Методы анализа лекарственных форм с левомицетином и его производными
«БЕЛГОРОДСКИЙ
ГОСУДАРСТВЕННЫЙ НАЦИОНАЛЬНЫЙ ИССЛЕДОВАТЕЛЬСКИЙ
УНИВЕРСИТЕТ»
(НИУ
«БелГУ»)
МЕДИЦИНСКИЙ
ИНСТИТУТ
Кафедра
фармацевтической химии и фармакогнозии
Курсовая
работа
Методы
анализа лекарственных форм с левомицетином и его производными
БЕЛГОРОД
2017
ОГЛАВЛЕНИЕ
ВВЕДЕНИЕ
ГЛАВА 1. ОБЩАЯ ХАРАКТЕРИСТИКА
ЛЕКАРСТВЕННЫХ СРЕДСТВ, ПРОИЗВОДНЫХ НИТРОФЕНИЛАЛКИЛАМИНОВ
1.1 Химическое строение и
изомерия
1.2 Способы получения
лекарственных средств, производных нитрофениалкиламинов
1.3 Физические свойства
лекарственных средств, производных нитрофениалкиламинов
1.4 Методы качественного анализа
лекарственных средств, производных нитрофениалкиламинов
1.4.1 Общие реакции идентификации
.4.2 Специфические реакции
левомицетина стеарата
.4.3 Специфические реакции
левомицетина сукцината
1.5. Методы количественного анализа
лекарственных средств, производных нитрофенилалкиламинов
.6. Хранение и применение
лекарственных средств, производных нитрофенилалкиламинов
ГЛАВА 2. АНАЛИЗ ЛЕКАРСТВЕННЫХ ФОРМ,
СОДЕРЖАЩИХ ЛЕВОМИЦЕТИН И ЕГО ПРОИЗВОДНЫЕ
2.1 Анализ глазных капель
левомицетина 0,25%
.1.1 Реакции идентификации
.1.2 Количественное определение
2.2 Мазь
левомицетиновая 0,5% - 10,0
.2.1 Реакции идентификации
.2.2 Количественное определение
Таблетки левомицетина 0,1
.3.1 Реакции идентификации
.3.2. Методы количественного
определения Таблетки левомицетина стеарата 0,25
2.4 Таблетки левомицетина стеарата
0,25
.4.1 Реакции идентификации
.4.2 Количественное определение
.5 Определение спиртового раствора
левомицетина 1%
2.5.1 Реакции идентификации
2.5.2 Количественное определение
ЗАКЛЮЧЕНИЕ
СПИСОК ЛИТЕРАТУРЫ
ВВЕДЕНИЕ
лекарство фармацевтический
левомицетин
В настоящее время на фармацевтическом рынке
находится большое количество лекарственных средств (ЛС). И с каждым годом их
количество только возрастает. С производства снимаются старые препараты, но на
их место приходят десятки новых, обладающих более выраженными
фармакологическими свойствами. В условиях рыночного развития экономики, в
производство лекарственных средств включаются предприятия, ранее не
занимавшиеся фармацевтическим производством и использующие различные
технологичные схемы получения лекарственных субстанций.
Многообразие технологических процессов
получения, как субстанций, так и лекарственных препаратов на различных заводах
привело к существованию на фармацевтическом рынке ЛС одного наименования, но
изготовленных по разным технологиям, и вследствие этого различающихся по
наличию или отсутствию полиморфных форм, сольватов или кристаллогидратов, что
влияет на их биодоступность и ряд технологических характеристик. Наряду с этим
возникают новые проблемы - контроль качества лекарственных препаратов,
выявление недоброкачественной и фальсифицированной продукции [13].
Причинами появления на фармацевтическом рынке
фальсификатов являются:
высокие цены на лекарства и проблемы, связанные
с доступностью ЛС;
стремление предпринимателей к получению
сверхприбылей любыми средствами;
неэффективность регулирования фармацевтического
рынка [13].
Чтобы предотвратить выход фальсифицированной
продукции непосредственно к потребителю, необходимо обеспечить контроль по
соблюдению законодательства на российском рынке и ужесточить критерии
фармацевтической экспертизы.
И так как с каждым годом увеличивается спрос на
противовоспалительные и противомикробные ЛС, увеличивается и количество
фальсифицированных препаратов этих фармакологических групп. Во избежание
попадания на фармацевтический рынок недоброкачественных лекарственных
препаратов необходимо провести их полный химический контроль [13].
Цель работы - изучить основные химические и
физико-химические методы анализа лекарственных форм, содержащие производных
нитрофенилалкиламинов ароматического ряда.
Для достижения поставленной цели необходимо
решить следующие задачи:
изучить строение и физико-химические свойства
ЛС, производных нитрофенилалкиламинов ароматического ряда, в частности
хлорамфеникола, хлорамфеникола стеарата и хлорамфеникола сукцината;
предложить методы качественного и
количественного анализа ЛС, производных нитрофениалкиламинов, исходя из их
строения;
провести анализ лекарственных форм, содержащие
ЛС из группы нитрофенилалкиламинов.
ГЛАВА 1. ОБЩАЯ ХАРАКТЕРИСТИКА ЛЕКАРСТВЕННЫХ
СРЕДСТВ, ПРОИЗВОДНЫХ НИТРОФЕНИЛАЛКИЛАМИНОВ
1.1 Химическое
строение и изомерия
Группу ЛС, производных нитрофенилалкиламинов
составляют левомицетин и его эфиры - левомицетина стеарат и левомицетина
сукцинат.
По химической структуре ЛС, производные
нитрофенилалкиламинов относится к производным п-замещенного нитробензола
[1,2,10,15].
Анализ химической структуры представлен на
рисунке 1:
Рис.1 Функциональные группы хлорамфеникола (1
- ковалентно-связанный хлор; 2 - амидная группа; 3 - вторичный спиртовой
гидроксил; 4 - первичный спиртовой гидроксил; 5 - ароматическая нитро-группа)
Изомерия
Левомицетин имеет рядом два ассиметрических
атома углерода, следовательно, возможно существование четырех оптически
деятельных изомеров и двух рацематов. Или в виде двух пар пространственных
антиподов:
D(-),L(+)-эритро-изомеры
(со строением цис-) и
D(-),L(+)-трео-изомеры
(со строением транс-).
Они отличаются между собой пространственным
расположением гидроксила и водорода у первого углерода боковой цепи (трео- по
разные стороны, эритро- по одной стороне углеродной цепи):
По характеру конфигурации асимметрического атома
углерода в положении С1 оптически активные соединения относят к Д- и L-ряду.
Оптическая активность зависит от конфигурации всех асимметрических атомов
углерода, поэтому как в Д-ряду, так и в L-ряду могут быть и левовращающие (-) и
правовращающие (+) изомеры. Знак вращения (+) или (-) указывается в скобках
после обозначения конфигурации.
Эритро-изомеры очень токсичны и не применяются в
медицине. Природный левомицетин, применяющийся в медицине, - это D(-)-трео-изомер.
L(+) трео-изомер
физиологически не активен, поэтому трео-рацемат обладает 50% активности
левомицетина и называется синтомицином [1,2,15].
1.2 Способы получения лекарственных средств,
производных нитрофениалкиламинов
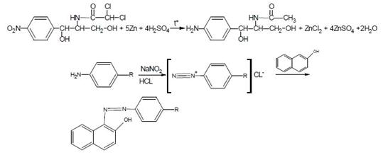
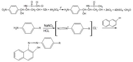
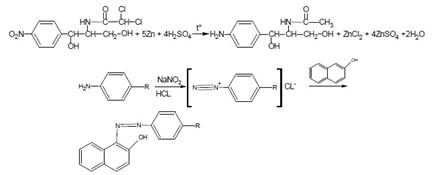
Получают хлорамфеникол синтетическим путем,
выделяя на определенных этапах синтеза необходимые изомеры. Из многочисленных
исходных продуктов синтеза наиболее экономичен и доступен n-нитроацетофенон
[15].
Вначале синтезируют так называемое основание
хлорамфеникола (D, L-трео-1-n-нитрофенил-2-аминопропандиол-1,3):
Полученное «основание» разделяют на оптические
антиподы последовательной кристаллизацией из водного раствора или с применением
D-винной кислоты. Затем на D-(-)-трео-изомер действуют метиловым эфиром
дихлоруксусной кислоты и получают хлорамфеникол:
1.3 Физические свойства лекарственных средств,
производных нитрофениалкиламинов
Латинские, русские и химические названия, а
также строение и физические свойства ЛС, производных нитрофениалкиламинов
представлены в таблице 1 [4,14,15,17,20].
Таблица 1 Строение
и физические свойства лекарственных средств, производных нитрофениалкиламинов
|
Лекарственное
вещество
|
Химическая
структура
|
Описание
|
|
Chloramphenicol
- хлорамфеникол (Левомицетин)
|
D-(-)-трео-1-n-нитрофенил-2-дихлорацетиламинопропандиол-1,3
|
Белый
или белый со слабым желтовато-зеленым оттенком кристаллический порошок без
запаха. Температура плавления 149-1530 С. Удельное вращение от +18 до +210
(5%-ный раствор в этаноле). Мало растворим в воде, легко растворим в спирте,
растворим в этилацетате, нерастворим в хлороформе.
|
|
Chloramphenicol
Stearate - хлорамфеникола стеарат
|
D-(-)-трео-1-n-нитрофенил-2-дихлорацетиламинопропандиол-1,3
3-стеарат
|
Белый
с желтоватым оттенком порошок, практически без запаха и вкуса. Температура
плавления 88-900 С. Удельное вращение от +15 до +200 (5%-ный раствор в
этаноле). Практически нерастворим в воде, трудно растворим в спирте, легко
растворим в хлороформе и ацетоне с образованием мутных растворов.
|
|
Chloramphenicol
Sodium Succinate - хлорамфеникола натрия сукцинат
|
D-(-)-трео-1-n-нитрофенил-2-дихлорацетиламинопропандиол-1,3
3-сукцинат натрия
|
Порошок
белого или с желтоватым оттенком цвета, со слабым специфическим запахом.
Гигроскопичен. Удельное вращение от +5 до +80 (5%-ный раствор в этаноле).
Легко растворим в воде, мало растворим в спирте.
|
.4 Методы качественного анализа лекарственных
средств, производных нитрофениалкиламинов
.4.1 Общие реакции идентификации
1. Общей реакцией для левомицетина и его
эфиров является реакция гидролитического расщепление в щелочной среде при
нагревании (щелочное разложение). Реакция основана на образовании аци-соли по
ароматической нитро-группе, гидролитическом расщеплении и восстановительной
минерализации [1,2,4,10,15,17].
Реакция идёт в несколько стадий. При нагревании
препарата со щелочью образуется желтое окрашивание, при дальнейшем нагревании,
переходит в красно-оранжевый цвет (аци-соль). При кипячении окрашивание
усиливается до кирпично-красного (азо-соединение) и выделяется аммиак. Его
определяют по запаху или посинению красной лакмусовой бумаги. После отделения
осадка в фильтрате, подкисленном азотной кислотой, определяют хлорид-ион
реакцией осаждения с раствором серебра нитрата.
Образовавшееся азо-соединение можно объяснить
диспропорционированием молекулы левомицетина. При этом спиртовые гидроксилы
окисляются, а нитрогруппа восстанавливается.
Эта реакция специфична и доказывает многие
характерные особенности структуры левомицетина:
нитрофенильный радикал - по образованию
азобензойной кислоты;
ковалентно-связанный хлор - по образованию
натрия хлорида и обнаружению хлорид-иона реакцией с нитратом серебра;
наличие амидной группы - по образованию аммиака.
2. Реакция образования азокрасителя после
восстановления нитрогруппы цинковой пылью в кислой среде при нагревании (Zn
в H2SO4
или НСL конц.) до
первичной ароматической аминогруппы. Одновременно с восстановлением идет легкая
минерализация (дегалогенирование - отщепляются атомы хлора) [1,2,4,10,15].
После диазотирования нитритом натрия в среде НСLразв.
соль диазония сочетают:
) по ФС в щелочной среде с β-нафтолом,
образуется азокраситель (красное окрашивание) [17,18,19];
2) в кислой среде с N-фенил-β-нафтиламином
оранжево-красное окрашивание
Возможна капельная реакция образования
азокрасителя после частичного восстановления нитрогруппы до нитрозогруппы
цинковой пылью в среде кальция хлорида при нагревании. В качестве
азосоставляющей используют α-нафтиламин
в уксуснокислой среде (фиолетовое окрашивание).
Фиолетовое окрашивание
3. Реакция образования основания Шиффа. После
последовательного гидрирования (Zn
в H2SO4
или НСL конц.) первичную
ароматическую аминогруппу определяют с п-диметиламинобензальдегидом
конденсацией. Образуется основание Шиффа ярко-оранжевого цвета [1,2,15].
4. Реакция с меди (II)
сульфатом в щелочной среде гидроксида натрия.
Обусловлена слабыми кислотными свойствами
спиртового гидроксила в сочетании с аминогруппой. Левомицетин образует
окрашенный растворимый комплекс с солями тяжелых металлов аналогично эфедрину
[1,2,15].
сине-фиолетовое окрашивание
Образующееся комплексное соединение извлекается
в слой н-бутанола, окрашивая его в сине-фиолетовый цвет.
Возможен вариант комплексообразования за счёт
двух спиртовых гидроксилов:
+ Na2SO4 + 4H2O
ИК-спектр: сравнивают со спектром сравнения или
со спектром, полученным со стандартным образцом лекарственного вещества (см.
рис.2) [9,14,15,17,20].
ИК-спектр левомицетина.
. Высокоэффективная жидкостная хроматография.
Показатель времени удерживания основного пика на хроматограмме раствора
исследуемого вещества должен соответствовать времени удерживанию пика раствора
стандартного образца [14,17,20].
. УФ-спектр поглощения. 0,002% раствор
(растворитель - вода) в области 220-400 нм имеет максимум поглощения λmах=278
нм и минимум поглощения λmin=237
нм (см. рис.3) [9,14,15,17,20].
УФ-спектр левомицетина
Имеется множество вариантов оптических методов
определения левомицетина в лекарственных формах [3,9,10,14,15].
Согласно литературным данным, левомицетин
поглощает в ультрафиолетовой области от 205 до 400 нм.
Максимум светопоглощения находится при 278 - 280
нм.
Значительное место занимают колориметрические
методы, основанные на различных специфических цветных реакциях.
Чувствительность этих методов невысока и составляет 0,1 мг/см3 и более [3,9].
.4.2 Специфические реакции левомицетина стеарата
. Реакция на стеариновую кислоту - кислотный
гидролиз сложно-эфирной группы с образованием стеариновой кислоты и
левомицетина. На поверхности всплывают маслянистые капли стеариновой кислоты,
застывающие при охлаждении [1,2,4,10,15].
стеариновая кислота
.4.3 Специфические реакции для левомицетина
сукцината
1. Реакция на остаток янтарной кислоты: с
резорцином и концентрированной серной кислотой при нагревании кристаллов ЛВ
появляется кирпично-красное окрашивание, при охлаждении, добавлении воды и
гидроксида натрия до щелочной реакции образуется оранжевый раствор с зеленой
флюоресценцией в УФ-свете [1,2,4,10,15]:
2.
янтарная кислота
3.
Реакции на катион-натрия [1,2,4,10,15]:
а) при внесении препарата в бесцветное пламя
горелки - пламя окрашивается в желтый цвет;
Na+ +
Zn[(UO2)3(CH3COO)8] + CH3COOH + 9Н20
→
→
NaZn[(UO2)3(CH3COO)9] • 9H20↓ + H+
1.5 Методы количественного анализа лекарственных
средств, производных нитрофенилалкиламинов
. Нитритометрический метод для субстанции
хлорамфеникола после восстановления ароматической нитрогруппы до первичной
ароматической аминогруппы (с Zn
в НСL конц. при
нагревании на кипящей водяной бане) [1,2,4,5,10,15].
Метод основан на диазотировании первичной
ароматической аминогруппы, полученной после восстановления ароматической нитрогруппы.
fэкв.(хлорамф) = 1
Титрант - нитрит натрия, среда -
разведеннаяхлористоводородная кислота, индикатор: внешний - йод-крахмальная
бумага:
KI
+ 2NaNO2 + 4HCl
→
I2 + 2NO↑
+ 2NaCl + 2KCl
+ 2H2O
2.
Обратная
броматометрия после восстановления ароматической нитрогруппы до первичной
ароматической аминогруппы [1,2,15].
Индикатор: крахмал. Добавляют в конце титрования
и титруют до исчезновения синего окрашивания.
Кстех = 3/2, т.к. из 1 моль КВrOз образуется
3Br2 , а на бромирование надо только 2 моль Br2, , т. е. ⅔ моля КВrO3;
Кстех = 1/⅔ = 3/2, титрант готовят с
учетом УЧ 1/ 6 КВrO3,
fэкв=
Кстех ·
УЧ = 3/2·
1/ 6 = ¼;
М.э. = fэкв
·
М.м= М.м/4
Т= Ст-та · М.э./ 1000
С% = VКВrOз
· К · TКВrOз· 100%
3. Спектрофотомерия в УФ-области за счет
наличия максимумов поглощения [3,4,6,10,14,15,17,18,20]:
- определение хлорамфеникола в субстанции
проводят по рабочему стандартному образцу (РСО), таблетки левомицетина - по
удельному показателю поглощения;
определение субстанции хлорамфеникола стеарата
проводят по раствору стандартного образца. Содержание левомицетина в препарате
должно быть не менее 51,0% и не более 55,0%. Таблетки хлорамфеникола стеарата -
по удельному показателю поглощения;
- определение субстанции левомицетина сукцината
проводят в сравнении со стандартным образцом. Содержание левомицетина в
препарате должно быть не менее 65%.
4. Куприметрический метод. Основан на свойстве
хлорамфеникола образовывать с меди (II)
сульфатом в щелочной среде устойчивые комплексные соединения [1,2,10,15].
а) прямое титрование. Титрантом является 0,01 М
раствор меди (II) сульфата,
индикатор - мурексид. Титрование ведут медленно по каплям от фиолетового до
коричнево-красного окрашивания. Параллельно проводят контрольный опыт.
М.э. = 2М
б) Обратное титрование. Сначала идет образование
растворимого в воде комплекса с избытком сульфата меди в щелочной среде.
Образовавшийся комплекс отфильтровываем, на фильтре остается избыток сульфата
меди в виде осадка гидроксида меди (щелочная среда).
Затем фильтрат обрабатывают серной кислотой,
комплекс разрушается
Образовавшийся сульфат меди определяют
йодометрически, для чего добавляют калия йодид.
2 CuSO4+ 4KI + H2SO4→ 2Cu2I2↓
+ I2 + 2K2SO42 + 2 Na2S2O3
→ 2NaI + Na2S4O6
Сульфат меди выделяется в эквивалентном
количестве, вступившем в реакцию с левомицетином.
На 2 моль левомицетина - 1 моль сульфата меди
М.э. = 2М
Индикатор: крахмал. Добавляют в конце титрования
и титруют до исчезновения синего окрашивания.
5. Аргентометрический (вариант Фаянса) или
меркуриметрический метод (после восстановительной минерализации
ковалентно-связанного хлора до хлорид-иона) [1,2,10,15].
Минерализацию проводят кипячением с растворами
натрия гидроксида и водорода пероксида.
> t0O2 (3%), NaOH- CHCl2 2NaCl
Образовавшийся натрия хлорид титруют раствором
серебра нитрата, либо раствором ртути (II)
нитрата.
NaCl
+AgNO3 →AgCl↓
+NaNO3
fэкв.(хлорамф) = ½
6. ФЭК по цветным реакциям, например по
образованию азокрасителя [1,2,3,10,15].
7. Поляриметрия расчет по удельному
вращению [15]:
С% = α∙100
/ l∙[α]
8. Для левомицетина стеарата возможна обратная
алкалиметрия. Метод основан на омыление щелочью и титрование избытка гидроксида
натрия соляной кислотой [1,2,10,15]. 9.
По Фармакопее США, для всех препаратов и лекарственных форм левомицетина
возможен метод высокоэффективной жидкостной хроматографии. Например, субстанцию
хлорамфеникола, хлорамфеникола глазную мазь, хлорамфеникола инъекции,
хлорамфеникола капсулы количественно определяют в следующий условиях: подвижная
фаза: вода : метанол : ледяная уксусная кислота (55:49:1), хроматографическая
колонка, размерами 4,6 мм х 10см, скорость потока - 1 мл/мин, детектирование
при длине волны 280 нм [14].
1.6 Хранение и
применение лекарственных средств, производных нитрофенилалкиламинов
ЛС, изучаемой группы хранят в хорошо укупоренной
таре, в сухом защищенном от света месте. Кроме этого левомицетина стеарат и
сукцинат хранят при температуре не больше 20°С [4,10,12,14,15].
Хромафеникол - антибиотик широкого спектра
действия. Применяют при лечении брюшного тифа, паратифов, дизентерии,
бруцеллеза, коклюша, пневмонии и различных инфекционных заболеваний. Легко
всасывается в желудочно-кишечном тракте, сохраняя при этом свою активность. В
детской практике применяют левомицетина стеарат при тех показаниях.
Хлорамфеникола сукцинат применяют аналогично, но
в виде внутривенных, внутримышечных и подкожных инъекций [4,7,8,12,16,20].
ГЛАВА 2. АНАЛИЗ ЛЕКАРСТВЕННЫХ ФОРМ, СОДЕРЖАЩИХ
ЛЕВОМИЦЕТИН И ЕГО ПРОИЗВОДНЫЕ
2.1 Анализ
глазных капель левомицетина 0,25%
Пропись лекарственной формы:
Раствор левомицетина 0,25%-10 мл
Натрия хлорида 0,09 г
.1.1 Реакции идентификации
Левомицетин: а) К 0,5 мл раствора прибавляли 1-2
мл кислоты серной разведенной, 0,03 г цинковой пыли и нагревали на водяной бане
2-3 минуты. После охлаждения раствор фильтровали. К фильтратудобавляли 2-3
капли 0,1 М раствора натрия нитрита и 0,3-0,5 мл полученной смеси вливали в 1-2
мл 1% раствора β-нафтола
приготовленного на 10% растворе натрия гидроксида.
Появлялось красно-розовое окрашивание.
б) К 0,5 мл раствора прибавляют 5 капель 10%
раствора натрия гидроксида; при нагревании появляется окрашивание.
Натрия хлорид: а) Графитовую палочку смачивают
анализируемым раствором и вносят в бесцветное пламя. Пламя окрашивается в
желтый цвет.
б) К 2 мл раствора прибавляют по 3 капли воды,
разведенной кислоты азотной и серебра нитрата - образуется белый творожистый
осадок.
NaCl +AgNO3
→AgCl↓ +NaNO3
.1.2 Количественное определение
Левомицетин. а) 2 мл раствора помещают в
пробирку, прибавляют 1 мл разведенной кислоты хлороводородной, 0,05 г цинковой
пыли, затем добавляют еще 1 мл разведенной кислоты хлороводородной, смывая со
стенок пробирки остатки цинковой пыли, и оставляют на 5 мин. Далее жидкость фильтруют
через небольшой ватный тампон. Пробирку и воронку с ватным тампоном промывают
3-4 раза водой порциями по 1,5 мл, присоединяя их к основному фильтрату. К
фильтрату добавляют 0,05 г калия бромида, 2 капли раствора тропеолина 00 и 1
каплю раствора метиленового синего, титруют 0,02 М раствором натрия нитрита,
добавляя его вначале по 3капли через 1 мин, а в конце титрования (за 0,02 мл до
эквивалентного количества) - по 1 капле через 1 минуту до перехода
красно-фиолетовой окраски в голубую.
Параллельно проводят контрольный опыт.
1 мл раствора 0,02 М натрия нитрита
соответствует 0,0064626 г левомицетина.

fэкв=
Кстех
РЧ
(NaNO2) = 1· 1 = 1
Мэ = fэкв·
М.м.= 1·323,13 = 323,13
Т = Ст·Мэ/ 1000 = 0,02 · 323,13/ = 1000 =
0,0064626 г/мл
Vпр = 2 мл, находим
содержание левомицетина в пробе:
,25г - 100 мл х = 0,005г
х г - 2 мл
Находим ориентировочный объем титранта :Vор
= х/Т =
,005/ 0,0064626 = 0,77 мл.
С =
,
где
Vт - объем титранта;
К - поправочный коэффициент;
Т - титр;
Vпр - объем
раствора, взятого на анализ.
По результатам проведенных исследований, на
титрование израсходовалось 0,76 мл 0,02 М раствора натрия нитрита (К = 1,0000).
С =
Натрия хлорид. К 0,5 мл раствора прибавляют 1 мл
воды, 1-2 капли раствора бромфенолового синего, по каплям разведенную кислоту
уксусную до зеленовато-желтого окрашивания и титруют 0,1 М раствором серебра нитрата
до фиолетового окрашивания.
1 мл 0,1 М раствора серебра нитрата
соответствуют 0,005844 г натрия хлорида.
NaCL
+ AgNO3→ AgCL
+ NaNO3
Кстех = 1 моль натрия хлорида/ 1
моль титранта = 1/1 = 1.
fэкв=
Кстех
РЧ
(AgNO3) = 1· 1 = 1
Мэ = fэкв·
М.м.= 1·58,44 = 58,44
Т = Ст·Мэ/ 1000 = 0,1 · 58,44/ = 1000 = 0,005844
г/мл
Vпр = 0,5 мл,
находим содержание натрия хлорида в пробе:
, 09 г - 10,0 мл х = 0,0045г
х г - 0,5 мл
Находим ориентировочный объем титранта :Vор
= х/Т =
,0045/ 0,005844 = 0,77 мл.
С =
,
где
Vт - объем титранта;
К - поправочный коэффициент;
Т - титр;
Vпр - объем
раствора, взятого на анализ;
Vлф - объем
лекарственной формы.
По результатам проведенных исследований, на титрование
израсходовалось 0,75 мл 0,1 М раствора серебра нитрата (К = 1,0026).
С =
Оценку качества лекарственной формы оцениваем по
приказу № 305 [13].
Для левомицетина норма отклонения составляет
±15%. Согласно этому содержание левомицетина должно находиться в пределах
0,02125 - 0,02875. По результатам титрования концентрация левомицетина 0,246%,
что соответствует 0,0246 г в 10 мл.Данное значение входит в указанный предел.
Для натрия хлорида норма отклонения ±15%.
Согласно этому содержание натрия хлорида должно находиться в пределах 0,0765 -
0,1035. По результатам титрования содержание натрия хлорида 0,089г. Данное
значение входит в указанный предел.
Вывод: лекарственная форма «Глазные капли
левомицетина 0,25%» приготовлены удовлетворительно.
.2 Мазь левомицетиновая 0,5% - 10,0
2.2.1 Реакции идентификации
Левомицетин: а) К 0,5 г мази прибавляют 2 мл
раствора натрия гидроксида, нагревают до кипения. Появляется желтое
окрашивание, переходящее при дальнейшем нагревании в красно-оранжевое.
б) К 0,5 г мази прибавляют 1-2 мл разведенной
кислоты серной, 0,1 г цинковой пыли и нагревают на водяной бане 2-3 минуты.
После охлаждения раствор фильтруют. К фильтрату добавляют 1-2 мл воды, 3-4
капли 0,1 М раствора натрия нитрита и 1 мл полученной реакционной смеси вливают
в 1-2 мл щелочного раствора β-нафтола.
Появляется вишнево-красное окрашивание.
2.2.2 Количественное определение
,5 г мази помещают в коническую колбу на 50 мл и
прибавляют 10 мл кислоты хлористоводородной разведенной, постепенно 0,5 г
цинковой пыли и 1 мл концентрированной кислоты хлороводородной. Нагревают на
водяной бане 15 минут. Охлаждают, прибавляют 10 мл воды и фильтруют. Фильтр и
колбы промывают водой (примерно 50-60 мл), присоединяя к основному фильтрату.
Затем к фильтрату прибавляют 0,5г калия бромида, 2 капли раствора трепеолина
00, 1 каплю раствора метиленового синего и при температуре 18-200Смедленно
титруют 0,02 М раствором натрия нитрита, добавляя его вначале по 0,2 - 0,3 мл в
минуту, а в конце титрования (за 0,1- 0,2 мл до точки эквивалентности) - по 1-2
капли в минуту до перехода красно-фиолетовой окраски в голубую. Параллельно
проводят контрольный опыт. 1 мл 0,02 М раствора натрия нитрита соответствует
0,0064626 г левомицетина.
Кстех = 1 моль левомицетина/ 1 моль титранта =
1/1 = 1.
fэкв= Кстех
РЧ
(NaNO2) = 1· 1 = 1
Мэ = fэкв·
М.м.= 1·323,13 = 323,13
Т = Ст·Мэ/ 1000 = 0,02 · 323,13/ = 1000 =
0,0064626 г/мл
Vпр = 0,5г, находим
содержание левомицетина в пробе:
,5г - 100,0 х = 0,0025г
х г - 0,5
Находим ориентировочный объем титранта :Vор
= х/Т =
,0025/ 0,0064626 = 0,39 мл.
С =
,
где
Vт - объем титранта;
К - поправочный коэффициент;
Т - титр;
Vпр - объем
раствора, взятого на анализ.
По результатам проведенных исследований, на
титрование израсходовалось 0,40 мл 0,02 М раствора натрия нитрита (К = 1,0000).
С =
Оценку качества лекарственной формы оцениваем по
приказу № 305 [13].
Для левомицетина норма отклонения составляет
±15%. Согласно этому содержание левомицетина должно находиться в пределах
0,0425 - 0,0575. По результатам титрования концентрация левомицетина 0,517%,
что соответствует 0,0517 г в 10 г мази. Данное значение входит в указанный
предел.
Вывод: лекарственная форма «Мазь левомицетиновая
0,5% - 10,0» приготовлена удовлетворительно.
.3 Таблетки левомицетина 0,1
.3.1 Реакции идентификации
К 0,1 г порошка растертых таблеток прибавляют 5
мл раствора едкого натра и нагревают; появляется желтое окрашивание,
переходящее при дальнейшем нагревании в красно-оранжевое. При кипячении окраска
усиливается, выделяется кирпично-красный осадок и появляется запах аммиака.
Фильтрат после подкисления азотной кислотой дает характерную реакцию на хлориды
с раствором серебра нитрата.
.3.2 Количественное определение
Точную навеску порошка растертых таблеток 0,12
переносят в мерную колбу на 1 литр, добавляют 500 мл воды очищенной и
растворяют при нагревании. Раствор охлаждают, доводят до метки, перемешивают и
дают отстояться.
мл полученного раствора переносят в мерную колбу
на 100 мл и доводят водой очищенной до метки.
Определение проводят при длине волны 278 нм и
толщине слоя 1см.
Удельный показатель поглощения 298.
Средний вес таблетки 0,13
С =
,
где
D - оптическая
плотность испытуемого раствора;
- удельный
показатель поглощения раствора стандартного образца левомицетина при длине
волны 278нм;
Vк1 - объем первой
колбы при разведении;
Vк2 - объем второй
колбы при разведении;
l - толщина слоя,
см;
а - навеска порошка в граммах;
Рср - средний вес таблетки в граммах.
Исследование проводили на спектрофотометре
СФ-56. Оптическая плотность исследуемого раствора 0,27.
С =
Согласно ГФ Х содержание левомицетина в таблетке
должно находиться в пределах 0,095 - 0,105.
Вывод: лекарственная форма «Таблетки
левомицетина 0,1» удовлетворяют требованиям ГФ Х [4].
.4 Таблетки левомицетина стеарата 0,25
.4.1 Реакции идентификации
а) К 0,2 г порошка растертых таблеток прибавляют
5 мл раствора едкого натра и кипятят в течение 1-2 минут; появляется
красно-оранжевое окрашивание.
б) 0,2 г порошка растертых таблеток помещают в
делительную воронку, в которой находится 15 мл воды, прибавляют 15 мл
хлороформа и взбалтывают. Хлороформное извлечение отделяют, хлороформ отделяют.
К остатку прибавляют 10 мл концентрированной хлористоводородной кислоты и
нагревают в течение 5 минут. На поверхности всплывают маслянистые капли,
затвердевающие при охлаждении.
стеариновая кислота
.4.2 Количественное определение
Около 0,05 г (точная навеска) порошка растертых
таблеток помещают в коническую колбу емкостью 100 мл, прибавляют 50-70 мл 95%
спирта, нагревают на водяной бане до 40-500С и хорошо перемешивают в течение 10
минут. По охлаждении доводят объем раствора спиртом до метки, снова
перемешивают и дают раствору отстояться. Отбирают пипеткой 10 мл прозрачного
раствора в мерную колбу емкостью 100 мл и доводят объем раствора спиртом до
метки.
Измеряют оптическую плотность полученного
раствора при длине волны 272 нм в кювете с толщиной слоя 1 см.
Параллельно измеряют оптическую плотность 0,002%
спиртового раствора стандартного образца левомицетина при длине волны 279 нм.
Содержание левомицетина стеарата в одной таблетке в граммах вычисляют по
формуле:
С =
,
где
D - оптическая
плотность испытуемого раствора;
- удельный
показатель поглощения раствора стандартного образца левомицетина при длине
волны 276 нм;
,8246 - коэффициент пересчета левомицетина на
стеарат левомицетина;
а - навеска препарата в граммах;
б - средний вес таблетки в граммах.
Согласно ГФ Х содержание левомицетина стеарата
должно быть 0,230 - 0,262 г, считая на средний вес одной таблетки.
Исследования проводили на спектрофотометре
СФ-56. Оптическая плотность исследуемого раствора равна 0,43, удельный
показатель поглощения 270, средний вес таблетки 0,41.
С =
Вывод: лекарственная форма «Таблетки
левомицетина стеарата 0,25» удовлетворяют требованиям ГФ Х [4].
.5 Определение спиртового раствора левомицетина
1%
Пропись лекарственной формы:
Левомицетина 1,0
Спирта этилового 70% до 100,0
2.5.1 Реакции идентификации
а) К 0,5 мл раствора прибавляли 1-2 мл кислоты
хлористоводородной разведенной, 0,03 г цинковой пыли и нагревали на водяной
бане 2-3 минуты. После охлаждения раствор фильтровали.
К фильтрату добавляли 2-3 капли 0,1 М раствора
натрия нитрита и 0,3-0,5 мл полученной смеси вливали в 1-2 мл 1% раствора β-нафтола
приготовленного на 10% растворе натрия гидроксида. Появляется красное
окрашивание.
б) К 0,5 мл раствора прибавляют 1-2 мл 10%
раствора натрия гидроксида и осторожно кипятят. Появляется желтое окрашивание,
постепенно переходящее в красно-оранжевое.
.5.2 Количественное
определение
Помещают 1 мл раствора в колбу и спирт отгоняют
на водяной бане досуха, прибавляют 1 мл концентрированной кислоты
хлороводородной, 0,25 г цинковой пыли. Затем добавляют еще 1 мл
концентрированной кислоты хлороводородной, оставляют на 15 мин. Далее жидкость
фильтруют. Колбу и фильтр промывают 40 мл воды, присоединяя к основному
фильтрату, добавляют 1 г калия бромида, 2 капли раствора тропеолина 00 и 1
каплю раствора метиленового синего, титруют 0,02 М раствором натрия нитрита,
добавляя его вначале по 3капли через 1 мин, а в конце титрования (за 0,02 мл до
эквивалентного количества) - по 1 капле через 1 минуту до перехода
красно-фиолетовой окраски в голубую.
Параллельно проводят контрольный опыт.
мл раствора 0,02 М натрия нитрита соответствует
0,0064626 г левомицетина.
Кстех = 1 моль левомицетина/ 1 моль титранта =
1/1 = 1.
fэкв= Кстех
РЧ
(NaNO2) = 1· 1 = 1
Мэ = fэкв·
М.м.= 1·323,13 = 323,13
Т = Ст·Мэ/ 1000 = 0,02 · 323,13/ = 1000 =
0,0064626 г/мл
Vпр = 1 мл, находим
содержание левомицетина в пробе:
,0 г - 100,0 х = 0,01г
х г - 1,0
Находим ориентировочный объем титранта :Vор
= х/Т =
,01/ 0,0064626 = 1,55 мл.
С =
,
где
Vт - объем титранта;
К - поправочный коэффициент;
Т - титр;
Vпр - объем
раствора, взятого на анализ;
Vлф - объем
лекарственной формы.
По результатам проведенных исследований, на
титрование израсходовалось 1,50 мл 0,02 М раствора натрия нитрита (К = 1,0000).
Согласно требованию ФС содержание левомицетина
должно находиться в пределах 0,95 - 1,05. По результатам титрования содержание
левомицетина 0,9694 г в 100 мл лекарственной формы. Данное значение входит в
указанный предел.
Вывод: лекарственная форма «Спиртовой раствор
левомицетина 1% - 10о,0» удовлетворяет требованиям ФС [24].
ЗАКЛЮЧЕНИЕ
. Изучено строение лекарственных средств,
производных нитрофенилалкиламинов (левомицетин, левомицетина стеарат,
левомицетина сукцинат). Определено, что основными функциональными группами
являются: первичная ароматическая нитро-группа, амидная группа, вторичный
спиртовой гидкроксил, органически-связанный галоген.
. Исходя из строения и наличия функциональных
групп, предложены методы общие и специфические методы анализа лекарственных
средств, производных нитрофенилалкиламинов. Установлено, что общей реакцией
качественного обнаружения является реакция образования азокрасителя после
восстановления нитро-группы до амино-группы и реакция щелочного гидролиза при
нагревании. Общими методами количественного определения является нитритометрия,
спектрофотомерия.
. Проведен анализ лекарственных форм
(промышленного и экстемпорального изготовления), таких как: глазные капли
левомицетина 0,25%; мазь левомицетиновая 0,5%; таблетки левомицетина 0,1;
таблетки левомицетина стеарата 0,25; спиртовой раствор левомицетина 1%. Сделаны
выводы об оценке качества изученных лекарственных форм согласно соответствующей
нормативной документации (НД). При этом все лекарственные формы удовлетворяют
требованиям НД.
. В проанализированных лекарственных формах для
подтверждения подлинности лекарственных средств, производных
нитрофенилалкиламинов, в большинстве случаев используется реакция образования
азокрасителя после восстановления, а также реакция взаимодействия с раствором
щелочи. Для количественного определения используют 2 метода: нитритометрия
после восстановления и спектрофотометрия в ультрафиолетовой области спектра.
СПИСОК ЛИТЕРАТУРЫ
1. Анализ
лекарственных форм, изготовляемых в аптеках / М.И. Кулешова, Л.Н. Гусева, О.К.
Сивицкая. - Пособие. 2-е изд., перераб. и доп. - М.: Медицина, 1989. - 288 с.
. Анализ лекарственных
смесей. / А.П. Арзамасцев, В.М. Печенников, Г.М. Родионова и др. - М.: Компания
Спутник+, 2014. - 275с.
. Беликов, В.Г.
Анализ лекарственных веществ фотометрическими методами / В.Г. Беликов //
Российский химический журнал, 2002. - Т. XLVI.
- № 4. - С. 52 - 56.
. Государственная
Фармакопея Российской Федерации X
изд. - М.: Медицина, 1968. - 1079 с.
. Государственная
Фармакопея СССР: Вып. 1. Общие методы анализа / МЗ СССР. -11-е изд. доп. - М.:
Медицина, 1987. - 336 с.
. Илларионова, Е.А.
Совершенствование спектрофотометрического и хроматографического методов анализа
азотсодержащих лекарственных средств: автореф. … док. хим. наук / Е.А.
Илларионова. - Москва, 2004. - 39 с.
. Клиническая
фармакология и фармакотерапия / Под ред. В.Г. Кукеса, А.К. Стародубцева. - М.:
ГЭОТАР-Медиа, 2012. - 832 с.
. Машковский, М.Д.
Лекарственные вещества [Текст]. В 2 т. Т.2. / М.Д. Машковский. - М.: ООО
«Издательство «Новая волна», 2002. - 608 с.
9. Методы УФ- и ИК-спектрофотометрии
в фармацевтическом анализе / Л.А. Чекрышкина, Н.И. Эвич // Учебное пособие.
Пермская фармацевтическая академия. Кафедра фармацевтической химии ФДПО и
заочного факультета.: Пермь, 2000. - 49 с.
10. Практикум по
фармацевтической химии: учебное пособие по специальности 060108 (040500)
«Фармация» / сост. А.И. Сливкин, Т.А. Брежнева, Е.Ф. Сафонова, С.А. Боева. -
Воронеж, 2007. - 214 с.
. Приказ № 305 от
16.10.1997 «О нормах отклонений, допустимых при приготовлении лекарственных
средств и фасовке промышленной продукции в аптеках.
12. Справочник Видаль.
Лекарственные препараты в России: Справочник. - М.: АстраФармСервис, 2011. -
1728 с.
. Стандартизация и
контроль качества лекарственных средств: учебное пособие / Н.А. Тюкавкина, А.С.
Берлянд, Т.Е. Елизарова и др.; Под ред. Н.А. Тюкавкиной. - М.: ООО «Медицинское
информационное агентство», 2008. - 384с.: ил.
14. Фармакопея США:
USP29; Национальный
формуляр: NF 24: в 2 т:
пер. в англ. - М.: ГЭОТАР-Медиа, 2009. - Т. 2. - С. 1933 - 1966.
. Фармацевтическая
химия: учеб. пособие / под ред. А.П. Арзамасцева. - М.: ГЭОТАР-МЕД, 2004. -640
с.
. Харкевич, Д.А.
Фармакология. - М., 2008. - С. 88.
17. Фармацевтические субстанции /
Под ред. Р.У. Хабриева - М.: ООО «Издательский дом «ПЕЛИКАН», 2007. - 320 с.
. ФС 42-3679-98. Таблетки
левомицетина. - 8 с.
. ФС 42-3425-97. Растворлевомицетина.
- 6с.
. Clarke´s
analysis of drugs and poisons in pharmaceuticals, body fluids and postmortem
material [Text], 2011, Pharmaceutical Press (2011).