Сравнение влияния на эффективность реакции радиофторирования двух межфазных катализаторов-криптандов

  • Вид работы:
    Курсовая работа (т)
  • Предмет:
    Химия
  • Язык:
    Русский
    ,
    Формат файла:
    MS Word
    1,06 Мб
  • Опубликовано:
    2017-11-30
Вы можете узнать стоимость помощи в написании студенческой работы.
Помощь в написании работы, которую точно примут!

Сравнение влияния на эффективность реакции радиофторирования двух межфазных катализаторов-криптандов

Оглавление

Введение

. Литературный обзор

.1 Основные принципы ПЭТ

1.2 Ядерно-физические характеристики основных ПЭТ радионуклидов

1.3 Методы получения радионуклида 18F

1.4 Нуклеофильное ароматическое радиофторирование

1.4.1 Кинетика и механизм реакции

1.4.2 Межфазные катализаторы (МФК)

1.4.3 Реакционноспособный фторирующий комплекс [К+/МФК]18F-

1.5 Синтез [18F]фторбензальдегидов

2. Экспериментальная часть

.1 Получение радионуклида фтор-18 в мишени циклотрона

2.2 Получение комплексов [K+/K 2.2.2]18F- и [K+/K 2.2.2BB]18F-

2.3 Получение 3-[18F]-4M-BA

2.3.1 Проведение реакции в ДМСО

2.3.2 Проведение реакции в ДМФА

2.4 Анализ реакционной смеси

3. Результаты и обсуждение

.1 Проведение реакции в ДМСО

3.2 Проведение реакции в ДМФА

3.2.1 Влияние времени реакции на эффективность радиофторирования

3.2.2 Влияние количества субстрата на эффективность радиофторирования

3.2.3 Влияние количества криптата калия на эффективность радиофторирования

Выводы

Благодарности

Список цитированной литературы

Введение

Позитронная эмиссионная томография (ПЭТ) - наиболее чувствительный метод медицинской визуализации, позволяющий количественно измерить параметры многих физиологических и биохимических процессов в живом организме (перфузия, метаболизм, рецепторные и нейротрансмитерные взаимодействия), обеспечивая тем самым точную диагностику онкологических, кардиологических, неврологических и психиатрических заболеваний на ранних этапах [1-3]. Уникальные возможности ПЭТ основаны на использовании в качестве метки в радиофармпрепарате короткоживущих радионуклидов с позитронным типом распада: 15О, 13N, 11C, 18F. Изотоп фтора, 18F (T1/2 =110 мин), благодаря своим ядерно-физическим свойствам, обладает рядом преимуществ по сравнению с другими ПЭТ радионуклидами и является основным радионуклидом, входящим в состав меченых биомолекул - радиотрейсеров. Получение изотопа в форме [18F]фторид-иона по ядерной реакции 18O(p,n)18F при облучении протонами водной мишени в современных циклотронах делает нуклеофильное радиофторирование основным методом включения метки 18F в состав биомолекул.

Наиболее эффективный способ введения метки 18F в макромолекулы с биологической активностью (белки и пептиды) осуществляется посредством присоединения малых меченых молекул (простетических групп), многие из которых получают реакцией ароматического нуклеофильного радиофторирования [4-7]. Поэтому большое значение имеет изучение закономерностей реакции замещения [18F]фторидом нуклеофугной группы в кольце ароматического соединения.

Ключевой стадией в реакциях нуклеофильного радиофторирования является образование реакционноспособного комплекса [18F]фторид-иона с межфазным катализатором (МФК). С помощью МФК акватированный [18F]фторид-ион переводят из облученной воды H218O (95-97% обогащения) в среду полярного апротонного растворителя, в котором [18F]фторид является сильным нуклеофилом и замещает «уходящую» группу в субстрате. Таким образом, выбор МФК - это важный момент при разработке метода синтеза того или иного ПЭТ радиофармпрепарата.

Целью данной работы являлось сравнение влияния на эффективность реакции радиофторирования двух межфазных катализаторов - криптандов: K 2.2.2 (4,7,13,16,21,24-гексаокса-1,10-диазабицикло [8.8.8]гексакозана или криптофикса 2.2.2) и K 2.2.2BB (5,6,14,15-дибензо-4,7,13,16,21,24-гексаокса-1,10-диазабицикло [8.8.8]гексакозана), отличающегося от первого наличием двух бензольных колец в структуре. В качестве модельного соединения была выбрана молекула 4-метокси-3-нитробезальдегида, в которой нуклеофугная («уходящая») нитрогруппа находится в заведомо мало активированном положении по отношению к атаке нуклеофила. Исследовали влияние на выход реакции следующих параметров: температуры и времени реакции, растворителя, количества реагентов (мольное соотношение субстрат:межфазный катализатор).

Работа выполнена в лаборатории радиохимии Федерального государственного бюджетного учреждения науки Института мозга человека им. Н.П. Бехтеревой Российской академии наук (ИМЧ РАН).

1 Литературный обзор

 

.1 Основные принципы ПЭТ


Получение изображений и количественная обработка данных методом ПЭТ возможны благодаря уникальным характеристикам позитронных эмиттеров [8]. Данные радионуклиды, обладая избыточным количеством протонов, являются неустойчивыми и претерпевают радиоактивный распад путем испускания позитронов. Позитроны замедляются, сталкиваясь с электронами среды, и в конце пробега аннигилируют. При этом образуются два гамма-кванта с энергией 511 КэВ, которые разлетаются в противоположных направлениях (рис.1). Регистрируя эти два гамма-кванта с помощью детекторов, включенных в схему совпадений, можно определить с высокой точностью положение линии, на которой произошел процесс аннигиляции.

Рис.1 Процесс аннигиляции электрон-позитронной пары

Обычно детекторы кольцеобразно располагаются вокруг исследуемого объекта. Каждый из детекторов может находиться в режиме регистрации совпадений с множеством расположенных напротив детекторов. Предельное пространственное разрешение, которое может быть получено методом ПЭТ, ограничено пробегом позитронов в исследуемом объекте.

Одним из этапов ПЭТ исследования является реконструкция изображения. Компьютер реконструирует изображение на основе измерений числа событий аннигиляции гамма-квантов из исследуемого объекта, произведенных под различными углами. Каждое измерение представляет собой суммарное детектированное количество зарегистрированных импульсов в объеме между парой детекторов, включенных в схему совпадений. Процедура основана на использовании тех же алгоритмов, что и в рентгеновской компьютерной томографии [8].

Данные о распределении радионуклида в ткани или органе, преобразованные с помощью соответствующих фармакокинетических моделей, предоставляют ученым и клиницистам ценную информацию о механизмах биохимических и физиологических процессах.

 

.2 Ядерно-физические характеристики основных ПЭТ радионуклидов

радиофторирование позитронный томография радионуклид

В ПЭТ используются короткоживущие радионуклиды в составе биомолекул - радиотрейсеров, в табл.1 даны характеристики некоторых из них.

Табл.1 Ядерно-физические характеристики основных ПЭТ радионуклидов

Радионуклид

T1/2, мин

Тип распада

Макс. энергия, МэВ

Наиболее вероятная энергия, МэВ

Макс. пробег в ткани, мм

Макс. мольная активность, Ки/моль

11C

20,4

β+

0,96

0,326

4,1

9,22*109

13N

9,96

β+

1,19

0,432

5,4

1,89*1010

15N

2,04

β+

1,74

0,64

8,2

18F

109,7

β+ (97%) E-захват (3%)

0,635

0,202

2,39

1,71*109


В последние годы в ПЭТ диагностике онкологических заболеваний широко применяют генераторные радиоизотопы металлов: 68Ga (T1/2=67,71 мин), 62Cu (T1/2=9,7 мин), 82Rb (T1/2=1,3 мин), производство которых не требует использования дорогостоящих циклотронов.

Ввиду малого периода полураспада циклотронных ПЭТ радионуклидов, радиохимик должен решить сложную задачу - разработать метод синтеза с минимальным числом стадий и экспресс процедурой очистки радиофармпрепарата (синтез с момента получения радионуклида до перевода радиотрейсера в инъекционную форму не должен превышать три периода полураспада изотопа). Сокращение времени позволяет увеличить как радиохимический выход продукта, так и его удельную активность - важный параметр при проведении рецепторных ПЭТ исследований. Если синтез многостадийный, желательно введение фтора-18 в молекулу на последней стадии [9].

Преимущество использования короткоживущих радионуклидов состоит в том, что малый период полураспада позволяет снизить радиационные нагрузки на оператора, медицинский персонал и пациента, при необходимости провести повторное сканирование.

Позитрон излучающие изотопы, характеристики которых представлены в табл.1, являются элементами-органогенами (за исключением фтора-18), которые входят в состав биологически значимых молекул, следовательно, получая информацию о их распределении, можно изучать такие процессы, как метаболизм, перфузия, лиганд-рецепторные взаимодействия и др.

Относительно короткий пробег позитронов в биологических тканях обуславливает высокую предельную разрешающую способность метода ПЭТ. Радиоизотоп фтор-18, благодаря своим ядерно-физическим характеристикам (см.табл.1), имеет ряд преимуществ по сравнению с другими ПЭТ радионуклидами и является основным изотопом, входящим в состав меченых биомолекул - радиотрейсеров. Среди наиболее важных его достоинств можно выделить относительно большой период полураспада (T1/2 =110 мин), позволяющий проводить сложные многостадийные синтезы, а также дающий возможность длительного изучения биохимических процессов с радиофармпрепаратами на его основе. В отличие от других ПЭТ радионуклидов, 18F не является изотопом элемента-органогена, но стоит отметить, что, благодаря соразмерности вандерваальсовских радиусов 18F и OH, H, атом фтор-18 можно вводить в соединение вместо гидроксильной группы или атома водорода без больших нарушений в геометрии, однако биохимическое поведение такой молекулы изменяется, вследствие бо́льшей электроотрицательности фтора по сравнению с кислородом и, особенно, водородом [10]. Так, фторированный аналог глюкозы - 2-[18F]фтор-2-дезокси-D-глюкоза ([18F]ФДГ), повторяет начальный этап превращения глюкозы (фосфорилирование), накапливается в клетках, но не подвергается дальнейшему метаболизму (на этом основано его применение в ПЭТ) [9].

Фтор-18 испускает позитроны относительно небольшой энергии (Емакс.- 0,635 МэВ), которые имеют наименьший пробег в ткани (2,39 мм), см. табл.1. Поэтому при использовании фтора-18 достигается наилучшее пространственное разрешение ПЭТ изображения.

 

.3 Методы получения радионуклида 18F


Для получения 18F обычно используется циклический ускоритель (медицинский циклотрон). Две наиболее известные ядерные реакции получения фтора-18: 18O(p,n)18F и 20Ne(d,α)18F [9].

В результате ядерной реакции 20Ne(d,α)18F желаемый радионуклид стабилизируется в форме [18F]F2. Данный способ получения радионуклида относится к так называемым методам с добавлением носителя (carrier-added method), так как небольшое количество молекулярного нерадиоактивного фтора-19 (0,1%, 30-100 мкмоль) должно присутствовать в мишени. Основным недостатком этого метода, помимо изотопного разбавления, является малое сечение ядерной реакции 20Ne(d,α)18F (115 мбарн) и, соответственно, низкая производительность газовой мишени, а значит, невозможность синтеза радиофармпрепаратов с мультидозовой активностью. [18F]F2 производится в циклотроне для участия в электрофильных процессах [10], например, для получения фторированного аналога L-ДОФА - 6-[18F]-фтор-L-ДОФА, который используется для изучения дофаминергической системы. Кроме того, работа с радиоактивным молекулярным фтором создает добавочные трудности в синтезе.

В настоящее время в подавляющем большинстве ПЭТ центров для наработки фтора-18 применяется ядерная реакция 18O(p,n)18F с более высоким сечением (700 мбарн), стандартные параметры облучения представлены в табл.2. В качестве мишени используется вода, обогащенная по изотопу кислород-18, а 18F стабилизируется в форме фторид-иона, сольватированного молекулами воды.

Табл.2 Стандартные параметры получения фтора-18 по реакции 18O(p,n)18F

Химическая форма облучаемого материала

Энергия бомбардирующих частиц, МэВ

Химическая форма стабилизации фтора-18

Удельная активность (ГБк /мкмоль) [11]

Выход радионуклида (ГБк/μА) [11]

H218O (95-97% обогащения)

10-20

18F-(aq)

>100

2,22


Получение фтора-18 в форме фторид-иона (без носителя) с большой активностью в современных циклотронах открывает возможность использования реакций нуклеофильного замещения как основного способа введения метки 18F в биомолекулы. Нуклеофильное радиофторирование позволяет синтезировать радиофармпрепараты в мультидозовых количествах и с высокой удельной активностью (>100 ГБк /мкмоль), что недоступно в случае применения [18F]F2 как источника 18F.

 

1.4 Нуклеофильное ароматическое радиофторирование


Реакционная способность акватированного фторид-иона невысока из-за значительной энергии гидратации вследствие образования водородных связей с молекулами воды [12,13] (см.табл.3).

Табл.3 Энергии гидратации галоген-анионов

Галоген-анион

Энергия гидратации, кДж/моль

F-

485

Cl-

351

Br-

317

I-

280


Поскольку облучение воды, обогащенной кислородом-18, происходит в металлических мишенях, противоион [18F]фторида, как правило, соответствует материалам, из которых они изготовлены. Если фторид-ион и противоион образуют достаточно устойчивые соединения, это может затруднить протекание реакций нуклеофильного замещения [8]. Например, в работе [14] замена материала корпуса мишени с титанового на серебряный позволила значительно увеличить выход продуктов радиофторирования. Это можно объяснить относительно малой энергией связи Ag-F (354,4 кДж/моль) по сравнению с Ti-F (569 кДж/моль).

 

.4.1 Кинетика и механизм реакции

Проведение реакций ароматического нуклеофильного радиофторирования (SNAr) по сравнению с алифатическим требует некоторых дополнительных условий. Одно из них - наличие подходящей нуклеофугной группы в ароматическом кольце. Среди множества «уходящих» групп широко используются такие, как триметиламмониевые и нитрогруппы, сульфониевые соли и др. [15,16].

По литературным данным известно, что протекание реакций данного типа значительно облегчается в присутствии электроноакцепторных заместителей в орто- и пара- положениях к уходящей группе [17]. Из общего механизма ароматического нуклеофильного замещения (см. рис.2) следует, что такие заместители (-CHO, -CN, -NO2, -CF3 и др.) за счет -M эффекта участвуют в делокализации отрицательного заряда в промежуточном комплексе Мейзенгеймера, тем самым стабилизируя его и активируя ароматическое кольцо к атаке нуклеофила.

Рис.2 Механизм нуклеофильного ароматического замещения (SNAr), где X-уходящая группа, Y-нуклеофил

По способности активации нуклеофугной группы можно составить следующий ряд электроноакцепторных заместителей: p-NO2 > p-CF3 ≈ p-CN > p-CHO > p-Ac > m-NO2 [18].

Также при планировании синтеза необходимо обращать внимание на наличие "кислых" протонов в ароматическом кольце (то есть групп -OH, -COOH, NH2), способных образовать с фтором-18 водородные связи, что значительно снижает его реакционную способность [18]. В этом случае необходимо использовать защитные группы, которые будут удалены после проведения радиофторирования.

Обычно реакции нуклеофильного ароматического радиофторирования проводятся в среде апротонных полярных растворителей (ДМСО, ДМФА, ацетонитрил) [19]. При радиофторировании алифатических соединений иногда используют среду полярных протонных растворителей, например, трет-бутанола и трет-амилового спирта, небольшого количества воды [20, 21], что позволяет достичь большей по сравнению с апротонными средами эффективности радиофторирования. Это объясняют образованием водородных связей объемных молекул спирта и воды с уходящей группой, что повышает ее нуклеофугность. Однако при переходе к реакциям SNAr, использование протонных растворителей приводит к значительному уменьшению выхода реакции радиофторирования [22].

По сравнению с радиофторированием алифатических соединений, реакции нуклефильного ароматического радиофторирования требуют более высоких температур (обычно >100°C), поэтому для их проведения выбираются растворители с высокими температурами кипения: ДМСО (Tкип=189°C) и ДМФА (Tкип=153°C).

Радиоактивные изотопы, используемые для получения радиофармпрепаратов в ПЭТ, находятся в чрезвычайно малых количествах (нано- или пикомолярные концентрации) по отношению к субстратам (содержание на уровне миллимолей), вступающих с ними в реакции [23]. Это позволяет быстрее и эффективнее проводить соответствующие реакции по сравнению с традиционной органической химией, однако в этом случае даже малое количество примеси может привести к значительному снижению эффективности реакции.

Ввиду очень малых концентраций радионуклидов и соответственно меченых соединений, реакции с их участием являются реакциями псевдопервого порядка (см.рис.3).

Радиохимический выход продукта является функцией химического выхода и радиоактивного распада, поэтому максимальный радиохимический выход может быть достигнут до полного завершения реакции.

 

Рис. 3 Радиохимический выход (%) как функция времени (псевдопервый порядок реакции) [10]

 

.4.2 Межфазные катализаторы (МФК)

Для перевода 18F- из водной фазы в среду полярного апротонного растворителя используются различные межфазные катализаторы (МФК). Ими могут выступать четвертичные аммониевые соли, краун-эфиры, криптанды и др.(см.рис.4).

Наибольшее применение в качестве МФК в реакциях радиофторирования нашел криптанд К 2.2.2 (4,7,13,16,21,24-гексаокса-1,10-диазабицикло [8.8.8]гексакозан или криптофикс 2.2.2), формирующий с катионами щелочных металлов устойчивые координационные соединения, в которых ион металла экранирован окружающими атомами криптанда от молекул растворителя и противоиона [24,25]. Наиболее по размеру к полости данного криптанда подходит катион калия, который образует шесть координационных связей с донорными атомами азота и кислорода аминополиэфира (см.рис.5).

Рис.4 Межфазные катализаторы

Рис.5 [К+/K 2.2.2]18F-

После удаления следов воды комплекс криптата калия с [18F]фторид-ионом, лишенным сольватной оболочки, становится чрезвычайно реакционноспособным агентом. В 1986 г. впервые было предложено использовать криптофикс 2.2.2. для получения фторирующего агента [K+/K2.2.2]18F- в синтезе 2-[18F]фтор-2-дезокси-D-глюкозы, известного радиотрейсера метаболизма глюкозы [26]. С тех пор К 2.2.2 стал широко применяться для получения фторированных радиофармпрепаратов, принадлежащих к различным классам химических соединений.

Криптанд K 2.2.2.BB (5,6,14,15-дибензо-4,7,13,16,21,24-гексаокса-1,10-диазабицикло [8.8.8]гексакозан), отличается от K 2.2.2 наличием двух бензольных колец (см.рис.6).

Рис.6 [К+/K 2.2.2BB]18F-

Эффективность радиофторирования при использовании этого лиганда не уступает таковой в случае применения K 2.2.2, как было показано в работе [27]. При этом он менее токсичен, имеет более низкий предел детектирования хроматографическими методами, легко удаляется из препарата экстракцией на одноразовых картриджах. На примере синтеза [18F]ФДГ было показано, что в качестве МФК K 2.2.2.BB может конкурировать с K 2.2.2. В реакциях ароматического радиофторирования он до сих пор не использовался.

 

.4.3 Реакционноспособный фторирующий комплекс [К+/МФК]18F-

Для перевода [18F]фторид-иона в реакционноспособную форму необходимо удалить воду и солюбилизировать комплекс в подходящем органическом растворителе. Это обычно достигается за счет адсорбции радионуклида на анионообменной смоле с последующим элюированием 18F- небольшим объемом смеси ацетонитрил/вода, содержащей межфазный катализатор и слабо нуклеофильное основание (чаще всего карбонат, бикарбонат или оксалат калия). Далее при повышенной температуре и добавлении ацетонитрила (однократном или двукратном) происходит процедура азеотропной осушки комплекса МФК и 18F- под потоком инертного газа [10]. В качестве анионообменника широко используется смола на основе диоксида кремния, модифицированного четвертичными аммониевыми группами, смола упакована в одноразовый картридж QMA Sep Pak Light (Waters), имеющий луэровские коннекторы, позволяющие легко встраивать картридж в любую автоматизированную систему синтеза (см.рис.7).

Рис.7 Анионообменный картридж QMA Sep Pak Light (Waters)

Использование анионообменных смол также позволяет очистить радионуклид от возможных мишенных примесей, которые могут уменьшить реакционную способность 18F-фторид иона или выступить в качестве конкурирующих нуклеофилов.

Определение эффективности процедуры осушки комплекса МФК и 18F- представляется возможным только по оценке окончательного выхода продукта. Предполагается, что некоторое количество воды всегда присутствует в комплексе [К+/МФК]18F-, поэтому образование так называемого "голого" ("naked") [18F]фторид-иона (то есть полностью лишенного сольватной оболочки) не достигается. Но это не является критичным, так как и в этих условиях 18F- является достаточно сильным нуклеофилом для дальнейшего участия в реакции с субстратом. Стоит отметить, что наличие некоторого количества воды в реакционной смеси предотвращает адсорбцию радионуклида 18F на стенках реакционного сосуда [12].

Также в данной работе был подобран элюент, содержащий минимальное количество воды (4-5% от объема ацетонитрила), необходимое для растворения рассчитанного количества карбоната калия. Кроме высокой степени десорбции радионуклида использование данного элюента не требовало проведения дополнительной азеотропной осушки комплекса, что было подтверждено высокими выходами целевого продукта.

Рис. 8 Зависимость радиохимического выхода [18F]ФДГ (%) от мольного соотношения K 2.2.2/K2CO3 [28]

 

.5 Синтез [18F]фторбензальдегидов


Условия реакций ароматического нуклеофильного радиофторирования являются слишком жесткими для прямого введения метки 18F в макромолекулы с подвижными водородами (пептиды и протеины). Использование интермедиатов, простетических групп (небольших фрагментов, меченных радионуклидом) - удобный метод включения фтора-18 в такие соединения в относительно мягких условиях. Эти 18F-меченные малые молекулы содержат в своем составе те или иные реакционноспособные функциональные группы, способные участвовать в дальнейших превращениях. Такие интермедиаты используются для синтеза более сложных биологических молекул.

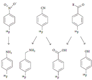
Среди 18F-меченных арильных интермедиатов для введения в пептиды и протеины наиболее часто применяются 4-[18F]фторанилин, 4-[18F]фторбензиламин, 4-[18F]фторбензойная кислота и 4-[18F]фторфенол (см.рис.9). Эти молекулы содержат "кислые" протоны, поэтому не могут быть получены прямым радиофторированием, их синтезируют из молекул, активированных для введения метки фтора-18: 1-нитро-4-[18F]фторбензола, 4-[18F]фторбензонитрила и 4-[18F]фторбензальдегида соответственно.

Рис. 9 18F-меченные арильные соединения как интермедиаты для введения фтора-18 в сложные биологические молекулы [5]

[18F] фторбензальдегиды получают, как правило, при радиофторировании субстратов в среде апротонного полярного растворителя (ДМФА, ДМСО) при температурах >100°C с использованием криптанда K 2.2.2 и солей тетрабутиламмония как МФК. Общая схема получения 18F-меченных арильных интермедиатов ароматическим нуклеофильным радиофторированием приведена на рис.10.

Рис.10 Общая схема получения 18F-меченных простетических групп, LG - нуклеофугная группа, EWG - электроноакцепторный заместитель

Большое количество работ посвящено изучению оптимальных условий радиофторирования нитробензальдегидов с целью получения [18F]фторбензальдегидов и их метокси- замещенных аналогов [17, 29]. Было показано, что электронодонорная метокси-группа в орто- и пара- положениях к уходящей нитрогруппе сильно влияет на эффективность реакции, уменьшая ее выход за счет дестабилизирующего +M эффекта, а электроноакцепторная альдегидная группа в тех же позициях, наоборот, благотворно влияет на протекание процесса радиофторирования. Также было отмечено, что в мета- положении к NO2- для метокси- группы электроноакцепторный -I эффект становится более значимым по сравнению с +M, это приводит к увеличению реакционной способности нитро- замещенного углерода ароматического кольца к нуклеофильной атаке. Взаимное влияние этих двух групп на выход продукта оценить бывает довольно сложно (см.табл.4).

Табл.4 Выходы реакции радиофторирования для соответствующих субстратов (в качестве МФК во всех случаях использовался K 2.2.2) [17,29]

Субстрат

Выход реакции радиофторирования (%)

1

0

7

81

84

81

67

5


Поэтому целью данной работы является изучение влияния на эффективность реакции радиофторирования 4-метокси-3-нитробензальдегида межфазных катализаторов (K 2.2.2 и K 2.2.2BB). Данное соединение было выбрано в качестве модельного, поскольку в нем нуклеофугная нитрогруппа находится в мало активированном положении по отношению к атаке нуклеофила (см.рис.11). Судя по литературным данным, реакция радиофторирования 4-метокси-3-нитробензальдегида до сих пор не была изучена.

Рис.11 4-метокси-3-нитробензальдегид

2. Экспериментальная часть


-метокси-3-[18F]фторбензальдегид (3-[18F]-4M-BA) получали взаимодействием комплексов [K+/K 2.2.2]18F- или [K+/K 2.2.2BB]18F- с 4-метокси-3-нитробензальдегидом (см.рис.12).

Рис. 12 Реакция получения 3-[18F]-4M-BA

Реакция нуклеофильного радиофторирования 4-метокси-3-нитробензальдегида была изучена при варьировании следующих параметров:

·        криптанды K 2.2.2 и K 2.2.2BB

·        время реакции 15 и 30 минут

·        растворитель ДМФА и ДМСО

·        температура реакции 140°C и 175°C

·        мольное соотношение субстрат:криптанд (1:1, 2:1, 1:2)

Этапы работы:

.        получение фтора-18 в циклотроне

.        перевод радионуклида в реакционноспособный комплекс [K+/K 2.2.2]18F- или [K+/K 2.2.2BB]18F-

.        реакция радиофторирования

.        определение эффективности радиофторирования методом тонкослойной радиохроматографии (радио-ТСХ)

2.1 Получение радионуклида фтор-18 в мишени циклотрона


Радионуклид фтор-18 получали по ядерной реакции 18O(p,n)18F путем облучения протонами воды, обогащенной по изотопу кислород-18. Условия облучения:

·        мишень - H2O[18O] (95-97% обогащения)

·        энергия протонов 16 МэВ

·        ток пучка 10-15 μA

·        время облучения 5 минут

Облучение проводили в водной мишени циклотрона PETtrace, GE Healthcare (США) (см.рис.13).

Рис.13 Циклотрон PETtrace, GE Healthcare

Перед облучением мишень и линии доставки промывали бидистиллированной деонизированной водой MilliQ. Так как вода в мишени обогащена кислородом-18 на 95-97%, имеет место конкурирующая реакция 16O(p,α)13N. Период полураспада азота-13 составляет 9,96 минут. Поэтому синтез начинали примерно через 60 минут после облучения, стартовая активность фтора-18 - 925-1850 МБк.

Далее облученную воду, содержащую изотоп фтор-18, транспортировали в горячую камеру (Comecer, Италия) (см.рис.14).

Рис.14 Горячие камеры (Comecer)

 

.2 Получение комплексов [K+/K 2.2.2]18F- и [K+/K 2.2.2BB]18F-


В настоящее время синтез радиофармпрепаратов производят в автоматизированных системах синтеза (модулях) для предотвращения радиационных нагрузок на оператора и создания воспроизводимых условий для получения препарата. Синтез 3-[18F]-4M-BA выполняли на модуле TRACERlab FX-N-Pro производства GE Healthcare, установленном в лаборатории радиохимии ИМЧ РАН (см.рис.15,16).

Рис.15 Модуль TRACERlab FX-N-Pro (GE Healthcare)

Рис. 16 Схема модуля TRACERlab FX-N-Pro

Процесс полностью автоматизирован и управляется с помощью программы. Для данного синтеза была написана программа «18F-BA», состоящая из 2-х подпрограмм: «18F-NO2BT_2» ̶ получение комплексов [K+/K 2.2.2]18F- ([K+/K 2.2.2BB]18F-) и «18F-NO2 BT fluorination_3»  ̶ реакция радиофторирования.

Для получения реакционноспособного фторирующего комплекса [18F]фторид-ион сорбировали на картридже QMA ("18F SEPARATION CARTRIDGE" на рис.16), предварительно кондиционировав его 10 мл карбоната калия и 20 мл бидистиллированной деионизированной воды с целью активации сорбента и создания подходящей среды для удерживания 18F-. Облученную воду H218O, содержащую радионуклид в химической форме [18F]фторид-иона, пропускали через картридж. Далее сорбированный радионуклид элюировали 2 мл раствора «QMA элюент», перенесенного током азота из вайла V1 ("Eluent" на рис.16). Количества реагентов в QMA элюенте в расчете на 1 синтез представлены в табл.5.

Табл. 5 Количества реагентов в QMA элюенте


QMA элюент


с K 2.2.2

с K 2.2.2BB

K2CO3 - 0,013 ммоль K 2.2.2 - 0,026 ммоль MeCN - 2 мл H2O - 90 мкл MeCN/ H2O=96/4 (v/v)

K2CO3 - 0,013 ммоль K 2.2.2BB - 0,026 ммоль MeCN - 2 мл H2O - 175 мкл MeCN/ H2O=85/15 (v/v)

для соотношения субстрат:криптанд - 1:2

K2CO3 - 0,026 ммоль K 2.2.2 - 0,052 ммоль MeCN - 2 мл H2O - 180 мкл MeCN/ H2O=96/4 (v/v)

K2CO3 - 0,026 ммоль K 2.2.2BB - 0,052 ммоль MeCN - 2 мл H2O - 350 мкл MeCN/ H2O=85/15 (v/v)


K2CO3 - 0,026 ммоль K 2.2.2 - 0,052 ммоль MeCN - 2 мл H2O - 350 мкл MeCN/ H2O=85/15 (v/v)



Так как для солюбилизации комплекса K+ с K 2.2.2BB требуется больше воды, ее содержание в QMA элюенте для K 2.2.2BB было повышено с 4 до 15%.

Элюат, содержащий [18F]фторид-ион, переносили в реакционный сосуд ("REACTOR 1" см.рис.16), в котором производили процедуру осушки комплекса под вакуумом при нагреве. Сначала температуру поднимали до 100°C, раствор упаривали в токе азота 3 минуты, далее добавляли порцию (1 мл) безводного безкислотного ацетонитрила из вайла V2, по истечении двух минут температуру повышали до 120°C, азеотропная осушка длилась еще три минуты. Таким образом получали свободный от следов влаги комплекс [K+/K 2.2.2]18F- ([K+/K 2.2.2BB]18F-).

 

.3 Получение 3-[18F]-4M-BA


Для проведения реакции радиофторирования к осушенному комплексу добавляли 4-метокси-3-нитробензальдегид (Sigma-Aldrich) в 1,5 мл ДМФА или ДМСО из вайла V3 ("Precursor" см.рис.16). Предварительно 4-метокси-3-нитробензальдегид был перекристаллизован из этанола и высушен под вакуумом в эксикаторе.

После завершения синтеза реакционный сосуд охлаждали ("COOLING AIR 1" см.рис.16) до 30°C, смесь разбавляли 1,5 мл ДМФА (из вайла V4) и транспортировали для отбора пробы.

 

.3.1 Проведение реакции в ДМСО

Радиофторирование 4-метокси-3-нитробензальдегида в ДМСО проводилось при 175°C с использованием K 2.2.2 и K 2.2.2BB. Время реакции 30 мин. После завершения синтеза реакционная смесь охлаждалась до 30°C и без добавления 1,5 мл ДМФА транспортировалась для отбора пробы.

2.3.2 Проведение реакции в ДМФА

Синтез 3-[18F]-4M-BA проводили при 140°C в ДМФА, при этом изменяемыми параметрами были:

·        Время реакции - 15 и 30 мин

·        Количество субстрата - 5 и 10 мг (0,028 ммоль и 0,055 ммоль)

·        Количество криптатов калия - 12 и 24 мг (0,026 ммоль и 0,052 ммоль) соответственно для К 2.2.2 и K 2.2.2BB

·        Соотношение субстрат:криптанд - 1:1, 2:1, 1:2 (см.табл.6)

Табл. 6 Выбранные соотношения субстрат:криптанд

Соотношение субстрат:криптанд

Количество 4-метокси-3-нитробензальдегида, ммоль

Количество криптанда, ммоль

1

1:1

0,028 (5 мг)

0,026

2

2:1

0,055 (10 мг)

0,026

3

1:2

0,028 (5 мг)

0,052


2.4 Анализ реакционной смеси


Анализ реакционной смеси и определение выхода реакции радиофторирования определяли методом радио-ТСХ на силикагелевых пластинках (ЛенХром, Россия) 10x2 см.

Распределение радиоактивности по пластинке измеряли с помощью радио-ТСХ сканера MiniGita (Raytest, Германия) (см.рис.17).

Рис.17 Радио-ТСХ сканер MiniGita

Выход реакции радиофторирования определяли как отношение площади пика, соответствующего продукту, к сумме площадей всех радиоактивных пиков на хроматограмме. Идентификацию полученного продукта осуществляли сравнением соответствующего радиоактивного пятна с положением пятна в УФ свете нерадиоактивного «свидетеля».

В качестве подвижной фазы исследовали 3 системы:

·        EtOAc/CH3COOH/CHCl3=4/1/1 (v/v)

·        EtOAc/MeOH/Et3N=8/1.5/0.5 (v/v)

·        EtOAc/MeOH/гексан=5/3/2 (v/v)

В итоге для определения эффективности радиофторирования были выбраны две из них: EtOAc/CH3COOH/CHCl3=4/1/1 (v/v) и EtOAc/MeOH/гексан=5/3/2 (v/v).

Rf продукта в системе EtOAc/CH3COOH/CHCl3=4/1/1 (v/v) составляет 0,64, [18F]фторида - 0,10; в системе EtOAc/MeOH/гексан=5/3/2 (v/v) Rf продукта - 0,65, [18F]фторида - 0,11.

3. Результаты и обсуждение

 

.1 Проведение реакции в ДМСО


Использование диметилсульфоксида позволяет проводить реакцию при высокой температуре 175°C (Tкип ДМСО 189°C). Но целевого продукта в реакционной смеси обнаружено не было при использовании обоих катализаторов.

Значительное ухудшение эффективности реакции радифоторирования при переходе от ДМФА к ДМСО было отмечено и в работе [29]. При радиофторировании 3-метокси-2-нитробензальдегида эффективность реакции уменьшилась с 67% в ДМФА до 6% в ДМСО, а 2-нитробензальдегида - с 84% в ДМФА до 68% в ДМСО.

Данные результаты авторы работы объясняют окислением альдегидной группы в среде ДМСО и, как следствие, дезактивацией [18F]фторид-иона из-за образования водородных связей с «кислыми» протонами карбоксильной группы. Механизм данного процесса приведен на рис.18:

Рис.18 Механизм окисления альдегидной группы до карбоксильной в среде ДМСО

 

3.2 Проведение реакции в ДМФА


Результаты опытов по проведению реакций нуклеофильного радиофторирования 4-метокси-3-нитробензальдегида (см.рис.12) в ДМФА приведены в табл.7.

Табл.7 Результаты радиофторирования 4-метокси-3 нитробензальдегида в ДМФА при T=140°C

Соотношение субстрат: [K+/МФК]

tр-ции, мин

Эффективность радиофторирования по ТСХ (%)




[K+/K 2.2.2] MeCN/H2O =96/4

[K+/K 2.2.2BB] MeCN/H2O =85/15

1

1:1

15

12,8; 13,1

11,5; 12,7

2

1:1

30

22,5; 23,0

25,4; 27,6

3

2:1

30

5,8-8,2 (n=4)

4

1:2

15

-

9,3; 10

5

1:2

30

38,6; 40,1 16,5; 18,5*

48,6-54 (n=3)

*- при изменении соотношения MeCN/H2O c 96/4 (v/v) до 85/15 (v/v) в QMA элюенте

.2.1 Влияние времени реакции на эффективность радиофторирования

Было показано, что при соотношении субстрат:криптанд  ̶ 1:1 и времени реакции 15 мин эффективность радиофторирования при использовании обоих криптандов была примерно одинаковой ~13% (см. стр.1 в табл.7).

С увеличением времени реакции до 30 мин выход радиофторирования вырос примерно в два раза (23% для K 2.2.2 и 28% для K 2.2.2BB, см. стр. 2 в табл.7).

Дальнейшее увеличение времени реакции показалось нам нецелесообразным, так как радиохимический выход является функцией не только химического выхода, но и радиоактивного распада радионуклида. В работе [17] при радиофторировании 2-нитро- и 2-бромбензальдегидов в ДМФА (T=140°C) при достижении 30 мин было обнаружено, что выход радиофторирования выходит на плато постоянного значения или начинает падать примерно после 10-15 мин после начала реакции (см.рис.19).

Рис.19 Зависимость радиохимического выхода [18F]-меченных соединений от времени [17]

.2.2 Влияние количества субстрата на эффективность радиофторирования

Увеличение количества субстрата до 10 мг (соотношение субстрат:криптанд - 2:1) при времени реакции 30 мин не привело к достижению лучшего результата. Максимальный выход радифоторирования при этом с катализатором K 2.2.2BB составил 8% (см. стр.3 в табл.7), что значительно уступает эффективности реакции с 5 мг субстрата (28%, см.стр.2 в табл.7).

.2.3 Влияние количества криптата калия на эффективность радиофторирования

С целью изучения влияния основности реакционной среды на эффективность радиофторирования количество [K+/K 2.2.2]2CO3 и [K+/K 2.2.2BB]2CO3 было увеличено в 2 раза (соотношением субстрат:криптанд - 1:2).

В результате при времени реакции 30 мин эффективность конверсии 4-метокси-3-нитробензальдегида значительно увеличилась для обоих криптандов. Для K 2.2.2BB она составила 49-54% (n=3) (см. стр.5 в табл.7). Для того же криптанда при соотношении субстрат:криптанд - 1:1 при прочих равных условиях эффективность радиофторирования была примерно в два раза ниже  ̶ 28% (см.стр.2 в табл.7, сравните хроматограммы на рис.20,21).

Рис. 20 Радио-ТСХ хроматограмма. Условия: K.2.2.2BB, ДМФА, 30 минут, T=140°C, субстрат/криптанд=1/1. Выход реакции  ̶ 27,6%

Рис. 21 Радио-ТСХ хроматограмма. Условия: K.2.2.2BB, ДМФА, 30 минут, T=140°C, субстрат/криптанд=1/2. Выход реакции  ̶ 52%

Аналогичный эффект наблюдался и для K 2.2.2. Максимальный выход радиофторирования в данных условиях был 40% (см. стр.5 в табл.7). При применении того же катализатора при соотношении субстрат:криптанд - 1:1 эффективность радиофторирования была значительно ниже - 23% (см. стр.2 в табл.7).

Таким образом, увеличение количества [K+/K 2.2.2]2CO3 ([K+/K 2.2.2BB]2CO3) привело к значительному увеличению эффективности конверсии субстрата в случае использования обоих катализаторов. Данный факт отчасти имеет подтверждение в некоторых литературных источниках, в которых отмечается положительный эффект на выход радиофторирования карбонат- и бикарбонат- ионов (слабых нуклеофильных оснований) [11].

Интересно отметить, что при одинаковом содержании воды в QMA элюенте (15%) в случае K 2.2.2 ВВ максимальный выход продукта составил 54% (см. стр.5 в табл.7), тогда как при использовании К 2.2.2 - намного меньше - 18,5% (см. стр.5 в табл.7). На практике это может означать, что высокой эффективности радиофторирования при использовании K 2.2.2ВВ можно достичь и без тщательного удаления следов влаги при приготовлении реакционноспособного комплекса, более того, возможно, в этом случае необходимы каталитические количества протонного растворителя.

Выводы

Впервые было изучено влияние двух межфазных катализаторов - криптандов K 2.2.2 и K 2.2.2 BB на эффективность ароматического нуклеофильного радиофторирования на примере молекулы 4-метокси-3-нитробензальдегида.

На основании результатов серии опытов были подобраны условия реакции (растворитель ДМФА; время реакции 30 минут; температура - 140°C; мольное соотношение субстрат:криптанд - 1:2), при которых оба криптанда показали относительно высокие выходы радиофторирования: 40 % и 54 % для K 2.2.2 и K 2.2.2BB, соответственно.

Полученное соединение 4-метокси-3-[18F]фторбензальдегид может быть использовано в качестве меченого интермедиата в синтезе биологически активных макромолекул, потенциальных радиотрейсеров для позитронной эмиссионной томографии (ПЭТ).

Практическое значение использования криптанда K 2.2.2ВВ в ароматическом нуклеофильном радиофторировании может заключаться в упрощении процедуры приготовления реакционноспособного комплекса [K+/K 2.2.2BB]18F- для достижения высокой эффективности процесса.

Благодарности

Выражаю огромную благодарность за помощь в выполнении и подготовке выпускной квалификационной работы моим научным руководителям - Гомзиной Наталье Анатольевне и Красиковой Раисе Николаевне, а также всему коллективу лаборатории радиохимии Федерального государственного бюджетного учреждения науки Института мозга человека им. Н.П. Бехтеревой Российской академии наук (ИМЧ РАН): Ваулиной Дарие Дмитриевне, Кузнецовой Ольге Федоровне, Федоровой Ольге Сталлитовне, Орловской Виктории Владимировне.

Список цитированной литературы

[1] С.В. Медведев, Т.Ю. Скворцова, Р.Н. Красикова, Астрель-СПб, Санкт-Петербург, 2008, С. 319.

[2] R.A.J.O. Dierckx, A.Otte, E.F.J. de Vries, A.van Waarde, J.A den Boer, Springer Berlin Heidelberg, 2014, P. 849.

[3] B. Gulyás, C. Halldin, Q. J. Nucl. Med. Mol. Im., 2012, V. 56, PP 173-190.

[4] S. Richter and F. Wuest, Molecules, 2014, V. 19, PP 20536-20556.

[5] Johannes Ermert, BioMed Research International, 2014, V. 2014, Article ID 812973.

[6] F. Wuest in PET Chemistry (P. A. Schubiger, L. Lehmann, M. Friebe), Springer Berlin Heidelberg, 2007, PP 51-78.

[7] L. Li, M. N. Hopkinson, R. L. Yona, R. Bejot, A. D. Gee, V. Gouverneur, Chem. Sci. 2011, V. 2, PP 123 - 131.

[8] М.В Корсаков, ТЕЗА, Санкт-Петербург, 2008, С. 108.

[9] F. Dolle, D. Roeda, B. Kuhnast, M. Lasne in Fluorine and Health (A. Tressaud, G. Haufe), Elsevier, 2008, PP 3-67.

[10] O. Jacobson, D. O. Kiesewetter, X. Chen, Bioconjugate Chem., 2015, V. 26, PP 1−18

[11] R. Bejot and V. Gouverneur in Fluorine in Pharmaceutical and Medicinal Chemistry - From Biophysical Aspects to Clinical Applications (V. Gouverneur, K. Muller), Imperial College Press, London, 2012, PP 335-381.

[12] R. Schirrmacher, C. Wangler, E. Schirrmacher in Pharmaceutical Radiochemistry (I), Fluorine-18 Munich Molecular Imaging Handbook Series, 2010, V. 1, 73PP.

[13] H.H. Coenen in PET Chemistry (P. A. Schubiger, L. Lehmann, M. Friebe), Springer Berlin Heidelberg, 2007, PP 15-50.

[14] Vogt M., Huszar I., Argentini M., Oehninger H., Weinreich R., Appl. Radiat. Isot., 1986, V.17, P 59.

[15] K. Sander, T. Gendron, E. Yiannaki, K. Cybulska, T. L. Kalber, M. F. Lythgoe, E. Arstad, Sci. Rep, 2015, V. 5, Article number: 9941.

[16] B. Shen, D. Loffler, G. Reischl, H.J. Machulla, K.P. Zeller, Journal of Fluorine Chemistry, 2009, V. 130, PP 216-224

[17] I. Fernа́ndez, G. Frenking, E. Uggerud, J. Org. Chem., 2010, V. 75, PP 2971 - 2980.

[18] S. Preshlock, M. Tredwell, and V. Gouverneur, Chem. Rev., 2016, V. 116 (2), PP 719-776.

[19] T. Furuya, C.A. Kuttruff, T. Ritter, Curr. Opin. Drug Discovery Dev., 2008, V. 11, PP 803−819.

[20] Y.H. Oh, D.S. Ahn, S.Y. Chung, J.H. Jeon, S.W. Park, S. J. Oh, D. W. Kim, H. S. Kil, D. Y. Chi, S. Lee, J. Phys. Chem. A, 2007, V. 111, PP 10152-10161.

[21] D. W. Kim, D. S Ahn, Y. H. Oh, S. Lee, H. S. Kil, S. J. Oh, S. J. Lee, J.S. Kim, J. S. Ryu, D. H. Moon, D. Y Chi, J. Am. Chem. Soc., 2006, V. 128, PP 16394−16397.

[22] T. Koivula, J. Simecek, J. Jalomäki, K. Helariutta and A. J. Airaksinen, Radiochim. Acta, 2011, V. 99, PP 293-300.

[23] M. Tredwell and V. Gouverneur, Angew. Chem. Int. Ed., 2012, V. 51, PP 11426 - 11437

[24] J.W. Su, R.R. Burnette, ChemPhysChem, 2008, V. 9, PP 1989-1996.

[25] X. Wang, H. Wang, Y. Tan, J. Comput. Chem., 2008, V. 29, PP 1423-1428.

[26] K. Hamacher, H.H. Coenen, G. Stocklin, Nucl. Med. Biol, 1986, V.27, PP 235-238

[27] US Patent 5,264,570: Nov. 23, 1993

[28] Н.А. Гомзина, Д.А. Васильев, Р.Н. Красикова, Радиохимия, 2002, Т. 44, С. 366-337.

[29] B. Shen, D. Loffler, K.P. Zeller, M. Ubele, G. Reischl, H.J. Machulla, Journal of Fluorine Chemistry, 2007, V. 128, PP 1461-1468

Похожие работы на - Сравнение влияния на эффективность реакции радиофторирования двух межфазных катализаторов-криптандов

 

Не нашли материал для своей работы?
Поможем написать уникальную работу
Без плагиата!
Без нейросетей!