,
которому был присвоен статус «прорыв в терапии» по оценке FDA (Food and Drug
Administration - агентство Министерства здравоохранения и социальных служб США
«Управление по санитарному надзору за качеством пищевых продуктов и
медикаментов»). В портфеле компании есть и другие передовые разработки в
области лекарственных препаратов, например, ocrelizumab для лечения рассеянного
склероза и еще два будущих лидеров продаж. Для концентрации на приоритетных
препаратах компанией было принято решение продать свой безрецептурный бизнес
немецкой компании Bayer и навсегда прощаться с данным направлением. Такая
последовательная политика оправдалась и принесла ощутимые результаты: в ТОП-10
препаратов-лидеров продаж попали 3 продукта компании Roche.
Швейцарская компания Novartis - пример ведущей компании, которая испытала
кризис в связи с неоправданными ожиданиями в отношении отдельных направлений
своей деятельности - офтальмологическим и кардиологическим. Онкологическое
подразделение, несмотря на инвестиции, не показывает тех результатов, которые
демонстрируют лидеры данного сегмента. В общей совокупности, компания потеряла
треть своей стоимости, что подтолкнуло Novartis к сокращению ассортимента и
отказа от ветеринарного направления. Для ускорения процессов реабилитации
бизнеса были внесены административные изменения: переименование отделов, смена
топ-менеджмента, продажа своих акций, которые она держит в конкурентной компании
Roche.
Американская компания Pfizer также ощутила на себе основные тенденции
мирового рынка ЛП. Снижение продаж своих устаревших препаратов Pfizer стремится
компенсировать за счет приобретения весомых акций сторонних фармпредприятий,
находясь в активном поиске и предлагая баснословные суммы. Такая политика
обусловлена необходимостью инвестиций накопившихся на счетах высоколиквидных
активов (70 млрд долларов), размещенных за рубежом.
Американская компания J&J делает ставку на развитие подразделения
Фарма и безрецептурного бизнеса, доля которых составляет 65% в обороте
компании. Безрецептурный бизнес планируется развивать путем территориальной
экспансии, очистки ассортимента и приобретения отдельных брендов в сегментах
Babycare и Skincare.
Французская компания Sanofi, сменившая после конфликта руководство,
демонстрирует положительную динамику своей хозяйственной деятельности за счет
своих подразделений в сегментах биотехнологии (+29,5%), ветеринарии (+10,8%),
вакцин (+7,3%) и безрецептурного бизнеса (+2,8%). Рыночная стратегия, которой
придерживается компания - политика фокусирования на отдельных бизнес-сегментах.
Из недавних проявлений такой политики можно выделить обмен направлениями с
компанией Boehringer Ingelheim (Sanofi получает безрецептурный бизнес в обмен
на ветеринарный). В результате сделки показатель ликвидности возрастет, создав
финансовые возможности для дальнейших инвестиций и приобретений.
Американская компания Merck терпит не лучшие времена из-за неверного
выбора стратегии развития - стратегии фокусирования. Максимальное следование
своей политике привело к тому, что компания также отказалась от безрецептурного
направления в пользу концентрации усилий на онкологии и вакцинах, что по
большому счету считается весьма перспективными сегментами, однако финансовые
показатели компании демонстрируют обратное.
Стратегию фокусирования разделяют многие компании, и можно сделать вывод,
что она обоснована для игроков фармрынка на таком уровне. Компания GSK не стала
исключением, выбрав для себя три направления: вакцины, инновационные
рецептурные препараты и безрецептурные препараты. Рецептурный бизнес терпит
снижение из-за окончания срока патентной защиты и размещением на рынке
различных генериковых препаратов. Бизнес, связанный с производством вакцин, был
куплен у Novartis, а в обмен продан онкологический. Две сделки имели
противоположные результаты для GSK: приобретение увенчалось успехом, а продажа
оказалась отказом от перспективного направления. Интересно, что GSK и Novartis
совместно развивают безрецептурный сектор.
Британская компания AstraZeneca оказалась под ударом из-за патентного
обвала двух своих препаратов. Отчасти компенсировать потери удалось за счет
выпущенных новинок онкологического сектора, за счет роста сегмента «сахарный
диабет» и препарата, препятствующего образованию тромбов. Дополнительный рост
обеспечили развивающиеся рынки. Компанией AstraZeneca выбрала стратегию
приобретения компаний-конкурентов и отдельных препаратов. Рост в будущем
компания обеспечивает себе за счет множества разработок, которые уже получили
одобрение. Таким образом, AstraZeneca разумно сочетает внутренний органический
рост и целенаправленную политику приобретения и научного сотрудничества.
Немецкий химический концерн Bayer Healthcare занялся чисткой портфеля
активов и сфокусировался на направлениях Healthcare и LifeSciences. Однако
чистка позволит высвободить место для новых позиций с высоким потенциалом.
Частью стратегии развития компании также является целенаправленное приобретение
чужих активов в стратегических нишах, а также собственные научные разработки. В
целом, такая политика считается сбалансированной. Имеется информация о
намерении приобрести крупный концерн, которое не вписывается в утвержденную
стратегию развития компании.
Лидирующую позицию производителей генериков занимает израильская компания
Teva. На сегодняшний день компанией по-прежнему используются стратегии
территориальной экспансии (приобретение мексиканской компании Rimsa), хотя
главный акцент сделан на фокусированное развитие избранных терапевтических
групп. Планы в товарном вопросе стоят весьма амбициозные: масштабное пополнение
портфолио генериков за счет запуска 1 000 новых наименований и путем
приобретений прав на производство отдельных препаратов у конкурентов.
Американская компания Gilead демонстрировала впечатляющий подъем, за
которым оказались тяжелые времена: компания столкнулась с серьезной
конкуренцией на свои лучшие по продажам препараты. Обсуждается возможность
приобретения сторонних активов в портфолио онкопрепаратов для обеспечения финансовой
устойчивости компании в будущие периоды.
Немецкая компания Boehringer Ingelheim, (второй по значимости
фармпроизводитель в Германии) показал спад из-за неожиданного побочного эффекта
на новый препарат, повлекший многомиллионный штраф, но Boehringer Ingelheim
решила проблемы и снова вышла на верный путь, запустив новые разработки и
отказавшись от безрецептурного бизнеса (продав французскому производителю
Sanofi в обмен на ветеринарный бизнес) по соображениям конкурентоспособности.
Ирландская компания Allergan, известная благодаря препарату Botox -
лидеру продаж в области эстетической медицины, одновременно является и
участником, и результатом невообразимо быстрых и крупных процессов
консолидации. История становления компании Actavis состоит из последовательных
поглощений, сначала американской компании Warner Chilcott, затем Forest
Laboratories, слияний с Allergan, а после - попыток выкупить её компаниями Teva
и Pfizer из соображений налоговой оптимизации своей деятельности.
Таким образом, мы видим, что гиганты мирового фармацевтического рынка
стремятся поделить рынок таким образом, чтобы минимизировать пересечение
сегментов, однако, если такие пересечения случаются, кому-то в ожесточенной
конкурентной борьбе приходится терпеть серьезные убытки и во избежание
банкротства вовремя покинуть поле боя. Как ни удивительно, конкуренты активно
взаимодействуют друг с другом, и можно проследить активные процессы слияний,
поглощений, обмена подразделениями бизнеса, продажи и покупки активов, а также
совместные проекты.
Прогнозы развития мирового фармрынка на ближайшие несколько лет
Эксперты аналитической компании «IMS Health», специализирующейся на
исследованиях рынка ЛП, поставили перед собой задачу предугадать направление
развития фармацевтического рынка к 2020 году. Согласно данным, приведенным в
отчете «Global Medicines Use in 2020» аналитической компании «IMS Health» [30],
ожидается, что общее мировое потребление лекарственных средств в 2020 г.
достигнет 4,5 трлн доз, что на 24% больше, чем в 2015 г. Более 50% населения
планеты будет потреблять более 1 дозы лекарств из расчета на 1 человека в день
по сравнению с 1/3 дозы в 2005 г.
Такой рост ожидается за счет развивающихся стран, как Индия, Китай,
Бразилия и Индонезия, которые присоединяться к потреблению лекарственных
препаратов. В развитых странах не прогнозируется серьезных изменений в объемах
потребления лекарственных препаратов. Важнейшим драйвером роста данного рынка
станут именно развивающиеся страны за счет объемов потребления, развитие рынка
также произойдет при условии перехода на более дорогостоящие и действенные
оригинальные препараты.
.2 Характеристика фармацевтического рынка
Для оценки конкуренции на рынке важно понимать особенности его
функционирования, определить барьеры, выяснить, какие макро- и микроэкономические
процессы влияют на производительность и результаты деятельности субъектов,
исследовать устоявшиеся принципы взаимодействия участников и в целом определить
круг субъектов, задействованных на конкретном рынке. Для начала остановим
внимание на факторах фармацевтического рынка, отличающих его от других секторов
экономики.
.2.1 Особенности рынка
. Лицензирование фармацевтической деятельности.
Лицензирование фармацевтической деятельности (за исключением
деятельности, осуществляемой организациями оптовой торговли лекарственными
средствами и аптечными организациями, подведомственными федеральным органам
исполнительной власти, государственным академиям наук) осуществляют органы
исполнительной власти субъектов Российской Федерации. В Санкт-Петербурге ответственным
по предоставлению данной государственной услуги органом власти является Комитет
по здравоохранению. Лицензирование фармацевтической деятельности включает
деятельность, осуществляемую в сфере обращения лекарственных средств для
медицинского применения по розничной торговле лекарственными препаратами для
медицинского применения, отпуску лекарственных препаратов для медицинского
применения, изготовлению лекарственных препаратов для медицинского применения.
Лицензия на осуществление фармацевтической деятельности является бессрочной. [29]
2. Организация крупных госзакупок.
На долю «государства» (объём рынка, обеспеченный государственными
деньгами - льготное лекарственное обеспечение и госпитальные закупки)
приходится около 30,4% объёма рынка лекарств (без учёта парафармацевтики; в
объеме всех аптечных продаж - 25,5%). На протяжении последних пяти лет эта
цифра не меняется, максимальная доля государственных затрат в потреблении ЛП
была отмечена в 2006 году - 40,8%.
. Влияние на развитие фармацевтического рынка оказывает общая
экономическая ситуация в стране: девальвация национальной валюты, отрицательные
темпы роста основных рыночных индикаторов - ВВП, индекса промышленного
производства, индекса инвестиций, снижение покупательной способности населения
и прочих показателей.
Фармрынок в 2015 году демонстрировал противоположный тренд с ростом курса
доллара и евро: чем выше стоила валюта в рублевом выражении, тем ниже был
прирост фармацевтического рынка к аналогичному периоду 2015 года.
. Сезонность спроса.
Активный сезон продаж лекарственных препаратов выпадает на период ОРВИ,
ОРЗ и гриппа - с октября по март-апрель, в зависимости от региона и погодных
условий. В летний период продажи ощутимо меньше (в среднем на 20-25 %). Поэтому
открытие аптеки целесообразно планировать к августу-сентябрю.
. Импортозависимость рынка.
В рамках программы импортозамещения «Фарма-2020» ведется реализация 130
госпроектов по разработке препаратов в России, которые способствуют увеличению
доли российских лекарств на рынке в будущем, но на сегодняшний день
отечественный рынок лекарственных препаратов остается импортозависимым. 73%
выручки от продаж получают зарубежные производители.
. Протекционизм и программы импортозамещения.
В Распоряжении Правительства РФ от 27 января 2015 г. N 98-р «Об
утверждении плана первоочередных мероприятий по обеспечению устойчивого
развития экономики и социальной стабильности в 2015 году», часть инициатив
касалась лекарственного обеспечения:
поддержка производителей, занятых в выпуске препаратов списка ЖНВЛП с
розничной ценой, не превышающей 50 рублей (правительство предлагало изменить
главный закон о лекарствах «Об обращении лекарственных средств», чтобы
позволить разовую индексацию цен на уровне 30% на препараты, попадающие под
ценовое регулирование, но инициатива не была исполнена);
принятие Постановления «Третий лишний» - об ограничении госзакупок
импортных препаратов (поставщики импортных лекарств, при наличии двух и более
заявок на поставку аналогичных препаратов со стороны российских производителей,
не смогут участвовать в торгах);
выделение из бюджета дополнительно 16 миллиардов рублей для
лекарственного обеспечения льготников.
Помимо антикризисного плана, в течение 2015 года обсуждался ряд инициатив
и предложений, которые в той или иной степени должны способствовать стабильному
лекарственному обеспечению:
вопрос о разрешении параллельного импорта ЛП в Россию;
возможность введения принудительного лицензирования для отдельных
лекарств;
вопрос о разрешении продажи безрецептурных препаратов вне аптек;
вопрос о разрешении осуществлять продажу препаратов через интернет.
. Государственное регулирование.
Рынок фармацевтики является стратегически важным в масштабах страны,
поэтому обойти его ценовым регулированием - маловероятная перспектива. К
мероприятиям по государственному регулированию рынка лекарственных препаратов
включает в себя ценовое регулирование, программы импортозамещения, субсидии для
производителей, инициатива Минпромторга по ограничению участия в госзакупках
лекарств иностранных компаний.
В прошлом году начали реализовываться отдельные программы поддержки,
включающие в себя индексацию цен на препараты нижнего ценового сегмента,
субсидирование отечественного производства ЖНВЛП, выделение дополнительных
средств (16 миллиардов рублей) для обеспечения льготников лекарственными
препаратами на фоне увеличения курса валют.
К мерам государственного регулирования также относятся инициативы,
способные внести коррективы в структуру и деятельность рынка: правительством
обсуждалось разрешение параллельного импорта препаратов в РФ, а также
принудительное лицензирование отдельных лекарств.
Параллельный импорт - это ввоз товаров, на которые право интеллектуальной
собственности было исчерпано, через каналы, не связанные напрямую с
правообладателем (производителем) и являющиеся альтернативными авторизованной
дистрибуции. Такой ввоз преследуется законом, а такие товары считаются
контрафактными. В правительстве считают, что легализация параллельного импорта
- это антикризисная мера, направленная на удешевление импортной продукции в
сложной экономической ситуации. «Продукцию можно будет закупать в третьих
странах, где она стоит дешевле, импортировать её на нашу территорию без ведома
производителя или правообладателя. Естественно, это может сказаться на ценах в
сторону их уменьшения», - заявил премьер-министр РФ Дмитрий Медведев. 5 мая
2015 года правительство РФ одобрило частичную легализацию параллельного
импорта. До 22 мая Федеральная антимонопольная служба (ФАС), Минэкономразвития,
Минздрав, Минпромторг и Федеральная таможенная служба (ФТС) должны были
составить списки товаров, пригодных для параллельного импорта, и 30 мая
предъявить их первому вице-премьеру Игорю Шувалову.
С одной стороны, параллельный импорт позволяет получить товары по более
низкой цене и в более короткие сроки, но есть серьезные опасности для экономики
в более долгосрочной перспективе, к которым относятся снижение стимулов
правообладателей к инвестированию в производства на территории РФ и увеличение
теневого сектора экономики, рост доли контрафактной продукции и сокращение
налоговых поступлений в бюджет.
Также обсуждается возможность создания нового сегмента рынка
лекарственных препаратов в России - лекарственное возмещение, под которое
попадают все категории граждан, а не только льготники. Этот вопрос обсуждается
не первый год, и в Кировской и Омской областях уже действуют пилотные проекты.
. Предпочтения потребителей
Российские потребители лекарственных препаратов склонны к покупке
отечественных лекарств из-за невысокой стоимости. В натуральном выражении
лидерами аптечного спроса по большей мере являются отечественные производители.
Однако, за последние несколько лет наметилась тенденция смещения спроса в
сторону более дорогих и эффективных лекарственных препаратов, хотя в 2015 г.
доли рынка по ценовым сегментам менялись в основном за счёт роста цен и
перехода препарата из одной ценовой группы в другую и в меньшей степени за счет
фокусирования потребителя на более дорогостоящих ЛП.
. Согласно данным Госкомстата, в 2015 г. лекарственные препараты
заняли около 2,1% в базовой структуре потребительских расходов населения
России, что выше на 0,1%, чем в 2014 г. Таким образом, Госкомстат немного
повысил значимость лекарств в потребительских расходах.
. Перспективы расширения фармацевтического рынка.
Анализ продаж новых препаратов показал, что для 2015 года характерно
динамичное расширение рынка за счет появления более 460 новых брендов
лекарственных средств. Необходимо отметить, что большинство новых препаратов
произведено зарубежными производителями. Тем не менее, российские компании в
2015 году вывели на рынок более 117 новых брендов и 9 из них вошли в ТОП-20
новых торговых наименований по оценкам в стоимостном выражении за исследуемый
период времени.
. Льготное лекарственное обеспечение отдельных категорий граждан
Программа ЛЛО - одна из мер социальной поддержки граждан, имеющих право
на получение государственной помощи. За время реализации (12 лет) программа
неоднократно претерпевала изменения: в отдельную группу были выделены 7
высокозатратных нозологий, куда вошли заболевания, требующие проведения
дорогостоящей терапии (ВЗН или 7 нозологий). С 2008 г. субъектам Российской
Федерации переданы полномочия по проведению аукционов на размещение госзаказа
на поставку необходимых лекарственных средств для отдельных категорий граждан.
Передача полномочий в субъекты РФ сыграла существенную роль в стабилизации
лекарственного обеспечения, значительно снизилась доля отсроченных поставок.
. Импорт лекарственных препаратов в рамках ЕАЭС
С 1 января 2016 года заработал единый рынок обращения лекарств и
медицинских изделий в рамках Евразийского экономического союза (ЕАЭС), в
который входят 5 стран: Россия, Белоруссия, Казахстан, республика Кыргызстан и
Армения. Для производителей стран-участниц предусмотрен переходный период до
конца 2025 года, однако преференции для них действуют уже сейчас. Преференции
заключаются в исключении из списка ограничений в участии госзакупок для
Армении, Белоруссии и Казахстана. Такие условия безусловно влияют не только на
структуру и динамику импорта лекарственных препаратов в Россию, но и создают
дополнительную конкуренцию для российских производителей. В частности, будет
возможна переупаковка импортных лекарств на территории стран ЕАЭС и
беспрепятственная реализация на территории России.
Посредством принятия внутренних правил для союза будет обеспечиваться
единство обязательных требований к безопасности и качеству лекарственных
средств.
. Тенденция к слиянию и поглощению
Для дистрибьюторского и аптечного звена основным трендом последних лет
является консолидация, но причины её не всегда совпадают. 2015 году в некотором
роде год стал рекордным по количеству заключенных и анонсированных сделок.
Президент и CEO Global Generic Medicines Group, Teva Pharmaceuticals
Сигги Олафссон в своем интервью РБК+ поделился точкой зрения на структурные
процессы фармацевтического рынка: «Для рынка производителей характерны процессы
слияния, создание партнерских агломераций; … объединяя наши усилия с партнером,
мы объединяем и наш научный, интеллектуальный потенциал для получения лучшего
результата». [22]
14. Рынок склонен к вертикальной интеграции. Например, зачастую
крупные дистрибьюторы владеют собственной розничной сетью аптек.
. Продажи через сеть Интернет и вне аптек. С периодической регулярностью
с 2012 года поднимался вопрос о разрешении продажи безрецептурных препаратов
вне аптек, при этом Министерство промышленности настаивало на разрешении, а
Минздрав в этом шаге видел большие риски, поэтому для принятия решения
потребовались общественные обсуждения.
В конце 2015 года Минздрав вынес на общественное обсуждение проект ФЗ «О
внесении изменений в отдельные законодательные акты РФ в части розничной
торговли лекарственными препаратами дистанционным способом», разрешающий
осуществлять продажу препаратов через интернет. В начале ноября Минздрав
обратился в Институт развития интернета (ИРИ) с предложением разрешить
дистанционную торговлю препаратами через Интернет. Изменения внесены в ст. 55
ФЗ «Об обращении лекарственных средств»: аптечным организациям, имеющим лицензию
на фармацевтическую деятельность, разрешено осуществлять продажу препаратов
«дистанционным способом» с 1 января 2017 года. [8]
Фармацевтический рынок является одним из наиболее «прозрачных» для
исследования, так как многие крупные компании интересуются состоянием рынка и
его перспективами, задействуя уважаемые исследовательские агентства или проводя
такие исследования собственными силами. Можно судить о том, что данный рынок
сравнительно более развитый, так как коммуникации между участниками рынка налажены
довольно хорошо. Существует множество публикаций по теме, площадок для
обсуждения, ассоциаций, связывающих одновременно и конкурентов, и партнеров. На
основе собранной информации из открытых источников можно определить
направление, по которому будет развиваться рынок лекарственных препаратов в
ближайшем будущем.
.2.2 Прогнозы развития фармацевтического рынка
Участниками рынка отмечается сложность прогнозирования ситуации в
ближайшие два-три года. В то же время стратегическое понимание, особенно для
зарубежных игроков, исходит из цикличности роста развивающихся рынков,
обеспечивающего в конечном итоге темпы роста выше, чем в развитых стран.
Некоторые предположения о развитии отечественного рынка аптек выдвинули
представители крупнейших производителей и ритейлеров, например, в интервью
журналу РБК «Здравоохранение» Анна Ярвиц, старший вице-президент, генеральный
директор Teva в России и СНГ, на вопрос «к каким
изменениям в регулировании российского рынка готовится компания в будущем»
ответила:
«К реализации системы лекарственного страхования, или возмещения, которое
уже заявлено в 2016 году. Это в более отдаленной перспективе может значительно
реформировать фармацевтический рынок и повысить обеспеченность населения
лекарственными препаратами. Очень важная инициатива.» [22]
Экспертным мнением поделился Тимур Шакай, представитель A.v.e. Group в
интервью SPEAR’S Russia:
Через 10 лет аптечный бизнес станет развиваться вслед за продуктовыми
магазинами в сторону гипермаркетов. Сеть аптечных гипермаркетов - новый формат,
который может полностью поменять структуру фармацевтического рынка. Кроме того,
рынок будет идти к консолидации. Также возникнут союзы и слияния с
производителями, способствующие развитию совместных торговых марок
производителей и аптечных сетей. [35]
.2.3 Импорт
Известно, что российский рынок лекарственных препаратов остается
импортозависимым несмотря на инициативы, принимаемые и реализуемые органами
государственной власти. В Российскую Федерацию ввозятся как готовые
лекарственные препараты, так и субстанции, из которых производят лекарственные
препараты отечественные копании. Рассмотрим текущее соотношение импортных и
отечественных препаратов.
Соотношение объемов аптечных продаж отечественных и импортных препаратов
в России отражено на графике (рис. 2.3), при этом процентное соотношение в
течение предыдущих нескольких лет колебалось незначительно (табл. 2.2).
Отечественные препараты укрепились на рынке благодаря успешной реализации
политики импортозамещения, активному развитию отечественных производителей,
результатом которого стал значительный прирост доли российских препаратов (2%)
относительно марта 2016 г. (26%), что в натуральном выражении составляет 1%
прироста (58%). Импортные товары заняли долю в размере 72% в стоимостном
выражении и 42% - в натуральном.
Таблица 2.2
Динамика доли отечественных препаратов на фармацевтическом рынке России в
стоимостном и натуральном выражении за 2014-2017 гг.
|
стоимостной объем, %
|
натуральный объем, %
|
стоимостной объем, %
|
натуральный объем, %
|
стоимостной объем, %
|
натуральный объем, %
|
стоимостной объем, %
|
натуральный объем, %
|
|
Год
|
2014
|
2015
|
2016
|
2017
|
|
Январь
|
24
|
55
|
26
|
56
|
31
|
58
|
30
|
58
|
|
Февраль
|
26
|
56
|
28
|
57
|
29
|
58
|
30
|
58
|
|
Март
|
26
|
55
|
26
|
56
|
27
|
57
|
28
|
58
|
|
Апрель
|
24
|
55
|
25
|
56
|
27
|
57
|
-
|
-
|
|
Май
|
23
|
56
|
24
|
57
|
26
|
56
|
-
|
-
|
|
Июнь
|
22
|
55
|
24
|
57
|
25
|
57
|
-
|
-
|
|
Июль
|
23
|
56
|
25
|
58
|
26
|
57
|
-
|
-
|
|
Август
|
23
|
56
|
25
|
57
|
26
|
57
|
-
|
-
|
|
Сентябрь
|
26
|
54
|
27
|
56
|
28
|
56
|
-
|
-
|
|
Октябрь
|
25
|
55
|
27
|
56
|
28
|
57
|
-
|
-
|
|
Ноябрь
|
25
|
55
|
27
|
57
|
29
|
57
|
-
|
-
|
|
Декабрь
|
25
|
55
|
27
|
56
|
30
|
58
|
-
|
-
|
Рисунок 2.3 Соотношение объемов продаж импортных и отечественных ЛП на
коммерческом аптечном рынке России в марте 2017 г.
При рассмотрении абсолютных показателей можно отметить рост продаж в
упаковках в марте 2017 г. к аналогичному месяцу 2016 г., как отечественных, так
и импортных препаратов, однако прирост препаратов отечественных производителей
чуть больше: +22,3% и +17,4% соответственно, при этом в стоимостном выражении
рост российского производства - 32,1% против 20,6% у импортных ЛП.
За год лекарства зарубежного производства подорожали на 2,8%, средняя
стоимость упаковки которых в марте 2017 г. была равна 261 руб. Российские
препараты отметились также ростом средневзвешенной цены - +8,0% (средняя
стоимость в марте 2017 года составила 74,0 руб./упаковка).
С начала 2016 года участники фармацевтического рынка стран Евразийского
экономического союза (Россия, Белоруссия, Казахстан, республика Кыргызстан и
Армения) взаимодействуют по упрощенным правилам. Данное событие повлияет не
только на структуру и динамику импорта ЛП в Россию, но и создает дополнительную
конкуренцию для российских производителей.
После внесения поправок в декабре 2014 г. в ФЗ №61 «Об обращении
лекарственных средств» для регистрации лекарственных препаратов иностранного
производства необходимо обязательное наличие сертификата российского
инспектората соответствия российским стандартам GMP. Срок такой инспекции
составляет около 210 рабочих дней.
С 2016 года действует закон об ограничении участия в государственных
закупках в России иностранных лекарственных препаратов, таким образом, при
наличии двух и более заявок на поставку аналогичных препаратов со стороны
отечественных производителей доступ к торгам для иностранных игроков, за
исключением Армении, Белоруссии и Казахстана, закрыт.
По-прежнему ведутся дискуссии о параллельном импорте, когда ввоз
оригинальных товаров из-за рубежа производится без непосредственного согласия
правообладателя товарного знака. Негативной стороной возможного принятия данной
инициативы может стать рост объёмов некачественных и контрафактных товаров, под
угрозой могут оказаться отечественные аналоги зарубежных лекарств, существенно
упадет заинтересованность зарубежных компаний в локализации производства, и,
наконец, параллельный импорт сам по себе не является гарантией снижения цены
для потребителя, поскольку в механизме ценообразования участвует как минимум
ещё организация на территории страны. По всей видимости введение параллельного
импорта откладывается на несколько лет, однако совсем минимизировать
вероятность законодательного утверждения данного процесса не стоит.
Импорт готовых ЛП, 2015 год
В 2015 году на снижение объёмов импортной фармпродукции практически на
33% по отношению к 2014 году в большей степени повлияли общеэкономические
факторы: девальвация рубля, снижение покупательной способности. В Таблице 2.3
продемонстрировано распределение импорта лекарственных препаратов по группам
субъектов фармрынка России.
Таблица 2.3
Объем импорта лекарственных препаратов участников фармацевтического рынка
за 2014 и 2015 гг.
|
Тип импортера ЛП
|
Объем импорта, млн. дол.
|
|
Год
|
2014
|
2015
|
|
Компании,
специализирующиеся на прямом импорте
|
554
|
467
|
|
Представительства
иностранных компаний
|
9445
|
6341
|
|
Отечественные производители
ЛП
|
509
|
530
|
|
Дистрибьюторские компании
|
2509
|
1389
|
|
Всего (в ценах таможенной
стоимости)
|
13017
|
8727
|
В натуральном выражении падение объёма импортированных препаратов
выглядит не столь катастрофически: в 2015 году завезено 2,7 млрд. упаковок, это
на 14% меньше, чем в2014 г. Снижение поставок фармпродукции происходило по
большей части из-за валютных колебаний: импортеры боялись ввозить большие
партии лекарств и пользовались сформированными запасами.
Импорт ЛП через дистрибьюторов
В таблице 2.4 представлен ТОП-10 дистрибьюторов по объёму импорта ЛП в
Россию.
Таблица 2.4
ТОП-10 дистрибьюторов по объёму импорта ЛП в Россию
|
Рейтинг
|
Дистрибутор
|
Доля в объеме импорта
группы «Дистрибуторские компании», %
|
Прирост к 2014 г.
|
|
|
2014 г.
|
2015 г.
|
|
|
1
|
Протек
|
21,00%
|
22,70%
|
-41,80%
|
|
2
|
Р-Фарм
|
17,90%
|
21,30%
|
-36,00%
|
|
3
|
Катрен
|
9,40%
|
15,70%
|
-10,30%
|
|
4
|
ФК Пульс
|
5,10%
|
8,20%
|
-14,00%
|
|
5
|
СИА
|
5,50%
|
-67,50%
|
|
6
|
РОСТА
|
7,60%
|
5,10%
|
-63,90%
|
|
7
|
Евросервис
|
4,00%
|
4,00%
|
-46,00%
|
|
8
|
Alliance
Healthcare Russia
|
3,50%
|
2,70%
|
-57,90%
|
|
9
|
Национальная
Дистрибьюторская Компания
|
2,40%
|
2,40%
|
-46,90%
|
|
10
|
БСС
|
0,50%
|
1,90%
|
89,50%
|
|
Итого
|
80,50%
|
89,50%
|
-
|
|
Доля десяти крупнейших дистрибуторов-импортёров от всего объёма импорта
группы «Дистрибуторские компании» в 2015 году выросла до 90%. Совокупно доля
тройки ведущих поставщиков лекарств составляет 60%. Отражая общие тенденции
ввоза ЛП в Россию, динамика национальных и межрегиональных дистрибуторов
демонстрирует отрицательные показатели.
В таблице 2.5 представлен ТОП-20 производителей ЛП по объёму импорта
препаратов в Россию всеми группами импортёров.
Таблица 2.5
ТОП-20 производителей ЛП по объёму импорта препаратов в Россию всеми
группами импортёров
|
Рейтинг
|
Фирма-производитель
|
Доля стоимостного объема
импорта, $, %
|
Прирост к 2014 г.
|
|
2014 г.
|
2015 г.
|
|
2014 г.
|
2015 г.
|
|
|
1
|
1
|
Novartis
|
6,20%
|
5,50%
|
-40,20%
|
|
2
|
Bayer
|
4,70%
|
4,70%
|
-32,70%
|
|
2
|
3
|
Sanofi
|
5,90%
|
4,30%
|
-51,00%
|
|
5
|
4
|
Abbott
|
3,80%
|
4,10%
|
-28,30%
|
|
8
|
5
|
Glaxosmithkline
|
3,20%
|
3,50%
|
-26,00%
|
|
4
|
6
|
Teva
|
3,90%
|
3,40%
|
-40,50%
|
|
14
|
7
|
Servier
|
2,50%
|
3,10%
|
-19,00%
|
|
9
|
8
|
KRKA
|
3,00%
|
3,00%
|
-32,10%
|
|
6
|
9
|
Pfizer
|
3,40%
|
2,90%
|
-42,80%
|
|
12
|
10
|
Johnson &
Johnson
|
2,70%
|
2,90%
|
-29,50%
|
|
13
|
11
|
Gedeon Richter
|
2,70%
|
2,70%
|
-34,20%
|
|
7
|
12
|
Takeda
|
3,30%
|
2,60%
|
-47,20%
|
|
10
|
13
|
F.Hoffmann-La
Roche
|
2,80%
|
2,50%
|
-40,10%
|
|
60
|
14
|
Celgene
|
0,30%
|
2,50%
|
505,90%
|
|
11
|
15
|
Berlin-Chemie
|
2,80%
|
2,40%
|
-41,80%
|
|
17
|
16
|
Merck & Co.
|
2,40%
|
2,40%
|
-32,10%
|
|
15
|
17
|
Boehringer
Ingelheim
|
2,50%
|
2,40%
|
-34,60%
|
|
16
|
18
|
Astellas Pharma
|
2,50%
|
2,30%
|
-38,30%
|
|
18
|
19
|
Astrazeneca
|
2,00%
|
2,20%
|
-26,60%
|
|
19
|
20
|
Valeant
|
2,00%
|
1,70%
|
-41,50%
|
|
Итого
|
-
|
61,10%
|
-
|
Доля 20 крупнейших фармпроизводителей по объёму импорта в Россию на 2015
г. составила 61%. Из ТОП-20 производителей по объёму продаж на фармацевтическом
рынке только одна иностранная компания не попадает в рейтинг импортёров - это
Stada, которая локализована в России (в состав корпорации входит завод
«Нижфарм»).
Импорт субстанций для производства ЛП
Снижение импорта субстанций для производства лекарственных препаратов не
столь резкое, это объясняется тем, что большинство отечественных лекарств
производится из импортного сырья. В 2015 году было завезено субстанций на 776,6
млн. дол. (на 5% ниже в сравнении с 2014 годом). В Россию импортировалось
порядка 11,9 тыс. тонн фармацевтической субстанции, а это на 6% выше показателя
2014 года.
Если учитывать объемы в стоимостном выражении, то больше тратится на
импорт из Европейских стран (63%). В натуральном выражении существенную долю
занимают субстанции китайского производства (58%), на втором месте находится
сырьё из Индии (11%).
Тройка лидеров завозимого фармсырья в стоимостном выражении: Инсулин
(16%), Периндоприл (8%), Диосмин (4%). По тоннажу больше всего импортируется
Ацетилсалициловая кислота (11%), Парацетамол (11%), Метформин (6%).
Рассмотрим лидеров в группах импортеров, занимающих верхние строчки
рейтинга - дистрибуторские компании и представительства иностранных
производителей. Объёмы ввоза сократились практически у всех производителей.
В Таблице 2.6, расположенной ниже, представлены ТОП-10 представительств
иностранных производителей по объёму импорта в 2015 году.
Таблица 2.6
ТОП-10 представительств иностранных производителей по объёму импорта в
2015 году
|
Рейтинг
|
Представительство
иностранных производителей
|
Доля в объеме импорта
группы «Представительств…», %
|
Прирост к 2014 г., дол.
|
|
|
2014 г.
|
2015 г.
|
|
|
1
|
Новартис
|
9,90%
|
9,60%
|
-35,70%
|
|
2
|
Санофи
|
8,40%
|
6,20%
|
-51,70%
|
|
3
|
Эбботт
|
4,50%
|
5,20%
|
-23,90%
|
|
4
|
Тева
|
5,80%
|
5,20%
|
-41,30%
|
|
5
|
Пфайзер
|
4,90%
|
4,70%
|
-36,80%
|
|
6
|
Байер
|
3,90%
|
4,40%
|
-25,80%
|
|
7
|
Джонсон & Джонсон
|
4,10%
|
4,10%
|
-35,10%
|
|
8
|
Берингер Ингельхайм
|
3,80%
|
3,90%
|
34,30%
|
|
9
|
МСД Фармасьютикалс
|
4,60%
|
3,70%
|
47,30%
|
|
10
|
Берлин-Хеми
|
3,80%
|
3,70%
|
36,50%
|
|
Итого
|
53,50%
|
50,60%
|
|
Возможность импортозамещения
В феврале 2017 года исследовательская компания MAR CONSULT провела опрос
среди 295 эндокринологов из 50 городов России, включая Москву и Санкт-Петербург,
чтобы определить соотношение рецептурных назначений отечественных и зарубежных
лекарств пациентам за последние три месяца.
В общем количестве назначений препаратов доля отечественных лекарств
составила 40%, импортных - 30% и еще 30% - это назначения по международному
непатентованному названию (МНН), то есть по МНН пациент может получить препарат
как отечественного, так и зарубежного производства. При этом, по мнению
эндокринологов, почти две трети назначений импортных препаратов можно было бы
заместить отечественными. Таким образом, 13% нельзя заменить отечественными
аналогами.
Наличие импортных препаратов ограждает рынок, по мнению эндокринологов
(58%), от повышения цены на лекарства российского производства, 34% - считают,
что цены не изменятся и 8% - затруднились оценить потенциальную возможность
изменения цен.
.2.4 Потребители
Характеристика поведения потребителей и выявление факторов, влияющих на
их выбор в отношении самих лекарственных препаратов или розничных посредников,
являются одной из основополагающих характеристик всего рынка. От потребителей
зависит определение стратегии развития всех участников отрасли и их финансовые
результаты. Исследованием потребительских предпочтений занимаются множество
маркетинговых агентств, исследовательских центров и институтов, а также
социологи. Рассмотрим значимые результаты проведенных ранее исследований,
информацию о которых удалось добыть из открытых источников.
Маркетинговое исследование агентства FDF Group, проведенное в Москве в марте 2011 года [26], позволяет
определить портрет обычного покупателя ЛП и критерии, по которым люди выбирают
ту или иную аптеку. В онлайн-опросе участвовали мужчины и женщины от 18 до 60
лет, проживающие в г. Москва. Опрос был проведен среди 171 респондентов.
Согласно полученным результатам (рис. 2.4), главными критериями при
выборе аптеки чаще называли уровень цен и качество медикаментов - акцент на
цене сделали 73% опрошенных, а на качестве - 51%. Третьим по важности фактором
является широта ассортимента и удобное расположение аптеки - на это обратили
внимание около половины респондентов. Еще треть упомянула о важности системы
скидок, осведомленности персонала и графике работы.
Рисунок 2.4 Результаты опроса потребителей лекарств, проведенный
агентством FDF Group
Согласно полученным данным, за прошедший год хотя бы один раз посетили
аптеку 85% опрошенных, а за последние три месяца были в аптеке 74%
респондентов. Выяснилось, что женщины - более активные, по сравнению с
мужчинами, покупатели: за год аптеки посетило 92% от опрошенных женщин, в то
время как мужчин было лишь 78%. Не удивительно, что именно слабый пол чаще
всего отвечает за здоровье семьи и является инициатором покупок. Женщины также
более информированы о различных сетях аптек (называют большее, по сравнению с
мужчинами, количество аптек).
Другим, не менее интересным взглядом на потребителя делится директор
маркетинговой компании Cegedim Strategic Data Давид Мелик-Гусейнов. Он заметил,
что конкурентная борьба среди аптек идет в неверном векторе: более половины
покупателей не могут получить информацию о побочных эффектах лекарств, в то
время как основная масса аптек занята борьбой в жесткой ценовой конкуренции с
соседними аптеками.
Для обоснования своей позиции Мелик-Гусейнов привел данные опроса,
проведенного экспертами в 2010 году. Исследователи задались целью выяснить,
каковы ожидания потребителей от взаимодействия с аптеками. Оказалось, что 18 %
респондентов-покупателей не обладают полной информацией о действии препаратов,
15 % заметили, что в аптеках никто не объясняет, как их принимать, 61 %
опрошенных волнует проблема побочных эффектов от приема лекарств. Также
выяснилось, что 48 % потребителей согласны платить за консультации в аптеке, а
68 % никогда не ищут более дешевые лекарства.
В то же время опрос среди владельцев аптек показал, что 22 % респондентов
находятся в поиске дополнительных каналов сбыта ЛП, 36 % стремятся к
эстетически привлекательному оформлению аптеки, 45 % выбивают скидки
дистрибуторов, а 66 % ведут ценовую конкуренцию с аптеками, расположенными
рядом. Многие покупатели любят рекламные акции, но аптеки не так активно
используют этот канал.
«В этом, на мой взгляд, и кроется отчасти ответ на вопрос, почему мы не
можем добиться полноценной финансовой рентабельности и удовлетворения той
работой, которую делаем», - сказал Давид Мелик-Гусейнов. [10]
Экспертное мнение об аптечном бизнесе в интервью с Тимуром Шакая (A.v.e.
Group) также может украсить исследование рынка аптек в вопросе характеристики
поведения российских потребителей:
«Насколько здоровой можно признать Россию?
Нашу страну нельзя назвать самой здоровой, и это видно по средней
продолжительности жизни населения. Люди идут к врачу, лишь когда становится
очень плохо, и не интересуются профилактикой (мало употребляют правильных
биоактивных добавок и витаминов для поддержания здоровья). В Японии, например,
человек не может устроиться на работу, если не пьет определенные добавки. В США
страховые компании выписывают их в огромных количествах для поддержания
здоровья. К сожалению, Россия все еще далека от этого.
Как спад в экономике отразился на вашем бизнесе?
Люди идут в аптеку так же, как и раньше, корректируется только набор
приобретаемых препаратов. … потребление лекарств в общем бюджете на одного
человека (за исключением редких тяжелых заболеваний) занимает небольшую долю.
По статистике, человек посещает аптеку раз в два месяца и оставляет там меньше
денег, чем за один поход в продуктовый магазин.» [35]
Из интервью со старшим вице-президентом, генеральным директором
фармацевтического гиганта Teva в России и СНГ Анной Ярвиц также содержится
оценка поведения российского потребителя:
«Как вы оцениваете состояние конкуренции на российском рынке?
Особенность российского рынка в том, что пациент активно участвует в
сохранении своего здоровья, зачастую приобретая лекарственные препараты за свой
счет. Поэтому нас, россиян, интересует соотношение цены и качества препаратов.
Другая отличительная особенность - приверженность бренду. Российский
потребитель исключительно чувствителен к информации о контрафактной продукции и
информирован о многих аспектах лекарственного обращения. Это имеет особенное
значение, когда мы говорим о конкуренции на рынке безрецептурных препаратов
(OTC): индивидуальный бренд и/или бренд компании зачастую оказываются наиболее
значимыми инструментами коммуникации между производителем и потребителем,
отвечая на сформированные ожидания.
% всех лекарственных препаратов нашей компании находятся в категории до
500 руб. за упаковку - это определенный психологический порог для большинства
потребителей. Но, конечно, мы выступаем за ценовое дерегулирование той части
рынка, где в этом нет необходимости, например, в сегменте безрецептурных
препаратов. Это расширит конкуренцию и создаст большую представленность, а
значит, больший выбор для населения.» [22]
Отмечается спад потребительской активности, которые несомненно
сказывается и на аптечном бизнесе. Розничная торговля препаратами демонстрирует
рост, но за счет инфляции. Снижение потребительской активности обусловлено
уменьшением реальных располагаемых доходов населения и динамичным ростом цен. У
превалирующего числа потребителей доминирует на текущий момент
избирательно-сберегательная модель поведения. Это объясняется тем фактом, что
по итогам 2015 г. заметна тенденция сокращения численности персонала компаний
(количество безработных, зарегистрированных в службе занятости, после
продолжительного снижения в 2010-2014 гг. в 2015 г. выросло до 911,1 тыс.
человек), прироста складских запасов, сокращения ассортимента ввиду
ограниченного эффекта импортозамещения, ограничений на импорт. Все
перечисленные проявления ухудшения макроэкономической ситуации в стране также
отражаются на численности населения с денежными доходами ниже величины
прожиточного минимума, которая увеличилась с 16,1 млн чел. в 2014 г. до 19,2
млн чел. (что составляет 13,4% от общей численности населения). [36]
На практике применяется показатель, в определенном смысле отражающий
благосостояние нации - индекс кредитного здоровья. Показатель рассчитывается
специалистами FICO на основе данных НБКИ путем вычисления доли «плохих» долгов
(просроченные более, чем на 60 дней за последние полгода) среди их общего числа
(«bad rate»). Индекс масштабирован таким образом, что уменьшение показателя на
20 пунктов означает удвоение «bad rate», а увеличение на 20 пунктов -
уменьшение «bad rate» в 2 раза.
В части кредитной нагрузки населения следует отметить первые признаки
улучшения: индекс кредитного здоровья в конце 2015 г. впервые с 2012 г.
продемонстрировал небольшой рост, что является важным сигналом в стабилизации
потребительского спроса (рис.).
Компания FICO проанализировала данные НБКИ по кредитованию населения (см.
Приложение 1) в разрезе федеральных округов России (рис. 2.5). Увеличение
Индекса наблюдалось во всех федеральных округах, за исключением Уральского (-1
пункт) и Сибирского (без изменений) ФО (см. Приложение 2).
Рисунок 2.5 Значение индекса кредитного здоровья населения России с
октября 2008 года по октябрь 2016 года (Источник: НБКИ, FICO) [32]
Несмотря на это, розничные сети продолжают стремительно развиваться как
экстенсивным методом, так и путем совершенствования и расширения форм
взаимодействия с потребителем. Развитие аптечных сетей возможно за счет того,
что по-прежнему уровень проникновения современных форматов торговли в
фармацевтической рознице остается на невысоком уровне.
Таким образом, можно сделать ряд выводов о поведении российского
потребителя на рынке лекарственных препаратов:
покупкой ЛП занимаются преимущественно женщины;
в среднем аптеку посещают раз в 2-3 месяца, при этом покупки совершаются
сравнительно небольшие;
в России не так развит рынок фармацевтики, как, например, в США или
Японии, где распространен подход профилактики заболеваний;
российский покупатель исключительно осведомлен о ЛП, так как часто
приобретает безрецептурные препараты для самолечения или предпочитает
перепроверять рецептурные показания лечащего врача;
отличительная черта российского потребителя - приверженность бренду ЛП,
который является важнейшим прямым инструментом коммуникации между
производителем и покупателем;
акции и консультационные услуги от компетентных провизоров и фармацевтов
способны привлечь гораздо больше покупателей, нежели преимущество в цене или
привлекательное оформление стеллажей;
важными критериями при выборе аптеки являются уровень цен, качество
медикаментов, система скидок, осведомленность и профессионализм персонала, а
также график работы.
.3 Характеристика уровней фармацевтического рынка России
.3.1 Структура Российского рынка фармацевтических препаратов
Для того, чтобы определить структуру того или иного рынка, важно
понимать, какие субъекты в него входят. К органам власти, регулирующим
деятельность субъектов на фармацевтическом рынке относятся Правительство РФ,
ФАС, Минздрав, Комитеты по здравоохранению, уполномоченные федеральные органы
власти, Научный центр экспертизы и государственного контроля качества
Минздавсоцразвития России (НЦ ЭТКЛС) и другие. А нормативные акты и
обязательные стандарты: ТУ, ГОСТ Р 52249-04, ФЗ, стандарты GMP, международные стандарты серии ИСО
8402 и прочее.
Исследованием фармацевтического рынка России занимаются такие агентства,
как GfK Group, KPMG, IMS Health, DSM Group, Национальное
рейтинговое агентство и др.
Сам коммерческий рынок, на котором оборачиваются лекарственные препараты
(ЛП), состоит из трех уровней контрагентов:
производители лекарственных препаратов;
дистрибьюторы лекарственных препаратов;
розничные сети и индивидуальные аптеки.
Помимо контрагентов выделяется продуктовый уровень - рынок лекарственных
препаратов.
Так как центральным звеном нашего исследования является рынок аптек, из
рассмотрения исключаются продажи профессионального медицинского оборудования,
госпитальных расходных материалов.
Также важно отметить, что значительную долю рынка занимают
государственные закупки, однако в область количественного исследования данный
сегмент не входит. Коммерческий сегмент фармацевтического рынка включает в себя
аптечные продажи ЛП и парафармацевтики без учета продаж по Программе
дополнительного лекарственного обеспечения (ДЛО). Государственный сегмент
фармацевтического рынка включает в себя аптечные продажи ЛП по Программе ДЛО, а
также реализацию через лечебно-профилактические учреждения.
Отметим, что в связи со сходством характера производства, реализации и
потребления рынку лекарственных препаратов сопутствуют также две дополнительные
категории товаров (парафармацевтика): биологически активные добавки (БАДы) и
косметика (косметика и средства гигиены). Дополнительные категории не
рассматриваются в данном исследовании.
Согласно данным розничного аудита DSM Group, объем коммерческого рынка ЛП
в марте 2017 г. составил 59,3 млрд. руб. (с НДС).
Распределим участников рынка на схеме (рис. 2.6) и рассмотрим каждый
уровень отдельно.
Рисунок 2.6 Структура фармацевтического рынка России
.3.2 Производители ЛП розничного коммерческого рынка
По данным Министерства промышленности и торговли России по состоянию на
конец 2016 года на территории Российской Федерации действовало 527 лицензий на
производство, что соответствует 566 производственным площадкам в 71 регионе, из
них:
378 (66,8%) производят ГЛФ и субстанции,
185 производят только спиртосодержащие растворы (144), медицинские газы
(33) или медицинские пиявки (8),
3 (0,5%) осуществляют исключительно вторичную упаковку. [9]
В таблице 2.7 приведены ТОП-20 фирм производителей, лидирующих по объёму
продаж за 2015 год на коммерческом рынке лекарственных препаратов в России.
Таблица 2.7
ТОП-20 фирм производителей за 2015 год на коммерческом рынке ЛП в России
|
Рейтинг 2015 г.
|
Изменение
|
Фирма-производитель
|
Стоимостный объем, млн.
руб. 2015 г.
|
Прирост стоимостного объема
|
Доля
|
|
1
|
|
Sanofi
|
28 033
|
-0,10%
|
5,00%
|
|
2
|
1
|
Bayer
|
26 480
|
5,10%
|
4,70%
|
|
3
|
-1
|
Novartis
|
25 886
|
0,50%
|
4,60%
|
|
4
|
|
Servier
|
19 502
|
2,20%
|
3,50%
|
|
5
|
|
Glaxosmithkline
|
18 139
|
-0,30%
|
3,20%
|
|
6
|
|
Takeda
|
17 845
|
7,10%
|
3,20%
|
|
7
|
|
Teva
|
16 890
|
8,60%
|
3,00%
|
|
8
|
|
Berlin-Chemie
|
15 979
|
8,50%
|
2,80%
|
|
9
|
|
Отисифарм
|
15 580
|
8,20%
|
2,60%
|
2
|
Gedeon Richter
|
14 451
|
16,70%
|
2,60%
|
|
11
|
3
|
Stada
|
13 848
|
19,20%
|
2,50%
|
|
12
|
-2
|
Abbott
|
13 522
|
6,30%
|
2,40%
|
|
13
|
-2
|
Pfizer
|
12 086
|
-2,70%
|
2,10%
|
|
14
|
-1
|
Johnson & Johnson
|
12 008
|
1,60%
|
2,10%
|
|
15
|
|
KRKA
|
11 578
|
8,50%
|
2,10%
|
|
16
|
|
Astellas
|
10 457
|
10,40%
|
1,90%
|
|
17
|
1
|
Actavis
|
10 298
|
19,90%
|
1,80%
|
|
18
|
4
|
Фармстандарт
|
10 014
|
34,10%
|
1,80%
|
|
19
|
|
Valeant
|
9 096
|
11,70%
|
1,60%
|
|
20
|
-3
|
Boehringer Ingelheim
|
8687
|
-4,90%
|
1,50%
|
В 2015 году на российском фармацевтическом рынке присутствовало свыше
1100 игроков. Суммарно на ТОП-20 фирм-производителей приходится 55,1% стоимостного
объёма продаж лекарственных препаратов. По сравнению с 2014 г. общая доля 20
крупнейших компаний немного увеличилась (53,5% в 2014 г.).
Если в основе рейтинга учитывать объем продаж в натуральных величинах, то
лидерами аптечного спроса по большей мере являются отечественные производители.
Максимальная доля у «Фармстандарта» (около 8%), Stada занимает порядка 3,3% в
упаковках от аптечных продаж, а ТОП-3 замыкает «Верофарм» - 3,2%. Концентрация
по данному показателю ниже, чем аналогичный показатель в стоимостном выражении:
на ТОП-20 производителей приходится 47,5% реализации лекарств в натуральном
выражении.
В марте 2017 г. на аптечном рынке России присутствовало 997
фирмпроизводителей лекарственных препаратов. ТОП-10 корпораций по объему продаж
представлен в таблице ниже (табл. 2.8).
Таблица 2.8П-10 корпораций-производителей ЛП по доле в аптечных продажах
в России (в стоимостном выражении) в феврале-марте 2017 г.
|
Рейтинг
|
Корпорация-производитель
|
Доля от стоимостного объема
продаж,
|
Доля от натурального объема
продаж, руб., % уп., %
|
|
Март
|
Февраль
|
Март
|
|
Март
|
Февраль
|
Март
|
Март
|
Февраль
|
Март
|
|
2016
|
2017
|
2017
|
|
2016
|
2017
|
2017
|
2016
|
2017
|
2017
|
|
1
|
1
|
1
|
BAYER
|
4,9
|
4,8
|
4,9
|
1,5
|
1,3
|
1,4
|
|
2
|
2
|
2
|
SANOFI
|
4,6
|
4,1
|
4
|
2
|
1,8
|
1,8
|
|
3
|
3
|
3
|
NOVARTIS
|
4,1
|
4
|
4
|
2,2
|
2,2
|
2,2
|
|
4
|
4
|
4
|
ОТИСИФАРМ
|
3,2
|
3,7
|
3,5
|
3,1
|
3,5
|
3,4
|
|
5
|
5
|
5
|
SERVIER
|
3,4
|
3,1
|
3,2
|
1,5
|
1,5
|
1,5
|
|
6
|
6
|
6
|
TAKEDA
|
3,1
|
3
|
3,1
|
2
|
2,1
|
2,1
|
|
7
|
7
|
7
|
GLAXOSMITHKLINE
|
3
|
2,9
|
2,8
|
1,7
|
1,8
|
1,7
|
|
11
|
9
|
8
|
STADA
|
2,5
|
2,8
|
2,7
|
3,4
|
3,6
|
3,5
|
|
8
|
11
|
9
|
TEVA
|
2,9
|
2,6
|
2,7
|
2,4
|
2,1
|
2,2
|
|
9
|
8
|
10
|
BERLIN-CHEMIE
|
2,8
|
2,8
|
2,6
|
1,8
|
1,8
|
1,7
|
|
|
|
Общая доля ТОП-10
|
|
33,7
|
33,6
|
21,6
|
21,6
|
21,5
|
Состав ТОП-10 компаний-производителей, лидирующих по объемам продаж на
коммерческом рынке ЛП, в марте 2017 г. по сравнению с предыдущим месяцем
значительно не изменился, за исключением компании Johnson & Johnson,
которая покинула ТОП-10 в марте этого года. Компания Bayer остается в мае 2017 г. на лидирующей позиции, показав
рост продаж за месяц на 13,9%.
Заметим, что все компании, вошедшие в ТОП-10 компаний-производителей
коммерческого рынка ЛП, показывают увеличение объемов аптечной реализации.
Максимальный рост принадлежит компании Servier (+17,1% к стоимостному объему февраля 2017 г.).
Общая доля компаний, входящих в ТОП-10, в марте 2017 г. составила чуть
более трети (33,6%) от стоимостного объема продаж ЛП на всем коммерческом
аптечном рынке ЛП, что в натуральном выражении составляет всего 21,5%.
.3.3 Дистрибьюторский сектор фармацевтического рынка
Российский рынок фармацевтики невозможно представить без крупнейших
дистрибьюторов. Как правило для отечественной ситуации, дистрибьюторы владеют
разветвленной сетью логистических центров, крупными фармацевтическими складами
во многих регионах нашей необъятной страны, таким образом концентрируя на себе
распределение товарно-денежных потоков, обеспечивая население лекарствами, а
также являясь значимым звеном, связывающим производителей и розничных
продавцов.
Несмотря на весомое положение и крупные обороты, некоторые участники
данного уровня рынка решают покинуть фармрынок или соглашаются на слияние или
поглощение, что сразу же вносит заметные изменения в структуру всего рынка и
влияет на конъюнктуру в целом. Например, в 2015 году с рынка ушли 2 крупных
игрока (Oriola, «Империя-фарма»), которые входили в ТОП-20. Не исключены
ситуации с банкротством гигантов рынка препаратов: в июне 2015 года
дистрибьютор из Санкт-Петербурга «Империя-Фарма» объявил о банкротстве,
компания была представлена как на рынке госзакупок (45% оборота), так и в
розничном звене (55%)). Некоторые компании решают перепрофилироваться и перейти
на смежные рынки.
После ухода конкурентов и освобождения доли рынка в размере 5,2% в 2015
году, высвободившуюся нишу потенциально могут занять ведущие дистрибьюторы
(«Катрен», «Протек») или игроки так называемого второго эшелона, которые в
последние годы демонстрируют свое развитие путем реализации агрессивной
политики («Пульс», «БСС», прирост которых за последние годы максимальный в
десятке лидеров).
Представим рейтинг ТОП-10 фармдистрибьюторов российского рынка по данным
на 2015 год (табл. 2.9).
Таблица 2.9
Рейтинг ТОП-10 дистрибьюторов лекарственных препаратов на российском
рынке, 2015 год
|
Рейтинг 2015 г.
|
Дистрибьютор
|
Объём, млрд. руб.
|
Прирост стоимостного
объема, %
|
Доля, %
|
|
1
|
Катрен
|
202,9
|
26
|
19,9
|
|
2
|
Протек
|
185,9
|
25
|
18,3
|
|
3
|
РОСТА
|
109,6
|
5
|
10,8
|
|
4
|
Пульс
|
105
|
50
|
10,3
|
|
5
|
СИА
|
91,5
|
15
|
9
|
|
6
|
Alliance Healthcare
|
79,7
|
9
|
7,8
|
|
7
|
Р-Фарм
|
74
|
7
|
7,3
|
|
8
|
Фармкомплект
|
43,6
|
21
|
4,3
|
|
9
|
БСС
|
33,7
|
64
|
3,3
|
|
10
|
Евросервис
|
21,4
|
29
|
2,1
|
|
Совокупное значение ТОП 10
|
947,3
|
|
93,1
|
Как видно из табл. 2.9., 10 крупнейших дистрибьюторов делят 93,1% всего
фармрынка, для более мелких участников остается около 7%.
Объём фармацевтического рынка России в ценах дистрибьюторов составил 1
018 млрд. руб., что на 9% выше в сравнении с 2014 годом. В 2015 году ускорилась
консолидация рынка. ТОП-10 дистрибьюторов заняли порядка 93%, тогда как в
прошлом году она составляла около 89%, при этом рост обусловлен увеличением
концентрации ТОП-3 дистрибьюторов - их доля выросла с 45% до 49%. Увеличение
совокупной доли тройки лидеров объясняется более высокими темпами роста
«Катрен» и «Протек».
На протяжении последних трёх лет лидером оптового звена является
дистрибьютор «Катрен», в том числе за счет существенно быстрого роста по
сравнению с конкурентами, а замыкает ТОП-3 в 2015 году дистрибьютор «РОСТА»,
однако темпы её роста самые низкие не только в тройке, но и ниже темпов роста
рынка в целом. Финансовая нестабильность влияет на покупательскую способность и
потребительский рынок ЛП еще будет претерпевать снижение.
Учитывая тот факт, что крупные оптовики уходят с рынка, можно судить о
наличии кризисных явлений. Каждый участник рынка справляется с такими условиями
по-своему, но заметным явлением в текущий период является активное развитие
складской и логистической инфраструктуры.
Так, лидирующая последние несколько лет компания «Катрен», стала
резидентом биотехнопарка наукограда Кольцово в Новосибирской области. Компания
планирует построить в Кольцово высокотехнологичный автоматизированный
централизованный логистический центр для оперативного обеспечения аптек и
больниц. Во втором квартале 2016 года заработает логистический центр в
Саратовской области. В сумме инвестиции превышают 1,5 млрд. руб.
В конце 2015 года «Пульс», чьи продажи возросли в 1,5 раза за 2015 год
(поднявшись в рейтинге с 10 на 4 позицию), стала арендатором логистического
комплекса «Ленинградского терминала» (Московская область).
В 2015 году ЦВ «Протек» модернизировал склад в Санкт-Петербурге, за счёт
чего производительность увеличена в два раза, также начато строительство нового
складского комплекса для производителей на 42 000 палетомест в Пушкино.
Дистрибьютор «БСС» по итогам года вырос на 64%, что позволило нарастить
долю на рынке в 1,5 раза до 3,3% и занять 9 место в рейтинге. Цель компании -
войти в ТОП-5 дистрибьюторов по объёмам отгрузок. Пока компания представлена в
России только 10 филиалами, но планирует открыть полноценные логистические
центры в Нижнем Новгороде, Воронеже и одном из городов Сибири.
Рассмотрим особенности некоторых крупнейших игроков дистрибьюторского
уровня фармрынка:
. «Катрен» - единственный дистрибьютор, который строит свой бизнес
не только в России, но и в странах СНГ (компания представлена на Украине, в
Казахстане и Белоруссии). Удачный проект компании - сайт apteka.ru - это
интернет-портал, объединяющий 13300 аптек-партнеров, закупки через которую в
2015 году осуществили более 11,4 тыс. аптечных учреждений на сумму 2,7 млрд.
руб.
. Дистрибьютор «Протек», расположенный на второй строчке рейтинга
с разрывом от лидера в 17 млрд. руб. является публичной компанией, которых на
рынке ЛП ограниченное количество. По данным экспертов международного
рейтингового агентства «РИА Рейтинг», Группа компаний «Протек» вошла в ТОП-100
самых дорогих публичных российских компаний в 2015 году, заняв 72-ю позицию.
Капитализация компании в 2015 году составила 435,4 млн. долларов. Компания
владеет пятью логистическими центрами, 20 филиалами со складами и 48
складами-депо. Розничный сегмент представлен тремя форматами аптек: фарммаркет
«Ригла» и дискаунтеры «Будь здоров!» и «Живика» - аптеки быстрого обслуживания.
За 2015 г. розничная сеть выросла на 259 аптек (329 аптек было открыто, а 70 -
закрыто) до 1461 торговой точки в 46 регионах РФ.
. Дистрибьютор «РОСТА» владеет 1110 аптеками в 46 городах (крупные
аптечные сети «Радуга», «Первая помощь», «Ладушка»), 371 собственными торговыми
марками, по итогам 2016 года находится в ТОП-5 аптечных сетей. Но заметим, что
доля дистрибьютора на упала на 0,4%, а это самый низкий показатель в ТОП-3 и
даже ниже роста рынка в целом. «РОСТА» также владеет собственным производством
на заводе «Радуга Продакшн».
. СИА групп предлагает аптекам собственную разработанную
автоматизированную систему управления М-Аптека.
5. Alliance Healthcare Russia куплен аптечной сетью 36,6 и временно прекратил свою деятельность с перспективой возвращения на
рынок.
. Р-Фарм активно занимается фармацевтическим производством и
исследованиями в сфере фармакологии.
. «БСС» развивает аптечную сеть «АЛОЭ», в которую сейчас входит
127 аптек, с перспективой расширения сети до 500 аптек. Помимо органического
роста компания будет использовать уже ставшие популярными на рынке инструменты:
дистрибьютор заключил соглашение об открытии своих торговых точек на территории
300 продуктовых магазинов ретейлера Х5.
Подавляющее большинство национальных дистрибьюторов владеют аптечным
бизнесом, за исключением оптовых компаний, специализирующихся на
государственных закупках. Некоторые гиганты оптового уровня реализуют
собственное программное обеспечение для розничных сетей, имеют собственное
производство или инвестируют в экстенсивное развитие крупные суммы денег.
.3.4 Аптеки
«На сегодняшний день фармацевтический рынок России - это примерно 50 тыс.
аптек с суммарным оборотом около 1 трлн рублей. Рынок постоянно меняется: новые
игроки приходят, старые уходят, происходит консолидация, объединение разных
структур. Возник ряд серьезных игроков, в том числе несколько федеральных
компаний, которые становятся направляющими в этом секторе.» [35]
За последнее время устоялась тенденция консолидации и переход все большего
числа аптек к мультиформатности развития. Лидером в процессах консолидации
стала компания «Аптечная сеть 36,6»: декабрь 2014 года завершился покупкой
российского бизнеса финской Oriola-KD, в состав которой входят аптеки «Старый
лекарь» и «03 Аптека». В течение первой половины 2015 года компания активно
занималась ребрендингом купленных аптек под бренды «Горздрав» и «36,6». Летом
2015 года ОАО «Аптечная сеть 36,6» объявила о завершении объединения группы
компаний «36,6» и аптечной сети «А.v.е». В декабре 2015 года произошло слияние сети с ещё одним крупным
игроком - аптечной сетью «А5», которая занимала 5 строчку рейтинга. Данная
сделка позволила «Аптечной сети 36,6» стать лидером по количеству точек,
объединённых в единую сеть. По итогам 2015 года «Аптечная сеть 36,6»
консолидирует в своем составе более 1910 точек.
Внимание аптечных сетей часто сосредоточено на регионах. В декабре 2015
года была закрыта сделка по покупке фармацевтической группой «Роста»
нижегородского дискаунтера «Ладушка». В результате сделки количество точек сети
составило 1146 аптечных учреждений. Таким образом, «Радуга» стала пятой сетью,
которая смогла преодолеть планку в 1000 точек. Аптечная сеть «Радуга» после
слияния с сетью «Ладушка» займет на рынке порядка 2,6% и поспорит с самарской
«Имплозией» за третью строчку рейтинга.
«Мелодия здоровья» купила самарскую сеть аптек «Близнецы». «Близнецы» -
аптечная сеть Самары, состоит из 30 аптек, работающих в формате дискаунтера.
Сеть аптек «Фармакопейка» - «Твой доктор» с июля 2015 года представляет
собой консолидированную структуру, объединившую в своем составе порядка 530
аптек в четырех федеральных округах. Аптечная сеть «Твой доктор» долгое время
занимала прочные позиции в Тульской области. «Фармакопейка» - одна из наиболее
динамично развивающихся сетей в Сибирском федеральном округе - стремительно
наращивает долю присутствия аптек дисконт-формата.
В ноябре 2015 года «Калинка» - одна из крупнейших аптечных сетей Тюмени -
стала частью сети «Фармленд».
Все больше ретейлеров приходят к выводу, что, развивая несколько сетей
под разными брендами с разными форматами, легче подстраиваться под меняющийся
рынок. Аптечная розница не стала исключением: сети развиваются сейчас в
нескольких форматах - аптеки открытой формы торговли и так называемые «дискаунтеры»
(аптеки низких, оптовых цен). Практически каждая из сетей ТОП-20 имеет в своем
составе два (или более) бренда под каждый формат, например:
«Ригла» и «Будь Здоров»,
«Доктор Столетов» и «Озерки»,
«36,6», «Горздрав» и «A.V.E»,
«Радуга» и «Ладушка» и т.д.
Формат дискаунтеров востребован, особенно в условиях кризиса, он
позволяет привлекать потребителей с низким уровнем доходов.
Помимо уже сложившихся форматов аптечные сети в последние время активно
ищут новые формы взаимодействия с другими ретейлерами. Так, ретейлер «Дикси»
заключил бессрочное партнерское соглашение с аптечным оператором «Аптечная сеть
36,6» о предоставлении приоритетного права размещения на арендуемых площадях.
«Аптечная сеть 36,6» сможет открывать свои представительства в магазинах сети
«Дикси» формата «у дома» и супермаркетах «Виктория».
В июне 2015 года X5 Retail Group объявила о введении новых условий
сотрудничества с арендаторами магазинов «Пятерочка». В рамках новых условий
сотрудничества сеть аптек «Планета Здоровья» откроет 150 аптек в универсамах
«Пятерочка». Аптеки «Планета Здоровья» будут расположены как в закассовой зоне
магазинов «Пятерочка», так и в самом торговом зале универсамов - формат
shop-in-shop. Помимо «Планеты Здоровья» на площадях «Пятерочки» расположится и
аптечная сеть «Алоэ». Партнёрство предусматривает открытие не менее 330 пунктов
по продаже лекарств в магазинах «Пятёрочка» до конца 2017 года.
«Аптечная сеть 36,6» стала первой, открывшей аптеку общей площадью 1
тысяча квадратных метров. Гипермаркет «36,6» ориентирован на профессиональные
консультации по всем категориям товаров. Кроме традиционного ассортимента
аптека предлагает услуги фотостудии, бритья, а также консультации в области
спортивного питания. В течение пары лет появятся до 30 аптечных учреждений расширенного
формата.
Суммарно ТОП-10 сетей выросли в 2015 году на 25% к аналогичному периоду
2014 года. Доля ТОП-10 составила 23%, что на 3% выше показателя 2014 года.
Таким образом, мы видим, что процессы слияния и поглощения в последние 2 года
коснулись в большей мере ТОП-10 аптек, что привело к росту концентрации на 6%.
До этого момента суммарная доля ведущих 10 аптечных сетей держалась ан уровне
16-17% на протяжении последних 7 лет.
Рисунок 2.7 Динамика оборота количества точек продаж ТОП-10 аптечных
сетей за 2011-2015 гг.
На рис. 2.7 представлены рост оборота и количества точек ТОП-10 аптечных
сетей в 2011-2015 годах. Последние три года наблюдается существенный прирост по
показателю количества точек, так как сети начали активно расти за счет открытия
новых точек и объединения сетей. Прирост в количественном составе ТОП-10 сетей
составляет 72% к уровню показателей 2011-2012 годов. В рейтинге 2015 года уже 5
сетей имеют в своей количественном составе более 1000 точек.
Рисунок 2.8 Сравнение динамики фармацевтического рынка с ростом долей и
оборотов ТОП-10 аптек за 2011-2015 гг.
Из графика (рис. 2.8) видно, что динамика концентрации 10 лидирующих
аптечных сетей не повторяет динамику роста рынка. Крупнейшие компании растут не
по причине увеличения покупательской способности, а за счет структурных
преобразований, другими словами благодаря консолидации и поглощения небольших
конкурентов. Также весомое значение по-прежнему имеет органический рост сетей.
«Ригла» открыла за 2015 года 192 новых аптеки. Эта сеть на протяжении
последних нескольких лет является лидером по органическому росту. Более ста
аптек открыли такие сети, как «Аптека Таймер», «Апрель», «Фармленд». Прошедший
год был наполнен сделками, которые существенно изменили расстановку на аптечном
рынке. На протяжении всего года мы наблюдали «борьбу» за лидерство между двумя
игроками ритейла - аптечной сетью «Ригла» и «Аптечная сеть 36,6».
По фактическому объёму продаж аптечная сеть «Ригла» заняла первое место.
Отрыв от компании «Аптечная сеть 36,6» минимален и связан с более успешной
продажей в сети парафармацевтических групп товаров. Согласно рейтингу, доля
«Риглы» выросла с 3,2% до 3,6% за год.
По результатам за январь-ноябрь 2015 года аптечная сеть «А5» имеет оборот
порядка 20 млрд. руб., что позволяет сети условно располагаться на 5 строчке. В
результате слияния компаний «Аптечная сеть 36,6» и «А5» доля объединенной сети
превысит 5,5% и будет в ближайшее время не достижима для других участников
рынка органическим развитием.
В таблице приведем рейтинг аптечных сетей в коммерческом секторе с
количественными и стоимостными показателями развития в 2015 г (табл. 2.10).
Диверсификацией бизнеса в прошлом могли «похвастаться» только дистрибьюторы,
которые активно развивали как аптечные сети, так и производственные площадки.
В начале 2016 года аптечная сеть «36,6» заявила о планах начать активно
развивать оптовый сегмент бизнеса. В структуре группы «36,6» функционирует
дистрибутор ООО «Гуд Дистрибьюшн Партнерс», который в настоящий момент
обслуживает розничный сегмент, но в связи со значительным ростом числа прямых
контрактов с производителями препаратов планируется начать оптовые поставки
третьим лицам на российском рынке.
Российская фармацевтическая компания «Эвалар», которая владеет
одноименной аптечной сетью из 66 аптек, решила занять нишу нелекарственной
розницы и вывела на рынок нового ретейлера - сеть магазинов «Фитомаркет». Новая
розничная сеть «Фитомаркет» представляет собой магазины «натуральных товаров
для здоровья», в которых представлен «нелекарственный» ассортимент:
витаминно-минеральные комплексы, фитокосметика, спортивное, диетическое и
другое питание. В 2016 году «Эвалар» собиралась открыть еще 3-5 магазинов под
брендом «Фитомаркет».
Таблица 2.10
Рейтинг аптечных сетей в коммерческом секторе с количественными и
стоимостными показателями развития в 2015 г.
|
Рейтинг
|
Аптечные сети
|
Объём, млрд. руб.
|
Доля на коммерческом
сегменте, 2015
|
Прирост оборота по
сравнению с 2014
|
Количество точек продаж
|
|
1
|
Ригла
|
34,1
|
3,60%
|
25,00%
|
1461
|
|
2
|
Аптечная сеть 36,6
|
33,5
|
3,60%
|
31,00%
|
1912
|
|
3
|
Имплозия
|
25,1
|
2,70%
|
11,00%
|
1400
|
|
4
|
Доктор Столетов
|
21
|
2,20%
|
12,00%
|
311
|
|
-
|
А5
|
20
|
2,10%
|
2,00%
|
1072
|
|
5
|
Радуга
|
17,6
|
13,00%
|
1146
|
|
6
|
Планета здоровья
|
14,5
|
1,60%
|
41,00%
|
905
|
|
7
|
Фармленд
|
12,9
|
1,40%
|
25,00%
|
585
|
|
8
|
Фармаимпекс
|
12,4
|
1,30%
|
2,00%
|
579
|
|
9
|
Фармакопейка
|
11,4
|
1,20%
|
38,00%
|
530
|
|
10
|
Самсон-фарма
|
10,3
|
1,10%
|
33,00%
|
56
|
|
11
|
Вита
|
10,1
|
1,10%
|
36,00%
|
533
|
|
12
|
Классика
|
9,4
|
1,00%
|
15,00%
|
191
|
|
13
|
Аптека-Таймер
|
8,8
|
0,90%
|
43,00%
|
515
|
|
14
|
Нео-фарм
|
8,7
|
0,90%
|
90,00%
|
217
|
|
15
|
Мелодия здоровья
|
8,5
|
0,90%
|
36,00%
|
618
|
|
16
|
Апрель
|
7,6
|
0,80%
|
43,00%
|
400
|
|
17
|
Фармакор
|
7,2
|
0,80%
|
1,00%
|
320
|
|
-
|
Ладушка
|
7,1
|
0,80%
|
8,00%
|
270
|
|
18
|
Губернские аптеки
|
5,8
|
0,60%
|
49,00%
|
240
|
|
19
|
Невис
|
5,8
|
0,60%
|
7,00%
|
305
|
|
20
|
Новая Аптека (Хабаровск)
|
5,7
|
0,60%
|
25,00%
|
122
|
Финансовая нестабильность и рост курса валют спровоцировали инфляцию, в
том числе и на лекарства. Это привлекло дополнительное внимание к проблеме
роста цен. И еще весной 2015 года президент страны Владимир Путин дал поручение
Правительству РФ и региональным Министерствам здравоохранения рассмотреть
вопрос о целесообразности создания государственных и муниципальных аптечных
организаций, рассчитанные на низкий ценовой сегмент. В рамках данного поручения
произошла активизация деятельности по открытию государственных аптек. Так, в
Подмосковье в 2015 году открыто около 100 аптечных пункта. К концу 2016 года
государственная аптечная сеть Московской области «Мособлмедсервис» должна
насчитывать порядка 280 аптек. В Новосибирске муниципальные аптеки будут
открываться в метро. В Ульяновской области открываются государственные
аптеки-дискаунтеры. Заметим, что и сейчас государственные аптечные сети
остались во многих регионах. По оценкам DSM Group [31], доля государственных аптек
достигает 10%.
Московский регион (Москва и Московская область) - наиболее ёмкий регион в
России. Совокупно доля этих двух субъектов составляет порядка 29% в общей
ёмкости аптечного рынка, в котором работают порядка 9000 участников.
Концентрация в московском регионе выше (38%), чем по России в целом (31%).
Процессы консолидации будут продолжаться, что в свою очередь может
привести к смене участников, фигурирующих в рейтинге аптечных сетей. Ожидается,
что темпы развития слияний замедлятся под влиянием конъюнктуры рынка, что
наблюдалось в аналогичных условиях ранее в 2009-2010 годах.
.3.5 Лекарственные препараты
Федеральный закон Российской Федерации «Об обращении лекарственных
средств» [53] дает следующее определение лекарственных препаратов - «лекарственные
средства в виде лекарственных форм, применяемые для профилактики, диагностики,
лечения заболевания, реабилитации, для сохранения, предотвращения или
прерывания беременности».
Рассмотрим рынок лекарственных препаратов России, начиная с объема
коммерческого рынка. В марте 2017 года емкость рынка, млн. упаковок составляла
390,4 млн. упаковок ЛП (что на 12,3% больше, чем в феврале, и на 20,2% больше,
чем в марте 2016 г.) или 59,3 млрд. руб. (с НДС).
Таблица 2.11
Динамика объема фармацевтического рынка в натуральном выражении за
2014-2016 гг.
|
Месяц
|
Емкость рынка, млн.
упаковок
|
|
Год
|
2014
|
2015
|
2016
|
|
Январь
|
352,5
|
337,8
|
318,1
|
|
Февраль
|
353,6
|
385,8
|
315,8
|
|
Март
|
378
|
393
|
323,3
|
|
Апрель
|
352,4
|
343
|
327,9
|
|
Май
|
315,7
|
321
|
316,2
|
|
Июнь
|
300,6
|
321,4
|
318,6
|
|
Июль
|
308,8
|
307,5
|
304,5
|
|
Август
|
309,8
|
294,9
|
329,7
|
|
Сентябрь
|
377,2
|
321,9
|
373,3
|
|
Октябрь
|
378,5
|
312,1
|
355
|
|
Ноябрь
|
342,8
|
292,9
|
356,5
|
|
Декабрь
|
458,1
|
364,5
|
465,1
|
На рис. 2.9 представлена динамика объема коммерческого рынка ЛП России с
марта 2016 г. по март 2017 г. Традиционно в марте коммерческий рынок ЛП растет
по сравнению с предшествующим месяцем, нынешний год не стал исключением.
В среднем стоимость упаковки ЛП в марте 2017 г. стала ниже, чем в феврале
на 0,9%, составив 151,9 руб. В сравнении с ценами на март предыдущего года
отмечается рост цены на 2,9%.
Препараты - лидеры продаж
ТОП-20 брендов ЛП по объему аптечных продаж в России за март 2017 г.
представлен в табл. 2.12 Состав лидирующих препаратов, вошедших в рейтинг марта
2017 г. заметно изменился за месяц. Три из двадцати брендов покинули рейтинг,
уступив тем препаратам, которые были в третьем десятке брендов и ниже, при этом
15 брендов ЛП из ТОП-20 по итогам марта 2017 г. отметились ростом продаж.
Рисунок 2.9 Коммерческий рынок ЛП России, март 2016 г. - март 2017 г.
Общая доля препаратов ТОП-20 составляет 11,3% от всего коммерческого
аптечного рынка ЛП, что меньше, чем в феврале 2016 г на 0,1%.
Таблица 2.12П-20 лекарственных брендов ЛП по стоимостному объему продаж в
России в марте 2017 г.
|
Рейтинг
|
Бренд
|
Доля от стоимостного объема
продаж, руб, %
|
|
|
фев.17
|
мар.17
|
|
фев.17
|
мар.17
|
|
4
|
1
|
НУРОФЕН
|
0,74
|
0,77
|
|
2
|
2
|
КАГОЦЕЛ
|
0,81
|
0,75
|
|
8
|
3
|
ДЕТРАЛЕКС
|
0,57
|
0,7
|
|
9
|
4
|
АКТОВЕГИН
|
0,56
|
0,7
|
|
3
|
5
|
ЭССЕНЦИАЛЕ
|
0,76
|
0,66
|
|
5
|
6
|
КОНКОР
|
0,67
|
0,66
|
|
1
|
7
|
ИНГАВИРИН
|
1
|
0,66
|
|
11
|
8
|
МЕКСИДОЛ
|
0,55
|
0,66
|
|
6
|
9
|
КАРДИОМАГНИЛ
|
0,6
|
0,6
|
|
10
|
10
|
МИРАМИСТИН
|
0,55
|
0,55
|
|
17
|
11
|
КСАРЕЛТО
|
0,45
|
0,5
|
|
15
|
12
|
ПЕНТАЛГИН
|
0,47
|
0,49
|
|
7
|
13
|
ТЕРАФЛЮ
|
0,6
|
0,48
|
|
12
|
14
|
ЛИНЕКС
|
0,54
|
0,48
|
|
16
|
15
|
ЛОЗАП
|
0,46
|
0,47
|
|
19
|
16
|
КАНЕФРОН
|
0,43
|
0,46
|
|
22
|
17
|
ВИТРУМ
|
0,4
|
0,43
|
|
13
|
18
|
ЭРГОФЕРОН
|
0,52
|
0,42
|
|
52
|
19
|
АЛФЛУТОП
|
0,31
|
0,42
|
|
31
|
20
|
ВОЛЬТАРЕН
|
0,36
|
0,41
|
|
|
Общая доля ТОП-20
|
11,36
|
11,26
|
|
|
|
|
|
|
|
В марте 2017 г. в первой пятерке ТОП-20 лекарственных брендов
коммерческого рынка изменения коснулись следующих брендов: первую строчку занял
бренд «Нурофен» (наблюдалось увеличение стоимостного объема продаж по сравнению
с февралем 2017 г. на 15,7%), бренды «Детралекс» и «Актовегин» прибавили по 5
пунктов, благодаря значительному росту объема реализации в рублях (+36,6% и
+37,8% соответственно), в результате чего заняли 3 и 4 строчки; с третьей
строчки на пятую переместился бренд «Эссенциале» (-3,6% к предыдущему месяцу).
Максимальное увеличение было отмечено у бренда «Алфлутоп»: +50,2%. Продажи
бренда «Ингавирин» снизились на 26,7%, что стало максимальным падением объема
реализации по итогам марта 2017 года.
ЖНВЛП
Жизненно необходимые и важнейшие лекарственные препараты (ЖНВЛП) -
перечень лекарственных препаратов, утверждаемый правительством РФ в целях
государственного регулирования цен на лекарственные средства. Список ЖНВЛП был
создан с целью повысить доступность данных препаратов для населения и для
лечебно-профилактических учреждений.
Периодически в перечень ЖНВЛП вносятся коррективы, например, в 2015 году
список формировался по новым правилам: в него включались только лекарства с
доказанной клинической эффективностью на основе двухуровневой экспертизы. За
последние пару лет впервые был обновлен перечень, действующий на территории
России: дополнительно включены 43 лекарственных препарата (из них шесть имеют
российских производителей), исключён один лекарственный препарат (имеет
российского производителя), при этом число международных непатентованных
наименований (МНН) лекарственных препаратов указанного перечня увеличено с 604
до 646 наименований.
Введение чёткого регламента в формировании списка ЖНВЛП безусловно
помогает производителям лекарств, относящихся к списку, определить для себя
план действий на ближайший год, а потребителям понимать, на каком уровне
устанавливаются предельные отпускные цены на данные препараты. Однако эта мера
способна обнулить эффективность производства недорогих лекарств, стоимость
упаковки которых, как правило, не превышают порог в 30-50 рублей, что влечет за
собой необходимость субсидирования этих препаратов.
Существует требование по ценам на ЖНВЛП, согласно которому цена
воспроизведенного препарата не может превышать 80% цены референтного препарата,
а цена биоаналога - 90%.
По итогам 2015 года в продажах аптек было зафиксировано 583 МНН,
относящихся к перечню ЖНВЛП (что соответствует 1987 брендам). Объём продаж
препаратов перечня ЖНВЛП составил почти 200 млрд. рублей или 1 605 млн.
упаковок.
Сегментация рынка ЛП по ценам
Принято подразделять лекарственные препараты по ценовому признаку на 4
сегмента:
препараты, стоимостью менее 50 рублей,
лекарства, стоимость которых лежит в пределах от 50 до 150 рублей,
препараты по цене от 150 до 500 рублей (порог 500 рублей эксперты рынка
склонны считать определенным психологическим барьером для потребителя [43]),
и дорогостоящие препараты от 500 рублей и выше.
В Марте 2017 года распределение продаж по ценовым сегментам выглядело так
(рис.2.10):
Рисунок 2.10 Потребление лекарственных препаратов по ценовым сегментам в
стоимостном выражении
Российскому фармацевтическому рынку свойственна тенденция смещения спроса
в сторону более дорогих и эффективных лекарственных препаратов, несмотря на
распространенное желание сэкономить среди потребителей.
Помимо прочего, на распределение товаров по ценовым сегментам повлияло
банальное подорожание препаратов, которое автоматически переводит их в соседний
ценовой сегмент и корректирует картину рынка в соответствующую сторону.
Таблица 2.13
Доля ценовых сегментов и средняя цена в сегменте ЛП
|
|
доля продаж в стоимостном
выражении, %
|
средневзвешенная цена, руб.
|
|
|
мар.16
|
фев.17
|
мар.17
|
мар.16
|
фев.17
|
мар.17
|
|
менее 50 руб.
|
6,2
|
5,7
|
5,7
|
20,6
|
20,7
|
20,1
|
|
от 50 до 150 руб.
|
15,5
|
16,1
|
15,7
|
95
|
96,5
|
95,2
|
|
от 150 до 500 руб.
|
46,5
|
47,7
|
47
|
264,3
|
269,9
|
268,7
|
|
более 500 руб.
|
31,7
|
30,5
|
31,6
|
907,9
|
917,8
|
921,5
|
|
|
|
|
|
|
|
|
На графике ниже (рис. 2.11) отражена динамика потребления ЛП (в
стоимостном выражении) из разных ценовых категорий.
Рисунок 2.11 Структура разных ценовых категорий на коммерческом аптечном
рынке ЛП России в марте 2017 г.
В натуральном выражении самым емким сегментом является группа препаратов
с ценой до 50 рублей (в 2015 году - 47%), а в стоимостном выражении - сегмент с
ценами от 150 до 500 рублей (в 2015 году его доля составила 28,9%). Сегмент
верхней ценовой группы является наиболее быстро растущим, хотя доля в
натуральном выражении остается минимальной (5,7% по итогам марта 2017 года).
Индекс цен препаратов розничного коммерческого рынка
Для объективности оценки динамики цен важно учесть индексы цен за
исследуемый период (2015 год) по некоторым рынкам. Для расчета индекса цен на
лекарственные препараты использовался фиксированный список готовых
лекарственных средств. Как и ожидалось, рост индекса цен стал основным
драйвером роста фармацевтического рынка, как и в предыдущие периоды.
В 2015 году инфляция на лекарства (10,3%) была ниже, чем в целом индекс
потребительских цен Госкомстата (12,9%). [36] Рост цен на препараты немного
отставал от роста цен на продукты питания, непродовольственные товары и услуги
(14,0%), но опережал динамику цен на бензин (4,8%). На наиболее востребованные
препараты отмечено менее существенное повышение цен: индекс цен на ТОП-100
торговых наименований по обороту в 2015 году составил 7,4%.
В 2015 году изменение цен на отечественные (10,7%) и импортные (10,1%)
препараты отличалось друг от друга несущественно, однако отмечено превышение
темпов роста на препараты отечественного производства.
Расширение рынка и новые препараты розничного коммерческого рынка
Рост отечественного рынка ЛП обусловлен не только повышением цен, но
также и за счет расширения ассортимента, добавления новой номенклатуры
производимых товаров. В 2015 году в аптеках появилось более 460 новых брендов
лекарственных препаратов. Общий объём продаж новых ЛП в 2015 году превысил 960
млн. руб. (или 3,0 млн. упаковок), что составило 0,17% стоимостного и 0,08%
натурального объёма аптечных продаж всех лекарственных средств розничного
коммерческого рынка. Средневзвешенная цена одной условной упаковки нового
препарата составила около 319 рублей.
По объемам реализации лидируют среди новых препаратов «Флебофа» («Атолл»)
- 101,4 млн. рублей, «Микодерил» («Отисифарм») - 96,3 млн. рублей и
«Аторвастатин-СЗ» («Северная звезда») - 61,8 млн. рублей.
Важно отметить, что большинство новых ЛП произведено иностранными
производителями. Тем не менее, российские компании в 2015 году вывели на рынок
более 117 новых брендов, 9 из которых вошли в ТОП-20 новых торговых
наименований в стоимостном выражении за исследуемый период.
.4 Характеристика фармацевтического рынка г. Санкт-Петербург
Основное направление в фармацевтической и медициной промышленности в
Санкт-Петербурге - это производство и внедрение в медицинскую практику
инновационных лекарственных препаратов, воспроизведенных лекарственных средств,
медицинской техники и изделий медицинского назначения.
Существующая материально-техническая база, наличие высококвалифицированного
персонала и имеющиеся научные разработки позиционируют СПб как один из лидеров
на рынке фармацевтической и медицинской промышленности России.
Фармацевтический кластер объединил лидеров отечественной фармацевтической
отрасли Biocad, Solopharm,
Леккер, Фармасинтез, Вертекс, Полисан и других. [33]
В 2015 году фармацевтический рынок Санкт-Петербурга занимал 4% аптечного
рынка РФ. Размер коммерческого аптечного рынка Санкт-Петербурга в розничных
ценах за I полугодие 2015 г. составлял 20 867 млн. руб., из них рынок
лекарственных препаратов - 16 349 млн. руб., а парафармация - 4518 млн. руб.
В 2017 году на территории города действует 51 льготная аптека, список
которых указан на сайте Комитета по здравоохранению Санкт-Петербурга. В
льготных аптеках (подразделения АО «Петербургские аптеки») по специальным ценам
отпускаются препараты для льготных категорий граждан.
Для поиска другой достоверной и актуальной информации о действующих
субъектах фармацевтического рынка были сформированы обращения в Комитет по
здравоохранению Санкт-Петербурга и в Территориальный орган Росздравнадзора по
г. Санкт-Петербургу и Ленинградской области.
Комитетом по здравоохранению Санкт-Петербурга, в соответствии с
переданными полномочиями, ведется единый реестр лицензий на осуществление
фармацевтической деятельности, выданных аптечным организациям (в том числе
аптеки готовых лекарственных форм, производственные аптеки, аптечные киоски) и
индивидуальным предпринимателям. Единый реестр выданных Комитетом по
здравоохранению лицензий находится в открытом доступе на сайте Комитета по
здравоохранению [29]. Информация на сайте обновляется еженедельно.
Информация об организациях оптовой торговли, имеющих лицензии на
осуществление фармацевтической деятельности, размещена на сайте Росздравнадзора
по Санкт-Петербургу. [34]
Реестр компаний, обладающих лицензией, выданной уполномоченными органами,
содержит 500334 предприятий, из которых 135093 организации с правом на
осуществление фармацевтической деятельности. На территории города
Санкт-Петербург и Ленинградской области насчитывается 4251 организация с
фармацевтической лицензией, из них 768 - это некоммерческие организации,
общественные объединения, потребительские общества, войсковые части,
оздоровительные учреждения и лечебно-диагностические центры, религиозные
организации, а также государственные бюджетные учреждения здравоохранения. Таким
образом, действующих лицензий на осуществление фармацевтической деятельности на
территории Санкт-Петербурга и Ленинградской области коммерческим предприятиям
выдано 3483. Как правило, коммерческие фармацевтические организации
функционируют как открытые или закрытые акционерные общества, индивидуальные
или частные (частных предпринимателей всего два) предприниматели.
Как ни удивительно, несмотря на то, что в России 697 организаций, имеющих
лицензии на производство лекарственных препаратов, ни одна из них не
зарегистрирована в Санкт-Петербурге или Ленинградской области.
По данным поисковых сервисов Яндекс.Карты и 2ГИС [41] на февраль 2017
года на территории Санкт-Петербурга и Ленинградской области действуют 1742
аптечные организации, что соответствует 329 наименованиям аптечных сетей или
индивидуальных аптек и аптечных пунктов. В самом Санкт-Петербурге насчитано
почти 1050 аптек. Например, у аптечной сети Первая помощь на территории
Санкт-Петербурга расположено 148 филиалов, у аптечной сети Алоэ - 50 филиалов,
у сети Озерки - 54 филиала и т.д.
Сайт есть у 68% аптек и аптечных сетей (1186 из 1742 участников), но
полноценные Интернет-магазины работают только у 4 аптек. На сайте многих других
аптек есть прейскурант и возможность заказать заранее лекарственные препараты,
чтобы затем их забрать в самом аптечном пункте с оплатой при получении, в то
время как в Интернет-магазинах возможна онлайн оплата покупки и доставка
курьером или самовывоз из пунктов выдачи по желанию покупателя.
Рассмотрим распределение конкурирующих субъектов по числу их филиалов.
Рисунок 2.12 Распределение конкурентов по количеству аптечных пунктов в
Санкт-Петербурге
Как видно из рис. 2.12, более половины участников аптечного рынка (54,3%)
представлены в виде индивидуальных аптек, зарегистрированных как индивидуальное
предпринимательство или общество с ограниченной ответственностью. Почти треть
конкурентов (29,1%) представляют собой небольшую сеть из 2-4 аптек. В равных,
но небольших долях (по 6,2%) на рынке представлены аптечные сети из 5-9
филиалов и разветвленные сети, которым принадлежит свыше 20 аптечных пунктов. А
всего 4,2% конкурирующих аптек владеют 10-19 филиалами в Санкт-Петербурге.
Как и в любом другом крупном мегаполисе плотность территориального расположения
среди аптек в Санкт-Петербурге достаточно высока, чтобы называть рынок
конкурентным (на карте (рис. 2.13) аптечные пункты обозначены синими точками).
Для такой оценки важно выявить готовность потребителей найти более
привлекательные предложения среди ближайших аптек.
Рисунок 2.13 Карта аптек г. Санкт-Петербург на май 2017 г.
С целью выяснить готовность изучать рынок аптек перед покупкой препаратов
в апреле 2017 года был проведен опрос среди населения г. Санкт-Петербург.
Приведем дизайн проведенного исследования. В опросе участвовало 100 человек, от
18 до 79 лет. Респонденты были подобраны также по характеру занятости с целью
дифференцировать этот фактор: на вопросы отвечали студенты, служащие, рабочие и
пенсионеры.
Гипотеза, которая лежала в основе исследования звучит следующим образом:
спрос среднестатистического потребителя на услуги той или иной аптеки
чувствителен к уровню цен. Потребитель готов изучать предложения близлежащих
аптек в примерном радиусе 200 метров от его собственного расположения для того,
чтобы выбрать выгодное ценовое предложение.
Респондентам было предложено ответить на следующие вопросы с вариантами
ответов:
. Когда Вы собираетесь купить лекарство, изучаете ли Вы цены в
разных аптеках с целью выбрать более выгодное предложение?
А) да, цена играет важное значение;
Б) нет, покупку я делаю в ближайшей аптеке.
. (Если на вопрос выше Ваш ответ -"Да") Какое расстояние
Вы готовы пройти до аптеки с выгодными ценами?
А) не более 100 метров (до 1минуты);
Б) до 200 метров (до 3 минут ходьбы);
В) до 500 метров (до 7 минут ходьбы);
Г) до 1 км (около 15 минут ходьбы);
Д) я готов поехать и в более отдаленные районы.
Результаты опроса показали, что решающее значение для 69% потребителей
имеет цена препаратов, поэтому они заранее изучают предложения на рынке
лекарственных препаратов, а 31% респондентов делают покупку в ближайшей аптеке
вне зависимости от ценовой политики продавца.
Респондентам, выбравшим вариант Б в первом вопросе, было необязательно
отвечать на второй вопрос, однако некоторые из опрошенных согласились уточнить,
что считают приемлемым расстоянием, которое они готовы пройти, другими словами,
уточнить, какая дистанция является приемлемой, чтобы назвать аптеку
«ближайшей». На второй вопрос ответили 90 человек. Почти половина участников
ответили, что готовы преодолеть расстояние свыше одного километра ради более
выгодной покупки. Так ответили 44 человека или 48,9% респондентов. Пройтись
пешком до километра готовы 25,6% ответивших, а отдаленность в 500 метров
приемлема для 11,1%, 200 метров - 8,9% и для 5,6% (5 человек) ответивших
ближайшей аптекой является та, что расположена в 100 метрах от них.
Таким образом, мы видим, что для большинства не является проблемой
заранее подготовиться к покупке лекарственных препаратов и изучить ценовое
предложение. Поведение потребителя в целом характеризуется высокой готовностью
преодолеть дистанцию свыше 1 километра ради выгодных покупок.
Перейдем к вышестоящим иерархическим уровням. В открытом доступе [31]
размещен рейтинг 20 производителей по объемам продаж на территории г.
Санкт-Петербург (см. Приложение 3), Ленинградской области (см. Приложение 4) и
Северо-Западного округа (см. Приложение 5). Последние опубликованные данные
относятся к июлю 2016 года.
Помимо этих данных имеется информация в ретроспективе, поэтому можно
проследить «заменимость» компаний в рейтинге, то есть передвижения конкурентов
в рейтинге по месяцам. В будущих исследованиях планируется использовать такие
данные для оценки уровня конкуренции среди лидирующих компаний в качестве
составной части оценки уровня конкуренции на всем иерархическом уровне рынка.
На данный момент проанализируем составы рейтинга на сходство друг с
другом в зависимости от территориального охвата.
Как видно из таблиц (см. Приложение 3-5) лидирующую позицию в июле 2016
года занимала компания Bayer,
а следующие позиции разнятся, при этом одни компании занимают существенно
отличные позиции (например, 5 место по СЗФО, 13 - по Санкт-Петербургу и 16-ое
по Ленинградской области у компании Nycomed). В целом, мы видим, что компании, производящие препараты
имеют различный успех на разных, пусть даже смежных территориях, на которой
реализуются эти препараты. Таким образом, сравнение по территориям не имеет
практической значимости для исследователей общей конъюнктуры рынка, однако
динамика рейтинга может оказаться весомым фактором в части определения уровня
конкуренции.
К сожалению, на данном этапе исследования не удалось собрать сопоставимый
объем информации из достоверных источников о рынке лекарственных препаратов по
г. Санкт-Петербург, как по России в целом. Данный факт обусловил необходимость
оценки Санкт-Петербургского фармацевтического рынка через анализ российского.
III.
Анализ конкурентной среды фармацевтического рынка
.1 Анализ ценовой среды рынка лекарственных препаратов
Согласно данным о средних ценах на проданные упаковки лекарственных
препаратов за месяц с января 2014 года (рис. 3.1) можно проследить весьма
традиционную тенденцию к росту, за исключением летних периодов, когда снижение
цен на препараты обусловлено сезонностью спроса - для летних месяцев характерно
общее снижение продаж. Возможно, часть населения не использует дорогостоящие
препараты в данный период по причине ненадобности или же в связи с отъездом в
отпуск делает покупки заранее. Не исключена возможность снижения цен в качестве
системы стимулирования сбыта на время общего спада продаж в виде скидок и
акций, действующих в аптеке.
Рисунок 3.1 Динамика средней стоимости упаковки в рублях, 2014-2017 гг.
Для того, чтобы исключить влияние сезонности на спрос рассмотрим индекс
Ласпейреса, рассчитанный по двум валютам, используемым на фармрынке России -
доллары США и рубли. В основе расчета индекса Ласпейреса применяется перечень
всех полных наименований всех производителей из базы данных исследовательской
компании DSM Group за 2016 г.
Индекс цен Ласпейреса представляет собой соотношение средневзвешенных цен
отчетного (текущего года) и базисного (предыдущего года) периодов, в качестве
весов для которых используются натуральные объемы базовой корзины потребления
лекарственных средств (в качестве корзины потребления в 2017 году было
использовано соотношение продаж препаратов в 2016 году):
(6)
где
- стоимость продукции, реализованной в базисном (предыдущем)
периоде по ценам отчетного периода,
- фактическая стоимость продукции в
базисном периоде.
Индекс цен позволяет проследить динамику изменения цен на препараты по
отношению к аналогичному периоду (в данном случае - месяцу) предыдущего года.
Рисунок 3.2 Динамика роста цен, рассчитанная по индексу Ласпейреса в
рублевом и долларовом выражении за 2014-2017 гг.
Полученный график (рис. 3.2), построенный на основе статистики за
последние три года (см. Приложение 6) демонстрирует разнонаправленные изменения
цен на препараты как в рублях, так и в долларах США. Отметим, что волатильность
цен в долларах США на порядок выше колебаний в рублевом выражении.
Данные таблицы (см. Приложение 6) позволяют наглядно увидеть
распределение долей продаж в общем объеме по ценовым сегментам на текущий
период. Стоит отметить, что при ослаблении государственного регулирования цен
на ЖВНЛП распределение может заметно измениться.
Традиционно рынок лекарственных препаратов делится на четыре сегмента:
препараты стоимостью до 50 рублей, в пределах от 50 до 150 рублей, от 150 до
500 рублей и свыше 500 рублей. В одном из экспертных интервью, цитата из
которого была приведена выше, уже было отмечено, что цена в 500 рублей для
потребителей является психологическим барьером, отделяющим доступные препараты
от дорогостоящих.
Рисунок 3.3 Доля лекарственных препаратов в стоимостном выражении в
разрезе по ценовым сегментам за март 2017 года
Как видно из графика ниже (рис. 3.3), участники рынка получают половину
всей выручки на производстве препаратов в ценовом диапазоне от 150 до 500
рублей. Конечно, это не говорит ничего о натуральных объемах реализации, ведь
распределение долей по сегментам, но в натуральном выражении, выглядит
совершенно иным образом (рис. 3.4).
Рисунок 3.4 Доля лекарственных препаратов в натуральном выражении в разрезе
по ценовым сегментам за март 2017 года
Таким образом, самая многочисленная в натуральном выражении группа
препаратов стоимостью менее 50 рублей (43% всех проданных ЛП за март 2017 г.) в
стоимостном выражении занимает лишь 6% (3,38 млрд. руб.). Вторая категория
лекарственных препаратов от 50 до 150 рублей составляет в натуральном выражении
около 98 млн. упаковок или 15,7% объема рынка в стоимостном выражении (9,31
млрд. руб.). Половину всей выручки (47%) рынка продавцы получают за счет
лекарств, что обходятся покупателю за 150-500 рублей. В натуральном выражении
доля этих препаратов немногим превышает четверть совокупного объема (27%), что
соответствует 104 млн. упаковок и почти 28 млрд. рублей. Самые дорогие
препараты приносят рынку почти 19 млрд. рублей в месяц, что составляет 31,6%
валовой выручки аптечного ритейла, хоть и в натуральном выражении это всего
20,3 млн. упаковок (5%).
Рассмотрим каждый сегмент по отдельности. Учитывая влияние сезонности
спроса на средние цены лекарственных препаратов логично отслеживать динамику
цен по годам, но распределив их по месяцам (рис. 3.6). Возможно, динамика
оценивается как не свойственная современному рынку B2C, так как,
несмотря на то, что цены по всем продовольственным товарам стабильно
демонстрируют рост, средняя стоимость упаковки препаратов, входящих в группу до
50 рублей, снижается, при этом особенно сильный спад заметен с начала 2017 года
(рис.3.5). Объяснений этому парадоксу может быть несколько: часть препаратов,
включенных в данный сегмент подорожала, перейдя во второй по величине стоимости
сегмент (тогда вторая группа тоже может показать падение средней цены), второй
возможной причиной могло стать изменение в поведении потребителей, выраженное в
предпочтении препарата немногим дороже лекарств из низшей ценовой категории в
надежде на лучший эффект от его применения. Готовность заплатить больше в
данном случае гораздо выше, чем для препаратов более высокой ценовой категории.
Помимо прочего, важно отметить, что производством препаратов данной ценовой
категории занимаются преимущественно отечественные производители. Возможно, от
ряда наименований производители были вынуждены отказаться по причине их
нерентабельности.
Снижение доли препаратов также заметно, а объясняется данная тенденция
как снижением цен из-за структурных факторов (переход препаратов в другую
ценовую категорию), так и неструктурных (изменение предпочтений потребителя), а
также за счет общего снижения средней цены за упаковку в этом сегменте.
Рисунок 3.5 Динамика средней цены в сегменте ЛП до 50 рублей, руб. за
2014-2017 гг.
Рисунок 3.6 Доля лекарственных препаратов дешевле 50 рублей в стоимостном
выражении за 2014-2017 гг., %
Вторая категория лекарственных препаратов от 50 до 150 рублей
продемонстрировала резкую нисходящую динамику в начале 2015 года (рис. 3.7),
которая закрепила среднюю цену препарата данного сегмента на одном уровне до
сегодняшнего дня. Как отмечалось выше, возможная причина - структурное
изменение, обусловленное массовым повышением цен на препараты стоимостью около
50 рублей. Переход порога в 50 рублей спровоцировал изменение перечня,
входящего во второй сегмент, с сохранением пониженного уровня цен (что не
исключает рост цен на препараты, ранее входившие в данную категорию).
Рисунок 3.7 Динамика средней цены на лекарственные препараты в сегменте
от 50 до 150 рублей, руб.
Повторяет сложившуюся картину график доли лекарственных препаратов в
сегменте от 50 до 150 рублей в стоимостном выражении, приведенный ниже (рис.
3.8).
Рисунок 3.8 Доля лекарственных препаратов в сегменте от 50 до 150 рублей
в стоимостном выражении, %
Ясность в вопросах причинно-следственной связи внесет информация о
динамике доли сегмента от 50 до 150 рублей в натуральном выражении. После
несложных расчетов был построен график на основе данных таблицы (см. Приложение
7).
Рисунок 3.8 Динамика доли лекарственных препаратов в сегменте от 50 до
150 рублей в натуральном выражении, %
На представленном графике (рис. 3.8) видно, что период с апреля по август
2014 года для сегмента лекарственных препаратов за 50-150 руб. был
«провальным», как и начало 2016 года или первый месяц лета того же года.
Сегмент лекарственных препаратов стоимостью от 150 до 500 рублей
показывает стабильный рост, как за счет увеличения цен, так и благодаря
расширению ассортимента лекарств. Рост цен можно описать линейным уравнением y=0,4821x+250,68 с достоверностью аппроксимации R²
= 0,8371.
Начало 2017 года было ознаменовано снижением доли этой группы препаратов,
однако с марта рынок демонстрирует положительную динамику, несмотря на снижение
сезонного спроса на препараты (рис. 3.10).
Рисунок 3.9 Динамика средней цены на лекарственные препараты в сегменте
от 150 до 500 рублей, руб.
Рисунок 3.10 Доля лекарственных препаратов в сегменте от 150 до 500
рублей в стоимостном выражении, %
Динамика средней цены в сегменте лекарственных препаратов стоимостью
свыше 500 рублей колебалась в течение трех лет значительно (от 890 до 948
рублей), однако доля сегмента в стоимостном выражении стабильно увеличивалась
за тот же период (рис. 3.11, рис. 3.12). На текущий момент цена находится на
стадии роста с сентября 2016 г., и установилась на уровне 921,5 рублей в
среднем по сегменту.
Рисунок 3.11 Динамика средней цены на лекарственные препараты в сегменте
ЛП стоимостью от 500 рублей, руб.
Рисунок 3.12 Доля сегмента лекарственных препаратов стоимостью от 500
рублей в стоимостном выражении, %
Самый дорогие препараты, предназначенные для лечения редчайших заболеваний,
практически не относятся к коммерческому рынку, так как для таких случаев
действует государственная поддержка. Экстремально высокая цена обусловлена
крупными инвестициями в разработку и исследования при минимальном спросе.
Исключение таких препаратов из исследования дает более ясную картину структуры
фармацевтических препаратов, реализуемых через розничные сети.
Рассмотрев динамику цен на лекарственные препараты в целом и по отдельным
ценовым сегментам, можно сделать вывод о том, что рынок лекарств не отличается
по тенденции роста цен от других потребительских рынков, однако ему характерна
сезонность. Важно также понимать, что разные ценовые категории препаратов
дорожают и дешевеют в разные временные промежутки и с разной скоростью. На
среднюю стоимость препаратов влияет распределение спроса потребителей по
ценовым сегментам, но в меньшей степени, так как препараты назначаются лечащим
врачом или приобретаются самостоятельно без рецепта для лечения конкретных
болезней, поэтому спектр препаратов ограничен и специфичен. В большей степени
на цену препаратов влияют макроэкономические показатели, ценовая политика
производителя и его сбытовых посредников, а также сезонность спроса.
Для исследования ценовой среды рынка лекарственных препаратов в
Санкт-Петербурге было проведено глубинное интервью представителей аптек
(фармацевтов и провизоров, сотрудников внутриаптечных справочных службы), а
также сбор информации о наличии препаратов в аптеках и их стоимости из
Интернет-магазинов и специализированных сайтов-агрегаторов. В ходе интервью
часть респондентов отказывались предоставлять данные частично или полностью под
предлогом того, что в их профессиональной среде часто встречаются конкуренты,
которые проводят мониторинг цен. «Ценовой шпионаж» среди аптек не одобряется и
более того, воспринимается агрессивно, при этом такую позицию поддерживает и
руководство некоторых аптек.
Полный перечень аптек Санкт-Петербурге представлен в Приложении 8.
Информация, достаточная для обработки и анализа в рамках исследования была
получена по 94 аптекам из 329 (всего было опрошено 124 аптеки). В основе
интервью лежал перечень ТОП-20 препаратов лидеров продаж на февраль 2017 года.
В ходе глубинного интервью и поиска информации через Интернет-ресурсы были
получены данные о ценах на определённые формы выпуска ТОП-20 ЛП, имеющиеся в
продаже в соответствующих аптеках. В случае, если данных для адекватной оценки
ценовой политики аптеки недостаточно (менее 7 препаратов), такая аптека
выбывает из исследования.
Результатами глубинного интервью стали рейтинги аптек по каждому
лекарственному препарату, а заключительным этапом является общий рейтинг аптек,
составленный на основе рейтингов в разрезе по отдельным препаратам (см.
Приложение 9). Общий рейтинг показал, что самыми выгодными аптеками (ТОП-10 по
ценам) являются сети аптек «Аптека для бережливых» (26 аптек), «Озерки» (более
55 аптек), аптечный пункт ИП Ярославская, сеть аптек «Алоэ» (50 аптек), 2
аптеки «Форте», сеть аптек «ЛекОптТорг» (56 аптек), аптека «Витамин» (3
аптеки), «ПетроТорг» (2 аптеки), 11 аптек сети «Альфа-Фарм», сеть «Горздрав»
(99 аптек).
Несмотря на то, что десять самых выгодных аптек в большей степени
являются крупнейшими сетями, мы можем увидеть следующую картину. Если
расположить на одном графике точки по оси ординат на уровне количества филиалов
каждой аптеки в порядке их позиции в рейтинге по ценам (по оси абсцисс), то
получится подобие кардиограммы. Таким образом, можно сделать вывод о том, что
уровень цен в каждой аптеке - есть результат ценовой политики компании.
.2 Оценка уровня конкуренции на отдельных иерархических уровнях
фармацевтического рынка России
Рассмотрим каждый иерархический уровень фармацевтического рынка России на
предмет оценки уровня концентрации рыночных долей крупнейших участников и
определения характера конкуренции. Данные, использованные в главе, собраны из
открытых источников (аналитические отчеты маркетингового агентства DSM Group). Фармацевтический рынок включает в себя четыре
иерархических уровня:
рынок лекарственных препаратов,
рынок аптек,
рынок дистрибьюторов лекарственных препаратов,
рынок производителей лекарственных препаратов.
Перейдем к оценке каждого уровня обособлено, используя широко известные
инструменты оценки степени концентрации, а также применим новый подход к оценке
характера распределения рыночных долей конкурентов, предложенный С.Г.
Светуньковым в работе «Новый метод оценки уровня конкуренции».
Препараты
Первый уровень, воплощающий собой товарный рынок, включает в себя
основной объект всей фармацевтической отрасли - лекарственные препараты,
продаваемые на территории России. Стоит отметить, что целью данного
исследования не является выявление конкурирующих наименований или фирм,
рассматривается лишь общая характеристика рынка, поэтому будут рассмотрено
лидеры продаж безотносительно категории препарата и сферы его применения.
Таблица 3.1П-20 лекарственных брендов ЛП по стоимостному объему продаж в
России в феврале-марте 2017 г.
|
Рейтинг
|
Бренд
|
Доля от стоимостного объема
продаж, руб, %
|
|
Февраль 2017
|
Март 2017
|
|
Февраль 2017
|
Март 2017
|
|
4
|
1
|
НУРОФЕН
|
0,74
|
0,77
|
|
2
|
2
|
КАГОЦЕЛ
|
0,81
|
0,75
|
|
8
|
3
|
ДЕТРАЛЕКС
|
0,57
|
0,7
|
|
9
|
4
|
АКТОВЕГИН
|
0,56
|
0,7
|
|
3
|
5
|
ЭССЕНЦИАЛЕ
|
0,76
|
0,66
|
|
5
|
6
|
КОНКОР
|
0,67
|
0,66
|
|
1
|
7
|
ИНГАВИРИН
|
1
|
0,66
|
|
11
|
8
|
МЕКСИДОЛ
|
0,55
|
0,66
|
|
6
|
9
|
КАРДИОМАГНИЛ
|
0,6
|
0,6
|
|
10
|
10
|
МИРАМИСТИН
|
0,55
|
0,55
|
|
17
|
11
|
КСАРЕЛТО
|
0,45
|
0,5
|
|
15
|
12
|
ПЕНТАЛГИН
|
0,47
|
0,49
|
|
7
|
13
|
ТЕРАФЛЮ
|
0,6
|
0,48
|
|
12
|
14
|
ЛИНЕКС
|
0,54
|
0,48
|
|
16
|
15
|
ЛОЗАП
|
0,46
|
0,47
|
|
19
|
16
|
КАНЕФРОН
|
0,43
|
0,46
|
|
22
|
17
|
ВИТРУМ
|
0,4
|
0,43
|
|
13
|
18
|
ЭРГОФЕРОН
|
0,52
|
0,42
|
|
52
|
19
|
АЛФЛУТОП
|
0,31
|
0,42
|
|
31
|
20
|
ВОЛЬТАРЕН
|
0,36
|
0,41
|
|
Общая доля ТОП-20
|
11,36
|
11,26
|
Доля 20 лидеров продаж среди лекарственных препаратов за март 2017 года в
сумме составляет 11,3% от всего коммерческого аптечного рынка, что меньше, чем
в феврале 2017 г на 0,1%. Состав рейтинга в марте 2017 г. заметно изменился по
сравнению с предыдущим месяцем: 3 из 20 брендов покинули рейтинг, уступив
препаратам из третьего десятка брендов и ниже (табл. 3.1).
Ниже представлен рисунок, отражающий текущее распределение долей и
рейтинг самых продаваемых лекарственных препаратов (рис. 3.13).
Рисунок 3.13 Объем продаж TOП-20 лекарственных брендов ЛП по стоимостному
показателю в марте 2017 г., %
Рассчитаем показатели концентрации, приведенные в первой главе данной
работы с целью определить уровень конкуренции среди препаратов на российском
фармрынке (табл. 3.2).
Таблица 3.2
Показатели концентрации рынка лекарственных средств, рассчитанные по
данным о объемах продаж ТОП-20 препаратов за март 2017 года.
|
Показатели концентрации
|
|
|
Индекс концентрации 3
|
0,0222
|
Низкий
|
|
Индекс концентрации 4
|
0,0292
|
Низкий
|
|
Коэффициент
Херфиндаля-Хиршмана
|
0,000663
|
Низкий
|
|
Индекс Ханна-Кея
|
0,000455
|
Низкий
|
|
Коэффициент Розенблюта
|
0,908595
|
|
|
Показатель энтропии
|
-0,58118844
|
|
|
Коэффициент вариации
|
0,024743
|
Низкий
|
|
Индекс Линда 2
|
1,026667
|
-
|
|
Индекс Линда 3
|
1,073892
|
-
|
|
Индекс Линда 4
|
1,072425
|
-
|
Трех- и четырехдольный индексы концентрации, как и индекс HHI демонстрируют весьма низку степень
конкурентности рынка, согласно стандартной классификации.
Индекс Ханна-Кея рассчитывается также, как и HHI, однако исследователь волен присваивать различную
значимость каждому рассматриваемому субъекту. В качестве эксперимента первым
десяти лидерам по продажам была присвоена переменная значимости 2, а
последующим десяти - коэффициент 3. Таким образом, в итоговой оценке была
подчеркнута значимость первой десятки, так как показатель доли, выраженный в
процентах, возведенный во вторую степень всегда больше того же числа в третьей
степени. Однако, мы не видим существенных изменений от использования различных
степеней для значений (сравнивая с индексом Херфиндаля-Хиршмана), всё же
значение индекса Ханна-Кея оказалось чуть ниже HHI.
Следующий показатель концентрации - индекс Розенблюта - рассчитывается с
учетом рангов и лежит в пределах
, то есть в данном случае от 0,05 до
1 включительно. Чем меньше значение индекса, тем рынок более конкурентный.
Значение 0,91 говорит о высоком уровне концентрации и свидетельствует о низкой
степени конкуренции на рынке. Однако для исследователя ясно, что, глядя на ряд
данных, можно судить об ошибочном результате оценки, который противоречит всем
остальным показателям. Таким образом, можно сделать вывод о том, что
коэффициент Розенблюта применим не во всех случаях. Например, при довольно
низких показателях долей конкурирующих препаратов расчет показателя дает
результат, противоположный верному. Отчасти причиной ограничения в
использовании индекса является отсутствие такой характеристики как
безразмерность.
Показатель энтропии, рассчитанный по 20 лекарственным средствам
варьируется от
до 0. По данным таблицы был получен показатель в размере
-0,581, что скорее ближе к 0, чем к возможному минимальному значению. Чем выше
значение Е, тем больше экономическая неопределенность и ниже уровень
концентрации долей конкурентов на рынке.
Дополнительный показатель - коэффициент вариации, равный 0,025, указывает
на равномерность распределения долей рынка, принадлежащих 20-ти лидерам среди
препаратов, но не говорит обо всем рынке в целом. Низкий уровень коэффициента
вариации говорит в пользу конкурентной и равноправной среды.
Индекс Линда был рассчитан по двум (1,027), трем (1,074) и четырем
(1,072) лидирующим лекарственным средствам. Согласно полученным данным, мы
можем говорить о равномерности распределения долей среди условно называемых
препаратов-олигополистов. Взглянув на графическое отображение распределения, мы
можем судить о том, что рынок характеризуется как размытая олигополия, согласно
принятой классификации, так как еще несколько ближайших конкурентов имеют
примерно тот же объем выручки от продаж за март 2017 г.
Индекс Джини, будучи показателем, дающим оценку концентрации денежных
доходов населения через соотношение первой и последней децили исследуемой
совокупности, для оценки уровня конкуренции на иерархических уровнях не несет
весомого значения, поэтому в данной части работы такой индекс рассмотрению не
подлежит.
Эти показатели сопоставимы с фактическим состоянием рынка, однако важно
учитывать тот факт, что не все препараты напрямую конкурируют друг с другом,
являясь различными по действию и применению; препараты делят между собой лишь
выручку от продаж. Например, в ТОП-20 представлены 4 противовирусных препарата,
5 лекарств для лечения сердечно-сосудистых заболеваний, 3 обезболивающих
средства, средства для лечения кожных заболеваний, заболеваний нервной системы,
средства для суставов, печени и других внутренних органов, антисептик и
наконец, витамины.
Для вычисления уровня концентрации с помощью нового показателя построим
график распределения рыночных долей, расставив их предварительно в порядке
убывания долей в стоимостном объеме (рис. 3.14).
Рисунок 3.14 Распределение рыночных долей ТОП-20 ЛП, март 2017 г.
Монотонно убывающую кривую можно описать простой экспоненциальной кривой
типа кривой Гаусса [37]:
где
- доля первого по рейтингу конкурента.
Расчет коэффициентов
и
позволит охарактеризовать степень концентрации рыночных
долей лидирующих конкурентов иерархического уровня рынка. Коэффициент
равен доле лидирующего участника
. Расчет коэффициента
произведен по формуле:
По данным таблицы были получены следующие результаты:
коэффициент
=0,35,
коэффициент
=0,008.
Если руководствоваться типологизацией распределения рыночных долей,
предложенной Светуньковым С.Г. в своей работе «Новый метод оценки уровня
конкуренции», то такое распределение можно отнести к первой категории [37].
Охарактеризовать рынок лекарственных препаратов можно как высококонкурентный,
где доли конкурентов довольно малы (о чем свидетельствует низкое значение
коэффициента b, почти равное нулю), однако можно
выделить из них группу крупнейших.
Аптеки
Оказалось весьма проблематичным выяснить, каких финансовых результатов
добились аптечные сети в г. Санкт-Петербург, поэтому будем исходить из
предположения, что такие крупные города России, как Москва, Санкт-Петербург или
Новосибирск повторяют картину, сложившуюся по всей стране, с небольшими
неточностями, которые не способны существенно повлиять на результаты
исследования.
Таблица 3.3
Рейтинг аптечных сетей за 2015 г.
|
Рейтинг
|
Аптечные сети
|
Объём, млрд. руб.
|
Доля на коммерческом
сегменте, 2015
|
Прирост оборота по
сравнению с 2014
|
Количество точек продаж
|
|
1
|
Ригла
|
34,1
|
3,60%
|
25,00%
|
1461
|
|
2
|
Аптечная сеть 36,6
|
33,5
|
3,60%
|
31,00%
|
1912
|
|
3
|
Имплозия
|
25,1
|
2,70%
|
11,00%
|
1400
|
|
4
|
Доктор Столетов
|
21
|
2,20%
|
12,00%
|
311
|
|
-
|
А5
|
20
|
2,10%
|
2,00%
|
1072
|
|
5
|
Радуга
|
17,6
|
1,90%
|
13,00%
|
1146
|
|
6
|
Планета здоровья
|
14,5
|
1,60%
|
41,00%
|
905
|
|
7
|
Фармленд
|
12,9
|
1,40%
|
25,00%
|
585
|
|
8
|
Фармаимпекс
|
12,4
|
1,30%
|
2,00%
|
579
|
|
9
|
Фармакопейка
|
11,4
|
1,20%
|
38,00%
|
530
|
|
10
|
Самсон-фарма
|
10,3
|
1,10%
|
33,00%
|
56
|
|
11
|
Вита
|
10,1
|
1,10%
|
36,00%
|
533
|
|
12
|
9,4
|
1,00%
|
15,00%
|
191
|
|
13
|
Аптека-Таймер
|
8,8
|
0,90%
|
43,00%
|
515
|
|
14
|
Нео-фарм
|
8,7
|
0,90%
|
90,00%
|
217
|
|
15
|
Мелодия здоровья
|
8,5
|
0,90%
|
36,00%
|
618
|
|
16
|
Апрель
|
7,6
|
0,80%
|
43,00%
|
400
|
|
17
|
Фармакор
|
7,2
|
0,80%
|
1,00%
|
320
|
|
-
|
Ладушка
|
7,1
|
0,80%
|
8,00%
|
270
|
|
18
|
Губернские аптеки
|
5,8
|
0,60%
|
49,00%
|
240
|
|
19
|
Невис
|
5,8
|
0,60%
|
7,00%
|
305
|
|
20
|
Новая Аптека (Хабаровск)
|
5,7
|
0,60%
|
25,00%
|
122
|
В табл. 3.3 приведем рейтинг аптечных сетей в коммерческом секторе с
количественными и стоимостными показателями развития в 2015 г.
По данным Таблицы 3.3 был рассчитаны показатели концентрации (табл.
3.4.).
Таблица 3.4
Расчет показателей концентрации на рынке аптек в России, 2015 г.
|
Показатели концентрации
|
Уровень значения
|
|
Индекс концентрации 3
|
0,013342
|
Низкий
|
|
Индекс концентрации 4
|
0,014786
|
Низкий
|
|
Коэффициент
Херфиндаля-Хиршмана
|
0,016902
|
Низкий
|
|
Коэффициент Розенблюта
|
0,319284802
|
Низкий
|
|
Показатель энтропии
|
-1,33104
|
Высокий
|
|
Коэффициент вариации
|
0,025146
|
Низкий
|
|
Индекс Линда 2
|
1,631579
|
-
|
|
Индекс Линда 3
|
1,965789
|
-
|
|
Индекс Линда 4
|
1,90685
|
-
|
Индексы концентрации, вычисленные по трем и четырем крупнейшим аптечным
сетям (0,013 и 0,014 соответственно), демонстрируют нам низкую концентрацию
власти среди лидирующих предприятий.
Коэффициент Херфиндаля-Хиршмана, равный 0,017 также свидетельствует о
низкоконцентрированном с точки зрения структуры рынке на уровне розничного
ритейла.
Коэффициент Розенблюта, рассчитанный с учетом рангов, для рынка аптек
равен 0,319. Диапазон значений, в которых может лежать такой показатель, в
расчёте на 20 компаний, - [0,05;1]. Показатель демонстрирует низкую
концентрацию участников данного иерархического уровня и, соответственно,
высокую степень конкурентности рынка.
Показатель энтропии, лежащий в отрезке [-2,996; 0], расположен
приблизительно в центре (Е= -1,331), поэтому рынок характеризуется средней
степенью хаотичности в распределении долей среди 20 самых крупных аптечных
сетей России по объемам выручки.
Коэффициент вариации V=0,025, напротив, говорит о небольшом разбросе от
средней величины объема рынка среди крупнейших участников. Показатель V лежит в
пределах [0; 4,359].
Группа индексов Линда для двух (1,632), трех (1,966) и четырех компаний
(1,907) учитывает различия в группе самых значительных аптечных сетей и
демонстрирует неравномерность распределения единиц совокупности по долям. Для
нахождения «ядра олигополиса» следует продолжить расчеты для последующих
фирм-лидеров до получения первого минимального значения.
Рисунок 3.15 Распределение рыночных долей ТОП-20 аптечных сетей, 2015 г.
Монотонно убывающую кривую (рис. 3.15) также можно описать простой
экспоненциальной кривой типа кривой Гаусса:
.
Расчет коэффициентов
и
, характеризующие степень концентрации рыночных долей лидеров
по объемам продаж среди аптек, дал следующие результаты:
коэффициент
=0,214,
коэффициент
=0,093.
Согласно типологизации распределения рыночных долей среди конкурентов,
предложенной Светуньковым С.Г. такое распределение можно отнести ко второму
типу [37]. На таком рынке можно наблюдать ярко выраженное опережение
показателей по объемам продаж у лидера иерархического уровня, по сравнению со
вторым по размеру участником, чья доля также значительно превышает долю его
ближайшего конкурента, занимающего третью позицию в рейтинге. Чем ближе
участник рынка к первой позиции в рейтинге, тем больший «отрыв» от конкурентов
он имеет. Существенная разница в долях прослеживается у 7 лидирующих компаний.
Последующие позиции рейтинга занимают компании с равномерно убывающими и
низкодифференцированными по размерам долями в стоимостном выражении.
Дистрибьюторы
Рассмотрим рынок дистрибьюторов России. Особенность рынка такова, что 10
лидирующих компаний обеспечивают более 93% рынка лекарственными препаратами.
Ниже представлен рейтинг федеральных дистрибьюторов ЛП с указанием объемов и
долей рынка, а также приростом стоимостного объема (табл. 3.5).
Таблица 3.5
Рейтинг федеральных дистрибьюторов лекарственных препаратов за 2015 г.
|
Рейтинг 2015 г.
|
Дистрибутор
|
Объём, млрд. руб.
|
Прирост стоимостного
объема, %
|
Доля, %
|
|
1
|
Катрен
|
202,9
|
26
|
19,9
|
|
2
|
Протек
|
185,9
|
25
|
18,3
|
|
3
|
РОСТА
|
109,6
|
5
|
10,8
|
|
4
|
Пульс
|
105
|
50
|
10,3
|
|
5
|
СИА
|
91,5
|
15
|
9
|
|
6
|
Alliance Healthcare
|
79,7
|
9
|
7,8
|
|
7
|
Р-Фарм
|
74
|
7
|
7,3
|
|
8
|
Фармкомплект
|
43,6
|
21
|
4,3
|
|
9
|
БСС
|
33,7
|
64
|
3,3
|
|
10
|
Евросервис
|
21,4
|
29
|
2,1
|
|
|
947,3
|
|
93,1
|
Компании Картен и Протек являются лидерами дистрибьюторского звена, а их
совокупная доля составляет почти 40% всего рынка (рис. 3.16). Далее можно
выделить 5 компаний с соразмерной рыночной силой, на долю которых приходится по
7-10%. К ним относятся РОСТА (10,8% или 109,6 млрд. руб.), Пульс (105 млрд.
руб., что составляет 10,3%), СИА (9%), Alliance Healthcare (7,8%) и Р-Фарм
(7,3%). Эти компании на данный момент являются ближайшими конкурентами, однако
не меньшую опасность в плане захвата рыночной доли представляют относительно
небольшие компании, к которым относятся Фармкомплект, БСС и Евросервис,
заявляющие о своих амбициозных планах.
Рисунок 3.16 Рыночные доли дистрибьюторских компаний в России за 2015 г.
Таблица 3.6
Концентрация ТОП-10 дистрибьюторов за 2011-2015 гг.
|
концентрация ТОП-10
дистрибьюторов, %
|
|
год
|
ТОП-3
|
ТОП-5
|
ТОП-10
|
|
2011
|
46
|
64
|
83
|
|
2012
|
44
|
63
|
85
|
|
2013
|
43
|
60
|
82
|
|
2014
|
45
|
64
|
89
|
|
2015
|
49
|
68
|
93
|
Рисунок 3.17 Показатели концентрации долей на рынке дистрибьюторов
лекарственных препаратов
Данные Таблицы 3.6 демонстрируют изменение доли трех, пяти и десяти
лидера рынка дистрибьюторов: каждый год, доля лидеров только растет, при этом
три лидирующие компании занимают почти половину рынка (рис. 3.17). Очевидно,
следует говорить об олигополистическом рынке. Такой вывод необходимо
подтвердить расчетами общепринятых показателей концентрации, приведенных в
первой главе данной работы (табл. 3.7).
Таблица 3.7
Расчет показателей концентрации на рынке дистрибьюторов лекарственных
препаратов
|
Показатели концентрации
|
|
|
Индекс концентрации 3
|
0,49
|
|
Индекс концентрации 4
|
0,593
|
|
Коэффициент
Херфиндаля-Хиршмана
|
0,118255
|
|
Индекс Ханна-Кея
|
0,083645919
|
|
Коэффициент Розенблюта
|
0,162284972
|
|
Показатель энтропии
|
-2,122128746
|
|
Коэффициент вариации
|
0,603850924
|
|
Индекс Линда 2
|
1,091447015
|
|
Индекс Линда 3
|
1,57349414
|
|
Индекс Линда 4
|
1,953098383
|
Мы видим довольно высокое значение трехдольного (0,49) и четырёхдольного
индексов концентрации (0,59), демонстрирующих рыночную власть крупнейших
предприятий. Согласно стандартной типологизации рынка по индексу, значение
соответствует умеренной конкурентной борьбе. Справедливо отметить, что такая
характеристика может показаться субъективной, ведь при достижении таких
значительных объемов рынка велика вероятность того, что антимонопольная служба
начнет интересоваться данным сектором и будет следить за изменениями более
пристально. С другой стороны, исследование конкуренции на рынке становится
более простой задачей, так как круг субъектов, действующих на рынке ограничен,
и информация по ним доступна, что делает результаты исследования точными.
Коэффициент Херфиндаля-Хиршмана, равный 0,12 является характеристикой
низкоконцентрированного рынка, согласно традиционной интерпретации. Однако,
учетом того, что практически весь фармацевтический бизнес на уровне
дистрибьюторов распределен между десятью участниками, можно говорить напротив о
высоконцентрированном рынке. Конечно, весьма существенные доли конкурентов
создают друг другу противовес, отодвигающий степень конкуренции на рынке к
характеру олигопольной.
Также известен факт вертикальной интеграции подавляющего большинства
участников, что согласно нашей гипотезе не может не влиять на рынок розничных
сетей.
Для коэффициента Ханна-Кея необходимо было также выбрать веса для
исследуемых единиц. Для расчета используем следующие коэффициенты: 1,2 рейтинг
дистрибьюторов - переменная, равная 2; для 3-ей, 4-ой и 5-ой компаний - 2,5;
для компаний с рейтингом 6 и 7 - переменная 3; для 8-ой, 9-ой и 10-ой - 4.
Полученный результат (0,084) отличается от HHI (0,12) в меньшую сторону. Таким образом, используя
собственные веса, мы искусственно уменьшили показатель концентрации. Применение
индекса Ханна-Кея может быть использовано исследователем для демонстрации
«выгодных» показателей, а большой практической значимости он, к сожалению, не
имеет, так как можно пользоваться привычным HHI.
Следующий на очереди показатель - коэффициент Розенблюта, лежащий в
пределах
, оказался равен 0,162. Рынок,
согласно данному показателю, можно охарактеризовать, как конкурентный.
Перейдем к двум дополнительным показателям. Показатель энтропии для 10
дистрибьюторов лежит в диапазоне [-2,303;0]. Расчет показателя Е=-2,122
свидетельствует о невысокой степени хаотичности распределения долей среди
лидирующих оптовых посредников фармацевтического рынка.
Коэффициент вариации (0,6) демонстрирует нам, что в десятке лидеров оптового
звена доли распределены неравномерно, но в то же время без резких «перевесов»
отдельных конкурентов.
Индекс Линда, демонстрирующий границы олигополии, для двух лидирующих
дистрибьюторов равен 1,09, для трёх - 1,57, для четырех - 1,95. Такие индексы говорят
о том, что ядро олигополиса включает себя более 4-х компаний, а значит,
согласно стандартной классификации, конкуренция носит размытый характер.
Если поместить на графике с учетом рангов (ось абсцисс) точки, отражающие
по оси ординат доли крупнейших предприятий, то увидим следующую картину (рис.
3.18). Визуально распределение осей напоминает часть нормального распределения
Гаусса или экспоненциальное распределение.
Рисунок 3.18 Распределение рыночных долей ТОП-10 дистрибьюторов ЛП, 2015
г.
Рассчитаем коэффициенты для описывающего уравнения типа кривой Гаусса:
коэффициент
=0,215,
коэффициент
=0,199.
Используя типологизацию распределения рыночных долей среди конкурентов,
описанную в работе «Новый метод оценки уровня конкуренции», данное
распределение можно отнести также, как и иерархический рынок «Аптеки», ко
второму типу [Монография 9]. Описание распределение соответствует тому, что
ранее было приведено для аптечного уровня, однако с учетом того, что
коэффициент b имеет довольно высокое значение,
доли дистрибьюторов значительно больше (в сумме 10 дистрибьюторов владеют 93%
рынка). Также важно вычленить группы по распределению долей, соответствующие
данным по дистрибьюторскому уровню. Для дистрибьюторского сектора - это две
крупнейшие компании, владеющие в сумме 38,2% рынка, два «последователя» с
долями по 10-11% и еще несколько условных по значимости групп.
Производители
Перейдем к рынку фармпроизводителей. Как и на других уровнях
фармацевтического рынка, мы будем придерживаться стоимостных показателей и все
расчеты будем вести по долям компаний, учтенных в таком выражении (табл. 3.8).
Стоит отметить, что доли продаж в стоимостном и натуральном выражении
существенно отличаются друг от друга, как это видно на рисунке 3.19.
Рисунок 3.19 Доля продаж ТОП-10 производителей лекарственных препаратов в
стоимостном и натуральном объемах, %
Таблица 3.8П-10 корпораций-производителей ЛП по доле в аптечных продажах
в России (в стоимостном выражении) в феврале-марте 2017 г.
|
Рейтинг
|
Корпорация-производитель
|
Доля от стоимостного объема
продаж,
|
Доля от натурального объема
продаж, руб., % уп., %
|
|
|
Март
|
Февраль
|
Март
|
|
Март
|
Февраль
|
Март
|
Март
|
Февраль
|
Март
|
|
2016
|
2017
|
2017
|
|
2016
|
2017
|
2017
|
2016
|
2017
|
2017
|
|
1
|
1
|
1
|
BAYER
|
4,9
|
4,8
|
4,9
|
1,5
|
1,3
|
1,4
|
|
2
|
2
|
2
|
SANOFI
|
4,6
|
4,1
|
4
|
2
|
1,8
|
1,8
|
|
3
|
3
|
3
|
NOVARTIS
|
4,1
|
4
|
4
|
2,2
|
2,2
|
2,2
|
|
4
|
4
|
4
|
ОТИСИФАРМ
|
3,2
|
3,7
|
3,5
|
3,1
|
3,5
|
3,4
|
|
5
|
5
|
5
|
SERVIER
|
3,4
|
3,1
|
3,2
|
1,5
|
1,5
|
1,5
|
|
6
|
6
|
6
|
TAKEDA
|
3,1
|
3
|
3,1
|
2
|
2,1
|
2,1
|
|
7
|
7
|
7
|
GLAXOSMITHKLINE
|
3
|
2,9
|
2,8
|
1,7
|
1,8
|
1,7
|
|
11
|
9
|
8
|
STADA
|
2,5
|
2,8
|
2,7
|
3,4
|
3,6
|
3,5
|
|
8
|
11
|
9
|
TEVA
|
2,9
|
2,6
|
2,4
|
2,1
|
2,2
|
|
9
|
8
|
10
|
BERLIN-CHEMIE
|
2,8
|
2,8
|
2,6
|
1,8
|
1,8
|
1,7
|
|
|
|
Общая доля ТОП-10
|
|
33,7
|
33,6
|
21,6
|
21,6
|
21,5
|
|
|
|
|
|
|
|
|
|
|
|
|
Для уровня производителей также были рассчитаны все традиционные
показатели концентрации. Результаты вычислений отражены в таблице 3.9.
Таблица 3.9
Расчет показателей концентрации на рынке производителей лекарственных
препаратов
|
Показатели концентрации
|
|
Индекс концентрации 3
|
0,129
|
|
Индекс концентрации 4
|
0,164
|
|
Коэффициент
Херфиндаля-Хиршмана
|
0,01173
|
|
Индекс Ханна-Кея
|
0,00796
|
|
Коэффициент Розенблюта
|
0,43478
|
|
Показатель энтропии
|
-1,130506706
|
|
Коэффициент вариации
|
0,21244
|
|
Индекс Линда 2
|
1,225
|
|
Индекс Линда 3
|
1,17
|
|
Индекс Линда 4
|
1,23117
|
Индексы концентрации
=0,129 и
показывают небольшие значения, указывающие на
низкоконцентрированный тип рынка. HHI также указывает на высококонкурентный и
низкоконцентрированный рынок.
Для индекса Ханна-Кея были применены следующие коэффициенты значимости
для ряда данных: первые 5 лидеров в рейтинге с коэффициентом 2, вторая пятерка
- 3. Вновь HHI и индекс Ханна-Кея продемонстрировали одинаковый результат с
небольшой разницей в величине показателя.
Индекс Розенблюта показывает небольшое значение (0,435),
свидетельствующее о низком уровне концентрации на рынке.
Коэффициент вариации 0,21 говорит о равномерном распределении долей среди
ТОП-10 производителей. Такая оценка может служить в пользу здоровой
конкурентной среды на рынке.
Коэффициент энтропии для 10 исследуемых производителей (-1,131) лежит по
середине допустимых значений от -2,303 до 0. Можно судить о среднем уровне
неупорядоченности рынка по долям конкурентов.
Рисунок 3.20 Распределение рыночных долей ТОП-10 производителей ЛП, 2015
г.
Система индексов Линда, включающая показатель для двух крупнейших фирм
(1,23), для трех (1,17) и четырех (1,23) лидеров, учитывающая различия в группе
самых значительных игроков, показала отсутствие перевеса среди исследуемых
единиц.
Расчет коэффициентов
и
для описывающей экспоненциальной кривой типа кривой Гаусса
(рис. 3.20.):
показал, что:
коэффициент
=0,089,
коэффициент
=0,049.
Согласно типологизации распределения рыночных долей среди конкурентов
такое распределение можно отнести к четвертому типу [37], когда наблюдается
линейное убывание долей конкурентов. По невысокому значению коэффициента b
можно судить о низкой концентрации на рынке, но данный факт не отменяет
возможность активной конкурентной борьбы.
.3 Общие представления о многоуровневой конкуренции на фармацевтическом
рынке
Так как в рамках исследования рынок представляет собой иерархические
уровни, границы которых обусловлены сферами деятельности участников и цепочкой
их взаимодействия, мы рассмотрим показатели концентрации по каждому уровню
отдельно в динамике с целью проверить предположение о взаимозависимости
конкурентной борьбы между уровнями одного рынка.
Первый уровень относится к самим лекарственным препаратам. Полученные
коэффициенты, характеризующие уровень структурной конкуренции, были рассчитаны
по 20 лидирующим наименованиям лекарственных препаратов по продажам в
стоимостном выражении за 2011-2015 годы (табл. 3.10). Ниже представлена сводная
таблица с трех- и четырёхдольным индексом концентрации, индексом
Херфиндаля-Хиршмана и коэффициентами a и b уравнения Гаусса, характеризующего
распределение долей крупнейших исследуемых единиц.
Таблица 3.10
Показатели концентрации на первом иерархическом уровне «Лекарственные
препараты», 2011-2015 гг.
|
CR3
|
CR4
|
HHI
|
a
|
b
|
|
2011
|
0,0328
|
0,0415
|
0,001009
|
0,078489
|
0,0136
|
|
2012
|
0,0266
|
0,0345
|
0,000824
|
0,044325
|
0,0093
|
|
2013
|
0,026
|
0,034
|
0,000793
|
0,053406
|
0,01
|
|
2014
|
0,026
|
0,033
|
0,000778
|
0,053406
|
0,01
|
|
2015
|
0,014577
|
0,021577
|
0,000604
|
0,03517
|
0,0077
|
Из Таблицы 3.10 мы видим, что индексы концентрации долей препаратов из
года в год неукоснительно снижались, при этом за последний рассматриваемый
период снижение было самым заметным за исследуемый период. Коэффициент b в экспоненциальном уравнении,
соответственно, также демонстрирует снижение. Интересно рассмотреть характер
распределения долей через коэффициент a: с уменьшением коэффициента кривая
становится всё более пологой (рис. 3.21), что не опровергает выводы, сделанные
ранее. Таким образом, мы получили дополнительное подтверждение того, что
усилилось влияние конкуренции среди всей двадцатки лидеров.
Такие же индексы рассчитаны по 20 крупнейшим аптечным сетям России по
данным DSM Group.
Рисунок 3.21 Распределение долей ТОП-20 ЛП, 2011-2015 гг.
Таблица 3.11
Показатели концентрации на втором иерархическом уровне «Аптеки»,
2011-2015 гг.
|
CR3
|
CR4
|
HHI
|
a
|
b
|
|
2011
|
0,072
|
0,092
|
0,003337
|
0,108587
|
0,027
|
|
2012
|
0,073
|
0,092
|
0,003384
|
0,095904
|
0,025
|
|
2013
|
0,073
|
0,093
|
0,003855
|
0,102003
|
0,029
|
|
2014
|
0,088
|
0,111
|
0,00505
|
0,109518
|
0,032
|
|
2015
|
0,188
|
0,226
|
0,016902
|
0,213744
|
0,093
|
Для второго иерархического уровня фармацевтического рынка, напротив,
характерен рост показателей концентрации (табл. 3.11). При этом, резкий скачок
наблюдается также, как и на первом уровне, в 2015 году. Доля первого конкурента
(коэффициент b) возросла почти в три раза, а другие коэффициенты удвоились.
Графически динамика распределения долей изображена на Рисунке 3.22.
Рисунок 3.22 Распределение долей ТОП-20 аптечных сетей, 2011-2015 гг.
Коэффициент а колебался в промежутке от 0,096 до 0,110 с 2011 по 2014
гг., что соответствует четвертому типу распределения рыночных долей. Напомним,
что четвертый тип распределения представляет собой линейное убывание долей фирм
(с учетом погрешностей). В 2015 году коэффициент а превысил значение в два раза
(а =0,214), что позволило причислить распределение ко второму типу, когда на
рынке доминирует одна фирма. Конечно, можно судить об олигополии на рынке,
однако ярко выраженный лидер один. Вывод об усилении концентрации на рынке и
отчасти его олигополистичности можно сделать на основании графика,
демонстрирующего общую долю 20 лидеров аптечного уровня рынка (рис.3.23).
Перейдем к третьему иерархическому уровню фармацевтического рынка,
объединяющего дистрибьюторов лекарственных препаратов. В связи с тем, что на
фармацевтическом рынке функционирует небольшое число дистрибьюторов, расчеты
произведены по 10 крупнейшим компаниям. В отличие от двух предыдущих уровней, рынок
дистрибьюторов не показывает серьезных скачков показателей концентрации, однако
можно наблюдать как восходящую, так и нисходящую тенденции (табл. 3.12).
Таблица 3.12
Показатели концентрации на третьем иерархическом уровне «Дистрибьюторы»,
2011-2015 гг.
|
Год
|
CR3
|
CR4
|
HHI
|
a
|
b
|
|
2011
|
0,459
|
0,564
|
0,0962
|
0,214925
|
0,17
|
|
2012
|
0,436
|
0,546
|
0,093576
|
0,187953
|
0,165
|
|
2013
|
0,43
|
0,529
|
0,090402
|
0,196649
|
0,162
|
|
2014
|
0,446
|
0,558
|
0,101504
|
0,186402
|
0,172
|
|
2015
|
0,49
|
0,593
|
0,118255
|
0,21476
|
0,199
|
Для трех- и четырехдольного индексов концентрации легко отследить
постепенное снижение с 2011 по 2013 год, а затем ускоренный рост в течение 2014
и 2015 гг., который заметно превысил отметку 2011 года. Коэффициент b и индекс
Херфиндаля-Хиршмана повторяет данную динамику. Коэффициент а колебался в
течение исследуемого периода попеременно увеличиваясь и уменьшаясь, однако
каждый из полученных показателей позволяет отнести распределение долей рынка ко
второму типу, при котором на рынке выделяется крупнейший игрок.
Рисунок 3.24 Распределение долей ТОП-10 дистрибьюторов лекарственных
препаратов, 2011-2015 гг.
Графически изображенное распределение долей среди 10 лидеров уровня (рис.
3.24) не демонстрируют существенных изменения, за исключением заметного увеличения
доли лидера в 2015 году, что стало результатом органического роста крупнейших
предприятий и высвободившейся доли рынка (5,2%) с уходом двух крупных игроков.
Причиной ухода с рынка крупных дистрибьюторов, как было указано во второй
главе, стало банкротство одного из них, и непрофильность нового владельца,
обусловившее отсрочку запуска второго предприятия.
Перейдем к показателям концентрации на четвертом иерархическом уровне,
объединяющем производителей лекарственных препаратов (табл. 3.13).
Таблица 3.13
Показатели концентрации на четвертом иерархическом уровне
«Производители», 2011-2015 гг.
|
CR3
|
CR4
|
HHI
|
a
|
b
|
|
2011
|
0,1266
|
0,1614
|
0,014761
|
0,074487
|
0,0481
|
|
2012
|
0,143
|
0,174
|
0,016175
|
0,084736
|
0,055
|
|
2013
|
0,162
|
0,201
|
0,01874
|
0,098742
|
0,064
|
|
2014
|
0,176
|
0,212
|
0,019909
|
0,110741
|
0,072
|
|
2015
|
0,143
|
0,178
|
0,017256
|
0,068962
|
0,05
|
Как видно из таблицы, концентрация трех и четырех лидирующих
производителей только росла вплоть до 2014 года, а затем в 2015 году произошел
спад. Абсолютно все показатели, указанные в таблице, дублируют данную
тенденцию. Коэффициент а согласно типологизации распределения долей конкурентов
на рынке позволяет сделать вывод о том, что рынок производителей лекарственных
препаратов адекватно описывает четвертый тип (с условно линейным убыванием
долей фирм).
Рисунок 3.25 Распределение долей ТОП-20 производителей лекарственных
препаратов, 2011-2015 гг.
На изменение распределения долей на данном уровне (рис. 3.25) также мог
повлиять тот факт, что ранее представлявшие одну компанию «Отисифарм» и
«Фармстандарт» отделились и стали учитываться как две независимые конкурирующие
организации.
Рисунок 3.26 Динамика совокупной доли ТОП-20 производителей за 2011-2015
гг.
В целом в 2015 году рост большинства компаний в ТОП-20 был ниже, чем рост
рынка в целом, а многие даже показывали отрицательную динамику (рис. 3.26).
Ранее был рассмотрен каждый уровень по отдельности на предмет степени
концентрированности рыночных долей крупнейших конкурирующих фирм. Так как
предметом исследования является межуровневая конкуренция, перейдем к анализу
каждого показателя в разрезе всех уровней вместе.
Индекс концентрации, рассчитанный по трем компаниям (четырехдольный не
будет рассмотрен, так как почти полностью повторяет динамику
), демонстрирует следующие значения
(Таблица 3.14).
Таблица 3.14
Трехдольный индекс концентрации по четырем иерархическим уровням
фармацевтического рынка за 2011-2015 гг.
|
CR3
|
ЛП
|
Аптеки
|
Дистрибьюторы
|
Производители
|
|
2011
|
0,0328
|
0,072
|
0,459
|
0,1266
|
|
2012
|
0,0266
|
0,073
|
0,436
|
0,143
|
|
2013
|
0,026
|
0,073
|
0,43
|
0,162
|
|
2014
|
0,026
|
0,088
|
0,446
|
0,176
|
|
2015
|
0,014577
|
0,188
|
0,49
|
0,143
|
Данные Таблицы 3.14 позволяют продемонстрировать на графике (рис. 3.27) динамику
индекса сразу по всем уровням фармацевтического рынка. Начнем с того, что самым
высококонцентрированным уровнем фармацевтического рынка является рынок
дистрибьюторов, что свидетельствует о сильнейшей рыночной власти в цепочке
создания ценности (если не учитывать тот нюанс, что рынок производителей
организован таким образом, что на каждый произведенный ими препарат есть свой
спрос). Следом идет рынок производителей, за ним розничный сектор, и самым
низкоконцентрированным является товарный уровень.
Рисунок 3.27 Динамика трехдольного индекса концентрации по четырем
иерархическим уровням фармацевтического рынка за 2011-2015 гг.
На графике видно, что несмотря на разницу фактических значений индексов,
у нескольких иерархических уровней есть общие тенденции. Например, индекс
концентрации на уровне «Лекарственные препараты» и «Производители» имели схожую
тенденцию: в 2015 году заметное снижение данного индикатора. Динамика оптового
и розничного рынка также «дублируют» тенденции: рост долей в 2014 году и
заметный скачок в 2015 году. Стоит напомнить, что на рынке дистрибьюторов рост
индекса обусловлен органическим ростом лидеров, а на аптечном рынке широко
распространены процессы консолидации. Также необходимо иметь в виду, что
подавляющее большинство дистрибьюторов владеет отдельными аптечными сетями,
которые входят в ТОП-20 аптек согласно рейтингу.
Перейдем к анализу показателя индекс Херфиндаля-Хиршмана и приведем для
этого сводную таблицу значений по всем уровням исследуемого рынка (табл. 3.15).
Таблица 3.15
Индекс Херфиндаля-Хиршмана по четырем иерархическим уровням
фармацевтического рынка за 2011-2015 гг.
|
HHI
|
ЛП
|
Аптеки
|
Дистрибьюторы
|
Производители
|
|
2011
|
0,001009
|
0,003337
|
0,0962
|
0,014761
|
|
2012
|
0,000824
|
0,003384
|
0,093576
|
0,016175
|
|
2013
|
0,000793
|
0,003855
|
0,090402
|
0,01874
|
|
2014
|
0,000778
|
0,00505
|
0,101504
|
0,019909
|
|
2015
|
0,000604
|
0,016902
|
0,118255
|
0,017256
|
Графически динамика индекса во многом повторяет динамику индекса
концентрации по трем крупнейшим долям (рис. 3.28). Разница значений разных
уровней кажется еще более существенной.
Рисунок 3.28 Динамика индекса Херфиндаля-Хиршмана по четырем
иерархическим уровням фармацевтического рынка за 2011-2015 гг.
Перейдем к анализу новой оценки распределения долей конкурентов на рынке
(табл. 3.16 и 3.17).
Таблица 3.16
Коэффициент a в
экспоненциальном уравнении по четырем иерархическим уровням фармацевтического
рынка за 2011-2015 гг.
|
a
|
ЛП
|
Аптеки
|
Дистрибьюторы
|
Производители
|
|
2011
|
0,078489
|
0,108587
|
0,214925
|
0,074487
|
|
2012
|
0,044325
|
0,095904
|
0,187953
|
0,084736
|
|
2013
|
0,053406
|
0,102003
|
0,196649
|
0,098742
|
|
2014
|
0,053406
|
0,109518
|
0,186402
|
0,110741
|
|
2015
|
0,03517
|
0,213744
|
0,21476
|
0,068962
|
|
Тип распределения
|
№4
|
№4-№2
|
№2
|
№4
|
Вспомним, что три иерархических уровня фармацевтического рынка из четырех
согласно типологизации, предложенной Светуньковым С., относятся к четвертому
типу, которому характерно линейное убывание долей конкурентов. Лишь один
уровень - рынок дистрибьюторов подходит под описание второго типа, при котором
можно выделить лидирующую фирму.
Рисунок 3.29 Динамика коэффициента a в экспоненциальном уравнении по четырем иерархическим
уровням фармацевтического рынка за 2011-2015 гг.
На графике (рис. 3.29) мы видим, что существенно коэффициент а для рынка
производителей, дистрибьюторов лекарственных препаратов не менялся, хотя
колебания были. Заметный рост коэффициента наблюдался на уровне аптечных сетей
в 2015 году. Такой скачок показателя демонстрирует изменение характера
распределения: если раньше, когда показатель не превышал значение 0,1095,
распределение было линейно убывающим, то при достижении отметки в 0,2148 можно
судить о монополизации рыночной власти на данном иерархическом уровне.
Использование графического отображения динамики коэффициентов а по всем уровням
вместе не имеет практического смысла без выделения областей по оси ординат, в
пределах которых можно характеризовать распределение долей участников,
используя ранее упомянутую типологию.
Коэффициент b как доля лидирующего участника
иерархического уровня аналогичен коэффициенту
, хоть и менее показателен, но
способен внести некоторую ясность в вопросе определения концентрации рыночной
власти лидеров. В таблице указаны сведения о значениях данного коэффициента по
каждому уровню фармацевтического рынка за 2011-2015 гг.
Таблица 3.17
Коэффициент b в
экспоненциальном уравнении по четырем иерархическим уровням фармацевтического
рынка за 2011-2015 гг.
|
b
|
ЛП
|
Аптеки
|
Производители
|
|
2011
|
0,0136
|
0,027
|
0,17
|
0,0481
|
|
2012
|
0,0093
|
0,025
|
0,165
|
0,055
|
|
2013
|
0,01
|
0,029
|
0,162
|
0,064
|
|
2014
|
0,01
|
0,032
|
0,172
|
0,072
|
|
2015
|
0,000077
|
0,093
|
0,199
|
0,05
|
На основе данных таблицы изобразим графически динамику доли лидера по
всем уровням исследуемого рынка за 5 лет.
Рисунок 3.30 Динамика коэффициента b в экспоненциальном уравнении по четырем иерархическим
уровням фармацевтического рынка за 2011-2015 гг.
График динамики коэффициента b (рис. 3.30) повторяет тенденции индекса концентрации, поэтому мы можем
судить о весомом значении развития одного крупнейшего игрока на иерархическом
уровне, который за счет своих темпов прироста определяет рост всего рынка в
целом.
Таким образом, мы попытались охарактеризовать конкуренцию на рынке с
использованием как широко известных, так и новых показателей концентрации и
индикаторов характера распределения рыночных долей участников. Анализ с двух
позиций - по уровням рынка и по показателям конкуренции - позволил нам более детально
изучить особенности конкурентной среды фармацевтического рынка. В ходе анализа
была выявлена сходная тенденция попарно у уровней
«Производители»-«Лекарственные препараты» и «Дистрибьюторы»-«Аптеки», при этом
между «парами» была заметна противоположная динамика.
Уязвимым местом фармацевтического рынка России с точки зрения конкуренции
является иерархический уровень, объединяющий дистрибьюторов. В связи с высокой
концентрацией рыночной власти у дистрибьюторов лекарственных препаратов
антимонопольным службам следует уделить особое внимание на данный уровень,
поскольку эти участники определяют конкуренцию на фармацевтическом рынке в
целом.
Заключение
На основе эмпирических данных по фармацевтическому рынку в результате
диссертационного исследования были получены следующие результаты:
. Систематизированы и проанализированы на предмет «узких мест»
различные показатели концентрации рыночных долей конкурирующих субъектов.
. Выделены основные тенденции развития мирового рынка, включая
факторы, обуславливающие уровень конкуренции.
. Выделены особенности фармацевтического рынка, отличающие его от
других секторов экономики.
. Построена модель фармацевтического рынка с выделением
функциональных иерархических уровней.
. Определены особенности структуры каждого уровня
фармацевтического рынка в частности и проведена оценка общего состояния
конкурентной среды.
. Выделены и исследованы основные игроки российского и
петербургского фармацевтического рынка.
. Охарактеризованы поведение и предпочтения потребителей на фармрынке
России.
. Проанализирована ценовая среда фармацевтического рынка с помощью
индекса Ласпейреса в долларовом и рублевом выражении, исследована динамика
данного показателя, определены факторы, влияющие на уровень цен в аптеках.
. Исследованы ценовые сегменты рынка лекарственных препаратов в
натуральном и стоимостном выражении, а также структура рынка по данным
сегментам.
. Рассмотрена динамика средней цены за упаковку проданных
лекарственных препаратов, определены факторы, влияющие на изменение данного показателя.
. Проведена оценка уровня (количественная оценка) и характера
(качественная оценка) конкуренции на всех иерархических уровнях
фармацевтического рынка.
. Применен принцип многоуровневой структуры рынка при оценке
конкуренции на фармацевтическом рынке: проведена оценка в разрезе иерархических
уровней в динамике за последние пять лет, а также оценка в разрезе по
коэффициентам всех уровней вместе.
В ходе диссертационного исследования были сделаны выводы:
. Несмотря на обилие различных показателей измерения уровня
концентрации на рынке, все известные на сегодняшний день показатели обладают
рядом отдельных преимуществ и недостатков, поэтому оптимальным станет выбор
использования сразу нескольких показателей, дополняющих, но не дублирующих друг
друга. Выбор того или иного показателя зависит от характера проблем, подлежащих
решению при исследовании концентрации. Немаловажно учитывать специфику рынка,
влияющую на обоснование применения тех или иных инструментов измерения
концентрации.
. Уникальность функций фармацевтического рынка заключаются в
обеспечении и поддержании здоровья всех членов общества. Такая функция
автоматически делает данную отрасль стратегически важной в масштабах страны и
мира в целом.
. Фармацевтический сектор динамично развивается несмотря на общий
спад в мировой экономике за счет роста емкости рынка ЛП и активного расширения
ассортимента препаратов.
. Уровень потребления лекарственных средств по стране зависит от
уровня развития медицины, организации и состоятельности системы здравоохранения,
культурной и социальной среда общества, менталитета и поведения потребителей,
активности фармпроизводителей и дистрибьюторов. Показатель среднедушевого
потребления препаратов необходимо оценивать в комплексе с показателем валового
национального продукта на человека.
. Крупнейшие участники рынка задают стандарты, формируют рыночные
тенденции и значительно влияют своими действиями на структуру рынка.
. Производители стремятся поделить рынок таким образом, чтобы
минимизировать пересечение сегментов, однако, если такие пересечения случаются,
кому-то в ожесточенной конкурентной борьбе приходится терпеть серьезные убытки
и во избежание банкротства вовремя покинуть поле боя. Как ни удивительно,
конкуренты активно взаимодействуют друг с другом, и можно проследить активные
процессы слияний, поглощений, обмена подразделениями бизнеса, продажи и покупки
активов, а также совместные проекты.
. На развитие фармацевтического рынка влияет общая экономическая
ситуация в стране: девальвация национальной валюты, отрицательные темпы роста
основных рыночных индикаторов.
. Отечественному фармацевтическому рынку свойственен протекционизм
и развитие в направлении импортозамещения.
. Фармрынок склонен к вертикальной интеграции.
. Российский рынок лекарственных препаратов остается
импортозависимым несмотря на инициативы, принимаемые и реализуемые органами
государственной власти.
. Отличительная черта российского потребителя - приверженность
бренду препаратов, который является важнейшим прямым инструментом коммуникации
между производителем и покупателем.
. Российский покупатель исключительно осведомлен о ЛП, поэтому
часто приобретает безрецептурные препараты для самолечения и предпочитает
перепроверять рецептурные показания лечащего врача, используя всевозможные
источники информации.
. Коммерческий рынок, на котором оборачиваются лекарственные
препараты, состоит из трех уровней контрагентов: производители лекарственных
препаратов, дистрибьюторы лекарственных препаратов, розничные сети и
индивидуальные аптеки. Помимо контрагентов выделяется продуктовый уровень -
рынок лекарственных препаратов.
. Российский рынок фармацевтики невозможно представить без
крупнейших дистрибьюторов. Дистрибьюторы концентрируют на себе распределение
товарно-денежных потоков, обеспечивая население лекарствами. Подавляющее
большинство национальных дистрибьюторов владеют аптечным бизнесом, за
исключением оптовых компаний, специализирующихся на государственных закупках.
Некоторые гиганты оптового уровня реализуют собственное программное обеспечение
для розничных сетей, имеют собственное производство или инвестируют в
экстенсивное развитие крупные суммы денег.
. За последнее время устоялась тенденция консолидации и переход
все большего числа аптек к мультиформатности развития. Крупнейшие компании
растут за счет структурных преобразований, благодаря консолидации и поглощения
небольших конкурентов. Также весомое значение по-прежнему имеет органический
рост сетей.
. Российскому фармацевтическому рынку свойственна тенденция
смещения спроса в сторону более дорогих и эффективных лекарственных препаратов,
несмотря на распространенное желание сэкономить среди потребителей. Помимо
прочего, влияние на ценовую среду имеет банальное подорожание препаратов.
. Большинство новых ЛП произведено иностранными производителями.
Тем не менее, российские компании в 2015 году вывели на рынок более 117 новых
брендов, 9 из которых вошли в ТОП-20 новых торговых наименований в стоимостном
выражении за исследуемый период.
. На рынке фармацевтики ожидается бурный рост Интернет-торговли.
. Для большинства потребителей не является проблемой заранее
подготовиться к покупке лекарственных препаратов и изучить ценовое предложение.
Поведение потребителя в целом характеризуется высокой готовностью преодолеть
большое расстояние ради выгодных покупок.
. Если проследить «заменимость» компаний в рейтинге, то есть
передвижения конкурентов в рейтинге по месяцам, то такие данные можно
использовать для оценки уровня конкуренции среди лидирующих компаний в качестве
составной части оценки уровня конкуренции на всем иерархическом уровне рынка.
. Компании, производящие препараты имеют различный успех в разных,
пусть даже смежных регионах России. Таким образом, сравнение по территориям не
имеет практической значимости для исследователей общей конъюнктуры рынка,
однако динамика рейтинга может оказаться весомым фактором в части определения
уровня конкуренции.
. Согласно данным о средних ценах на проданные упаковки
лекарственных препаратов можно проследить весьма традиционную тенденцию к
росту, за исключением летних периодов, когда снижение цен на препараты
обусловлено сезонностью спроса - для летних месяцев характерно общее снижение
продаж. Возможно, часть населения не использует дорогостоящие препараты в
данный период по причине ненадобности или же в связи с отъездом в отпуск делает
покупки заранее. Не исключена возможность снижения цен в качестве системы
стимулирования сбыта на время общего спада продаж в виде скидок и акций,
действующих в аптеке.
. Индекс Ласпейреса демонстрирует разнонаправленные изменения цен
на препараты как в рублях, так и в долларах США. Отметим, что волатильность цен
в долларах США на порядок выше колебаний в рублевом выражении.
. Самая многочисленная в натуральном выражении группа препаратов
стоимостью менее 50 рублей (43% всех проданных ЛП за март 2017 г.) в
стоимостном выражении занимает лишь 6% (3,38 млрд. руб.). Производством
препаратов данной ценовой категории занимаются преимущественно отечественные
производители.
. Рынок лекарств не отличается по тенденции роста цен от других
потребительских рынков, однако ему характерна сезонность. Важно также понимать,
что разные ценовые категории препаратов дорожают и дешевеют в разные временные
промежутки и с разной скоростью. На среднюю стоимость препаратов влияет
распределение спроса потребителей по ценовым сегментам, но в меньшей степени,
так как препараты назначаются лечащим врачом или приобретаются самостоятельно
без рецепта для лечения конкретных болезней, поэтому спектр препаратов
ограничен и специфичен. В большей степени на цену препаратов влияют макроэкономические
показатели, ценовая политика производителя и его сбытовых посредников, а также
сезонность спроса.
. Уровень цен в каждой аптеке - есть результат ценовой политики
компании.
. В ходе конкурентного анализа иерархических уровней
фармацевтического рынка была выявлена сходная тенденция попарно у уровней
«Производители»-«Лекарственные препараты» и «Дистрибьюторы»-«Аптеки», при этом
между «парами» была заметна противоположная динамика.
. Уязвимым местом фармацевтического рынка России с точки зрения конкуренции
является иерархический уровень, объединяющий дистрибьюторов. В связи с высокой
концентрацией рыночной власти у дистрибьюторов лекарственных препаратов
антимонопольным службам следует уделить особое внимание на данный уровень,
поскольку эти участники определяют конкуренцию на фармацевтическом рынке в
целом.
Список литературы
1. Азоев Г.Л. Конкуренция: анализ, стратегия и практика. М:
Центр экономики и маркетинга, 1996
. Андреев Б.Ф. Системный курс экономической теории.
Микроэкономика. Макроэкономика: Учебное пособие / Под ред. В.А. Петрищева. -
СПб.: Лениздат, 1998. - С.150.
. Бахтеев Ю.Д. Концепция стратегического маркетинга как
основа управления конкурентоспособностью предприятий / Ю. Д. Бахтеев, В. А.
Белякова // Известия высших учебных заведений. Поволжский регион. Общественные
науки. - 2014. - № 2 (30). - С. 232-245.
. Гавриленко Н.И. Роль стратегического маркетинга в
управлении предприятиями в условиях рыночных отношений. Ч. 1-2 / Н. И.
Гавриленко // Финансы и кредит. - 2005 - № 22. - URL: http://www.it2b.ru/blog/arhiv/223.html
(дата обращения: 21.03.2017).
. Голубков Е.П. Маркетинг: стратегия, планы, структуры:
учебник / Е.П. Голубков - М.: Дело, 2011. - 318 с.
. Гусейнов Р.А., Донских О.А. Круглый стол. Конкуренция и
монополия // Идеи и идеалы, 2012, Т. 1, № 1(11).
. Игнатова Т.В., Мальцева О.В. Институциональная организация
конкурентных отношений в современной экономике // Идеи и идеалы, Т. 1, № 1(11),
2012.
. Интернет-портал газеты Известия [Электронный ресурс] URL:
http://izvestia.ru/news/600444 (дата обращения: 23.02.2017)
. Интернет-портал Навости GMP [Электронный ресурс] URL:
http://gmpnews.ru (дата обращения: 05.05.2017)
. Интернет-портал Фармацевтический вестник [Электронный
ресурс] URL: http://www.pharmvestnik.ru (дата обращения:25.03.2017)
. Кирцнер И.М. Конкуренция и предпринимательство. М.:
ЮНИТИДАНА, 2001.
. Котлер Ф. Маркетинг в третьем тысячелетии: как создать,
завоевать и удержать рынок: пер. с англ. В.А Гольдича и А.И. Оганесовой; научн.
ред. и авт. вступ. ст. Б.А. Соловьев. − М.: Издательство АСТ, 2000.
. Ланин Б.Е. Конкуренция // Российская банковская
энциклопедия. Редколлегия: О.И. Лаврушин и др. М.: Энциклопедическая Творческая
Ассоциация, 1995. - С. 206-207.
. Маршалл А. Принципы экономической науки, т.1 - М.:
Прогресс, 1993. - С.60
. Мурадова З.К., Взаимозависимость степени конкуренции на
разных уровнях в многоуровневой модели рынка // Методологические проблемы
многоуровневой теории конкуренции. - СПб.: Издательство «Левша
Санкт-Петербург», 2016. - 153 с.
. Найт Ф. Риск, неопределенность, прибыль. М.: Дело, 2003.
. Национальная экономика: приоритеты государственного
регулирования. Коллективная монография / Под ред. проф. Т. В. Игнатовой. Ростов
н/Д: Изд-во ЮРИФ РАНХиГС, 2013.
. Портер M. Международная конкуренция: пер. с англ. / под
ред. и с предисловием В.Д. Щетинина. М.: Междунар. отношения, 1993. 896 с.
. Приказ Минздравсоцразвития России №785 от 14 декабря 2005
г.
. Пунгин И.В., Пунгина В.С. Систематизация показателей оценки
конкурентоспособности и эффективности на основании целевого подхода, журнал
«Конкурентоспособность бизнеса», 2010 / 1 (19)
. Радаев В. Основные подходы к анализу конкуренции //
Top-Manager. - 2005. - № 11. - С. 11.
. РБК+ «ЗДРАВООХРАНЕНИЕ» (16+) Тематическое приложение к
журналу «РБК» № 05/2016 частью журнала «РБК» № 05/2016
. Романова Л.Е. Конкурентное взаимодействие субъектов
товарного рынка. Тула: Тул. гос. ун-т, 2000. 222 с.
. Российский ритейл: итоги 2015 г. Национальное рейтинговое
агентство [Электронный ресурс] URL: www.ra-national.ru (дата обращения:
03.03.2017)
. Сайт Российского совета по международным делам (РСМД)
«Доклад о конкурентоспособности России 2012: Регионы на пути повышения
производительности». [Электронный ресурс] URL:
http://russiancouncil.ru/library/?id_4=25 (дата обращения: 10.05.2017).
. Сайт агентства количественных маркетинговых исследований
FDFgroup [Электронный ресурс] URL: http://www.fdfgroup.ru (дата обращения:
08.01.2017)
. Сайт аудиторской компании KPMG [Электронный ресурс] URL:
https://kpmg.com/ru/ (дата обращения: 13.03.2017)
. Сайт интернет-издания информационно-аналитического
агентства «Центр гуманитарных технологий» Всемирный экономический форум:
Рейтинг глобальной конкурентоспособности 2013-2014. [Электронный ресурс] URL:
http://gtmarket.ru/news/2013/09/05/6219 (дата обращения: 11.04.2017).
. Сайт Комитета по здравоохранению Санкт-Петербурга
[Электронный ресурс] URL: http://www.zdrav.spb.ru/ (дата обращения:
20.04.2017).
. Сайт компании «IMS Health», «Global Medicines Use in 2020»
[Электронный ресурс] URL: http://www.imshealth.com/en/thought-leadership/quintilesims-institute/reports/global-medicines-use-in-2020
(дата обращения: 02.02.2017)
. Сайт маркетингового агентства DSM Group [Электронный
ресурс] URL: http://dsm.ru/ (дата обращения: 10.05.2017)
. Сайт НБКИ, FICO [Электронный ресурс] URL:
http://www.nbki.ru/company/news/?id=11988&print=yes (дата обращения:
05.04.2017)
. Сайт организации «Северо-Западный Кластер» [Электронный
ресурс] URL: http://nwcluster.ru/ (дата обращения: 01.05.2017)
. Сайт Росздравнадзора по Санкт-Петербургу [Электронный
ресурс] URL: http://www.roszdravnadzor.ru/ (дата обращения: 20.04.2017)
. Сайт фармацевтического блога Farmblog. Экспертное мнение об
аптечном бизнесе: интервью с Тимуром Шакая (A.v.e. Group) [Электронный ресурс]
URL: http://pharmblog.ru/pharmacychains/ekspertnoe-mnenie-ob-aptechnom-biznese-intervyu-s-timurom-shakaya-ave-group.html
(дата обращения: 22.02.2017)
. Сайт ФСГС [Электронный ресурс] URL:
http://www.gks.ru/bgd/free/B04_03/IssWWW.exe/Stg/d06/53.htm (дата обращения: 23.03.2017)
. Светуньков С.Г. Новый метод оценки уровня конкуренции //
Методологические проблемы многоуровневой теории конкуренции. - СПб.:
Издательство «Левша Санкт-Петербург», 2016. - 153 с.
. Светуньков С.Г., Киндеева В.Н., Салихова Я.Ю. Сегментный
подход и переориентация теории конкуренции / Под ред. С.Г. Светунькова. - СПб.:
Изд-во СПбГУЭФ, 2006. - 147 с.
. Светуньков С.Г., Методологические проблемы многоуровневой
теории конкуренции. - СПб.: Издательство «Левша Санкт-Петербург», 2016. - 153
с.
. Светуньков С.Г., Многоуровневая конкуренция: диагностика
проблемы // Методологические проблемы многоуровневой теории конкуренции. -
СПб.: Издательство «Левша Санкт-Петербург», 2016. - 153 с.
. Сервис 2ГИС [Электронный ресурс] URL: http://www.2gis.ru
(дата обращения: 16.05.2017)
. Смит. А. Исследование о природе и причинах богатства
народов. - М.: Наука, 1992. - С. 423.
. Тематическое приложение РБК+ «ЗДРАВООХРАНЕНИЕ» к журналу
«РБК» № 05/2016
. Томпсон А.А. и Стрикленд А.Дж. Стратегический менеджмент:
концепции и ситуации. М.: ИНФА-М, 2000.
. Третьяк Н.А. Совершенствование методики оценки состояний
конкуренции, Вестник Челябинского государственного университета. 2009. № 26
(164). Экономика. Вып. 22. С. 47-53.
. Третьяк О.А., Маркетинг взаимоотношений: концепции, формирование
и развитие Российский журнал менеджмента, Т.11, №1, 2013 г. - URL:
http://www.marketing.spb.ru/lib-mm/strategy/rm_theory.htm (дата обращения:
27.03.2017).
. Уве Штёр, Основные тенденции развития мирового
фармацевтического рынка и итоги 2015 года
. Фармацевтический рынок России: январь 2017 г. Аналитический
обзор российского фармацевтического рынка, DSM Group. [Электронный ресурс] URL:
http://dsm.ru/marketing/free-information/analytic-reports/ (дата обращения:
15.05.2017).
. Фатхутдинов Р.А. Управление конкурентоспособностью
организации. М.: Изд-во Эксмо, 2005.
. Фатхутдинов, Р.А. Стратегический маркетинг - один из
инструментов повышения конкурентоспособности / Р.А. Фатхутдинов // Стандарты и
качество. [Электронный ресурс] URL: http://ria-stk.ru/stq/adetail.php?ID=5518
(дата обращения: 28.01.2017).
. Федеральный закон N 135-ФЗ от 26.07.2006 (ред. от
03.07.2016) «О защите конкуренции» (статья 4)
. Федеральный закон от 22 июня 1998 г. N 86-ФЗ "О
лекарственных средствах" (Собрание законодательства Российской Федерации,
1998, N 26, ст. 3006; 2003, N 27, ст. 2700; 2004, N 35, ст. 3607)
. Федеральный закон Российской Федерации от 12 апреля 2010 г.
N 61-ФЗ «Об обращении лекарственных средств»
. Федорков Е.А., Совершенствование влияния творческого
потенциала персонала на повышение конкурентоспособности предприятия на основе
маркетингового подхода, журнал «Транспортное дело России, 3/2009
. Хайек Ф.А. Индивидуализм и экономический порядок. М.:
Изограф, 2000.
. Хашукаев С.Ф. Формирование конкурентной среды в условиях
переходной экономики. Н. Новгород: Изд-во Волго-вятской академии
государственной службы, 2006.
. Шаститко А., Афонцев С. и Плаксин С. Структурные
альтернативы социально-экономического развития России // Вопросы экономики, №
1, 2008.
. Шаститко А., Голованова С. и Крючкова П. Последствия слабой
конкуренции: количественные оценки и выводы для политики
(экспертноаналитический доклад) // Экономическая политика, № 6, 2012, с. 5-53.
. Шерер Ф.М., Росс Д. Структура отраслевых рынков: пер. с
англ. М.: ИНФРА-М, 1998. 497 с.
. Шмелев А.Г. Продуктивная конкуренция. Опыт конструирования
объединительной концепции. М.: Магистр, 1997.
. Шмелев Н.А. Стратегический маркетинг - М.: Моск.
финансово-промышл. академия, 2004. - 77 с., с. 27.
. Шумпетер И. Теория экономического развития: пер. с нем. М.:
ПРОЕРЕСС, 1982. 455 с.
. Юданов А. Ю. Теория конкуренции: прикладные аспекты //
МЭиМО, № 6, 1997.
64. Competition among Institution / Gerken, L. Ed.
N.Y., 1995. 39 p.
. Gary Hamel, C. K. Prahalad. Competing for the Future
Paperback - April 1, 1996.
. Grönroos, C.
Marketing services: the case of a missing product // Journal of Business &
Industrial Marketing, 1998, Vol. 13 Num. 4/5, pp. 322-338.
67. Gummesson, E.. The Part-Time Marketer. Karlstad,
Center for Service Research, 1991
. Joe S. Bain. Relation of Profit Rate to Industry
Concentration: American Manufacturing, 1936-1940 // Quarterly Journal of
Economics. 1951. Vol. 65. P. 293-324.
. Managing the World Economy. The Consequences of
Corporate Alliances. N. Y., 1997.
. McCarthy E. Jerome. Basic marketing, a managerial
approach. Homewood, Ill.: R. D. Irwin, 1978.
. Porter M. «Competitive Advantage: Creating Superior
Performance» (New York: Free Press, 1985)
. Smith A. An Inquiry into the Nature and Causes of
the Wealth of Nation (1776). - URL:
https://en.wikisource.org/wiki/The_Wealth_of_Nations (дата обращения: 10.03.2016).
. Stackelberg, Heinrich von "The theory of the
market economy" translated from the German by Alan T. Peacock. −
London: William Hodge, 1952. − 328 p.
. Storbacka, K.,
Strandvik, T., Grönroos, Ch.. Managing Customer Relationships for Profit:
The Dynamics of Relationship Quality // International Journal of Service
Industry Management, 1994, Vol. 5 No. 5, pp. 21-38.
. Thomas Rittera, Ian F. Wilkinsonb, Wesley J.
Johnstonc Managing in complex business networks // Industrial Marketing
Management. 2004. №33.
Приложение 1
Динамика индекса кредитного здоровья (FICO® Credit Health Index)
|
Период
|
Значение индекса
|
|
Октябрь 2008
|
114
|
|
Январь 2009
|
112
|
|
Апрель 2009
|
105
|
|
Июль 2009
|
100
|
|
Октябрь 2009
|
100
|
|
Январь 2010
|
103
|
|
Апрель 2010
|
106
|
|
Июль 2010
|
107
|
|
Октябрь 2010
|
110
|
|
Январь 2011
|
112
|
|
Апрель 2011
|
113
|
|
Июль 2011
|
114
|
|
Октябрь 2011
|
114
|
|
Январь 2012
|
115
|
|
Апрель 2012
|
113
|
|
Июль 2012
|
113
|
|
Октябрь 2012
|
111
|
|
Январь 2013
|
109
|
|
Апрель 2013
|
108
|
|
Июль 2013
|
104
|
|
Октябрь 2013
|
102
|
|
Январь 2014
|
102
|
|
Апрель 2014
|
100
|
|
Июль 2014
|
98
|
|
Октябрь 2014
|
97
|
|
Январь 2015
|
96
|
|
Апрель 2015
|
94
|
|
Июль 2015
|
92
|
|
Октябрь 2015
|
89
|
|
Январь 2016
|
90
|
|
Апрель 2016
|
89
|
|
Июль 2016
|
90
|
|
Октябрь 2016
|
91
|
Источники: НБКИ, FICO
Приложение 2
Значения индекса кредитного здоровья по федеральным округам РФ
|
Округ - Период
|
Центральный
|
Дальневосточный
|
Приволжский
|
Северокавказский
|
Северо-западный
|
Сибирский
|
Уральский
|
Южный
|
|
Октябрь 2008
|
115
|
127
|
110
|
105
|
114
|
118
|
113
|
111
|
|
Январь 2009
|
113
|
125
|
108
|
105
|
113
|
115
|
112
|
109
|
|
Апрель 2009
|
107
|
109
|
102
|
99
|
105
|
105
|
104
|
102
|
|
Июль 2009
|
103
|
105
|
98
|
98
|
101
|
100
|
99
|
99
|
|
Октябрь 2009
|
102
|
106
|
98
|
100
|
101
|
99
|
98
|
99
|
|
Январь 2010
|
105
|
111
|
100
|
105
|
105
|
104
|
101
|
102
|
|
Апрель 2010
|
107
|
116
|
103
|
110
|
107
|
107
|
103
|
105
|
|
Июль 2010
|
109
|
116
|
105
|
112
|
109
|
107
|
104
|
106
|
|
Октябрь 2010
|
111
|
118
|
108
|
115
|
112
|
110
|
107
|
109
|
|
Январь 2011
|
113
|
120
|
111
|
117
|
114
|
113
|
110
|
111
|
|
Апрель 2011
|
113
|
120
|
111
|
118
|
114
|
114
|
111
|
111
|
|
Июль 2011
|
114
|
121
|
112
|
119
|
115
|
116
|
111
|
112
|
|
Октябрь 2011
|
115
|
120
|
112
|
118
|
116
|
115
|
111
|
113
|
|
Январь 2012
|
122
|
114
|
117
|
116
|
118
|
112
|
113
|
|
Апрель 2012
|
114
|
113
|
113
|
114
|
114
|
114
|
112
|
113
|
|
Июль 2012
|
114
|
113
|
113
|
112
|
114
|
113
|
111
|
112
|
|
Октябрь 2012
|
113
|
111
|
112
|
108
|
113
|
110
|
108
|
110
|
|
Январь 2013
|
113
|
109
|
111
|
107
|
112
|
108
|
104
|
108
|
|
Апрель 2013
|
112
|
106
|
110
|
102
|
110
|
104
|
102
|
106
|
|
Июль 2013
|
108
|
103
|
107
|
98
|
107
|
102
|
100
|
102
|
|
Октябрь 2013
|
106
|
100
|
104
|
95
|
104
|
99
|
98
|
99
|
|
Январь 2014
|
106
|
100
|
104
|
94
|
104
|
99
|
97
|
99
|
|
Апрель 2014
|
104
|
99
|
102
|
92
|
103
|
97
|
96
|
97
|
|
Июль 2014
|
102
|
98
|
100
|
90
|
101
|
95
|
94
|
95
|
|
Октябрь 2014
|
101
|
97
|
99
|
89
|
100
|
94
|
93
|
93
|
|
Январь 2015
|
100
|
96
|
98
|
89
|
100
|
93
|
93
|
93
|
|
Апрель 2015
|
97
|
94
|
96
|
87
|
97
|
90
|
91
|
90
|
|
Июль 2015
|
96
|
92
|
94
|
86
|
96
|
88
|
91
|
89
|
|
Октябрь 2015
|
93
|
88
|
91
|
84
|
93
|
85
|
89
|
86
|
|
Январь 2016
|
94
|
89
|
92
|
82
|
94
|
84
|
89
|
87
|
|
Апрель 2016
|
93
|
88
|
91
|
82
|
93
|
84
|
88
|
86
|
|
Июль 2016
|
94
|
89
|
92
|
85
|
95
|
85
|
90
|
87
|
|
Октябрь 2016
|
96
|
90
|
93
|
86
|
96
|
85
|
89
|
88
|
Источники: НБКИ, FICO
Приложение 3
фирм-производителей по г. Санкт-Петербург за июль 2016 года
|
Производитель
|
Место в рейтинге
|
|
BAYER
|
1
|
|
JOHNSON & JOHNSON
|
2
|
|
SANOFI-AVENTIS
|
3
|
|
GLAXOSMITHKLINE HEALTHCARE
|
4
|
|
ABBOTT GMBH & CO.KG
|
5
|
|
ОТИСИФАРМ ПАО
|
6
|
|
TEVA PHARMACEUTICAL
INDUSTRIES LTD
|
7
|
|
A.MENARINI
PHARMACEUTICAL INDUSTRY'S GROUP LTD
|
8
|
|
LEK D.D.
|
9
|
|
PFIZER
|
10
|
|
GEDEON RICHTER
|
11
|
|
RECKITT BENCKISER
|
12
|
|
NYCOMED
|
13
|
|
НИЖФАРМ ОАО
|
14
|
|
ACTAVIS GROUP HF.
|
15
|
|
KRKA
|
16
|
|
SANDOZ PHARMACEUTICALS
|
17
|
|
SERVIER
|
18
|
|
ASTELLAS PHARMA INC
|
19
|
|
ФАРМСТАНДАРТ ОАО
|
20
|
Приложение 4
фирм-производителей по Ленинградской области за июль 2016 года
|
Производитель
|
Место в рейтинге
|
|
BAYER
|
1
|
|
SANOFI-AVENTIS
|
2
|
|
GEDEON RICHTER
|
3
|
|
ОТИСИФАРМ ПАО
|
4
|
|
JOHNSON & JOHNSON
|
5
|
|
A.MENARINI
PHARMACEUTICAL INDUSTRY'S GROUP LTD
|
6
|
|
GLAXOSMITHKLINE HEALTHCARE
|
7
|
|
ABBOTT GMBH & CO.KG
|
8
|
|
NYCOMED
|
9
|
|
TEVA PHARMACEUTICAL
INDUSTRIES LTD
|
10
|
|
LEK D.D.
|
11
|
|
PFIZER
|
12
|
|
SERVIER
|
13
|
|
RECKITT BENCKISER
|
14
|
|
ФАРМСТАНДАРТ ОАО
|
15
|
|
ACTAVIS GROUP HF.
|
16
|
|
KRKA
|
17
|
|
НИЖФАРМ ОАО
|
18
|
|
ASTELLAS PHARMA INC
|
19
|
|
DR.REDDY'S LABORATORIES LTD
|
20
|
Приложение 5
фирм-производителей по Северо-Западному федеральному округу за июль 2016
года
|
Производитель
|
Место в рейтинге
|
|
BAYER
|
1
|
|
GEDEON RICHTER
|
2
|
|
SANOFI-AVENTIS
|
3
|
|
ОТИСИФАРМ ПАО
|
4
|
|
NYCOMED
|
5
|
|
JOHNSON & JOHNSON
|
6
|
|
A.MENARINI
PHARMACEUTICAL INDUSTRY'S GROUP LTD
|
7
|
|
ABBOTT GMBH & CO.KG
|
8
|
|
GLAXOSMITHKLINE HEALTHCARE
|
9
|
|
TEVA PHARMACEUTICAL
INDUSTRIES LTD
|
10
|
|
SERVIER
|
11
|
|
KRKA
|
12
|
|
LEK D.D.
|
13
|
|
ACTAVIS GROUP HF.
|
14
|
|
PFIZER
|
15
|
|
ФАРМСТАНДАРТ ОАО
|
16
|
|
RECKITT BENCKISER
|
17
|
|
ASTELLAS PHARMA INC
|
18
|
|
DR.REDDY'S LABORATORIES LTD
|
19
|
|
НИЖФАРМ ОАО
|
20
|
Приложение 6
Динамика средневзвешенной цены и долей в стоимостном выражении
лекарственных препаратов в разрезе по ценовым сегментам с января 2014 года
|
Сегмент ЛП
|
менее 50 руб.
|
от 50 до 150 руб.
|
от 150 до 500 руб.
|
более 500 руб.
|
|
Показатель
|
Средняя цена, руб.
|
Доля в стоимостном
выражении
|
Средняя цена, руб.
|
Доля, %
|
Средняя цена, руб.
|
Доля, %
|
Средняя цена, руб.
|
Доля, %
|
|
2014
|
|
Январь
|
15,96
|
7,20%
|
96,25
|
20,60%
|
250,73
|
46,80%
|
921,18
|
25,50%
|
|
Февраль
|
15,69
|
7,00%
|
97,19
|
20,30%
|
251,01
|
47,80%
|
924,23
|
24,90%
|
|
Март
|
16,1
|
6,90%
|
97,18
|
249,71
|
47,90%
|
920,16
|
25,00%
|
|
Апрель
|
15,97
|
6,90%
|
96,74
|
18,50%
|
254,25
|
47,60%
|
941,86
|
27,00%
|
|
Май
|
15,89
|
7,20%
|
97,94
|
18,90%
|
256,13
|
46,10%
|
943,97
|
27,80%
|
|
Июнь
|
15,88
|
6,90%
|
97,96
|
18,60%
|
257,37
|
45,80%
|
940,65
|
28,70%
|
|
Июль
|
16
|
7,10%
|
98,04
|
18,00%
|
258,18
|
45,50%
|
947,89
|
29,40%
|
|
Август
|
16,21
|
7,20%
|
98,37
|
18,80%
|
256,53
|
45,30%
|
922,68
|
28,70%
|
|
Сентябрь
|
16,98
|
6,70%
|
98,58
|
20,00%
|
251,49
|
48,90%
|
920,75
|
24,30%
|
|
Октябрь
|
17,55
|
6,60%
|
97,68
|
18,50%
|
251,95
|
48,20%
|
916,43
|
26,60%
|
|
Ноябрь
|
18,06
|
6,70%
|
98,17
|
17,60%
|
253,29
|
47,30%
|
925,1
|
28,40%
|
|
Декабрь
|
18,58
|
6,70%
|
98,44
|
17,70%
|
254,13
|
48,20%
|
927
|
27,50%
|
|
2015
|
|
Январь
|
19,81
|
6,70%
|
94,12
|
15,80%
|
256,78
|
49,40%
|
905,01
|
28,10%
|
|
Февраль
|
20,4
|
6,70%
|
95,35
|
15,60%
|
257,34
|
50,00%
|
896,67
|
27,70%
|
|
Март
|
20,53
|
6,70%
|
95,91
|
15,10%
|
257,95
|
47,90%
|
897,11
|
30,40%
|
|
Апрель
|
20,1
|
6,60%
|
94,82
|
14,30%
|
259,52
|
47,00%
|
912,63
|
32,10%
|
|
Май
|
19,38
|
6,80%
|
93,88
|
14,70%
|
259,37
|
46,40%
|
916,75
|
32,10%
|
|
Июнь
|
19,08
|
6,80%
|
94,37
|
14,70%
|
259,51
|
45,50%
|
918,12
|
33,10%
|
|
Июль
|
19,23
|
7,10%
|
94,54
|
15,10%
|
260,27
|
45,00%
|
931,9
|
32,90%
|
|
Август
|
19,3
|
7,00%
|
95,91
|
16,20%
|
260,99
|
46,10%
|
945,07
|
30,70%
|
|
Сентябрь
|
19,9
|
6,50%
|
95,91
|
16,00%
|
256,34
|
48,20%
|
921,71
|
29,40%
|
|
Октябрь
|
20,6
|
6,40%
|
95,61
|
15,70%
|
259,54
|
47,20%
|
914,12
|
30,70%
|
|
Ноябрь
|
20,77
|
6,40%
|
95,25
|
15,10%
|
262,08
|
46,70%
|
920,51
|
31,80%
|
|
Декабрь
|
20,2
|
6,20%
|
95,4
|
16,10%
|
258,4
|
48,10%
|
890,6
|
29,60%
|
|
2016
|
|
Январь
|
20,7
|
6,20%
|
95,2
|
15,10%
|
259,9
|
50,20%
|
890,9
|
28,50%
|
|
Февраль
|
21,07
|
6,60%
|
96,13
|
15,30%
|
265,85
|
47,80%
|
914,31
|
30,30%
|
|
Март
|
20,6
|
6,20%
|
95
|
15,50%
|
264,3
|
46,50%
|
907,9
|
31,70%
|
|
Апрель
|
20,28
|
6,40%
|
95,84
|
15,30%
|
268,14
|
46,00%
|
916,23
|
32,30%
|
|
Май
|
20,56
|
6,40%
|
95,51
|
15,20%
|
267
|
46,10%
|
907,86
|
32,40%
|
|
Июнь
|
20,48
|
6,40%
|
95,84
|
14,30%
|
270,63
|
45,30%
|
926,69
|
34,00%
|
|
Июль
|
19,6
|
6,20%
|
94,9
|
15,40%
|
267,8
|
45,70%
|
913,1
|
32,60%
|
|
Август
|
19,5
|
6,10%
|
95,2
|
15,90%
|
266,4
|
46,50%
|
905,1
|
31,50%
|
|
Сентябрь
|
19,5
|
5,70%
|
95,7
|
16,40%
|
262,5
|
49,10%
|
900,8
|
28,80%
|
|
Октябрь
|
20,3
|
5,70%
|
96
|
15,70%
|
265,8
|
48,10%
|
914,3
|
30,50%
|
|
Ноябрь
|
21,1
|
5,90%
|
95,6
|
15,70%
|
267
|
48,40%
|
909,8
|
30,00%
|
|
Декабрь
|
21,1
|
5,90%
|
96,7
|
15,80%
|
267,8
|
49,20%
|
913,5
|
29,10%
|
|
2017
|
|
Январь
|
21,2
|
5,90%
|
95,7
|
15,50%
|
268,1
|
49,40%
|
918,8
|
29,10%
|
|
Февраль
|
20,7
|
5,70%
|
96,5
|
16,10%
|
269,9
|
47,70%
|
917,8
|
30,50%
|
|
Март
|
20,1
|
5,70%
|
95,2
|
15,70%
|
268,7
|
47,00%
|
921,5
|
31,60%
|
|
Апрель
|
|
|
|
|
|
|
|
|
Приложение 7
Доля лекарственных препаратов в ценовой категории от 50 до 150 рублей
|
Период
|
Средняя цена, руб.
|
Доля в стоимостном
выражении, %
|
Объем коммерческого рынка
России (с НДС), млн. руб
|
Емкость рынка, млн.
упаковок
|
Объем сегмента ЛП от 50 до
150 руб. (с НДС), млн. руб
|
Объем сегмента ЛП от 50 до
150 руб., млн. упаковок
|
Доля в натуральном
выражении, %
|
|
Январь 2014
|
96,25
|
20,60%
|
40080
|
352,5
|
8256,48
|
85,78161
|
24,34
|
97,19
|
20,30%
|
40475
|
353,6
|
8216,425
|
84,53982
|
23,91
|
|
Март 2014
|
97,18
|
20,30%
|
44161
|
378
|
8964,683
|
92,24823
|
24,40
|
|
Апрель 2014
|
96,74
|
18,50%
|
42021
|
352,4
|
7773,885
|
80,35854
|
22,80
|
|
Май 2014
|
97,94
|
18,90%
|
37134
|
315,7
|
7018,326
|
71,65944
|
22,70
|
|
Июнь 2014
|
97,96
|
18,60%
|
36128
|
300,6
|
6719,808
|
68,59747
|
22,82
|
|
Июль 2014
|
98,04
|
18,00%
|
37117
|
308,8
|
6681,06
|
68,14627
|
22,07
|
|
Август 2014
|
98,37
|
18,80%
|
36785
|
309,8
|
6915,58
|
70,30172
|
22,69
|
|
Сентябрь 2014
|
98,58
|
20,00%
|
46067
|
377,2
|
9213,4
|
93,46115
|
24,78
|
|
Октябрь 2014
|
97,68
|
18,50%
|
47890
|
378,5
|
8859,65
|
90,70076
|
23,96
|
|
Ноябрь 2014
|
98,17
|
17,60%
|
44679
|
342,8
|
7863,504
|
80,10089
|
23,37
|
|
Декабрь 2014
|
98,44
|
17,70%
|
60549
|
458,1
|
10717,17
|
108,8701
|
23,77
|
|
Январь 2015
|
94,12
|
15,80%
|
46414
|
337,8
|
7333,412
|
77,91555
|
23,07
|
|
Февраль 2015
|
95,35
|
15,60%
|
53992
|
385,8
|
8422,752
|
88,3351
|
22,90
|
|
Март 2015
|
95,91
|
15,10%
|
56125
|
393
|
8474,875
|
88,36279
|
22,48
|
|
Апрель 2015
|
94,82
|
14,30%
|
49379
|
343
|
7061,197
|
74,46949
|
21,71
|
|
Май 2015
|
93,88
|
14,70%
|
44667
|
321
|
6566,049
|
69,94087
|
21,79
|
|
Июнь 2015
|
94,37
|
14,70%
|
44806
|
321,4
|
6586,482
|
69,79424
|
21,72
|
|
Июль 2015
|
94,54
|
15,10%
|
41987
|
307,5
|
6340,037
|
67,06195
|
21,81
|
|
Август 2015
|
95,91
|
16,20%
|
39786
|
294,9
|
6445,332
|
67,20188
|
22,79
|
|
Сентябрь 2015
|
95,91
|
16,00%
|
45254
|
321,9
|
7240,64
|
75,49411
|
23,45
|
|
Октябрь 2015
|
95,61
|
15,70%
|
45288
|
312,1
|
7110,216
|
74,36687
|
23,83
|
|
Ноябрь 2015
|
95,25
|
15,10%
|
43055
|
292,9
|
6501,305
|
68,25517
|
23,30
|
|
Декабрь 2015
|
95,4
|
16,10%
|
52372
|
364,5
|
8431,892
|
88,38461
|
24,25
|
|
Январь 2016
|
95,2
|
15,10%
|
46543
|
318,1
|
7027,993
|
73,82346
|
23,21
|
|
Февраль 2016
|
96,13
|
15,30%
|
46701
|
315,8
|
7145,253
|
74,32906
|
23,54
|
|
Март 2016
|
95
|
15,50%
|
47964
|
323,3
|
7434,42
|
78,25705
|
24,21
|
|
Апрель 2016
|
95,84
|
15,30%
|
48362
|
327,9
|
7399,386
|
77,20561
|
23,55
|
|
Май 2016
|
95,51
|
15,20%
|
48969
|
316,2
|
7443,288
|
77,93203
|
24,65
|
|
Июнь 2016
|
95,84
|
14,30%
|
48116
|
318,6
|
6880,588
|
71,79245
|
22,53
|
|
Июль 2016
|
94,9
|
15,40%
|
44449
|
304,5
|
6845,146
|
72,13009
|
23,69
|
|
Август 2016
|
95,2
|
15,90%
|
47868
|
329,7
|
7611,012
|
79,94761
|
24,25
|
|
Сентябрь 2016
|
95,7
|
16,40%
|
55231
|
373,3
|
9057,884
|
94,64874
|
25,35
|
|
Октябрь 2016
|
96
|
15,70%
|
53789
|
355
|
8444,873
|
87,96743
|
24,78
|
|
Ноябрь 2016
|
95,6
|
15,70%
|
54194
|
356,5
|
8508,458
|
89,00061
|
24,97
|
|
Декабрь 2016
|
96,7
|
15,80%
|
70589
|
465,1
|
11153,06
|
115,3367
|
24,80
|
|
Январь 2017
|
95,7
|
15,50%
|
56469
|
372
|
8752,695
|
91,45972
|
24,59
|
|
Февраль 2017
|
96,5
|
16,10%
|
53258
|
347,5
|
8574,538
|
88,85532
|
25,57
|
|
Март 2017
|
95,2
|
15,70%
|
59300
|
390,4
|
9310,1
|
97,79517
|
25,05
|
Приложение 8
Аптеки г. Санкт-Петербург на март 2017 г.
|
Название
|
Адрес
|
Число аптек
|
|
1
|
Планета Здоровья, аптеки
|
Варшавская, 96 лит А - 1
этаж
|
10
|
|
2
|
ОлТаФарм, сеть аптек
|
Камышовая, 48 к1 - 1 этаж
|
7
|
|
3
|
Ава-Петер Фарм, сеть аптек
|
Учебный переулок, 2 - 2
этаж
|
5
|
|
4
|
Авиценна, сеть аптек
|
Косинова, 19 - 1 этаж;
Городская больница №14
|
1
|
|
5
|
Агоса, ООО, аптечный пункт
|
Есенина, 1 к1 - 1 этаж
|
1
|
|
6
|
Айрин, аптека
|
Бабушкина, 61 - 11H
помещение; 1 этаж
|
1
|
|
7
|
Акация, ООО, аптека
|
Энтузиастов проспект, 20 к1
- 1 этаж
|
1
|
|
8
|
Акбарс, ООО, аптека
|
Гатчина (Гатчинский район,
Ленинградская обл.), Куприна, 46 - 2 этаж
|
1
|
|
9
|
АлВитафарма, аптека
|
Есенина, 32 к1 - 1 этаж
|
1
|
|
10
|
Алое Вера, ООО, аптека
|
Парковая (Петергоф), 18 лит
А - 23Н помещение
|
1
|
|
11
|
Алоэ, сеть аптек
|
20
|
|
12
|
Алфега, аптека, ООО НордМед
|
Софьи Ковалевской, 1 к1 - 1
этаж
|
1
|
|
13
|
Альфа Фарм, сеть аптек
|
Первомайская (Шушары), 15
|
4
|
|
14
|
Альфа-Фарм, сеть аптек, ООО
Петробель
|
Софийская, 33 к1 - 1 этаж
|
7
|
|
15
|
Аптека
|
Московский проспект, 22 - 1
этаж
|
1
|
|
16
|
Аптека
|
Большие Колпаны (Гатчинский
район, Ленинградская обл.), Киевское шоссе, 79
|
1
|
|
17
|
Аптека
|
Тосно (Тосненский район,
Ленинградская обл.), Советская, 10 - 1 этаж
|
1
|
|
18
|
Аптека для бережливых
|
Варшавская, 112 - 1 этаж
|
20
|
|
19
|
Аптека для всех, ООО
|
Партизана Германа, 8 к4 - 1
этаж
|
2
|
|
20
|
Аптека доктора Живило
|
Гражданский проспект, 75 к7
- 1 этаж
|
5
|
|
21
|
Аптека Елизветинская, ООО,
Аптечный пункт
|
Николая Рубцова, 12 к1
|
1
|
|
22
|
Аптека Красоты, ООО
|
Кустодиева, 19 - 9Н
помещение; цокольный этаж
|
1
|
|
23
|
Аптека на Боровой, ООО
|
Боровая, 21 - 1 этаж
|
1
|
|
24
|
Аптека на Марата 41, ООО
|
Марата, 41 - 1 этаж
|
1
|
|
25
|
Аптека Новгород, ООО, сеть
аптек
|
Большая Пороховская, 56 - 1
этаж
|
5
|
|
26
|
Аптека Шанс, ООО
|
Красносельское шоссе
(Горелово), 40а - 1 этаж
|
3
|
|
27
|
Аптека Южная, ООО, аптека
|
Всеволожск (Всеволожский
район, Ленинградская обл.), Невская, 1/2 - 1 этаж
|
1
|
|
28
|
Аптека №1
|
Марата, 3 - 1 этаж
|
1
|
|
29
|
Аптека №51, г. Гатчина
|
Гатчина (Гатчинский район,
Ленинградская обл.), Карла Маркса, 4 - 1 этаж
|
1
|
|
30
|
Аптека №68, г. Коммунар
|
Коммунар (Гатчинский район,
Ленинградская обл.), Строителей, 3 - 2 этаж
|
4
|
|
31
|
Аптека №71
|
Никольское (Тосненский
район, Ленинградская обл.), Советский проспект, 225 - 1 этаж
|
1
|
|
32
|
Аптека №120, МУП Фармация
|
Победы (Ломоносов), 2 - 1
этаж
|
1
|
|
33
|
Аптека №125
|
Гатчина (Гатчинский район,
Ленинградская обл.), Рощинская, 20 - 1 этаж
|
1
|
|
34
|
Аптека №125, ООО
|
Школьная, 35 - 1 этаж
|
1
|
|
35
|
Аптека №139, МУП Фармация
|
Аннино (Ломоносовский
район, Ленинградская обл.), Центральная, 1 - 1 этаж
|
1
|
|
36
|
Аптека №145, ООО
|
Типанова, 29
|
5
|
|
37
|
Аптека №179
|
Ветеранов проспект, 141 - 1
этаж
|
1
|
|
38
|
Аптека №193, г. Сертолово
|
Сертолово (Всеволожский
район, Ленинградская обл.), Ларина, 8 - 1 этаж
|
1
|
|
39
|
Аптекарь, аптека
|
Савушкина, 9 - 1 этаж
|
2
|
|
40
|
Аптека, ИП Кулаков О.А.
|
Всеволожск (Всеволожский
район, Ленинградская обл.), Ленинградская, 22 - 2 этаж
|
2
|
|
41
|
Аптека, ИП Лясковская Т.В.
|
Фермское шоссе, 22 к3
|
1
|
|
42
|
Аптека, ИП Мамедов Н.Т.
|
Мурино (Всеволожский район,
Ленинградская обл.), Привокзальная площадь, 3ж
|
2
|
|
43
|
Аптека, ИП Михеева Н.А.
|
Имени Свердлова (Всеволожский
район, Ленинградская обл.), 1-й микрорайон, 9
|
1
|
|
44
|
Аптека, ИП Пайс А.Г.
|
Гатчина (Гатчинский район,
Ленинградская обл.), Урицкого, 30а - 1 этаж
|
1
|
|
45
|
Аптека, ИП Разыгрина М.О.
|
Отрадное (Кировский район,
Ленинградская обл.), Щурова, 3 к1
|
1
|
|
46
|
Аптека, ИП Тарбеева Н.П.
|
Латышских Стрелков, 13 к1
лит А - 1 этаж
|
2
|
|
47
|
Аптека, Немецкая семейная
клиника
|
Чернышевского площадь, 11а
- 1 этаж
|
1
|
|
48
|
Аптека, ООО
|
Сестрорецкая, 5 - 1 этаж
|
2
|
|
49
|
Аптека, Центр Клинической
Неврологии
|
Невский проспект, 22 - 4
этаж
|
1
|
|
50
|
АПТЕКА.БМХ, ООО
|
Бухарестская, 128 к2 - 1
этаж
|
1
|
|
51
|
Аптеки 24, ООО, аптека
|
Кудрово (Всеволожский
район, Ленинградская обл.), Ленинградская, 5 - 1 этаж
|
1
|
|
52
|
Аптечная лавка, ООО, аптека
|
Маршака проспект, 4 - 1
этаж
|
1
|
|
53
|
Аптечный пункт
|
Маршала Захарова, 40
|
1
|
|
54
|
Аптечный пункт
|
Ильюшина, 4 к1 - 1 этаж;
центр Скандинавия
|
1
|
|
55
|
Аптечный пункт
|
Стартовая, 6 лит Д - 1 этаж
|
1
|
|
56
|
Аптечный пункт
|
Ульяновка (Тосненский
район, Ленинградская обл.), Привокзальная площадь, 2
|
1
|
|
57
|
Аптечный пункт
|
Кирочная, 41 - 1 этаж
|
1
|
|
58
|
Аптечный пункт, ИП
Григорьева З.А.
|
Асафьева, 1 - 1 этаж
|
1
|
|
59
|
Аптечный пункт, ИП Груздева
Н.Н.
|
Предпортовый 5-й проезд, 1
- 1 этаж
|
1
|
|
60
|
Аптечный пункт, ИП Дроздов
Д.В.
|
Кондратьевский проспект, 70
к1 - 1 этаж
|
1
|
|
61
|
Аптечный пункт, ИП Мамедов
Н.Т.
|
Мурино (Всеволожский район,
Ленинградская обл.), Оборонная, 14 - 1 этаж
|
1
|
|
62
|
Аптечный пункт, ИП
Мустафаев Р.С.
|
Тореза проспект, 82 - 1
этаж
|
1
|
|
63
|
Аптечный пункт, ИП Серова
Л.Г.
|
Коммунар (Гатчинский район,
Ленинградская обл.), Гатчинская, 18а
|
1
|
|
64
|
Арника, ООО, аптека
|
Народная, 68 к1 - 1 этаж
|
2
|
|
65
|
Арника, ООО,
гомеопатическая аптека
|
Энгельса проспект, 132 к1 -
1 этаж
|
1
|
|
66
|
Арония, ООО, аптека
|
Дыбенко, 20 к1 - 1 этаж
|
2
|
|
67
|
Аспект, ООО, аптека
|
Скачков переулок, 5 лит А -
1 этаж
|
1
|
|
68
|
А5, сеть аптек
|
Варшавская, 23 к4 - 1 этаж;
супермаркет Пятёрочка
|
5
|
|
69
|
А-Фарм, сеть аптек
|
Металлистов проспект, 19 -
1 этаж
|
2
|
|
70
|
Балтика-Мед, аптека
|
Стачек проспект, 101 к1 - 1
этаж
|
3
|
|
71
|
Балтик-Эндомед, ЗАО, аптека
|
Типанова, 5 - 1 этаж
|
2
|
|
72
|
БАЛТФАРМАКОМ, ООО, аптека
|
Советская 9-я, 11-13 - 1
этаж
|
1
|
|
73
|
Балтфарм, ООО, сеть аптек
|
Льва Толстого, 1/3 - 1 этаж
|
4
|
|
74
|
Березка, аптека, ООО
Рафстрой
|
Всеволожск (Всеволожский
район, Ленинградская обл.), Колтушское шоссе, 78 к1 - 1 этаж
|
1
|
|
75
|
БиоМед, аптека
|
Стачек проспект, 47 лит А -
1 этаж
|
1
|
|
76
|
Бионика, ООО, сеть аптек
|
Софийская, 47 к1 - 1 этаж
|
5
|
|
77
|
БиоТехноТроник-Фарма, ООО,
сеть аптек
|
Академика Лебедева, 10а - 1
этаж
|
6
|
|
78
|
Биофарм-38, аптека
|
Декабристов, 27 - 1 этаж
|
1
|
|
79
|
Брегор-Фарм, ООО, аптека
|
Декабристов, 62-64 - 1 этаж
|
1
|
|
80
|
Будь здоров!, сеть аптек
|
Бассейная, 45 - 1 этаж
|
20
|
|
81
|
Будьте здоровы, аптека
|
Гатчина (Гатчинский район,
Ленинградская обл.), Леонова, 5 - 1 этаж
|
3
|
|
82
|
Будьте здоровы, ООО, аптека
|
Парашютная, 25 к1 - 1 этаж
|
1
|
|
83
|
Васко-фарм, ООО, аптека
|
Рихарда Зорге, 1 - 1 этаж
|
1
|
|
84
|
Ваше Здоровье, ООО, аптека
|
Гражданский проспект, 88 к6
- 1 этаж
|
4
|
|
85
|
Веда-Мед, аптека
|
Варшавская, 38 - 1 этаж
|
1
|
|
86
|
Вереск, аптека
|
Щербакова, 11 - 1 этаж
|
1
|
|
87
|
Вереск, аптека трав Кавказа
|
Мурино (Всеволожский район,
Ленинградская обл.), Боровая, 30 - 1 этаж
|
1
|
|
88
|
Вероника, ООО, аптека
|
Турку, 25 - 1 этаж
|
1
|
|
89
|
Викамед, ООО, аптечный
пункт
|
Госпитальная (Павловск), 1
|
2
|
|
90
|
Виктория, аптека
|
Стремянная, 21/5-7 - 1 этаж
|
1
|
|
91
|
Виктория, сеть аптек
|
Димитрова, 20 к1 - 1 этаж
|
5
|
|
92
|
Вита Норд, сеть аптек
|
Кудрово (Всеволожский
район, Ленинградская обл.), Ленинградская, 5 - 1 этаж; супермаркет Петровский
|
3
|
|
93
|
Вита СПб, ООО, аптека
|
Большевиков проспект, 9 к1
- 1 этаж
|
1
|
|
94
|
Витал, сеть аптек
|
Декабристов, 50 - 1 этаж
|
4
|
|
95
|
Витамакс-СПб, ООО, аптека
|
Восстания, 37-39 - 15М
помещение; 1 этаж
|
1
|
|
96
|
Витамин, аптека
|
Светлановский проспект, 66
- 1 этаж
|
3
|
|
97
|
Вита, аптека
|
Московский проспект, 166 -
1 этаж
|
1
|
|
98
|
Вита, ООО, аптека
|
Всеволожск (Всеволожский
район, Ленинградская обл.), Ленинградская, 30 к3 - 1 этаж
|
2
|
|
99
|
Гатчина (Гатчинский район,
Ленинградская обл.), Слепнёва, 17 - 1 этаж
|
1
|
|
100
|
Восход, ООО, аптека
|
Адмирала Трибуца, 7 - 1
этаж
|
1
|
|
101
|
Гармония, ООО,
гомеопатическая аптека
|
Пролетарская, 60 - 2 этаж
|
1
|
|
102
|
Гатчинские Аптеки
|
Гатчина (Гатчинский район,
Ленинградская обл.), Воскова, 1а
|
3
|
|
103
|
ГераФарм, ООО, аптека
|
Академика Лебедева, 7-9 - 1
этаж
|
1
|
|
104
|
ГероФарм, ООО, аптечный
пункт
|
Антоненко переулок, 5 -
цокольный этаж
|
1
|
|
105
|
Главное здоровье, аптека
|
Кузнецова проспект, 11 к3 -
1 этаж
|
2
|
|
106
|
Гомеопатическая фармация,
ООО, аптека
|
Большой проспект П.С., 2 -
1 этаж
|
2
|
|
107
|
Горздрав, сеть аптек
|
11-я линия В.О., 38 - 1
этаж
|
20
|
|
108
|
Горные вершины, аптека
|
Полевая, 12 - 1 этаж
|
2
|
|
109
|
Горные вершины, сеть аптек
|
Дыбенко, 25 к1 - 1 этаж
|
3
|
|
110
|
Гранд, аптека
|
Сикейроса, 10Б - 1 этаж
|
1
|
|
111
|
Гута-Фарм, ООО, аптечный
пункт
|
Добролюбова проспект, 27 -
1 этаж
|
1
|
|
112
|
Да здоров!, аптека
|
Коломяжский проспект, 17 к1
- 1 этаж
|
1
|
|
113
|
Дельфин, ООО, аптека
|
Юнтоловский проспект, 49 к3
- 1 этаж
|
1
|
|
114
|
Диа-фарм, ООО, аптека
|
Гжатская, 22 к4 - 21-Н
помещение; 1 этаж
|
2
|
|
115
|
ДЛТ, ООО, аптека
|
Седова, 21 - 1 этаж
|
1
|
|
116
|
Для жизни, ООО, аптека
|
Кременчугская, 11 к2 лит А
- 12-Н помещение
|
1
|
|
117
|
Добрый Сэм, аптека
|
Вавилова, 3 - 1 этаж
|
1
|
|
118
|
Доктор Неболит, аптека
|
Московская, 25 - 1 этаж
|
2
|
|
119
|
Доктор плюс, ООО, аптека
|
Королёва проспект, 48 к1 -
1 этаж
|
1
|
|
120
|
Доктор, аптека
|
Токсово (Всеволожский
район, Ленинградская обл.), Привокзальная площадь, 4
|
2
|
|
121
|
Доктор, ООО, аптека
|
Агалатово (Всеволожский
район, Ленинградская обл.), Агалатово, 207
|
1
|
|
122
|
Доктор, сеть аптек
|
Елизарова проспект, 15 - 1
этаж
|
10
|
|
123
|
Доступная, аптека
|
Ленинский проспект, 118 - 1
этаж
|
1
|
|
124
|
Древо жизни, ООО, аптека
|
Рубинштейна, 30 лит А - 1
этаж
|
1
|
|
125
|
Дэнифарм плюс, ООО,
аптечный пункт
|
Колпинское шоссе (Шушары),
11 - 1 этаж
|
3
|
|
126
|
Еаптека, ООО, аптека
|
Марата, 40 - 1 этаж
|
1
|
|
127
|
ЕвоМед, аптека
|
Русановская, 17 к1 лит А -
1 этаж
|
1
|
|
128
|
Ево-Мед Спб, ООО, аптека
|
Красносельское шоссе
(Горелово), 56 к2 - 1 этаж
|
1
|
|
129
|
Ежевика, аптека, ООО МетодА
|
Мурино (Всеволожский район,
Ленинградская обл.), Привокзальная площадь, 1а к1 - 1 этаж
|
2
|
|
130
|
ЕМС, аптечный пункт
|
Победы, 17 - 1 этаж
|
1
|
|
131
|
Жемчуг, ООО, аптека
|
Ропшинское шоссе, 7
|
1
|
|
132
|
Жизнь, аптека, ООО Астахов
|
Русановская, 17 к1 лит А -
1 этаж
|
2
|
|
133
|
Жилпроект, ООО, аптека
|
Набережная Обводного
канала, 36 - 1 этаж
|
1
|
|
134
|
ЖилПроект, ООО, аптечный
пункт
|
Клинский проспект, 18 - 1
этаж
|
1
|
|
135
|
Забота, аптека
|
Загребский бульвар, 9 - 1
этаж
|
1
|
|
136
|
Заботливая аптека, аптечный
пункт
|
Просвещения проспект, 24 -
1 этаж
|
1
|
|
137
|
Здоровая жизнь, аптека, ИП
Кузминков И.Н.
|
Набережная канала
Грибоедова, 72 - 1 этаж
|
1
|
|
138
|
Здоровое сердце, аптека
|
Кушелевская дорога, 3 к2 -
1 этаж
|
1
|
|
139
|
Здоровье, аптека
тосненского РАЙПО
|
Тосно (Тосненский район,
Ленинградская обл.), Советская, 9 - 1 этаж
|
2
|
|
140
|
Здоровье, аптека, г.Тосно
|
Тосно (Тосненский район,
Ленинградская обл.), Московское шоссе, 40 - 1 этаж
|
1
|
|
141
|
Здоровье, аптечный пункт
|
Тосно (Тосненский район,
Ленинградская обл.), Боярова, 21 - 1 этаж
|
1
|
|
142
|
Здравие, сеть аптек
|
Московский проспект, 76 -
1Н помещение; 1 этаж
|
4
|
|
143
|
ЗдравиО, аптека
|
Московский проспект, 182
лит А
|
2
|
|
144
|
Здравница, аптека
|
Новоколомяжский проспект,
11 - 1 этаж
|
3
|
|
145
|
ЗЕЛЕНАЯ ЛИНИЯ, аптека
|
Набережная канала
Грибоедова, 65-67 - 1 этаж
|
1
|
|
146
|
Зеленая линия, аптека, ООО
АртЛайф
|
Энгельса проспект, 138 к2 -
1 этаж
|
1
|
|
147
|
ИлМед, ООО, аптека
|
Гороховая, 19 - 1 этаж
|
1
|
|
148
|
Импульс, ООО, аптека
|
Кировск (Кировский район,
Ленинградская обл.), Краснофлотская, 15 - 1 этаж
|
2
|
|
149
|
ИннФарм, аптека
|
Алтайская, 7 - 1 этаж
|
2
|
|
150
|
Интермедфарм, аптека
|
Дудко, 18 лит А - 1 этаж
|
1
|
|
151
|
Интермедфарм-Гатчина, ЗАО,
аптека
|
Конюшенная (Павловск), 12 -
1 этаж
|
3
|
|
152
|
Кайлас Девелопмент, ООО,
аптека
|
Лиговский проспект, 55/4 -
цокольный этаж
|
1
|
|
153
|
Кипенская СХТ, аптека
|
Кипень (Ломоносовский
район, Ленинградская обл.), Ропшинское шоссе, 2 к5 - 1 этаж; супермаркет
Пятёрочка
|
1
|
|
154
|
Кировское районное
производственное предприятие Фармация, ОАО, аптека
|
Кировск (Кировский район,
Ленинградская обл.), Северная, 13 - 1 этаж
|
1
|
|
155
|
КИТФАРМА, ООО, аптека
|
Маршала Блюхера проспект,
42 - 1 этаж
|
1
|
|
156
|
Клевер, аптека
|
Сертолово (Всеволожский
район, Ленинградская обл.), Чёрная Речка, 25 - 2 этаж
|
1
|
|
157
|
Клевер, сеть аптек
|
Альпийский переулок, 30 - 1
этаж
|
14
|
|
158
|
Ключ к здоровью, аптека
|
Загородный проспект, 9 - 1
этаж
|
2
|
|
159
|
Колотушки Фарм, ООО, аптека
|
Разметелево (Всеволожский
район, Ленинградская обл.), Виркинский переулок, 4
|
1
|
|
160
|
Колтуши Фарм, ООО, аптека
|
Колтуши (Всеволожский
район, Ленинградская обл.), Колтушское шоссе, 3 - 1 этаж
|
3
|
|
161
|
Компания Партнер, ООО,
аптека
|
Гжатская, 22 к3 - 1 этаж
|
1
|
|
162
|
Кора, ООО, аптека
|
Луначарского проспект, 86
к4 - 1 этаж; супермаркет Пятёрочка
|
1
|
|
163
|
КОРО, сеть аптек
|
Всеволожск (Всеволожский
район, Ленинградская обл.), Грибоедова проспект, 1
|
3
|
|
164
|
Красота и Здоровье, ООО,
Аптека
|
Гатчина (Гатчинский район,
Ленинградская обл.), 25 Октября проспект, 22 - 1 этаж
|
1
|
|
165
|
Крейт, ООО, аптека
|
Бутлерова, 11 к4 - 1 этаж
|
1
|
|
166
|
Кубил, ООО, аптека
|
Индустриальный проспект, 35
к1 - 1 этаж
|
1
|
|
167
|
Лаванда, аптека
|
1-я линия В.О., 50 - 1 этаж
|
1
|
|
168
|
Лекарь, ООО, аптека
|
Отрадное (Кировский район,
Ленинградская обл.), Ленина, 18 - 1 этаж
|
2
|
|
169
|
Лека-Фарм, сеть аптек
|
Сытнинская, 20 - 1 этаж
|
20
|
|
170
|
ЛекОптТорг, сеть аптек
|
Адмирала Коновалова, 2-4 -
1 этаж
|
20
|
|
171
|
Лекрус, сеть аптек
|
Будапештская, 19 к1 - 1
этаж
|
14
|
|
172
|
ЛЕНЗДРАВ, аптека
|
Есенина, 12 к1 - 1 этаж
|
5
|
|
173
|
Леноблфарм, сеть аптек
|
Английский проспект, 16 - 1
этаж; супермаркет Пятёрочка
|
20
|
|
174
|
Ленфарм, сеть аптек
|
Гатчина (Гатчинский район,
Ленинградская обл.), Авиатриссы Зверевой, 9 - 1 этаж
|
10
|
|
175
|
Линия здоровья, сеть аптек
|
Московский проспект, 103Б
|
5
|
|
177
|
Логика, аптека
|
Турку, 8 к1 - 1 этаж
|
1
|
|
178
|
ЛОТА, ООО, аптечный пункт
|
Крестовский проспект, 18Б -
1 этаж
|
3
|
|
179
|
Мальстрем, аптечный пункт
|
Дибуновская, 50 - 102 офис;
39Н помещение; 1 этаж
|
1
|
|
180
|
МедВед, ООО, аптека
|
Косыгина проспект, 21 к1 -
16 секция; 1 этаж
|
2
|
|
181
|
Медея, аптека
|
Бухарестская, 142 к1 - 1
этаж
|
1
|
|
182
|
Меди Плюс, сеть аптек
|
Гатчина (Гатчинский район,
Ленинградская обл.), Достоевского, 2а - 1 этаж
|
4
|
|
183
|
Меди Фарм, ООО, аптечный
пункт
|
Ударников проспект, 19 к1 -
2 этаж
|
1
|
|
184
|
Медиафарм, аптека, ООО
Медицинское Информационное Агентство
|
Королёва проспект, 48 к5 -
2 этаж
|
1
|
|
185
|
Медика, аптека
|
Тореза проспект, 72 - 1
этаж
|
1
|
|
186
|
Медпомощь, аптека
|
Балканская площадь, 5 лит И
- 3 этаж
|
1
|
|
187
|
Медпром, ООО, аптека
|
Софьи Ковалевской, 13 - 1
этаж
|
1
|
Мед-Холл, ООО, аптека
|
Луначарского проспект, 49 -
2 этаж
|
1
|
|
189
|
Международный центр
репродуктивной медицины, ЗАО, аптека
|
Комендантский проспект, 53
к1
|
1
|
|
190
|
Мелодия здоровья, сеть
аптек
|
Авиаконструкторов проспект,
5 к2 - 10 секция; 1 этаж
|
16
|
|
191
|
Минутка, ООО, аптека
|
Гражданский проспект, 118
к1 - 1 этаж
|
2
|
|
192
|
Мирта, аптека
|
Коломяжский проспект, 20 -
1 этаж
|
1
|
|
193
|
Мудров, ООО, аптека
|
Ульяновка (Тосненский
район, Ленинградская обл.), Победы, 39а - 2 этаж
|
1
|
|
194
|
Муниципальная социальная
аптека
|
Всеволожск (Всеволожский
район, Ленинградская обл.), Сергиевская, 122 - 1 этаж
|
1
|
|
195
|
Мята, аптека
|
Варшавская, 23 к3 - 1 этаж
|
2
|
|
196
|
Народная аптека, сеть аптек
|
19-я линия В.О., 14
|
16
|
|
197
|
Народная Линия, сеть аптек
|
Ветеранов проспект, 78
|
8
|
|
198
|
НАША АПТЕКА, ООО
|
Варшавская, 61 к1 - 1 этаж
|
1
|
|
199
|
Наша Любимая Аптека, ООО
|
Гатчина (Гатчинский район,
Ленинградская обл.), Авиатриссы Зверевой, 1а - 1 этаж
|
1
|
|
200
|
Неболейка, аптека
|
Композиторов, 25 - 1 этаж
|
1
|
|
201
|
Нева-Гомео-Фарм, ООО,
гомеопатическая аптека
|
Старо-Петергофский
проспект, 44 - 2 этаж
|
1
|
|
202
|
Невис, сеть аптек
|
Автовская, 15 - 1 этаж
|
20
|
|
203
|
Невский Дом, аптека
|
Вознесенский проспект, 25 -
1 этаж
|
1
|
|
204
|
Незабудка, ООО, аптека
|
Матюшенко переулок, 10 - 1
этаж
|
2
|
|
205
|
Нелли, ООО, аптека
|
Всеволожск (Всеволожский
район, Ленинградская обл.), Колтушское шоссе, 44 к1 - 1 этаж
|
2
|
|
206
|
НеоБазис, ООО, аптека
|
Культуры проспект, 21 к1 -
1 этаж
|
3
|
|
207
|
Ника Фарм, ООО, аптека
|
Лиговский проспект, 171 - 1
этаж
|
3
|
|
208
|
Нирвана, ООО, аптечный пункт
|
Замшина, 29 - 1 этаж
|
1
|
|
209
|
Новая аптека, аптечный
пункт
|
Чугунная, 46 к2 - 1 этаж
|
1
|
|
210
|
Новгородфармация, ООО,
аптека
|
Тосно (Тосненский район,
Ленинградская обл.), Вокзальная, 16 - 1 этаж
|
1
|
|
211
|
Новофарма, ООО, аптека
|
Уточкина, 5 - 1 этаж
|
1
|
|
212
|
Норма, аптека
|
Белы Куна, 6 к1 - 1 этаж
|
1
|
|
213
|
НэоБазис, ООО, аптека
|
Королёва проспект, 7Б -
цокольный этаж
|
1
|
|
214
|
Нэтиз, ООО, аптека
|
Большой проспект П.С., 10 -
цокольный этаж
|
2
|
|
215
|
Озерки, сеть аптек
|
8-я линия В.О., 37 - 1 этаж
|
20
|
|
216
|
Океан, ООО, аптека
|
Советская 8-я, 41 - 1 этаж
|
1
|
|
217
|
Оптифарм, аптека
|
Среднеохтинский проспект,
9/2 - 1 этаж
|
1
|
|
218
|
Органик Нева, аптечная
сеть, ООО Шексна
|
Бадаева, 6 к1 - 1 этаж
|
11
|
|
219
|
Оркли, ООО, аптека
|
12-я линия В.О., 27 - 1
этаж
|
1
|
|
220
|
Первая помощь, аптека
|
Будапештская, 72 к1 - 1
этаж
|
1
|
|
221
|
Петербургские аптеки, АО
|
7-я линия В.О., 60 - 1 этаж
|
40
|
|
222
|
Первая помощь, сеть аптек
|
11-я линия В.О., 32 - 1
этаж
|
20
|
|
223
|
ПетроАптека, аптечный
пункт, ИП Ярославская И.Е.
|
Каменноостровский проспект,
42 - 2 этаж
|
2
|
|
224
|
ПетроТорг, ООО, аптека
|
Московский проспект, 130а -
1 этаж
|
2
|
|
225
|
Петрофарм, ЗАО, сеть аптек
|
Гороховая, 24 - 2 этаж
|
3
|
|
226
|
Петрофарм, ООО, аптека
|
Тверская, 20 - 1 этаж
|
1
|
|
227
|
Пламя, ОАО, аптечный пункт
|
Сяськелево (Гатчинский
район, Ленинградская обл.), Центральная, 7а - 1 этаж
|
1
|
|
228
|
Планета, ООО, дежурная
аптека
|
Авиаконструкторов проспект,
20 к1 - 1 этаж
|
1
|
|
229
|
ПЛП, ООО, аптека
|
Энгельса проспект, 43 - 1
этаж
|
1
|
|
230
|
Подорожник, аптечный пункт
|
Белы Куна, 20 к1 - 1 этаж
|
1
|
|
231
|
Поэма здоровья, аптечный
пункт
|
Асафьева, 9 к2 - 1 этаж
|
1
|
|
232
|
Приорат, аптека
|
Гатчина (Гатчинский район,
Ленинградская обл.), 25 Октября проспект, 46 - 1 этаж
|
1
|
|
233
|
Пульсар, ООО, аптека
|
Каменноостровский проспект,
43 - 1 этаж
|
1
|
|
234
|
ПУЛЬС, аптека
|
Гатчина (Гатчинский район,
Ленинградская обл.), Красных Военлётов, 11 - 1 этаж
|
1
|
|
235
|
Пульс, аптека, ООО Мед Фарм
СПБ
|
Русановская, 9 - 1 этаж
|
1
|
|
236
|
Путь к здоровью, аптечный
пункт
|
Новое Девяткино
(Всеволожский район, Ленинградская обл.), Арсенальная, 7 - 1 этаж
|
1
|
|
237
|
Рабиус, ООО, аптечный пункт
|
Замшина, 31 - 1 этаж
|
1
|
|
238
|
Радуга, сеть аптек
|
9-я линия В.О., 56 - 1 этаж
|
20
|
|
239
|
Районная, аптека
|
Кудрово (Всеволожский
район, Ленинградская обл.), Ленинградская, 3 - 1 этаж
|
1
|
|
240
|
Районная, аптека
|
Кудрово (Всеволожский
район, Ленинградская обл.), Ленинградская, 3 - 1 этаж
|
1
|
|
241
|
Рецепт Здоровья, сеть
аптек, ООО Новофарм 78
|
Новоизмайловский проспект,
40 - 1 этаж
|
4
|
|
242
|
РЖД, ОАО, аптечный пункт
|
Невский проспект, 85 - 1
этаж
|
1
|
|
243
|
Ригла, сеть аптек
|
Балканская площадь, 5 лит Ю
- 1 этаж
|
17
|
|
244
|
РМК, ООО, аптека
|
Разъезжая, 17 - 1 этаж
|
1
|
|
245
|
Родник здоровья, сеть аптек
|
Кудрово (Всеволожский
район, Ленинградская обл.), Ленинградская, 7 к2 - 1 этаж
|
20
|
|
246
|
Роксана, ООО, аптека
|
Привокзальная площадь, 6/2
- 1 этаж
|
1
|
|
247
|
Ромашка, аптека
|
Чудновского, 10 лит А - 1
этаж
|
3
|
|
248
|
Ромашка, ООО, аптека, пос.
Войсковицы
|
Войсковицы (Гатчинский
район, Ленинградская обл.), Манина площадь, 19 - 1 этаж
|
1
|
|
249
|
Рубин, аптека
|
Типанова, 8 - 1 этаж
|
1
|
|
250
|
Русская Медицинская
Компания, ООО, аптека
|
Бугры (Всеволожский район,
Ленинградская обл.), Полевая, 14
|
1
|
|
251
|
Рута, аптека
|
Фермское шоссе, 20 к2 - 1
этаж
|
1
|
|
252
|
Севелина, ООО, аптека
|
Караваевская, 26 к1 - 1
этаж
|
1
|
|
253
|
СЕМЕЙНАЯ АПТЕКА, ООО
|
Солдата Корзуна, 34 - 1
этаж
|
1
|
|
254
|
Семейная, аптека
|
Камышовая, 13 - 1 этаж
|
1
|
|
255
|
Семейная, аптека, ООО КСВ
|
Тореза проспект, 9 - 1 этаж
|
1
|
|
256
|
Сеть доступных аптек
|
Космонавтов проспект, 28 к1
- 1 этаж
|
10
|
|
257
|
СЗВК, ООО, аптека
|
Металлистов проспект, 77 -
1 этаж
|
1
|
|
258
|
Сити-Фарм, аптека
|
Коллонтай, 7 - 1 этаж
|
3
|
|
259
|
Скомил, ООО, аптека
|
Бобыльская дорога, 59 - 1
этаж
|
2
|
|
260
|
Совет, аптечная сеть, ООО
Советская аптека
|
Шкапина, 6 - 1 этаж
|
2
|
|
261
|
Современные Медицинские
Технологии, ЗАО, аптечный пункт
|
Римского-Корсакова
проспект, 87 - 1 этаж
|
2
|
|
262
|
Солнечный круг, аптека
|
Отрадное (Кировский район,
Ленинградская обл.), Гагарина, 1а
|
1
|
|
263
|
Софрино, ООО, аптека
|
Невский проспект, 190 - 1
этаж
|
1
|
|
264
|
Социальная аптека
|
Кузьмоловский (Всеволожский
район, Ленинградская обл.), Молодёжная, 8 - 1 этаж
|
3
|
|
265
|
Социальная аптека
|
Бадаева, 6 к1 - 1 этаж
|
1
|
|
266
|
Сфера-Мед, ООО, аптека
|
Николая Рубцова, 9 - 1 этаж
|
1
|
|
267
|
С-Фарм, аптека
|
Солидарности проспект, 14
к1 - 1 этаж
|
1
|
|
268
|
Таблетка, ООО, аптека
|
Варшавская, 19 к2 - 1 этаж
|
1
|
|
269
|
Танеева, ООО, аптечный
пункт
|
Привокзальная площадь
(Ломоносов), 1 лит Б - 1 этаж
|
1
|
|
270
|
Твое Здоровье, ООО, аптека
|
Мира, 15 к1 - 15Н
помещение; 1 этаж
|
2
|
|
271
|
Торин, аптека
|
Кондратьевский проспект, 54
- 1 этаж
|
3
|
|
272
|
ТОР, аптека
|
Культуры проспект, 21 к1 -
1 этаж
|
1
|
|
273
|
Тосно-Про-Сервис, ООО,
аптека
|
Никольское (Тосненский
район, Ленинградская обл.), Школьная, 4 - 1 этаж
|
1
|
|
274
|
У дома, аптека
|
Лабораторный проспект, 20
к3 - 1 этаж
|
2
|
|
275
|
Удачная, аптека
|
Новгородский проспект, 10
лит А
|
|
276
|
Удачная, сеть аптек
|
Большевиков проспект, 15 -
1 этаж
|
20
|
|
277
|
Университетская Аптека,
финская сеть аптек
|
Академика Павлова, 5 - 1
этаж
|
20
|
|
278
|
Фарма style, сеть аптек
|
Оптиков, 51 к1 - 1 этаж
|
3
|
|
279
|
Фармадар, сеть аптек
|
Ленина проспект, 8 - 1 этаж
|
2
|
|
280
|
ФАРМАДОМ, сеть аптек
|
Варшавская, 100 - 1 этаж
|
13
|
|
281
|
Фармакея, ООО, аптека
|
Лиговский проспект, 153 лит
А - 1 этаж
|
2
|
|
282
|
Фармакор, сеть аптек
|
Авиаконструкторов проспект,
38 к1 - 1 этаж
|
20
|
|
283
|
Фармакос, ООО, аптека
|
Бутлерова, 42 лит А - 1
этаж
|
2
|
|
284
|
ФармАктив, ООО, аптечный
пункт
|
Сертолово (Всеволожский
район, Ленинградская обл.), Заречная, 8 к1 - 1 этаж
|
1
|
|
285
|
Фармализинг, ООО, аптека
|
Некрасова, 17 - 1 этаж
|
1
|
|
286
|
ФармаТ, аптека
|
Большая (Тярлево), 34
|
1
|
|
287
|
Фармацевтъ, аптека
|
Культуры проспект, 41
|
3
|
|
288
|
Фармация СПб, ООО, аптека
|
Новоизмайловский проспект,
4 - 1 этаж
|
1
|
|
289
|
Фармация, АО, аптека
|
Рощино (Выборгский район,
Ленинградская обл.), Социалистическая, 7
|
1
|
|
290
|
Фармация, МУП, аптека
|
Тосно (Тосненский район,
Ленинградская обл.), Ленина проспект, 20 - 1 этаж
|
1
|
|
291
|
Фармация, ООО, аптека
|
Тосно (Тосненский район,
Ленинградская обл.), Ленина проспект, 62 к2 - 1 этаж
|
3
|
|
292
|
Фармация, сеть аптек
|
Горбунки (Ломоносовский
район, Ленинградская обл.), Горбунки, 2а
|
1
|
|
293
|
Фарма-Вита, ООО, аптека
|
Искровский проспект, 12 - 1
этаж
|
1
|
|
294
|
Фармбалтсервис, ОАО, аптека
|
Яхтенная, 10 к1 - 1 этаж
|
2
|
|
295
|
Фармик ЛВО, ООО, аптека
|
Утиная 1-я, 28 - 1 этаж
|
1
|
|
296
|
Фармлюкс, ООО, аптека
|
Пионерстроя, 4 - 1 этаж
|
1
|
|
297
|
Фармшоп, сеть аптек
|
Боровая, 9 - 1 этаж
|
6
|
|
298
|
Фарм-С, ООО, аптека
|
Бестужевская, 27 - 1 этаж
|
2
|
|
299
|
Фарм-Хим-Мед, аптека
|
Дунайский проспект, 34 - 1
этаж
|
2
|
|
300
|
Фиалка, аптека
|
Богатырский проспект, 28 -
1 этаж
|
20
|
|
301
|
Философия Здоровья, аптека
|
Ильюшина, 10 - 1 этаж
|
1
|
|
302
|
Флора, ООО, аптечный пункт
|
Торговая площадь, 8а
|
3
|
|
303
|
Формула жизни, ООО, аптека
|
Ленинский проспект, 160 - 1
этаж
|
2
|
|
304
|
Формула Здоровья, ООО,
аптека
|
Кудрово (Всеволожский
район, Ленинградская обл.), Европейский проспект, 9 к1 - 1 этаж
|
1
|
|
305
|
Форте, ООО, аптека
|
Гаккелевская, 21 лит А - 1
этаж
|
1
|
|
306
|
ФОРТ, сеть аптек
|
Декабристов, 39
|
2
|
|
307
|
Фрезия, ООО, аптека
|
Варшавская, 110 - 1 этаж
|
3
|
|
308
|
Хелс, ООО, аптека
|
2-я линия В.О., 49 - 1 этаж
|
1
|
|
309
|
Хлопткань, ООО, аптека
|
Волковский проспект, 32 - 1
этаж
|
1
|
|
310
|
Центр гомеопатии, ООО,
аптека
|
Полярников, 15 - 1 этаж
|
1
|
|
311
|
ШАЙН, ООО, аптека
|
Пятилеток проспект, 10 к1 -
1 этаж
|
1
|
|
312
|
Шамама, сеть аптек
|
Кораблестроителей, 44 к1 -
1 этаж
|
1
|
|
313
|
Шиповник, аптека
|
Ленинский проспект, 147 - 1
этаж
|
1
|
|
314
|
Шиповник, сеть аптек
|
Искровский проспект, 22 - 1
этаж
|
22
|
|
315
|
Шунгит-Аптека, ООО
|
Краснопутиловская, 8 - 1
этаж
|
1
|
|
316
|
Экономь, аптека
|
Звёздная, 5 к1 - 1 этаж
|
7
|
|
317
|
Экофарм, аптека
|
Маяковского, 5 - 1 этаж
|
1
|
|
318
|
Экофарм, ООО, аптека
|
Госпитальная, 11 - 1 этаж
|
2
|
|
319
|
Эликсир, аптека
|
Новгородская, 23 - справа
от супермаркета Лента
|
1
|
|
320
|
Элис, ООО, аптека
|
Павловское шоссе, 25 - 1
этаж
|
2
|
|
321
|
Энерго, аптека
|
Киевская, 5 к3 - 1 этаж
|
1
|
|
322
|
Юпитер, ООО, аптека
|
Краснопутиловская, 50 лит А
- 2-17 помещение; 2 этаж
|
1
|
|
323
|
Юрта, ООО, аптечный пункт
|
Александровская
(Ломоносов), 37а - 1 этаж
|
1
|
|
324
|
Dr.Schpri+z, аптека
|
Савушкина, 110 лит А - 1
этаж
|
2
|
|
325
|
GALEN, аптека, ООО Вико
|
Московский проспект, 171 -
1 этаж
|
1
|
|
326
|
Medem, аптека
|
Марата, 6 - 1 этаж
|
1
|
|
327
|
Neo Vita, аптека, ООО
НеоВита групп
|
Герасимовская, 15 - 1 этаж
|
1
|
|
328
|
NGC, аптека
|
13-я линия В.О., 10 лит А -
1 этаж
|
1
|
|
329
|
36,6, сеть аптек
|
Стачек проспект, 99 -
цокольный этаж
|
5
|
|
329
|
всего
|
1022
|
Приложение 9
Рейтинг аптек Санкт-Петербурга, предоставивших достаточный объем сведений
для оценки, по признаку низких цен на лекарственные препараты на март-апрель
2017 года
|
Ранг
|
Число аптек
|
Порядковый номер
|
Название
|
|
1
|
20
|
25
|
Аптека для бережливых
|
|
2
|
20
|
193
|
Озерки, сеть аптек
|
|
3
|
2
|
201
|
ПетроАптека, аптечный
пункт, ИП Ярославская И,Е,
|
|
4
|
20
|
15
|
Алоэ, сеть аптек
|
|
4
|
1
|
274
|
Форте, ООО, аптека
|
|
6
|
20
|
148
|
ЛекОптТорг, сеть аптек
|
|
7
|
3
|
86
|
Витамин, аптека
|
|
8
|
2
|
202
|
ПетроТорг, ООО, аптека
|
|
9
|
11
|
17
|
Альфа-Фарм, сеть аптек, ООО
Петробель
|
|
10
|
20
|
93
|
Горздрав, сеть аптек
|
|
11
|
23
|
281
|
Шиповник, аптека
|
|
12
|
3
|
62
|
Балтика-Мед, аптека
|
|
13
|
21
|
248
|
Удачная, сеть аптек
|
|
14
|
1
|
163
|
Медика, аптека
|
|
15
|
5
|
7
|
А5, сеть аптек
|
|
16
|
1
|
258
|
Фармализинг, ООО, аптека
|
|
17
|
1
|
196
|
Оптифарм, аптека
|
|
18
|
1
|
280
|
Шамама, сеть аптек
|
|
19
|
6
|
69
|
БиоТехноТроник-Фарма, ООО,
сеть аптек
|
|
20
|
4
|
238
|
Социальная аптека
|
|
21
|
16
|
174
|
Народная аптека, сеть аптек
|
|
22
|
20
|
72
|
Будь здоров!, сеть аптек
|
|
23
|
6
|
80
|
Виктория, аптека
|
|
24
|
15
|
135
|
Клевер, аптека
|
|
25
|
2
|
256
|
Фармакос, ООО, аптека
|
|
26
|
2
|
87
|
Восход, аптека
|
|
27
|
20
|
249
|
Университетская Аптека,
финская сеть аптек
|
|
28
|
1
|
95
|
Гранд, аптека
|
|
29
|
4
|
64
|
Балтфарм, ООО, сеть аптек
|
|
30
|
1
|
117
|
Забота, аптека
|
|
31
|
2
|
192
|
Нэтиз, ООО, аптека
|
|
32
|
107
|
Древо жизни, ООО, аптека
|
|
33
|
2
|
34
|
Аптека, ИП Кулаков О,А,
|
|
34
|
3
|
232
|
Сити-Фарм, аптека
|
|
35
|
11
|
197
|
Органик Нева, аптечная
сеть, ООО Шексна
|
|
36
|
16
|
168
|
Мелодия здоровья, сеть
аптек
|
|
37
|
2
|
99
|
Диа-фарм, ООО, аптека
|
|
38
|
1
|
282
|
Шунгит-Аптека, ООО
|
|
39
|
1
|
4
|
Medem, аптека
|
|
40
|
3
|
124
|
Здравница, аптека
|
|
41
|
4
|
73
|
Будьте здоровы, аптека
|
|
42
|
2
|
92
|
Гомеопатическая фармация,
ООО, аптека
|
|
43
|
1
|
176
|
НАША АПТЕКА, ООО
|
|
44
|
1
|
111
|
ЕвоМед, аптека
|
|
45
|
1
|
29
|
Аптека Красоты, ООО
|
|
46
|
1
|
269
|
Философия Здоровья, аптека
|
|
47
|
1
|
194
|
Океан, ООО, аптека
|
|
48
|
1
|
110
|
Ево-Мед Спб, ООО, аптека
|
|
49
|
5
|
59
|
Арония, ООО, аптека
|
|
50
|
1
|
76
|
Веда-Мед, аптека
|
|
51
|
1
|
276
|
Хелс, ООО, аптека
|
|
52
|
20
|
255
|
Фармакор, сеть аптек
|
|
53
|
2
|
79
|
Викамед, ООО, аптечный
пункт
|
|
54
|
5
|
27
|
Аптека доктора Живило
|
|
55
|
3
|
260
|
Фармацевтъ, аптека
|
|
56
|
1
|
159
|
Медея, аптека
|
|
57
|
1
|
109
|
Еаптека, ООО, аптека
|
|
58
|
17
|
219
|
Ригла, сеть аптек
|
|
59
|
3
|
284
|
Экофарм, аптека
|
|
60
|
3
|
245
|
Торин, аптека
|
|
61
|
1
|
16
|
Алфега, аптека, ООО НордМед
|
|
62
|
2
|
63
|
Балтик-Эндомед, ЗАО, аптека
|
|
63
|
3
|
156
|
ЛОТА, ООО, аптечный пункт
|
|
64
|
6
|
267
|
Фармшоп, сеть аптек
|
|
65
|
5
|
153
|
Линия здоровья, сеть аптек
|
|
66
|
1
|
18
|
Аптека №1
|
|
67
|
1
|
118
|
Заботливая аптека, аптечный
пункт
|
|
68
|
1
|
272
|
Формула Здоровья, ООО,
аптека
|
|
69
|
13
|
105
|
Доктор, сеть аптек
|
|
70
|
1
|
66
|
Березка, аптека, ООО
Рафстрой
|
|
71
|
1
|
131
|
Кайлас Девелопмент, ООО,
аптека
|
|
72
|
20
|
221
|
Родник здоровья, сеть аптек
|
|
73
|
4
|
217
|
Рецепт Здоровья, сеть
аптек, ООО Новофарм 78
|
|
74
|
5
|
8
|
Ава-Петер Фарм, сеть аптек
|
|
75
|
1
|
5
|
Neo Vita, аптека, ООО
НеоВита групп
|
|
76
|
1
|
154
|
Линия, ООО, аптека
|
|
77
|
2
|
266
|
Фарм-Хим-Мед, аптека
|
|
78
|
4
|
121
|
Здоровье, аптека
тосненского РАЙПО
|
|
79
|
1
|
46
|
Аптеки 24, ООО, аптека
|
|
80
|
4
|
160
|
Меди Плюс, сеть аптек
|
|
81
|
1
|
170
|
Мирта, аптека
|
|
82
|
1
|
3
|
GALEN, аптека, ООО Вико
|
|
83
|
1
|
71
|
Брегор-Фарм, ООО, аптека
|
|
84
|
1
|
145
|
Лаванда, аптека
|
|
85
|
20
|
268
|
Фиалка, аптека
|
|
86
|
21
|
199
|
Первая помощь, сеть аптек
|
|
86
|
20
|
215
|
Радуга, сеть аптек
|
|
88
|
1
|
143
|
Крейт, ООО, аптека
|
|
89
|
1
|
74
|
Васко-фарм, ООО, аптека
|
|
90
|
7
|
195
|
ОлТаФарм, сеть аптек
|
|
91
|
2
|
273
|
ФОРТ, сеть аптек
|
|
92
|
3
|
83
|
Вита, аптека
|
|
93
|
2
|
45
|
Аптекарь, аптека
|
|
94
|
5
|
1
|
36,6, сеть аптек
|