|
Наименование
машин и механизмов
|
Количество
механизмов, шт
|
Эквивалентный
уровень шума, дБА
|
|
1
|
КАМАЗ-5410
ОдАЗ-9370
|
1
|
77,0
|
|
2
|
Кран
автомобильный КС-35715
|
1
|
85,0
|
|
3
|
ЭкскаваторЭО-3322Д
|
1
|
82,0
|
Шумовые характеристики строительной техники приняты по данным
"Каталога источников шума и средств защиты", Воронеж. 2004г.
Расчет уровня шума в период строительства ВЛ 110 кВ выполнен
в соответствии с СП 51.13330.2011 Актуализированная редакция СНиП 23-03-2003
"Защита от шума" с использованием программы "Microsoft Excel".
Расчетный суммарный уровень шума от строительной техники,
одновременно работающей на площадке строительства в количестве 3 единиц
(экскаватор, кран, КамАЗ), составит 87,2 дБА, что превышает нормативный ПДУ
шума на постоянных рабочих местах и на территории предприятий - 80,0дБА, СН
2.2.4/2.1.8.562-96 табл.2, п.5. Рабочие, занятые на особо шумных рабочих
местах, обеспечиваются средствами защиты органов слуха (наушники, бируши и т.д.).
Нормативный максимальный уровень шума для территорий,
непосредственно прилегающих к жилым домам в дневное время - 70,0 дБА, СН
2.2.4/2.1.8.562-96 табл.3, п.9, достигается на расстоянии около 6 м от
источников шума. Кратчайшее расстояние от коридора проектируемых ВЛ 110 кВ до
ближайшей жилой застройки составляет 875,0 м к юго-западу.
Значительное удаление коридора проектируемых ВЛ 110 кВ от
жилой застройки, а также кратковременность выполнения работ, позволят исключить
акустический дискомфорт населения в районе выполнения работ.
1.3.4
Воздействие электромагнитных полей
Источниками электромагнитных полей, при эксплуатации ВЛ,
являются провода ВЛ 110 кВ. Минимальный габарит до земли составляет 10,0 м.
Согласно СанПиН 2.2.1/2.1.1.1200-03 "Санитарно-защитные
зоны и санитарная классификация предприятий, сооружений и иных объектов" с
изменениями №№ 1,2,3 и 4, п.6.3 - санитарные разрывы для ВЛ 110 кВ не
предусмотрены.
Напряженность электрического поля
Согласно "Санитарные нормы и правила защиты населения от
воздействия электрического поля" №2971-84, предельно допустимый уровень
напряженности электрического поля составляет 5,0 кВ/м для населенной местности,
вне зоны жилой застройки (земли городов в пределах городской черты в границах
их перспективного развития на 10 лет), а также на территории огородов и садов.
Расчет напряженности электрического поля в расчетной точке
(РТ-1) выполнен на основании методических указаний ДВЭП. МУ 38-2015,
разработанных ООО "Институт ДнепрВНИПИэнергопром", с использованием
программы общего пользования "Microsoft Excel", по следующей
формуле:
где: 
- удельная электрическая емкость провода, Ф/м;
U - расчетные действующие значения напряженности, кВ;

- диэлектрическая проницаемость вакуума, Ф/м;

= 1 - относительная диэлектрическая проницаемость воздуха;
R - расстояние от провода до расчетной точки, м.
По результатам выполненных расчетов максимальное значение
напряженности электрического поля (0,63 кВ/м) достигается на расстоянии 3,1 м
от проекции на землю крайних фаз, что не превышает ПДУ напряженности
электрического поля для населенной местности, вне зоны жилой застройки (земли
городов в пределах городской черты в границах их перспективного развития на 10
лет), а также на территории огородов и садов - 5,0 кВ/м.
После ввода в эксплуатацию ВЛ 110 кВ "Лебеди - ГПП-7"
1,2 цепь и ВЛ 110 кВ "Лебеди - ГПП-7" 3,4 цепь, согласно СанПиН
2.2.1/2.1.1.1200-03, п.6.1, для подтверждения расчетных параметров необходимо
выполнить инструментальные измерения уровня напряженности электрического поля в
расчетных точках.
Напряженность магнитного поля
Согласно ГН 2.1.8/2.2.4.2262-07 "Предельно допустимые уровни
магнитных полей частотой 50 Гц в помещениях жилых, общественных зданий и на
селитебных территориях", ПДУ на селитебной территории, в том числе на
территории садовых участков, составляет 8,0 А/м.
Расчет напряженности магнитного поля в расчетных точках №1-6
(РТм-1 - РТм-6) на границах ПС выполнен на основании методических указаний
ДВЭП. МУ 39-2015 "Расчет электрических и магнитных полей кабельных
линий", разработанных ООО "Институт ДнепрВНИПИэнергопром", с
использованием программы "Microsoft Excel", по следующей формуле:

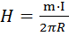
, A/м
где: m - корректирующий коэффициент, учитывающий
наличие тока в экране, m=1; I - расчетное значение тока, А (945,0 А); R - расстояние от кабеля до расчетной точки, м.
По результатам выполненных расчетов максимальное значение
напряженности магнитного поля (5,72 А/м) достигается на расстоянии 5,0 м от оси
опоры, что не превышает ПДУ напряженности магнитного поля на селитебной
территории, в том числе на территории садовых участков, составляет 8,0 А/м.
После сдачи в эксплуатацию каждого пускового комплекса ПС 330 кВ
"Лебеди", согласно СанПиН 2.2.1/2.1.1.1200-03, п.6.1, для
подтверждения расчетных параметров, необходимо выполнить инструментальные
измерения уровня напряженности магнитного поля в расчетных точках.
1.4 Почвенный
покров
Реализация данных проектных решений связана со следующими
негативными влияниями на почвенный покров:
- нарушением почвенного покрова связанное со
сборкой опор на монтажных площадках и складированием дополнительного
оборудования на материально-технической базе;
- потенциально возможным загрязнением
почвенного покрова нефтепродуктами от строительной и автотранспортной техники.
Негативное воздействие на почвогрунты, при монтаже и
установке опор, а также складированием дополнительного оборудования на
материально-технической базе, связано со снятием плодородного слоя.
Для монтажа одной опоры типа П220-2т, П220-2т+5 и П330-2т+5
проектными решениями предусмотрено монтажную площадку площадью 560,0 м2.
Общее количество опор вышеуказанных типов, по двум проектируемым ВЛ - 50 шт.
Площадь нарушенных земель составляет: 50 шт. * 560,0 м2/шт. =
28000,0 м2 (2,8 га).
Для монтажа одной опоры типа У220-2т, У220-2т+5, У220-2т+9 и
У220-2т+14 проектными решениями предусмотрено монтажную площадку площадью 630,0
м2. Общее количество опор вышеуказанных типов, по двум проектируемым
ВЛ - 32 шт. Площадь нарушенных земель составляет: 32 шт. * 630,0 м2/шт.
= 19530,0 м2 (1,953 га).
Для монтажа одной опоры типа У330-2т+14 и У330-2т+9
проектными решениями предусмотрено монтажную площадку площадью 700,0 м2.
Общее количество опор вышеуказанных типов, по двум проектируемым ВЛ - 4 шт.
Площадь нарушенных земель составляет: 4 шт. * 700,0 м2/шт. = 2800,0
м2 (0,28 га).
Материально-техническая база площадью 4939,5 м2
размещается в границах коридора проектируемых ВЛ 110 кВ.
Общая площадь нарушенных земель - 55269,5 м2
(~5,527 га).
Настоящим проектом, в качестве мероприятий по охране и
рациональному использованию почвенного покрова, предусмотрена рекультивация
нарушенных земель, включающая в себя технический и биологический этапы.
Оценить потенциально возможное загрязнение почвенного покрова
нефтепродуктами от строительной и автотранспортной техники крайне сложно.
Реализация мероприятий по охране почвенного покрова, описанных в соответствующем
пункте настоящего тома, сводит к минимуму отрицательное воздействие на
почвенный покров.
1.5
Растительный и животный мир
1.5.1
Растительный мир
По лесорастительному районированию проектируемые ВЛ 110 кВ
лежат в пределах Евроазиатской степной области, провинции южной части Русской
равнины, округ Курской лесостепи и прилегающих районов.
Большая часть трассы проектируемых ВЛ-110 кВ проходит по
степной территории в настоящее время используемой для выращивания
сельскохозяйственной продукции и лишь в отдельных местах затрагивает участки
занятые природной лесостепной и луговой растительности.
Согласно выполненных инженерно-экологических изысканий
покрова были описаны приведенные ниже растительные комплексы и сообщества:
I Комплекс лесостепной растительности лугов:
Лохово-кленовые сообщества.
II Комплекс луговой растительности степи:
растительные сообщества сухой степи:
Злаково-разнотравные;
Разнотравно-злаково-кустарниковые;
растительные сообщества влажных низин и
искусственных водоемов:
Хвощево-осоковые сообщества низин;
Тростниковые сообщества водоемов.
III Комплекс растительности антропогенных
ландшафтов:
Культивируемая растительность агротерриторий;
Сорняковая растительность нарушенных территорий.
В состав первого комплекса входят представители древесных
растений устойчивых и способных выживать в условиях сухости степи. Данный
комплекс занимает относительно малые территории по трассе проектирования линии
ВЛ-110 кВ и представлен зарослями лоха серебристого (Elaeagnus commutata) с примесью клена ясенелистного
(Acer negundo) и единично встречающимися
представителями вяза голого (Ulmus glabra) и белой акации (Robinia pseudoacаcia). Подлесок практически
везде отсутствует, но иногда встречается в виде молодого подроста лоха
серебристого и клена ясенелистного. Травостой для данного комплекса слагается
из типичных представителей степи - злаки (пырей ползучий (Elytrigia repens), мятлик луговой (Poa pratеnsis), овсяница валлисская (Festuca valesiaca) и другие), а также
разнотравье (полынь горькая (Artemisia absinthium), тысячелистник
обыкновенный (Achillea millefolium), вязель разноцветный (Coronilla varia) и др.).
Комплекс луговой растительности степи занимает относительно
небольшие территории по трассе проектирования линии ВЛ-110 кВ, однако он
является самым богатым на разнообразие видов. Данный комплекс луговой
растительности степи, следует разделить по степени увлажнения на сухие степные
участки и увлажненные луговые участки.
Сухие степные участки располагаются на плато, увалах и
склонах балок (верхняя и средняя трети) с относительно глубоким залеганием
уровня грунтовых вод. По трассе проектируемой ВЛ-110 кВ в таких условиях
формируются два типа растительных сообществ (злаково-разнотравные и
разнотравно-злаково-кустарниковые), формирование которых в данном случае
зависит от степени антропогенного воздействия. Злаково-разнотравные сообщества
с теми незначительными площадями, которые они занимают, являются остатками от
распаханных целинных земель. Видовой состав данного растительного сообщества
очень богат на типичные степные виды: злаки - ковыль волосистая (Stipa capillаta), типчак (Festuca valesiaca), мятлик луговой (Poa pratеnsis); засухоустойчивое
разнотравье - полынь горькая (Artemisia absinthium), синеголовник плоский (Eryngium planum), молочай острый (Euphоrbia еsula), вьюнок полевой (Convоlvulus arvеnsis), и др.
Разнотравно-злаково-кустарниковые сообщества занимают совсем
незначительные территории по трассе проектируемой линии ВЛ-110 кВ и приурочены
к участкам, связанным с хозяйственной деятельностью человека. В данном случае
их можно встретить под линией существующей ВЛ, параллельно которой проходит
проектируемая линия, в районе начала трассы проектируемой ВЛ возле подстанции,
также отдельными островками встречаются по трасе проектируемой ВЛ-110кВ на всем
ее протяжении. Кустарниковая растительность данного сообщества весьма разрежена
и представлена всего двумя видами - терновником (Prunus spinоsa) и шиповником майским (Rоsа majаlis). Травянистый покров
достаточно разнообразный и помимо типично степных видов здесь встречаются
представители рудерантов, что говорит об определенной степени нарушенности
фитоценоза. Видовой состав травостоя в таких сообществах смещен в сторону
разнотравья, а на долю степных видов припадает не более 35%.
Помимо типичных представителей степного разнотравья здесь
встречаются: болиголов пятнистый (Conium maculаtum), сурепка обыкновенная (Barbarеa vulgаris), крапива двудомная (Urtica diоica), чина клубненосная (Lathуrus tuberоsus), клевер ползучий (Trifolium repens) лопух большой (Arctium lаppa) и др., среди злаков:
пырей ползучий (Elytrigia repens), овсяница валлисская (Festuca valesiaca) мятлик луговой (Poa pratеnsis).
Искусственные водоемы, пересекаемые линией ВЛ-110кВ, заняты
прибрежно-водной и водной растительностью. Прибрежно-водная растительность
характеризуется хвощево-осоковыми сообществами, в которых доминантом является
хвощ полевой (Equisetum arvense) с относительно небольшой
примесью осоки коротковолосистой (Carex hirta). Тростниковые сообщества
представителем, которых является тростник обыкновенный (Phragmites communis) образует почти чистые
заросли вдоль берегов искусственных водоемов.
Наибольшие территории по трассе
проектируемой линии ВЛ-110кВ занимает комплекс растительности антропогенных
ландшафтов. Среди данного комплекса выделяются два типа растительных сообществ,
одни формируются на землях сельскохозяйственного назначения, то есть ценозы
создаются искусственно, вторые представляют собою сукцесионный этап
преобразования техногенно и антропогенно нарушенных территорий в природные.
Растительность агротерриторий представляет
собою отдельный вид сообществ антропогенного происхождения. Говоря о
растительных ценозах агротерриторий нельзя дать им одноименную характеристику,
это связано с условиями культивирования сельскохозяйственных культур. Даже если
взять во внимание сорняковые виды растений, то с точки зрения земледелия каждый
отдельный вид сорняков приурочен к определенной сельскохозяйственной культуре
или их группе, не говоря о ежегодном внесении гербицидов для борьбы с ними.
Виды для создания культурценозов на агротерриториях выбираются землевладельцем
соответственно с технико-экономических соображений и травопольной системы
земледелия. В результате проведения инженерно-экологических изысканий по трассе
проектируемой ВЛ-110 кВ, были выявлены следующие культуры: пшеница твёрдая (Triticum durum), кукуруза сахарная (Zеa mаys), эспарцет песчаный (Onobrуchis arenаria) и зернобобовые
травосмеси.
Частично трасса проектируемой линии ВЛ-110
кВ проходит по техногенным территориям Лебединского ГОКа, растительность
которых представлена разнотравно-злаковыми сообществами естественного
самозарастания, которые чередуются с территориями, заросшими сорняковыми видами
растений. Типичными представителями растений техногенно и антропогенно нарушенных
территорий являются: циклахена дурнишниколистная (Cyclachaena xanthiifolia), полынь сантонийская (Artemisia santonica), лебеда раскидистая (Atriplex patula), сурепка обыкновенная (Barbarеa vulgаris), осот полевой (Sоnchus arvеnsis), подрост (сеголетки)
клена ясенелистного (Acer negundo) и др. На отдельных
участках проектируемой трассы ВЛ-110 кВ растительность полностью отсутствует.
Среди растений, занесенных в Красную книгу Белгородской
области в районе проведения изысканий могут встречаться 5 видов мхов и 32 вида
растений. Мохи: тортула шиловидная (Тortula subulata), синтрихия седожилковая (Syntrichia caninervis), порелла плосколистная (Porella platyphylla), дикранум зеленый (Diranum viride), эвринхиум узкоклеточный
(Eurhynchium angustirete). К растениям, занесенным
в Красную книгу Белгородской области, относятся: рябчик русский (Fritillaria ruthenica), чемерица черная (Veratrum nigrum), чемерица лобеля (Veratrum lobellianum), лилия кудреватая (Lilium martogon), брандушка разноцветная (Bulbocodium versicolor), вороний глаз (Paris quadrifolia), лук желтеющий (Allium flavescens), ковыль красивейший (Stipa pulcherrima), ковыль лессинга (Stipa lessingiana), адонис весенний (Adоnis vernаlis), хохлатка маршала (Corydalis marschalliana), грушанка круглолистная (Pyrola rotundifolia), бурачок гмелина (Alyssum gmelinii), клаусия солнцелюбивая (Clausia aprica), солнцецвет монетолистный
(Helianthemum nummularium), очитник степной (Hylotelephium stepposum), костяника (Rubus saxatilis), миндаль низкий (Prunus tenella), спирея городчатая (Spiraea crenata), астрагал
шерстистоцветковый (Astragalus dasyanthus), астрагал белостебельный
(Astragalus albicaulis), лен желтый (Linum flavum), лен украинский (Linum ucranicum), лен многолетний (Linum perenne), истод сибирский (Polygala sibirica), триния многостебельная (Trinia multicaulis), валериана русская (Valeriana rossica), золототысячник
обыкновенный (Centaurium erythraea), горечавка легочная (Gentiana pneumonanthe), синюха голубая (Polemonium caeruleum), оносма донская (Onosma tanaitica), синяк русский (Echium maculatum).
Согласно выполненным инженерно-экологическим изысканиям,
растения и грибы, занесенные в Красную книгу Белгородской области и имеющие
различный ранг охраны - не встречены.
1.5.2
Животный мир
В зоогеографическом отношении территорию
области можно условно разделить на районы с преимущественно лесостепной фауной
(западная и центральная части) и районы с преобладанием степных видов
(юго-восточная часть).
Животный мир Белгородской области, из-за
своего географического положения и климатических условий, достаточно
разнообразен. По существующим оценкам, фауна Белгородской области включает не
менее 10 тысяч видов. По основным систематическим группам, представленным в
фауне Белгородской области, число видов распределяется так: хордовые - до 370
(в том числе: млекопитающие - до 60; птицы, включая пролетные виды, - до 250;
рептилии, или пресмыкающиеся, - 9; амфибии, или земноводные, - 10; рыбы и
круглоротые - около 40; мшанки - 1); моллюски - более 150 (брюхоногие моллюски -
более 100, двустворчатые моллюски - более 50); членистоногие - до 9 - 10 тыс.
(насекомые - 8500 - 9500, паукообразные - около 500, ракообразные - до 100,
многоножки - до 30); кольчатые черви - до 60 (малощетинковые черви - до 50,
пиявки - более 10); круглые черви (нематоды и коловратки) - не менее 100;
плоские черви (турбеллярии, сосальщики и ленточные черви) - не менее 50;
кишечнополостные (гидроидные) - 2; одноклеточные (саркодовые и жгутиконосцы,
грегарины и кокцидиеобразные, ресничные и сосущие инфузории, микроспоридии,
книдоспоридии) - не менее 100.
Из млекопитающих наиболее многочисленны
мелкие виды животных, которые легче приспосабливаются к изменению условий
обитания, например норные млекопитающие (мыши, полевки, слепыши). Из более
крупных млекопитающих повсеместно встречаются заяц-русак, лисица, ласка, хорь.
За последние 30 лет фауна области претерпела существенные изменения:
естественным путем расселились лось, кабан, косуля, бобр, с помощью человека
расселены благородный и пятнистый олени, сурок-байбак. Ведение охотничьего
хозяйства в области основывается на поддержании численности копытных животных
(лось, косуля, кабан), акклиматизации новых промысловых видов (пятнистый олень,
енотовидная собака, американская норка, ондатра), регулировании численности
хищников (волк).
Птицы - наиболее многочисленный класс
позвоночных. Он представлен преимущественно мелкими и средними по размеру
певчими птицами: соловьи, малиновки, кукушки, иволги, синицы. Кроме того,
водится водоплавающая дичь: утки, гуси, кулики, бекасы. Очень редко встречаются
дрофа, аист, лебедь, журавль. В лесах встречаются хищные птицы из семейства
соколиных и отряда совиных. Наиболее типичные обитатели открытых пространств -
перепела и серые куропатки, из отряда воробьиных повсеместно распространены:
воробьи, жаворонки, овсянки и очень красивые птицы с ярким золотисто-зелёным
оперением - щурки.
Из пресмыкающихся наиболее обычны прыткая
ящерица, уж обыкновенный, очень редкими стали веретеница ломкая, ящурка
разноцветная, гадюка степная. Среда обитания земноводных - это не только
водоемы, для которых обычны лягушки прудовая и озерная; встречаются также и
"сухопутные" виды (жабы, травяная лягушка). Редкими стали квакша
обыкновенная и тритон гребенчатый.
Ихтиофауна региона насчитывает 40 видов
рыб из 8 семейств, из которых наиболее часто встречаются:
- в самых малых водотоках:
лещ, плотва, карась, линь, окунь, щука;
- в малых водотоках: лещ,
плотва, карась, линь, окунь, щука, сазан (карп), сом;
- в средних водотоках: лещ,
плотва, карась, линь, окунь, щука, сазан (карп), сом, густера, судак;
- в водохранилищах: лещ,
плотва, карась, линь, окунь, щука, сазан (карп), сом, густера, судак, реже
жерех, язь, белый амур, толстолобик, голавль.
Перечень видов животных, заносимых в
Красную книгу Белгородской области (по состоянию на 1 октября 2004 года),
включает в себя:
- млекопитающие - 12 видов
(еж ушастый, кутора обыкновенная, русская выхухоль, гигантская вечерница,
среднерусская европейская норка, горностай, хорек светлый, перевязка, северная
выдра, суслик крапчатый, тушканчик большой, хомяк обыкновенный);
- птицы - 44 вида
(европейская чернозобая гагара, серощекая поганка, белый аист, черный аист,
краснозобая казарка, пискулька, лебедь-шипун, огарь, серая утка, белоглазый
нырок, скопа, степной лунь, европейский тювик, курганник, змееяд, орел-карлик,
большой подорлик, могильник, беркут, орлан-белохвост, балобан, сокол-сапсан,
кобчик, серый журавль, дрофа, стрепет, ходулочник, шилоклювка, кулик-сорока,
поручейник, большой кроншнеп, большой веретенник, малая чайка, малая крачка,
филин, сплюшка, козодой обыкновенный, сизоворонка, европейский средний дятел,
обыкновенный серый сорокопут, малая мухоловка, обыкновенная горихвостка, усатая
синица, просянка);
- земноводные и
пресмыкающиеся - 9 видов (жаба серая, обыкновенная квакша, черепаха болотная,
разноцветная ящурка, уж водяной, медянка, степная гадюка, обыкновенная гадюка,
гадюка Никольского);
- рыбы и круглоротые - 18
видов (минога украинская, стерлядь, обыкновенный подкаменщик, вырезуб,
азово-черноморская шемая, быстрянка русская, подуст обыкновенный, черноморский
рыбец, жерех, голавль обыкновенный, гольян, елец Данилевского, щиповка
обыкновенная, голец обыкновенный, обыкновенный налим, сом обыкновенный, берш,
донской ерш);
При выполнении инженерно-экологических изысканий, животные,
занесенные в Красную книгу РФ и Белгородской области - не встречены.
1.6
Водопотребление и водоотведение
Строительные работы
При производстве строительно-монтажных работах, в коридоре
проектируемых ВЛ 110 кВ, питьевое и техническое водоснабжение осуществляется
привозной водой.
Для работников строительной бригады на участках строительства
предусматриваются места для установки биотуалетов.
Эксплуатационные работы
Постоянных водопотребителей на трассе проектируемых ВЛ 110 кВ
нет. Эксплуатация проектируемого водовода будет осуществляться выездной
бригадой.
1.7
Образование отходов
При строительстве и эксплуатации (в. т. ч. ремонтные работы)
проектируемых ВЛ 110 кВ будут образовываться промышленные отходы, по мере
накопления они складируются в специальных контейнерах, обеспечивающих
исключение загрязнения окружающей среды и по окончании работ вывозятся для
утилизации.
Наименование отходов, код отходов, класс опасности,
количество и другие характеристики прогнозируемых отходов, определены согласно
"Критериям отнесения опасных отходов к классу опасности для окружающей
природной среды" и в соответствии с Федеральным классификационным
каталогом отходов (ФККО), утв. Приказом Росприроднадзора от 18.07.2014 N 445.
Расчет количества образующихся отходов, их характеристика и
способы удаления (складирования), при выполнении строительно-монтажных работ,
выполнен в соответствии с РД 153-34.1-02.208-2001 [2], "Практическим
пособием для разработчиков проектов строительства. Охрана окружающей природной
среды".
Таблица 1.9 - Количество и характеристика образующихся при
строительстве проектируемых ВЛ 110 кВ
|
Подразделение,
технологический процесс в котором образуются отходы
|
Наименование
отходов,
|
Физическое
состояние отходов
|
Класс опасности
|
Количество,
т/период
|
Способы
утилизации, обезвреживания, размещения
|
|
при
строительно-монтажных работах
|
|
ВЛ 110 кВ
"Лебеди - ГПП-7" 1,2 цепь и ВЛ 110 кВ "Лебеди - ГПП-7"
3,4 цепь
|
мусор от
офисных и бытовых помещений организаций несортированный (исключая
крупногабаритный) 7 33 100 01 72 4 от работников бригады
|
твердые
|
4
|
2,325
|
вывоз на
полигон ТБО
|
|
обтирочный
материал, загрязненный нефтью или нефтепродуктами (содержание нефти или
нефтепродуктов менее 15%) 9 19 204 02 60 4
|
твердые
|
4
|
0,425
|
собирается в
специальные контейнеры и вывозится на промышленную площадку ТБО
|
|
остатки и
огарки стальных сварочных электродов 9 19 100 01 20 5
|
твердые
|
5
|
0,020
|
вывоз на
предприятия Втормета
|
|
лом
электротехнических изделий из алюминия (провод, голые жилы кабелей и шнуров,
шины распределительных устройств, трансформаторов, выпрямители) 4 62 200 02
51 5
|
твердые
|
5
|
6,86
|
вывоз на
предприятия Втормета
|
|
лом и отходы,
содержащие незагрязненные черные металлы в виде изделий, кусков,
несортированные (грозотрос) 4 61 010 01 20 5
|
твердые
|
5
|
0,34
|
вывоз на
предприятия Втормета
|
Опыт эксплуатации высоковольтных линий показывает, что в
период эксплуатации отходы не образуются.
2. Перечень
мероприятий по предотвращению и (или) снижению возможного негативного
воздействия намечаемой хозяйственной деятельности на окружающую среду и
рациональному использованию природных ресурсов на период строительства и
эксплуатации объекта капитального строительства
2.1
Результаты расчетов приземных концентраций загрязняющих веществ, анализ и
предложения по предельно допустимым и временно согласованным выбросам
Строительно-монтажные (демонтажные) работы
В таблице 2.1, согласно ОНД-86, представлен расчет
целесообразности выполнения расчета рассеивания выбросов загрязняющих веществ в
атмосферу от строительной техники и сварочных работ.
Таблица 2.1 - Расчет целесообразности выполнения расчета
рассеивания выбросов загрязняющих веществ в атмосферу от строительной техники и
сварочных работ
|
Код
|
Наименование
загрязняющего вещества
|
Сзв, г/с
|
ПДКм. р., мг/м3
|
Сзв/ПДКм. р.
|
Выполнение условия
Сзв/ПДК<0,1
|
|
0301
|
Азота диоксид
(Азот (IV) оксид)
|
0,066
|
0, 20
|
0,33
|
+
|
|
0304
|
Азот (II) оксид
(Азота оксид)
|
0,010
|
0,40
|
0,025
|
-
|
|
0328
|
Углерод (Сажа)
|
0,012
|
0,15
|
0,08
|
-
|
|
0330
|
Сера
диоксид-ангидрид сернистый
|
0,007
|
0,50
|
0,014
|
-
|
|
0337
|
Углерод оксид
|
0,093
|
5,00
|
0,02
|
-
|
|
0123
|
Железа оксид
(ПДКс. с.)
|
0,002
|
0,04
|
0,05
|
-
|
|
0143
|
Марганец и его
соединения
|
0,0002
|
0,01
|
0,02
|
-
|
|
2908
|
Пыль
неорганическая (70-20% SiO2)
|
0,0003
|
0,30
|
0,001
|
-
|
|
0344
|
Фториды плохо
растворимые
|
0,0006
|
0, 20
|
0,003
|
-
|
|
0342
|
Фториды
газообразные
|
0,0002
|
0,02
|
0,010
|
-
|
Согласно ОНД-86, п.5.21 необходимо выполнить расчет
рассеивания выбросов загрязняющих веществ в атмосферу от строительной техники и
сварочных работ. Результаты расчета рассеивания выбросов загрязняющих веществ в
атмосферу приведены в таблице 2.2 и представлены в Приложении Е.
Таблица 2.2 - Результаты расчета рассеивания выбросов
загрязняющих веществ в атмосферу
|
Код
|
Наименование
загрязняющего вещества
|
ПДКм. р, мг/м3
|
Фон (0,4 ПДКм.
р, мг/м3)
|
Приземная
концентрация в точках максимума
|
|
|
|
|
мг/м3
|
долей ПДК
|
|
0123
|
Железа оксид
(ПДКс. с.)
|
0,04
|
0,016
|
0,016
|
0,40
|
|
0143
|
Марганец и его
соединения
|
0,01
|
0,004
|
0,0042
|
0,42
|
|
0301
|
Азота диоксид
(Азот (IV) оксид)
|
0, 20
|
0,080
|
0,142
|
0,71
|
|
0304
|
Азот (II) оксид
(Азота оксид)
|
0,40
|
0,160
|
0,172
|
0,43
|
|
0328
|
Углерод (Сажа)
|
0,15
|
0,060
|
0,072
|
0,48
|
|
0330
|
Сера
диоксид-Ангидрид сернистый
|
0,50
|
0, 200
|
0, 205
|
0,41
|
|
0337
|
Углерод оксид
|
5,00
|
2,000
|
2,100
|
0,42
|
|
0342
|
Фториды
газообразные
|
0,02
|
0,008
|
0,0082
|
0,41
|
|
0344
|
Фториды плохо
растворимые
|
0, 20
|
0,080
|
0,080
|
0,40
|
|
2704
|
Бензин
(нефтяной, малосернистый)
|
5,00
|
2,000
|
2,000
|
0,40
|
|
2732
|
Керосин
|
1, 20
|
0,480
|
0,492
|
0,41
|
|
2908
|
Пыль
неорганическая (70-20% SiO2)
|
0,30
|
0,120
|
0,120
|
0,40
|
|
Группы суммации
|
|
6046
|
Углерода оксид
и пыль цементного производства
|
1,00
|
0,40
|
0,020
|
0,02
|
|
6053
|
Фтористый
водород и плохо растворимые соли фтора
|
1,00
|
0,40
|
0,010
|
0,01
|
|
6204
|
Серы диоксид,
азота диоксид
|
1,60
|
0,64
|
0,32
|
0, 20
|
|
6205
|
Серы диоксид и
фтористый водород
|
1,80
|
0,72
|
0,018
|
0,01
|
Фоновые концентрации в расчете рассеивания приняты согласно
ОНД-86, п.7.6 "Методика расчета концентраций в атмосферном воздухе вредных
веществ, содержащихся в выбросах предприятий". Из приведенных выше
результатов можно сделать вывод, что максимально-секундные выбросы загрязняющих
веществ от строительной техники и от сварочных постов, образующиеся в период
строительства ВЛ 110 кВ "Лебеди - ГПП-7" 1,2 цепь и ВЛ 110 кВ
"Лебеди - ГПП-7" 3,4 цепь, незначительны, носят кратковременный
характер и не повлекут каких-либо значительных изменений состава атмосферного
воздуха в районе проведения работ. Эксплуатационные (регламентные) работы. В
период эксплуатации проектируемых ВЛ 110 кВ нет источников выбросов
загрязняющих веществ в атмосферу.
2.2
Обоснование решений по очистке сточных вод и утилизации обезвреженных
элементов, по предотвращению аварийных сбросов сточных вод
Эксплуатация проектируемых ВЛ 110 кВ не предусматривает
образование и сброс сточных вод, поэтому мероприятия по очистке сточных вод,
утилизации обезвреженных элементов и аварийных сбросов сточных вод в настоящем
томе не рассматриваются.
2.3
Мероприятия по охране атмосферного воздуха
Период строительства
В период строительства значительную часть выбросов
загрязняющих атмосферный воздух составляют выхлопные газы строительных машин и
механизмов, сжигающих топливо. Поэтому основные мероприятия по уменьшению
загрязнения атмосферного воздуха, при выполнении строительных работ, в первую
очередь, должны быть направлены на уменьшение общего количества выбросов от
строительной техники, имеющей двигатели внутреннего сгорания.
С целью уменьшения негативного воздействия на атмосферный
воздух предусмотрены мероприятия организационно-технического характера в период
выполнения строительно-монтажных работ, к которым относятся:
- использование при строительстве машин и
механизмов, находящихся в исправном состоянии, с рабочими характеристиками,
удовлетворяющими экологическим нормам;
- поддержание техники в исправном состоянии
за счет проведения в установленное время техосмотра, техобслуживания и
планово-предупредительного ремонта;
- перевозка сыпучих материалов в
автосамосвалах, с покрытием их тентом или брезентом;
- запрещение мойки машин и механизмов вне
специально отведенных мест.
Кроме того, для снижения выбросов в атмосферу необходимо:
- исключить работу машин вхолостую
(например, при погрузке и в других случаях);
- обеспечить машины и механизмы топливом
соответствующего качества.
Вышеперечисленные мероприятия не требуют существенных затрат
и не приводят к снижению производительности.
Период эксплуатации
При эксплуатации проектируемых ВЛ 110 кВ нет источников
выбросов загрязняющих веществ в атмосферу, поэтому мероприятия по охране
атмосферного воздуха в период эксплуатации в настоящем томе не рассматриваются.
2.4
Мероприятия по оборотному водоснабжению
Система оборотного водоснабжения, применительно к
проектируемым ВЛ 110 кВ не нужна, поэтому мероприятия по оборотному
водоснабжению в настоящем томе не рассматриваются.
2.5
Мероприятия по охране и рациональному использованию земельных ресурсов и
почвенного покрова
При производстве строительных работ не допускается:
- складирование на почве бракованных
строительных и обтирочных материалов (ГОСТ 17.4.304-85);
- попадание горюче-смазочных материалов и
рабочей жидкости на почву при заправке и эксплуатации машин;
- передвижение машин по растительному
покрову и посевам, наезд на деревья и складирование конструкций на насаждения.
В период строительства передвижение строительных машин и
механизмов на землях сельскохозяйственного назначения допускается только по
предусмотренному для этого проезду по оси полосы временного отвода.
К мероприятиям по охране и рациональному использованию
земельных ресурсов и почвенного покрова относится рекультивация нарушенных
земель и работы по восстановлению земель, используемых под временный проезд для
строительной техники, которые в период эксплуатации используются по
сельскохозяйственному назначению.
Рекультивация, согласно ГОСТ 17.5.1.01-83 [12], представляет
собой комплекс работ, направленных на восстановление продуктивности и
народнохозяйственной ценности нарушенных земель, а также на улучшение условий
окружающей среды в соответствии с интересами общества. Рекультивацию земель
выполняют в два этапа:
- технический
этап рекультивации земель;
- биологический
этап рекультивации земель.
Рекультивация земель, по требованиям ГОСТ 17.5.3.05-84 [13],
должна проводиться с учетом природно-экономической характеристики
рекультивируемых земель, а также направлений их дальнейшего использования.
Технический этап рекультивации земель включает их подготовку
для последующего целевого хозяйственного использования. Поскольку трасса
проектируемой ВЛ-110 кВ в большей мере находится в черте агроценозов (см. Том
0534. Н2Л06-ИЭ), то рациональным направлением проводимой рекультивации является
сельскохозяйственное направление с восстановлением плодородия пахотных земель и
использованием этого участка под сельскохозяйственные угодья.
Биологическая рекультивация земель включает комплекс
агротехнических и фитомелиоративных мероприятий по восстановлению плодородия
нарушенных земель [12, 13] и восстановлению растительности.
Для монтажа одной опоры типа П220-2т, П220-2т+5 и П330-2т+5
проектными решениями предусмотрено монтажную площадку площадью 560,0 м2.
Общее количество данных типов опор, используемых при строительстве ВЛ 110 кВ
"Лебеди - ГПП-7" 1,2 и 3,4 цепи, составляет 50 шт. Площадь
рекультивации составляет 28000,0 м2.
Для монтажа одной опоры типа У220-2т, У220-2т+5, У220-2т+14 и
У220-2т+9 проектными решениями предусмотрено монтажную площадку площадью 630,0
м2. Общее количество данных типов опор, используемых при
строительстве ВЛ 110 кВ "Лебеди - ГПП-7" 1,2 и 3,4 цепи, составляет
31 шт. Площадь рекультивации составляет 19530,0 м2.
Для монтажа одной опоры типа У330-2т+14 и У330-2т+9
проектными решениями предусмотрено монтажную площадку площадью 700,0 м2.
Общее количество данных типов опор, используемых при строительстве ВЛ 110 кВ
"Лебеди - ГПП-7" 1,2 и 3,4 цепи, составит 4 шт. Площадь рекультивации
составляет 2800,0 м2.
Для строительства проектируемы ВЛ 110 кВ проектными решениями
предусмотрено строительство, в коридоре проектируемых ВЛ,
материально-технической базы площадью 4949,0 м2.
Общая площадь рекультивации нарушенных земель, после
окончания строительства ВЛ 110 кВ "Лебеди - ГПП-7" 1,2 и 3,4 цепи,
составит 55279,0 м2 (5,528 га).
Полоса временного отвода включает в себя следующие
территории: земли сельскохозяйственного назначения протяженностью 7,7 км,
участок трассы ВЛ-110 проходящий над отстойником ОАО "Лебединский
ГОК" - 0,454 км, участок трассы ВЛ-110 кВ проходящий по техногенным
территориям ОАО "Лебединский ГОК" - 1,9 км.
При выполнении строительно-монтажных работ ВЛ 110 кВ
"Лебеди - ГПП-7", по оси полосы временного землеотвода, на землях
сельскохозяйственного назначения, проектными решениями, на период
строительства, предусматривается проезд для движения строительных машин
и механизмов. Длина указанного проезда по сельскохозяйственным землям в полосе
временного отвода - 7,7 км, а ширина - 8 м. Общая площадь проезда в полосе
временного отвода - 6,16 га. После окончания строительно-монтажных работ на
данной площади проезда предусмотрена вспашка верхнего слоя почвы и возвращение
земель в сельскохозяйственный оборот.
Технический этап рекультивации
При проведении технического этапа рекультивации выполняются
нижеследующие работы.
1. Подготовительные работы
Перед началом строительно-монтажных работ выполняется снятие
верхнего почвенно-растительного (плодородного) слоя на глубину 0,6 м, под
каждую монтажную площадку.
Расчет норм снимаемого плодородного слоя определен в
соответствии с ГОСТ 17.5.3.06-85 [14].
Согласно выполненных инженерно-экологических изысканий, на
участке проектирования лини ВЛ опоры № 98-104, 106, 108, 125-130, 132-135,
располагаются на техногенно-нарушенных почвогрунтах, которые не представляют
природно-хозяйственной ценности. Поэтому на данных участках снимаемый слой
почво-грунтов составляет 20 см.
Снятый плодородный слой почвы складироваться в
непосредственной близости к монтажной площадке в отведенном коридоре
строительства проектируемой ВЛ, с целью его повторного использования.
Объем изымаемого плодородного слоя с монтажных площадок для
опор типа П220-2т, П220-2т+5 и П330-2т+5 составляет 13440,0 м3:
19600,0 м2 * 0,6 м = 11760,0 м3; и
8400,0 м2 * 0,2 м = 1680,0 м3.
Объем изымаемого плодородного слоя с монтажных площадок для
опор типа У220-2т, У220-2т+5, У220-2т+14 и У220-2т+9 составляет 9450,0 м3:
,0 м2 * 0,6 м = 8316,0 м3; и 5670,0 м2
* 0,2 м = 1340,0 м3.
Объем изымаемого плодородного слоя с монтажных площадок для
опор типа У330-2т+14 и У330-2т+9 составляет 1680,0 м3:
,0 м2 * 0,6 м = 1680,0 м3.
Объем изымаемого плодородного слоя с территории расположения
материально-технической базы составляет 2969,0 м3:
,0 м2 * 0,6 м = 2969,0 м3.
Общий объем изымаемого плодородного слоя, по всем монтажным
площадкам составит 13440,0+9450,0+ 1680,0+2969,0= 27539,0 м3.
2. Общая планировка участка рекультивации
После завершения строительно-монтажных работ выполняется
полная очистка участков рекультивации от строительного и бытового мусора. Выполняется
общая планировка поверхности участков рекультивации.
. Отсыпка плодородного слоя почвы
После проведения общей планировки участков рекультивации
выполняется отсыпка плодородным слоем.
Отсыпается слой почвогрунтов, складированный непосредственно
возле каждого участка рекультивации. Отсыпка выполняется равномерным слоем
мощностью 0,6 м и 0,2 м для техногенно-нарушеных по всей площади участков
рекультивации. Общий объем отсыпаемой почвы составляет - 27539,0 м3.
Биологический этап рекультивации
Биологическая рекультивация является последующим этапом
технической рекультивации, целью которой служит восстановление плодородного
слоя почвы и растительности с помощью комплекса агротехнических и
фитомелиоративных мероприятий.
Многолетние культуры, культивируемые на участке
рекультивации, в первую очередь используются для противоэрозионных целей. Они
предотвращают дефляцию (ветровую эрозию) плодородного слоя почвы, защищают от
смыва и процесса образования оврагов.
Посев культур многолетних трав предполагает создание
благоприятных условий для почвообразовательного процесса, формирования
структуры почвы, поднятие аэрации почвы. Посев бобовых многолетников, как
известно, сопровождается азотфиксацией в почве, то есть накопление азота, необходимого
для нормального роста и развития всех растений. Развитие растительных сообществ
ведет к образованию нормального микробоценоза и заселению рекультивируваемых
земель почвенной мезофауной.
Подбор видового состава многолетних трав выполняется по
зональному географическому принципу, принимая во внимание такие качества как
морозостойкость, засухоустойчивость, требовательность к почвенному плодородию,
быстрота роста, фитомелиоративные свойства и др. Таким качествам соответствуют
бобово-злаковые травосмеси многолетних трав, состоящие из ежи сборной, люцерны
синегибридной и тимофеевки луговой.
Биологическая рекультивация земель выполняется на площади
55279,0 м2 (5,528 га).
Внесение минеральных и органических удобрений в верхний
плодородный слой почвы
Минеральные удобрения вносятся в верхний плодородный слой
почвы из расчета необходимого количества на 1 га:
- суперфосфата -
50 кг;
- сульфата
аммония - 50 кг;
- хлористого
калия - 50 кг,
- органические
удобрения (навоз) - 20 т.
Боронование поверхности участка рекультивации
Боронование поверхности участка выполняется с целью
перемешивания плодородного слоя почвы и удобрений.
Посев многолетних трав
Выполняется посев нескольких видов местных многолетних
неприхотливых и быстрорастущих видов трав смесью семян из расчета:
- ежа сборная
(12 кг/га);
- люцерна
синегибридная (12 кг/га);
- тимофеевка
луговая (9,5 кг/га).
Посев трав производится гидросмесью в сухую безветренную
погоду при температуре воздуха не ниже 14-15°С.
2.6
Мероприятия по сбору, использованию, обезвреживанию, транспортировке и
размещению опасных отходов
К мероприятиям по сбору, использованию, обезвреживанию,
транспортировке и размещению опасных отходов относятся:
- на строительной площадке должен быть
разработан План по обращению с образующимися отходами, включающий весь круг
вопросов, связанных со сферой обращения с отходами. От момента образования
конкретного вида отхода, до его вывоза за пределы строительной площадки на
предприятия (организации), имеющие соответствующие лицензии на обезвреживание и
размещение;
- для обеспечения безопасного обращения с
отходами на участке строительства оборудуются места (площадки) и емкости для
сбора образующихся отходов в соответствии с установленными правилами (по классу
опасности), нормативами и требованиями в области обращения с отходами;
- ответственность за безопасное обращение с
отходами и порядком осуществления производственного контроля в области
обращения с отходами возлагается на уполномоченных представителей строительных
компаний, ответственных за вопросы охраны окружающей среды;
- лица, ответственные за безопасное
обращение с отходами назначаются приказом руководителя строительной компании и
получают профессиональную подготовку, подтвержденную свидетельствами и
сертификатами на право работы с опасными отходами. Периодически должен
проводиться инструктаж персонала о правилах обращения с отходами;
- в целях безопасного обращения с отходами
на участке строительства должны быть разработаны "Инструкции по обращению
с отходами применительно к конкретным видам отходов", образующихся на
участке строительства;
- обслуживание строительной техники на
промплощадке ПС запрещено.
Принятый технологический процесс обеспечивает максимально
возможное сокращение образования производственных отходов.
Минимизация образования отходов в период
строительства (реконструкции) и способы их утилизации (размещения)
Согласно "Правилу разработки и применения нормативов
трудноустранимых потерь и отходов материалов в строительстве" от
01.01.1997 г. определено количество основных строительных отходов, образующихся
при строительстве проектируемых сооружений.
С учетом выполнения вышеуказанных требований, можно сделать
вывод, что образование отходов при строительстве ВЛ 110 кВ от ПС 330 кВ
"Лебеди" до ПС 110 кВ ГПП-7 1,2 и 3,4 цепи будет минимальным. Отходы
вывозятся специализированным автотранспортом, по назначению, в отведенные
места.
2.7
Мероприятия по охране недр
Согласно письма отдела геологии и лицензирования по
Белгородской и Курской областям №10БЕЛ-10/612 от 22.06.2015, коридор
проектируемых ВЛ 110 кВ от ПС 330 кВ Лебеди до ПС 110 кВ ГПП-7 пересекает
контур Салтыковского месторождения железных руд.
Строительство и эксплуатация проектируемых ВЛ 110 кВ не
предполагает разработку и добычу полезных ископаемых.
2.8
Мероприятия по охране объектов растительного и животного мира и среды их
обитания
При строительстве проектируемого объекта необходимо строгое
выполнение проектных решений, что позволит исключить загрязнение прилегающих
территорий за пределами отведенного участка строительными и бытовыми отходами.
После проведения строительно-монтажных работ проектными
решениями предусмотрены мероприятия по рекультивации земель, направленные на
восстановление плодородного слоя почвы.
Работы по озеленению ведутся в теплое время года с
использованием срезанного плодородного слоя грунта и привозного специального
субстрата с посевным материалом.
Значительная часть негативного воздействия линейных объектов,
таких как оросительные каналы, железные дороги, газопроводы и другие, на
окружающие биоценозы, связано с нарушением путей миграций (сезонных, суточных,
периодических) животных.
В отличие от других линейных объектов воздушные линии
электропередач не являются преградой для передвижения животных, поэтому каких
либо специальных мероприятий для охраны животных не предусматривается.
2.9
Мероприятия по минимизации возникновения возможных аварийных ситуаций на
объекте капитального строительства и последствий их воздействия на экосистему
региона
Сейсмичность территории строительства проектируемых ВЛ 110 кВ
определена в соответствии со СП 14.13330.2011 (СНиП II-7-81*) и комплектом карт
общего сейсмического районирования территории Российской Федерации ОСР-97 и
составляет 5 баллов.
В качестве рекомендаций по минимизации возможных аварийных
ситуаций и охране окружающей среды проектом предусмотрены антисейсмические швы.
2.10
Мероприятия, технические решения и сооружения, обеспечивающие рациональное
использование и охрану водных объектов, а также сохранение водных биологических
ресурсов (в том числе предотвращение попадания рыб и других водных
биологических ресурсов в водозаборные сооружения) и среды их обитания, в том
числе условий их размножения, нагула, путей миграции
Река Осколец является ближайшим, к коридору проектируемых ВЛ
110 кВ, водным объектом и протекает на расстоянии 7,6 км к северо-западу от
коридора. Протяженность р. Осколец составляет 45 км.
Согласно Водному кодексу Российской Федерации" от
03.06.2006 N
74-ФЗ (ред. от 28.06.2014), ст.65 ширина водоохранной зоны реки составляет 100
м.
Значительное удаление проектируемого объекта от р. Осколец,
отсутствие строительно-монтажных работ в границах водоохранной зоны, а также
отсутствие водозабора и водосброса в реку исключают негативное воздействие от
намечаемой деятельности на водные биологические ресурсы.
С учетом вышеизложенного, мероприятия по данному вопросу в
настоящем томе не рассматриваются.
2.11
Программа производственного экологического контроля (мониторинга) за характером
изменения всех компонентов экосистемы при строительстве и эксплуатации объекта,
а также при авариях
Основной целью экологического мониторинга является:
- своевременное выявление и прогнозирование
развития негативных процессов, влияющих на состояние окружающей среды;
- оценка состояния окружающей природной
среды и степени техногенной нагрузки на нее;
- прогноз изменений природной среды и
разработка мер по ее реабилитации.
Программа экологического мониторинга разрабатывается для
снижения уровня воздействия на окружающую среду до таких значений
(нормативных), при которых природные системы не утрачивают способности к
самовосстановлению.
Проектируемые ВЛ 110 кВ будет оказывать следующие виды
воздействий на окружающую среду:
При строительстве:
. Воздействие на атмосферный воздух:
- выбросами загрязняющих веществ от
строительной и автотранспортной техники;
- шум от строительной и автотранспортной
техники;
- образование
отходов.
2. Воздействие на почвогрунты:
- образование
отходов;
- установка
фундаментов опор;
- наличие
монтажных площадок.
При эксплуатации - потенциальное возможно отрицательное воздействие
на почвогрунты связанное с аварийными ситуациями (обрыв провода).
Выбросы загрязняющих веществ от автотранспорта, в период
выполнения строительно-монтажных работ, будут незначительны, ввиду относительно
небольшого масштаба строительных работ. Контроль загрязнения атмосферного
воздуха в период строительства выполнять нецелесообразно.
Нормативный максимальный уровень шума для территорий,
непосредственно прилегающих к жилым домам в дневное время - 70,0 дБА, СН
2.2.4/2.1.8.562-96 табл.3, п.9, достигается на расстоянии около 6 м от
источников шума. Значительное удаление ближайшей жилой застройки и
кратковременность выполнения работ на каждом участке трассы, позволят исключить
акустический дискомфорт населения в период выполнения строительно-монтажных работ.
Поэтому контроль уровня шума от строительной техники
выполнять нецелесообразно, а рабочие при работе с шумными механизмами,
обеспечиваются средствами индивидуальной шумозащиты (наушники, бируши).
Образующиеся отходы собирают и складируют раздельно по видам,
в специальную тару, что сводит к минимуму воздействие на почвогрунты. По
окончании строительно-монтажных работ выполняется рекультивация нарушенных
земель. Поэтому, в контроле загрязнения почвогрунтов нет необходимости.
С учетом вышеизложенного, в разработке программы комплексного
экологического мониторинга компонентов окружающей среды, в период выполнения
строительно-монтажных работ, а также в период эксплуатации нет необходимости.
3. Перечень и
расчет затрат на реализацию природоохранных мероприятий и компенсационных
выплат
Затраты на реализацию природоохранных мероприятий и
компенсационных выплат включают:
- плату за размещение и утилизацию отходов
при строительстве;
- плату за рекультивацию нарушенных земель.
Наименование отходов, код отходов, класс опасности,
количество и другие характеристики прогнозируемых отходов, определены согласно
"Критериям отнесения опасных отходов к классу опасности для окружающей
природной среды" и в соответствии с Федеральным классификационным
каталогом отходов (ФККО), утв. Приказом Росприроднадзора от 18.07.2014 N 445 и
зарегистрированного в Минюсте России 01.08.2014 N 33393.
Объемы компенсационных выплат (прогнозируемые), рассчитанные
в соответствии с Постановлением Правительства РФ от 12 июня 2003 №344 "О
нормативах платы за выбросы в атмосферный воздух загрязняющих веществ
стационарными и передвижными источниками, сбросы загрязняющих веществ в
поверхностные и подземные водные объекты, размещение отходов производства и
потребления" (с изменениями на 1 июля 2005 года) и приведены в таблице
3.1.
Таблица 3.1 - Объемы компенсационных выплат при выполнении
строительно-монтажных работ
|
Наименование
отходов
|
Класс опасности
|
Код по код
ЗВ/ФККО
|
Количество
выбросов (отходов), т
|
Норматив платы,
руб/т
|
Плата*, руб
|
|
плата за размещение
твердых бытовых отходов образующихся при строительно-монтажных работах
|
|
мусор от
офисных и бытовых помещений организаций несортированный (исключая
крупногабаритный) от работников бригады
|
4
|
7 33 100 01 72
4
|
2,325
|
248,4
|
577,53
|
|
обтирочный
материал, загрязненный нефтью или нефтепродуктами (содержание нефти или
нефтепродуктов менее 15%)
|
4
|
9 19 204 02 60
4
|
0,425
|
248,4
|
105,57
|
|
остатки и
огарки стальных сварочных электродов
|
5
|
9 19 100 01 20
5
|
0,020
|
8,00
|
0,16
|
|
лом
электротехнических изделий из алюминия (провод, голые жилы кабелей и шнуров,
шины распределительных устройств, трансформаторов, выпрямители)
|
5
|
4 62 200 02 51
5
|
6,86
|
8,00
|
54,88
|
|
лом и отходы,
содержащие незагрязненные черные металлы в виде изделий, кусков,
несортированные (грозотрос)
|
5
|
4 61 010 01 20
5
|
0,34
|
8,00
|
2,72
|
|
Всего:
|
740,86
|
|
|
|
|
|
|
|
|
|
Плата рассчитывается с учетом коэффициентов для
Центрально-Черноземного экономического региона (1,5 - воздух, 2,0 - почва), и
коэффициента 2,45, согласно Федеральному закону Российской Федерации от 1
декабря 2014 г. N 384-ФЗ "О федеральном бюджете на 2015 год и на плановый
период 2016 и 2017 годов".
Компенсационные выплаты при строительстве оплачиваются
одноразово.
Плата за размещение отходов производства и потребления
составит:
,86 х 2 х 2,45 = 3630,21 руб.;
Плата за технический и биологический этапы рекультивации
нарушенных земель в коридоре проектируемой линии ВЛ 110кВ составит:
,0+20429,0=130361,0 руб.
Плата за проведение работ по восстановлению земель
сельскохозяйственного назначения, используемых под временный проезд для
строительной техники, по оси полосы временного отвода, составит 20120,78 руб.
Таким образом, в проекте учтено возможное отрицательное
воздействие на окружающую среду при реализации проектных решений, мероприятия
по его снижению и компенсационные платежи.
4. Перечень
нормативной документации
1 Постановление от 16 февраля 2008 № 87 "О
составе разделов проектной документации и требованиях к их содержанию".
2 РД 153-34.1-02.208-2001. Рекомендации по разработке
проекта нормативов образования и лимитов размещения отходов для предприятий
тепловых сетей.
Федеральный классификационный каталог отходов
(ФККО), утв. Приказом Росприроднадзора от 18.07.2014 N 445.
4 Сборник удельных показателей образования отходов
производства и потребления. М., 1999.
5 ГН 2.2.5.1313-03 "Предельно допустимые
концентрации (ПДК) вредных веществ в воздухе рабочей зоны".
ОНД-86. Методика расчета концентраций в атмосферном
воздухе вредных веществ, содержащихся в выбросах предприятий.Л., 1987 г.
"Методике расчета выделений (выбросов)
загрязняющих веществ в атмосферу при сварочных работах (по величинам удельных
выделений). Санкт-Петербург, 2000".
8 СН 2.2.4/2.1.8.562-96 Шум на рабочих местах, в
помещениях жилых, общественных зданий и на территории жилой застройки.
СП 51.13330.2011 Актуализированная редакция СНиП
23-03-2003 "Защита от шума".
10 СНиП 23-03-2003 "Защита от
шума".
11 ГН 2.1.6.1338-03 Предельно допустимые концентрации
(ПДК) загрязняющих веществ в атмосферном воздухе населенных мест.
ГОСТ 17.5.1.01-83 Рекультивация земель. Термины и
определения.
ГОСТ 17.5.3.05-84 Рекультивация земель. Общие
требования к землеванию.
ГОСТ 17.5.3.06-85 Земли. Требования к определению
норм снятия плодородного слоя почвы при производстве земляных работ.
Приложения
Приложение А
РАСЧЕТ ОБРАЗОВАНИЯ ОТХОДОВ
Расчет образования отходов при строительстве
Мусор от офисных и бытовых помещений организаций
несортированный (исключая крупногабаритный) - от работников бригады.
Максимальное количество работающих в смену при строительстве составляет 50
человек. Код в соответствии с ФККО: 7 33 100 01 72 4
Период строительства ВЛ - 9 мес.
Количество отходов ТБО от работников бригады рассчитывается
по формуле:
,
где
- количество персонала, чел.;
- удельный норматив образования ТБО в год, кг/чел, (0,062 т/чел.
год или 0,0465 т/чел х 9 мес.).
.
Остатки и огарки стальных сварочных электродов (код по ФККО 9 19
100 01 20 5) рассчитывается по формуле:
,
- масса стальных сварочных электродов, используемых на
производственных участках, т;
- удельный норматив образования отходов сварочных электродов, %.
кг.
Обтирочный материал загрязненный маслами (содержание масел 15% и
более) при использовании автотранспортной техники (код по ФККО 9 19 204 02 60
4) рассчитывается по формуле:
При строительстве ВЛ 110 кВ используется грозотрос. Общая длинна
двух проектируемых линий составляет 20,6км. Масса грозотроса 0,544т/км.
Норматив образования отхода - 3% от общей массы.
,6*0,544*3%=0,34т.
Лом электротехнических изделий из алюминия (провод, голые жилы
кабелей и шнуров, шины распределительных устройств, трансформаторов,
выпрямители) 4 62 200 02 51 5
При строительстве ВЛ 110кВ используется провод АС-500/64. Общая
длинна провода по двум проектируемых ВЛ составляет 123,457 км. Масса провода
1852 кг/км. Норматив образования отхода - 3% от общей массы.
123,457*1,852*3%=6,86т.
Приложение
Б