Фармацевтический анализ производных изохинолина (папаверина гидрохлорид)

  • Вид работы:
    Контрольная работа
  • Предмет:
    Химия
  • Язык:
    Русский
    ,
    Формат файла:
    MS Word
    235,33 Кб
  • Опубликовано:
    2016-11-25
Вы можете узнать стоимость помощи в написании студенческой работы.
Помощь в написании работы, которую точно примут!

Фармацевтический анализ производных изохинолина (папаверина гидрохлорид)

Содержание

Введение

.        Латинское и русское название. Формула

.        История открытия

.        Фармакологическое действие

.        Физические и химические свойства

.        Синтез

.        Контроль качества лекарственного сырья

.1       Определение подлинности

.2       Количественное определение

.        Применение в медицине

.1       Механизм действия

.2       Показания

.3       Противопоказания

.4       Побочный эффект

.5       Взаимодействие

Заключение

Список источников и литературы

Введение

Спазм, патологическое или физиологическое сокращение отдельных мышц или групп мышц, а иногда многих групп мышц, является сопровождающим симптомом многих заболеваний. Помимо устранения значительной, иногда непереносимой боли очень важным является расслабление спазма, поскольку последний, с одной стороны, ухудшает кровоснабжение затронутой территории, а с другой стороны, спазм сам по себе может послужить началом развития патологического состояния.

Посетитель, приходящий в аптеку - это не только потенциальный покупатель. Это, прежде всего пациент, нуждающийся в помощи. Одна из жалоб, которую часто приходится слышать работникам аптек от посетителей это жалобы на боли в области живота. Не всегда больной знает причину своего состояния. Поскольку природа боли не ясна, сами посетители могут обращаться, как с просьбой посоветовать что-то для облегчения боли, так и спрашивать какое-то определенное средство, не особенно надеясь на помощь и ориентируясь на рекламу, советы знакомых и т.п.

Наибольшую пользу для облегчения боли в животе могут принести лекарственные средства, относящиеся к группе спазмолитиков. Ежегодно в мире на приобретение миотропных средств тратится более 100 млн. долларов.

1.       Латинское и русское название. Формула

Латинское название вещества папаверин - Papaverinum.

Брутто-формула: C20H21NO4

Структурная формула:



2.       История открытия

Папаверин был открыт студентом-химиком Генрихом Мерком в 1848 г. Новое вещество немец выделил из опия - млечного сока снотворного мака (лат. Papaver Somniferum). По химической структуре средство было причислено к классу алкалоидов. В 1910 г. А. Пикте впервые синтезировал папаверин искусственно из вератрового альдегида и гипуровой кислоты.

Примерно в это же время у алкалоида обнаружились спазмолитические и сосудорасширяющие свойства. В 1913 г. немецкий врач Дж. Паль ввел препарат в клиническую практику, начав использовать его у больных со стенокардией и бронхиальной астмой. Позже папаверин стали применять при спазмах кишечника, мочеточников и в качестве гипотензивного средства. В 1930 г. венгерская корпорация «Хинон» (Chinon) первой в мире приступила к выпуску лекарственного средства в промышленных масштабах. К середине XX в. общее число компаний-изготовителей папаверина выросло до нескольких десятков. В 50-е гг. у препарата появился конкурент - дротаверин («Но-Шпа»). По спазмолитическим свойствам он оказался в несколько раз активнее предшественника, поэтому нашел более широкое применение. Однако во многих странах папаверин по-прежнему остается достаточно востребованным медикаментом как в силу сложившихся традиций, так и вследствие своей низкой стоимости.

3.       Фармакологическое действие

Папаверина гидрохлорид принадлежит к группе спазмолитических средств и вазодилататоров.

Спазмолитическое действие лекарственных препаратов заключается в снижении тонуса гладкой мускулатуры сосудов и внутренних органов, сосудорасширяющих и обезболивающих эффектах. Механизм сосудорасширяющего эффекта связан с влиянием на биохимические процессы, сопровождающие мышечное сокращение и регулирующие содержание циклических нуклеотидов в гладкомышечной клетке, перемещение ионов натрия, калия и кальция, образование или выделение из тканевых депо эндогенных биологически активных веществ (гистамин, серотонин, кинины), изменяющих сосудистых тонус. Механизм обезболивающего эффекта связан с блокадой М-холинорецепторов, ингибированием фосфодиэстеразы, активацией аденилатциклазы и угнетением аденозиновых рецепторов. В результате наступает расслабление гладкой мускулатуры бронхов, ЖКТ, желче- и мочевыводящих путей.

Вазодилататоры заставляют кровеносные сосуды расширяться или расслабляться и, таким образом, снижают сопротивление в них. Это снижает артериальное давление и позволяет крови легче проходить по телу, улучшая симптомы.

4.       Физические и химические свойства

Папаверина гидрохлорид представляет собой белый кристаллический порошок со слегка горьковатым вкусом, без запаха. Температура плавления - 225ºС. Хорошо растворяется в воде, плохо - в этиловом спирте, хлороформе, диэтиловом эфире.

Химические свойства хинолина и изохинолина аналогичны свойствам пиридина. Они обладают основными и нуклеофильными свойствами и образуют соли при протонировании сильными кислотами и при алкилировании алкилгалогенидами. Реакции электрофильного замещения протекают по наименее электронодефицитному бензольному кольцу и направляются в хинолине в положения 6 и 8. Нуклеофильные реагенты атакуют пиридиниевый цикл хинолина в положение 2.


При каталитическом гидрировании хинолина в первую очередь затрагивается пиридиниевый цикл. При окислении разрушается бензольный цикл и образуется 2,3- пиридиндикарбоновая кислота.


Процесс замещения атома водорода в хинолине и изохинолине на атом галогена достаточно сложный, и образование того или иного продукта реакции замещения зависит от условий проведения реакции. При бромировании в концентрированной серной кислоте хинолин образует смесь 5- и 8-бромпроизводных, а изохинолин в присутствии хлорида алюминия превращается в 5-бромизохинолин. Все эти процессы проходят с участием протонированных гетероциклов.

Введение атома галогена в гетероциклическое кольцо происходит в значительно более мягких условиях, причём электронная пара атома азота способствует взаимодействию с электрофилом. Так, при обработке гидрохлоридов хинолина и изохинолина бромом образуются 3-бромхинолин и 4-бромизохинолин согласно приведённой ниже схеме:


При нитровании хинолина образуется смесь 5- и 8-нитро-хинолинов приблизительно в равном соотношении, в то время как нитрование изохинолина приводит исключительно к 5-нитропроизводному. Нитрование хинолина и изохинолина происходит в результате атаки нитрониевого иона по N-протонированному гетероциклу:



Сульфирование хинолина приводит к образованию главным образом 8-сульфо-кислоты, а аналогичный процесс в изохинолине идёт по положению 5. При проведении реакции при более высоких температурах в результате термодинамического контроля образуются другие изомеры. Так, хинолин-8-сульфоновая и изохинолин-5-сульфоновая кислоты изомеризуются в 6-сульфоновые кислоты.


Для хиноина и изохинолина возможно восстановление как пиридинового цикла, так и бензольного кольца. Восстановить пиридиновый цикл до тетрагидро-пиридинового можно при действии цианоборгидрида натрия в кислой среде, бор-гидрида натрия в присутствии хлорида никеля(II), боргидрида цинка или в результате каталитического гидрирования в метаноле при комнатной температуре и атмосферном давлении. Однако каталитическое гидрирование в растворе сильных кислот приводит к первоначальному селективному восстановлению бензольного кольца; продолжительное гидрирование в этих условиях приводит к образованию декагидропроизводных.


Восстановление хинолинов и изохинолинов литием в жидком аммиаке в определённых условиях приводит к получению 1,4-дигидрохинолинов и 3,4-дигидроизохинолинов. Образование 1,2-дигидрохинолина и 1,2-дигидроизохинолина происходит при восстановлении алюмогидридом лития.

Эти дигидроструктуры легко окисляются в соответствующие ароматические соединения или превращаются в смесь тетрагидропроизводных и ароматических соединений в результате реакции диспропорционирования, которая наиболее легко проходит в кислых средах. Взаимодействие продуктов восстановления сразу после их образования с хлорформиатами приводит к получению стабильных уретановых дигидропроизводных.


Гетероциклические фрагменты четвертичных солей хинолина и изохинолина восстанавливаются особенно легко как при каталитическом гидрировании, так и при использовании боргидридных реагентов в кислых средах.


Восстановление иодида 1-метилхинолиния трибутилстаннаном приводит к образованию главным образом 1,2-дигидропроизводного, которое при комнатной температуре превращается в 1,4-дигидроизомер. Восстановление этим реагентом при одновременном освещении приводит к образованию исключительно 1,4-дигидроизомера с количественным выходом.

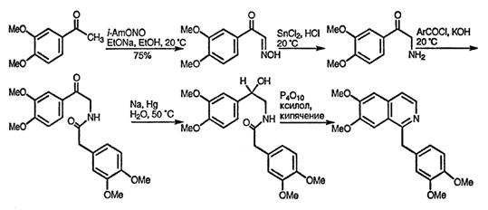
5.       Синтез

Приведённый ниже метод синтеза папаверина иллюстрирует использование модификации Пикте-Гамса:



6.       Контроль качества лекарственного сырья

.1 Определение подлинности

Большинство реакций, подтверждающих подлинность папаверина, основаны на способности его окисляться, что обусловлено наличием в его молекуле метоксильных групп. В зависимости от характера окислителя продукты окисления окрашены в разные цвета.

Так, например, при действии на препарат концентрированной азотной кислотой появляется желтое окрашивание, которое при нагревании на водяной бане переходит в оранжевое.

При действии концентрированной серной кислотой продукты окисления окрашены в фиолетовый цвет (ГФХ).

При действии бромной воды образуется осадок желтого цвета, с реактивом Марки (формальдегид-концентрированная серная кислота) - красное окрашивание, переходящее в желтое, а затем в ярко-оранжевое.

Для подтверждения подлинности препарата, кроме указанных выше реакций, ГФ X рекомендует определять температуру плавления основания папаверина, выделенного из соли ацетатом натрия, которая должна быть 145-147 °С. В фильтрате подтверждается хлор-ион.

Реакции с реактивами группового осаждения. Папаверин образует осадки с реактивами группового осаждения алкалоидов.

Реакция с хлоридом кадмия. На предметное стекло наносят несколько капель исследуемого раствора и выпаривают досуха. К сухому остатку прибавляют каплю 0,1 н. раствора соляной кислоты. Рядом наносят каплю 10 %-го раствора хлорида кадмия, а затем соединяют эти растворы. При наличии папаверина появляются сростки из тонких пластинок, имеющих форму куба.

Обнаружение папаверина методом хроматографии. Для обнаружения папаверина применяют метод хроматографии в тонком слое силикагеля. Обнаружение этого алкалоида производится так, как и обнаружение кодеина.

Пятна папаверина на хроматографических пластинках имеют буровато-розовую окраску (Rf = 0,75±0,01).

Обнаружение папаверина по УФ- и ИК-спектрам. Основание папаверина в 1 н. растворе соляной кислоты имеет максимум поглощения при 250, 284 и 310 нм. Раствор папаверина в 1 н. растворе серной кислоты имеет максимумы поглощения при 250. 254 и 310 нм. В ИК-области спектра основание папаверина (диск с бромидом калия) имеет основные пики при 1507, 1068 и 1273 см.


Количественное содержание папаверина определяется методом кислотно-основного титрования в неводных средах, подобно другим галогеноводородным солям алкалоидов.

7.       Применение в медицине

Папаверин разрешен к применению более чем в 50 государствах, включая Россию, Германию, Францию, Великобританию, США и Японию. Различные заводы выпускают препарат под торговыми названиями «Папаверин», «Папаверина гидрохлорид» или под собственными брендовыми наименованиями (например, в Тайване производится Папарин, в Венесуэле - Атроверан, в Аргентине - Мезотин).

В большинстве стран алкалоид рекомендуется: для устранения спазмов пищеварительного тракта, желчевыводящих и мочевыводящих путей, в комплексной терапии нарушений мозгового и коронарного кровообращения.

В России папаверин входит в Перечень жизненно необходимых и важнейших лекарственных средств, утвержденный Распоряжением Правительства РФ № 2135-р от 30.12.2009.

Состав и формы выпуска.

В России препарат выпускается в форме: 2% (20 мг/мл) инъекционного раствора в ампулах по 2 мл, суппозиториев с содержанием папаверина гидрохлорида 20 мг, таблеток с содержанием папаверина гидрохлорида 40 мг (для взрослых) и 10 мг (для детей).

В некоторых европейских странах (Швейцарии, Великобритании) в аптечной продаже также можно встретить порошки с папаверином, расфасованные в саше-пакеты по 150 мг, и 3% инъекционные растворы.

.1 Механизм действия

Папаверин воздействует непосредственно на гладкую мускулатуру внутренних органов и сосудов, вызывая ее расслабление. Расширение сосудов приводит к улучшению кровотока, в том числе мозгового, и снижению артериального давления. По современным представлениям, спазмолитические эффекты препарата обусловлены блокадой в мышцах фермента фосфодиэстеразы, за счет чего в клетках начинает накапливаться циклический 3,5-аденозинмонофосфат (цАМФ). Это приводит к выходу из клеток ионов кальция и снижению сократительной активности мускулатуры.

Релаксирующие свойства папаверина в отношении разных органов выражены неодинаково. Наибольшему расслаблению подвергается толстая кишка, далее по убыли эффекта: 12-перстная кишка, желудок, матка, желчевыводящие и мочевыводящие пути, сфинктер Одди, бронхи, сосуды. В высоких дозах папаверин снижает возбудимость миокарда и замедляет внутрисердечную проводимость.

Препарат практически не оказывает влияния на центральную нервную систему. Седативный эффект проявляется лишь при употреблении папаверина в дозах выше средних терапевтических. Эффективность препарата снижается на фоне табакокурения.

Метаболизм и выведение.

При пероральном и ректальном применении папаверин быстро всасывается из пищеварительного тракта. В среднем в кровь попадает до 54% от принятой дозы. В плазме препарат на 90% связывается с белками.

Средство хорошо распределяется по организму. Проходит через гематоэнцефалический барьер. Биотрансформируется в печени до неактивных метаболитов, которые выводятся путем почечной фильтрации.

Период полувыведения составляет 0,5-2 ч. (при патологиях почек это время может увеличиваться до 24 часов).

папаверин медицина химический лекарственный

7.2 Показания к применению

Основаниями для назначения папаверина служат:

. Спастические состояния органов брюшной полости (спастический колит, холецистит, пилороспазм);

. Почечная колика

. Бронхоспазм

. Спазм периферических (эндартериит) или церебральных сосудов.

В качестве вспомогательного средства папаверин используется для подготовки больных к оперативным вмешательствам. Ранее препарат широко применялся для профилактики приступов стенокардии, однако сегодня с этой целью рекомендуются более современные антиангинальные средства.

.3       Противопоказания

Папаверин противопоказан при следующих состояниях:

. Нарушения атриовентрикулярной проводимости

. Коматозные состояния

. Угнетение дыхательных функций

. Глаукома

. Возраст до 6 мес. (для инъекционных форм - до 1 года)

.Бронхообструкция, тяжелые нарушения функций печени

. Воспалительные процессы прямой кишки (ограничение касается только свечей).

Из-за высокого риска развития гипертермии не рекомендуется применять препарат в пожилом возрасте.

Беременность и лактация. В России и Европе специальных исследований, которые доказывали бы безопасность папаверина при беременности или лактации, не проводилось. В Австралии препарату была присвоена категория безопасности А (безопасен для беременных), в США - категория С (риски воздействия на плод не исключены).

Влияние на способность управлять транспортом и сложными механизмами. После парентерального (особенно внутривенного) введения препарата следует избегать вождения транспорта и занятий опасными видами деятельности в течение 1 часа.

7.4 Побочные эффекты

При терапии папаверином возможны:

. Снижение артериального давления

. Головокружение, головная боль

. Слабость

. Сонливость

. Атриовентрикулярная блокада или желудочковая экстрасистолия (риски повышаются при быстром внутривенном введении препарата), диспепсические расстройства (запор, тошнота)

. Повышение потливости

. Аллергические реакции

. Эозинофилия

. Эовышение уровня печеночных трансаминаз.

При использовании свечей могут наблюдаться местные негативные реакции: чувство жжения или зуда в анальном проходе.

Особые указания. На время лечения необходимо отказаться от употребления алкоголя. С осторожностью следует применять папаверин в пожилом возрасте, у пациентов с гипертиреозом, почечной или печеночной недостаточностью, аденомой предстательной железы, при наджелудочковой тахикардии, тяжелых заболеваниях сердца, шоковых состояниях и черепно-мозговой травме.

Передозировка. Отравление папаверином проявляется: общим недомоганием, диплопией (двоением в глазах), усилением потливости, головной болью, аритмией. Состояние лечат промыванием желудка и приемом энтеросорбентов. При необходимости проводят симптоматическую терапию (корректируют артериальное давление).

7.5 Взаимодействие с другими лекарственными средствами

Препарат угнетает эффекты леводопы и допегита. Комбинация с барбитуратами приводит к ослаблению спазмолитических свойств папаверина. Действие алкалоида могут усиливать: наркотических средства, транквилизаторы, анальгетики, седативные препараты. Гипотензивный эффект препарата потенциируют различные антигипертензивные средства, трициклические антидепрессанты, резерпин, хинидин, прокаинамид. Из повышения риска аритмий не рекомендуется сочетать папаверин с адренэргическими средствами. Активность папаверина подавляет никотин.

Условия отпуска. Инъекции отпускаются по рецепту.

Таблетки и суппозитории - без рецепта.

Хранение в сухом, защищенном от света месте. Вдали от детей. Таблетки хранят при температуре от 8 до 25ºС, раствор для инъекций - при температуре 17-25ºС, суппозитории - при температуре 8-15ºС.

В аптеках и лечебных учреждениях ампулы хранят по условиям списка Б.

Заключение

Папаверин - это оригинальный препарат с высоким профилем безопасности и эффективности, что было подтверждено в многочисленных клинических исследованиях и постанализах. Кроме того, ведется постоянный мониторинг за использованием препарата, и случаи побочного действия выявляются оперативно по всему миру. За почти 50 лет применения не было отмечено ни одного тяжелого побочного эффекта этого лекарственного средства.

Папаверин эффективен при купировании спазматических болей различного генеза, включая гастроинтестинальные, при этом не маскирует симптомы "острого живота", что является жизненно важным свойством.

Кроме того, папаверин могут применять пациенты, которым противопоказаны препараты с антихолинергическим действием.

Папаверин выпускается в форме таблеток и раствора для парентерального применения. Препарат можно назначать беременным и детям. Более того папаверин является препаратом выбора среди спазмолитиков не только по цене, но и по эффекту действия.

Список источников и литературы

1.       Перечень жизненно необходимых и важнейших лекарственных средств и Распоряжение Правительства РФ № 2135-р от 30.12.2009.

2.       Васнецова О.А., Медицинское и фармацевтическое товароведение: Учебн. для вузов/ О.А. Васнецова-М.: ГЭОТАР- Медиа, 2009.

.        Машковский М.Д. Лекарственные средства, В. 2т. Т2, 2009

.        Несмеянов А. Н., Несмеянов Н.А. "Начала органической химии" т.2 М.: 1974г

.        Перекалин А., Зонис Н. "Органическая химия" М.:1982г

.        Петров А.А., Бальян Х.В, Трощенко А.Т. "Органическая химия" М.: 1981г

.        Руководство к лабораторным занятиям по фармацевтической химии. Под ред. Арзамасцева А.П. - М: Медицина, 2001.

.        Справочник Видаль - М: АстраФарм Сервис 2013.

Похожие работы на - Фармацевтический анализ производных изохинолина (папаверина гидрохлорид)

 

Не нашли материал для своей работы?
Поможем написать уникальную работу
Без плагиата!
Без нейросетей!