Особенности функционирования стартапов и принципы методики развития отношений с клиентами

  • Вид работы:
    Дипломная (ВКР)
  • Предмет:
    Маркетинг
  • Язык:
    Русский
    ,
    Формат файла:
    MS Word
    573,8 Кб
  • Опубликовано:
    2017-08-20
Вы можете узнать стоимость помощи в написании студенческой работы.
Помощь в написании работы, которую точно примут!

Особенности функционирования стартапов и принципы методики развития отношений с клиентами















Особенности функционирования стартапов и принципы методики развития отношений с клиентами

Содержание

1. Определение среды развития стартапов. Факторы успеха

.1 Современное понятие стартапа. Основные концепции

1.2 Тренды

.3 Практика успешного применения методики бережливого стартапа в корпорациях

2. Стартап в сфере медицины

.1 Особенности стартапов на рынке медицинских изделий

.2 Цифровая медицина. Специфика, трудности для стартапа и современные направления развития

. Методика развития клиента

.1 Ключевые принципы

.2 Особенности психологии при взаимодействии с клиентом

Заключение

Список литературы

Приложение

Введение

Растущая конкуренция среди компаний на мировом рынке вынуждает их стремиться к достижению устойчивого конкурентного преимущества, способного обеспечить успешное функционирование. Клиенты - важный источник конкурентоспособности, эффективная работа с которым позволяет создать успешный продукт на рынке. Без клиентов, желающих купить этот продукт, не имеет значения насколько продукт хороший, инновационный, привлекательный по цене, без рынка сбыта его ждет поражение. Несмотря на это, многие компании, в частности стартапы, тратят большую часть времени и усилий на оптимизацию процесса лишь по разработке продукта. Возможно, есть смысл инвестировать, по меньшей мере, столько же времени в понимание клиентов, их потребностей и болевых точек, и в разработку решений для них. По статистике в мире в среднем в первый год работы «погибает» не более 20% всех стартапов. При этом спустя 5 лет после запуска остаются «живы» в среднем 39% стартапов. Рассмотрим основные причины высокого уровня «смертности» стартапов.

Создание бизнеса неразрывно связано с рисками. На начальном этапе развития проекта возникает ряд вопросов, которые определяют, как будет развиваться бизнес, а именно: кто является клиентами, где их найти, какие у них потребности, почему и как они совершают покупки. Правильный подход к выстраиванию отношений с клиентами предоставит верные ответы на поставленные вопросы, тем самым гарантирует, что выбранная бизнес-модель работает, а созданный продукт имеет спрос.

Еще в 1990-е годы известный американский предприниматель Стив Бланк («Крестный отец Кремниевой долины») разработал методику развития клиентов. На западе она получила широкое распространение, тысячи стартапов применили ее и добились значительных результатов, при этом основы методики постоянно дорабатываются новыми положениями и взглядами. В России свое распространение среди стартап-менеджеров она получила примерно с 2011 года, на сегодняшний день она продолжает набирать популярность, в особенности в сфере IT-технологий. Однако в других сферах превалируют поверхностные знания о технологии построения отношений с клиентами, в частности на отечественном рынке, что составляют основу проблемы данного исследования.

Практическая значимость данной проблемы была рассмотрена на примере компании из отрасли медицины, т.к. медицинские технологии являются одними из самых быстро развивающихся и перспективных на сегодняшний день. Очень активно растет венчурное инвестирование в медоборудование, где «средний чек» по подсчетам Silicon Valley Bank в 2016 году достиг $46 миллионов. В исследовании рассматривается начинающий российский оффлайн бизнес в сфере медицины, одной из задач которого является решение вопроса о целесообразности вывода на рынок нового продукта на российский рынок и последующая разработка маркетинговой стратегии его продвижения. Стоит отметить, что в перспективе допускается идея перехода бизнеса из оффлайн в онлайн с применением возможностей цифровой медицины. Для решения поставленных задач была использована методика развития клиентов, которая легла в основу практической части данной научной работы.

Соответственно, эмпирическим объектом исследования является медицинская компания «А-Медпроект» - стартап по продаже медицинских инструментов и изделий, организации медицинских образовательных мероприятий. Теоретический объект - методика выстраивания отношений с клиентами в контексте маркетинговой стратегии стартапа, а предмет - применяемые инструменты при построении отношений с клиентами.

Целью исследования является разработка карты ценностного предложения для клиентов в рамках маркетинговой стратегии компании «А-Медпроект». Для достижения цели исследования был выделен ряд задач:

Изучение «природы» стартапов, особенностей их развития и факторов успеха; стартап природа клиент потребитель

Анализ стартапов в медицинской отрасли в России и в мире;

Изучение теоретических и эмпирических материалов по концепции развития отношений с клиентами;

Разработка портрета потенциального потребителя на основе практического исследования в форме интервью и онлайн опросов;

Создание карты ценностного предложения для потребителей компании «А-Медпроект»;

Формирование рекомендаций для компании по развитию взаимоотношений с клиентами при построении маркетинговой стратегии.

Для реализации методики развития клиентов были сформулированы гипотезы исследования, требующие подтверждения или опровержения:

Можно предположить, что в большинстве случаев врачи-хирурги (т.е. одни из пользователей продукта) испытывают трудности в профессиональной деятельности из-за ограничения возможности внедрения передовых технологичных продуктов в их повседневную работу;

Можно предположить, что ценовой фактор играет решающую роль при выборе хирургом того или иного продукта;

Можно предположить, что в большинстве случае врачи-хирурги не используют новые технологичные изделия по причине дефицита информации о технологии применения и клинических результатах.

В соответствии с поставленными целями и задачами исследования были выбраны качественный, глубинное интервью с экспертами, и количественный, онлайн анкетирование врачей-хирургов, методы сбора информации. Рациональность применения глубинного интервью объясняется прежде всего специфичностью изучаемой отрасли, также ввиду слабой изученности темы в России и описательного характера исследования. Респондентами были выбраны врачи по специальности общая хирургия с разным профессиональным стажем и из разных типов лечебных учреждений, с целью получения разносторонней информации. Для онлайн-опроса были выбраны врачи-хирурги не только из Москвы и МО, но и из других регионов России. Общий профессиональный признак, который, с одной стороны, их объединяет, а с другой - отделяет от других хирургов - это опыт выполнения операций по грыжесечению и применение хирургических имплантатов. Это требование обосновывается специфичностью исследуемого в данной работе продукта. новый хирургический имплантат - тот самый продукт, который компания хочет вывести на рынок. Ограничением исследования является тот факт, что мнения конечных потребителей продукта - пациентов, и других стейкхолдеров - не учитываются, ввиду избегания смешивания взглядов и более широкого масштаба исследовательской базы.

Теоретическая часть выпускной квалификационной работы основывается преимущественно на книгах по теме стартапов и развития долгосрочных отношений с клиентами (Стива Бланк «Четыре шага к озарению», 2011г., Эрик Рис «Бизнес с нуля» 2013, Патрик Власковиц «Руководство по методике развития клиентов» (собственный перевод) и другие). В том числе были изучены отечественные и зарубежные статьи по теме основополагающих факторов успеха стартапов. Для качественного исследования, беседы с экспертами и понимания специфики продукта были изучены особенности товара через информационные каталоги и сайты компаний-производителей.

Интерпретация и операционализация основных понятий, применяемых в исследовании:

Интерпретация

Операционализация

Стартап - 1) это компания, которая находится на первом этапе развития своей деятельности. Эти компании часто первоначально финансируются их предпринимателями-учредителями, поскольку они пытаются извлечь выгоду из разработки продукта или услуги, для которых они считают, что есть спрос. Из-за ограниченного дохода или высокой стоимости большинство этих небольших операций не являются устойчивыми в долгосрочной перспективе без дополнительного финансирования со стороны венчурных капиталистов. 2) «новая компания, которая занимается разработкой инновационных товаров или услуг, в условиях полной неопределенности» (Эрик Рис)

Рентабельность Период окупаемости (PP) Доход (TR) Валовая прибыль (GP) Общая стоимость контракта (TCV) Пожизненная ценность (LTV) Полная товарная стоимость (GMV) Заказы  Стоимость привлечения клиента (CAC)

Развитие клиентов (Customer development или сокращенно custdev) - это методика тестирования идеи или прототипа будущего продукта на потенциальных потребителях.

Кто является клиентами? Какие у них проблемы? Как и почему они совершают покупки Как решить их проблемы?

Карта ценностного предложения - инструмент, который структурированно и подробно отражает особенности конкретного ценностного предложения (т.е. перечень товаров или услуг) в бизнес-модели. Он разбивает ценностное предложение на товары и услуги, факторы помощи и факторы выгоды.

Профиль потребителя Проблемы потребителя Выгоды потребителя Прототипирование Тестирование



1. Определение среды развития стартапов. Факторы успеха

.1 Современное понятие стартапа. Основные концепции

Запуск нового предприятия - будь то технологический стартап, малый бизнес или инициатива в крупной корпорации - рискованное мероприятие. Согласно традиционным подходам, план действий состоит из следующих пунктов: написание бизнес-плана, передача его инвесторам, сбор команды, презентация продукта и последующая его продажа. В такой последовательности событий, очень вероятно, испытать фатальную неудачу. Поэтому великие умы нашего времени оказались в поисках нового подхода к созданию и ведению бизнеса. Одним из таких подходов, стал метод «бережливого» стартапа, ключевые положения которого экспериментирование, обратная связь клиентов, итеративный дизайн процессов. Хотя методологии не так много лет, ее ключевые термины и понятия - такие как «минимальный жизнеспособный продукт» (MVP) и «поворот» (Pivot) - быстро укоренились в мире стартапов, а бизнес-школы уже приступили к адаптации своих учебных программ.

В основе теоретической главы данной исследовательской работы лежат фундаментальные труды зарубежных авторов: книги, научные статьи и исследования. В целях избегания повторов теоретического материала ниже представлена таблица с кратким резюме по тем концепциям, теориям и методам, на которых основывается данная выпускная квалификационная работа:

Таблица 1 - Резюме основных концепции и теорий

Название источника

Описание теории /концепции

Lean Customer Development (Alvarez 2014)

Концепция бережливого развития клиентов. Метод развития клиентов применим не только в стартапах, но и в крупных корпорациях. Результат внедрения одинаковый: постоянное изучение и общение с клиентами.

‘The entrepreneur’s Guide to Customer Development’ (Brant C. & Patrick W., 2010)

Принцип «Скептически относитесь к Вашим предположениям». Идеи современного CustDev и их ориентированность на практику. Гибкость методики CustDev в любом бизнесе.

‘The Lean Startup’ (Eric Ries, 2011)

Концепция бережливого стартапа. Стартапу требуется система и адаптивная организация. Также необходимы регуляторы, с помощью которых можно найти нужный темп движения.

‘Why the Lean Start-Up Changes Everything’ (Blank S., 2013)

Начинать надо с поиска бизнес-модели. Затем проверять, пересматривать и отбрасывать гипотезы, постоянно собирая обратную связь с клиентами и быстро пересматривая свои продукты. Эта стратегия значительно снижает вероятность того, что стартапы будут тратить много времени и денег на запуск продуктов, за которые никто не заплатит.

“Perfection By Subtraction - The Minimum Feature Set” (Blank S., 2010)

Теория об особом сегменте покупателей “earlyvangelists”. Это особый тип клиентов, готовый рискнуть приобрести новый продукт или услугу. Они способны представить потенциал этого продукта, настроившись на решение критической проблемы; имеют достаточный бюджет для его приобретения. Обладают особой пирамидой потребностей (см. Приложение).

‘The entrepreneurial S-curve: a conceptual model for entrepreneurial life cycle’ (Han, 2005)

 «S»-образную модель жизненного цикла стартапа.

“Lean and Global Technology Start-ups: Linking the Two Research Streams.” (Lemminger R., 2014)

Концепция Lean&Global Start-up (LGS). Для стартапов в сфере IT-технологий задача быть глобальными и инновационными одновременно должна рассматриваться с точки зрения одного бизнес-процесса.

“Diffusion of innovation” (Everett M.Rogers)

Теория диффузии инноваций. Жизненный цикл внедрения технологий. 5 клиентских сегментов технологии принятия. Убеждение имеет смысл начинать с новаторов и ранних последователей.

‘An S-Curve Model of the Start-Up Life Cycle Through the Lens of Customer Development’ (Overall J, 2015)

Влияние определенных параметров, таких как промышленность, культура, уровень экономического развития в стране, опыт предпринимателей на жизненные этапы стартапов по S-модели.

 ‘Customer value anticipation, product innovativeness, and customer lifetime value: The moderating role of advertising strategy’ (Hao Zhang, 2016)

Ожидаемая клиентская ценность значительно влияет на продуктовую инновационность. Функциональная и эмоциональная реклама играют умеренную роль в отношении между инновациями и пожизненной ценностью клиента.


Движение «бережливого» стартапа на сегодняшний день не стало полностью господствующим в мире, и бизнесменам еще предстоит почувствовать его полный эффект. Около пяти лет назад эта концепция не была широко распространено и в сознании многих состояла в основном из «модного» слова, но сегодня компании начинают понимать последствия ее внедрения. По мере распространения своей практики они превращают общепризнанную мудрость в предпринимательство, меняя представление о нем. Новые предприятия всех видов стремятся улучшить свои шансы на успех, следуя ее принципам: быстрому и постоянному обучению. И, несмотря на название методики, в долгосрочной перспективе некоторые даже крупные компании смогут ощутить выгоды от ее применения.

Согласно общепринятой концепции, первое, что должен сделать каждый основатель компании, - это создать бизнес-плана - статический документ, описывающий размер возможностей, проблему, которую нужно решить, и предлагаемое решение. Как правило, классический бизнес-план включает пятилетний прогноз доходов, прибыли и денежного потока. Бизнес-план - это, по сути, исследовательское упражнение, написанное изолированно от реальности перед тем, как предприниматель приступил к созданию продукта. Ключевое предположение заключается в том, что можно заранее определить большинство неизвестных переменных в бизнесе, прежде чем собирать средства и фактически исполнять проект.

Как только предприниматель с убедительным бизнес-планом получает финансирование от инвесторов, он или она начинает разрабатывать продукт так же изолированно. Разработчики инвестируют тысячи человеко-часов, чтобы подготовить его к запуску, при этом практически не привлекают клиентов. Только после создания и запуска продукта предприятие получает существенную обратную связь от клиентов - когда коммерческий отдел пытается продать его. И слишком часто, после нескольких месяцев или даже лет развития, предприниматели усваивают трудный путь, что клиенты не нуждаются или не хотят большую часть функций продукта.

Стив Бланк в своей статье «Почему бережливые стартапы все меняют?» после десятилетий наблюдения за тысячами стартапов, которые следуют традиционному подходу, выделил три вещи:

. Бизнес-планы редко получаются из первого контакта с клиентами. Как однажды сказал боксер Майк Тайсон о предвыборных стратегиях противников: «У каждого есть план, до первого удара».

. Никто, кроме венчурных капиталистов и бывшего Советского Союза, не требует пятилетних планов для точного прогнозирования неизвестных показателей. Эти планы, как правило, выдумки, и мечтать о них почти всегда пустая трата времени.

. Стартапы - это не маленькие версии крупных компаний. Они не раскрываются в соответствии с генеральными планами. Те, кто в конечном итоге добиваются успеха, быстро переходят от неудач к неудачам, все время адаптируются, повторяются и улучшают свои первоначальные идеи, поскольку они постоянно учатся у клиентов.

У «бережливого» метода есть три ключевых принципа:

Во-первых, вместо того, чтобы заниматься месяцами планированием и исследованиями, предприниматели соглашаются с тем, что все то, что у них есть - это ряд непроверенных гипотез и догадок. Поэтому вместо написания сложного бизнес-плана основатели суммируют свои гипотезы в рамках бизнес-канвы. Это визуальная схема того, как компания создает ценность для себя и своих клиентов. (см. рисунок 1)

Рисунок 1. Шаблон «бизнес-канвы»

Во-вторых, бережливые стартапы используют так называемый подход «выйти из здания», который составляет одно из методических руководств концепции развития клиентов. В прямом и переносном смысле, важно выйти и действительно спросить потенциальных пользователей, покупателей и партнеров в целях получения обратной связи по всем элементам бизнес-модели, включая функции продукта, цены, каналы распространения и доступные стратегии приобретения клиентов. Акцент делается на проворности и быстроте: новые предприятия быстро собирают минимальные жизнеспособные продукты (MVP) и немедленно получают отзывы клиентов. Затем, используя полученную информация от клиентов, чтобы пересмотреть предположения, необходимо снова начать цикл, тестируя измененные предложения и внося дальнейшие небольшие корректировки (итерации) или более существенные в идеи, которые не работают.

В-третьих, бережливые стартапы практикуют так называемое гибкое развитие (agile development), возникшее в индустрии IT-технологий. Гибкое развитие тесно работает с развитием клиента. В отличие от типичных годовых циклов разработки продукта, которые предполагают знание проблем клиентов и их потребностей, гибкая развитие минимизирует излишний расход времени и ресурсов, разрабатывая продукт итеративно и постепенно. Это процесс, при котором стартапы создают минимальные жизнеспособные продукты, которые в дальнейшем потом тестируют.

1.2 Тренды

Сегодня программное обеспечение с открытым исходным кодом, такое как GitHub, и облачные сервисы, такие как Amazon Web Services, сократили расходы на разработку программного обеспечения с миллионов долларов до тысяч. Действительно, стало частым явлением, когда молодые технические компании, которые практикуют бережливую методологию запуска, предлагают программные продукты, которые просто мгновенно поставляются через Интернет или оборудование, которое построено в Китае в течение нескольких недель после формирования.

Другой важной тенденцией является децентрализация доступа к финансированию. В сегодняшней предпринимательской экосистеме новые фонды «ангелов», меньшие, чем традиционный фонд венчурных фондов в сто миллионов долларов, и могут сделать инвестиции на ранней стадии. Во всем мире сотни акселераторов, таких как Y Combinator и TechStars помогают стартапам с привлечением начальных инвестиций. А сайты краудсорсинга, такие как Kickstarter, предоставляют еще один, более демократический метод финансирования стартапов.

Мгновенная доступность информации также является благом для сегодняшних новых предприятий. До появления Интернета новые учредители компании получали советы так часто, как могли бы пить кофе с опытными инвесторами или предпринимателями. Сегодня самая большая проблема заключается в сортировке информации, через подавляющее количество начальных советов, которые они получают.

В последние несколько лет стала популярной идея о том, что практика бережливого стартапа применима не только для молодых техно компаний. Недостаточно просто сосредоточиться на улучшении существующих бизнес-моделей. Почти каждая крупная компания понимает, что ей также необходимо постоянно бороться с растущими внешними угрозами, постоянно внедряя инновации. Чтобы обеспечить их выживание и рост, корпорациям необходимо постоянно изобретать новые бизнес-модели. Эта задача требует совершенно новых организационных структур и навыков. С годами управленческие эксперты, такие как Клейтон Кристенсен, Рита Макграт, Виджей Говиндараджан, Генри Чесбро, Ян Макмиллан, Александр Остервальдер продвинули мышление о том, как крупные компании могут улучшить свои инновационные процессы. Кроме того, в течение последних четырех лет крупные компании, включая General Electric, Qualcomm и Intuit, начали внедрять методологию бережливого запуска.

.3 Практика успешного применения методики бережливого стартапа в корпорациях

Рассмотрим практику применения техник «lean startup» в компании General Electric. Подразделение GE Energy Storage использует этот подход, чтобы преобразовать способ новаторства. В 2010 году Прескотт Логан, генеральный менеджер подразделения, признал, что новая батарея, разработанная подразделением, может разрушить индустрию. Вместо того, чтобы готовиться к строительству завода, расширять производство и запускать новое предложение (в конечном итоге названное Durathon) в качестве традиционного продукта, Логан применил бережливые методы. Он начал поиск бизнес-модели и привлечение клиентов. Он и его команда встретились лицом к лицу с десятками глобальных перспектив для изучения потенциальных новых рынков и приложений. Это были не продажи звонков: члены команды оставили свои слайды PowerPoint позади и выслушали проблемы клиентов и разочарования. Они глубоко погрузились, чтобы узнать, как покупатели покупают промышленные батареи, как часто они их используют, а также условия эксплуатации. С помощью этой обратной связи они существенно изменили ориентацию своих клиентов. Они устранили один из своих первоначальных целевых сегментов, центры обработки данных и обнаружили новые одноузловые программы. Кроме того, они сузили широкий сегмент клиентов «Телеком» до поставщиков сотовых телефонов в развивающихся странах с ненадежными электрическими сетями. В конце концов GE инвестировала 100 миллионов долларов в строительство производства батарей мирового класса в городе Скенектади, Нью-Йорк, которую она открыла в 2012 году. Согласно сообщениям в прессе, спрос на новые батареи настолько высок, что GE уже накопило множество заказов. Первые сто лет управленческого образования, были ориентированы на построение стратегий и инструментов, которые формализовали исполнение и эффективность для существующих предприятий. Теперь в практике есть первый набор инструментов для поиска новых бизнес-моделей при запуске начинающих предприятий.

2. Стартап в сфере медицины

2.1 Особенности стартапов на рынке медицинских изделий

Рынок медицинских изделий имеет непростую систему взаимодействия основных стейкхолдеров, а их по меньшей мере пять групп: пациенты, врачи, производители, клиники и регуляторы (государственные и муниципальные власти) (см.рисунок 2). Стартапы должны понимать все стороны рынка задолго до рассмотрения возможности продажи продукта.

Рисунок 2. Стейкхолдеры рынка медицинских изделий

Планируя заниматься бизнесом в сфере медицинского оборудования, необходимо учитывать специфику продуктовой категории. В соответствии с классификацией американского Центра медицинских устройств и радиологического здоровья (CDRH) медицинские устройства помещают в три «класса» на основе их рисков (см.рисунок 3).

Устройства класса I с низким уровнем риска и имеют наименьший регуляторный контроль. Например, зубная нить, депрессоры языка, стропы рук и ручные хирургические инструменты классифицируются как устройства класса I. Устройства класса II являются устройствами с более высоким уровнем риска и имеют больше правил, чтобы подтвердить безопасность и эффективность устройства. Например, рентгеновские системы, газоанализаторы, насосы и хирургические шторы классифицируются как устройства класса II.

Устройства класса III, как правило, являются устройствами с высоким уровнем риска и должны быть одобрены высшими инстанциями до их продажи. Например, имплантируемые устройства (устройства, созданные для замены / поддержки или улучшения части тела), такие как кардиостимуляторы, имплантаты, искусственные бедра, колени и сменные сердечные клапаны, классифицируются как устройства класса III. Медицинские устройства класса III, которые представляют собой устройства с повышенным риском или новые устройства, для которых не существует «предикатного устройства», требуют клинических испытаний, апробации.

Рисунок 3. Блок-схема процесса вывода на рынок медицинского продукта

Уровень инвестирования в стартапы по медицинским изделиям значительно ниже, чем в других направления по причине усложненности процесса вывода продукта и растянутых сроков окупаемости. К тому же во всех продуктовых сегментах ценовое давление неумолимо, давление на цены и маржу продолжает расти. Иначе обстоит ситуация на рынке цифровой медицины.

.2 Цифровая медицина. Специфика, трудности для стартапа и современные направления развития

В сегодняшнем мире медицина имеет огромный потенциал для применения современных технологий. Однако по словам Льюиса Митчелла из крупнейшей американской медицинской клиники Mayo, использование информационных технологий в медицине отстает на 25-30 лет от остальных сфер бизнеса. С точки зрения услуги, здравоохранение и в развивающихся, в развитых странах непродуктивно, малоэффективно и не нацелено на позитивный клиентский опыт. Проблемы есть и в доступности медицинских услуг (очереди, высокая стоимость, нехватка специалистов, недостаточный охват населения страховкой), в своевременности (поздняя постановка диагноза, ошибки в диагностике и опоздание с лечебными мерами), в качестве обслуживания. Отрасль медицины сильно фрагментирована, в ней присутствуют небольшое количество частный клиник и частных врачебных практик, большая же часть состоит из муниципальных, городских лечебно-профилактических учреждений, информационный поток между которыми практически отсутствует. Поэтому возникает огромная возможность для инновационных технологий, услуг и бизнес-моделей. Однако инновации в медицину проникают долго. Причиной тому, по словам американского предпринимателя Алекса Виноградова, могут служить следующие факторы:

Противостояние интересов заинтересованных игроков: крупных медклиник, отдельных врачей, технологических компаний, исследовательских институтов, государства;

Отсутствие рабочей схемы для инвестирования. IT-стартапы финансируются за счет бизнес-ангелов и венчурных фондов, с медицинскими проектами ситуация сложнее ввиду увеличенных сроков окупаемости, поэтому стандартная схема инвестирования в здравоохранение не работает;

Отсутствие знаний и опыта в финансировании и продвижении биомедицинских разработок;

Неверный выбор целевой аудитории.

Вышеуказанные факторы могут повлиять на то, что история существования стартапа становиться плачевной, а многие перспективные идеи остаются «в столе».

Что касается успешности стартапа на рынке медицины, то мировые эксперты и практики выделяют несколько ключевых факторов. Ниже представлен их обобщенный перечень:

Синтез медицинских, технологических и бизнес составляющих компонентов в одной модели;

Ориентация на перспективные сегменты рынка. Например, по данным исследования Mercom Capital Group на ближайшие годы выделяют несколько приоритетов для инвестирования, среди которых - телемедицина, пользовательские цифровые гаджеты и анализ данных;

Синергия инноваций, создание комплексных решений. Часто различные решения дополняют друг друга или ориентированы на решение одной и той же проблемы целевой аудитории.

Эти составляющие возможно объединить в условиях лабораторий инноваций, создаваемых крупными игроками рынка: клиниками, технологическими гигантами, инвестиционными компаниями. Кроме того, существуют специализированные акселераторы для бизнеса, которые предоставляют командам все необходимые условия: знания, финансирование, стратегические связи на рынке, базу для испытаний и площадки для применения инноваций (см. приложение «Стартап-акселераторы в сфере digital-здравоохранения»).

Как было сказано ранее, согласно исследованию Mercom Capital Group, инвестиции в сектор анализа данных в медицине, носимых гаджетов и телемедицины в 2016 году составили $1,4 млрд, показав в первом квартале 2016 года рост на 27% к предыдущему кварталу. Первое место по объёму инвестиций заняли носимые гаджеты с инвестициями $260 миллионов. Сектор анализа данных привлёк $197 миллионов, сектор телемедицины - $171 миллион. Инвестиции в мобильную медицину составили $120 млн, а в информационные и образовательные ресурсы о здравоохранении - $100 млн (см. график 1 и 2)

График 1. Инвестиции в IT VC в медицине (по миру) в 2016 году (US$ in million)

График 2. Инвестиции в IT VC в медицине c 2010 по 2016 год (по технологиям)

Российские инвесторы давно оценили перспективы рынка телемедицины и других проектов на стыке медицины и IT. Юрий Мильнер вложил $90 млн в индийский онлайн-сервис записи к врачам. Роман Абрамович инвестировал $0,5 млн в российско-израильский сервис медицинских консультаций Medviser. Российский венчурный рынок может похвастаться успешными инвестициями не только в иностранные проекты. Несмотря на то, что местный технологический рынок в среднем отстаёт от лидеров на 5−10 лет, в России есть медицинские проекты, которые могут составить конкуренцию западным аналогам, и даже продукты, не имеющие мировых аналогов. Например, российский стартап в сфере телемедицины UNIM решает проблему дистанционной онкологической диагностики. Компания доставляет биопсийный материал из любого города России в патоморфологические лаборатории страны. На международный рынок проект вышел с облачной платформой Digital Pathology. Сейчас компания сотрудничает с лучшими российскими и зарубежными лабораториями, специализирующимися на различных нозологиях. Сервис позволяет подобрать для каждого пациента консилиум врачей, которые разберутся и поставят точный диагноз даже в самых сложных случаях.

Рынок здравоохранения меняется: население растет, продолжительность жизни увеличивается, требования к качеству жизни растут, и действующая сегодня система здравоохранения не справляется с этими вызовами. Первые шаги по внедрению телемедицины в России пока точечные - к примеру, запись на приём к врачам в Москве. С развитием телемедицинских услуг, необходима разработка единого стандарта обмена и хранения данных, что в свою очередь требует усовершенствования российского законодательства. В России множество удалённых районов, где квалифицированная медицинская помощь недоступна. Поэтому сервисы, позволяющие отправить врачу предварительные данные о состоянии здоровья и пообщаться с ним удалённо, дадут людям возможность получить квалифицированную помощь и ответы на их вопросы. Внедрение электронной карты пациента, доступной всем медицинским учреждениям в России - еще одна платформа для рывка вперед, требующая грамотно подхода к развитию. Эти тренды ведут к тому, что совсем скоро домашний уход составит 70% от всего ухода за больным (сегодня он составляет только 20 %). Это создаст спрос на современные средства контроля здоровья людей. А задача современных и будущих медицинских компаний удовлетворять этот спрос, предлагая инновационный продукт, направленный на улучшение жизни пациента. Для этого необходимы, еще раз стоит подчеркнуть, глубокие знания о потребностях и интересах потребителей.

3. Методика развития клиента

3.1 Ключевые принципы

Составляющие компоненты любого стартапа - это люди, продукт, инновации и условия неопределенности. Выпуск продукта, который оказывается никому не нужным, частая проблема многих стартапов. Основная идея подхода бережливого производства для стартапов - это научиться проверять гипотезы на практике, выясняя реальные потребности клиентов и быстро корректируя продукт с учетом этих знаний. За цифрами в бизнесе всегда стоят люди, важно получать знания из первых рук, буквально выходя на улицу. Такому принципу служит методика развития клиентов, состоящая из четырех фундаментальных этапов. (см. рисунок 4).

Рисунок 4. Четыре шага метода развития клиентов Стива Бланка

Несмотря на то, что концепция относительно молодая, о ней написаны десятки книг и статей. Поэтому в данном разделе будет коротко освещена общая суть метода и более подробно рассмотрен лишь этап «Поиска клиента» в целях более качественного изучения темы. При следовании методики по результатам каждого шага раскрывается релевантная информация:

«Поиск клиентов». Продукт решает проблему для определенного сегмента пользователей;

«Проверка клиентов». Рынок достаточно велик, чтобы можно было построить жизнеспособный бизнес;

«Создание компании». Бизнес масштабируется при помощи повторяемой стратегии продаж и маркетинга;

«Построение компании». Департаменты и операционные процессы создаются, чтобы поддерживать масштабирование.

Первый блок в модели развития отношений с клиентами осуществляется в пять этапов:

Формирование гипотезы

Поиск потенциальных клиентов для общения

Постановка правильных вопросов

Осмысление ответов

Выяснение того, что нужно создавать, чтобы продолжать обучение

Если изначально выдвинутая гипотеза неправильная или даже частично неправильная, то это можно быстро обнаружить. Если возникают трудности с поиском клиентов, то можно изменить гипотезу. Если мнения клиентов противоречат поставленным гипотезам, то можно также изменить гипотезу. Эти корректировки курса приведут к подтверждению той идеи, которую хотят клиенты и за которую они готовы платить.

После выдвижения гипотез, следует определить целевого клиента, создать его профиль. Подходящая аудитория может быть достаточно широкой и в конечном счете будет заинтересована в продукте. Но на стартовом этапе не все люди будут готовы приобрести этот продукт и начать пользоваться им. Необходимо сосредоточиться на тех клиентах, которые расположены по левую сторону жизненного цикла внедрения технологий (см.рисунок 5).

Рисунок 5. Жизненный цикл внедрения технологий (E.Rogers)

Для заполнения профиля целевого клиента существуют определенные общие вопросы, позволяющие не потерять намеченного курса:

О чем этот человек больше всего беспокоится?

Какие успехи или награды этот человек находит для себя наиболее мотивирующими?

Какие функции выполняет? Какая должность?

Какую социальную идентичность (подросток, мама, путешественник, пенсионер, спортсмен и т. д.) использовал бы этот человек, чтобы описать себя?

Развитие клиентов начинается с изменения собственных взглядов и подходов. Вместо того, чтобы полагать, что идеи и интуиции правильны и приступать к разработке продукта, необходимо доказывать или опровергать гипотезы, дорабатывать идеи. Каждая гипотеза, признанная недействительной в результате беседы с потенциальными клиентами, не позволяет тратить время на создание продукта, который никто не купит. Выдвинуть гипотезы и определить целевую аудиторию для взаимодействия недостаточно. Важно правильно выстроить диалог с клиентом, задать верны вопросы, чтобы получить желаемую информацию. Поэтому общение с клиентом - процесс, требующий особой подготовки и знания некоторых основ межличностной психологии.

3.2 Особенности психологии при взаимодействии с клиентом

Индивидуумы бывают разные, но человеческая психология довольно универсальна. Люди мотивированы одними и теми же желаниями:

Мы любим помогать другим

Нам нравится казаться умными

Нам нравится исправлять ситуацию

Одна из немногих общемировых универсальных психологических конструкций - вне зависимости от культуры или дохода, мы получаем счастье от инвестирования наших ресурсов, чтобы помочь другим. Если при общении указать, почему он был выбран для разговора, то он почувствует свою важность. Он не может игнорировать это, полагая, что с этим справится кто-то другой.

Желание казаться умным не так эгоистично, как кажется; Мы вознаграждаемся, когда мы обретаем уважение других. Психолог Абрахам Маслоу определил это как уважение (достижение, уважение других, уважение со стороны других) и включил его в пирамиду потребностей.

«Успешно решив ту или иную проблему, мы можем продемонстрировать влияние в наших отношениях в социальном контексте и чувствовать себя более способными, компетентными, уполномоченными». Если лично не столкнуться с проблемами, которые мы пытаемся решить, все еще может быть трудно представить, что клиенты будут стремиться говорить с нами.

Люди по своей природе сосредоточены на задачах и процессах, с которыми они наиболее знакомы. Когда у нас есть задача для завершения, мы фокусируемся на ее завершении, а не на оптимизации того, как мы ее завершаем. Мы не оспариваем наши предположения. Такая концепция в психологии называется функциональная закрепленность, которую социальный психолог Карл Данкер назвал «ментальной блокировкой против использования объекта по-новому, что необходимо для решения проблемы». Человек не умеет переосмысливать. В повседневной жизни способность видеть предмет или процесс как имеющего только одну цель делает человеческий мозг более эффективными. Но эта эффективность отрицательно сказывается в поиске новых решений сложных проблем.

Нужны клиенты, которые понимают, что у них есть проблема, чтобы они могли критиковать возможные решения. Один из способов сделать это - заставить их более глубоко задуматься о поведении, которое стало для них рутинным.

Выстраивание отношений с клиентом можно сравнить с медалью, с одной стороны которой выгоды для клиента, с другой - для бизнеса. Процесс поиска, связи, налаживания точек контакта с клиентом является маркетинговым процессом, в котором применяются известные маркетинговые инструменты с учетом современных моделей и подходов. Подробнее методика построения отношений с клиентами российского медицинского стартапа на примере создания карты ценностного предложения будет разбираться в практической части работы.

Исследование способа построения отношения с клиентами. Создание карты ценностного предложения.

Методология исследования

Для достижения цели исследования - разработка карты ценностного предложения для клиентов компании «А-Медпроект» - в соответствии с подходом «бережливого» развития клиента был выбран такой метод сбора информации, как глубинное интервью, подкрепленное онлайн опросом. Ожидаемым результатом данного исследования является создание карты ценностного предложения для клиентов стартапа «А-Медпроект» и выдвижение последующих рекомендации по стратегии взаимодействия с ними. Качественное исследование, в связи со спецификой медицинской отрасли, предоставит более глубокое понимание того, как клиенты думают, принимают решения, выражают свои проблемы. Опыт респондентов, специфика их места работы могут отличаться, поэтому основу интервью составляют основные блоки вопросов, которые могут дополняться другими возникающими в ходе беседы логичными вопросами. В целях получения максимальной отдачи от основных вопросов, необходимо знать, что именно нужно слушать. Объективный и субъективные факторы отделяют обычных клиентов от покупающих клиентов. Во время интервью важно уловить информацию по следующим вопросам:

Как клиенты ведут себя сегодня (и что предсказывает, как они будут вести себя завтра);

Ограничения, которые влияют на выбор и действия клиентов;

Что мотивирует и расстраивает клиентов;

Как клиенты принимают решения и определяют ценность.

Так как клиентами в данной исследовательском кейсе выступают врачи-хирурги, то интервью и опрос проводились среди хирургов. Респонденты для интервью были предварительно сегментированы (о способе будет сказано далее).

Для проведения качественного исследования был составлен гайд (см. приложение), разделенный на 3 части. Для создания атмосферы безопасности в начале интервью подчеркивалось, что оно носит исследовательский характер и будет использовано в рамках учебного проекта. Для получения максимально честных ответов перед проведением интервью обозначалось, что на задаваемые вопросы нет правильного и неправильного ответа, так как исследователю важно услышать экспертную оценку респондента на то, с чем он сталкивается на рабочем месте. Все части гайда направлены на тестирование исследовательских гипотез.

Онлайн опрос - состоит также из 3-х блоков (см. приложение):

Часть 1: Общая характеристика профессиональной деятельности

В этой части респонденту предлагалось ответить на ряд вопросов, относительно его ценностей в работе, взгляде на профессионализм, трудностях и возможных рисков.

Часть 2: Характеристика опыта применения хирургических имплантатов

Вопросы об опыте применения хирургических сеток, как часто приходится применять в работе, что нравится в существующих продуктах, что хотели бы улучшить.

Часть 3: Характеристика деятельности хирурга

В этом блоке следует ряд вопросов по теме применяемых техник выполнения операций грыжесечения, насколько он знаком с той или иной техникой. Новый медицинский продукт чаще всего создает новую технологию, поэтому определить профессиональный уровень компетенций клиента важно.

Нам необходима экспертная оценка людей, которые непосредственно занимаются выполнением операций грыжесечения с применением хирургического имплантата. Только экспертный инсайт от людей, осуществляющих такую деятельность, способен дать ответы на задачи исследования и его гипотезы. А главная задача в процессе взятия интервью - узнать, как можно более подробную информацию о повседневной деятельности врача-хирурга, понять его интересы, проблемы и мотивы действий. Ограничение по типу места работы респондентов не применялось. Ответ считался релевантным при уровне покрытия гайда на 80%.

Предварительное сегментирование и описание выборки

В ходе исследования было опрошено 6 экспертов врачей по специализации общая хирургия. С подробным профилем каждого из них можно ознакомиться в приложении в разделе транскриптов интервью. Все эксперты работают в Москве в разных типах лечебных учреждений: государственных, ведомственных и частных клиниках. Перед проведением интервью была проведена предварительная сегментация респондентов:

. Эксперты/лидеры мнения:

По роду деятельности: врачи-хирурги со стажем работы по специальности больше 20-ти лет. Составляют «элиту» российских хирургов-герниологов. К их профессиональному мнению прислушиваются, несут передовые знания в массы. Первыми применяют новинки в своей практике, готовы пойти на риск (в пределах допустимых норм в отношении жизни и здоровья пациента). Обязательно когда-то проходили обучение у мировых «титанов» хирургии. Их часто приглашают выступать на мастер-классах и конференциях в разных городах России.

. Начинающие звезды:

По роду деятельности: врачи-хирурги со стажем работы по специальности от 5 до 15 лет. Быстро обучаются и с легкостью воспринимают новые теории, показывают выдающиеся результаты в работе. Чаще всего являются учениками Экспертов. Находятся в поисках своей «отличительной черты». Мобильны, склонны пересматривать подходы к работе.

Онлайн-опрос был проведен среди хирургов-герниологов с разным стажем работы из разных городов. Количество принявших участие в опросе на момент написания исследовательской работы - 40 респондентов. В таких условиях затруднительно говорить о высокой репрезентативности ответов; малое количество объясняется высокой загруженностью хирургов и консервативностью медицинской отрасли в целом, где опросы среди врачей про ценности не так распространены, в особенности в регионах. Однако мы не остановимся на данном уровне, в перспективе исследования будем расширять базу. Географический охват представлен на рисунке 6.

Рисунок 6. Географический охват респондентов опроса

Содержательные аспекты полученных данных

Гипотеза №1. Можно предположить, что в большинстве случаев врачи-хирурги испытывают трудности в профессиональной деятельности из-за ограничения возможности внедрения передовых технологичных продуктов в их повседневную работу.

Респондентам задавался ряд вопрос относительно трудностей, с которыми они сталкиваются в повседневной работе. Стоит отметить важную особенность, что продукт, в нашем случае, хирургический имплантат, может дойти до рук хирурга несколькими способами: 1) через закупки больницы (бюджет больницы) 2) через продажу пациенту (бюджет пациента) 3) напрямую врачу от производителя/дистрибьютора (за счет бюджета пациента). Собственных средств на покупку продукта врач не вносит, что важно иметь в виду для разбора 2 гипотезы. Он лишь влияет на решение о приобретении продукта.

Таким образом, по первой гипотезе среди респондентов мнения разделились, причем, как оказалось, тип места работы не оказал воздействия. Влияющим фактором стало межличностное отношение врача с руководством. Больше половины экспертов, как из государственных, так и из частных клиник Москвы жаловались на трудности общения с администрацией и на отсутствие возможности донести до руководства какое-либо предложение по продукции. Выражать мнение по вопросу закупки понравившегося продукта так же затруднительно. Руководство оценивает только финансовую составляющую.

«А вот, непонимание, например, администрации в случаях, когда надо такой-то или такой-то инструмент закупать, попытки объяснить им, что нельзя в отделении хирургии внедрять, например, ЛОР-болезни. Вот это, на мой взгляд, самое сложное. То есть, самое сложное, это невозможность с нынешними администрациями разговаривать, по существу». (Протасов А.В., зав. хирургическим отделением ГКБ ФМБА №85)

«Что больница закупит, тем и оперируем. Если отечественный производитель, значит отечественный, руководство, порой не понимает, с чем действительно можно работать, а что чуть ли не опасно…» (Богданов Д.Ю., зав. хирургическим отделением, КБ ЦентрСоюза)

«Наша клиника - громоздкая неповоротливая структура, в которой большая вертикаль власти. Нам с профессором удавалось выстраивать диалог с администрацией, и они шли нам навстречу, но это в порядке исключения было. В большинстве случаев такой возможности нет. Бывало доходило до абсурдного, что банальные маски закупать могли месяц-полтора». (Шеров Р.Р., врач-хирург МЕДСИ)

«…насколько я вижу, нынешний материал, инструменты не отвечают тем требованиям, которые должны быть». (Протасов А.В., зав. хирургическим отделением ГКБ ФМБА №85)

«В плане финансирования…хочется, конечно, чтобы было качественное оборудование и тем самым было приятно делать операции, ведь ни для никого не секрет, что на новом оборудовании лучше работать, чем на каком-то устарелом. Да, эта проблема есть, но на неё тоже все глаза закрывают… Скажем… Справляемся своими силами». (Никонов А.А. врач-хирург, Управление делами Президента РФ)

Меньшая часть респондентов сообщила об отсутствии сложностей при общении с руководством и в процессе приобретения новой продукции.

«Сейчас ситуация вышла на другой уровень. Проблемы нет, больница закупает, допустим наша. Хотя я знаю, что в Брянске, в нашей же больнице, ничего не закупают. Там больной все сам закупает как-то; там по-прежнему, по старинке все идет. Но это сейчас хоть незаконно вообще-то. У нас закупается, проблем нет». (Юрасов А.В., главный специалист по хирургии, НУЗ НКЦ ОАО РЖД)

«Раньше, наверное, так и было, что к руководству не подойти. Ну и я был, собственно говоря, не особо опытным хирургом. Сейчас ситуация у нас поменялась, сейчас я могу легко подойти к заведующему отделением, сказать, что вот пожалуйста, мне нравится вот этот инструмент, он современный, облегчит работу хирурга и главное улучшит результат лечения - мы её заказываем и пробуем» (Никонов А.А. врач-хирург, Управление делами Президента РФ)

Если говорить о результатах опроса, то самый популярный ответ на вопрос о трудностях - финансовые (отсутствие адекватного финансирования расходных материалов для выполнения герниопластик). Вариант «отношение с администрацией» занимает третью позицию.

Рисунок 7. Распределение ответов респондентов на вопрос о трудностях/издержках

Таким образом, на основе ответов респондентов, можно сказать, что гипотеза об имеющихся трудностях в приобретении новой продукции для операций частично подтвердилась, т.к. мы не можем с уверенностью заявить, что абсолютное большинство хирургов имеют подобные затруднения. Эта гипотеза требует дальнейшего исследования.

Гипотеза №2. Можно предположить, что ценовой фактор играет решающую роль при выборе хирургом того или иного продукта.

В интервью с экспертами в 4 из 6 случаев в клиниках применяется способ «пациентских» продаж, т.е. врач выбирает и предлагает разные имплантаты для операции, а пациенты самостоятельно приобретает этот продукт в зависимости от возможностей. С одной стороны, врач выступает источником информации о продукте, способного существенно повлиять на решение пациента о выборе имплантата, однако это решение упирается в финансовые ограничения конечного покупателя и «…если человек не может купить сетку, скажем, за 10 тысяч, но может купить за 5, человек купит ее за 5 тысяч, и мы ее имплантируем».

«При этом мы рекомендуем, какой необходим в данной ситуации и вид оперативного вмешательства, и, соответственно, исходя из этого, использование сетчатого протеза. Уже выбирает потом человек. Выбор все равно остается за человеком, после всех рассказов, демонстраций, изысканий, и т.д., и т.п., человек делает выбор. Мы не давим на человека. Если человек не может купить сетку, скажем, за 10 тысяч, но может купить за 5, человек купит ее за 5 тысяч, и мы ее имплантируем. Но при этом мы никогда не посоветуем человеку купить сетку за 500 рублей». (Кулиев С.А. зав. хирургическим отделением, СМ-клиника)

«…больного, который приходит ко мне на операцию, мы ставим в известность, сколько будет стоить тот или иной материал. И, если он согласен, мы заранее материал приобретаем и оперируем». (Протасов А.В., зав. хирургическим отделением ГКБ ФМБА №85)

«Можно пойти и другим путём, можно найти сначала пациента, сказать, что вот есть суперновинка, её как-то разрекламировать, и тогда, пожалуйста, за счёт пациента это всё будет. Но в любом случае это будет за счёт пациента, но либо пациент сам покупает эти новинки, либо он потом те же самые деньги платит в кассу больницы». (Никонов А.А. врач-хирург, Управление делами Президента РФ)

По результатам интервью нельзя сказать, что фактор цены играет определяющую роль при первоначальном выборе продукта. Если хирургический имплантат нравится хирургу, ему удобно с ним работать, он знает его качество и результаты клинических исследований, ничего не помешает ему его рекомендовать к операции (при условии, если он централизованно не закуплен больницей и запрещены «пациентские» продажи, в таком случае в операции будет использоваться имеющиеся изделие). По количественным результатам (см. рисунок 8) исследования также гипотеза опровергнута. Респонденты отметили влияние ценового фактора нейтральным при выборе хирургической сетки. Первостепенное значение имеет качество продукта и мнения мировых экспертов о продукте. Это также может говорить нам о том, что врачи в значительной степени подвержены влиянию мнения со стороны значимых лиц данной медицинской сферы.

Рисунок 8. Распределение ответов респондентов на вопрос: «Оцените, насколько для Вас значимы следующие хар-ки при выборе хирургической сетки»

Таким образом, гипотеза №2, о решающей роли ценового фактора при выборе хирургической сетки, не подтвердилась. Были выявлены другие факторы, качество продукта и мнения мировых экспертов о продукте, имеющие большую степень значимости в процессе принятия решения.

Гипотеза №3. Можно предположить, что в большинстве случае врачи-хирурги не используют новые технологичные изделия по причине дефицита информации о технологии применения и клинических результатах.

«В наше время вся информация есть в свободном доступе в интернете, всё что угодно, её предостаточно и легко найти. Тот, кто ищет, тот всегда найдет». (Шеров Р.Р., врач-хирург, МЕДСИ)

«По поводу каких-то профессиональных вещей - ведь у нас же информация сейчас быстро растекается, бывают такие ситуации, что вот опять, на новом каком-то там заседании европейского общества кто-нибудь выкинет какой-нибудь новый метод. Вот он, новый метод лечения. И его начинают фирмы продвигать. Потому что это обычно сопровождается каким-то новым протезом и так далее, какой-то особой формой.» (Юрасов А.В., главный специалист по хирургии, НУЗ НКЦ ОАО РЖД)

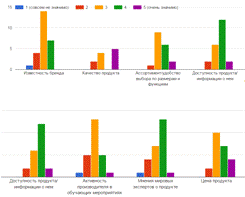
Результаты онлайн-опроса показали, что респонденты достаточно высоко оценили важность фактора доступности информации, доступность продукта и информации для них скорее значимо, чем незначимо. При этом активность производителя в обучающих мероприятиях занимает нейтральное положение. Возможно, врачи привыкли к самообразованию.

Рисунок 9. Распределение ответов респондентов на вопрос: «Оцените, насколько для Вас значимы следующие хар-ки при выборе хирургической сетки»

Удалось заметить одну особенность. Как мы уже определили, доступность информации о продукте имеет значимость для врачей, и, по их словам, на сегодняшний день нет никакой проблемы с получением этой информации, однако знание о новом способе фиксации с применением недавно разработанного имплантата с фиксацией за счет наличия на поверхности клеевой композиции оказалось на самом низком уровне (см. рисунок 10). Данный факт может свидетельствовать, к примеру, о слабой политике продвижения компании-производителя этих новых имплантатов. Хирурги не знают продукт, соответственно не знакомы с его методикой применения. Это предположение требует дальнейшего исследования и тестирования.

Рисунок 10. Распределение ответов респондентов на вопрос: «Какой способ самостоятельной фиксации имплантатов Вам известен»

В тоже время, если речь идет о всех существующих самофиксирующихся имплантатах, то лишь 5% респондентов отметили нехватку убедительной информации об оперативной технике и результатах герниопластик с самофиксирующимися имплантатами. По результатам получается, что для выполнения той или иной техники операции, информации о технологиях и клинических результатов достаточно.

Рисунок 11. Распределение ответов респондентов на вопрос: «Что Вас не устраивает или сдерживает от применения самофиксирующихся имплантатов? »

Таким образом, гипотеза №3 о

Таким образом, гипотеза №3 не нашла своего полного подтверждения. Дефицит информации, как сдерживающий фактор, встречается среди мнений респондентов, однако эксперты в этом проблему не увидели. В качестве следующей гипотезы можно предположить, что факт информационной дифференциации обусловлен такими переменными, как стаж работы, положение в профессиональном сообществе, географическая удаленность, образовательная политика производителя продукта и др. Что формирует основу для будущих исследований по данной теме.

Проанализировав транскрипты интервью и результаты анкетирования, можно приступить к созданию полного профиля клиента. В качестве потребительского сегмента, профиль которого будет составлен, были выбраны эксперты/ лидеры мнений, т.к. они представляют для нас потенциальную аудиторию нового продукта компании «А-Медпроект».

Создание профиля потребителя (врача-хирурга)

Задачи потребителя

Функциональные:

Вылечить пациента. Избавить пациента от дискомфорта грыжи, чтобы у человека был минимальный болевой синдром после операции и не было нагноения раны. Минимизировать риск возникновения рецидива грыж при динамическом наблюдении в отдаленном послеоперационном периоде.

Социальные:

Поддерживать межпрофессиональное признание, т.е. когда к нему обращаются за советом, консультацией, идет постоянный поток пациентов, приглашают на мастер-классы и конференции в качестве лектора. Делиться знаниями и продвигать свои научные идеи. Быть в центре событий профессионального сообщества.

Личностные/ эмоциональные:

Стремятся получить удовольствие от каждой проведенной операции грыжесечения, т.е. важно наличие высокотехнологичного качественного медицинского оборудования, облегчающего труд хирурга и улучшающего клинические результаты. Не смотря на солидный возраст, хотят идти в ногу со временем. Иногда требуют повышенного внимания к себе. Продукт (мед.изделие) должен быть безопасным для здоровья пациента.

Проблемы потребителя

Нежелательные результаты:

Появление у пациента рецидива после проведенной операции.

Трудности:

Нехватка времени. Много времени занимает бумажная работа. Трудности с использованием самофиксирующихся имплантатов: невозможно скорректировать размер сетки, быстро фиксируется не к целевому месту, трудно скорректировать положение. При рецидиве трудно определить расположение имплантата в теле человека. Качественные имплантаты дорогие, далеко не каждый пациент может позволить.

Риски:

Во время операции может выясниться, что отсутствует необходимый расходный материал. Может быть нанесен вред здоровью пациента при использовании в операции новинки.

Выгоды потребителя

Необходимая выгода:

Здоровый и довольный пациент. Безопасный имплантат. Инертность, быстрая интеграция, гипоаллергенность

Ожидаемая выгода:

Отсутствие рецидива грыж при динамическом наблюдении в отдаленном послеоперационном периоде. Удобная и простая техника применение имплантата. Без отрицательных воздействий на другие системы человеческого организма.

Желательная выгода:

Наличие временной экспозиции, после которой наступает первичная самостоятельная фиксация имплантата. Анатомичность. Долговечные, сохраняют прочность. Подходят под каждые индивидуальные особенности.

Неожиданная выгода:

Способность имплантата быть видимым при послеоперационной диагностике. Самостоятельно занимает оперируемое пространство

Иерархия задач, проблем и выгод

ВАЖНЫЕ ЗАДАЧИ

Вылечить пациента.

Минимизировать риск возникновения рецидива грыж при динамическом наблюдении в отдаленном послеоперационном периоде.

Избавить пациента от дискомфорта грыжи, чтобы у человека был минимальный болевой синдром после операции и не было нагноения раны.

Продукт (мед.изделие) должен быть безопасным для здоровья пациента.

Делиться знаниями и продвигать свои научные идеи.

Стремятся получить удовольствие от каждой проведенной операции грыжесечения, т.е. важно наличие высокотехнологичного качественного медицинского оборудования, облегчающего труд хирурга и улучшающего клинические результаты.

Поддерживать межпрофессиональное признание, т.е. когда к нему обращаются за советом, консультацией, идет постоянный поток пациентов, приглашают на мастер-классы и конференции в качестве лектора.

Быть в центре событий профессионального сообщества.

Не смотря на солидный возраст, хотят идти в ногу со временем.

Иногда требуют повышенного внимания к себе.

МАЛОВАЖНЫЕ ЗАДАЧИ

СЕРЬЕЗНЫЕ ПРОБЛЕМЫ

Может быть нанесен вред здоровью пациента при использовании в операции новинки.

Во время операции может выясниться, что отсутствует необходимый расходный материал.

Появление у пациента рецидива после проведенной операции.

Трудности с использованием самофиксирующихся имплантатов: невозможно скорректировать размер сетки, быстро фиксируется не к целевому месту, трудно скорректировать положение. При рецидиве трудно определить расположение имплантата в теле человека.

Качественные имплантаты дорогие, далеко не каждый пациент может позволить.

Нехватка времени.

Много времени занимает бумажная работа.

УМЕРЕННЫЕ ПРОБЛЕМЫ

НЕОБХОДИМЫЕ ВЫГОДЫ

Здоровый и довольный пациент

Безопасный имплантат

Инертность, быстрая интеграция, гипоаллергенность

Отсутствие рецидива грыж при динамическом наблюдении в отдаленном послеоперационном периоде.

Без отрицательных воздействий на другие системы человеческого организма.

Удобная и простая техника применение имплантата.

Наличие временной экспозиции, после которой наступает первичная самостоятельная фиксация имплантата.

Анатомичность

Долговечные, сохраняют прочность.

Подходят под каждые индивидуальные особенности.

Самостоятельно занимает оперируемое пространство

Способность имплантата быть видимым при послеоперационной диагностике.

ЖЕЛАТЕЛЬНЫЕ ВЫГОДЫ

Построение карты ценностного предложения

ТОВАРЫ И УСЛУГИ

Хирургический имплантат, прошедший клинические испытания: из материала PVDF, долговечный, анатомической формы, разных размеров, самофиксирующийся, без вредных последствий для человека, с простой технологией применения и с возможностью последующего диагностического исследования.

Тематические мастер-классы: участие в обучающих офлайн мастер-классах в качестве ведущего лектора с применением целевого продукта.

Онлайн-курсы: быть лектором онлайн-курса по актуальным темам хирургии для молодых врачей

ФАКТОРЫ ПОМОЩИ

Минимизирует риск рецидивов за счет материала поливинилиденфторида, способствующего высокой биосовместимости с организмом, а также высокой прочности.

Не надо переживать за размер имплантата, он создается индивидуально.

Экономичнее по цене по сравнению с биологическими сетками за счет материала

Простая техника применения, не требует долгого обучения

Упрощен процесс внедрения имплантата, тем самым сокращается время на выполнение одной операции

ФАКТОРЫ ВЫГОДЫ

Здоровый счастливый пациент без рецидива

Минимальный процент рецидивов в долгосрочной перспективе

Уверенность в безопасности продукта (возможно, дополнительной скрытой помощи)

Эстетичный послеоперационный характер, место внедрения имплантата почти не заметно (важно для пациенток-женщин)

Возможность делиться знаниями с коллегами

Поддержка статуса эксперта в профессиональном обществе

Поиск соответствия между профилем потребителя и картой ценностей - процесс создания идеи продукта/услуги, отвечающей задачам, проблемам и выгодам, реально значимым для потребителя. Соответствие достигается в три стадии. Первая стадия - идентификация задач, проблем и выгод потребителя, на которые может быть ориентировано ценностное предложение - выполнена в данной работе. Однако она может повторяться снова, пока не будет достигнута положительная реакция от потребителя на наш минимально жизнеспособный продукт. Карта ценностного предложения может дополняться новыми идеями по мере выстраивания отношений с клиентами на протяжении всего жизненного цикла компании. Что же касается остальных стадий соответствия - положительной реакции потребителя на предложение, его продвижение на рынок и масштабирования бизнес-модели - они требуют существенных ресурсов на реализацию, таких как время, финансы и человеческие ресурсы. Поэтому эти этапы в данной исследовательской работе рассмотрены не будут

Рекомендации по применению карты ценностного предложения

После первоначального создания карты ценностного предложения, необходимо приступить к созданию прототипа продукта/услуги. В нашем случае в целях экономии средств хирургический имплантат может быть спроектирован в режиме 3-D для первого знакомства с потребителем. Затем снова выйти «в поля» и общаться с клиентами. При этом важно скорректировать имеющий гайд для интервью с учетом особенностей первых интервью, а именно: выяснить на более глубоком уровне мнения хирургов об их проблемах и задачах. Визуальное воплощение продукта позволит потребителю дать нам более конструктивные комментарии и пожелания. По истине существенные замечания и идеи выскажет тот потребитель, которого долго мучает насущная проблема, и он всеми силами будет пытаться помочь нам в ее решении. Главное, правильно определить проблему потребителя и подобрать верное для нее решение. А соответствие достигается, когда ценностное предложение приводит потребителей в восторг, а это происходит, если учитываются важные задачи, предлагается помощь в решении серьезных проблем и создаются необходимые выгоды.

Заключение

Понимание собственных пользователей, понимание и осознание их «болей» и потребностей - это ключ к успеху, то, что может сделать проект обреченным на успех. Зачастую многие компании забывают об этом и делают сам продукт, но не для собственных клиентов, а лишь ориентируясь на собственное виденье своего же продукта. Таким методом они не учитывают многие риски, что в последствии грозит им гибелью.

В своей работе я изучила модель построения отношений с клиентом на примере компании из сферы медицины и построила для нее ценностное предложение. Изначально было рассмотрено, что значит «стартап» на сегодняшний момент, его основные концепции и существующие тренды. В качестве примера успешного применения методики бережливого стартапа в корпорациях была изучена компания General Electric.

Чтобы больше понять специфику изучаемой отрасли были идентифицированы особенности стартапов как на рынке медицинских изделий, так и на рынке digital-здравоохранения. Каждый рынок уникален, и в каждой профессиональной сфере существуют свои нюансы развития, как и большой корпорации, так и стартапа.

Цифровая медицина - относительно новое понятие, с которым не все знакомы и которому пока не до конца доверяют. В своей работе я также постаралась осветить данный термин и то, как он может помочь медицине развиваться в целом, а также как на его основе строятся стартапы в данной сфере.

Методика развития клиента легла в основу моей практической части. Всегда стоит помнить, что абсолютно любой стартап состоит из 4 частей: люди, продукт, инновации и условия неопределенности. Стоит отметить, что «люди», то есть пользователи, всегда стоят на первом месте. С этим и была связана основная идеология изучаемой мной методики - проверка собственных гипотез путем получения обратной связи от своих клиентов.

Данную методику я исследовала на примере компании «А-Медпроект». В основе исследования лежит качественное исследование пользователей данной компании, подкрепленное онлайн-опросом (количество респондентов = 40 человек). Данная методология была обусловлена спецификой медицинской отрасли.

Благодаря данному исследованию был составлен профиль потребителя и карта ценностного предложения стартап-компании «А-Медпроект». Следующим практическим шагом должно быть прототипирование продукта и услуга, чтобы потребитель мог частично осознать предлагаемую ему ценность. Затем повторное тестирование гипотез, до тех пор, пока не будет получено положительное одобрение. Постоянна инновационность и гибкость - одни из ключевых факторов успеха компании на медицинском рынке в целом.

Хочется надеяться, что благодаря данному исследованию, мне удалось доказать, что знать своего пользователя - первостепенная задача любой компании, неважно, корпорация это или только открывшийся стартап. Потребитель лежит в основе всего, что происходит на рынке, ведь благодаря нему он и был создан. Благодаря нему, для него и во имя его.

Список литературы

1.       Бланк С. 4 шага к озарению, Москва, 2014

.        Остервальд А. Разработка ценностных предложений, Москва, 2015

3.       Alvarez C. Lean Customer Development., O’Reilly Media, Inc, 2014

.        Dunn, K.R. Business Planning for High-Tech Entrepreneurship through the Customer Development Process and Business Model Iteration, 2012

.        Ries, E. The Lean Startup., Crown Business, 2011

.        Rogers M. Diffusion of innovation 5-th edition, Free Press, 2003

.        Aknin L. Prosocial Spending and Well-Being: Cross-Cultural Evidence for a Psychological Universal. // Journal of Personality and Social Psychology, 2013, Vol. 104, No. 4, pp. 635-652

.        Blank S. Why the Lean Start-Up Changes Everything. // Harvard Business Review, Vol.91, No. 5, (2013), pp.63-72

.        Han, M. The Entrepreneurial S-curve: A Conceptual Model for Entrepreneurial Lifecycle. // Unpublished manuscript, (2005), pp. 1-14

.        Lemminger R., Svendsen L.L., and Zijdemans E. Lean and Global Technology Start-ups: Linking the Two Research Streams. // The ISPIM Americas Innovation Forum, 2014, pp. 1-13.

.        Overall J. An S-Curve Model of the Start-Up Life Cycle Through the Lens of Customer Development. // The Journal of Private Equity, (2015), Vol. 18, No. 2: pp. 23-34

.        Blank, S. “Perfection By Subtraction - The Minimum Feature Set” (March, 2010) - https://steveblank.com/2010/03/04/perfection-by-subtraction-the-minimum-feature-set/

.        Winch G. ‘How to Attain Real Personal Empowerment’. Psychology Today, 2011 - https://www.psychologytoday.com/blog/the-squeaky-wheel/201101/how-attain-real-personal-empowerment

Приложения

Стартап-акселераторы в сфере digital-здравоохранения

Название

Штаб-квартира

Web-сайт

Blueprint Health

США

https://www.blueprinthealth.org

StartUp Health

США

https://www.startuphealth.com

Healthbox

США

https://www.healthbox.com

Health Wildcatters

США

https://www.healthwildcatters.com

Techstars Healthcare Accelerator

США

#"905587.files/image014.gif">

Гайд для интервью с экспертами

Формализация (поля обязательные для заполнения по каждому респонденту)

Дата проведения интервью:

Продолжительность интервью:

ФИО интервьюера:

Тип интервью

Личное

Имя респондента/ Возможен Ник:


Пол:


Возраст:


Образование:


Место работы (название ЛПУ)


Стаж работы в этом ЛПУ


Специальность


Стаж работы по специальности


Должность



ВВЕДЕНИЕ

Добрый день, меня зовут Никонова Екатерина, и в рамках исследовательского дипломного проекта по разработке карты ценностных предложений, я бы хотела обсудить с Вами, как с экспертом, особенности повседневной работы хирурга. Меня интересует детальное описание ситуаций, проблем, интересных случаев, с которыми Вы сталкиваетесь в профессиональной деятельности. Информация конфиденциальна. Данные будут представляться в обобщенном виде. С Вашего разрешения беседа будет записываться. Все, о чем мы сегодня будем с Вами говорить - это Ваша экспертная оценка того, с чем вы сталкиваетесь на рабочем месте. Нет правильных и неправильных ответов, все ответы для меня одинаковы важны. Вы внесете большой вклад в мое научное исследование!

ЧАСТЬ 1. РЕСПОНДЕНТ И ОБЩЕЕ ОПИСАНИЕ ЕГО СФЕРЫ ДЕЯТЕЛЬНОСТИ, СПЕЦИФИКА

ФИО, Где Вы работаете? Как долго Вы работаете в этом ЛПУ? Какая у Вас должность?

Какой университет Вы заканчивали? Есть ли у Вас специализированное, дополнительное образование по лечению грыж живота?

Какой Ваш стаж выполнения герниопластик?

ЧАСТЬ 2. ОПИСАНИЕ ПРОФЕССИОНАЛЬНОЙ ДЕЯТЕЛЬНОСТИ РЕСПОНДЕНТА

Какое примерное количество операций грыжесечения Вы выполняете в течение рабочей недели?

Какой результат выполненной герниопластики Вы наиболее часто оцениваете? Отсутствие рецидивов/повторных обращений…?

Проводите ли Вы динамическое наблюдение прооперированных пациентов после выписки из стационара и на каких сроках?

Какой результат проведенного лечения грыжи для Вас наиболее важен?

Что, по Вашему мнению, свидетельствует о профессиональном признании хирурга? Обращения коллег, новых пациентов, приглашения на м/кл…?

С какими издержками/ трудностями Вашей профессии наиболее часто приходится сталкиваться при хирургическом лечении грыж? отсутствие своевременной, достоверной и доступной профессиональной информации о лечении грыж/ отсутствие адекватного финансирования расходных материалов для выполнения герниопластик/ в моем учреждении административный ресурс определяет, чем работать и по какой методике оперировать/ сложность приобретения необходимых медицинских изделий…

Приходилось ли Вам сталкиваться с негативными последствиями при хирургическом лечении грыж? Если да, то с какими? С какими рисками Вы больше всего «боитесь» столкнуться, занимаясь хирургическим лечением грыж? Какое негативное последствие социального характера при хирургическом лечении грыж для Вас имеет большую значимость в Вашей профессиональной деятельности? Потеря статуса/доверия/управления…

ЧАСТЬ 3. ОПЫТ ПОЛЬЗОВАНИЯ МЕДИЦИНСКИМИ ИЗДЕЛИЯМИ

Расскажите об операции по грыжесечению, которую Вы выполняли последний раз. Какие медицинские изделия Вы использовали?

Какое количество операций грыжесечения Вы сделали за последние 6 месяцев с применением сетки? В сравнении с операциями без применения сетки (можно в % соотношении)

Каких операции грыжесечения преимущественно больше Вы провели за последние 6 месяцев? (Паховые/вентральные, открытые или лапароскопические)

Какие хирургические сетки Вам нравятся больше всего (фирма, модель)? Почему? Когда Вы ее применяете, как преимущества Вы получаете?

Какие хирургические сетки Вы используете ЧАЩЕ всего? (фирма, модель). Насколько Вы ими удовлетворены? Почему Вы отдаете им предпочтение? Кто вовлечен в процесс принятия решения о применении той или иной сетки? На какие факторы Вы (или ЛПР) основываетесь при выборе?

Представьте, у Вас есть возможность создать идеальную сетку, какими характеристиками она будет обладать? Опишите.

Спасибо за участие в исследовании!

Транскрипты интервью с экспертами

Интервью 1

Дата проведения интервью: 10.05.2017

Город:  Москва

Продолжительность интервью: 34 мин

ФИО интервьюера: Никонова Екатерина Дмитриевна

Тип интервью

Личное

Имя респондента/ Возможен Ник:

Юрасов Анатолий Владимирович

Пол:

мужской

Возраст:

53

Образование:

Первый МГМУ им.И.М.Сеченова

Место работы (название ЛПУ)

НКЦ ОАО РЖД ЦКБ №1

Стаж работы в этом ЛПУ

13 лет

Специальность

Общая хирургия

Стаж работы по специальности

29 лет

Должность

Заведующий операционным отделением, главный специалист по хирургии ОАО РЖД


- Добрый день, меня зовут Никонова Екатерина, студентка 4 курса Национального исследовательского университета «Высшей школы экономики», и сегодня я бы хотела обсудить с Вами, как с экспертом, особенности повседневной работы хирурга. Меня интересуют детальные описания Ваших ситуаций, с которым вы сталкиваетесь на работе, какие-то проблемы, интересные случаи, с которыми Вы сталкиваетесь. Вся информация будет представлена в общем виде, конфиденциально и вся беседа с вашего разрешения будет записана на диктофон. Все, о чем будем с Вами сегодня говорить - это Ваша экспертная оценка, то есть нет правильных и ни неправильных ответов. И я точно уверена, что Ваше мнение внесет большой вклад в научное исследование данной работы. Анатолий Владимирович, подскажите, где вы работаете и какую должность занимаете?

Работаю я в Научном клиническом центре ОАО РЖД это бывшая Центральная клиническая больница №1, заведую операционным отделением, являюсь главным специалистом по хирургии ОАО РЖД.

Как долго вы работаете здесь?

Здесь я работаю с 2004 года, главным специалистом с 7-го года.

Подскажите, какой университет вы заканчивали?

Первый московский медицинский институт.

И по специальности у вас общая… хирургия?

Хирургия.

А есть у вас дополнительное специализированное образование по лечению грыж?

-В принципе, есть курсы, которые я проходил по лапароскопической хирургии грыж, по лапароскопической хирургии в целом и плюс какие-то семинары обучающие, но это не официальные бумаги. То есть как диплома, такого нет - хирургия грыж, - есть общая хирургия.

Ну, просто на постоянной, такой основе?

Да, это общая хирургия, это не выходит за рамки специальности.

#01:57#

Скажите, какой Ваш стаж выполнения герниопластик?

Сейчас с кажу, с 88-го года получается.

Это получается уже… 29 лет?

29.- Большой стаж. А теперь, после знакомства перейдем уже более детально к Вашей профессиональной деятельности, вот с чем Вы сталкиваетесь. Подскажите, какое примерно количество операций по грыжесечению Вы выполняете в течение рабочей недели?

Это вопрос и сложный, и простой, потому что то, что я выполняю - это ерунда, если сравнивать с западом. Ну, в течение недели две - три грыжи делаю. Это же не грыжевой центр у нас, а общехирургическая больница, то есть у нас самые разные больные. Грыжи - это одна из ста форм, поэтому мы на этом не специализируемся, это надо понять, мы просто этим занимаемся качественно, но, тем не менее, в рамках общей специальности.

Я понимаю, что хирургия - это общая специальность, а герниология - очень специализированнная область. Но, тем не менее, какой результат выполненной герниопластики Вы наиболее часто оцениваете?

Прежде всего, и любой хирург это оценивает, есть наличие рецидива или нет. Во-первых, есть результат непосредственный, есть результат отдаленный. Непосредственный результат - это чтоб у человека был минимальный болевой синдром после операции и не было нагноения раны. Это непосредственный результат, а второй результат - отдаленный. Это чтобы не было рецидива прежде всего, ну и чтобы не было хронического болевого синдрома. Об этом сейчас много говорят.

В долгосрочной такой перспективе имеется ввиду?

Ну, в перспективе год и более.

- А что, по Вашему мнению, свидетельствует о профессиональном признании хирурга? Обращение новых пациентов или обращение коллег к нему? Может, приглашение на мастер классы в другие города и страны? Что для Вас свидетельствует о его признании в целом, как для хирурга?

#04:27#

Ну, две стороны. Внутренняя - межпрофессиональное признание. То есть отношение коллег: советуются с тобой - не советуются; присылают на консультации, спрашивают какие-то советы в сложных случаях или присылают сложных больных. То есть это говорит об отношении коллег. Это тоже важно, потому что со стороны видней. Но больные… Для больного ведь… ну понятно, что важно, чтобы не было рецидива. Но для больного прежде всего важно отношение к больному, чтобы он понимал, что о нем думают, заботятся, а не так, что типа слепил что-то и до свидания. То есть, грубо скажу, что для больного даже, он может не понимать, какой должен быть хирургический результат, у него даже может быть рецидив, но он будет так доволен и так обласкан, что скажет: «Ну вот, у меня опять! Надо бы опять сделать». Поэтому к одному и тому же хирургу ходят по пять раз с рецидивами, потому что он умеет так с людьми говорить, что…

Чувствуется внимание и отношение?

С точки зрения профессиональной он имеет отрицательный результат, а сточки зрения больного он прекрасный специалист и он к нему идет и идет. Это тоже реальность.

А вот про отношение к вопросу как раз: проводите ли вы динамические наблюдение прооперированных пациентов после выписки из стационара? В Вашей практике есть, и на каких сроках?

Во-первых, если проводится какая-то научная работа, то это естественно разные и обзвоны, и вызовы, и письма, и анкеты. Это если проводится научная работа. Если брать просто частно - вот, допустим, я хирург, работаю, то у меня есть своя личная база данных. Которую с 93-го года я веду и все больные, которых я прооперировал, там все есть. Не у всех есть результаты, но в общем, там есть и раздел «результат лечения», отдаленный результат.

Можно понаблюдать как раз….

Ну понятно, что я всем не звоню. Но в общем, больные приходят, и я возвращаюсь иногда, забиваю, добиваю или если я знаю, что куда-то поступил и что-то с ним происходило.

#06:38#

Ну, знаете о его дальнейшей судьбе?

Да, это не законно, но конечно я стараюсь узнать. И более того, допустим, после операции, по поводу послеоперационных грыж я им всегда говорю, что через год чтоб появился.

Появляются, да?

Это и для них нужно, потому что нужно кой какие советы надо дать и т.д., а с другой стороны, это нужно мне, чтобы вот эти результаты зафиксировать. Потому что, если я знаю, что если у меня в базе данных забит результат и у меня научная работа, мне уже не надо его вызывать, я уже знаю этот результат.

Анатолий Владимирович, расскажите, приходилось ли сталкиваться с какими-то издержками и трудностями в Вашей профессии при лечении грыж? Например, отсутствие достоверной доступной информации о лечении грыж, например, с научной точки зрения; допустим, отсутствие адекватного финансирования и расходных материалов, необходимых для операции. Возможно какое-то, что касается в профессиональной сфере между коллегами какие-то несостыковки.

Хорошо, пока я не забыл, по пунктам. Во-первых, это все меняется во времени. Допустим, в 90-х - начале 2000-х были проблемы с протезами, с имплантами и больные их сами покупали. И мы еще в 90-х годах не очень разбирались какие и что, и как. Соответственно, бывали всякие казусы и ставили не то, что нужно, что сейчас бы и не поставили. Сейчас ситуация вышла на другой уровень. Проблемы нет, больница закупает, допустим наша. Хотя я знаю, что в Брянске, в нашей же больнице, ничего не закупают. Там больной все сам закупает как-то; там по-прежнему, по старинке все идет. Но это сейчас хоть незаконно вообще-то. У нас закупается, проблем нет. В принципе у нас выбор есть не так, что один протез закупается - есть легкие, средние и тяжелые протезы. Это по поводу протезов и доступности. По поводу каких-то профессиональных вещей - ведь у нас же информация сейчас быстро растекается, бывают такие ситуации. что вот опять, на новом каком-то там заседании европейского общества кто-нибудь выкинет какой-нибудь новый метод. Вот он, новый метод лечения. И его начинают фирмы продвигать. Потому что это обычно сопровождается каким-то новым протезом и так далее, какой-то особой формой. Там, дороже он или дешевле, это уже второй вопрос. Но вот идет увеличение и «только это», «только это». И таких методов прошло много. А реально, вот где эти методы-то? Вот, как двадцать лет назад придумали… не придумали, а внедрили этот Лихтенштейна, там, еще эндоскопические какие-то методики, так они и есть, две - три основных, а все остальное - два года популярности, потом откат назад.

А почему?

Ну потому что методика должна обладать несколькими качествами. Она должна быть надежной, это да. Это важное, но не одно из важных требований. Допустим, грыжа-это массовое заболевание. Она будет у каждого, просто не все доживают до грыжи. Соответственно, любой хирург должен эту методику надежно воплотить.

#10:01#

Это да

Это раз, а второе протез, который он использует, должен быть не какой-то супер хитрой формы, преформированный; он должен быть простой. Чтоб опять же, любой хирург мог его нормально вставить и понять, что это сюда, это сюда, это сюда, без каких-то специализированнных курсов. Вот была методика ю-эйч-эс… запонка такая вставлялась с двумя листками с грибочком в центре - пи-эйч-эс по-моему. Я уже забыл даже, как она называется, хотя мы были первые, кто испытывал еще до сертификации эти протезы в институте. Хорошая методика и там только теоретически один вариант рецидива какого-то интерсоциального возможен. Который где-то кто-то в экспериментальном наблюдении на исследовании в Германии один раз увидел. Но методика не пошла, потому что...

- Сложная?

Она не то, что сложная, она требует подбора больных. То есть вот простой вопрос, а если грыжа комбинированная, не прямая или косая, а если и прямая, и косая, с одной стороны.

Тоже не подходит?

В какую позицию ставить этот протез? Сразу ответа нет. И второй минус оказался, что большая масса протеза и человеку худому, а тем более женщине худой его ставить нельзя, потому что он будет просто банально пальпироваться. Вот и методика, вроде хорошая, вроде идеальная, но не пошла. Или есть какие-то методики из совсем мини доступа: два сантиметра разрез и вот тут мы делаем и вот так у нас прекрасно получается. Такие доклады были на конференции года два назад. Я даже не помню, как эти методики называются. Потому что да, они могут прекрасно получаться у каких-то там худых людей с какими-то стандартными ситуациями.

То есть методика разрабатывается, как я правильно понимаю, от разработки какого-то импланта в компании. То есть, например, компания выпускает новый продукт и пошла новая методика?

Часто да. Не обязательно так, но часто так.

И методика не идет как-то дальше, потому что...

Либо она узко направлена на какую-то группу больных, либо она имеет ограничения: там, большой протез, большое количество протезов, масса большая или он требует какой-то анестезии. Почему вот лапароскопия, вот так вот, как заняла - 40 процентов хирургов ее делают, а 60 не делают? Потому что эта методика требует общей анестезии ингаляционной. Ничего себе, вместо местной или какой-то спинальной надо интубировать больного. Это имеет свои риски и получается риск от анестезии сопоставим с риском от операции. Ну кому это надо? Плюс деньги. Это же все денег стоит, поэтому увлечение общей анестезией прошло давно, еще в 80-е годы, в 90-е. И все понимают, что можно сделать гораздо камернее. Тем более, сейчас речь идет об амбулаторной хирургии. Ничего себе, вы приходите к стоматологу и вас интубируют, а потом экстубируют и… идите-ка домой! Это же не так просто.

#13:05#

Ну да.

Вот и ограничение. Дальше есть ограничения, допустим лапароскопия -это вход в живот; так не входишь в живот, а так входишь в живот. А в животе всякие органы. Там надо манипулировать электроинструмнтами, при самом входе бывают травмы. Поэтому осложнения у этих больных они редкие, но если они есть, то они меткие: травма органов, травмы сосудов, травмы мочевого пузыря, поэтому десять раз подумаешь, надо ли это и надо ли это конкретно этому больному. А есть еще группа пожилых больных. Дедушке 90-летнему надо интубацию? Надувать живот, чтобы он лежал вниз головой, чтобы выполнить лапароскопическую герниопластику? В чем ее малоинвазивность? Эти исследования тоже проводились по гормональному всплеску лапароскопическая операция гораздо хуже - интероперационная,- чем открытая герниопластика. По гормональному всплеску. После операции этот болевой синдром вроде чуть-чуть лучше. Но и то достоверность этого…?

Поэтому тут вопросов много, они все разносторонние, кому-то подходит одно, кому-то другое. Тем не менее, вот, два-три метода, и между ними все и крутится.

Ну вот, возвращаясь к нашему вопросу, как таковые какие-то трудности, издержки именно в профессиональной деятельности не сталкиваетесь с такими, чтобы прямо, вот,как препятствие было?

Видите, есть разные больные. Когда возникают трудности? Когда больной специфический. Есть люди, акцентированные на что-то, есть люди, чем-то разрекламированные. Вот их раскрутили на лапароскопическую пластику. «Я пришел на лапароскопическую пластику!». Вот так вам и говорит. Ты смотришь на него и понимаешь, что, вот, если бы я был на его месте, я бы себе не сделал. Глядя на него, потому что у него вот эта проблема, вот эта проблема и вот эта. Ну, зачем ему? Но ему вынь и положь это! Тогда либо эти риски объяснять приходится, и он понимает, что да, я просто этого не знал, не учел, теперь я понимаю, что это лишнее.

Соглашается, да?

Либо говорит; «Нет, я все равно хочу». Тогда приходится делать. Или говоришь: «Найдите кого-нибудь другого, кто возьмется, учитывая Ваши риски, это делать». Ну, я утрировано говорю, но в принципе это так.

Скажите, а вот по технологии. Вот Вы говорите, всех [инструментов], что раньше, допустим, вот, закупали пациенты, а теперь покупает больница. Вопрос: а кто принимает решение о закупке той или иной продукции? Вот например, Вам нравится тот или иной продукт. Вы же принимаете участие в том, чтобы донести до руководства, что давайте, например, вот это?

Естественно. Все танцуется от первичной заявки. Технически ее подаю я, как заведующей операционным отделением в нашей больнице. Но я ее подаю не от фонаря, а от того, что я знаю, что микрохирурги у меня работают такими-то нитками, я применяю такие-то протезы. Для лапараскопии нам нужен такой-то размер протеза. Это все делается, обсуждаясь. Потому что если я закуплю то, что не нужно нейрохирургам, они это не будут применять. Значит, это все просто будет лежать и пропадет и более того, они все равно, в другой раз закупят другое параллельно. Просто будут выкинутые деньги. Поэтому это все обсуждается, естественно.

Обсуждается с Вашими коллегами?

#16:29#

А уже администрация утверждает сумму, которую она потратит. Она может сказать, что зачем вы покупаете себе на полгода. Вот, купите на месяц, мы это оплатим сегодня. И будем лучше каждый месяц оплачивать, чем вы себе закупите на год вперед. Вот что решает администрация.

То есть нет такой ситуации, что администрация, допустим, что-то закупила и вы понимаете, что это не тот продукт, которым можно пользоваться или вам не нравится этот продукт. Все-таки идет инициатива от вас первично.

- Ну, в таких расходниках мелких, как грыжа, у нас это так. Другое дело, я знаю, что в городе, допустим, по ОМС закладывается определенный средний какой-то протез, и он закупается для всех больницах, уже не спрашивая желания этих больниц.

У вас другая система?

У нас ведомственное учреждение, поэтому у нас немножко все индивидуальнее. А когда это решается на уровне города - да; вот город записал, что вот такой и такой - два варианта. Как с протезированием суставов, что если Вы идете по квоте, то Вам вот этот сустав - пожалуйста, - бесплатно. А если Вы хотите какой-то супер-пупер инверсивый, тогда, извините, за Ваши деньги.

Спасибо Вам за эту информацию, а сейчас бы хотелось перейти в блок, что касается опыта пользования медицинскими изделиями и конкретно, про хирургические импланты. Могли бы Вы рассказать про операцию по грыжесечению, которую вы выполняли последний раз, ну, недавно. Вот, в целом, от начала до конца, пару слов.

А в каком контексте?

Что за операция была конкретно, что за больной, что за инструменты были?

Вот, последняя, кстати, операция была буквально в пятницу, перед праздниками. Это больная - наша работающая железнодорожница, которую комиссовали, вернее собираются комиссовать и по ожирению - у нее индекс массы тела 49 и плюс у нее вентральная грыжа послеоперационная больших размеров. И, несмотря на то, что мы обычно лапароскопически оперируем ожирение, делаем рукавную резекцию желудка, в данном случае, учитывая этот большой размер грыжи, нам пришлось открытую делать герниопластику, потому что спаечный процесс в брюшной полости у нее и так далее. Сначала мы сделали ей доступ, потом мы сделали рукавную резекцию желудка, то есть операцию по поводу ожирения, а закончили операцию пластикой брюшной стенки.

#18:57#

То есть интересный такой случай?

Ну, в этом радость герниологии - в том, что если это не паховые грыжи и не первичные пупочные грыжи, которые, грубо говоря, у всех одинаковые, то послеоперационные грыжи - они часто у всех разные. После разных операций, разной сложности, разного объема, разные спаечные процессы, разные операции надо выполнять. У кого холецистит, у кого еще что-то, потому что мы делали фасад же - брюшную стенку, - это фасад. Мы сделаем фасад, а через полгода ему что, будем желчный пузырь оперировать через этот фасад? Значит, надо сделать в животе все, что нужно. Надо, чтобы гинеколог посмотрел. Все сканированное сделать, а в финале уже делается грыжа. Это делается вообще, по-хорошему, одномоментно, если страховые компании этому не препятствуют. Вот, кстати, еще одна сложность. Страховые компании часто… вот лег к тебе с грыжей больной - все, они оплачивают грыжу, а то, что у больного еще калькулезный холецистит и надо убирать желчный пузырь и то, что еще какая-нибудь миома матки, - извините, это в эту госпитализацию не оплачивается. А как быть?

Может, заявление какое-то подается опять же, в эту страховую, чтобы они это учли?

- Конечно, в страховую обзваниваются, но они просто говорят, что это не входит в эту программу. Значит, либо человек оплачивает сам…

Вы в операциях по грыжесечению всегда используете импланты сетчатые или не всегда?

Вы знаете, концепция современного оперирования грыж - это пластика без натяжений. Пластика без натяжения - она определяет результат, в том числе и процент рецидивов и темп реабилитации и болевой синдром и даже жизнь больного при гигантских грыжах. Она подразумевает протез тот или иной. Поэтому конечно, никто не собирается пихать в организм 17-летнего парня с маленькой паховой грыжей протез, его можно соперировать по-другому, своими тканями, но это если маленькая грыжа. Если он пропустил срок и разбило ворота деформация ткани большая, почему не поставить протез. Ну и опять же, какой протез - следующий вопрос. Протезы есть разные и тут нужно кумекать и думать, какой протез ставить.

#21:20#

Ну вот по Вашей практике, больше все-таки, если в процентом соотношении?

Абсолютно больше. 95 процентов протезирующая пластика.

Угу. А какие имплантаты Вам нравятся больше всего, ваши предпочтения?

Поскольку я в основном занимаюсь открытыми операциями, если к паховым грыжам это просто мое такое предпочтение, исходя из того, что мы говорили, а когда касается послеоперационных грыж, то пока меня, как хирурга, удовлетворяют существующие лапароскопические технологии. Они подходят к узкому контингенту больных, поэтому мы разрабатывает открытые операции. И они разработаны на столько хорошо, что в общем-то, нет проблем закрытия любого дефекта, любого. А это требует соответствующих протезов. Поэтому для меня идеал - это пропиленовый монофиломентный протез. Он располагается вне контакта с внутренними органами, он дешев, он интактен, плюс он может иметь разный вес. А вот уже вес протеза можно выбирать исходя из того, что нужно больному, какие варианты пластики применяются.

И за последние, допустим, полгода какие импланты Вы чаще всего применяли? Вот, если по компаниям.

По компаниям. Столько компаний - что я начинаю путаться. Мы применяем протез Пролен - это, наверное, Ковиден сейчас; дальше, например, бардовские имплантаты также... Ну, в основном для паховых грыж. Мы применяем и Этиконовские имплантаты.

А в принципе, в равных долях?

Больше всего идет Пролен, то есть кавидиновские протезы, как они называются? СПММ раньше он назывался, Пролен. Мы берем для послеоперационых, больших размеров ставим для паховых грыж.

И вы в принципе им удовлетворены по результатам?

Он тяжелый, поэтому мы сейчас берем и облегченные сетки других фирм. Я даже затрудняюсь сказать, каких, потому что их сейчас много. То одни пробуем, то другие протезы. Они могут быть по весу одинаковыми, а по функциональным качествам разные. Один очень мягкий и складывается, другой непрозрачный и тоже плохо - через него не видно ткани. То есть это надо в руках подержать. Иногда появляются новые протезы, мы берем пробную партию, пробуем и мне ребята говорят: «Слушай, какой неудобный протез!». Я сам пробую и понимаю минусы. Один ложится так прямо, на влажную поверхность ажурненько, лежит плоскенький, его только несколькими швами профиксируй и красиво все. А другой, как не укладывай, он все морщинится, его все перекашивает. Тоже имеет значение.

А вот на какие характеристики импланта вы прямо обращаете внимание при выборе. Вот вам приносят на опробацию - что для вас прямо первостепенно?

Первое это стойкость к инфекции. То есть он не должен на себе фиксировать на себе хроническую инфекцию. Это принципиальная позиция для открытой хирургии. Это первое. Я не беру свойства имплантов стандартные - там неонкогенность, инертность тканей - это станартные требования к имплантам. Значит, первое - это стойкость к инфекции, второе - для меня важен размер, потому что я подразумеваю куда буду ставить и для каких целей. В-третьих, для меня важен вес, потому что я понимаю какие методики я делаю и я понимаю, могу я поставить протез легкий или не могу, Нужно это или не нужно. Потому что полипропилен тоже деградирует за 5-7 лет, прочность его снижается. Значит, если я ставлю протез в такую позицию, где нагрузка на протезе в основном, даже с течением времени, то ясно, что я легкий протез не могу поставить. Я ставлю протез стандартный, тяжелый, то есть.

А по размеру- Вам было бы интересно, чтобы была широкая линейка размеров именно, чтобы на продуктах, чтобы не вырезать?

Конечно. Нет, вырезать… края обрезать можно, это нормально, ничего тут особенного, то есть подготовить его по месту, но, в принципе, конечно, чтобы не полпротеза не выбрасывать; поэтому вот этот размер 30 на 30 стандартный, он для наших методик реконструкций часто неудобный. Половина протеза просто напросто разрезается пополам, половина его ставится , половина на фу-фу.

Половина выбрасывается.

Грубо говоря, да.

#26:04#

А вот, допустим, такая функция - на сколько я знаю, по-моему, такой еще такой нет у импланта какой-либо компании в России, это по-моему называется МРТ положительная, чтобы можно было видеть ее потом в теле пациента. На ваш взгляд, это была бы полезная функция вот в перспективе, после операции?

Скажу так, что на УЗИ, на компьютерной томограмме тяжелый протез условно виден, я бы так сказал. Можно понять, что вот здесь лежит протез. Если это видно четко, как металлизированная, там, ткань, то это конечно это удобно, потому что если какие-то проблемы случаются у этих больных, то брюшная стенка исследуется методом компьютерной томографии - чтобы понять, что было сделано раньше кем-то, чтобы понять, что осталось, какие мышцы сохранены, где и как расположен протез, сморщился, не сморщился. Делается компьютерная томография. Если на компьютерной томографии виден четко протез, то конечно, это удобно.

А если протез облегченный, то его не всегда видно, да?

Чем легче, тем сложнее его увидеть, тем тоньше рубец. Я ведь вижу не протез, а его тень, рубец вокруг него и соответственно, чем нежнее рубец, тем меньше видно.

И соответственно, если какая-то проблема, то приходится уже доступами, скажем так, операцию заново делать?

Конечно. Планируется операция исходя из того, что мы имеем. Где протез? Он может с одного борта оторваться, он может оторваться и сморщиться к другой стороне, он может подвернуться, грыжа может выйти под протез, может выйти над протезом, с какого боку - снизу, сверху, справа, слева. Она может выйти просто вне протеза, если неправильно сделано с самого начала. не закрыт весь рубец допустим, и тогда придется к этому протезу приладить еще что-то. Такие вещи тоже бывают. То есть тут возможны десять вариантов, именно поэтому это делается до операции, и операция планируется. Не на операции разбираться, там.

Мысль Ваша ясна. И последний вопрос у меня, Анатолий Владимирович - вот представьте, что у вас есть возможность издать идеальный имплант, идеальный протез - какими характеристиками он будет обладать? Вот прямо можно по пунктам, основные какие-то характеристики.

Вы знаете, Вы были в Стокгольме когда-нибудь?

Нет

Там есть такой корабль, Ваза называется. Стоит он под крышей сейчас в доке сухом. Это был в свое время, такая сказка есть, но это не сказка, это быль. Этот корабль шведы несколько веков назад делали, как самый мощный, самый быстрый, самый вооруженный, самый комфортный, самый красивый. Короче, он как из дока вышел в гавань, и кильнулся там же, тут же. И они его через много лет подняли - целая операция была, - и сейчас вот выставили. Он действительно, весь такой резной… Ну, идеального протеза нет. Надо понимать, куда. Сразу две вещи - протез внутрь брюшной стенки ставится или в живот в контакте с внутренними органами? Это принципиально разные протезы должны быть, с разными качествами!

Ну вот, например, один из внутренних.

Если в контакте с внутренними органами, значит прежде всего, на первый план выходит процесс спайкообразования. Чем меньше спайкообразование с органами, тем лучше. Но при этом надо понимать, что этот протез должен не скрепками там быть фиксирован по периметру, как тряпица, а он должен интегрироваться в брюшную стенку своей стороны, прилегающей к брюшной стенке.

Самофиксирующимся может быть?

Дело не в самофиксирующемся. Надо не чтоб он фиксировался, потому что ни одна фиксация не удержит. Вот любая нитка, она держит протез две недели. Дальше она ничего не держит. Если за этот срок протез не фиксируется тканями соединительными организма, не врастает в организм, то возникает рецидив. Поэтому от этого протеза требуется, чтобы его поверхность, прилежащая к брюшной стенке изнутри, интегрировалась и прорастала, как вот арматуру заливают бетоном, и получается железобетон. То есть протез - это арматура, а соединительная ткань через него проростающая - это бетон, получается железобетон. А задняя его поверхность, которая к внутренним органам прилежит, она должна быть инертная. А желательно еще покрываться постепенно мезателием, то есть мимикрировать под брюшную стенку, под брюшинную выстилку. Такие протезы есть уже: хуже - лучше, но опять, там же весь дьявол в деталях. Протез, допустим, надо обрезать с одного угла. А обрезал - значит тут выходит с этого края уже не те структуры, которые надо бы, чтоб контактировали с внутренними органами. В этом - именно по углу протеза, где обрезали, появляется спаечный процесс. Значит, его нельзя обрезать. Какие-то можно, а какие-то нельзя.

Проблема уже в форме и размере может быть?

Да, то есть тут много деталей, идеального протеза нет. Протез должен делаться под задачу. Какая задача, такой и протез. Как пуля - одна бронебойная, другая зажигательная. Смотря какая задача.Тоже самое.

Основные показатели, все-таки его свойства - форма и размер?

Основные показатели изучены. Есть общие свойства протезов: инертность, неонкогенность, стойкость к инфекциии т.д. Дальше уже идет под то, куда этот протез будет всаживаться. Если речь идет о сетках, или листовых протезах. Его локализация и локализация по отношению в целом к брюшной стенке и к внутренним органам, и по тому, где дефект, какой дефект.

Понятно, все зависит от задачи и от ситуации.

Да, поэтому то, что есть разнообразие протезов - это хорошо. Это дает выбор.

Но все-равно, идеального нет, хотелось бы доработать в каком-то варианте.

Ну вот, мы говорили - у балерины поставьте этот протез тяжелый в паху и она же будет себе его пальпировать и он будет ей мешать. Она будет его чувствовать и руку положит - хоп, вот он! Потому что у нее нет жировой клетчатки. А другой женщине поставишь, она через месяц о нем забудет. А протез один. Поэтому балерине этот протез не подходит, ей подходит самый легкий протез, если его надо ставить. Вот о чем речь.

Идея понятна.

Поэтому вопрос, на который нет ответа.

Универсального нет. В процессе компании разрабатывают, стараются.

Бизнес, правильно тоже.

Ну бизнес основывается так или иначе, на потребностях, на запросах.

Просто бизнес часто расходится со здравым смыслом. В плане здравого смысла с точки зрения медицины клинической. Ну как вот этот хеликобактер, даже, например. Вот сейчас такая теория, что если этот хеликобактер выселить из желудка, то это четкий предсказатель язвенной болезни и его надо обязательно вытравить. Что значит вытравить? Это две недели антибиотиков и так далее. Мне кажется, что это чистой воды коммерческий ход, потому что еще одна из самых первых теорий язвенной болезни, это была инфекционная теория, бактериальное происхождение этой болезни. Если бы все так просто было в этом хеликобактере, эту болезнь давно бы забыли, что это такое. Вытравили бы ее, как класс. Это бизнес. Потому что это требует расходов. И тоже самое с протезами - фирма не может не конструировать новые. Она конструирует и конструирует. Но мы же не знаем тайны этих разработок. Но я думаю, что реально на практику выходит один из десяти протезов. Что-то кумекают они, думают и так далее. Какие-то остаются на стадии разработки. Какие-то объединяются, какие-то универсальные свойства делаются, и из двух выходит один. Они должны разрабатывать и правильно, и иногда это дает какой-то прогресс. Но иногда разрабатываются те вещи, которые вроде хорошие, а потом увлечение проходит через год и люди откатываются назад, потому что не так оказалось все гладко, как казалось будет в теории. Потому что разрабатывают инженеры, а вшивают хирурги, а носят вообще, больные.

Вот поэтому и важно учитывать мнение всех заинтересованных лиц.Хорошо, Анатолий Владимирович, спасибо Вам большое за то, что уделили время и за участие в исследовании!

Интервью 2

Дата проведения интервью: 11.05.2017

Город:  Москва

Продолжительность интервью: 23 мин

ФИО интервьюера: Никонова Екатерина Дмитриевна

Тип интервью

Skype-интервью

Имя респондента/ Возможен Ник:

Никонов Алексей Алексеевич

Пол:

мужской

Возраст:

34

Образование:

РНИМУ им.А.И.Пирогова

Место работы (название ЛПУ)

Управление делами Президента РФ Клиническая больница № 1

Стаж работы в этом ЛПУ

5 лет

Специальность

Общая хирургия

Стаж работы по специальности

10 лет

Должность

Врач-хирург


Добрый день, меня зовут Никонова Екатерина, и в рамках исследовательского дипломного проекта по разработке карты ценностных предложений, я бы хотела обсудить с Вами, как с экспертом, особенности повседневной работы хирурга. Меня интересует детальное описание ситуаций, проблем, интересных случаев, с которыми Вы сталкиваетесь в профессиональной деятельности. Информация конфиденциальна. Данные будут представляться в обобщенном виде. С Вашего разрешения беседа будет записываться. Всё о чём сегодня мы будем говорить - это ваша экспертная оценка, поэтому правильных/неправильных ответов быть не может, каждый ваш ответ очень важен и имеет ценность для меня.

Хорошо.

Начнем с небольшого знакомства. Алексей, скажите пожалуйста, где вы работаете, какую должность занимаете, какой у вас стаж по работе?

Я врач-хирург. В центральной клинической больнице номер 1 Управления делами Президента РФ. Хирургический стаж десять лет.

А какой университет заканчивали?

РНИМУ им.Н.И.Пирогова, т.е. 2-ой мед.институт

По грыжесечению и по лечению грыж животы вы проходили какое-то дополнительное специализированное образование? Какие-то курсы повышения квалификации?

Да, проходил и неоднократно. Пытаюсь поддерживать свои знания. Вот в частности ездил в Германию. На практику к профессору Р.Биттнеру

Какое примерное количество операций по грыжесечению в течение рабочей недели Вам удается выполнить?

«В течение недели» не очень корректный вопрос.

Давайте тогда возьмем в другом измерении - в течение месяца.

На неделе, может быть, как ни одной операции по поводу грыжи, а может и семь. Поэтому в месяц… в среднем… операций 15.

Но Ваш центр не специализируется на хирургии грыж, это просто как один из случаев соответственно. Я правильно понимаю, да?

Да. Это то что я могу выполнить в течение месяца. Безусловно есть ещё доктора, есть ещё другие операции, и, соответственно, другие тоже оперируют те же грыжи.

Я вас поняла. А какой результат проведенного лечения грыжи для вас наиболее важен? Что вы оцениваете по результатам?

Мне в первую очередь важно, чтобы был доволен пациент. То есть как он это для себя видит - решена ли его проблема или нет? Это первое.

Второе, это насколько качественно всё было сделано, с моей точки зрения. Получил ли я удовольствие от операции. Разные случаи бывают, но операция должна приносить удовлетворение. Этот критерий. Потом, соответственно, получил ли удовлетворение пациент. Потом болевой синдром у пациента, насколько он выражен. И, третий, это комплекс услуг, оказанных мною - от первой консультации с пациентом до выписки и послеоперационного обследования. Через три-шесть месяцев я всех своих пациентов всегда досматриваю, так скажем.

То есть вы потом проводите динамическое послеоперационное обследование своих пациентов?

Да. И уже спустя время, мне человек, уже всё обдумав и прожив, рассказывает, как ему было в больнице, как у него происходили наборы анализов, предоперационная подготовка, сама операция, анестезия, то есть какой-то отдаленный результат, который мне сообщает сам пациент. Соответственно, качественно проделанной работе, чтобы было доброжелательное отношение у медперсонала к пациенту. Такой сервис.

То есть пытаетесь учесть все детали от начала до конца?

Да. Да. У меня всё пациенты пишут отзывы. Все теплые. Я, собственно говоря, их читаю и пытаюсь указанные помарки исправить. В последнее время, не знаю это хорошо или плохо, но по крайней мере только положительные.

Алексей, по вашему мнению, что свидетельствует о профессиональном признании хирурга? Может быть обращение коллег к нему, чтобы кого-то из своих родных прооперировать. Какой критерий для Вас свидетельствует о профессионализме для хирурга в целом?

В первую очередь, это время. То есть, спустя 10 лет я могу себя назвать профессионалом, может быть, в нескольких узких областях, но не до конца. Потом, доверие со стороны руководства к тебе как к состоявшемуся хирургу, то есть не всегда ищут какого-то более старшего товарища или заведующего отделением, а иногда и к тебе могут обратиться какие-то более высшие инстанции. Ну и идёт так называемое сарафанное радио, когда знакомый через знакомых:

«Ты где-то нашёл этого пациента, вот тот пациент, которого ты оперировал, он порекомендовал тебя другому пациенту, и вот уже тот пациент, которому порекомендовали, он уже рекомендует тебя следующему». Это третья ступень профессионализма, в хирургии и оказании медицинской помощи.

Безусловно профессия врача-хирурга очень сложная. Хотелось бы узнать, с какими трудностями приходится сталкиваться в повседневной работе? Возможно, какие-то издержки в плане отсутствия актуальной информации по каким-то интересным темам? Отсутствие адекватного финансирования со стороны больницы? Возможно, ещё какие-то трудности? С чем Вам по опыту приходилось сталкиваться?

Первая трудность, с которой приходится сталкиваться, это отсутствие времени. Время - это самое дорогое что у нас есть, и время, то, которые ты тратишь на самообразование и практику, его катастрофически не хватает, потому что 90-95% работы врача - это писанина, к сожалению.

И что во всем мире делают специально обученные менеджеры - у нас делают врачи. Этого времени не хватает. Что касается информации. Вся информация есть в доступе в интернете, всё что угодно, её предостаточно и легко найти, если искать.

Что касается финансирования… Ну это такая большая веха нашего здравоохранения. Естественно врачи мало зарабатывают (так скажем официально), я бы сказал: «ничто не зарабатывают».

В плане финансирования…хочется, конечно, чтобы было качественное оборудование и тем самым было приятно делать операции, ведь ни для никого не секрет, что на новом оборудовании лучше работать, чем на каком-то устарелом. Да, эта проблема есть, но на неё тоже все глаза закрывают… Скажем… Справляемся своими силами.

Алексей, расскажите, а как проходит процесс внедрения продукта - вот понравился вам какой-то продукт, новинка, медицинское изделие, и вы хотели бы поработать этим инструментом или материалом в операции? Как проходит процесс приобретения? Вы подаете свою инициативу руководству или всё-таки руководство решает, что вы должны пользоваться только этим, этим и этим? Или есть возможность донести до руководства идею, что хотелось бы вот попробовать?

Раньше, наверное, так и было, что к руководству не подойти. Ну и я был, собственно говоря, не особо опытным хирургом. Сейчас ситуация у нас поменялась, сейчас я могу легко подойти к заведующему отделением, сказать, что вот пожалуйста, мне нравится вот этот инструмент, он современный, облегчит работу хирурга и главное улучшит результат лечения - мы её заказываем и пробуем. И если она нам понравилась, то почему бы и нет. Мы ей и дальше тогда будем пользоваться, потому что если это удобно, если это имеет смысл, общий, с точки зрения финансов и быстроты, то все только за. Это заслуга заведующего отделением.

То есть, так или иначе, это идёт от руководства, если они предоставляют такую возможность коллегам?

Да. Можно пойти и другим путём, можно найти сначала пациента, сказать, что вот есть суперновинка, её как-то разрекламировать, и тогда, пожалуйста, за счёт пациента это всё будет. Но в любом случае это будет за счёт пациента, но либо пациент сам покупает эти новинки, либо он потом те же самые деньги платит в кассу больницы. Вот и всё.

Несколько вопросов по медицинскому изделию - по хирургическим сеткам, по имплантатам. В каком количестве операций вы применяете сетки? Все 100% или всё-таки это не 100% их применение, при лечении грыж соответственно?

Вне зависимости от вида и размера грыжи - всегда сетка.

Какие операции по грыжесечению вы преимущественно выполняете больше? Паховые, вентральные, только лапароскопические или открытые в том числе?

По паховым грыжам большая часть пациентов (80%) - это лапароскопические.

По вентральным грыжам - там больше открытых операций.

Есть ли какая-то модель или фирма, хирургические сетки которой Вам нравится больше всего?

Есть такая модель, полипропиленовая сетка, которую мне больше всего нравится ставить при паховых грыжах, а при пупочных, вентральных - я всегда выбираю из многочисленного ряда, может что-то новое.

Какими свойствами она обладает? За что она Вам нравится? Какие характеристики в ней Вас привлекают?

Из характеристик - самофиксирующаяся. С одной стороны - это большой плюс, а на этапе освоения - это большой минус. Но лично у меня этап освоения довольно быстро прошёл, поэтому у меня не было вопросов к этой сетке.

Завершающий вопрос: Алексей, представьте, что у вас есть возможность создать идеальную хирургическую сетку. Какими характеристиками она бы обладала?

Первое - чтобы её воспринимал любой человеческий организм, чтобы не отторгалась она.

Это интересный вопрос, я честно говоря никогда не думал об этом.

А если представить что-то за гранью возможного? Чтобы Вы хотели видеть в одном продукте сразу всё в одном? Например, для паховой грыжи.

Я думал об утопии, которую в будущем можно как-то реализовать, но мне видится это так:

Через один маленький прокол, входит в человеческий организм маленький робот, которым управляет, соответственно хирург и этот робот сначала действует как маленький паучок, то есть он одновременно и рассекает ткани, а с другой стороны он создаёт эту сетку. После того как он покрывает всё что нужно сеткой, выползает обратно через дырочку, в которую вполз. Идеальный алгоритм в моём представлении. Минимум травматизации, минимум инвазии.

Алексей, спасибо за Ваши интересные идеи! Смогу ли я с Вами связаться в дальнейшем, если мне понадобится экспертный взгляд для исследования?

Да, конечно, буду рад поучаствовать.

Спасибо! Успехов Вам в работе. До свидания!

Интервью 3

Дата проведения интервью: 12.05.2017

Город:  Москва

Продолжительность интервью: 25 мин

ФИО интервьюера: Никонова Екатерина Дмитриевна

Тип интервью

Личное

Имя респондента/ Возможен Ник:

Шеров Руслан Расулжанович

Пол:

мужской

Возраст:

27

Образование:

Первый МГМУ им. И.М.Сеченова

Место работы (название ЛПУ)

Клиника МЕДСИ

Стаж работы в этом ЛПУ

3 года

Специальность

Общая хирургия

Стаж работы по специальности

4 года

Должность

Врач-хирург


Добрый день, меня зовут Никонова Екатерина, и в рамках исследовательского дипломного проекта по разработке карты ценностных предложений, я бы хотела обсудить с Вами, как с экспертом, особенности повседневной работы хирурга. Меня интересует детальное описание ситуаций, проблем, интересных случаев, с которыми Вы сталкиваетесь в профессиональной деятельности. Информация конфиденциальна. Данные будут представляться в обобщенном виде. С Вашего разрешения беседа будет записываться. Всё о чём сегодня мы будем говорить - это ваша экспертная оценка, поэтому правильных/неправильных ответов быть не может, каждый ваш ответ очень важен и имеет ценность для меня.

Добрый день, Екатерина

Начнем с небольшого знакомства. Руслан, скажите пожалуйста, где Вы работаете, какую должность занимаете, какой у вас стаж по Вашей специальности?

Я врач-хирург. Работаю в данный момент в Клинике МЕДСИ на Пушкинской, до этого работал в хирургическом блоке КБ 1 МЕДСИ. Хирургический стаж 4 года, я начинающий хирург. Очень благодарен своему многоуважаемому учителю, наставнику, который обучает меня, показывает верную дорогу. Это очень важно для молодого хирурга, чтобы рядом был такой наставник.

А Какой университет закончили?

Первый медицинский университет имени Сеченова, в настоящий момент являюсь там руководителем Общества Молодых ученых.

Руслан, какое примерное количество герниопластик в течение рабочей недели Вам удается выполнить?

Лично я или совместно с профессором? Ведь я только начинающий хирург…

Расскажите, сколько удается самостоятельно, а сколько - вместе с профессором.

Ответ: На неделе может быть порядка 10-12 операций по грыжесечению, которые мы выполняем совместно с профессором, т.е. за месяц в среднем выходит около 40 герниопластик. Безусловно есть ещё доктора, есть ещё другие операции, и, соответственно, другие тоже оперируют те же грыжи. Самостоятельно, конечно, я выполняю меньше. Но со временем мой опыт увеличивается и доверие профессора ко мне тоже растет, так чтобы он мог поручить мне большее количество самостоятельных операций, с интересными случаями. В особенности рецидивные грыжи - пока только под руководством выполняю. Ведь, понимаете, та анатомия, которые мы учили в университете, которую обычно показывают на 3D-тренажерах, она совсем другая в случае с рецидивной грыжей, ее просто на просто там нет. Ты не знаешь, как могла сместиться хирургическая сетка, и можно повредить нервные ткани, мочеточник, полые органы…Это сложная система, грамотно оперировать которую способен только опытный профессиональный хирург.

Вы выполняете большое количество операций в месяц. А по какой системе Вы работаете с пациентами?

У нас принимаются пациенты как по ОМС, так и по ДМС, по принципам, соответствующим этим системам. Пациентов с ДМС и тех, которых клиника обслуживает в частном порядке, преимущественно больше, т.к. все же наш центр - это не государственное учреждение.

А какой результат проведенного лечения грыжи для вас самый важный?

Безусловно важно, чтобы был доволен пациент. Доволен пациент, доволен и врач. Мы с профессором проводим послеоперационное обследование через 3 месяца, через 6 месяцев и через год. Это наша с ним личная инициатива по внедрению такой контрольной системы, т.к. для нас важно здоровье пациента, его состояние. К тому же это необхожим знать и вести мониторинг и для собственных выводов и научной деятельности. Как правило, если у пациента все хорошо, он не обращается к нам после. Бывает, даже пропадают на несколько лет и потом появляются…. (смеется)…но это случается очень редко. Но чаще всего, если случаются какие-то осложнения, то они дают о себе знать в первые 3-6 месяцев.

Руслан, а что, по вашему мнению, свидетельствует о профессионализме хирурга?

Терпение и сдержанность. Работу хирурга можно сравнить с работой менеджера, но только в операционной, где ему нужно руководить своей командой (анестезиологи, медсестры, ассистенты) и при этом нести ответственность за жизнь пациента на операционном столе. Для хирурга это сильное эмоциональное напряжение. Все мы люди и бывают случаи, когда медсестры не в настроении, или ассистент ошибки допускает по причине того, что не выспался, ну и так далее…И во всех ситуациях, профессиональный хирург должен проявлять терпение, уважительно общаться со всеми коллегами. Признаюсь, довольно сложно оставаться уравновешенным, когда ты работаешь 24/7 без нормальных выходных, понимаешь, что держишь в своих руках жизнь и здоровье другого человека. В наших клиниках (не только в моей, но в целом по Москве) не хватает лаундж-зон, где доктор мог бы прийти в чувства, «перевести дыхание». Да, отсутствие места для отдыха является ощутимой проблемой во всех ЛПУ, наверное, в России в целом.

Кроме того, истинный хирург искренне предан своему делу, он будет готов в любое время дня и ночи выехать к пациенту и при необходимости осуществить все надлежащее лечение. Профессионал думает о работе и своих пациентах не только в стенах больницы, но и за ее пределами, даже дома перед сном. Самоотверженность и любовь к своему делу - одни из черт профессионала, думаю, не только врача-хирурга, но и в любой другой профессии.

Да, безусловно, профессия врача-хирурга очень сложная и уважаемая. Хотелось бы узнать, с какими трудностями приходится сталкиваться в повседневной работе? Возможно, какие-то издержки в плане отсутствия актуальной информации по каким-то интересным темам? Отсутствие адекватного финансирования со стороны больницы? Возможно, ещё какие-то трудности? С чем Вам по опыту приходилось сталкиваться?

Первая трудность, с которой приходится сталкиваться мне, как молодому хирургу, это отношение старших коллег. Когда ты приходишь на свое первое место работы после университета, тебя могут не замечать, не считаться с твоим мнением. Если у начинающего хирурга нет хорошего, и желательного известного в своих профессиональных кругах, наставника и нет начального опыта работы во время обучения (например, санитаром или медсестрой), то дорога в «большую» хирургию закрыта. Наша система медицинского образования построена таким образом, что без «помощи» и руководства ментора выбиться в свет и достичь высот, к сожалению, не получится. Конечно, никто не говорит, что, если у тебя есть классный наставник и у тебя уже есть опыт работы, то ты непременно быстро станешь известным специалистом. Многое зависит от самой личности и его интересов, и целей, однако эти факторы составляют половину формулы успеха. Еще хотелось бы отметить, что большинство современных молодых хирургов, подходя, к операционному столу, начинают оперировать лапароскопически, не обладая техникой открытой операции. Они не обладают опытом классической хирургии (это опять ж к вопросу о нашем образовании). Знаете, а бывают случаи, что во время оперирования необходимо осуществить конвертацию, т.е. перейти от одного приема к другому, и получается, что нужно вызывать бригаду из другого отделения, а вы представьте на минуту, что в это время пациент лежит под наркозом, дольше, чем положено. Отсюда вытекает много трудностей, я бы даже сказал рисков, в особенности для пациента; для больницы это финансовые издержки, а именно простой операционной.

Что же касается материальной обеспеченности клиники, отмечу, что она поддерживается на высоком уровне.

Руслан, а расскажите, а как проходит у Вас процесс внедрения новой продукции - вот понравился вам новинка, медицинское изделие, и Вы хотели бы поработать этим инструментом или материалом в операции? Вы можете донести свою инициативу до руководства или всё-таки руководство решает, чем Вы должны работать?

Наша клиника - громоздкая неповоротливая структура, в которой большая вертикаль власти. Нам с профессором удавалось выстраивать диалог с администрацией, и они шли нам навстречу, но это в порядке исключения было. В большинстве случаев такой возможности нет. Бывало доходило до абсурдного, что банальные маски закупать могли месяц-полтора. У каждой администрации в клинике есть своя вышестоящая администрация, а у тех своя…и пока наш запрос дойдет до «верха», то изначальная потребность может к тому моменту отпасть. Чаще всего в составе руководства находятся люди не врачи, которые не всегда понимают, что лучше для хирурга и для самого пациента, в фокусе их внимания лишь экономический аспект.

Что касается информации. В наше время вся информация есть в свободном доступе в интернете, всё что угодно, её предостаточно и легко найти. Тот, кто ищет, тот всегда найдет.

А теперь хотела бы перейти к блоку вопросов по Вашему опыту применения медицинского изделия - хирургические сетки, имплантаты.

В каком количестве операций вы применяете сетки? Во всех 100%?

Вне зависимости от вида и размера грыжи -сетка ставится всегда.

Какие операции по грыжесечению вы преимущественно выполняете больше? Паховые, вентральные, только лапароскопические или открытые в том числе?

Если брать в процентном соотношении, то 70% паховых и остальное вентральные.

Есть ли какая-то модель или фирма, хирургические сетки которой Вам нравится больше всего?

Мы применяем обычные полипропиленовые сетчатые имплантаты. Ее не обязательно крепить. Мы с профессором проводим наблюдение, в 50% случаев фиксируем ее, в 50% - нет. Об окончательных результатах пока рано говорить.

Чем она Вам нравится? Какие ее характеристики Вас привлекают?

Ответ: Она имеет облегченную структуру, не вызывает аллергию, проста в применении.

И задам завершающий вопрос: Руслан, представьте, что у Вас есть возможность создать идеальную хирургическую сетку, например, для паховых грыж. Какими характеристиками она бы обладала?

Идеал создать трудно. Никто это не создаст из экономической нецелесообразности. Но попробую представить. Первое - чтобы её воспринимал любой человеческий организм, чтобы не отторгалась она. Она должна быть высоко инертной, иметь анатомическую форму, чтобы не приходилось «подгонять» под нужный размер.

Если представить, что мы возьмемся лечить не грыжу, а причину ее появления, т.е. предупреждать причину появления. И тут мы ссылаемся к генетике. Наше ДНК - это программный код человека, по которому работает его организм. А грыжа появляется из-за потери прочности тканей. Так вот если мы к генетическому коду и заменим там нужные частицы, тем самым увеличив прочность тканей, то велика вероятность избавиться от проблем грыж в целом. Но разве фирмы-производители хирургических имплантатов позволят исчезнуть их продукту? (смеется).

Руслан, а что Вы думаете о такой функции хирургической сетки, как рентген-позитивность? Была бы она полезной в Вашей практики?

Только если это безопасно для пациента, в первую очередь. Для проявления на снимке рентгена необходимо, чтобы объект состоял из металла или минералов. Металл в теле человека не должен присутствовать, он способен вызывать большие осложнения. Минералы - да, возможно. Например, внедрив сетку, было бы хорош посмотреть через определенное время, как она там расположилась. А если пациент вернется с жалобой, то с помощью такого снимка можно посмотреть и выявить причины осложнений, не прибегая сразу к операции. Думаю, да, такая функция была бы полезна, но при важном условии - безопасности

Ну что же, Руслан, спасибо за интересную беседу и уделенное время! Скажите, могу ли к Вам в дальнейшем обратиться при необходимости экспертной оценки и мнения?

Не вопрос, с удовольствием поучаствую.

Спасибо Вам, до свидания!

Интервью 4

Дата проведения интервью: 11.05.2017

Город:  Москва

Продолжительность интервью: 21 мин

ФИО интервьюера: Никонова Екатерина Дмитриевна

Тип интервью

Личное

Имя респондента/ Возможен Ник:

Протасов Андрей Витальевич

Пол:

мужской

Возраст:

53

Образование:

Первый МГМУ им.И.М.Сеченова

Место работы (название ЛПУ)

КБ №85 ФМБА России

Стаж работы в этом ЛПУ

15 лет

Специальность

Общая хирургия

Стаж работы по специальности

Должность

Бывший зав.отделением, сейчас врач-хирург


Добрый день. Меня зовут Никонова Екатерина, студентка четвертого курса факультета менеджмента «Высшей школы экономики», и сегодня я бы хотела с Вами, как с экспертом, обсудить повседневную работу хирурга. Детальное описание узнать каких-то ситуаций, проблем, интересных случаев, с которыми сталкиваетесь Вы на работе. Вся информация конфиденциальная, будет предоставлена в обобщенном виде. И хочу сказать, что нет каких-то правильных или неправильных ответов. Мне важна именно Ваша экспертная оценка, то, с чем Вы сталкиваетесь на рабочем месте. Итак, думаю, начнем.

Андрей Витальевич, расскажите, где Вы работаете, как долго работаете и на какой должности?

Я работаю заведующим кафедры оперативной хирургии и клинической анатомии Российского университета Дружбы народов, и, одновременно, в 85-й клинической больнице, был заведующим отделения, сейчас - хирург.

Понятно. А в больнице как долго работаете?

Тридцать лет. В 85-й больнице - пятнадцать лет, и пятнадцать лет до этого в 33-й больнице, которая сейчас стала не то 5-я, не то 6-я.

А какой у Вас стаж выполнения герниопластик?

Тридцать лет.

Также получается. Как только… С момента получения образования первичного…

Ну, у нас же сразу к столу ставили в те времена. Я закончил в 1988 году, и сразу пришел в отделение экстренной хирургии 33-й городской клинической больницы имени Остроумова, она тогда так называлась. И сразу, на следующий день после прихода меня поставили к столу.

#01:30#

Это да, тридцать лет. Это долго.

Какое, примерно, количество операций по грыжесечению Вы выполняете в среднем в месяц?

Ну, я в месяц не могу сказать. Я могу сказать, что в прошлом году я выполнил 140 герниопластик всего за год. Это исключая холециститы и так далее. Но в этом году будет чуточку меньше.

То есть, проще Вам за год посчитать.

Да. У меня просто был отчет, который в отдел статистики я предоставил, и там было порядка 140 таких операций.

А Вы проводите динамическое обследование прооперированных пациентов?

Да. Ну, у меня же проходят аспиранты, которые пишут кандидатские диссертации, и они, естественно, проводят опрос всех пациентов, которые входят у них…

А в каком сроке?

До трех лет.

До трех лет потом. И они занимаются…

Ну, не всех, естественно, а выборочно - тех, которые вошли в исследования.

А, по исследованиям. А в обычной практике?

Ну, в обычной практике, здесь, в этом лечебном учреждении, есть свой контингент приписанных больных, которые никуда, кроме как к нам, прийти не могут. И поэтому, если что-то случается, они все равно приходят к нам.

Какой результат выполненной герниопластики Вы оцениваете…? Какой критерий важен для Вас, в первую очередь?

Отсутствие осложнений и отсутствие рецидивов, естественно.

Это самое важное, соответственно.

Ну, удовлетворенность самого хирурга и больного операцией.

Ну, в том числе, да. То есть, получение удовлетворенности от операции…

Да. Удовлетворенность от операции - понятно, что она возникает тогда, когда работа выполнена хорошо.

Безусловно, да.

Если работа выполнена не доброкачественно, и ты это понимаешь, то, естественно, удовлетворенности хирург не испытывает.

И хирург, и, скорее всего, пациент тоже.

Ну, пациент может об этом не узнать. Потому что, даже не очень хорошо выполненная операция может принести нормальный результат. Такое бывает, кстати, очень часто.

#03:20#

А что, на Ваш взгляд, свидетельствует о профессионализме хирурга? Какие характеристики могут «сказать», что этот человек, хирург, профессионал в своем деле?

Ну, сложный вопрос. Для меня, например, профессионал это тот, кто, несмотря ни на что, на следующий день придет и посмотрит своего прооперированного больного. Чего вот у молодого поколения не наблюдается.

То есть, преданность делу своему.

Да. Меня приучили, что я должен, если, там, я даже сегодня, в пятницу прооперировал больного, в субботу я должен прийти его посмотреть обязательно.

Потом. Желание постоянно повышать свою квалификацию. То есть, посещение (настоящее посещение, а не липовое!) различных… Конференции, я считаю, нас ничему не учат. А вот, посещение мастер-классов, поездки за рубеж на обучение, на мастер-классы…

Практически ориентированные, такие.

Да, абсолютно ориентированные, когда человек четко выбирает то, что его интересует, и едет куда-то стажироваться. Именно стажироваться. То есть стоять у стола, а не слушать бубнящих с трибуны лекторов, где, конечно, общие сведения можно получить, но научиться чему-либо, на самом деле, практически нереально.

Ну, теория без практики…

И, второе - это видео. Современная техника нам дает возможность просмотра видео нормальных операций. Потому что любая операция - это четкое выполнение каких-то определенных позиций. Это не просто, там, мельтешение руками, а именно четко определенный набор позиций, что хирург должен делать. В первую очередь, во вторую, третью, четвертую, пятую. И чем закончить.

Безусловно, работа хирурга очень сложный род деятельности. А вот расскажите, с какими трудностями или издержками приходится сталкиваться в повседневной работе? Возможно, это будет носить характер: нехватки какой-то информации или финансовые трудности, там, с материальным обеспечением?

Нет. Ну, в моем положении, нынешнем, недостатка информации либо недостатка денежных, материальных средств на проведение операции у меня не имеется, естественно. Почему? Потому что, больного, который приходит ко мне на операцию, мы ставим в известность, сколько будет стоить тот или иной материал. И, если он согласен, мы заранее материал приобретаем и оперируем.

А вот, непонимание, например, администрации в случаях, когда надо такой-то или такой-то инструмент закупать, попытки объяснить им, что нельзя в отделении хирургии внедрять, например, ЛОР-болезни. Вот это, на мой взгляд, самое сложное. То есть, самое сложное, это невозможность с нынешними администрациями разговаривать по существу.

А вот расскажите, как принимаются решения о приобретении того или иного продукта. Например, Вам понравилось какое-то медицинское изделие.

#06:16#

Без понятия. Вот раньше это приобреталось достаточно просто. С администрацией согласовывался этот вопрос, и… Ну, мы все прекрасно знаем, что для того, чтобы купить качественный инструмент или нужного качества материал, включались в тендер какие-либо инструменты или материалы, которые никто, кроме данной конкретной фирмы, не выпускал. Как сейчас это производится, я не знаю, потому что, насколько я вижу, нынешний материал, инструменты не отвечают тем требованиям, которые должны быть. По крайней мере, вот одноразовые халаты - совершенно невозможные.

Неподходящего качества.

Абсолютно неподходящего качества.

А вот как-то донести… Вот в этом-то и заключается трудность, что…

Да, я даже теперь, честно говоря, не знаю, как это можно до нее донести, потому что, как правило, администрация отказывается общаться по этому поводу. Ну, видимо, они боятся, что кто-то из хирургов заработает на этом деньги.

Свои взгляды на это.

И к вопросу… Вот, хотела поговорить про медицинские изделия, конкретно, хирургические сетки. В каком количестве операций по грыжесечению Вы применяете хирургические сетки?

Во всех.

Во всех, то есть, в 100 процентах.

В 100 процентах.

А каких операций делаете больше? Паховых, вентральных, открытых, лапароскопических?

Паховых. Ну, паховых грыж, вообще, больше 70 процентов из всего объема грыж. Естественно, операций паховых грыж мы делаем больше.

А техника - открытая, лапароскопическая?

Ну, я делаю, в основном, сейчас открытые, потому что с появлением новых самофиксирующихся сеток эта стала операция достаточно рациональной. Ну, если есть желание больного, или это рецидивная грыжа, делаю лапароскопически.

То есть, здесь по усмотрению также и пациента, в том числе.

Да. Ну, потом, есть решение Европейского общества эндоскопических хирургов, не решение, а рекомендации, в которых говорится, что рецидивность и осложнения у лапароскопической и обычной пластики одинаковы. Поэтому первично рекомендуется выполнять обычную пластику. Если возник рецидив после обычной пластики,повторную операцию делают лапароскопически, если рецидив после лапароскопической, то обычным доступом. То есть они теперь это называют передняя пластика и задняя пластика.

#08:38#

Это, вот, недавние какие-то, современные рекомендации. Или это уже давно?

Ну, они вышли в первый раз в 2009 году, сейчас в 2014 году вышли, они их обновляют постоянно.

А какие хирургические имплантаты Вам нравятся больше всего?

Ну, в последние шесть-семь лет я пользуюсь, в основном имплантатами Progrip, фирмы раньше это была Тайко, потом Covidien, теперь это Medtronic. Но, в настоящий момент перешел, в основном, на Адгезис называется.

И Вы ими чаще всего и пользуетесь в работе?

В настоящий момент да.

А за какие качества Вы им отдаете предпочтение? Почему они Вам нравятся, по каким характеристикам?

Ну, во-первых, они упрощают нашу работу. Ну, если все правильно делать. Если делать неправильно, естественно, работать станет сложнее. Второе. Они значительно уменьшают так называемую «хроническую боль» после операции. Так как нет швов, которые могут повреждать, или попадать в шов, там, трансмуральные ветви различных нервов. А эти сетки, как правило, эти нервы не повреждают. У меня, по крайней мере, при применении этих сеток в последний год ни один больной не обращался с «хронической болью». И, второе, естественно, кроме этой сетки, там необходима тщательная препаровка тканей, то есть, всех структур, которым необходимо ее фиксировать. Это тоже помогает избежать в дальнейшем «хронической боли».

И, наверное, последний вопрос, Андрей Витальевич. Представьте, у Вас есть возможность создать идеальную сетку хирургическую. Какими бы характеристиками она бы обладала? Может быть, возьмем конкретнее, например, для паховых грыж. Вот, если для таких операций?

Ну, первое, это должна быть заранее заданная форма сетки, чтобы хирургу не надо было ее выкраивать. Почему? Потому что, к сожалению, в нашей стране любая выкройка сетки приводит к тому, что мы начинаем экономить. Размера будет недостаточно. Размер должен быть, как минимум, 8 на 12, или больше. Это для обычной пластики паховых грыж.

Третье. Она должна самостоятельно фиксироваться тем или иным способом. Это может быть и способом Progrip, назовем его так, и способом Адгезикс. В данном случае это не имеет значения. То есть, чтобы не было необходимости накладывать швы, которые могут повреждать трансмуральные ветви нервов.

Ну, и, естественно, все остальные свойства сетки: материал, который не вызывает дополнительных явлений. Потому что полипропилен - это не лучший материал для имплантов в паховой области. Сейчас появились так называемые титанизированные сетки, сетки полиэстерные, которые гораздо меньше влияют на репродуктивную функцию мужчин после операции. К сожалению, полипропилен в этом плане, по крайней мере, так показали наши эксперименты на крысах, оказывает очень отрицательное воздействие.

#11:37#

Андрей Витальевич, а Вы слышали про… Наверняка слышали про такую функцию сеток, как, если не ошибаюсь, рентген-положительные…

Да, есть.

Как Вы считаете?

Ну, это у любого западного материала, ну, кроме, наверно, сеток [ЕСТЦА -11:52], рентген-негативный или рентген-позитивный скорее.

Позитивный, да.

Когда можно всегда определить ее нахождение. Есть она, вообще, в принципе, или нет.

То есть, это есть у существующих сеток, которые используются в России?

Ну, у сеток нет, но, например, у многих перевязочных материалов западных есть специальное включение, которое позволяет определить, оставлен этот материал в брюшной полости, или не оставлен. Это бывает и для дренажей справедливо, и для других материалов. Когда производится операция, то оставить какой-то материал очень просто. Особенно, если операционная сестра не совсем правильно выполняет свои функции.

То же самое относится к сеткам. Но она… Это нам позволит только определить одно: если таких вставок будет много, нам позволит определить, сохранился ли размер сетки, сохранилось ли позиционирование в ране.

Такая функция была бы полезна?

Да. Я думаю, что очень полезна, особенно когда происходят какие-то негативные последствия после операции. Но в любом случае, для научных целей определить, происходит ли уменьшение размера сеток, то есть, биодеградация сетчатого импланта, происходит ли его депозиционирование, если можно так назвать, то есть, смещение импланта не в заданное положение. Ну, это было бы великолепно.

Ну что же, Андрей Витальевич, спасибо Вам большое за участие в исследовании!

Интервью 5

Дата проведения интервью: 11.05.2017

Город:  Москва

Продолжительность интервью: 22 мин

ФИО интервьюера: Никонова Екатерина Дмитриевна

Тип интервью

Личное

Имя респондента/ Возможен Ник:

Кулиев Сердар Атаевич

Пол:

мужской

Возраст:

35

Образование:

Первый СПГМУ им.академика И.П.Павлова

Место работы (название ЛПУ)

СМ-клиника

Стаж работы в этом ЛПУ

менее года

Специальность

Общая хирургия

Стаж работы по специальности

11 лет

Должность

Зав.хирургическим отделением


Ой! Можно мне выйти?...

Добрый день. Расскажите, какое примерно количество операций в среднем в месяц Вы выполняете?

- Порядка 30-40.

- Это среднее количество в месяц, а в неделю если?

-В неделю бывает по-разному.

- В последнее время?

- Бывает от 6 до 15.

- Какой результат операции по грыжесечению для вас имеет преимущественное значение?

Удовлетворенность пациента.

Только лишь?

Да, это самое главное, мы же лечим пациента, а не себя.

Может что-то еще? Может удовлетворенность от проделанной работы в том числе имеет для Вас значение?

Это все взаимосвязано. Если удовлетворен пациент, удовлетворен и хирург.

А бывает такое, что пациент удовлетворен, а хирург не доволен работой?

Такого не бывает, потому что если пациент не удовлетворен, значит хирург сделал что-то не качественно. Значит, хирург уже по умолчанию удовлетворен.

Возможно, соглашусь в этом.

А динамические наблюдения после прооперированных пациентов вы проводите?

Три, шесть месяцев, год, ежегодно.

То есть через три месяца, через полгода

Через три, через шесть и через год, потом ежегодно

#01:38#

Это именно не для научных исследований, это чисто Ваша система?

Это система и наука.

Пересекаются и так, и так. Это чисто Ваша инициатива или это порядки больницы, чтобы так вот вести?

Моя инициатива. Я как Навальный, инициативный.

Хорошо. Что, по Вашему мнению, свидетельствует о профессионализме хирурга?

Скромность.

Это может относиться к профессионализму именно хирурга? Это же к человеку может относиться - скромность. Человек может быть скромным, но не профессиональным.

Да, может быть, но чаще всего профессионалы, они скромные. Не кричат на каждом углу, что мы гениальные.

А какие характеристики помимо скромности?

Качество работы. Количество благодарных и удовлетворенных пациентов и соответственно, одно из главных качеств хирурга это техника. Чем технически владеет человек.Все. Точка.

Хорошо. Я поняла Вашу точку зрения.

Спасибо большое, для меня это очень важно.

Безусловно, профессия врача очень сложная. Расскажите, с какими трудностями и издержками Вам приходится сталкиваться в профессиональной повседневной деятельности?

Ни с какими. Это частная клиника.

То есть вопрос материального обеспечения, информационного?

Никакого. Абсолютно.

Взаимодействие с администрацией?

Никакого.

То есть идеальные условия, никаких трудностей нет?

#03:29#

Нет. Все, что нужно для оперативного вмешательства, сюда могут доставить в течение суток. Для любого, за исключением трансплантации органов. Мы этим не занимаемся, просто не специализируемся.

А так могли бы?

Я думаю, что да. Действительно никакого, я это серьезно говорю. Я говорю: «Мне нужна такая то сетка тогда-то, тогда-то», к этому дню будет сетка. Нужен сшивающий аппарат тогда-то, тогда-то. Это будет все.

Поняла, то есть с материальным обеспечением вопросов нет, но с точки зрения может там с пациентами нехватка или наоборот, слишком много трудностей, не успеваете.

С пациентами тоже в принципе. Нехватка в каком плане, что их мало? Нет, пациентов достаточно.

Но и слишком много не бывает?

Все зависит от того, на сколько человек может справиться. Что значит много?

- В вашем лечебном учреждении, конкретно в вашей ситуации была такая ситуация, когда не хватало человеческих ресурсов на принятие пациентов? Мест не хватало?

Нет, у нас хватает. Действительно, серьезно хватает. У нас получается в терапии и хирургии по 20 коек, и вчера госпитализировано было 13 человек из них 9 было оперировано. Всегда хватает. Мы придерживаемся однодневной хирургии. Пришел, прооперировался и ушел.

То есть можно сказать, что у вас идеальные условия работы? И вообще в профессии в целом. Возможно трудности со страховыми компаниями?

Мы не работаем со страховыми компаниями. Мы работаем только за наличную оплату.

Напрямую с пациентом?

Да.

#05:30#

Хорошо, тогда перейдем к блоку вопросов, касающихся медицинских изделий. Какие хирургические сетки чаще всего используете в работе?

Полипропиленовые.

А конкретнее по фирмам, компаниям, моделям?

Я не рекламирую.

Хорошо, вы их применяете. Точнее какие операции чаще делаете - паховые, вентральные, открытые, лапароскопические?

Скорей всего паховые, лапароскопические.

Могли бы сказать примерно за полгода примерное количество паховых, лапароскопических?

У нас в основном происходят паховые. Лапароскопические только достаточно большие.

Ну в каком соотношении по отношению ко всему? Паховых составляет процент?

По всем грыжам?

Которые именно вы выполняете. Ну например за полгода.

Где-то 2/3

/3 составляют паховые лапароскопические. И сетки которые вы применяете?

Нет, я имел ввиду 2/3 паховых грыж из всего объема грыж. Если из паховых, то 3/4, может быть 4/5. Очень редко оперируем открыто паховые грыжи. Единично. [Это три процента- 06:45].

Но сетки применяете во всех операциях?

Везде сто процентов. Все, что старше 18 лет, сто процентная имплантация. Младше 18 лет я не оперирую.

#06:55#

Вы сказали, что сетки, которые Вы чаще всего применяете, это полипропиленовые.

Да.

Вы ими довольны?

Да.

За какие характеристики? Чем?

Инертность, податливость, имеет память формы, их можно расположить под углом, можно не бояться, что на них сядет какая-то инфекция. Они обладают на самом деле хорошими достаточно характеристиками. Прочность, инертность, низкие аллергологические свойства, быстрая интеграция в переднюю брюшную стенку.

А что касается размеров? Подходят или приходится иногда подгонять?

Чаще всего уже фирмы изготовители уже отработали эти размеры. Если касается паховых грыж, то это стандартные 15 на 10 для лапароскопической и 13 на 8 для открытых герниопластик. Так как мы берем чаще всего 15 на 10, мы просто выкраиваем 13 на 8. Но очень редко выкраиваем, чаще можно 15 на 10 упаковать в любой пах почти.

Расскажите про процесс приобретения продукции. Например, Вам понравилась какая-то новинка на рынке, апробация прошла и Вы хотели бы уже именно ее применять в операциях. Есть ли возможность подойти к руковоству? Как, опишите, вообще происходит процесс внедрения этого нового продукта? Есть ли такая возможность, чтобы применять его на рабочем месте в операции.

Есть, конечно. Если существует сертификат соответствия и ..

Допустим, да.

И нет в приобретении данного изделия и использования...

То есть инициатива исходит от Вас, как от хирурга и уже подходите к администрации и согласовываете?

#08:54#

Да. При условии, все зависит от того, на сколько пациент может себе позволить то или иное изделие.

Соответственно, сначала сообщается стоимость пациенту?

Сначала рассказывается пациенту в принципе о необходимости сетчатого протеза. Потом - какие есть сетчатые протезы. Потом рассказывается стоимость сетчатых протезов.

Потом предоставляется выбор?

Потом предоставляется выбор. При этом мы рекомендуем, какой необходим в данной ситуации и вид оперативного вмешательства, и, соответственно, исходя из этого, использование сетчатого протеза. Уже выбирает потом человек. Выбор все равно остается за человеком, после всех рассказов, демонстраций, изысканий, и т.д., и т.п., человек делает выбор. Мы не давим на человека. Если человек не может купить сетку, скажем, за 10 тысяч, но может купить за 5, человек купит ее за 5 тысяч и мы ее имплантируем. Но при этом мы никогда не посоветуем человеку купить сетку за 500 рублей.

Такие бывают?

Бывают.

Москитные?

Не буду называть его.

Конфиденциально все.

Что касается меня, я гарантирую качество, то есть я даю гарантию, я даю качество. Исходя из этого, я не могу себе позволить использовать какой-то дешевый сетчатый протез, заведомо зная, что будет ряд негативных осложнений и последствий. Которые не удовлетворят пациента в результате лечения данного заболевания. Как я завернул?

Хорошо. Вы наверняка слышали про такую характеристику в зарубежных сетчатых имплантах, как рентгенпозитивность.

Да.

#11:01#

Считатет ли Вы, что это было бы необходимо в вашей работе?

Да, потому что существуют редкие казуистические случаи, когда происходит миграция сетки, допустим, в кишку, в мочевой пузырь и очень мало людей, которые могут связать макрогематурию с миграцией сетки в мочевой пузырь. Только при выполнении [цистоскопии] можно увидеть кусок сетки. А при наличии рентгенпозитивных ячеек, ниточек, клеточек и тому подобное, выполняя тоже самое КТ или МРТ можно увидеть, что да, это сетчатый протез, который находится в мочевом пузыре или в кишке. И тогда ты уже без каких-либо инвазивных методов знаешь, что за осложнения.

В принципе, такая функция была бы полезна, если бы такие сетки, либо наши производители, которые есть, это внедрили бы?

Наверное.

И последний вопрос, завершающий. Вот представьте, что у Вас есть возможность создать идеальную сетку, например для паховых грыж, какими бы характеристиками она обладала?

Давайте так, идеала быть не может. Идеал это апоневроз.

Приближено к идеалу?

Хорошо. Первое - это строгая анатомичность. Сейчас есть работы, где делают 3-D сетки именно под человека. То есть берем паховую область, то есть 3-D моделирование. Именно паховой области. Под нее плетется на 3-D принтере сетка, под это делаются специальные 3-D инструменты. Это уже есть. Экспериментально, но есть. Во- вторых, самый главный принцип той же самой герниологии - минимальное количество инородного материала. Соответственно, значит сетчатый протез должен рассасываться. а вот сколько по времени он должен рассасываться - этого никто не знает. Через сколько у человека чуть-чуть хотя бы образуется коллаген, никто не знает. Это мифы, которые люди обычно у нас…

Если мы выйдем за рамки реальности? Вот, чисто представить? Не думать о том, что возможно, там, это сделать - невозможно.

Это строгая анатомичность. Должна, как влитая. Как обувь, когда шьют по лекалу, специально ортопедическую обувь делают под человека. Одеваешь и классно. Тоже самое как костюм шьют специально под комплекцию человека. Тоже самое сетка, должно быть так. Те же самые инструменты для выполнения операции специально под человека выделяются. Надо понимать, что тот же самый инструмент он уже будет одноразовый, на другого человека ты его не используешь. Это два. Третье - сетка должна иметь те же самые характеристики, которые на сегодняшний день имеет любой сетчатый протез. Инертность, быстрая интеграция, чтобы не было аллергической реакции и при этом, чтобы она рассасывалась, но не теряла прочности своей. Были одно время сетки, которые рассасывались и при этом теряли прочность. Возникало много рецидивов. От этих сеток отказались, их сняли с производства. Есть сетки, которые на сегодняшний день у нас не зарегистрированы, они полностью рассасываются в течение двух лет. Но они только появились и судить о них и говорить, что это «Вау, круто»…

#15:32#

Пока рано?

Да. В России их нет вообще. Они есть в Европе, в Америке и как что появится не известно.

Биологические сетки они безумно дорогие, хотя они обладают.

Какими свойствами они обладают?

Всеми. И на них есть, если сравнивать, были работы где сравнивали [ассимиляцию?] полипропиленовой сетки и биологической. Ну синтетические и биологические. И у биологической сетки на порядок меньше [ассимиляция].

А что это за процесс?

Количество микроорганизмов, которое садится. Инфекцию пытались посадить. Не достоверно, но меньше. Но это не влияет на процессы заживления и на все остальное. Идеальную сетку очень тяжело придумать.

Но тем не менее, какие-то характеристики Вы назвали, которые могли бы быть в одном.

Не-не. Это уже все есть. Не я же Америку открываю. Уже есть работы по 3-D реконструкции паховых областей с формированием. Уже есть такие работы, уже есть [полииндивидуальная] сетка, да, это есть. То же самое - с вот этими МРТ-позитивными метками. Эти есть сетки - да это экспериментальная работа, но она есть. 3-D инструменты - это экспериментальная работа, но она есть. Да, рассасывающаяся полностью сетка не эксперимент, она есть, она уже применяется на людях. Биологические сетки различного производства, от свиньи до человека, они есть. Проблема не в том, что как бы ее сделать, а в том, чтобы не получить потом рецидив. Отсутствие рецидивов и выздоровление, как принято везде не знаю почему, но в онкологии пять лет, в грыжах так же. Поэтому смотришь первый год остаточно пристально, а потом ежегодно. Потому что чаще всего, практически 90%, рецидив происходит в течение первого года, а потом уже в промежутке между тремя и пятью годами происходит рецидив. Потому что не знаю, но мне так кажется, просто полипропилен имеет свойство усталости.#17:56#

Стареет со временем?

Конечно.

А что не стареет из существующих материалов?

Кащей Бессмертный.

Менее подвержены?

Я не знаю что. Невозможно, потому что биологические сетки, они достаточно недавно вышли на рынок, лет 10-15, полипропилен с 59-го года. Во-вторых, цена разная и поэтому очень мало не только в России, но и в Европе и в Америке госпиталей, клиник которые могут позволить себе направо и налево имплантировать сетчатые биологические протезы. Это очень дорого.

А в России была практика внедрения биологического?

- Конечно, мы пользовались, правда мы пользовались при диафрагмальных грыжах. Просто это дорого. Очень дорого.

А в плане технологии ее внедрения есть сложности?

Тоже самое. Все тоже самое.

Ну что ж, спасибо Вам за участие.

Вам тоже спасибо.

Образец анкеты онлайн опроса респондентов

Уважаемые коллеги! От лица некоммерческой организации МОО АСТИХ мы проводим независимое исследование среди врачей-хирургов. Мы будем благодарны, если Вы сможете принять участие в коротком 10-минутном исследовании, целью которого является разработка карты ценностного предложения для врачей-хирургов. Для этого нам необходимо составить профиль врача-хирурга, описать его профессиональную деятельность, повседневные "задачи", "боли" и "выгоды".

Вы можете пройти данный опрос с мобильного устройства.

МОО АСТИХ гарантирует анонимность и конфиденциальность Ваших ответов.

Результаты исследования будут использоваться исключительно в обобщенном виде.

Заранее благодарим Вас за участие в исследовании!

Мы уверены, что с Вашей помощью сможем сделать вклад в развитие комфортной медицинской инфраструктуры!

Укажите из какого Вы города:

Москва

Московская область

Другое_____________

1. Уровень Вашего профессионального (последипломного) образования:

интернатура

ординатура

последовательное обучение и в интернатуре, и в ординатуре

2. Наличие у Вас специализированного, дополнительного, образования по лечению грыж живота:

курсы повышения квалификации продолжительностью менее 18 часов

курсы повышения квалификации продолжительностью от 18 до 36 часов

курсы повышения квалификации продолжительностью от 36 до 72 часов

курсы повышения квалификации продолжительностью от 72 до 144 часов

не проходил специализированного обучения по лечению грыж живота

3. Ваш уровень профессиональной компетенции в лечении грыж живота (стаж выполнения герниопластик)

до 5-ти лет

от 5-ти до 10-ти лет

более 10-ти лет

Общая характеристика профессиональной деятельности

. Какой результат выполненной герниопластики Вы наиболее часто оцениваете?

отсутствие повторного обращения пациента

отсутствие рецидива грыжи в ближайшем послеоперационном периоде

отсутствие рецидива грыжи в отдаленном послеоперационном периоде

. Проводите ли Вы динамическое наблюдение прооперированных пациентов после выписки из стационара и на каких сроках?

не провожу динамического наблюдения

провожу динамическое наблюдение на сроках до 3-х месяцев

провожу динамическое наблюдение на сроках до 6-ти месяцев

провожу динамическое наблюдение на сроках до 1-го года

провожу динамическое наблюдение на сроках более 1-го года

. Какой результат проведенного лечения грыжи для Вас наиболее важен?

выписка пациента из стационара с формулировкой в выписном эпикризе «претензий не имею»

выписка пациента из стационара в полном моральном удовлетворении косметическим результатом проведенного лечения

отсутствие у пациента рецидива грыжи при динамическом наблюдении

. Что свидетельствует о Вашем профессиональном признании в лечении грыж живота

мои коллеги обращаются ко мне для хирургического лечения грыжи

ко мне на консультацию и лечение обращаются пациенты из других медицинских учреждений

меня приглашают для проведения мастер-классов, докладов и лекций по хирургическому лечению грыж

. С какими издержками/ трудностями Вашей профессии наиболее часто приходится сталкиваться при хирургическом лечении грыж

временные (достаточно долгий срок учебы и овладевания профессиональными знаниями и умениями)

информационные (отсутствие своевременной, достоверной и доступной профессиональной информации о лечении грыж)

финансовые (отсутствие зависимости оплаты труда от результатов операций)

финансовые (отсутствие адекватного финансирования расходных материалов для выполнения герниопластик)

другое __________________

. С какими рисками Вы больше всего «боитесь» столкнуться, занимаясь хирургическим лечением грыж (с какими рисками Вы наиболее часто сталкиваетесь)

что во время операции выяснится, что отсутствует необходимый расходный материал (шовный материал, имплантат)

что ассистент не владеет оперативной техникой проводимой операции

что пациент может быть инфицированным

что при «отрицательном результате» операции может наступить персональная юридическая ответственность

. Какое негативное последствие социального характера для Вас имеет большую значимость в Вашей профессиональной деятельности?

потеря профессионального статуса (известности)

потеря власти и управления

потеря доверия пациентов

потеря доверия коллег

Характеристика опыта применения хирургических имплантатов

Ниже следует блок вопросов, касающийся Вашего опыта применения хирургических сеток

. Какое количество операций грыжесечения Вы сделали за последние 6 месяцев с применением сетки? без применения сетки? (укажите примерное число)

. Каких операции грыжесечения преимущественно больше Вы провели за последние 6 месяцев?

Паховые открыте

Паховые лапароскопические

Вентральные открытые

Вентральные лапароскопические

Другое ____________________

. Какие хирургические сетки Вы использовали при операции за последние 6 месяцев (фирма, модель)?

. Какие хирургические сетки Вам нравятся больше всего (фирма, модель)?

. Какие хирургические сетки Вы используете ЧАЩЕ всего? (фирма, модель)

. Насколько в целом Вы удовлетворены сетками, которые Вы используете ЧАЩЕ всего?


17. Насколько они соответствует Вашим требованиям и ожиданиям?


18. Насколько они близки к Вашему идеалу?


19. Какова вероятность, что Вы порекомендуете эти хирургические сетки (или сетку) своим коллегам для их хирургической практики?


20. Оцените, насколько для Вас значимы следующие характеристики при выборе хирургической сетки


Характеристика деятельности хирурга

. При лечении каких грыж применение имплантатов оправдано по Вашему мнению

при первичных паховых/бедренных

при рецидивных паховых/бедренных

при первичных вентральных

при послеоперационных вентральных

. Что Вас не удовлетворяет в технологии выполнения герниопластик посредством герниолапаротомии?

технология «с бородой»

технология настолько проста, что и студент может выполнить

технология настолько сложна, что трудно воспроизводима

удовлетворяет всё

. Что Вас не удовлетворяет в технологии лапароскопической герниопластики?

технология сложна и трудновоспроизводима

технология требует значительного дополнительного аппаратно-инструментального оснащения

технология характеризуется целым спектром возможных осложнений, связанных с необходимостью наложения пневмоперитонеума

удовлетворяет всё

. Каким способом фиксации имплантатов при лапароскопической паховой аллогерниопластике Вы наиболее часто пользуетесь?

фиксация отдельными узловыми/П-образными швами

фиксация непрерывным швом/швами

фиксация металлическими скобами

фиксация полурассасывающимися фиксаторами

не фиксирую имплантат дополнительными материалами, так как применяю самофиксирующийся имплантат

. Каким способом фиксации имплантатов при паховой аллогерниопластике лапаротомным доступом Вы наиболее часто пользуетесь?

фиксация отдельными узловыми/П-образными швами

фиксация непрерывным швом/швами

фиксация винтообразными металлическими фиксаторами

фиксация металлическими скобами

фиксация полурассасывающимися фиксаторами

не фиксирую имплантат дополнительными материалами, так как применяю самофиксирующийся имплантат

. Каким способом фиксации имплантатов при лапароскопической аллогерниопластике вентральных грыж Вы наиболее часто пользуетесь?

фиксация отдельными узловыми/П-образными швами

фиксация непрерывным швом/швами

фиксация винтообразными металлическими фиксаторами

фиксация металлическими скобами

фиксация полурассасывающимися фиксаторами

не фиксирую имплантат дополнительными материалами, так как применяю самофиксирующийся имплантат

. Каким способом фиксации имплантатов при аллогерниопластике вентральных грыж лапаротомным доступом Вы наиболее часто пользуетесь?

фиксация отдельными узловыми/П-образными швами

фиксация непрерывным швом/швами

фиксация винтообразными металлическими фиксаторами

фиксация металлическими скобами

фиксация полурассасывающимися фиксаторами

не фиксирую имплантат дополнительными материалами, так как применяю самофиксирующийся имплантат

. Какие размеры имплантата Вы наиболее часто избираете при выполнении паховой аллогерниопластики?

на 8 см

на 10 см

на 13 см

на 15 см

на 18 см

. Какие размеры имплантата Вы наиболее часто избираете при выполнении аллогерниопластики при вентральных грыжах

соответствующий размерам грыжевого дефекта

больше по периметру размеров грыжевого дефекта на 2-3 см

больше по периметру размеров грыжевого дефекта на 3-4 см

больше по периметру размеров грыжевого дефекта на 4-5 см

больше по периметру размеров грыжевого дефекта на 5-6 см

. Считаете ли Вы возможным интраабдоминальное размещение имплантата без перитонизации брюшиной

нет, невозможно

возможно, при условии наличия на имплантате антиадгезивного (барьерного) слоя

возможно, при условии отграничения имплантата дополнительными материалами

. Улучшились ли результаты лечения грыж после начала применения Вами имплантатов и как

снизилась частота рецидивов, до 10-15%

снизилась частота рецидивов, до 5-10%

снизилась частота рецидивов, до 2-5%

снизилась частота рецидивов, до 0-2%

нет, не улучшились

. В какой временной промежуток Вы начали использовать имплантаты при лечении грыж

примерно в 1990-1995 гг.

примерно в 1995-2000 гг.

примерно в 2000-2005 гг.

примерно в 2005-2010 гг.

примерно в 2010-2015 гг.

после 2015 года

. В какой временной промежуток Вы познакомились с информацией о самофиксирующихся имплантатах

примерно в 2000-2005 гг.

примерно в 2005-2010 гг.

примерно в 2010-2015 гг.

после 2015 года

. При каких грыжах Вы применяете самофиксирующиеся имплантаты

при любых формах паховых и бедренных грыж

только при канатиковой форме паховой грыжи

при вентральных грыжах малых размеров

при вентральных грыжах малых и средних размеров

при вентральных грыжах малых, средних и больших размеров

при любых размерах вентральных грыж

. Посредством какого оперативного доступа Вы выполняете герниопластику с самофиксирующимся имплантатом

посредством герниолапаротомии/лапаротомии

посредством лапароскопического оперативного доступа

посредством предбрюшинного доступа

. Какие результаты были зафиксированы Вами после начала применения самофиксирующихся имплантатов

снизилась частота рецидивирования грыж

частота рецидивов не изменилась по сравнению с фиксационной методикой со стандартными имплантатами

снизилась частота формирования хронического болевого синдрома

частота формирования хронического болевого синдрома осталась на прежнем уровне

другое___________________

. Какой способ самостоятельной фиксации имплантатов Вам известен

самостоятельная фиксация за счет наличия крупных пор в плетении и определенной «жесткости» материала имплантата

самостоятельная фиксация за счет анатомической формы имплантата и армированного периметра

самостоятельная фиксация за счет наличия специальных микрокрючков для сцепления с тканью

самостоятельная фиксация за счет наличия на имплантате клеевой композиции

. С какими трудностями Вы столкнулись при интеграции самофиксирующего имплантата

быстрая нецелевая фиксация имплантата

невозможность коррекции расположения имплантата

невозможность коррекции размеров имплантата (не предусмотрено технологий производства)

необходимость привыкания к технике размещения самофиксирующегося имплантата

формирование «мертвого» пространства над или под имплантатом из-за того, что способностью к самостоятельной фиксации обладает только одна сторона имплантата

. Что по Вашему мнению может улучшить/упростить технику размещения имплантата и последующие результаты операции

наличие двусторонней самостоятельной фиксации имплантата

наличие временной экспозиции, после которой наступает первичная самостоятельная фиксация

разработка специализированной техники по размещению самофиксирующихся имплантатов

. Что Вас не устраивает при или сдерживает от применения самофиксирующихся имплантатов

нехватка достоверной, убедительной информации об оперативной технике и результатах герниопластик с самофиксирующимися имплантатами

сомнения в достаточной прочности самостоятельной фиксации подобных имплантатов

экономическая составляющая применения самофиксирующихся имплантатов

устраивает всё

Похожие работы на - Особенности функционирования стартапов и принципы методики развития отношений с клиентами

 

Не нашли материал для своей работы?
Поможем написать уникальную работу
Без плагиата!
Без нейросетей!