Термодинамический анализ процесса выращивания монокристаллов из газообразных компонентов
Содержание
курсовой работы
Задание на курсовую работу
1. Основной процесс
1.1 Расчёт константы равновесия
1.1.1 При комнатной температуре
1.1.2 При температуре плавления CdTe
1.2 Выбор рабочей точки
1.3 Условия протекания процесса в прямом направлении
1.4 Условия равновесия в системе при температуре основного
процесса
2. Процесс сублимации компонентов Cd и Te
2.1 Сублимация компонента Cd
2.1.1 При комнатной температуре
2.1.2 При температуре фазового перехода
2.1.3 При температуре основного процесса
2.2 Сублимация компонента Te
2.2.1 При комнатной температуре
2.2.2 При температуре фазового перехода
2.2.3 При температуре основного процесса
2.3 Pi-T диаграммы
2.4 Стехиометрический состав пара
3. Парциальные давления паров компонентов Cd и Te
3.1 Расчёт парциальных давлений паров компонентов Cd и Te
3.2 Оценка температуры дополнительных источников паров
компонентов Cd и Te
3.3 Принципиальная схема реактора и распределение температуры
4. Процесс окисления компонента Cd
4.1 При комнатной температуре
4.2 При температуре основного процесса
4.3. Оценка возможности окисления компонентов
Выводы по работе
Задание на
курсовую работу
Целью курсовой работы является практическое освоение современных методов
термодинамического анализа процесса выращивания монокристаллов соединения CdTe -p- типа электропроводности из газообразных компонентов:
Таблица 1.
Термодинамические свойства исходных компонентов и продуктов реакции
|
Вещество, фаза
|
,  , ,  , Дж , КИсточник
|
|
|
|
|
|
|
|
|
a, b,
|
|
|
|
|
|
Cd, газ
|
111770
|
167,584
|
20,780
|
-
|
-
|
-
|
11а
|
|
Te2, газ
|
168156
|
267,962
|
36,726
|
-
|
-
|
-
|
6
|
|
CdTe, кр.
|
-100392
|
94,954
|
50,154
|
-
|
44340
|
1314
|
7
|
|
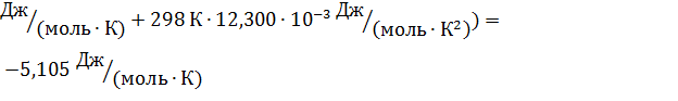
Cd, тв.
|
0
|
51,760
|
22,220
|
12,300∙10-3
|
6191
|
594
|
11а
|
|
Te, тв.
|
0
|
49,500
|
22,090∙10-3
|
17485
|
723
|
11а, 1. 9
|
|
O2, газ
|
0
|
205,040
|
31,460
|
3,390∙10-3
|
-
|
-
|
-
|
|
CdO, тв.
|
-256100
|
54,810
|
48,240
|
6,380∙10-3
|
-
|
-
|
-
|
1. Основной
процесс
.1 Расчёт константы равновесия
1.1.1 При комнатной температуре
Определим изменение энтропии реакции
Определим изменение энтропии реакции
Определим изменение теплоёмкости
Определим константу равновесия для Т = 298 К
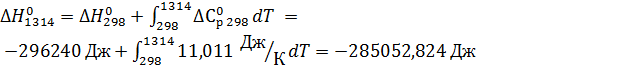
1.1.2 При температуре плавления CdTe
Таблица 2.
Логарифм константы равновесия для основного процесса
|
Т, К
|
298
|
1000
|
1314
|
|
|
94,763
|
11,640
|
3,208
|
Представим данные на графике
Рис.1. Зависимость логарифма константы равновесия от
обратной температуры для основного процесса
.2 Выбор рабочей точки
Возможный диапазон температур синтеза соединения CdTe находится из соотношения
= (0,7…0,9)∙
=1314 К
= 919,8
1182,6 К. Возьмём
= 1000 К
1.3 Условия протекания процесса в прямом направлении
Для того, чтобы протекание основного процесса в прямом направлении было
возможно, должно выполняться следующее условие:
<
равновесие выращивание кристалл реактор
1.4 Условия равновесия в системе при температуре
основного процесса
Для того, чтобы система находилась в равновесии при температуре синтеза
соединения CdTe:
= 11
2. Процесс
сублимации компонентов Cd и Te
.1 Сублимация
компонента Cd
.1.1 При комнатной температуре
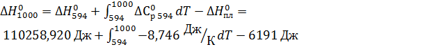
.1.2 При температуре фазового перехода ТCd = 594 К
.1.3 При температуре основного процесса ТCdTe = 1000 К
Таблица 3.
Логарифм константы равновесия для сублимации Cd
|
Т, К
|
298
|
594
|
1000
|
|
|
31,196
|
8,823
|
0,384
|
Представим данные на графике
Рис.2.
Зависимость логарифма константы равновесия от обратной температуры для
сублимации Cd
Температура
кипения Cd:
Справочные
данные: Ткип Cd = 1039,8 K
Данные,
полученные на основе термодинамического анализа: Ткип Cd = 1032,100 К
2.2
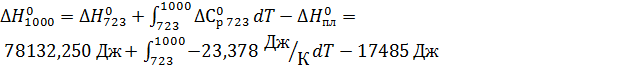
Сублимация компонента Te
.2.1 При комнатной температуре
.2.2 При температуре фазового перехода ТTe = 723 К
.2.3 При температуре основного процесса ТCdTe = 1000 К
Таблица 4.
Логарифм константы равновесия для сублимации Te
|
Т, К
|
298
|
723
|
1000
|
|
|
24,787
|
5,332
|
2,669
|
Представим данные на графике
Рис.3. Зависимость логарифма константы равновесия от обратной температуры
для сублимации Te
Температура кипения Te:
Справочные данные: Ткип Te = 1260,8 K
.3 Pi-T диаграммы
:
линия: CdTeтв - Cdтв (ж) - газ (Cdпар + Te2 пар + CdTепар)
< lg PCd газ = lg kp2 >
линия:
CdTeтв - Teтв (ж) - газ (Cdпар + Te2 пар + CdTепар)
< lg PCd газ = - lg kp1 - lg kp3 >
Таблица 5.
Линии трёхфазного равновесия для Cd
|
Т, К
|
lg kp1
|
lg kp2
|
lg kp3
|
lg PCd газ
|
|
|
|
|
1 линия
|
2 линия
|
|
298
|
41,155
|
13,548
|
10,765
|
13,548
|
30,390
|
|
Тф.п.
|
Cd, 594
|
15,529
|
3,832
|
|
3,832
|
|
|
Te, 723
|
10,926
|
|
2,316
|
|
8,610
|
|
1000
|
5,055
|
0,167
|
1,159
|
0,167
|
3,896
|
Представим данные на графике
Рис.4. Зависимость логарифма парциального давления паров Cd от обратной температуры
:
линия: CdTeтв - Teтв (ж) - газ (Cdпар + Te2 пар + CdTепар)
< lg PTe2 газ = 2lg kp3 >
линия:
CdTeтв - Cdтв (ж) - газ (Cdпар + Te2 пар + CdTепар)
< lg PTe2 газ = - 2lg kp1 - 2lg kp2 >
Таблица 6.
Линии трёхфазного равновесия для Te
|
Т, К
|
lg kp1
|
lg kp2
|
lg kp3
|
lg PCd газ
|
|
|
|
|
1 линия
|
2 линия
|
|
298
|
41,155
|
13,548
|
10,765
|
21,530
|
55,214
|
|
Тф.п.
|
Cd, 594
|
15,529
|
|
|
23,394
|
|
Te, 723
|
10,926
|
|
2,316
|
4,632
|
|
|
1000
|
5,055
|
0,167
|
1,159
|
2,318
|
9,776
|
Представим данные на графике
Рис.5. Зависимость логарифма парциального давления паров Te2 от обратной температуры
Таблица 7.
Границы областей гомогенности для Cd и Te
|
T, К
|
Cd
|
Te
|
|
lg PCd ГОГ Cd
|
lg PCd ГОГ Te
|
lg PTe2 ГОГ Cd
|
lg PTe2 ГОГ Te
|
|
298
|
13,548
|
-30,390
|
55,214
|
21,530
|
|
Тф.п.
|
Cd, 594
|
3,832
|
|
23,394
|
|
|
Te, 723
|
|
8,610
|
|
4,632
|
|
1000
|
0,167
|
3,896
|
9,776
|
2,318
|
.4 Стехиометрический состав пара
: < lg PCd стех =
lg kp1 +
lg 2 >2: < lg PTe2
стех =
lg kp1
lg 2 >
Таблица 8.
Линии стехиометрии для Cd и Te
|
T, К
|
Cd
|
Te
|
|
lg kp1
|
lg PCd стех
|
lg kp1
|
lg PTe2 стех
|
|
298
|
41,155
|
-27,336
|
41,155
|
27,637
|
|
Тф.п.
|
Cd, 594
|
15,529
|
10,252
|
|

|
|
|
10,926
|
7,485
|
|
1000
|
5,055
|
3,270
|
5,055
|
3,571
|
-p- тип э/п
3.
Парциальные давления паров компонентов Cd и Te
3.1
Расчёт парциальных давлений паров компонентов Cd и Te
.2 Оценка температуры дополнительных источников паров компонентов Cd и Te
TCd = 627,383 K, TTe = 906,846 K
.3 Принципиальная схема реактора и распределение температуры
Распределение температуры:
Рис.6. Зависимость температуры реактора от координаты
Схема реактора:
4. Процесс
окисления компонента Cd
.1 При
комнатной температуре
.2 При
температуре основного процесса ТCdTe = 1000 К
Таблица 3.
Логарифм константы равновесия для окисления Cd
Представим данные на графике
Рис.7. Зависимость логарифма константы равновесия от обратной температуры
для окисления Cd
.3 Оценка
возможности окисления компонентов
При атмосферном давлении:
При уровне вакуума в реакторе 10-10 атм:
Окисление компонента Cd
происходит при
, следовательно, избежать окисления невозможно и следует
искать другие способы добиться этого.
Выводы по
работе
Проделав курсовую работу, мы получили практическое освоение современных
методов термодинамического анализа процесса выращивания монокристаллов соединения
CdTe -p- типа электропроводности из газообразных компонентов.
В пункте 1 настоящей курсовой работы мы анализировали основной процесс,
определили температуру рабочего процесса (она равна 1000 К), при этом значение
константы равновесия процесса равно 11. Эти данные будут также использованы в
пунктах 2 и 3 для построения графиков зависимостей логарифмов реальных
отношений давлений компонентов Cd и Te, а также для линий трёхфазного
равновесия.
В пункте 2 были проанализированы процессы сублимации компонентов Cd и Te2, определены температуры кипения компонентов, равные 1032,100
К для кадмия и 1623,348 К для теллура.
Из справочных данных известно, что кадмий имеет температуру кипения
1039,8 К, то есть относительная погрешность
, что означает, что вычисленная с
помощью термодинамического анализа температура почти точно совпадает со
справочными данными.
Из тех же справочных данных известно, что теллур имеет температуру
кипения 1260,8 К, то есть относительная погрешность
, что означает, что найденная с
помощью термодинамического анализа температура весьма далека от совпадения со
справочными данными.
Также здесь были построены линии трёхфазного равновесия, на которых
наглядно видно области -p- и -n- типов электропроводности. Эти же
данные были использованы в пункте 3 для определения соотношений парциальных
давлений компонентов Cd и Te.
В пункте 3 были рассчитаны парциальные давления компонентов и составлен
график зависимости распределения температуры в реакторе и его принципиальная
схема. Также были рассчитаны температуры компонентов, которые будут
использованы в пункте 4 для определения условий окисления компонента Cd.
Процесс получения соединения CdTe -p- типа электропроводности путём выращивания
эпитаксиальных слоёв из газообразных компонентов возможен (с точки зрения
термодинамики) при следущих условиях: TCd = 627,383 K, TTe = 906,846 K, TCdTe =
1000 K.
Для получения -p-
типа электропроводности должны присутствовать вакансии в подрешётке кадмия и
атомы теллура в междоузлии.
В пункте 4 мы анализировали процесс окисления компонента Cd. При указанных в задании степенях
откачки реактора окисления избежать невозможно, однако это можно сделать, если
повысить температуру реактора со стороны кадмия и откачать воздух до
максимального уровня вакуума.