Моделирование колебаний климата

  • Вид работы:
    Дипломная (ВКР)
  • Предмет:
    Экология
  • Язык:
    Русский
    ,
    Формат файла:
    MS Word
    4,48 Мб
  • Опубликовано:
    2017-08-26
Вы можете узнать стоимость помощи в написании студенческой работы.
Помощь в написании работы, которую точно примут!

Моделирование колебаний климата

Введение

Колебания климата оказывают значительное влияние не только на природную среду, но и на общество, экономику, качество жизни человека на Земле. Наибольшую опасность представляют возможные проблемы с пресной водой, урожайностью сельскохозяйственных культур, которые могут стать следствием глобального потепления. Если удастся показать, что на глобальное потепление накладываются естественные вариации, которые не зависят от деятельности человека, то можно будет, если и не уменьшить опасность, то по крайней мере сэкономить миллиарды долларов, правильно спрогнозировав ход температуры на Земле.

В данной работе изучается возможная взаимосвязь между колебаниями климата и вращением Земли. Работа состоит из трёх частей. В первом разделе даются теоретические сведения об Эль-Ниньо - Южном колебании (ЭНЮК), Североатлантическом колебании (САК), Многолетнем атлантическом колебании (МАК), Чандлеровском движении полюса (ЧДП) и продолжительности суток. Второй раздел посвящён описанию основных использованных нами методов моделирования колебаний климата и вращения Земли. Третья часть содержит анализ временных рядов ЭНЮК, САК, МАК и их сопоставление с вращением Земли.

Целью данной работы является исследование колебаний глобальной температуры на Земле, индексов ЭНЮК, САК и МАК в аспекте возможной взаимосвязи и вращением Земли и применение к ним подходов, основанных на стохастических дифференциальных уравнениях.

Задачи исследования:

-       Проанализировать временные ряда ЭНЮК, САК, МАК методами спектрального и корреляционного анализа.

-       Средствами среды MATLAB провести подбор полиномиального и гармонического трендов, применить метод авторегрессии для построения прогностических моделей.

-       Методом средней квадратичной коллокации выполнить выделение части сигнала и известной автоковариационной функцией.

-       Сопоставить индексы климатических колебаний и глобальной температуры с колебаниями вращения Земли.

1.Ознакомительная часть

1.1 Колебания климата Земли

индекс климатический океан

1.1.1 Эль-Ниньо - Южное колебание

Явление ЭНЮК представляет собой основную моду колебания системы океан-атмосфера, регулярно наблюдаемую (каждые 3 - 7 лет) в экваториальном Тихом океане. Последствия ЭНЮК могут проявляться в виде различных климатических аномалий по всей Земле. ЭНЮК определяется, в основном, по данным среднемесячного значения приземного давления (индекс ЭНЮК или SOI) или по среднемесячным аномалиям температуры поверхности океана (ТПО) в регионе NINO-3,4 в экваториальном районе Тихого океана.

Стоит отметить, что термин «Южное колебание» относится именно к колебанию приземного давления в тропиках Тихого океана. Явление Эль-Ниньо же в свою очередь заключается в аномальном повышении температуры поверхности океана (ТПО) в экваториальной и восточной части Тихого океана. Поэтому, некоторые индексы Южного колебания определяются по аномалиям ТПО.

Явления Эль-Ниньо и Ла-Нинья, как два противоположных проявления ЭНЮК вызывают климатические аномалии в системе океан-атмосфера: положительные/отрицательные аномалии ТПО, изменения в циркуляции атмосферы и количестве осадков в Тихоокеанском регионе [27].

Отрицательные значения индекса ЭНЮК (SOI) связаны с развитием теплой фазы ЭНЮК (Эль-Ниньо), положительные значения индекса - с холодной фазой ЭНЮК (Ла-Нинья), см. рисунок ниже. О разных типах Эль-Ниньои Ла-Ниньяможно узнать в работе [32].

Индекс ЭНЮК(SOI), вычисляемый по разности давлений на станциях Дарвин (Австралия) и Таити (Полинезия), представлен на рисунке 1.

Рис. 1. График ежемесячных значений индекса ЭНЮК [34]

1.1.2 Североатлантическое колебание

Североатлантическое колебание (САК) представляет собой сигнал, связанный с перепадом давления между северной и южной частями Северной Атлантики, с центрами в районе Азорских островов (максимум, High) и в районе Исландии (минимум, Low). Положение этих центров действия атмосферы представлены на рисунке 2 отметкамиHи L. Очевидно, что перепады атмосферного давления влияют также на топографию океана (уровень моря). Индекс САК определяется по разности нормированных значений давления на станции Гибралтар и станции Рейкьявик (индекс САК). В зимний период амплитуда разности давлений максимальна, так как в этот период атмосфера наиболее активна.

Согласно исследованиям [27], без расчета индекса САК невозможно определить тенденции колебаний климата в Европе, т.к. САК в значительной степени определяет погоду в странах Европы и Северной Атлантики. При положительной фазе (NAO+) усиление западных ветров приносит холодное, дождливое лето в центральную Европу и на ее Атлантическое побережье. При отрицательной фазе (NAO-) западные ветры ослабевают и в Северную Европу приходят холодные сухие зимы, а пути циклонов отклоняются к югу к Средиземному и Черному морям. На рисунке 3 представлен индекс САК с месячным шагом, в период с 1860 по 2016 год. В последние годы положительная фаза САК привела к выпадению большого количества осадков в Северной Европе и засухам в регионе Средиземноморья.

Рис. 2. Азорский максимум и Исландский минимум[35]

Рис. 3. Ежегодные значения индекса САК и сглаженные значения (черным).

1.1.3 Многолетнее атлантическое колебание

Многолетнее атлантическое колебание (МАК) отражает изменения ТПО в северной части Атлантики с положительными (теплыми) и отрицательными (холодными) фазами, длительность которых составляет около 20-80 лет. МАК оказывает значительное влияние на интенсивность осадков и температуру воздуха на территории Европы и Северной Америки. Также МАК может являться причиной засухи и тропических штормов в Атлантике, особая интенсивность которых достигается в период положительной фазы.

МАК связано с круговоротом тепла и водной массы в Атлантическом океане, оно также связано с циркуляцией в течении Гольфстрим. Температура в Северной Атлантике понижается, когда вынос тепла ослабевает. Влияние MАК накладывается на глобальное изменение температуры, вызванное антропогенным влиянием, т.е. деятельностью человека и зачастую переплетается с ним. Некоторые авторы считают, что период инструментальных наблюдений за последние 150 лет слишком короток для выяснения вопроса о том, связаны ли антропогенные факторы и драйверы глобального потепления с МАК, или же оно является отдельно стоящим природным колебанием[27]. Как будет показано ниже, XX-XXI-ом веках климатические аномалии, связанные с МАК, четко отражаются в глобальном индексе аномалий температуры на Земле.

На рисунке 4 представлен индекс МАК с 1856 по 2013 год. Видно, что смена фаз происходит с основным периодом около 60 лет и в настоящее время мы находимся на пике положительной фазы, что может быть причиной паузы в глобальном потеплении Hiatus, отмеченной в 2000-е годы.

На рисунке 5 представлены глобальные индексы температуры на планете HadCRUT4 (слева) и реконструкции уровня моря (справа) по данным австралийского центра CSIRO (GMSLA) и центра в Ливерпуле (GMSLB).

Рис. 4. Ежемесячный индексМАК и сглаженные значения (черным) [36]

Рис. 5. Данные по средней глобальной температуре (HadCRUT3, 4) (слева) и уровню моря (справа) [6]

1.2 Колебания вращения Земли

.2.1 LOD -продолжительность суток

Изменения в продолжительности суток и положении оси вращения Земли имеют чрезвычайно важное значение для геодезии, астрометрии, навигации. Уже в монографии Ламбека [16] выявлено сходство между долговременными изменениями LOD и колебаниями климата. На рисунке 6 сопоставлены кривые LOD, аномалии температуры (инвертированные после снятия тренда см. рис. 5), изменения сжатия гравитационного поля земли J2 (по спутниковым данным [23]) и изменение напряженности дипольной составляющей магнитного поля Земли, после снятия тренда. Эти сравнения позволяют судить о степени сходства квази-60-ти летней волны в температуре на планете и скорости ее вращения. Выявленное сходство до сих пор не получило объяснение. Возможно, процессы в недрах Земли, находящие отражение в ее магнитном поле и, как считается, вызывающие долговременное колебание скорости ее вращения, косвенным образом сказываются и на процессах в океане и атмосфере и, тем самым влияют на климатические индексы. Поскольку механизмы такого воздействия до сих пор не установлены, этот вопрос по-прежнему представляет интерес.

Рис. 6. Долговременные (с 1846 г) изменения длительности суток LOD, полученные из наблюдений затмений и покрытий звезд Луной в сравнении с изменениями температуры на Земле (после вычитания тренда и инвертирования), коэффициент гравитационного поляJ2и напряженность магнитного диполя (после снятия тренда).

1.2.2 Движение полюса

Рис. 7: Изменения координат полюса с 1900 года [25]

Изменения координат полюса Земли отражают мгновенное положение оси вращения в теле планеты. На основе астрономических (с 1846 года) и космических геодезических средств наблюдений (с 1970-х годов) установлено, что полюс испытывает годовое и Чандлеровское (433 суток) колебание (ЧДП) с амплитудами, доходящими до 6 метров (0.2 угл. сек), наряду с долговременным трендом и высокочастотными составляющими. Если тренд полюса в основном связан с эффектом послеледникового поднятия, годовое колебание вызвано воздействием атмосферных ветров и давлений[10], то ЧДП, амплитуда которого непостоянна, являясь резонансной модой, поддерживается слабыми атмосферными и океаническими возбуждениями. Однако, причины изменения амплитуды ЧДП окончательно не установлены.

Считается, что они являются результатом интегрирования шумовых воздействий, поступающих от хаотических воздействий атмосферы океана. Любопытно то, что, как будет видно ниже, изменения амплитуды ЧДП напоминают по своему поведению изменения климатических факторов. Если считать, что огибающая ЧДП является следствием квазипериодических колебаний - результата стохастического интегрирования шумов, то оно не должно проявлять никаких закономерностей и, тем более, совпадать с такими индексами, как МАК.

В работах [6,25] на основе решения обратной задачи восстановлено входное Чандлеровское возбуждение. Сорокалетним модуляциям амплитуды ЧДП соответствуют 20-ти летние модуляции амплитуды его возбуждения. Возбуждение в течение 20-ти лет усиливает ЧДП, вызывая рост амплитуды, а затем в течение 20-ти лет его подавляет. Механизм, по всей видимости, связан с рассогласованием фаз ЧДП и его возбуждения.

2.Описание основных методов

.1 Метод стохастического интегрирования

Для случайных процессов введено понятие стохастического дифференциального уравнения и интеграла [13,21]. Например, в экономических приложениях записывается стохастического уравнение для цены акции:

 ,

где μ- коэффициент сноса или тренд, σ- волатильность.

В этом уравнении  обозначает дифференциал(приращение) Винеровского процесса. Она имеет порядок малости. Подробнее об использовании стохастического интеграла и теоремах Стратоновича и Ито можно узнать в работах [13,21].

В данной работе нас интересовала возможность применения аппарата стохастических дифференциальных уравнений к колебаниям климата. К примеру, в работах [14,15] С.К. Гулева указано, что океан может интегрировать приповерхностное атмосферное воздействие и создавать отклик с запаздыванием на больших временах(порядка десятилетий).

В работе американской исследовательницы Сесиль Пенланд [17] записан стохастический интеграл (в обычной нотации):


где слева стоит переменная х, связанная с долговременным откликом северной Атлантики на высокочастотный форсинг N. Ядро оператора L может зависеть от условий в океане. В работе показано, что если взять в качестве, входного процессаN - высокочастотное воздействие атмосферы от САК (с периодами в несколько лет), то проинтегрировав его в соответствии с формулой, удается воспроизвести медленные изменения температуры в МАК (с периодами в десятилетия).

Тем самым, можно предположить, что МАК является долговременным откликом на САК и описывается стохастическим интегрированием. Если атмосфера является драйвером климата на коротких временах, то океан, с его огромной теплоёмкостью, приобретает ведущую роль на больших временах.

При этом нужно понимать, что в системах с хаосом (океан и атмосфера имеют во многом хаотическое поведение) входное воздействие в виде случайного процесса (предположим САК), может приводить в результате интегрирования к медленным волнам. Именно так высокочастотное воздействие САК, на наш взгляд, вызывает медленные изменения МАК. Тоже самое можно наблюдать в экономике, когда случайные изменения цен приводят к интегральному изменению цены на актив, в которой присутствуют волны больших периодов - результат стохастического интегрирования шумов. Такое движение цен описывается моделью Винеровского процесса случайного блуждания.

В работе [17] также выдвигается предположение, что ядро интегрального оператораL зависит от состояния Атлантического и Тихого океана, таким образом Эль-Ниньо способно оказывать влияние на процессы в северной Атлантике.

В работе [1] В.И. Бышев и И.В. Серых с соавторами выдвигают гипотезу о существовании моды глобальной атмосферно-океанической циркуляции, охватывающей весь земной шар и передающей влияние от Эль-Ниньо в Тихом океане в Атлантику, Индийский океан, Северный-Ледовитый океан и по всему земному шару. Анимации представленные в работе [26] не противоречат возможности распространения глобальных мод климатических колебаний, в частности Эль-Ниньо, по всей атмосфере Земли. Можно предположить, что ввиду сильного перемешивания вод северной Атлантики и наличия в ней мощных течений, таких как Гольфстрим, ее влияние на климат Земли в целом довольно велико. По результатам предварительного анализа Международных климатических моделей CMIP5, проведенного И.В. Серых, они плохо воспроизводят МАК. Тем не менее, при надежных начальных условиях, МАК воспроизводится и охватывает океан до больших глубин [33].

2.2 Модель авторегрессии

Модель авторегрессии (АR) задается формулой


где  - параметры модели,  - поступающий на вход белый шум,- порядок модели[5].

Пусть имеются экспериментально полученные уровней временного ряда, заданные соотношением


Символом обозначим ненаблюдаемый уровень ряда, соответствующий моменту времени . Задача прогнозирования заключается в поиске наилучшей в некотором смысле оценки  ненаблюдаемой величины по наблюдениям  т.е. как функций этих наблюдений. Про такой прогноз говорят, что он проводится с упреждением в шагов, и соответствующее прогнозное значение обозначим символом  [11].

На основе метода авторегрессии, либо средней квадратической коллокации удобно решать задачи прогнозирования стохастических временных рядов.

2.3 Метод средней квадратической коллокации


,


Теперь введем матрицы (ковариационные)


где  и  - автоковариационные матрицы (АКМ) векторов и соответственно, - АКМ между и .Тогда требуется оценить вектор -сигнала, при известных АКФ и векторе данных . После этого осталось искать оценку  -сигнала следующим образом


где  -матрица . Или же каждое значение  - вектора аппроксимируется с вектором - данных.

АКМ вектора ошибок (определяемая соотношением )


Диагональные элементы АКМ являются дисперсиями значений сигнала


Задача фильтрации временных рядов:

Пусть дана последовательность оценок некоторого стохастического  - сигналав виде -мерного вектора. Тогда,  - сигнал в виде -мерного вектора , смешанного со случайными коррелированными ошибками , т.е


Если известна априорная АКМ шума , то задача фильтрации/выделения сигнала, при :


где -АКМ данных . Для вычисления ковариационной матрицы  достаточно найти АКФ ряда . В этом случае  Вычисляем матрицу

Далее осталось лишь найти АКМ сигнала


Если же иметь дело с белым шумом то модель принимает иной вид


Метод СКК позволяет осуществлять прогнозирование временных рядов с помощью АКФ. Смещенная оценка которой вычисляется так


Значения АКФ заносятся в симметрическую ковариационную матрицу , так что .

Задача прогноза временных рядов:

Прогноз, в свою очередь, вычисляется как

,

где -часть матрицы  , а -часть матрицы[3].

Для заполнения ковариационной матрицы эмпирическими оценками АКФ в книге [4] предложено предварительно отфильтровать значения АКФ, что позволяет гарантированно симметризовать АКМ и обеспечить ее положительную определенность.

Алгоритм фильтрации оценки ковариационной функции  таков:

(а) путем локальной аппроксимации АКФ  в окрестностях точки  определяем скачок этой функции в нуле , и затем оцениваем спектральную плотность  белого шума;

(б) вычисляем оценку функции спектральной плотности


(в) осуществляем фильтрацию функции ; для этого все значения полагаем равными ; осуществляя другое преобразование - сглаживание, в результате получаем положительную для всех частот функцию спектральной плотности

(г) с помощью обратного преобразования Фурье


находим заведомо положительную оценку АКФ [3].

3.Результаты исследований

.1 Анализ временных рядов колебаний климата

индекс климатический океан

Для анализа временных рядов были использованы методы, описанные в предыдущей главе, позволяющие выделять тренд, шумы, осуществлять фильтрацию, прогноз и т.п. Вычисления выполнялись с помощью функций, написанных в среде MATLAB.

Индекс САК содержит разность давлений на станциях Гибралтар и Рейкьявик с 1900 по 2015 годы, с шагом в один месяц.

Исходный ряд САК центра Hurrell [28]сравнивался со сглаженным рядом разности давлений в Исландском и Азорском центрах действия атмосферы по данным [12] (далее ряд Vil’fand). Результаты сравнения представлены на рисунке 8.

Рис. 8. Индексы САК по данным Hurrel (синим) и по данным Vil’fand (красным)

Далее сглаженный ряд САК с годовым шагом был проинтегрирован и поделен на 40 (для соответствия шкал). Результат представлен на рисунке 9в сравнении с индексом МАК.Вычисленная интегральная кривая САК, хорошо согласуется с МАК. Очевидно, что гипотезы Гулева и Пенланд о том, что Атлантика интегрирует САК и переводит его в МАК, имеют под собой основания.

Рис. 9. График МАК и проинтегрированный САК

Индекс МАК с шагом в один год отражает значения аномалий температуры поверхности Атлантического океана севернее экватора с 1850 по 2014 год. На рис. 9, 10мы использовали ряд МАК центра AOML/NOAA [29].

Теперь сопоставим индекс МАК с аномалиями температуры по всей Земле (океан+суша) HadCRUT4 (см. рис. 5 слева), после снятия параболического тренда.

Из рисунка 10видно прекрасное согласие по фазе и по амплитуде индекса МАК и глобальных аномалий температуры на Земле. Отличие составляет лишь высокочастотная часть аномалий. В целом же, Северная Атлантика оказывает сильнейшее влияние на климат Земли.

Рис. 10. Аномалии глобальной температуре на Земле и индекс МАК

Далее для задач прогнозирования САК выполнялось моделирование его детерменированной и стохастической частей. На первом этапе выполнялось моделирование трендов САК. Полиномиальный тренд второго порядка был подобран с помощью функции polyfit. Гармоника с периодом 55 лет подбиралась метом наименьших квадратов. Модели трендов представлены на рисунке 11. Остаточные разности без трендов моделировались как процессы авторегрессии 10 порядка. Параметры авторегрессии, дисперсия исходного белого шума оценивалась функцией ARMatLab методом Берга. Прогноз САК строился на основе суммирования прогнозов полиномиальной, гармонической и авторегрессионной частей. На рисунке 12 представлены исходные ряды (синим) и их прогнозы (красным) для рядов САК Hurrell (слева)и Vil’fand(справа).

Рис. 11.Модели гармонического (слева) и полиномиального (справа) трендов не сглаженного Hurrell (вверху) и сглаженного Vil’fand (внизу) индекса САК

Рис. 12. Прогностическая модель САК до 2026 года по рядам Hurrell (слева) и Vil’fand (справа)

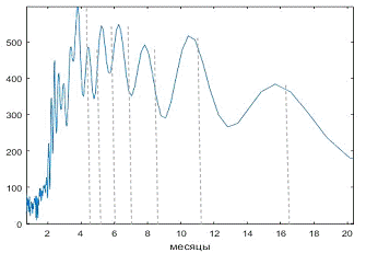
По той же методике выполнялось моделирование и прогнозирование ЭНЮК. Использован индекс ЭНЮК, построенный поразностямзначений приземного давления между станциями Таити и Дарвин с 1890 по 2015 годы, с шагом в один месяц. На первом этапе для исходного ряда ЭНЮК центра Australian Bureau of Meteorology[30] была построена АКФ и периодограмма. В нашей работе наряду с классическим спектральным анализом [4] используется построение фильтрованной периодограммы по методу Блэкмана-Тьюки [31]. Он базируется на теореме о свертке, согласно которой сглаживание спектра в области частот соответствует умножению АКФ на временное окно, центрированное в нуле.

К примеру, на рисунке 13представлена автоковариационная функция для ЭНЮК. Она имеет значительный скачок вблизи нуля и максимумы, соответствующие квазипериодам 28, 36, 60 месяцев и др.

Рис. 13. Автоковариационная функция ЭНЮК

С использованием Фурье-преобразования АКФ, построенной по исходным данным индекса ЭНЮК, вычислена периодограмма на рисунке 14.

Рис. 14. Спектр ЭНЮК, построенный по исходным данным (синим) и их АКФ (красным)

Сглаженная периодограмма индекса ЭНЮКпо методу Блэкмена-Тьюкис корреляционным окном длиной 33 года представлена на рисунке 15. Четко заметны периоды, кратные периоду Чандлеровского колебания (14 месяцев) и др.

Рис.15. Периодограмма с выделенными пиками на некоторых из периодов


Рис. 16. Гармонический (слева) и полиномиальный (справа) тренды ЭНЮК

Полиномиальный тренд второго порядка был подобран с помощью функции polyfit. Гармоника с периодом 85 лет подбиралась метом наименьших квадратов. Модели трендов представлены на рисунке 16.

Остаточные разности без трендов моделировались как процессы авторегрессии 10 порядка. Параметры авторегрессии и дисперсия исходного белого шума оценивалась функцией ar()MATLABметодом Берга [31].

Рис. 17. Индекс ЭНЮК с 1890 по 2015 г и его прогноз до 2026 года

Прогноз ЭНЮК строился на основе суммирования прогнозов полиномиальной, гармонической и авторегрессионной частей. На рисунке 17 представлены исходный ряд (синим) и его прогноз (красным) для индекса ЭНЮК. По рисунку видно, что, благодаря методу АР, удалось спрогнозировать сильноеЭль-Ниньо 2015-2016гг, которое повлекло засухи и наводнения в Латинской Америке и способствовало существенному замедлению скорости вращения Земли.В дальнейшем по прогнозу ожидается Ла Нинья. Можно заключить, что прогнозирование ЭНЮК методами АР дает неплохие результаты, хотя модель, безусловно слишком проста для такого сложного явления, которое плохо поддается прогнозированию даже при использовании суперкомпьютерных прогонов моделей океана-атмосферы.

3.2 Анализ вращения Земли

В разделе 1.2.1. сказано несколько слов о составе движения полюса. Для выделения Чандлеровского колебания в работе [24] предложены различные методы, в том числе фильтрация Пантелеева. Ниже будет представлен результат применения метода СКК к рядам движения полюса для выделения ЧДП. Используя априорную АКФ, полученную для ЧДП фильтрацией Пантелеева (рис. 18), мы выделили Чандлеровскую компоненту из исходных данных (рис. 19) по движению полюса по методике, представленной в разделе [2.3].

Рис. 18. АКФ чандлеровского колебания, выделенного фильтрацией Пантелеева. По абсциссе - номера отсчетов (шаг 0.05 года), по ординате сек дуги, X-компонента.

Рис. 19. Чандлеровская компонента (красным), выделенная из движения полюса (синим) методом СКК на основе априорной АКФ с рис 18, X-компонента

Видно, что ЧДП имеет переменную амплитуду с минимумами в 1930 и 2010 годы. Цикл минимумов ЧДП - приблизительно 80 лет.

Сопоставление данных по вращению Земли с климатическими характеристиками позволило установить сходство изменений скорости вращения Земли c квази-60-летним колебанием температуры, а амплитуды Чандлеровского колебания (огибающей) - с вариациями уровня моря [23,25].

На рисунке 20 (слева) показаны интегральная кривая САК, хорошо согласующаяся с МАК, сглаженная аномалия температуры на Земле и инвертированная кривая LOD (см. рис. 6).

На рисунке 20 (справа) огибающая ЧДП сопоставлена с 60-ти летними колебаниями уровня моря после снятия тренда (данные) по данным Сhurch &White, (см. рис. 5справа).

Рис. 20. Слева: Медленные вариации скорости вращения Земли (отфильтрованная и инвертированная LOD), проинтегрированный индекс САК и 60-летняя компонента (ГК 1) изменения температуры на Земле. Справа: огибающая Чандлеровского движения полюса и ГК 1 изменения уровня моря GMSL A (ChurchandWhite) [25]

Из рисунка выше (слева) видно, что в колебаниях глобальной температуры на Земле присутствует квази-70-ти летняя периодичность, идущая в противофазе с длительностью суток LOD и связанная с многолетним атлантическим колебанием.

Из правой части рисунка видно, что схожая 60-летняя изменчивость присутствует в огибающей Чандлеровского движения полюса Земли и аномалиях уровня моря.

Заключение

В данной работе изучалась связь между колебаниями климата и вращением Земли. Основные результаты, достигнутые в данном исследовании:

·        Применив модель стохастического интегрирования для исходного ряда МАК центра AOML/NOAA [29], была обнаружена взаимосвязь с проинтегрированным индексом сглаженного САК. Тем самым, были подтверждены гипотезы С. К. Гулева и С. Пенланд о том, что Атлантика интегрирует САК и переводит его в МАК;

·        Сопоставив индекс МАК с аномалиями температуры по всей Земле, обнаружились взаимосвязи по фазе и по амплитуде индекса МАК и аномалий температуры. Тем самым было подтверждено, что Северная Атлантика оказывает сильнейшее влияние на климат Земли;

·        Был произведён анализ временных рядов ЭНЮК, САК и МАК методами спектрального и корреляционного анализа;

·        Была построены автоковариационная функция ЭНЮК, благодаря которой удалось определить квазипериоды 28, 36, 60 и др. месяцев для ЭНЮК и

вычислить с использованием Фурье-преобразования АКФ периодограмму

ЭНЮКпо методу Блэкмена-Тьюкис корреляционным окном длиной 33 года, на которой четко заметны периоды, кратные периоду Чандлеровского колебания (14 месяцев) и др;

·        Были построены прогностические модели ЭНЮК и САК на 10 лет, благодаря которым удалось спрогнозировать положительную фазу САК и сильное Эль-Ниньо 2015-2016гг,которое способствовало существенному замедлению скорости вращения Земли;

·        Методом СКК было выделено ЧДП, имеющее переменную амплитуду с минимумами в 1930 и 2010 годы и определен цикл минимумов (80 лет);

·        Сопоставив данных по вращению Земли (скорость вращения Земли) с климатическими характеристиками (аномалиями глобальной температуры и МАК), установлено присутствие схожей квази-70-ти летней периодичности изменениях скорости вращения Земли c квази-60-летним колебанием температуры;

·        Была обнаружена схожая60-летняя изменчивость при сопоставлении амплитуды Чандлеровского колебания (огибающей) с вариациями уровня моря.

В результате данного исследования были построены прогностические модели, благодаря которым удалось успешно спрогнозировать положительную фазу САК и одно из сильнейших за последние годы Эль-Ниньо 2015-2016гг, которое способствовало замедлению скорости вращения Земли.

Наиболее важным итогом работы можно считать предварительное обнаружение корреляций между колебаниями климата и вращением Земли.

Список источников

.        Бышев В.И., Нейман В.Г, Романов Ю.А., Серых И.В. Глобальные атмосферные осцилляции в динамике современного климата. Современные проблемы дистанционного зондирования Земли из космоса. Т. 11. No 1. С. 62-71, 2014.

.        Губанов В. С. Динамика земного ядра по данным РСДБ-наблюдений // Письма в Астрономический журнал. 2009. Т. 35. 4. С. 304-311.

.        Губанов В.С. Обобщенный метод наименьших квадратов. Теория и применение в астрометрии, 1997.

.        Зотов Л.В. Теория фильтрации и обработка временных рядов: Курс лекций. М: Физический факультет МГУ, 2010.

.        Зотов Л.В. Регрессионные методы прогнозирования параметров вращения Земли, 2005.

.        Зотов Л. В., Бизуар К., Шам С. О возможной взаимосвязи вращения Земли и изменений климата в последние 150 лет // В кн.: Известия главной астрономической обсерватории в Пулково N 223 Труды Всероссийской астрометрической конференции «ПУЛКОВО- 2015». СПб.: ГАО РАН, 2016. С. 103-108.

.        Зотов Л. В., Пастушенкова М. В., Бизуар К., Сидоренков Н. Многоканальный сингулярный спектральный анализ углового момента атмосферы // В кн.: Известия главной астрономической обсерватории в Пулкове N 224 ТРУДЫ VI Пулковской молодежной астрономической конференции 6 - 8 июня 2016 года. СПб.: ГАО РАН, 2016. С. 49-64.

.        Миллер Н.О., Воротков М.В. Моделирование Чандлеровского движения полюса. // Труды Всероссийской астрометрической конференции «ПУЛКОВО - 2015». Известия ГАО в Пулкове. №223. 125 с

.        Серых И.В., Сонечкин Д.М. О влиянии квазипериодических внешних сил на ритмичность Эль-Ниньо. В книге: Триггерные эффекты в геосистемах. Тезисы докладов III Всероссийского семинара-совещания. Институт динамики геосфер РАН; редакторы В.В. Адушкин, Г.Г. Кочарян С. 95. Издательство: ГЕОС (Москва), 2015.

.        Сидоренков Н., Бизуар К., Зотов Л., Салстейн Д., Угловой момент атмосферы, Природа, N. 4 стр. 22-28, РАН, 2014.

.        Чураков Е.П. Прогнозирование эконометрических временных рядов, 2008.

.        ФильфандР.М. Мониторинг общей циркуляции атмосферы, cеверное полушарие, Росгидромет, Обнинск, 2012

13.     FrankeJ., Wolfgang K.,Christian M., Hafner. Statistics of Financial Markets,2008.

14.     Gulev, S.K., M. Latif, N. Keenlyside, W. Park, K.P. Koltermann North Atlantic Ocean control on surface heat flux on multidecadal timescales Nature, 499, 464-467, doi:10.1038/nature12268, (2013).

.        Gulev S. K, Latif M. The origins of a climate oscillation Nature, 521, 428-430, (2015).

.        Lambek, Joachim, "A mathematician looks at Latin conjugation", Theoretical Linguistics, 6 (2): 221-234, (1979).

.        Penland C., Hartten L.M. “Stochastic forcing of north tropical Atlantic sea surface temperatures by the North Atlantic Oscillation.” NOAA/Earth System Research Laboratory/Physical Sciences Division, Boulder, Colorado, USA, 2014

.        Penland C., Matrosova L. “Studies of El Nino and interdecadal variability in tropical sea surface temperatures using a nonnormal filter.” J. Climate, 19, 2006

.        Penland, C., 2007: Stochastic Linear Models of Nonlinear Geosystems. In Nonlinear Dynamics in Geosystems, A. Tsonis and J. Elsner, eds., Springer, 604pp, New York

.        Penland, C., D.-Z. Sun, A. Capotondi and D.J. Vimont, 2010: Chapter 3: A brief introduction to El Nino and La Nina. Climate Dynamics: Why does Climate Vary? Geophysical Monograph 189, The American Geophysical Union.

.        Ruppert D. Statistics and Data Analysis for Financial Engineering, 2011.

.        Volosciuk, C., D. Maraun, V. Semenov, N. Tilinina, S.K. Gulev, and M. Latif Rising Mediterranean Sea Surface Temperatures Amplify Extreme Summer Precipitation in Central Europe Nature Sci. Rep. 6, 32450, 2016.

.        Zotov L., Balakireva E.,Study of the variations of the coefficient J2 of gravitational expansion by means of MSSA Proceedings of the International 44th Uspensky readings, Page 129, January 2017, Moscow, Shmidt institute of physisc of the Earth.

.        Zotov L., Bizourad C. On modulations of the Chandler wobble excitation, // Journal of Geodynamics, special issue "Earth rotation N 62 (2012) p. 30-34, DOI: 10.1016/j.jog.2012.03.010

.        Zotov L., Bizouard C., Shum C.K. A possible interrelation between Earth rotation and climatic variability at decadal time-scale,// Geodesy and Geodynamics, Volume 7, Issue 3, May 2016, Pages 216-222, KeAi, China, doi:10.1016/j.geog.2016.05.005, 2016.

.        Zotov L, N.S. Sidorenkov, Ch. Bizouard, C.K. Shum, W. ShenMultichannel Singular Spectrum Analysis of the Axial Atmospheric Angular Momentum Geodesy and geodynamics, KeAi, 2017, in press

.        URL: https://oko-planet.su/pogoda/pogodaday/47776-globalnye-klimaticheskie-indeksy.html (дата обращения: 20.04.2017)

28.     URL: https://climatedataguide.ucar.edu/climate-data/hurrell-north-atlantic-oscillation-nao-index-station-based (дата обращения: 12.02.2017)

29.     URL: http://www.aoml.noaa.gov/phod/amo_faq.php (дата обращения:12.02.2017)

30.     URL: ftp://ftp.bom.gov.au/anon/home/ncc/www/sco/soi/soiplaintext.html (дата обращения: 12.02.2017)

31.     URL: http://www.rphf.spbstu.ru/dsp/lib/Sergijenko_2003.pdf (дата обращения: 01.03.2017)

.        Марчукова О.В., Воскресенская Е.Н Пространственная классификация Ла-Нинья Известия РАН. Физика атмосферы и океана - М: ФГУП Издательство «Наука», 2017. - т. 53, No1. С.: 125-134. DOI: 10.7868/S0002351517010138

.        Дианский Н.А. Моделирование циркуляции океана. и исследование его реакции на короткопериодные и долгопериодные атмосферные воздействия. Физматлит, 2013.

34.     URL:https://en.wikipedia.org/wiki/El_Ni%C3%B1o%E2%80%93Southern_Oscillation#Southern_Oscillation(дата обращения: 21.01.2017)

36.     URL: https://en.wikipedia.org/wiki/Atlantic_multidecadal_oscillation

(дата обращения: 21.01.2017)


Не нашли материал для своей работы?
Поможем написать уникальную работу
Без плагиата!
Без нейросетей!