Фармакогностический анализ и применение растительного сбора желудочно-кишечного
Министерство здравоохранения
Российской Федерации
Государственное бюджетное
образовательное учреждение
высшего профессионального образования
«ИРКУТСКИЙ ГОСУДАРСТВЕННЫЙ
МЕДИЦИНСКИЙ УНИВЕРСИТЕТ»
(ГБОУ ВПО ИГМУ Минздрава России)
Кафедра
фармакогнозии и ботаники
фармакогностический
анализ и применение растительного сбора желудочно-кишечного
Выпускная квалификационная работа
по специальности: 33.05.01. (060301)
«Фармация»
Номогоева
Екатерина Михайловна
Студентка VI
курса 601 группы
Научный
руководитель:
Доцент каф.
фармакогнозии и
ботаники,
к.ф.н.
Горячкина
Елена Геннадьевна
Иркутск
Содержание
Введение
Глава 1.Фармакогностическая характеристика компонентов сбора
.1 Корневища аира
.2 Мяты перечной листья
.3 Цветки ромашки
.4 Корни солодки
.5 Укропа огородного плоды
Глава 2. Числовые показатели компонентов сбора
Глава 3.Анализ сбора
.1 Определение подлинности компонентов сбора
.1.1 Внешние признаки сбора
.1.2 Микроскопия компонентов сбора
.2 Определение влажности сбора
.3 Определение экстрактивных веществ
.4 Определение золы общей
.5 Определение примесей
Глава 4. Фармакологическое действие и способы применения
сбора
Заключение
Список литературы
Введение
Актуальность темы заключается в том, что гастрит, язвенная болезнь, колит
это наиболее распространенные на Земле болезни желудка и кишечника. Например,
гастритом страдают более половины всех взрослых людей в мире. За этими
болезнями, стоит современный образ жизни, который отличается
несбалансированностью питания, стрессами, социальными нагрузками. Вредные
привычки так же вносят свой вклад в развитие этих болезней. Медикаментозные
препараты которые применяют для лечения данных заболеваний, имеют массу
побочных эффектов, вот почему фитопрепараты которые применяют для лечения этих
заболеваний пользуются большой популярностью. Так же помимо этого они обладают
комплексным спектром действия. Поэтому фито препараты продолжают оставаться
ценным средством лечения и профилактики этих заболеваний, конечно если развитие
болезни не зашло слишком далеко. Одним из таких препаратов является
желудочно-кишечный сбор «Фитогастрол», производства ОАО Красногорсклексредства
Россия. В состав этого сбора входит :аира корневища , мяты перечной листья ,
ромашки аптечной цветки , солодки корни , укропа огородного плоды.
Целью нашей работы ,является анализ желудочно-кишечного сбора.
Объектом исследования являются сбор «Фитогастрол»
Предметом исследования является лекарственные травы, входящие в этот
сбор.
Для достижения нашей цели мы должны решить следующие задачи:
. Провести фармакогностическую характеристику компонентов сбора.
. Рассмотреть числовые показатели компонентов сбора.
. Провести анализ сбора, на предмет определение влажности,
экстрагируемых веществ, содержание общей золы.
. Проанализировать наличие недопустимых примесей к сбору.
. Рассмотреть фармакологическое действие и способы применения
данного сбора.
Теоретической основой написания нашей работы являются государственные
фармакопеи, научная литература, статьи, интернет источники на данную тему.
Глава 1. Фармакогностическая характеристика компонентов
желудочно-кишечного сбора
.1 Корневища аира( Rhizomata
Acoricalami)
желудочный кишечный сбор фармакогностический
Аир обыкновенный - Acorus calamus L.
Семейство ароидные - Araceae.
Другие названия: аир болотный, калмус, татарское зелье, ирный корень, ир,
явр, лепеха.
Ботаническая характеристика. Многолетнее травянистое растение. Корневище
горизонтальноползучее, ветвистое, желтовато-зеленое, душистое, длиной до 1,5 м,
диаметром 3 см, с рубцеватыми следами на поверхности от отмерших листьев.
Закрепляется в почве корневище многочисленными белыми шнуровидными корнями.
Листья длиной до 1 м, мечевидно-линейные, сочные, также душистые,
густонарастающие. Стебель сплюснутый, с одиночным соцветием - початком длиной
до 12 см. Цветки мелкие, зеленовато-желтые. Плод сочный, красный. Семена обычно
не вызревают. Размножается вегетативно, кусочками корневищ. Цветет с мая до
июня. Возможна примесь совместно растущего ириса болотного (касатик желтый) -
Iris pseudacorus L. Цветки одиночные, крупные желтые. Душистый запах в траве
отсутствует. Вкус корневищ без горечи, вяжущий. Плоды образуются в виде
трехгранной многосеменной коробочки.
Рис.1 Аир обыкновенный - Acorus calamus L.
Распространение. Средняя и южная полоса европейской части страны, на
Кавказе, в Сибири и на Дальнем Востоке. Чаще встречается в лесостепной и
степной зонах, местами образует густые, почти чистые заросли.
Местообитание. В сырых местах, по берегам рек, прудов, озер, по днищам
балок, на заболоченных местах.
Заготовка. В летне-осенний период (июнь - сентябрь), в фазе полной
вегетации растений корневища вырывают граблями, вилами с загнутыми зубцами,
очищают от земли, обрезают надземные части и корни, помещают в корзины и
промывают в проточной воде. Провяливают в течение нескольких дней под навесами,
затем разрезают на куски длиной 5-30 см, толстые корневища дополнительно
разрезают продольно для получения очищенных корневищ, с них перед сушкой
снимают ножами кору (пробковый слой), получая два вида сырья: очищенные и
неочищенные.
Охранные мероприятия. Заросли восстанавливаются медленно, поэтому
заготовки можно повторять не чаще чем через 2-3 года. Практикуется
окультивирование массивов с пересадкой корневищ, размножается только
вегетативно, так как плоды его не вызревают.
Сушка. При температуре 30-35°С в сушилках. Сырье раскладывают тонким
слоем. Конец сушки устанавливают по ломкости кусков. Выход сухого сырья 22-24%
Химический состав. Корневище аира содержит до 4,8% эфирного масла, в
состав которого входят d-a-пинен, d-камфен, d-камфора, борнеол, каламен,
акорон, изоакорон, евгенол и другие терпены, азарон. Эфирное масло представляет
собой жидкость приятного запаха и вкуса. Получают его из измельченного сырья
путем перегонки паром. В корневище содержатся также горький гликозид акорин,
дубильные вещества, аскорбиновая кислота (150 мг%), йод (1,2-1,9 мкг/кг). Трава
аира богата крахмалом, содержит холин, смолы, гликозид люценинон.
Хранение. По правилам хранения эфирномасличного сырья, упаковав в мешки и
тюки. Срок годности 1 год 6 мес.
Фармакологические свойства. Содержащийся в корневищах аира горький
гликозид акорин повышает возбудимость окончаний вкусовых нервов, усиливает
рефлекторное отделение желудочного сока, особенно хлористоводородной кислоты,
повышает желчевыделительную функцию печени, тонус желчного пузыря и диурез.
Корневище аира оказывает противовоспалительное действие, обусловленное эфирным
маслом.
При экспериментальном асептическом воспалении, вызванном введением
скипидара в зубо-десневые каналы, примененное местно масло аира оказывает
противоспалительное действие, понижает, а затем нормализует проницаемость
кровеносных сосудов в очаге воспаления.
Эфирное масло обладает антимикробной активностью в отношении ряда
микроорганизмов, в частности ассоциации микробов зубо-десневых карманов у
больных пародонтозом, задерживает рост стафилококков, эшерихий, оказывает
фунгистатическое действие. Компонент эфирного масла - азарон влияет
успокаивающе на центральную нервную систему, оказывает в эксперименте
противосудорожное, противоаритмическое, спазмолитическое, бронхолитическое
действие.[2]
Лекарственные средства. Корневище аира, горькая настойка, отвар,
желудочный сбор, комплексные препараты: "Викалин" и
"Викаир", "Олиметин".
Применение. Корневища аира применяют внутрь как горечь для возбуждения
аппетита при желудочно-кишечных заболеваниях, особенно гастритах, протекающих с
пониженной кислотностью, колитах, гепатитах и холециститах. Аир в связи с
противовоспалительным, антисептическим, болеутоляющим действием рекомендуют при
глоссите, гингивите, пародонтозе и других воспалительных процессах слизистой
оболочки рта.
В гинекологической практике отвар аира применяют для спринцеваний при
кольпитах кокковой и трихомонадной этиологии. Используют его также при
гипоменструальном синдроме, вторичной аменорее, недостаточности функции
яичников и патологическом климаксе.
Порошок корневищ аира входит в состав препаратов "Викалин" и
"Викаир", которые назначают при язвенной болезни желудка,
двенадцатиперстной кишки, при гиперацидных гастритах.
Эфирное масло аира входит в состав препарата "Олиметин",
используемого для профилактики и лечения мочекаменной и желчнокаменной болезни.
В аптеках продают корневище аира резаное в упаковке по 100 г, из него в
домашних условиях готовят водный отвар (10 г корневищ на 200 мл воды). Применяют
по 1 столовой ложке отвара 3-4 раза в день.
.2 Мяты перечной листья ( Folia
Menthae piperitae )
Мята перечная - Mentha piperita L.Семейство яснотковые - Lamiaceae
Другие названия: английская мята, мята-холодянка, холодная мята,
холодка-мята.
Ботаническая характеристика. Многолетнее травянистое растение. Стебли
четырехгранные, высотой до 80-100 см, заканчиваются супротивными полумутовками
мелких красновато-фиолетовых цветков, собранных в колосовидные соцветия. Листья
продолговато-ланцетовидные, крупные, длиной до 8 см, шириной около 3 см, с
заостренной верхушкой, короткочерешковые, с неравномернопильчатым краем,
темно-зеленого цвета. Цветки почти правильные, венчик четырехлопастный
(недвугубый), одинаковой длины. Плод состоит из 4 орешков ("семян")
темно-бурого цвета, длиной около 0,75 мм, заключенных в чашечку. Все растение
имеет "мятный" запах. Цветет в июле-сентябре. Плоды образует редко,
так как это гибрид.
Рис. 2 Мята перечная - Mentha piperita L.
Распространение. Растение в диком виде не встречается. Введено в культуру
в начале XVIII в. Является ведущей культурой преимущественно южных совхозов АПК
"Эфирлекраспром": на Украине, в Беларуси, Молдове. Возделывают две
формы мяты: черную и белую. Содержание ментола в них доходит до 60-70%. В
настоящее время культивируют преимущественно следующие сорта мяты:
Прилукская-6, Краснодарская-2, Загадка, Кубанская-6, Москвичка, Медичка,
Лекарственная.[10]
Местообитание. Культивируют на выработанных, плодородных низинных увлажненных
землях. Удобряют навозом, компостом, азотистыми и калийными минеральными
удобрениями. Размножают исключительно вегетативно, кусочками корневищ или
укоренившихся молодых побегов длиной 20-40 см, реже - рассадой. Высаживают
ранней весной или осенью на глубину 8-10 см в одну линию с междурядьями 54-60
см или квадратно-гнездовым способом по несколько отрезков в гнездо (45 х 45 или
60 х 60 см). Междурядья рыхлят, уничтожают сорняки, растения подкармливают
азотистыми удобрениями. В холодные зимы мята может вымерзнуть, поэтому почву
осенью мульчируют компостом. На одном месте выращивают растение не более 3 лет.
Средний урожай 17-18 ц/га. Возделывание мяты почти полностью механизировано.
Мята нуждается во влаге, растет только на плодородных почвах. Проводится большая
селекционная работа по выведению сортов мяты с высоким содержанием эфирного
масла и ментола.
Заготовка. Сырье собирают в фазе массового цветения, в первой половине
дня, в период наибольшего накопления масла. Мяту "на лист" убирают
путем скашивания растения жаткой. Перед сушкой удаляют побуревшие части.
Охранные мероприятия. Не разрешается выдергивать траву с корнем.
Сушка. В тени на воздухе, на токах или в сушилках. Затем вилами
встряхивают сырье на месте сушки. Получают качественное листовое сырье. Из
оставшейся травы извлекают эфирное масло.
Химический состав. Листья мяты перечной содержат до 3 % эфирного масла,
соцветия - 4-6 %, стебли - до 0,3 %. Главный компонент эфирного масла - ментол
(50-80 %).
Кроме ментола, масло содержит ментон (12-25 %), ментилацетат, ментофуран,
лимонен, цинеол, пулегон и другие моноциклические терпеноиды, выделены также
азулены. В листьях обнаружены флавоноиды, кислоты урсоловая и олеаноловая,
каротиноиды, дубильные вещества (6-12 %), микроэлементы.
Хранение. В прохладном месте, в хорошо закупоренной таре по правилам
хранения эфирномасличного сырья. Срок годности 2 года. Содержание эфирного
масла проверяют ежегодно.
Фармакологические свойства. Основное действующее вещество эфирного масла
мяты перечной - ментол. При нанесении на слизистые оболочки или втирании в кожу
ментол раздражает нервные окончания, вызывая ощущение холода и покалывания. При
возбуждении холодовых рецепторов суживаются поверхностные сосуды и рефлекторно
расширяются сосуды внутренних органов. Этим, очевидно, объясняется уменьшение
боли под влиянием ментола при стенокардии. Ментол обладает вазоактивными
свойствами: регулирует артериовенозный тонус, предотвращает повышение тонуса
внутричерепных вен, вызванное приемом нитроглицерина, способствует оттоку крови
по наружным венам. Ментол оказывает также легкое местноанестезирующее действие.
Раздражая рецепторы слизистой оболочки желудка и кишечника, ментол усиливает
перистальтику и секрецию пищеварительных желез. Пары мятного масла обладают
противомикробными свойствами, особенно выраженными в отношении золотистого
стафилококка и ряда спорообразующих бактерий.[5]Азулены мятного масла оказывают
противовоспалительное и капилляроукрепляющее действие.
Лекарственные средства.
. Мяты перечной листья, сырье измельченное. Спазмолитическое,
желчегонное средство.
. В составе сборов (успокоительные № 1-2; желудочный № 3;
желудочно-кишечный; ветрогонный; грудной № 4; отхаркивающий; желчегонные № 1-3;
урологический (мочегонный); антикоагулянтный сбор «Касмин»; сбор для
приготовления микстуры по прописи М.Н. Здренко).
. Мяты перечной настойка (настойка (1:20) на 90 % этаноле с
добавлением равного количества мятного масла). Спазмолитическое, успокаивающее,
болеутоляющее средство.
. Таблетки мятные (содержат мятное масло и сахар). Седативное,
спазмолитическое средство при тошноте, рвоте, спазмах гладкой мускулатуры.
. Мятное масло входит в состав большого числа комбинированных
лекарственных средств («Валокордин», «Корвалол», «Ингалипт», «Олиметин»,
«Уролесан», «Пиносол», «Фитолизин», «Холагогум» и др.).
. Ментол, 1 % и 2 % спиртовой раствор; 1 % мазь; карандаш.
Наружное успокаивающее и болеутоляющее средство при невралгиях, миалгиях,
артралгиях; при воспалительных заболеваниях верхних дыхательных путей;
спазмолитическое средство при мигрени.
. Масло ментоловое, 1 % и 2 % раствор ментола в вазелиновом масле.
Наружное успокаивающее и болеутоляющее средство при невралгиях, миалгиях,
артралгиях; при воспалительных заболеваниях верхних дыхательных путей.
. Ментол входит в состав большого числа комбинированных
лекарственных средств («Ментоклар», «Бороментол», «Пектусин», «Меновазин»,
«Валидол», «Валокормид», «Алором», «Каметон», «Эфкамон» и др.).
Применение. Мяту перечную издавна применяют в виде галеновых препаратов,
настоев и настоек. Мяту используют как средство, рефлекторно улучшающее
кровообращение в сосудах мозга и сердца, как спазмолитическое средство при
спастических, явлениях в желудочно-кишечном тракте, желчных ходах, протоках
поджелудочной железы.
Настои из листьев мяты перечной применяют как болеутоляющее средство при
невралгиях, зубной боли и как антисептическое средство при воспалительных
заболеваниях верхних дыхательных путей и стоматитах.
Из мяты перечной и ментола изготовляется большое число комплексных
лечебных средств и фитопрепаратов.
Настойка мяты перечной (Tinctura Menthae piperitae) выпускается во
флаконах-капельницах по 25 мл. Состоит из спиртовой (на 90% спирте) настойки
листьев мяты перечной и равного количества масла мяты перечной. Применяют
внутрь по 10-15 капель на прием как противорвотное, ветрогонное и болеутоляющее
средство при невралгических болях, а также добавляют к микстурам для улучшения
вкуса, эликсирам для зубов и т. д.
Масло мяты перечной - прозрачная бесцветная или бледно-желтого цвета
жидкость с запахом мяты и жгучим холодящим вкусом. Содержит около 50% ментола.
Входит в состав зубных порошков, паст и жидкостей для полоскания полости рта.
Используют в микстурах по 1-3 капли при метеоризме, заболеваниях печени и желчного
пузыря и для исправления вкуса лекарств. Входит в состав препарата корвалол.
Включают в композиционные смеси, применяемые для ароматизации воздуха в
закрытых производственных помещениях.
Мятные таблетки содержат мятного масла 0,0025 г, сахара 0,5 г. Назначают
при тошноте, рвоте, спазмах кишечника по 1-2 таблетки под язык.
Вода мяты перечной - прозрачная бесцветная жидкость с запахом мяты;
применяют для полоскания полости рта, добавляют к микстурам.
Особенно широкое применение в медицине находит ментол. Его получают из
мятного масла, а также синтетическим путем. Ментол входит в состав капель
Зеленина, препаратов "Пектусин", "Эвкатол",
"Меновазин", аэрозольных смесей "Камфомен" и
"Ингакамф", является составной частью ментоловых, мигреневых
карандашей. Используется в виде капель для носа, раствора ментола в вазелиновом
масле.
Растворы ментола спиртовые 1% и 2% принимают на кусочке сахара при болях
в области сердца. Прием нитроглицерина вместе с ментолом в ряде случаев
избавляет больного от побочного действия нитроглицерина - головной боли.
Назначают также при спастических колитах и энтероколитах.
Свечи "Анестезол" (Suppositoria "Anaesthesolum").
Состав одной свечи: анестезина 0,1 г, дерматола 0,04 г, окиси цинка 0,02 г,
ментола 0,004 г, жировой основы до 2,7 г. Применяют как обезболивающее,
противозудное и антиспастическое средство при геморрое.
Олиметин (Olimetinum) - комплексный препарат, в 1 г которого содержится:
масла мяты перечной 0,017 г, масла терпентинного очищенного 0,0341 г, масла
корня аира 0,025 г, масла оливкового 0,9205 г, серы очищенной 0,0034 г.
Выпускают в капсулах по 0,5 г. Применяют как спазмолитическое средство при
мочекаменной и желчнокаменной болезни по 1-2 капсулы 3-5 раз в день в период
обострения.
Валидол (Validolum) - раствор ментола в метиловом эфире изовалериановой
кислоты. Применяют при стенокардии, неврозах, истерии, морской болезни; нередко
снимает бронхоспастические явления. Назначают по 4-5 капель на кусочке сахара,
держат во рту до полного рассасывания. Выпускается также в виде таблеток и
капсул.
При зудящих дерматозах местно применяют 0,5% спиртовой раствор ментола
или 1% мазь на ланолиново-вазелиновой основе. При артралгиях, невралгиях и
миалгиях используют втирание 2% спиртового раствора ментола или 10% масляной
взвеси.
Мазь "Эфкамон" (Unguentum "Efcamonum"). Состав мази:
ментола 14 г, тимола и хлоралгидрата по 3 г, метилсалицилата 8 г, камфоры 10 г,
настойки стручкового перца 4 г, масла гвоздичного или экстракта гвоздики 3 г,
масла горчичного или коричного 3 г, масла эквалиптового 7 г, спирта коричного 1
г, парафина 4,4 г, спермацета и вазелина до 100 г. Используют при артритах,
миозитах, невралгии для растирания.
Бороментол (Boromentholum) - мазь, содержащая 0,5 части ментола, 5 частей
борной кислоты и 94,5 части вазелина. Применяют как антисептическое и
болеутоляющее средство для смазывания слизистой оболочки носа при насморке, а
также для смазывания кожи при зуде и невралгиях.
Бальзам "Золотая звезда" (Balsamum "Stellaauraria")
содержит масла: гвоздичное, эвкалиптовое, мятное, корицы. Применяют при
респираторных заболеваниях, насморке, простуде, гриппе, растворяя небольшое
количество бальзама в горячей воде для ингаляций. При головной боли и
головокружениях бальзам втирают в височную, затылочную, лобную область. При
укусах насекомых смазывают место укуса. Поступает из Вьетнама в упаковках по 4
г.
Капли Зеленина применяют при неврозах сердца. Камфен используют при
воспалительных заболеваниях верхних дыхательных путей. Меновазин -
противозудное средство, назначаемое при дерматозах. "Ингакамф" -
карманный ингалятор, используемый для ингаляции при острых ринитах.
Мяту и ее препараты нельзя применять бесконтрольно. Резкий запах
препаратов мяты, превышение их дозы в ингалирующих устройствах способны
спровоцировать бронхоспазм, расстройства дыхания вплоть до остановки его.
Возможно появление боли в сердце при неумеренном потреблении препаратов мяты.
.3 Цветки ромашки ( Flores Chamomillae recutitae )
Ромашка аптечная - Chamomilla recutita L. (syn.
Matricaria chamomilla L.)
Семейство астровые - Asteraceae
Другие названия: маточная трава, ромашка лекарственная, ромашка
ободранная, камила, румянок, моргун, романова трава.
Ботаническая характеристика. Однолетнее травянистое растение высотой
15-40 см. Стебель ветвистый, голый. Листья очередные, сидячие, дважды
перисторассеченные на узкие доли. Цветочные корзинки одиночные, крупные,
расположены на концах стебля и ветвей. Корзинки имеют белые ложноязычковые
цветки, расположенные по их краям, и многочисленные внутренние обоеполые желтые
цветки, расположенные на коническом голом внутриполом ложе. Корзинки сидят на
длинных цветоносах, расцветают постепенно: в начале распускания ложноязычковые
цветки направлены вверх, затем они располагаются горизонтально и ложе
вытягивается. Плод - семянка. Все растение душистое. Цветет с мая до июля,
плодоносит с июня.
Рис.3 Ромашка аптечная - Chamomilla recutita
L. Цветки ромашки - Flores Chamomillae
recutitae
Распространение. В диком виде произрастает на юге и в средней полосе
европейской части страны, на Кавказе. Основные районы заготовок - Крым,
Херсонская и Николаевская области. Культивируется во многих совхозах и
колхозах. Возделывают растение на освещенных влажных плодородных почвах.
Удобряют почву перепревшим навозом, фосфорными и азотными минеральными
удобрениями. Размножается семенами. Сеют рано весной, летом или лучше под зиму.
При летнем засеве заделывают семена на глубину 0,5-1 см, под зиму - сеют сверху
почвы. Междурядья 45 см. При сухости почвы всходы легко гибнут. Почву рыхлят,
уничтожают сорняки. Урожай высушенных соцветий 5-10 ц/га. Полевой сорняк.
Местообитание. На залежах, полях, в замусоренных местах, у дорог.
Заготовка. Сбор цветочных корзинок производят в начале цветения
(май-июнь), когда на каждом растении раскроется 5-10 соцветий. Корзинки срывают
вместе с цветоносом длиной более 3 см с помощью гребней, а на плантации -
специальными машинами. При хороших погодных условиях проводят 4-6 сборов
наиболее высокий урожай получают на плодородных черноземных суглинках. Бедные
почвы нуждаются в органических и минеральных удобрениях. Самой трудоемкой и
дорогостоящей операцией при возделывании ромашки является уборка. Вопросами
механизированной уборки соцветий ромашки начали заниматься в 20-30-х годах
нашего столетия во многих странах Европы и Америки. В настоящее время в
совхозах используют ромашкоуборочные машины очесывающего типа, разрабатываются
и другие конструкции. Кроме ромашки аптечной, к заготовке допущена трава
ромашки безъязычковой (душистой) - Matricaria matricarioides Porter (M.
Suaveolens Buch.) Это тоже однолетнее сильноветвистое растение, более
низкорослое, высотой от 5 до 30 см, с более толстым стеблем, сильным
своеобразным запахом. Отличается от других ромашек отсутствием белых
ложноязычковых цветков. Цветки трубчатые четырехзубчатые, соцветия
зеленовато-желтые. При запоздалом сборе цветочные корзинки во время сушки
распадаются.
Охранные мероприятия. Необходимо оставлять несколько растений при сборе
для обсеменения, стараться не вытаптывать их.
Сушка. Целесообразно сушить сырье под навесом, расстилая его слоем 2-3 см
на бумаге или брезенте, или в сушилках при температуре не выше 35°С. Выход
сухого сырья около 20%. Подлинность определяется по морфологическим признакам и
микроскопически.
Химический состав. Цветочные корзинки содержат 0,2-0,8% эфирного масла, в
состав которого входит хамазулен. Эфирное масло представляет собой густую
жидкость темно-синего цвета, труднорастворимую в воде. Синий цвет связан с
наличием хамазулена. При хранении эфирного масла хамазулен окисляется
кислородом воздуха и масло вначале становится зеленым, а затем бурым. Эфирное
масло, кроме того, содержит сескви-терпены, кадинен, фарнезен, сесквитерпеновый
спирт бизаболол, каприловую и изовалериановую кислоты.
Из белых язычковых цветков соцветий ромашки выделен флавоновый гликозид
апиин (дающий при гидролизе апигенин, глюкозу и апиозу), прохамазуленматрицин и
лактон матрикарин (при высокой температуре оба эти вещества превращаются в
хамазулен), диоксикумарины, умбеллиферон и его метиловый эфир герниарин,
триакантин, холин, фитостерин, салициловую кислоту, аскорбиновую кислоту,
каротин, горечи, слизи, камеди. Кроме того, присутствуют горькие вещества.
Содержание эфирных масел в надземной массе (траве) достигает 0,37%.
Основными компонентами масла являются мирцен и фарнезен, присутствуют также
флавоноиды. По содержанию суммы флавоноидов вся надземная часть ромашки
душистой более богата по сравнению с фармакопейным сырьем (то есть соцветиями),
поэтому разрешена заготовка травы (в период цветения).
Хранение. В сухих помещениях, на стеллажах, упакованным в фанерные ящики,
выложенные бумагой. Срок годности до 2 лет. Гарантийный срок - 1 год.
Фармакологические свойства. Эфирное масло ромашки в экспериментах на
животных усиливает рефлекторную деятельность, возбуждает продолговатый мозг,
учащает дыхание и ритм сердца, расширяет сосуды мозга; в больших дозах угнетает
центральную нервную систему и понижает мышечный тонус.
Жидкий экстракт, водный настой и эфирное масло при экспериментальных
исследованиях уменьшают интенсивность сокращений изолированного отрезка тонкой
кишки, снижают его тонус и снимают спазм, вызванный ацетилхолином и хлоридом
бария. Желчегонное действие оказывают жидкий экстракт ромашки и эфирное масло.
Ромашка относится к потогонным, ветрогонным и антиспастическим средствам,
обладает успокаивающими и обезболивающими свойствами. Препараты ромашки
ускоряют процессы регенерации эпителия при экспериментальных язвах и
задерживают развитие экспериментального воспаления.
Эфирное масло ромашки обладает дезинфицирующими и противовоспалительными
свойствами благодаря наличию в нем хамазулена. Препараты ромашки уменьшают
процессы брожения и гниения в кишечнике. С хамазуленом связывает также
антиаллергическое и противовоспалительное действие препаратов ромашки и
эфирного масла. Эфирное масло ромашки, введенное животным внутрь в дозах 0,05-1
мл/кг, не оказывает токсического действия на общее состояние, гематологическую
картину и внутренние органы, не раздражает слизистую оболочку
желудочно-кишечного тракта.
Гликозиды ромашки оказывают слабое атропиноподобное действие, расслабляют
гладкую мускулатуру, устраняют спазмы органов брюшной полости. Из ромашки
получен и экспериментально изучен препарат "Камиллозид", обладающий
язвозаживляющими свойствами.
Лекарственные средства. Цветки ромашки, настои, сборы, брикеты, препарат
"Ромазулан".
Применение. Ромашка отпускается из аптек для приготовления настоев,
входит в лекарственные сборы. В виде настоя применяется внутрь как спазмолитическое
средство при гастритах, спастических хронических колитах, сопровождающихся
брожением в кишечнике, для стимуляции желчеотделения и улучшения пищеварения.
При язвенной болезни желудка и двенадцатиперстной кишки, гиперацидном гастрите,
сопровождающемся болью, изжогой и тошнотой, назначают настой ромашки по 1
столовой ложке 5-6 раз в день перед едой или сбор из цветков ромашки, цветков
календулы и травы сушеницы болотной, взятых поровну. Для приготовления настоя
из этого сбора 1 столовую ложку смеси заливают 200 мл кипятка, настаивают 3-4
ч, принимают в подогретом виде по 1 столовой ложке 4-5 раз в день перед едой.
Ромашку при заболеваниях желудка сочетают с травой тысячелистника, травой
зверобоя, листьями мяты перечной, липовым цветом, слизью льняного семени или
подорожника блошного. Цветки ромашки с корнем валерианы и плодами тмина входят
в ветрогонный сбор.
Настой ромашки как легкое седативное и антиспастическое средство
назначают больным бронхиальной астмой по 1/3 стакана на ночь в теплом виде для
предупреждения приступов удушья. Больным бронхиальной астмой и хроническими
бронхолегочными заболеваниями, провоцирующими обострение болезни, проводят
санацию носоглотки, включающую ингаляции настоя ромашки. Настой ромашки
применяют для полоскания полости рта и горла при ангинах, тонзиллитах,
ларингитах. Ромашку часто сочетают с другими лекарственными растениями,
например с цветками липы в равных частях (заваривают, как чай).
Из Румынии поступает препарат Ромазулон, содержащий 96 мл экстракта
ромашки и 0,3 мл эфирного масла ромашки.[17] Применяют его как
противовоспалительное и дезодорирующее средство для полосканий полости рта при
ангинах и хронических тонзиллитах, стоматитах, гингивитах, глосситах,
заболеваниях зубов и десен, для профилактической санации верхних дыхательных
путей. Для полоскания разводят 1-2 чайные ложки ромазулона в 1 стакане теплой
воды. Этот же раствор используют наружно при заболеваниях кожи, нейродермите,
крапивнице, укусах насекомых, трофических язвах, мелких ранах. Для инсталляций
и спринцеваний раствор ромазулона применяют при кольпитах, вагинитах, эрозиях
шейки матки, уретритах, циститах, простатитах и других заболеваниях.
При обострениях подагры, заболеваниях суставов рекомендуют общие или
местные ванны с отваром ромашки (20 г на 1 л воды), примочки и компрессы на
суставы из многослойной марли, смоченной отваром ромашки, припарки из травы (в
горячем виде накладывают на суставы, накрывают пергаментом или пленкой,
укутывают на 1-2 ч).
Внутрь отвар ромашки применяют в горячем виде (1 стакан на прием) в
качестве потогонного средства.
Ромашка - косметическое средство, используемое для придания волосам
золотистого оттенка, а коже бархатистости и нежности. В парфюмерии цветки
ромашки используют при изготовлении питательных кремов, лосьонов и шампуней.
Настой готовят из 10 г измельченных цветков ромашки на 200 мл воды;
нагревают на кипящей водяной бане 30 мин, охлаждают, настаивают 3-4 ч,
процеживают, отжимают остаток. Добавляют кипяченую воду до первоначального
объема. Настои ромашки готовят продолжительным кипячением, так как матрицин и
прохамазулен при высокой температуре превращается в хамазулен, что повышает
активность препаратов. Настой принимают внутрь по 1/2-1/3 стакана 2-3 раза в
день.Ромашка душистая используется в медицине только для наружного применения:
припарок, примочек, полосканий, клизм, компрессов.
.4 Корни солодки ( Radices
Glycyrrhizae )
желудочный кишечный сбор фармакогностический
Солодка голая - Glycyrrhiza glabra L.
Солодка уральская - Glycyrrhiza uralensis Fisch.
Семейство бобовые - Fabaceae
Другие названия: солодка гладкая, лакрица, лакричник
Ботаническая характеристика. Многолетнее травянистое растение высотой 1-2
м, с мощной корневой системой. Корневище многоглавое, толстое, вертикальное; от
него отходят во все стороны малоразвитые короткие, стелющиеся горизонтально,
подземные побеги (столоны) с почками и неветвистый главный стержневой корень длиной
до 1 м и более, отходящий от вертикального корневища и достигающий глубоких
водоносных слоев, благодаря чему растение хорошо приживается на засушливых
местах. Листья сложные, непарноперистые, очередные, с 5-7 парами листочков, с
нижней стороны липкие. Цветки светло-фиолетовые, расположены на длинных
цветоносах в колосовидных кистях. Листочки продолговато-яйцевидные,
цельнокрайние, короткочерешковые. Плод - боб длиной 2-3 см, многосемянной,
иногда с 2-3 семенами, прямой, голый, бурого цвета. Солодка уральская имеет
серый пушистый стебель длиной до 1 м; листочки эллиптической формы, с нижней
стороны покрыты железками. Цветочные кисти более плотные, густые. Цветки
фиолетовые. Плод - боб, пушистый, серого цвета, согнутый, бугристый от семян,
покрытый небольшими железистыми шипами. При заготовке сырья попадается солодка
щетинистая, которая внешне сходна с солодкой голой и отличается следующими
признаками: цветки скучены в головку, бобы усажены колючими шипиками, корни в
изломе белые и несладкие. Физиологически активных веществ не содержат.
Заготовка их недопустима.
Рис.4 Солодка
голая - Glycyrrhiza glabra L.,и Radices Glycyrrhizae - корни солодки
Распространение. Средняя Азия, Дагестан, Туркменистан, Казахстан,
особенно по р. Амударье, Азербайджан, Северный Кавказ, юг Украины, Поволжье.
Солодка уральская чаще встречается на Южном Урале, в Кыргызстане, Западной и
Восточной Сибири, Казахстане. В Чарджоу находится база мирового значения для
экспорта солодкового корня.
Местообитание. В степных районах, около рек, на песках.
Заготовка. Проводится с марта по ноябрь. Используют тракторную тягу с
глубокомощными плугами. После вспашки корни выбирают, отсекают стеблевые части,
дефектные куски и складывают сырье в валки для провяливания, а затем в бурты.
Благодаря развитой корневой системе при заготовке заросли не уничтожаются, так
как из обрывков столонов с сохранившейся почкой быстро вырастают новые
растения.
Охранные мероприятия. Необходимо чередовать места заготовок и
возобновлять их через 6-8 лет, в течение которых заросли полностью
восстанавливаются.
Сушка. На месте заготовки под навесами и в сушилках. Сухие корни прессуют
в кипы и стягивают железными полосами. Иногда со свежесобранных корней снимают
ножами пробку; перед этим их провяливают в течение нескольких дней в тени, а
затем сушат на солнце. Упаковывают в кипы массой до 200 кг.
Химический состав. Корни и корневища солодки содержат до 23% глицирризина
- калиевой и кальциевой соли глицирризиновой кислоты. Последняя - тритерпеновый
сапонин, агликоном которого является глицирретиновая кислота, а сахарными
остатками 2 молекулы глюкуроновой кислоты. Найдены также 27 различных
флавоноидов (ликвиритин, изоликвиритин, лакризид и др.), аскорбиновая кислота
(до 30 мг%), небольшое количестве эфирного масла, камеди, смолы, аспарагин.
Хранение. В сухом месте. На складах цельные корни хранятся в кипах,
резаный корень - в фанерных ящиках, порошок - в банках. Срок годности сырья 10
лет.
Фармакологические свойства. Препараты солодки обладают многосторонней
биологической активностью. Всестороннее изучение отечественного солодкового
корня провели проф. И. А. Муравьев, К. З. Закиров, В. И. Литвиненко. В 1964 г.
в лаборатории ВИЛР было доказано противовоспалительное действие препаратов
солодки, близкое к эффекту кортизона.[10] В дальнейшем изучен ряд новых
производных глицирризиновой кислоты в экспериментах на крысах. Выяснилось, чтг
эти препараты обладают высокой противовоспалительной активностью, не уступающей
антифлогистическому действию глюкокортикоидов и бутадиона, а в ряде случаев
дают и превосходящей эффект. Препараты глицирризиновой кислоты угнетают как
экссудативную, так и пролиферативную фазы воспалительного процесса. Механизм
противовоспалительного действия солодки связан со стимулирующим влиянием
глицирризиновой кислоты на кору надпочечников. Именно это фармакологическое
свойство растения считается наиболее важным. Препараты солодки способствуют
заживлению экспериментальных язв желудка.
Для изучения антиаллергических свойств препаратов солодки использовали
экспериментальную модель анафилактического шока у морских свинок,
сенсибилизированных пыльцой амброзии. Все изученные препараты солодки -
глицирретиновая кислота, глициренат и "Глицирам" - предотвращали
гибель и ослабляли тяжесть анафилактического шока у животных. Наиболее
выраженный ингибирующий эффект на аллергические реакции немедленного типа давал
"Глицирам", равный по активности гидрокортизону. Все препараты
солодки были более действенны при многократных введениях, что позволило связать
антиаллергическое действие солодки с подавлением антителопродуцирующих систем.
Антианафилактическое действие 5% отвара корня солодки изучено на 40
морских свинках, сенсибилизированных лошадиной сывороткой. Отвар солодкового
корня вводили под кожу 20 морским свинкам, на 21-й день - разрешающую дозу
лошадиной сыворотки. Введение отвара корня солодки предотвратило смертельный
исход анафилактического шока у 18 из 20 экспериментальных животных, в то время
как в контрольной группе все 20 животных погибли.[16]
Препараты корня солодки регулируют водно-солевой обмен, действуя подобно
дезоксикортикостерону. Обнаружение этого свойства значительно повысило интерес
к растению во всем мире и получило многократное подтверждение в работах ряда
зарубежных фармакологов. Действием на гормональную систему можно объяснить и
свойства адаптогена, также обнаруженные у солодкового корня. Из солодки
выделена фракция, обнаружившая высокую эстрогенную активность.
Экстракт корня солодки в экспериментах на кроликах с различными моделями
атеросклероза обладает гиполипидемическими свойствами, превышающими аналогичные
эффекты мисклерона и полиспонина. Механизм антисклеротического действия
связывают со способностью глицирризиновой кислоты, которая относится к
тритерпеновым кислотам, взаимодействовать с холестерином, образуя нерастворимый
комплекс, а также тормозить биосинтез холестерина. Обнаружено также тормозящее
влияние глициррама на развитие гиперлипидемии.
С глицирризином и пенообразующими веществами корня солодки - сапонинами -
связывают повышение секреторной функции эпителия дыхательных путей, изменение
поверхностноактивных свойств легочного сурфактанта и стимулирующее действие на
функцию ресничек эпителия. Под влиянием препаратов солодки разжижается мокрота,
становится более легким ее откашливание. Санирующий эффект на систему органов
дыхания подкрепляется противовирусными и противопротозойными свойствами
препаратов солодки.
Спазмолитическое влияние на гладкую мускулатуру связано с действием
биофлавоноидов. Препараты солодки угнетают секрецию желудочного сока в ответ на
введение гистамина.
Флавоноидные соединения, кроме спазмолитического эффекта, оказывают
противовоспалительное действие, нормализуют проницаемость сосудистой стенки.
Наиболее активными противовоспалительными средствами из этой группы веществ
являются "Ликвиритон" и флакармин.
Препараты из солодки оказывают противовирусное действие, причем
наибольшая противовирусная активность присуща сапонинам травы, а натриевая соль
глицирретиновой кислоты (глициренат, выделенный из корней солодки) активна в
отношении простейших. Пенообразующие свойства корня солодки используют в
аэрозолях,где солодка является технологически вспомогательным средством и в то
же время оказывает лечебное противовоспалительное действие.
Фармакологически исследована также трава солодки, содержащая ряд
биологически активных веществ. В экспериментах на децеребрированных кошках при
введении экстракта травы солодки внутривенно отмечено стимулирующее действие на
работу сердца, увеличение амплитуды дыхательных движений. Экстракт травы
оказывает также выраженное противовоспалительное действие в экспериментах на
крысах с "каолиновым артритом" при пероральном введении животным.
Лекарственные средства. Корни. Порошок. Сложный лакричный порошок. Густой
и сухой экстракты. Сироп. Резаный корень входит в состав грудных, слабительных
и мочегонных сборов. Препарат "Глицирам" - аммонийная соль
глицирризиновой кислоты. Флавоновый препарат "Ликвиритон" (гранулы).
"Флакарбин".
Применение. Солодка упоминается в рецептах Восточной медицины чаще, чем
какое-либо другое растение: она оставила позади даже женьшень. Солодковый
корень широко применяют при заболеваниях верхних дыхательных путей и легких как
отхаркивающее, смягчающее и противовоспалительное средство. Преимуществом
галеновых препаратов солодки перед индивидуальными веществами является
сочетание глицирризиновой кислоты, действующей противовоспалительно,
ликвиритозида, обладающего спазмолитическими свойствами, ликуразида, дающего
противовоспалительный и бронхолитический эффект, и сапонинов, разжижающих
секрет бронхов. Этим объясняется популярность солодки, используемой в
лекарственных сборах, при острых и хронических бронхитах, пневмониях,
бронхиальной астме, бронхоэктатической болезни и других заболеваниях. Например,
из корня солодки, плодов аниса и сосновых почек, взятых поровну, готовят отвар,
который принимают по 1/3 стакана 3-4 раза в день после еды в течение 7-10 дней.
Препарат из корней солодки "Глицирам" эффективен у детей,
больных бронхиальной астмой, в дозе 0,2-0,6 г/сут. Под влиянием лечения на
7-10-й день у большинства больных разрешается бронхоспазм, улучшаются
функциональные показатели проходимости дыхательных путей, уменьшается
эозинофилия. Курс лечения продолжается 3-12 нед. Глицирам позволяет уменьшить
дозу гормональных препаратов у гормональнозависимыхбольных или отменить их. На
фоне клинического улучшения проба с АКТГ указывает на повышение активности коры
надпочечников. Побочных явлений при применении препаратов солодки не отмечено.
Галеновые формы корня солодки и препарат "Глицирам" применяют
при заболеваниях, связанных с гипофункцией надпочечников, при аддисоновой
болезни, при системной красной волчанке, пузырчатке, хронических кожных
заболеваниях, аллергических заболеваниях; у больных длительно принимающих стероиды.
При экземе, нейродермитах и аллергических дерматитах местное лечение сочетают с
приемом внутрь глицирама в таблетках по 0,05 г 2-3 раза в сутки. Наилучшие
результаты получены у больных с экземой и аллергическим дерматитом. Солодка и
препараты из нее важны для практической медицины как антиаллергическое
средство, так как в отличие от кортизона не нарушают физиологической защиты.
Глицирризиновая кислота придает корням солодки сладкий вкус. Это
позволяет применять ее в лечебном питании больных сахарным диабетом. Однако
кортикостероидоподобное действие глицирризиновой кислоты, по-видимому,
ограничивает ее применение в качестве заменителя сахара.
Для лечения больных язвенной болезнью желудка и двенадцатиперстной кишки
применяют различные препараты солодки ("Ликвиритон",
"Флакарбин"), 20% отвар из корня солодки по 1/2 стакана 3 раза в день
за 40-50 мин до еды в течение 3-4 нед. Боли исчезают обычно на 5-6-й день,
улучшается аппетит, увеличивается масса тела. После курса лечения снижается
кислотность желудочного содержимого и содержание пепсина, у 50% больных
исчезает симптом ниши. В механизме противоязвенного действия возможно участвует
высокоактивная эстрогенная фракция, обнаруженная у препаратов солодки.
Спазмолитическое действие препаратов солодки распространяется и на другие
органы, имеющие гладкую мускулатуру (мочевыводящие пути, желчные ходы,
кишечник). Глицирризиновую кислоту применяют при пищевых интоксикациях,
лекарственных и бытовых отравлениях, инфекционных заболеваниях.
Солодка входит во многие лекарственные сборы, применяемые при
желудочно-кишечных, легочных заболеваниях, патологии почек. Например, при
почечной патологии применяют сбор из взятых поровну корней солодки, листьев
березы, травы спорыша, травы хвоща полевого. Этот комплекс фитопрепаратов обеспечивает
противовоспалительное, мочегонное, спазмолитическое, капилляроукрепляющее и
бактериостатическое действие. Рекомендуется при функциональной недостаточности
почек, пиелонефритах, циститах, мочекаменной болезни и в межприступном периоде
для профилактики обострении.
Экстракт солодкового корня густой (Extractum Glycyrrhizae spissum)
представляет собой густую массу бурого цвета со своеобразным запахом и
приторно-сладким вкусом. При взбалтывании с водой образует коллоидный, сильно
пенящейся раствор. Применяют как constituens (формообразующее) при изготовлении
пилюль.
Экстракт солодкового корня сухой (Extractum Glycyrrhizae siccum),
экстракт лакричного корня сухой. Буровато-желтый порошок со своеобразным
запахом и приторно-сладким вкусом. При взбалтывании с водой образует
коллоидный, сильно пенящийся раствор. Содержит не менее 25% глицирризиновой
кислоты.
Сироп солодкового (лакричного) корня (Sirupus Glycyrrhizae) используют в
педиатрии. Получают из экстракта солодкового корня густого (4 г), сахарного
сиропа (86 г), спирта (10 г). Жидкость желто-бурого, своеобразного запаха и
вкуса. Применяют для исправления вкуса в микстурах.
Эликсир грудной (Elixir pectoralis). Состав препарата: экстракта
солодкового корня 60 частей, анисового масла 1 часть, спирта этилового 49
частей, раствора аммиака 10 частей, воды дистиллированной 180 частей.
Представляет собой жидкость бурого цвета, сладковатую на вкус, с запахом
аммиака и анисового масла. Применяют как отхаркивающее средство по 20-40 капель
на прием. Детям назначают на прием столько капель, сколько лет ребенку.
При заболеваниях желудочно-кишечного тракта применяют cложный порошок
солодкового корня. Состав: 20 частей порошка корня солодки, 20 частей порошка
из листьев сенны, 10 частей порошка плодов укропа, 10 частей серы очищенной и
40 частей сахара. Порошок зеленовато-бурого цвета с запахом укропа и неприятным
горьковато-соленым вкусом. Применяют как легкое слабительное средство при
хроническом запоре.
Глицирам (Glycyrramum) - аммониевая соль глицирризиновой кислоты, полученная
из корней солодки, оказывает противовоспалительное и антиаллергическое
действие, обусловленное умеренным стимулирующим влиянием на кору надпочечников.
Применяют при бронхиальной астме, экземе, аллергических дерматитах
самостоятельно или в комбинации с кортикостероидами, кроме того, используют для
предупреждения синдрома отмены при прекращении лечения кортикостероидами.
Выпускается в таблетках по 0,05 г в упаковках по 50 штук. Принимают таблетки
внутрь по 0,05-0,1 г 2-4 раза в день за 30 мин до еды. Курс лечения от 2 нед до
6 мес.
Ликвиритон (Liquiritonum) содержит сумму флавоноидов из корней солодки
голой или солодки уральской. Применяют при язвенной болезни желудка и
двенадцатиперстной кишки, хронических гастритах в качестве спазмолитического,
антисекреторного, противовоспалительного и способствующего регенерации
слизистой оболочки средства. Выпускают в таблетках по 0,1 г, назначают внутрь
по 0,1-0,2 г 3-4 раза в день за 30 мин до еды. Курс лечения 20-30 дней.
Препарат хорошо переносится больными.
Флакарбин (Flacarbinum) - комбинированный препарат, в 100 г которого
содержится по 2 г ликуразида и кверцетина, по 10 г пектина и
натрий-карбоксиметилцеллюлозы и 76 г глюкозы. Применяют как
противовоспалительное, спазмолитическое, капилляроукрепляющее и мягкопослабляющее
средство у больных язвенной болезнью желудка и двенадцатиперстной кишки.
Выпускают в гранулах зеленовато-желтого цвета, сладковатого вкуса. Назначают
внутрь по 1/2 чайной ложки гранул 3 раза в день перед едой, запивают теплой
водой.
Из сухого корня солодки в домашних условиях готовят настой: 10 г корня
помещают в эмалированную посуду, заливают 200 мл горячей воды, нагревают в
кипящей водяной бане под плотной крышкой 15-20 мин, настаивают 40 мин,
процеживают, отжимают остаток, доводят кипяченой водой до первоначального
объема (200 мл). Принимают по 1 столовой ложке 4-5 раз в день в течение 10
дней.
.5 Укропа огородного плоды (Fructus Anethi graveolentis )
Укроп огородный - Anethum graveolens L.
Семейство сельдерейные-Apiaceae, Другие названия: укроп пахучий
Ботаническая характеристика. Однолетнее травянистое растение высотой
40-150 см. Главный корень тонкий, разветвленный. Стебель прямостоячий или
слабоизгибающийся, ветвистый, округлый, с чередующимися продольными
светло-зелеными (или почти белыми) и зелеными полосками, часто с тонким
беловатым слоем воскового налета. Листья очередные,
трижды-четыреждыперисторассеченные, длиной 5-30 см, шириной 4-25 см. Нижние
листья с длинными черешками (4-12 см), срединные или верховые листья
короткочерешковые или сидячие. Соцветие - сложный многолучевой зонтик диаметром
7-30 см; оберток и оберточек нет. Цветки мелкие, обоеполые, пятичленные;
лепестки желтые, с узкой завернутой внутрь верхушкой. Плод - вислоплодник,
распадающийся при созревании на два полуплодика (мерикарпия); полуплодики
(семена) эллиптические или широкоэллиптические, длиной 3-7 мм, шириной 1,5-4
мм, серовато-коричневые. Для надземной части растения характерен ароматный
"укропный" запах эфирного масла, сладковато-пряный вкус. Цветет укроп
в июне-августе, плодоносит в августе-сентябре.
Рис. 5 Укроп пахучий - Anethum graveolens L.
Распространение. Укроп в диком виде растет в Малой Азии, Иране, Северной
Африке, Индии. Культивируется во всех европейских странах. У нас широко
распространен в культуре в большинстве районов. Как одичавшее растение
встречается почти по всему Кавказу, местами в европейской части, в Сибири и
Средней Азии.
Местообитание. Укроп огородный встречается нередко около жилья, на
огородах, по окраинам полей и в посевах, по обочинам дорог и на пустырях как
одичавшее и сорное растение. Произрастает на открытых местах обитания: в
степях, на лугах, полях, опушках лесов, от невысоких равнин и морских побережий
до среднего пояса гор. Предпочитает плодородные, хорошо удобренные почвы, но
иногда может быть найден и на относительно бедном субстрате (на песке, вдоль
полотна железной дороги и т. д.).
Как сорняк укроп огородный встречается в виде небольших зарослей и
одиночных растений. Поэтому дикорастущие популяции укропа не являются сырьевой
базой. Как лекарственное растение он культивируется в специализированных
совхозах.
Заготовка. Уборку плодов укропа (в качестве лекарственного сырья)
начинают при пожелтении нижних листьев и побурении плодов центрального зонтика;
при достаточно высоком уровне агротехники их урожайность может достигать 8-18
ц/га.
Химический состав. Плоды укропа огородного богаты эфирным (от 2 до 4%) и
жирными маслами (от 10 до 20%). Основным компонентом эфирного масла является
карвон (40-60%), имеются также диллапиол (19-40%), фелландрен, дигидрокарвон,
карвеол, дигидрокарвеол, изоэвгенол и др. Максимальное количество карвона
отмечено на 7-9-й день после цветения, в зеленых хорошо развитых плодах или в
фазе восковой спелости и побурения семян центрального зонтика. Жирное масло
содержит до 93% глицеридов жирных кислот, среди которых петроселиновая,
пальмитиновая, олеиновая, линолевая. В плодах обнаружены также кумарины,
фенолкарбоновые кислоты, флавоноиды, смолы, воск, белок (14-15%).
Трава укропа содержит 0,56-1,5% эфирного масла с более низким содержанием
карвона (до 16%) по сравнению с эфирным маслом плодов; она богата витаминами С,
B1, B2, РР, Р, провитамином А, солями калия, кальция, фосфора, железа, содержит
фолиевую кислоту, флавоноиды (кверцетин, изорамнетин, кемпферол).
Хранение. По правилам эфирномасличного сырья. Срок годности сырья 3 года.
Фармакологические свойства. Галеновые препараты из плодов укропа
огородного повышают секрецию пищеварительных желез, оказывают спазмолитическое,
отхаркивающее, желчегонное, диуретическое, успокаивающее действие, регулируют
моторную деятельность кишечника, оказывают некоторый антибактериальный эффект;
отмечена способность вызывать усиление лактации у кормящих женщин, а также
отчетливый коронарорасширяющий и периферический сосудорасширяющий эффект.
Лекарственные средства. Из плодов вырабатывается препарат
"Анетин" (в таблетках). Настой, сборы.
Применение. В традиционной медицине древних греков укроп использовали как
успокаивающее, ветрогонное, мочегонное, отхаркивающее, противовоспалительное,
лактогонное и сокогонное средство.
В одном из египетских папирусов говорится, что укроп применяется как
средство от головной боли и для "смягчения" кровеносных сосудов.
Диоскорид рекомендовал укроп для лечения глазных болезней, а Гален - для
облегчения болезненного мочеиспускания.
Древние врачи считали, что укроп полезен при астме, слабости желудка,
печени и селезенки, камнях в почках и мочевом пузыре, болях в груди и спине.
В "Геопониках" отмечается, что вино, настоянное на укропе,
возбуждает аппетит, укрепляет желудок, является мочегонным.
Современная медицина использует укроп в свежем виде (салаты, укропная
вода) и в форме препаратов (настои, сборы). Укропную воду готовят из укропного
масла из расчета 1 часть укропного масла на 1000 частей воды.
Из плодов вырабатывается препарат "Анетин" (Anethinum), он
обладает спазмолитическим действием, может применяться для профилактики астмы и
лечения хронической коронарной недостаточности. Водные настои травы
рекомендуются при гипертонической болезни и как мочегонные.
Настой плодов укропа огородного. 1 столовую ложку плодов заливают
стаканом кипящей воды, настаивают 10-15 минут и процеживают. Принимают внутрь
по 1 столовой ложке 3-6 раз в день за 15 минут до еды.
При атеросклерозе, гипертонической болезни, склерозе сосудов мозга,
сопровождающихся головными болями, пьют горячий свежеприготовленный чай из
плодов укропа. Его принимают на ночь при тревожном сне, повышенной
возбудимости.
Имеются сведения о понижении внутриглазного давления после приема настоя
семян (плодов) укропа. Отмечена их эффективность и при лечении хронического
бронхита, пневмонии и малярии.
Побочных явлений обычно не вызывает. При лечении укропом через 5-6 дней
рекомендуется делать перерыв на 2-3 дня.
Глава 2. Числовые показатели компонентов сбора
|
Компонент сбора
|
Числовые показатели (для
измельченного сырья)
|
|
Аира корневища
|
Содержание эфирного масла
не менее 1,5% , влажность не более 14%; золы общей не более 6%; корневищ,
побуревших в изломе, не более 5%; корневищ, плохо очищенных от корней и
остатков листьев, не более 5%; органической примеси не более 1%, минеральной
- не более 2% кроме того, допускается содержание частиц, не проходящих сквозь
сито с отверстиями диаметром 7 мм, не более 10%, а проходящих сквозь сито с
отверстиями диаметром 0,5 мм, не более 10%. Порошок должен иметь влажность не
более 10%, а содержание в нем крупных частиц, не проходящих сквозь сито с
отверстиями размером 0,310 мм, не должно превышать 5%
|
|
Мяты перечной листья
|
Эфирного масла не менее 1%;
влажность не более 14%; золы общей не более 14%; золы, нерастворимой в
10%-ном растворе кислоты хлористоводородной, не более 6%; частиц, не
проходящих сквозь сито с отверстиями диаметром 2 мм, не более 10%; частиц,
проходящих сквозь сито с отверстиями размером 0,18 мм, не более 10%;
|
|
Ромашки аптечной цветки
|
Содержание эфирного масла
не менее 0,2%; влажность не более 14%; золы общей не более 12%; частиц, не
проходящих сквозь сито с отверстиями диаметром 5 мм, не более 10%; частиц,
проходящих сквозь сито с отверстиями диаметром 0,315 мм, не более 8%;
листьев, стеблевых частей не более 35%; органической примеси не более 4%,
минеральной - не более 1%.
|
|
Солодки корни
|
Содержание экстрактивных
веществ, извлекаемых 0,25%-ным раствором аммиака, не менее 25%,
глицирризиновой кислоты - не менее 6%. Кроме того, сырье должно отвечать
следующим требованиями: влажность не более 14%; Для резаного очищенного
сырья: частиц корней, потемневших с поверхности, не более 15%; частиц, плохо
очищенных от пробки, не более 3%; частиц крупнее 6 мм не более 10%; частиц,
проходящих сквозь сито с размером отверстий 1 мм, не более 2%. Для порошка:
частиц, не проходящих сквозь сито с размером отверстий 0,125 мм, не более 3%.
|
|
Укропа огородного плоды
|
Эфирного масла не менее 2
%; влажность не более 12 %; золы общей не более 10 %; золы, нерастворимой в
10 % растворе кислоты хлористоводородной, не более 1 %; других частей
растения не более 1 %; органической примеси не более 2 %; минеральной примеси
не более 1 %.
|
Глава 3.Анализ сбора
.1 Определение подлинности компонентов сбора
.1.1 Внешние признаки сбора
Сбор представляет собой смесь неоднородных частиц растительного сырья
желтовато-коричневого цвета с беловато-желтыми, желтыми, зелеными,
светло-зелеными, светло-коричневыми вкраплениями. Запах сильный, ароматный.
Вкус водного извлечения горьковато-сладкий. Порошок. Смесь неоднородных частиц
растительного сырья желтовато-коричневого цвета с беловатыми, беловато-желтыми,
темно-зелеными вкраплениями. Запах сильный, ароматный. Вкус водного извлечения
горьковато-сладкий.
Плоды укропа
Отдельные полуплодики (мерикарпии), реже цельные плоды (вислоплодники)
длиной 3-7 мм, шириной 1,5-4 мм. Мерикарпииширокоэллиптические, слабо выпуклые
на наружной стороне, плоские - на внутренней. Каждый мерикарпий имеет 5
ребрышек: на наружной стороне - три нитевидных, по бокам - два плоских
крыловидных. Цвет плодов зеленовато-бурый или бурый, ребер - желто-бурый. Запах
сильный, ароматный. Bкус сладковато-пряный, несколько жгучий.

Рис.6 Плод (мерикарпий) укропа пахучего:1 - внешний вид; 2 - поперечный
срез.
Листья мяты перечной
Рис.7 Сырьё мяты
Качество листового сырья устанавливается по внешним признакам на
основании ГФ XI. Цельные листья короткочерешковые, ланцетовидные или
удлиненно-яйцевидные, заостренные по краю, неравномерно-пильчатые. Длина листа
до 8 см, ширина до 3 см. Жилки второго порядка отходят от главной под острым
углом, анастомозируют между собой дугами параллельно краю листа. Листья голые.
По ГОСТу сырье должно быть обмолоченное, в виде кусочков листьев различной
формы и размером 1-10 мм, с примесью цветков и бутонов. Край листа пильчатый, с
неровными острыми зубцами. Снизу по жилкам встречаются редкие прижатые волоски
и блестящие желтые железки, заметные под лупой. Ароматный запах усиливается при
растирании листьев. Вкус жгучий, пряный, холодящий. Снижает качество сырья
примесь почерневших листьев, стеблей, частей других растений и песка. В сырье
не допускается наличие других видов мяты. Подлинность сырья устанавливается по
внешним признакам и микроскопически. Под микроскопом на листе мяты с
поверхности видны клетки эпидермы с извилистыми стенками, устьица
сопровождаются двумя околоустичными клетками, расположенными перпендикулярно к
устьичной щели. Волоски простые, многоклеточные, с бородавчатой поверхностью,
много мелких головчатых волосков с овальной конечной клеткой на одноклеточной
ножке. Эфирномасличные железки круглые, на короткой одноклеточной ножке,
состоят из 8 выделительных клеток, расположенных радиально.
Корневища аира
Куски корневищ легкие, цилиндрические, слегка сплюснутые и изогнутые,
иногда разветвленные, большей частью продольно разрезанные. На верхней стороне
видны полулунные широкие рубцы от отмерших листьев, на нижней стороне -
многочисленные мелкие круглые следы отрезанных корней; излом неровный,
губчато-пористый. Длина кусков до 30 см, толщина до 2 см. Цвет снаружи
желтовато-бурый или красновато-бурый, иногда зеленовато-бурый, следы (рубцы) от
листьев темно-бурые. На изломе цвет желтоватый или розоватый, иногда
зеленоватый. Запах сильный, ароматный. Вкус пряно-горький.Кусочки корневищ различной
формы, проходящие сквозь сито с отверстиями диаметром 7 мм. Цвет желтоватый или
розоватый, иногда зеленоватый. Запах сильный, ароматный. Вкус
пряно-горький.Порошок - желтоватого или розоватого, иногда зеленовато-серого
цвета, проходящий сквозь сито с отверстиями диаметром 0,31 мм. Запах сильный,
ароматный. Вкус пряно-горький.
Рис.8 Корневище аира болотного:
- вид сверху; 2 - вид снизу; 3 - поперечный срез.
Рис.9 Внешний вид корневищ аира болотного
Цветки ромашки
Цельные и частично осыпавшиеся цветочные корзинки полушаровидной или
конической формы, без цветоносов или с остатками их не длиннее 3 см. Корзинка
состоит из краевых ложноязычковых пестичных и срединных обоеполых трубчатых
цветков. Ложе соцветия голое, мелкоямчатое, полое, в начале цветения
полушаровидное, к концу - коническое. Обертка корзинки черепитчатая,
многорядная, состоящая из многочисленных продолговатых, с тупыми верхушками и
широкими пленчатыми краями листочков. Размер корзинок (без ложноязычковых
цветков) 4-8 мм в поперечнике. Цвет краевых цветков белый, срединных - желтый,
обертки - желтовато-зеленый. Запах сильный, ароматный. Вкус пряный,
горьковатый, слегка слизистый. ГОСТ 2237-93
Рис.10 Строение цветков ромашки
А - трубчатый цветок и клетки эпидермиса трубчатого цветка; Б - язычковый
цветок; В - эпидермис нижней стороны лепестка язычкового цветка; Г - эпидермис
верхней стороны лепестка язычкового цветка; Д - эпидермис наружной стороны
листочка обвертки;
- клетки эпидермиса; 2 - устьица; 3 - железки
Корни солодки
Куски корней и подземных побегов разной длины, толщиной от 0,5 до 5 см и
более, цилиндрической формы. Встречаются куски корней, переходящие в сильно
разросшиеся корневища до 15 см толщиной. Для медицинских целей используют два
вида сырья: неочищенные корни солодки -Radices Glycyrrhizae naturales- и корни,
очищенные от пробки, -Radices Glycyrrhizae mundatae. У неочищенных корней и
побегов поверхность покрыта бурой пробкой, продольно-морщинистая; очищенное
сырье снаружи от светло-желтого до буровато-желтого (наличие флавоноидов) цвета
с незначительными остатками пробки; излом светло-желтый, волокнистый. Под лупой
строение корней и подземных побегов беспучковое, лучистое. На поперечном срезе
видны многочисленные сердцевинные лучи. У побегов в центре небольшая
сердцевина, у корней ее нет. Запах отсутствует, вкус сладкий, приторный, слегка
раздражающий (глицирризин). Корни других, не фармакопейных видов солодки
беловатые на изломе и сладкого вкуса не имеют. Для измельченного сырья.Кусочки
различной формы для неочищенного сырья от 1 до 10 мм, для очищенного - от 3 до
6 мм.
Рис.11 Корень солодки
.1.2 Микроскопия компонентов сбора
Техника приготовления микропрепарата по ОФС
Для листьев мяты перечной для анализа берут кусочки пластинки листа с
краем и жилкой, кусочки листа от основания и верхушки. Далее несколько кусочков
сырья помещают в колбу или пробирку, прибавляют натрия гидроксида раствор 5 %,
разведенный водой (1:1), и кипятят в течение 2 минут .Затем содержимое
переливают в стеклянный стакан, жидкость сливают через 2-4 слоя марли, которой
закрывают стакан, и сырье тщательно промывают водой, каждый раз сливая воду
через ту же марлю. Содержимое стакана переносят в небольшом количестве воды в
чашку Петри. Частички сырья, оставшиеся на марле, смывают в ту же чашку Петри.
Из воды кусочки вынимают скальпелем или лопаточкой и помещают на предметное
стекло в каплю раствора хлоралгидрата или глицерина.
Для цветков ромашки берут цельные чашечку и венчик, Технологию ведём как
и для листьев мяты с той лишь разницей , что лепестки кипятят в натрия
гидроксида растворе 5 % не более 1 мин.
Для корней аира и солодки, мелкие кусочки кипятят в
течение 3-5 мин в натрия гидроксида растворе 5 %, промывают водой и готовят
микропрепараты, раздавливая объект скальпелем в растворе глицерина или
хлоралгидрата.
Для плодов укропа, делаем блок из парафина размером
0,5×0,5×1,5
см. Кончиком нагретой
препаровальной иглы расплавляют парафин и в образовавшуюся ямку быстро
погружают объект. Поверхность объекта должна быть сухой. Срезы объекта делают
вместе с парафином; срезы выбирают из парафина препаровальной иглой, смоченной
жидкостью, и готовят микропрепараты в растворе глицерина или хлоралгидрата.[1]
Микроскопия компонентов
Плоды укропа
На поперечном срезе мерикарпия видны тангенциально вытянутые клетки
эпидермиса (экзокарпий) с толстыми стенками. Мезокарпий состоит из паренхимных
клеток с тонкими или слегка утолщенными стенками, особенно в разросшихся
боковых ребрышках. В ребрышках расположены проводящие пучки с группами
механических волокон. В ложбинках находятся эфирномасличные канальцы: 4 - на
выпуклой стороне, 2 - на плоской. Канальцы различных размеров, септированные (с
поперечными перегородками), с бурыми выделительными клетками. Эндокарпий плотно
сросшийся с семенной кожурой. Эндосперм состоит из многоугольных клеток,
заполненных алейроновыми зернами, каплями жирного масла, мелкими друзами
кальция оксалата.
Листья мяты перечной
При рассмотрении листа с поверхности с верхней и нижней стороны видны
клетки эпидермиса с сильно извилистыми стенками, устьица с двумя
околоустьичными клетками, расположенными перпендикулярно продольной оси устьица
(диацитный тип). По жилкам и по краю листа видны простые 2-4-клеточные волоски
с бородавчатой кутикулой. По всей поверхности имеются мелкие головчатые
волоски, состоящие из короткой одноклеточной ножки и одноклеточной обратнояйцевидной
головки. В небольших углублениях обеих сторон листа видны эфирномасличные
железки; они имеют короткую ножку и округлую головку, состоящую из 8, редко 6,
радиально расположенных выделительных клеток (не всегда ясно заметных).
Рис.12 Микроскопия листа мяты перечной:
А - эпидермис верхней стороны; Б - эпидермис нижней стороны:
- железки; 2 - устьице; 3 - головчатые волоски; 4 - складчатость
кутикулы; 5 - простой волосок.
Корневища аира
При рассмотрении поперечного среза корневища видна покровная ткань -
эпидермис. Слой эндодермы отделяет центральный цилиндр от сравнительно широкой
коры. Проводящие пучки закрытого типа расположены беспорядочно. В коре пучки
коллатеральные, с механической обкладкой из слабоутолщенных волокон. В
центральном цилиндре пучки центрофлоэмные, без волокон. Основная ткань
представлена аэренхимой с крупными воздухоносными полостями. Клетки ее округлые
или овальные, заполнены мелкими простыми, реже двух- и трехсложными
крахмальными зернами. Среди клеток основной ткани выделяются крупные округлые
клетки с опробковевшими стенками, содержащие эфирное масло желтовато-бурого
цвета. В обкладках пучков встречаются призматические кристаллы кальция
оксалата. При микроскопировании порошка видны крахмальные зерна и обрывки
аэренхимы, клетки которой заполнены крахмальными зернами. Изредка встречаются
крупные клетки с эфирным маслом, обрывки волокон, спиральных и лестничных
сосудов.
Рис.13 Микроскопия корневища аира:
поперечный срез проводящего пучка, расположенного в центральном цилиндре
(А) и в первичной коре (Б): 1 - сосуды ксилемы; 2 - флоэма; 3 - мелкоклеточная
паренхима; 4 - эндодерма; 5 - клетка с эфирным маслом; 6 - волокна с
кристаллоносной обкладкой; 7 - аэренхима.
Цветки ромашки
При рассмотрении частей корзинки видны вытянутые, с извилистыми стенками
клетки эпидермиса трубчатых цветков; эпидермис верхней (внутренней) стороны
ложноязычковых цветков имеет сосочковидные выросты; эпидермис листочков обертки
состоит из сильно вытянутых клеток с утолщенными стенками, пронизанными
многочисленными порами. На поверхности ложноязычковых и особенно трубчатых
цветков, а также на листочках обертки имеются эфирномасличные железки,
состоящие из 6-8 выделительных клеток, расположенных в 2 ряда и в 3-4 яруса.
Вдоль центральной жилки листочков обертки проходят секреторные ходы с
маслянистым желтоватым содержимым. В мезофилле трубчатых цветков содержатся
мелкие друзы кальция оксалата.
Рис.14 Микроскопия цветка ромашки аптечной:
Корни солодки
При микроскопическом исследовании поперечного среза диагностическое
значение имеют широкие сердцевинные лучи, расширяющиеся во вторичной коре, и
присутствие во вторичной коре деформированного луба, а также группы лубяных
волокон с сильно утолщенными стенками, окруженные кристаллоносной обкладкой.
Сосуды древесины разного диаметра, окружены группами склеренхимных волокон с
кристаллоносной обкладкой. На продольно-радиальном срезе в коре и древесине
видны длинные, сильно утолщенные склеренхимные волокна с кристаллоносной
обкладкой; в древесине узкие сосуды - сетчатые, средние - со щелевидными
порами, широкие - с бочонковидными короткими члениками и ромбическими
окаймленными порами, расположенными косыми рядами. Впорошкеприсутствуют обрывки
тонкостенной паренхимы, клетки которой содержат большое количество крахмальных
зерен, группы склеренхимных волокон коры и древесины, обычно с остатками
кристаллоносной обкладки, а также обрывки сосудов. При смачивании 80 %
раствором кислоты серной порошок окрашивается в оранжево-желтый цвет
(глицирризин).


Рис.15 Элементы порошка корней солодки:
А - сосуды; Б - запасающая паренхима; В - лубяные волокна с
кристаллоносной обкладкой; Г - крахмальные зерна.
.2 Определение влажности сбора
Метод
определения влажности основан на определении потери в массе за счет
гигроскопической влаги и летучих веществ ,при высушивании сырья до абсолютно
сухого состояния. Влага как мы знаем важный фактор, существенно влияющий на
качество сырья. Для определения влаги в нашем сборе отбор проб - ведём по ГОСТ
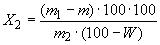
24027.0-80 <#"906048.files/image021.gif">,
где
m- масса сырья до высушивания, г;
масса
сырья после высушивания, г.
В
нашем случае:
X=x100%=13.9%
X=x100%=13.4%
допустимое
расхождение между двумя результатами у нас не превышает 0,5%, что соответствует
норме.
За
окончательный результат испытания принимаем среднее арифметическое результатов
двух параллельных определений.
.3
Определение экстрактивных веществ
Аналитическую
пробу сырья измельчают и просеивают сквозь сито с отверстиями диаметром 1 мм,
после чего отбирают навеску массой 1 г.
Нам
потребуются следующие материалы: весы лабораторные, чашки фарфоровые диаметром
7-9 см по ГОСТ 9147-80 <#"906048.files/image022.gif">,
где
m- масса сухого остатка в чашке, г;
масса
сырья, г;
W- потеря в
массе при высушивании сырья, г.
За
окончательный результат испытания принимаем среднее арифметическое результатов двух
параллельных определений.
В
нашем случае:
==0.90%
==0.95%
Среднее
содержание ==0.925%
.4
Определение золы общей
Как
мы знаем метод определения содержания, золы основан на определении несгораемого
остатка неорганических веществ, остающегося после сжигания и прокаливания
сырья. Золу делят на: золу общую, представляющую собой сумму минеральных
веществ, свойственных растению, и посторонних минеральных примесей (земля,
песок, камешки, пыль); золу, нерастворимую в 10%-ной соляной кислоте,
представляющую собой остаток после обработки общей золы соляной кислотой и
состоящую главным образом из кремнезема. Далее отбираем пробу
Применяем следующую аппаратуру и реактивы, по мимо тех что мы
применяли для определения влажности сбора , берём сито по ТУ 23.2.2068-89,эксикатор
по ГОСТ 25336-82 <#"906048.files/image023.gif">,
где
- масса золы, г;
масса
сырья, г;
W- потеря в
массе при высушивании сырья, %.
В
нашем случае :
==12.4%
==12.5%
допускаемые
расхождения между результатами у нас в норме ,которыми не должны превышать 0,1%
Содержание
общей золы у нас =12.45%
Для
определения содержания золы, нерастворимой в 10%-ном растворе соляной кислоты,
в тигель с общей золой приливаем 15 см 10%-ного раствора соляной кислоты
(плотность 1,050 г/см); тигель покрываем часовым стеклом и нагреваем на кипящей
водяной бане в течение 10 мин. Затем тигель снимаем, и после остывания
содержимое фильтруем через беззольный фильтр. Тигель, часовое стекло, и фильтр
промываем дистиллированной водой до прекращения появления мути в промывных
водах от капли 2%-ного раствора нитрата серебра. Фильтр помещаем в тигель,
высушиваем, осторожно сжигаем в тигле ,после чего тигель прокаливаем до
постоянной массы остатка. Проводим два параллельных определения.
Содержание
золы, не растворимой в 10%-ном растворе соляной кислоты в процентах в абсолютно
сухом сырье вычисляют по формуле:
,
где
- масса золы, г;
m- масса золы
фильтра (если золы последнего более 0,002 г);
масса
сырья, г;
W- потеря в
массе при высушивании сырья, %.
В
нашем случае :
==0.90%
==0.92%
допускаемые
расхождения между результатами у нас в норме ,которыми не должны превышать 0,1%
Содержание
у нас =0.91%
.5
Определение примесей
Кроме ромашки аптечной, к заготовке допущена трава ромашки безъязычковой
(душистой) - Matricaria matricarioides Porter (M. Suaveolens Buch.) Это тоже
однолетнее сильноветвистое растение, более низкорослое, высотой от 5 до 30 см,
с более толстым стеблем, сильным своеобразным запахом. Отличается от других
ромашек отсутствием белых ложноязычковых цветков. Цветки трубчатые
четырехзубчатые, соцветия зеленовато-желтые. При запоздалом сборе цветочные
корзинки во время сушки распадаются. Так же ,при сборе корзинок следует
отличать соцветия растений, похожих по внешнему виду на ромашку аптечную, но не
являющихся лекарственными. К ним относятся ромашка непахучая и виды пупавки.
Ромашка непахучая Matricaria perforata Merat имеют полушаровидное
мелкобугорчатое сплошное (без полости) цветоложе соцветия. Пупавка собачья
Anthe miscotula L., пупавка полевая A. Arvensis L. и пупавка русская A.
Ruthenica Bieb. имеют неполое цветоложе от конусовидной до цилиндрической
формы, на котором заметны пленчатые шиловидные прицветники.
Рис.16 Цветки (корзинки) ромашки аптечной и ромашки пахучей и их примеси:
А - элементы сырья ромашки аптечной: 1 - корзинка (внешний вид), 2 -
корзинка (продольный разрез), 3 - краевой ложноязычковый цветок, 4 - трубчатый
цветок; Б - элементы сырья ромашки пахучей: 1 - корзинка (внешний вид), 2 -
корзинка (продольный разрез), 3 - трубчатый цветок; В - корзинка ромашки
непахучей (продольный разрез); Г - элементы соцветия пупавки: 1 - корзинка
(продольный разрез), 2 - фрагмент корзинки (удалены трубчатые и ложноязычковые
цветки, на ложе соцветия заметны щетинистые прицветники); Д - корзинка
поповника (продольный разрез).
Так же при заготовке сырья солодки попадается солодка щетинистая, которая
внешне сходна с солодкой голой и отличается следующими признаками: цветки
скучены в головку, бобы усажены колючими шипиками, корни в изломе белые и
несладкие. Физиологически активных веществ не содержит. Заготовка недопустима.
При сборе сырья аира возможна примесь корневищ совместно произрастающего
ириса (касатика) болотного, или желтого -Iris pseudacorus L. Он отличается от
аира крупными желтыми цветками и плодами - коробочками эллиптической формы. В
нецветущем состоянии ирис болотный отличается от аира по сизоватым листьям и
отсутствию у корневищ характерного душистого запаха и горького вкуса.
Глава 4. Фармакологическое действие и способы применения сбора
Состав сбора.
Ромашки цветки 20%
Мяты перечной листья 20%
Укропа пахучего плоды 20%
Аира корневища 20%
Солодки корни 20%
Фармдействие.
Комбинированный препарат растительного происхождения, представляющий
собой сбор из 5 видов растительного лекарственного сырья. Настой сбора обладает
спазмолитическим, противовоспалительным и желчегонным эффектами.
Показания.
Заболевания ЖКТ и печени различной этиологии (в качестве желчегонного и
спазмолитического средства - только в составе комплексной терапии).
Противопоказания.
Гиперчувствительность, калькулезный холецистит, язвенная болезнь желудка
и 12-перстной кишки в период обострения, обострение хронического гастрита.
Дозирование.
Сбор растительный (сырье измельченное): 5 г (1 ст.ложка сбора помещают в
эмалированную посуду, заливают 200 мл (1 стакан) горячей кипяченой воды,
накрывают крышкой и нагревают на кипящей водяной бане 15 мин, охлаждают при
комнатной температуре 45 мин, процеживают, оставшееся сырье отжимают. Объем
полученного настоя доводят кипяченой водой до 200 мл. Принимают внутрь, за 30
мин до еды по 1/3 стакана 3 раза в день.
Сбор-порошок (фильтр-пакеты): 1 фильтр-пакет (2 г) помещают в стеклянную
или эмалированную посуду, заливают 200 мл (1 стакан) кипятка, накрывают крышкой
и настаивают 15 мин, фильтр-пакет отжимают. Объем полученного настоя доводят
кипяченой водой до 200 мл. Принимают внутрь, за 30 мин до еды по 1/2 стакана 3
раза в день.
Побочное действие.
Аллергические реакции.
Особые указания.
Приготовленный раствор хранят в прохладном месте не более 2 суток.
Заключение
Таким образом, в нашей работе мы рассмотрели желудочно-кишечный сбор, он
состоит из следующих трав: ромашки цветки ,мяты перечной листья ,укропа
пахучего плоды ,аира корневища ,солодки корни . Сбор представляет собой смесь
неоднородных частиц растительного сырья желтовато-коричневого цвета с
беловато-желтыми, желтыми, зелеными, светло-зелеными, светло-коричневыми
вкраплениями. Запах сильный, ароматный. Вкус водного извлечения
горьковато-сладкий. Порошок. Смесь неоднородных частиц растительного сырья
желтовато-коричневого цвета с беловатыми, беловато-желтыми, темно-зелеными
вкраплениями. Запах сильный, ароматный. Вкус водного извлечения
горьковато-сладкий.При исследовании сбора на влажность, нами получен результат
13.65%, при исследовании на количество экстрактивных веществ, нами получен
результат 0.925%. При определении золы общей наш результат 12.45% а в то же
время содержания золы, нерастворимой в 10%-ном растворе соляной кислоты 0.91%
.Так же нами было исследовано на наличие примесей посторонних растения и
примесей которые недопустимы в сборе. Всё эти исследования позволяют нам
заключить , что наш сбор соответствует всем критериям качества. И его можно
применять, как отвар который обладает противомикробным, стимулирующим
регенерацию, желчегонным, спазмолитическим, противовоспалительным действием.
Эти эффекты обусловливают содержащиеся в цветках ромашки эфирное масло, слизь,
флавоноиды; в листьях мяты - эфирное масло, флавоноиды; в плодах укропа -
эфирное масло; в корневищах аира - горечь, эфирное масло, дубильные вещества; в
корнях солодки - тритерпены (глицирризиновая кислота и др.), флавоноиды. Для
лечения и профилактики гастритов с повышенной кислотностью, язвенной болезнью
желудка и двенадцатиперстной кишки, хронических колитов, спазм гладкой
мускулатуры желудочно-кишечного тракта.
Список литературы
1.Андреева
В.Ю., Калинкина Г.И., Сальникова Е.Н. Методы фармакогностического анализа
лекарственного растительного сырья. Ч.I. Правила приемки и общие методы испытаний: Учебное пособие.-Томск,
2008.- с. 24-33.
.Биологически
активные вещества растительного происхождения: в 3 т. / РАН. Б. Н. Головкин, Р.
Н. Руденская и др.; отв. ред. В. Ф. Семихов . - М. : Наука, 2001 -Т. 1 : А - К.
- 350 с
.Государственный
реестр лекарственных средств: официальное издание (по состоянию на 1 апреля
2005 г.) / ред. кол.: Арзамасцев А. П., Багирова В. Л. и др. - М. : Медицина,
2005
.Государственная
фармакопея РФ, XII издание, М., «Научный центр экспертизы средств медицинского
применения», 2008 .
.Корсун В.Ф..
Атлас эффективных лекарственных растений. / Корсун В.Ф., Корсун Е.В. и др. - М.
;Эксмо, 2010. - 384 с.
. Куркин,
В.А. Фармакогнозия / В.А.Куркин. - Самара: Офорт, 2004. - 1180 с.
.Лекарственное
растительное сырье Фармакогнозия: учеб. пособие//под ред. Г.П. Яковлева и
К.Ф.Блиновой.-СПб.: СпецЛит.-2004.-765 с.
.Лекарственное
сырье растительного и животного происхождения. Фармакогнозия: учебное пособие/
под ред. Г.П.Яковлева.- СПб.: СпецЛит.-2006.- 845 с.
.
Лекарственные растения государственной фармакопеи. Ч.1./ под ред. Самылиной
И.А. и В.А. Северцева. -М.: Медицина.-1999.
.Мазнев Н.И.
Энциклопедия лекарственных растений 3е изд., испр. и доп. - М.: Мартин 2004.-496с.
.Муравьева Д.
А., Самылина И.А., Яковлев Г.П. Фармакогнозия: Учебник для фармацевтических
вузов. 4 изд. - М.: Медицина, 2002.
. ОФС
42-0013-03 Правила приемки лекарственного растительного сырья и методы отбора
проб. (журнал «Фармация».-2003.-№3 .- С. 3-8).
. Правила
сбора и сушки лекарственных растений (сборник Инструкций). - М.: Медицина,
1985.
.Самылина, И.
А. Атлас лекарственных растений и сырья: учеб.пособ. по фармакогнозии / И. А.
Самылина, А. А. Сорокина. - М. : Авторская Академия, 2008. - 318 с.
.Тихонов
В.Н., Калинкина Г.И., Сальникова Е.Н. / Лекарственные растения, сырье и
фитопрепараты/ Учебное пособие Часть 1 Томск, 2004 - 116с
.Тихонов
В.Н., Калинкина Г.И., Сальникова Е.Н. / Лекарственные растения, сырье и
фитопрепараты/ Учебное пособие Часть 2 Томск, 2004 - 148с
.Универсальная
энциклопедия лекарственных растений / И. Путырский, В. Прохоров.- Мн.: Книжный
дом; М.: Махаон, 2008.-656с., ил.
.Фитотерапия.
Справочник по применению лекарственных растений в традиционной и нетрадиционной
медицине / В. В. Мелик-Гусейнов, С. А. Реккандт Волгоград: Изд-во ВолгГМУ, 2014