Микрокристаллоскопические реакции и их применение в фармацевтическом анализе
Министерство здравоохранения
Российской Федерации
Государственное бюджетное
образовательное учреждение
высшего профессионального образования
"Алтайский государственный
медицинский университет"
Кафедра фармации
"
Курсовая работа
Микрокристаллоскопические реакции и
их применение в фармацевтическом анализе
Выполнила:
студентка 451 гр.
Сиряченко Мария Евгеньевна
Руководитель:
доцент кафедры фармации,
кандидат фармацевтических наук
Антипова Екатерина Алексеевна
Барнаул 2017
Содержание
Введение
Обзор литературы
1. Теоретическое обоснование микрокристаллоскопического анализа
1.1 Влияние условий кристаллизации на продукты реакций
1.2 Микрокристаллоскопический анализ на основе кристаллооптики
1.3 Чувствительность реакций и ее зависимость от ряда факторов
1.4 Техника микрокристаллоскопического анализа
2. Описание некоторых методик микрокристаллоскопического анализа
2.1 Амидопирин
2.2 Ареколина гидробромид
2.3 Гексоний Б (Бензогексоний)
2.4 Диколин
2.5 Кофеин-бензоат натрия
2.6 Платифиллина гидротартрат
2.7 Стрихнина нитрат
2.8 Фенобарбитал
2.9 Хинина гидрохлорид
Заключение
Список литературы
Введение
Микрокристаллоскопическими реакциями называют реакции,
протекающие между исследуемым веществом и реактивом с образованием характерных
кристаллов, по внешнему виду которых (форма, цвет, размер) открывают искомое
вещество.
Аналитическая ценность микрокристаллоскопических реакций
состоит в простоте и быстроте их выполнения, наглядности микроскопической
картины и высокой чувствительности, позволяющей идентифицировать
микроколичества исследуемого вещества. Однако специфичность
микрокристаллоскопических реакций нередко зависит от условий их проведения. На
форму кристаллов - продуктов реакций оказывают иногда влияние условия
кристаллизации: концентрация исследуемого раствора, наличие посторонних
компонентов (примесей) в растворе, техника проведения реакций и др. К
недостаткам микрокристаллоскопических реакций относится также то
обстоятельство, что нередко с одним и тем же реактивом сходные по форме
кристаллы образуют совершенно различные по химическому строению вещества.
В ходе написания курсовой работы была поставлена цель:
расширить и углубить знания о микрокристаллоскопии, изучить основные факторы,
влияющие на протекание микрокристаллоскопических реакций, изучить способы
устранения нежелательных исходов реакций, изучить применение
микрокристаллоскопических реакций в фармацевтическом анализе.
Из цели вытекли следующие задачи: провести аналитический
обзор научной литературы: учебных пособий, электронных ресурсов, статей,
соответствующих теме курсовой; выделить наиболее важную и значимую информацию;
обобщить весь собранный материал.
микрокристаллоскопический анализ реакция
кристаллооптика
Обзор
литературы
При написании данной работы была использована различная
научная и учебно-методическая литература.
Основными источниками, раскрывающими теоретические основы
микрокристаллоскопического анализа, явились работы И.М. Коренмана
"Микрокристаллоскопия", И.П. Алимарина - "Качественный
полумикроанализ" и др. "Микрокристаллоскопия" делится на общую и
специальную части, в общей части рассматриваются вопросы чувствительности и
специфичности реакций, специальной - рассматриваются микрокристаллические
реакции на анионы и катионы, методы качественного анализа некоторых практически
важных объектов, имеются характеристики известных реакций на катионы и анионы.
В руководстве "Качественный полумикроанализ" подробно излагаются
методика и техника выполнения качественного химического полумикроанализа,
включая капельные и микрокристаллоскопические реакции.
Применение микрокристаллоскопии в фармацевтическом анализе
подробно рассмотрено в работах В.Т. Поздняковой "Микрокристаллоскопический
анализ фармацевтических препаратов и ядов",
"Микрокристаллоскопические реакции на алкалоиды". В книге "Микрокристаллоскопический
анализ фармацевтических препаратов и ядов" предлагается метод анализа
органических фармацевтических препаратов и ядов, основанный на комбинации двух
методов: микрокристаллоскопического и кристаллооптического. Идентификация веществ,
согласно данному методу, проводится как по внешнему облику кристаллов (форма,
цвет), так и по их кристаллооптическим константам: показатели преломления,
двупреломление, осность, угол погасания, знак удлинения. В данном издании
предлагается анализ 63 органических веществ, всего 189 реакций. Предлагаются
микрокристаллоскопические реакции для экспресс-анализа лекарственных веществ. В
пособии "Микрокристаллоскопические реакции на алкалоиды" описаны
реакции на 24 алкалоида.
Многие работы по микрокристаллоскопические принадлежат Л.
Розенталлеру, Ф. Амелинку, А. Мартини, М. Вагенаару, И.М. Коренману, М.Д.
Швайковой и др. Заслуженным успехом у химиков пользуются книги: И.М. Коренмана
"Микрокристаллоскопия", К.Л. Малярова "Качественный
микрохимический анализ", Ф. Эмиха "Микрохимический анализ"; Г.
Беренса и П. Клея "Микрохимический анализ".
1.
Теоретическое обоснование микрокристаллоскопического анализа
Микрокристаллоскопия в широком смысле слова означает все те
исследования кристаллов, которые производятся под микроскопом с целью
идентификации веществ. К этим исследованиям относятся наблюдения
кристаллических веществ, полученных в результате реакций взаимодействия
вещества с реактивом или в результате возгонки вещества, а также при получении
кристаллических налетов, образовавшихся при подсыхании капли раствора,
содержащего искомое вещество. Наиболее распространенным методом
микрокристаллоскопии являются микрокристаллоскопические реакции, т.е. реакции
взаимодействия исследуемых веществ с реактивами.
Специфичность микрокристаллоскопических реакций нередко
зависит от условий их проведения. На форму кристаллов - продуктов реакций
оказывают иногда влияние условия кристаллизации: концентрация исследуемого
раствора, наличие посторонних компонентов (примесей) в растворе, техника
проведения реакций и др.
1.1 Влияние
условий кристаллизации на продукты реакций
Влияние концентрации исследуемого раствора на
форму кристаллов. При большинстве микрокристаллоскопических реакций с
концентрированными растворами вещества в покое (без перемешивания реагирующей
смеси) образуются агрегированные кристаллы: сростки из игл, призм, пластинок и
т.п.
Уменьшение концентрации раствора может привести к изменению
формы одиночных кристаллов в сторону удлинения или округления отдельных граней
кристалла.
Если на ряд предметных стекол наносить капли растворов с
уменьшающимися количествами искомого вещества, а затем добавлять по капле
реактива, то наблюдается как бы "постепенный распад" кристаллического
сростка на его составные части: иглы, пластинки, призмы, ромбы и т.п. При малых
концентрациях исследуемого вещества в растворе сростки часто отсутствуют, и в
поле зрения видны только одиночные кристаллы.
Если сравнить кристаллы хлораурата скополамина, образованные
при взаимодействии капли HAuCl6 с каплей 0,125% раствора скополамина
гидробромида, с кристаллами, образованными при реакции названного реактива с
0,015% раствором алкалоида, то можно увидеть резкую разницу в их форме.
Влияние примесей на форму кристаллов разнообразно. Одни
реакции в присутствии значительного количества примеси протекают с образованием
характерных кристаллов, другие, наоборот, и при малых концентрациях
постороннего компонента образуют кристаллы, форма которых изменена до
неузнаваемости.
Пример 1. При взаимодействии бруцина основания с 1% раствором
бихромата аммония в кислой среде выделяются кристаллические сростки из игл и
призм, а также одиночны призмы. Проведение реакции в присутствии белковых
веществ в соотношении 1: 3 приводит сначала к получению характерных кристаллов,
в которых через 3-5 минут наблюдается округление углов между гранями,
вследствие чего микроскопическая картина осадка становится нехарактерной.
Показатели преломления при этом не изменяются.
Пример 2. При реакции взаимодействия морфина гидрохлорида с
насыщенным раствором пикролоновой кислоты образуются желтые прозрачные
сферолиты. Проведение этой же реакции в присутствии белковых веществ в
соотношении 1: 13 приводит сначала к образованию характерных кристаллов,
которые через 10-15 минут становятся темными и непрозрачными, а при дальнейшем
стоянии осадка 25-30 минут и более на поверхности сферолитов наблюдается
отделение игл.
Из приведенных примеров видно, что идентификация веществ
только по внешнему виду кристаллов не всегда надежна. Указанный недостаток
можно легко устранить, если идентификацию проводить не только по
морфологическим особенностям, но и по их оптическим константам.
1.2
Микрокристаллоскопический анализ на основе кристаллооптики
Специфичность метода. Микрокристаллоскопический
анализ на основе кристаллооптики представляет собой сочетание двух методов:
микрокристаллоскопического и кристаллооптического. Осуществляется он путем
проведения микрокристаллоскопических реакций с последующим кристаллооптическим
исследованием продуктов этих реакций по определенной схеме.
На предметном стекле проводят микрокристаллоскопическую
реакцию на то или иное вещество. Образовавшиеся кристаллы рассматривают под
микроскопом, устанавливают их форму, окраску, размеры и плеохроизм кристаллов.
Затем маточный раствор удаляют с помощью с помощью полосок фильтровальной
бумаги, осадок промывают каплей дистиллированной воды и просушивают
фильтровальной бумагой. Предметное стекло помещают на столик микроскопа или
столик Федорова, прикрепленный к столику поляризационного микроскопа, и производят
определение микрокристаллоскопических констант, таких как показатели
преломления, двупреломление, угол погасания, знак удлинения, а при возможности,
и другие константы.
Таким образом, идентификация веществ проводится по форме,
окраске, размерам кристаллов - микрокристаллоскопический метод, и по
определению оптических констант - показатели преломления, двупреломления, знак
удлинения, угол погасания, плеохроизм, угол оптических осей -
кристаллооптический метод.
Увеличение признаков идентификации приводит к повышению
специфичности микрокристаллоскопической реакции.
1.3
Чувствительность реакций и ее зависимость от ряда факторов
Чувствительность реакций обычно выражают открываемым
минимумом и предельной концентрацией или предельным разбавлением.
Открываемым минимумом по Ф. Файглю называется наименьшее
количество вещества, которое может быть обнаружено данным реактивом.
Открываемый минимум выражается в микрограммах - миллионная доля грамма - и
обозначается мкг.
Для установления открываемого минимума проводится серия
реакций с растворами, содержащими все уменьшающиеся количества испытуемого
вещества. При количестве вещества, соответствующем открываемому минимуму, в
поле зрения видны 2-3 кристалла.
Под предельной концентрацией или предельным разбавлением
понимают наименьшую концентрацию вещества в растворе, определенный объем
которого дает еще положительный результат реакции.
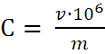
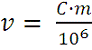
По И.М. Коренману, открываемый минимум и предельная
концентрация взаимно связаны между собой следующими формулами:
;
;
;
где С - предельная концентрация, т - открываемый минимум, 
- объем
исследуемого раствора в мл. Пользуясь этими формулами, можно легко рассчитать
открываемый минимум и предельную концентрацию.
При проведении микрокристалоскопических реакций и определения их
чувствительности большое значение имеет продолжительность времени наблюдения за
реакцией. Продолжительность времени наблюдения за реакцией зависит от скорости
образования видимых под микроскопом кристаллов - продуктов реакций. Чем
чувствительнее реакция, тем быстрее скорость образования кристаллов в
разбавленных растворах. На скорость образования продуктов реакции оказывает
влияние ряд факторов: концентрация исследуемого раствора, объем исследуемой
капли, наличие примесей в растворе, техника проведения реакции и т.п.
Скорость образования кристаллов - продуктов реакции - уменьшается
с уменьшением концентрации исследуемого раствора и увеличением концентрации
примеси в нем. Подавляющее большинство исследуемых нами реакций ведет себя
аналогичным образом. Однако имеются и такие реакции, при проведении которых
примесь ускоряет процесс кристаллизации (реакция пилокарпина
хлористоводородного с 0,5% раствором пикриновой кислоты в присутствии небольших
количеств примеси этилморфина или реакция атропина с платинохлористоводородной
кислотой в присутствии примеси кокаина).
Скорость ряда микрокристаллоскопических реакций находится в
зависимости и от техники их выполнения. Потирание предметного стекла стеклянной
палочкой на месте соединения капель растворов исследуемого вещества и реактива
приводит к быстрому выделению кристаллов - продуктов реакции.
Граничная концентрация. При определении чувствительности реакции по мере уменьшения
концентрации исследуемого раствора нетрудно определить и граничную
концентрацию. Граничной концентрацией мы называем ту наименьшую концентрацию
исследуемого вещества в растворе, при которой еще образуются кристаллические
сростки. Ниже граничной концентрации выделяются только одиночные кристаллы.
1.4 Техника
микрокристаллоскопического анализа
Микрокристаллоскопические реакции производятся на предметных
стеклах, причем на одном стекле можно выполнить несколько реакций. Обычный
размер предметных стекол - 20*60 мм. Покровные стекла при
микрокристаллоскопическом анализе применяются редко.
На тщательно вымытое и затем обезжиренное предметное стекло
помещают при помощи капилляра каплю исследуемого раствора и рядом с ней каплю
реактива, а затем при помощи заостренной стеклянной палочки соединяют обе
капли, стараясь не производить перемешивания растворов. Рекомендуемый диаметр
капли - 1-2 миллиметра. Через несколько минут наблюдают под микроскопом
образование кристаллов в месте соприкосновения двух капель.
В некоторых случаях, для повышения концентрации реактива, к
капле исследуемого раствора прибавляют не раствор, а небольшое количество
твердого реактива.
Если осадок обладает значительной растворимостью, то
нанесенную на предметное стекло каплю исследуемого раствора вначале упаривают
над маленьким пламенем микрогорелки; сухой остаток смачивают каплей реактива и
через несколько минут рассматривают образующиеся кристаллы под микроскопом.
Если полученная соль склонна давать пересыщенные растворы, то
выделение кристаллов ускоряют легким трением стеклянной палочкой.
Малорастворимые соединения часто выпадают в осадок в виде
очень мелких кристаллов. В таких случаях для получения достаточно крупных
кристаллов, осадок перекристаллизовывают. С этой целью осадок растворяют при
нагревании в 2-3 каплях растворителя; при охлаждении раствора из него
выделяются более крупные кристаллы, причем они образуются в первую очередь по
краям капли.
При осаждении кристаллов из сравнительно концентрированных
растворов кристаллообразование протекает настолько быстро, что происходит
выделение обильного осадка, состоящего из весьма мелких кристаллов
нехарактерной формы или в виде дендритов. В таких случаях можно достигнуть
лучших результатов, пользуясь перекристаллизацией или предварительно разбавив
водой исследуемый раствор.
Для получения надежных результатов следует строго
придерживаться указанного способа выполнения реакции; кроме того, рекомендуется
производить контрольную реакцию с раствором соли определяемого элемента и, в
случае сходства форм кристаллов в исследуемой и контрольной капле, можно
считать, что искомый элемент обнаружен.
2. Описание
некоторых методик микрокристаллоскопического анализа
2.1
Амидопирин
Реакция амидопирина с раствором йода в
концентрированной соляной кислоте. При взаимодействии капель раствора амидопирина с
двумя каплями раствора йода в концентрированной соляной кислоте выделяются
призматические кристаллы (рис.1). Средний размер 0,02*0,01 мм. Кристаллы
оптически анизотропны, угол погасания прямой, интенсивный плеохроизм: желтый,
черно-красный, серовато-оранжевый.
Реакция амидопирина с раствором хлорида окисной
ртути. Добавление
к капле раствора амидопирина капли 5% раствора хлорида окисной ртути приводит к
выделению характерных крестообразных дендритов и шестиугольных пластинок.
Рис. 1. Призматические кристаллы
амидопирина с раствором йода в концентрированной соляной
кислоте.
1. Анестезин.
Реакция анестезина с раствором йодида кадмия. При добавлении к капле
спиртового раствора анестезина капли 15% раствора йодида кадмия через 5 минут
выпадают в осадок крупные игольчатые кристаллы (рис.2).
Реакция анестезина с раствором хлорида окисной
ртути. При
взаимодействии капель спиртового раствора анестезина и 1% раствора хлорида
окисной ртути через 3-5 минут выпадают в осадок иглообразные кристаллы (рис.
3). Кристаллы двуосны, с низкой интерференционной окраской. Реакция специфична;
кокаин, новокаин, дикаин, новокаинамид кристаллических осадков с названным
реактивом не образуют.
Рис. 2. Продукт реакции анестезина с раствором йодида кадмия.
Рис. 3. Продукт реакции анестезина с хлоридом окиси ртути.
2.2 Ареколина
гидробромид
Реакция ареколина с раствором пикролоновой
кислоты. Каплю
раствора ареколина гидробромида соединяют на предметном стекле с каплей насыщенного
раствора пикролоновой кислоты - вскоре выделяются в осадок бледно - желтые
игольчатые кристаллы пикролоната ареколина (рис.4). Оптически анизотропные,
двуосные.
Реакция ареколина с раствором стифниновой кислоты. Кристаллы
стифната ареколина выделяются при потирании стеклянной палочкой предметного
стекла на месте соединения капель исследуемого раствора алкалоида с насыщенным
раствором стифниновой кислоты. Под микроскопом видны кристаллические отростки
серовато-зеленого цвета (рис.5).
Рис. 4. Игольчатые кристаллы пикролоната ареколина.
Рис. 5. Кристаллы стифната ареколина.
2.3 Гексоний
Б (Бензогексоний)
Реакция гексония с роданидным комплексом железа. При взаимодействии капель
раствора гексония Б и роданидного комплекса железа вскоре образуются красные
иглы длиной 0,05 мм (рис. 6).
Реакция гексония с раствором стифниновой кислоты.
Игольчатые
кристаллы выделяются при реакции гексония с насыщенным раствором стифниновой
кислоты (рис. 7).
Рис. 6. Продукт реакции с роданидом железа.
Рис. 7. Игольчатые кристаллы стифната гексония.
2.4 Диколин
Реакция диколина с раствором пикриновой кислоты.
При добавлении к капле раствора диколина на предметном стекле
капли 0,5% раствора пикриновой кислоты выпадает аморфный желтый осадок,
преходящий через 2-5 минут в кристаллический. Кристаллы - иглы и пучки из игл
(рис. 8).
Реакция диколина с раствором роданидного
комплекса марганца.
При слиянии капель растворов диколина и реактива через 10-12
мин. образуются кристаллы в форме тетраэдров и октаэдров розового цвета (рис.
9).
Рис. 8. Пикрат диколина.
Рис. 9. Продукт реакции с роданидным комплексом марганца.
2. Кордиамин.
При взаимодействии на предметном стекле капель 25% раствора
кордиамина и раствора роданидного комплекса кобальта через 1-2 минуты
выделяется кристаллический осадок и пучков призматической и овальной формы
кристаллов. При разбавлении раствора кордиамина образуются сростки из крупных,
хорошо ограненных кристаллов (рис.10, а). В очень разбавленных
растворах выделяются одиночные призмы (рис.10, б).
Рис. 10 (сверху - а). продукт реакции кордиамина с роданидным
комплексом кобальта.
2.5
Кофеин-бензоат натрия
Реакция кофеина с хлоридом окисной ртути. Если к капле исследуемого
раствора прибавить каплю 5% раствора хлорида окисной ртути, то начинают
образовываться крупные, бесцветные иглообразные кристаллы (рис.11).
Реакция кофеина с раствором
золотобромистоводородной кислоты. Смешивают на предметном стекле капли исследуемого
раствора и реактива, состоящего из 5% раствора хлорида золота,
концентрированной соляной кислоты и ацетона (1: 1: 1). При микроскопическом
исследовании видны крупные желтовато-коричневые и бесцветные иглы (рис. 12).
Рис. 11. (верх) Продукт реакции кофеина с хлоридом окисной
ртути.
Рис. 12. Бромаурат кофеина.
2.6
Платифиллина гидротартрат
Реакция платифиллина с раствором
бромистоводородной кислоты. К капле раствора платифиллина гидротартрата
прибавляют сначала каплю реактива, состоящего из 5% раствора HAuCl4, концентрированной
соляной кислоты и ацетона, затем 2-3 крупинки бромида калия, образуются
кристаллические сростки в форме снопов и пучков из игл светло-коричневого света
(рис.13).
Реакция платифиллина с раствором золотохлористоводородной
кислоты. При
взаимодействии раствора платифиллина с 5% раствором HAuCl4, образуются кристаллы в
форме игл и продольных сростков из игл (рис. 14).
Рис. 13 (верх). Бромаурат платифиллина.
Рис. 14. Хлораурат платифиллина.
2.7 Стрихнина
нитрат
Реакция с раствором пикриновой кислоты. Для проведения реакции
каплю раствора стрихнина нитрата соединяют на предметном стекле с каплей 0,5%
раствора пикриновой кислоты - выпадают в осадок кристаллы - иглы с закрученными
концами, собранные в пучки (рис. 15).
Рис. 15. Пикрат стрихнина.
Реакция стрихнина с раствором нитраниловой
кислоты. Если
в каплю раствора стрихнина нитрата внести 1-2 % раствора нитраниловой кислоты,
то вскоре выпадают в осадок бесцветные иглы и удлиненные призмы.
Рис.16. Нитранилат стрихнина.
Реакция стрихнина с раствором соли Рейнеке. При соединении на
предметном стекле капли нитрата стрихнина с каплей свежеприготоволенного 1%
раствора соли Рейнеке сначала образуется аморфный сиреневый осадок, который
вскоре переходит в кристаллический. Кристаллы - пучки из игл.
Реакция с раствором платинохлористоводородной
кислоты. Если
к капле раствора нитрата стрихнина прибавить каплю 10% раствора
платинохлористоводородной кислоты, то выпадают бесцветные призмы хлорплатината,
в которых две грани расположены Х-образно.
Рис.17. Рейнекат стрихнина.
Рис.18. Хлорплатинат стрихнина.
2.8
Фенобарбитал
Реакция фенобарбитала с серной кислотой. Крупинку фенобарбитал
растворяют в одной капле концентрированной серной кислоты и добавляют каплю
дистиллированной воды - через несколько минут выделяется осадок из прозрачных
призматических кристаллов.

2.9 Хинина
гидрохлорид
Реакция хинина с раствором нитраниловой кислоты.
% раствор нитраниловой кислоты осаждает из растворов хинина
гидрохлорида аморфный осадок нитранилата хинина, который при стоянии переходит
в кристаллический - иглы, удлиненные призмы (рис. 20).
Реакция хинина с раствором роданида аммония. При взаимодействии хинина
гидрохлорида с 10% раствором роданида аммония на предметном стекле вскоре
образуются пучки из игольчатых кристаллов (рис. 21).
Рис. 20. Нитранилат хинина.
Рис. 21. Продукт реакции с роданидом аммония
Заключение
Микрокристаллоскопические реакции имеют большое значение в
фармацевтическом анализе. Их использование удобно на практике, поскольку
требуются маленькие количества исследуемых веществ, из спецоборудования -
только микроскоп, отличаются быстротой и наглядностью и портативностью.
При этом важно помнить, что к недостоверному исходу
микрокристаллоскопической реакции приводит очень большое количество факторов,
которые необходимо учитывать специалисту. В данной работе были рассмотрены лишь
самые общие и значимые факторы и приемы для некоторых микрокристаллоскопических
реакций.
Также важно иметь в виду, что не все ионы и органические
молекулы возможно открыть при помощи микрокристаллоскопических реакций, поэтому
необходимо сочетать микрокристаллоскопические реакции с другими методами
химического анализа. Сделать это будет не сложно, поскольку чаще всего
микрокристаллоскопические реакции используют в дробном анализе.
Список литературы
1. Алимарин
И.П., Архангельская В.Н. Качественный полумикроанализ. Практическое руководство
к лабораторным работам М. - Л.: ГНТИХЛ 1949. - 189с.
2. Коренман,
И.М. Микрокристаллоскопия / И.М. Коренман. - М.: Госхимиздат, 1955.320 с.
. Позднякова
В.Т. Микрокристаллический анализ фармацевтических препаратов и ядов, М.:
Медицина, 1968. - 118 с.
. Позднякова
В. Т.; Микрокристаллоскопические реакции на алкалоиды - К.: ДМВ, 1960. - 162 с.
. Шемякин,
Ф. М.; Карпов, А. Н.; Брусенцов, А.Н. Аналитическая химия. Издательство: Высшая
школа, 1973 г. - 558 с.