Модель оценки финансовой устойчивости организаций по добыче угля

  • Вид работы:
    Курсовая работа (т)
  • Предмет:
    Финансы, деньги, кредит
  • Язык:
    Русский
    ,
    Формат файла:
    MS Word
    127,75 Кб
  • Опубликовано:
    2016-10-01
Вы можете узнать стоимость помощи в написании студенческой работы.
Помощь в написании работы, которую точно примут!

Модель оценки финансовой устойчивости организаций по добыче угля

Введение

финансовый устойчивость нечеткий логика

На сегодняшний день экономическая деятельность компаний является объектом пристального внимания большого количества участников рыночных отношений. Прямым результатом данной деятельности организаций является уровень финансового состояния. В свою очередь, одним из основных показателей финансового состояния является финансовая устойчивость.

Финансовое состояние - это способность предприятия финансировать свою деятельность. Финансовая устойчивость - это характеристика предприятия, которая свидетельствует о стабильном положении организации.

На фоне кризиса в экономике важно часто возникает необходимость оценки финансовой устойчивости организации. Своевременная оценка финансовой устойчивости предприятия позволяет руководству принять определенные меры заблаговременно и повысить конкурентоспособность организации на рынке, а также скорректировать и более точно определить дальнейший вектор развития предприятия.

В данной работе разработана модель оценки финансовой устойчивости организаций в отрасли добычи каменного угля, бурого угля и торфа. Актуальность работы заключается в том, что существует разительно малое количество работ, посвященных данной проблеме исследования в отрасли добычи каменного угля, бурого угля и торфа. Более того, область нечеткой логики мало изучена, а оптимальные границы использования аппарата нечеткой логики еще не определены. Поэтому разработка модели оценки финансовой устойчивости организаций приобретает особую практическую значимость.

Говоря о новизне данной работы следует отметить, что в России слабо развито исследование систем с использованием аппарата нечеткой логики. К примеру международную лабораторию нечетко-множественных исследований в области экономики IFEL Rus (International Fuzzy Economics Lab) учредили лишь в 2010 году. Некоторые исследования на данную тему проводились Недосекиным А.О. [9], Карповой Н.А.[4], Абгаряном М.В [1]. и другими, но не было выявлено исследований по данной отрасли с использованием аппарата нечеткой логики. Более того, в каждой из вышеперечисленных работ использовались различные подходы к построению системы нечеткого вывода. Так и в данной работе будет использован оригинальный подход.

Целью данной работы является построение модели оценки финансовой устойчивости организаций с помощью аппарата нечеткой логики в отрасли добычи каменного угля, бурого угля и торфа.

В соответствии с поставленной целью были обозначены следующие задачи: на основе совокупности показателей финансовой устойчивости компаний построить систему нечеткого вывода, определить уровень финансовой устойчивости для каждой компании из выбранной отрасли. Дать краткое описание финансовой устойчивости отрасли добычи каменного угля, бурого угля и торфа.

Объектом исследований являются компании отрасли добычи каменного угля, бурого угля и торфа.

Предметом исследования является финансовая устойчивость компаний отрасли добычи каменного угля, бурого угля и торфа.

Глава 1. Теоретические основы и обзор литературы

 

.1 Финансовая устойчивость компании


С развалом советского союза в нашей стране на смену плановой экономике пришли рыночные отношения. В связи с этим произошло усиление роли финансовых показателей различных предприятий. Одним из важнейших финансовых показателей является показатель финансовой устойчивости предприятия.

В рыночных условиях финансовая устойчивость выступает в роли основного залога стабильного положения организации. Данный показатель отражает состояние финансовых ресурсов организации и открывает возможности для определения слабых мест и повышение эффективности обращения финансовых инструментов компании. То есть при анализе финансовой устойчивости организации мы можем определить, насколько эффективно организация управляла своими финансовыми ресурсами и использовала финансовые инструменты.

Теперь важно рассмотреть определение термина финансовая устойчивость. В работе Масленковой О.Ф. [8] финансовая устойчивость предприятия определяется, как "характеристика, свидетельствующая о стабильном превышении доходов над расходами, свободном маневрировании денежными средствами предприятия и эффективном их использовании, бесперебойном процессе производства и реализации продукции." Основной задачей анализа финансовой устойчивости организации является оценка величины и структуры активов и пассивов, что можно осуществить различными методами. В статье Капанадзе Г.Д [4]выделяются несколько основных методов оценки финансовой устойчивости компаний:

·        Метод оценки чистых активов;

·        Коэффициентный метод;

·        Метод оценки обеспеченности собственными оборотными средствами;

·        Анализ и оценка динамики структуры активов

Рассмотрим вышеперечисленные методы более подробно. Метод оценки чистых активов. Данный метод оценки финансовой устойчивости организации на территории Российской Федерации регулируется документом "Порядок оценки стоимости чистых активов акционерных обществ", приказ Минфина РФ № 10н, ФКЦБ РФ № - 3-6/пз от 29.01.2003. Согласно данному документу активы подразделяют на оборотные и внеоборотные, а оборотные подразделяются на включаемые и не включаемые в расчет. Учитывая все вышесказанное формула чистых активов выглядит следующим образом:

Чистые Активы = Внеоборотные активы, которые подлежат включению в расчет + Оборотные активы, которые подлежат включения в расчет - Оборотные активы, которые подлежат исключению из расчета - Обязательства предприятия;

Полученное значение чистых активов позволяет понять, в какой мере активы организации превышают ее обязательства.

Тем не менее, с момента введения приказа Минфина РФ № 10н произошло множество изменений в методике подсчета чистых активов. В большинстве своем это обусловлено тем, что российские учетные стандарты все больше приближаются к Международным Стандартам Финансовой Отчетности. Помимо этого, российская система бухгалтерского учета совершенствуется в том числе и самостоятельно. Состав показателей бухгалтерского баланса порядком изменился. Например, появились такие новые статьи калькуляции , как нематериальные и материальные поисковые активы. Очевидно, что необходимо скорректировать порядок расчета чистых активов, учитывая все современные реалии.

Коэффициентный метод. Данный метод чаще всего применяется при оценке финансовой устойчивости предприятий в Российской Федерации. На основе данного метода можно в конечном итоге сформировать обоснованное заключение, опираясь на разносторонние показатели финансовой отчетности организаций. Каждый из коэффициентов рассчитывается как элемент системы. Существует несколько общепринятых параметров, помогающих определить финансовую устойчивость предприятия. Рассмотрим основные из них.

·        Коэффициент финансовой автономии, также иногда используется термин " коэффициент концентрации собственного капитала". Данный коэффициент характеризует степень независимости предприятия от заемных средств.

·        Коэффициент финансовой зависимости. Если данный показатель увеличивается, то доли заемных средств в финансировании организации также растет.

·        Коэффициент соотношения заемных и собственных средств. Зачастую используется термин " плечо финансового рычага". Если данный коэффициент растет, то финансовая устойчивость предприятия снижается. ( Предприятие становится более зависимым от внешних источников).

·        Коэффициент маневренности собственного капитала. То есть с ростом коэффициента усиливается и финансовая устойчивость предприятия. При этом собственные средства предприятия достаточно мобильны и большая часть собственных средств вложена в оборотные активы.

·        Коэффициент концентрации заемного капитала. Данный параметр отражает долю заемного капитала в размере финансовых ресурсов организации. Соответственно, чем выше данный показатель, тем хуже финансовая устойчивость предприятия.

·        Коэффициент обеспеченности собственными средствами. Данный параметр показывает в какой мере собственный капитал участвует при формировании текущих активов.

·        Коэффициент обеспеченности запасов и затрат собственными средствами. Очевидно, что данный коэффициент показывает степень покрытия собственными средствами запасов и затрат. Очевидно, что, чем выше показатель, тем сильнее финансовая устойчивость предприятия.

·        Коэффициент текущей ликвидности . Данный параметр отражает степень способности организации погашать краткосрочные обязательства за счет оборотных активов. Соответственно, чем выше показатель, тем сильнее финансовая устойчивость предприятия.

Данный метод помогает определить финансовую устойчивость предприятия с помощью получения агрегированного показателя по всем значениям коэффициентов.

Важно отметить, что ни в отечественной, ни в зарубежной литературе нет более или менее четко регламентированного набора коэффициентов. В различных работах используются различные наборы финансовых коэффициентов. Например, Т.Б. Бердникова [2] рекомендует использовать девять различных финансовых коэффициентов.

Помимо этого, важно отметить ряд недостатков данного метода. Одним из недостатков является наличие некоторой неопределенности. Отчасти потому, что многие финансовые показатели подсчитываются разными способами и не совсем ясно, какому из способов придерживаться. Недостаток данного метода заключается в трудности объективного определения методов подсчета коэффициентов. Следующим недостатком является тот факт, что оптимальные границы показателей также рассчитываются для различных рынков. И в зависимости от методологии формирования величины активов и источников их финансирования и определяются оптимальные границы. В данной ситуации необходимо определять оптимальные границы, учитывая особенности региона или отрасли.

Метод оценки обеспеченности собственными оборотными средствами. Данный метод слабо распространен в мировой практике. Тем не менее, считается, что недостаток собственных оборотных средств является характерной чертой большого количества российских компаний. Наличие же собственного оборотного капитала - важный показатель финансовой устойчивости предприятия. В свою очередь, если собственный оборотный капитал отсутствует, то это означает что оборотные средства организации состоят только из заемных средств.

Про последний метод оценки финансовой устойчивости очень мало информации. В данном методе подробно рассматривается структура активов, проводится ее анализ и оценка с позиции создания предпосылок для обеспечения финансовой устойчивости компании.

Более того, необходимо отметить основные типы финансовой устойчивости организации. В работе Крайновой, Кулиной и Сатушкиной[6] выделяется 4 основных типа финансовой устойчивости предприятия:

.        Абсолютная финансовая устойчивость. В данном случае все затраты и запасы предприятия покрываются с помощью собственных оборотных средств. В данной ситуации организация независима от кредиторов и формально не является заемщиком. Но зачастую это можно рассматривать, как неправильную политику предприятия, которое не хочет использовать внешние источники финансирования для эффективного развития организации.

.        Нормальная финансовая устойчивость. В данной ситуации предприятие для покрытия затрат и запасов использует как собственные оборотные средства, так и долгосрочные займы. Многие исследователи считают, что данный тип финансовой устойчивости предприятия наиболее благоприятен для его развития.

.        Неустойчивое финансовое положение. В данном случае наблюдается нарушение платежеспособности предприятия. Тем не менее, ситуацию можно улучшить за сет привлечения дополнительных средств, либо сокращения дебиторской задолженности. Также возможно увеличить скорость обращения запасов.

.        Кризисное финансовое состояние. В подобном случае предприятие крайне близко к банкротству. В большинстве случаев все попытки привлечь дополнительные средства предприятия все равно не приводят к нужному результату, то есть дополнительно привлеченные средства все равно не покрывают кредиторскую задолженность или просроченные ссуды и прочее. Тем не менее и из данной ситуации есть возможность " выбраться". При определенных условиях можно сократить запасы, либо оптимизировать структуру запасов и прочее.

 

.2 Нечеткая логика


На сегодняшний день многие российские и мировые компании стремятся повысить свою эффективность путем освоения и применения новейших исследований. Одним из наиболее перспективных направлений в научных исследований в области прогнозирования, моделирования и анализа различных экономических процессов является нечеткая логика и мягкие вычисления. Термин нечеткая логика впервые был упомянут Лотфи Заде в 1965 году в журнале "Information and Control" . В своих трудах Л. Заде впервые вводит понятие лингвистической переменной и нечетких множеств, а в дальнейшем и понятие мягких вычислений..

Основные определения были взяты из работы Круглова, Дли и Голунова "Нечеткая логика и искусственные нейронные сети".

В данной работе нечеткое подмножество А универсального множества Е определяется как множество упорядоченных пар


где  - характеристическая функция принадлежности или просто функция принадлежности, которая может принимать значения на некотором множестве М. Более того, в большинстве случаев данное множество М принимают за компакт множество [0;1]. Данная функция показывает уровень принадлежности элемента х подмножеству А. Соответственно множество М является множеством принадлежностей.

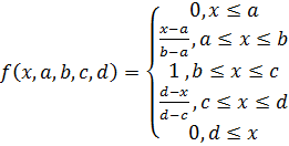
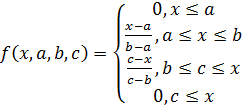
Помимо этого, важно рассмотреть основные виды функций принадлежности. В большинстве работ рассматриваются треугольные и трапецеидальные функции принадлежности.






Рис.1. Вид треугольной функции принадлежности.






Рис.2. Вид трапецеидальная функции принадлежности.

(a,b,c - некоторые произвольные числовые параметры, причем a≤b≤c)

·        Треугольная функция.


Трапецеидальная функция.


Зачастую, данные виды функций используются для того, чтобы задать такие свойства множеств, как " приблизительно равно", "находится в интервале" и прочее.

Более того, важно рассмотреть понятие лингвистической переменной, введенной Лотфи Заде в 1965 году. Определение лингвистической переменной выглядит следующим образом: переменная, значения которой представляют из себя слова или предложения естественного или искусственного языка. В терминах нечеткой логики лингвистическая переменная определяется как кортеж : . Разберем подробнее составляющие данного кортежа:

·        β - Название лингвистической переменной.

·        Т - базовое терм множество лингвистической переменной. Иначе говоря, это множество значений лингвистической переменной, то есть ее термов. Каждое из этих значений представляет собой отдельную нечеткую переменную. То есть формально это совокупность отдельных нечетких переменных. В свою очередь, нечеткая переменная определяется, как кортеж параметров , где  - наименование нечеткой переменной, Х - область определения нечеткой переменной,  , где x принадлежит заданному нечеткому множеству, которое определяет возможные значения нечеткой переменной.

·        G - синтаксическая процедура. Данная процедура позволяет генерировать новые термы и оперировать различными элементами терм-множества.

·        М - семантическая процедура. Данная процедура позволяет преобразовать значения лингвистических переменных, которые были получены с помощью вышеуказанной процедуры G, и поставить в соответствия данным лингвистическим переменным соответствующее нечеткое множество, которое подразумевает под собой определенное осмысленное содержание.

1.3 Обзор литературы


В данной исследовательской работе предпринята попытка создать систему нечеткого вывода, для понимания которой, необходимо рассмотреть основные алгоритмы нечеткого вывода:Мамдани, Цукамото, Сугено, модифицированная схема нечеткого вывода Сугено, Ларсена.

Алгоритм Мамдани, который был подробно разобран в работе Мамдани и Асилиан 1975 года. В то время, Мамдани предложил данный алгоритм для оптимизации работы парового двигателя. В настоящее время данный алгоритм наиболее широко используется в практическом применении в задачах нечетко-множественного моделирования. В своем труде Мамдани подробно описывает данный алгоритм, который состоит из нескольких этапов:

.        Формирование базы правил.

.        Фаззификация

.        Агрегирование подусловий

.        Активизация подзаключений

.        Аккумулирование заключений

.        Дефаззификация.

Важно рассмотреть каждый пункт схемы нечеткого вывода, потому что все пять алгоритмов основываются на данной схеме. В дальнейшем будут указаны различия вышеперечисленных алгоритмов нечеткого вывода.

Формирование базы правил. База правил системы нечеткого вывода представляет из себя какое-то конечное множество правил, которые согласованны относительно лингвистических переменных. В каждом правиле должны быть определены функции принадлежности значений терм- множеств, которые определяются для каждой лингвистической переменной соответственно. Формально база правил представляет из себя структурированную реализацию представления эмпирических знаний по определенному аспекту.

Фаззификация. В систему поступает обычный (четкий) массив данных и на данном этапе устанавливается соответствие между численными значениями различных входных переменных и значениями соответствующих функций принадлежности лингвистических переменных. В итоге, после завершения данного этапа, для каждого из входящих переменных определены значения функции принадлежности. Более того, все термы лингвистических переменных указаны в подусловиях базы правил( т. е . предыдущего этапа).

Агрегирование подусловий. На момент выполнения данного этапа известны все значения истинности для каждого из подусловий системы. На данном этапе конкретно определяется степень истинности условий по каждому правилу. Если существуют объединенные подусловия , то на данном этапе определяется степень истинности для каждого из них( При условии, что лингвистические переменные в данных подусловиях не равны друг другу). В конечном итоге мы будем знать все количественные значения истинности для каждого из условий системы нечеткого вывода. Для каждого из видов объединения подусловий существуют свои способы нахождения численного значения истинности. Например, если подусловия объединены с помощью "И", то используется минимум из значений истинности и т.д.

Активизация подзаключений. На данном этапе определяются значения степени истинности для подзаключений. Важно отметить, что потенциально каждое условие может обладать определенным весовым коэффициентом, но, если этот весовой коэффициент не задан индивидуально, то он его значение принимается равным единице. В итоге степень истинности заключений определяется с помощью алгебраического перемножения весового коэффициента на показатель степени истинности условий. Опять же, важно рассмотреть ситуацию, когда само заключение состоит из какого-то количества подзаключений (При условии, что лингвистические переменные в данных подзаключениях не равны друг другу). В данной ситуации итоговым показателем выступает аналогичный показатель алгебраического перемножения весовых коэффициентов каждого из подзаключений с соответствующими показателями степени истинности подзаключений.

Аккумулирование заключений. На данном этапе объединяются( аккумулируются) все степени истинности заключений и подзаключений. Это процедура проводится для того, что получить "итоговую" функцию принадлежности для каждой переменной "на выходе". В конечном итоге для каждой лингвистической переменной "на выходе" определяется функция принадлежности нечетких множеств и их значений, образуя совокупность нечетких множеств. Данная процедура обусловлена тем, что зачастую существуют подзаключения, которые принадлежат одной и той же лингвистической переменной, но принадлежат различным правилам.

Последний этап системы нечеткого вывода - дефаззификация. Формально этот этап противоположен этапу фаззификации. То есть на данном этапе подставляется четкое значение каждой лингвистической переменной " на выходе". Использую результаты аккумуляции на данном этапе формируется классическое количественное значение. Соответственно в дальнейшем данные количественные значения могут использоваться другими внешними устройствами либо для оформления вывода по количественным показателям. Более того, существует несколько методов дефаззификации3:

·        Дефаззификация нечеткого числа по методу центра тяжести(центроид площади). При использовании данного метода значение выходной переменной определяется, как значение абсциссы центра тяжести площади, которая ограничена графиком кривой функции принадлежности для каждой лингвистической переменной "на выходе".


·        Дефаззификация нечеткого числа по методу медианы. В некоторых работах данный метод упоминается, как метод центра площади. В данном случае необходимо найти точку на оси абсцисс такую, что перпендикуляр, проведенный к данной точке, будет разделять площадь под кривой функции принадлежности на две равные части.


·        Дефаззификация нечеткого числа по методу центра максимумов. В данном случае находится среднее арифметическое тех элементов множества, которые имеют максимальные степени принадлежностей.

Первая система нечеткого вывода была описана Мамдани. В данной системе данные агрегируются максимумом, а имплицируются минимумом. Более того, в алгоритме Мамдани база знаний строится из нечетких высказываний "β есть α". В данном случае используются логические связки "и" и "или". А приведение к четкости производится методом центра тяжести. В свою очередь, система Сугено ограничивается рассмотрением линейных форм правил, а база знаний задается следующим образом:

Если x есть А1, и y есть В1, то z1 = a1*x + b1*y,

Если x есть А2, и y есть В2, то z2 = a2*x + b2*y.

А дефаззификация в алгоритме проводится следующим методом:


А модифицированная схема Сугено правая часть правил не только линейна, но и задается четко, поэтому для каждого элемента образуется множество решений, для которой задана степень уверенности, а выходная переменная образуется как количественное решение с максимальной степенью уверенности. Помимо этого, отличие системы Ларсена заключается в том, что импликация в данной системе осуществляется с помощью произведения. Более того, данные отличия основываются на различиях по ходу всего алгоритма. В алгоритме Тсукамото база знаний аналогична базе знаний в алгоритме Мамдани, но усеченные функции принадлежности, которые определяются на одном из этапов алгоритма, являются монотонными, а дефаззификация проводится с помощью дискретного варианта метода тяжести.

Важно также отметить, что на входе и выходе мы можем наблюдать только количественные значения, хотя на всех остальных промежуточных этапах используются нечетко-множественные показатели.

Перейдем к рассмотрению работ по анализу финансового состояния угольной промышленности.

Шульгина О.В. [15] в своей работе проводит анализ финансового состояния угольной промышленности на основе коэффициентов автономии, текущей ликвидности, обеспеченности собственными оборотными средствами, а также на основе показателей уровня рентабельности. Автор данной статьи, предоставляет информацию по данным показателям по отрасли с 2007 по 2011 год и подводит итоги по каждому показателю в отдельности. В конечном счете, автор делает вывод, что на данном этапе угольная отрасль находится в нестабильном финансовом состоянии. Преимуществом данной работы является тот факт, что по каждому финансовому показателю производятся отдельные выводы и приводятся определенные интерпретации, полученных значений. Тем не менее, недостатком данной работы является невозможность оценить какую либо компанию из отрасли в отдельности, а также автор не приводит никакого агрегированного показателя, который бы характеризовал отрасль в целом.

В другой работе, посвященной анализу современного состояния угольных компаний и экономической среды их функционирования, написанной Фоминой О. А. [13], отмечается, что в России вектор развития энергетической отрасли направлен в сторону усиления роли угля. Автор рассматривает период с 2004 по 2007 год, и такие показатели, как коэффициент автономии, коэффициент ликвидности и показатели обеспеченности собственными оборотными средствами. Как итог автор выделяет, что предприятия данной отрасли обладают низкой платежеспособностью, собственных оборотных средств организаций недостаточно для поддержания финансовой устойчивости , а также отмечает высокую степень зависимости угольных компаний от кредиторов.

Преимуществом данных работ является тот факт, что по каждому финансовому показателю производятся отдельные выводы и приводятся определенные интерпретации, полученных значений. Тем не менее, недостатком данных работ является невозможность оценить какую- либо компанию из отрасли в отдельности, а также автор не приводит никакого агрегированного показателя, который бы характеризовал отрасль в целом.

Глава 2. Построение системы нечеткого вывода и результаты

 

.1 Исходные данные


Для проведения исследования была выбрана отрасль добычи каменного угля, бурого угля и торфа. Все компании находятся на территории Российской Федерации. В базе данных Ruslana компании Бюро ван Дайк (BvD). Фильтры, которые были выставлены в поиске базы данных Ruslana:

1.

Статус: Действующая компания

2.

ОКВЭД 2008 (только основные кода): 10 - Добыча каменного угля, бурого угля и торфа

3.

Выручка от реализации: Все компании, по которым имеется данный показатель

4.

Чистые оборотные средства: Все компании, по которым имеется данный показатель

5.

Совокупные активы: Все компании, по которым имеется данный показатель, Последний год с доступными данными, Last year -1, Last year -2, Last year -3, Last year -4, for all the selected periods

6.

Компании, принадлежащие конечному собственнику: Определение конечного собственника: мин. 50% владения, известные или неизвестные акционеры; Глобальный КС и местный КС

7.

Страна/регион: 01 - Российская Федерация


Дочерние компании были исключены из выборки, чтобы не рассматривать консолидированные группы компаний. Также была определена принадлежность компаний к определенному региону: Российская Федерация. Остальные фильтры были выставлены для того, чтобы в даных присутствовали все необходимые показатели финансовой отчетности для определения значений коэффициентов, использующихся в работе. После определения всех фильтров выборка составила 195 наименований компаний. Тем не менее, пришлось исключить некоторые компании из рассмотрения, по причине недостаточности данных для подсчета показателей финансовой устойчивости. Не смотря на установленные фильтры показатели финансовой отчетности по многим компаниям были недостаточными, а за многие года и вовсе отсутствовали. По данной причине пришлось сократить рассматриваемый период времени с 10 лет до 8 лет: с 2007 по 2014 год. В конечном итоге выборка составила 172 компаний данной отрасли (Приложение 1).

Выбор данной отрасли обусловлен тем, что Российская Федерация является одним из мировых лидеров по добыче каменного угля и занимает 5 место в мире. На территории нашего государства сосредоточено около трети ресурсов угля. Данного объема хватит России на 500 лет. Данный факт является преимуществом угольной промышленности по сравнению с остальными отраслями топлевно-энергетического комплекса.

Более того, актуально рассмотрение состояния компаний в отрасли, учитывая тот факт, что стратегия развития данной отрасли утверждена Российской Федерацией вплоть до 2030 года. Более того, в последнее время показатели по отрасли росли. В том числе рос и спрос на различные виды угля. Объемы добычи также увеличивались начиная с 2003 года.

Перейдем к рассмотрению, выбранных показателей оценки финансовой устойчивости компаний. Был выбран коэффициентный метод по причине возможности выбрать оптимальные показатели отчетности, по которым будет проводится оценка финансовой устойчивости компании. Из вышеперечисленных коэффициентов были выбраны пять. Три коэффициента из пяти были указаны , как коэффициенты для анализа финансовой устойчивости в работах [13],[15]. Были выбраны дополнительные два коэффициента: коэффициент соотношения собственных и заемных средств и коэффициент концентрации заемного капитала. Для подсчета других коэффициентов в огромном количестве компаний просто не нашлось данных за большие промежутки времени. Соответственно были выбраны следующие показатели:

Х1     - Коэффициент финансовой автономии;

Х2     - Коэффициент соотношения заемных и собственных;

Х3     - Коэффициент текущей ликвидности;

Х4     - Коэффициент концентрации заемного капитала;

Х5     - Коэффициент обеспеченности собственными оборотными средствами (СОС)

Каждый показатель был посчитан в таблицах Excel на основе собранных данных финансовой отчетности компаний отрасли добычи каменного угля, бурого угля и торфа. Итоговые результаты были сведены в таблицы показателей по годам отчетности, собранных по компаниям, то есть с 2007 по 2014 год по 172 компаниям.

Оценка, созданной системы нечеткого вывода, будет проводится по результатам, приведенных в работе Шульгиной О.В. [15]. В своем труде автор оценивает финансовое состояние угольной отрасли, как нестабильное.

2.2 Методология построения системы нечеткого вывода


Перейдем к рассмотрению, построенной системы нечеткого вывода, которая определяет агрегированный показатель финансовой устойчивости компаний отрасли добычи каменного угля, бурого угля и торфа используя аппарат нечеткой логики.

Создание системы нечеткого вывода проводилось в несколько этапов. На первом этапе были определены показатели соответствующие терм множествам каждого показателя. Ниже приведена таблица (Таблица 1) с данными значениями. Вышеуказанные графики функций принадлежности были построены на основании данных, указанных в таблице 1. Важно отметить, что в российской практике на законодательном уровне было введено минимальное значение Коэффициента обеспеченности собственными оборотными средствами. Минимальное значение составляет 0.1, что является достаточно жестким ограничением для компаний. Также в таблице отражены основные формулы, которые использовались для расчета показателей по статьям балансовой отчетности компаний.

Таблица 1. показатели соответствующие терм множествам каждого показателя и формулы расчета коэффициентов Источник: Составлено автором.

 

Низкий

Средний

Высокий

Коэффициент финансовой автономии

(0;0.4]

(0,4;0,6]

0,6<

Коэффициент соотношения заемных и собственных средств

(0;0,5]

(0,5;0,7]

0,7<

Коэффициент текущей ликвидности

(0;1,5]

(1,5 ; 2,5]

2,5<

Коэффициент концентрации заемного капитала

1<

(0,5;1]

[0,5;0]

Коэффициент обеспеченности собственными оборотными средствами (СОС)

˂0,1

[0,1;0,3)

0,3<

Показатель

Формула расчета

Коэффициент финансовой автономии

Собственный капитал / Активы

Коэффициент соотношения заемных и собственных средств.

(Краткосрочные обязательства + Долгосрочные обязательства)/ Собственный капитал

Коэффициент текущей ликвидности

Оборотные активы / Краткосрочные обязательства

Коэффициент концентрации заемного капитала

(Краткосрочные обязательства + Долгосрочные обязательства)/ Активы

Коэффициент обеспеченности собственными оборотными средствами (СОС)

(Собственный капитал - Внеоборотные активы)/ Оборотные активы


В соответствии с данными в таблице были введены лингвистические переменные по каждому из коэффициентов соответственно. С терм множествами значений для каждого показателя "Низкий" ; "Средний"; "Высокий". Ниже приведены графики функций принадлежности треугольного вида соответствующих показателей, построенные в программном пакете R.

х1- Коэффициент финансовой автономии;

Рис.3. График функций принадлежности для переменной "Коэффициент автономии" (источник: составлено автором)

х2- Коэффициент соотношения заемных и собственных;

Рис.4. График функций принадлежности для переменной " Коэффициент соотношения заемных и собственных".(источник: составлено автором)

х3 - Коэффициент текущей ликвидности;

 

Рис.5. График функций принадлежности для переменной "Коэффициент текущей ликвидности". (источник: составлено автором).

х4 - Коэффициент концентрации заемного капитала;

 

Рис.6. График функций принадлежности для переменной " Коэффициент концентрации заемного капитала ".(источник: составлено автором).

х5 - Коэффициент обеспеченности собственными оборотными средствами (СОС);

Рис.7. График функций принадлежности для переменной " Коэффициент обеспеченности собственными оборотными средствами (СОС) ".(источник: составлено автором).

Также введена лингвистическая переменная показатель финансовой устойчивости компании. С терм множествами значений : "Абсолютная"; "Нормальная"; "Неустойчивая";"Кризисная".

FS - Показатель финансовой устойчивости организации.

Рис.8. График функций принадлежности для переменной "Финансовая устойчивость организации".(источник: составлено автором).

На следующем этапе была сформулирована система правил для нечеткой системы вывода по всем коэффициентам. В итоговом показателе FS(Financial Sustainability) с равными весами будут распределены коэффициенты, выбранные для определения финансовой устойчивости организации. Установим некоторые критерии определения FS:

. При построении системы принимается, что при нормальном или абсолютном показателе финансовой устойчивости не могут быть значения "bad" показателей какого либо из коэффициентов. Таким образом мы пренебрегаем тем фактом, что некоторые коэффициенты могут рассчитываться с погрешностью, по причине . Данный критерий необходим, чтобы присутствовало больше конкретики при определении показателя финансовой устойчивости.

. Устанавливается система "или" между показателями 1- 2 и 4-5. Формально делается ставка на принцип простого большинства.

. Коэффициент текущей ликвидности оценивается " независимо". То есть ни в одном правиле он не стоит в связке с другим коэффициентом, а объединяется с другими показателями по средству логической связки "и". По большей части это обусловлено тем, что данный показатель единственный из пяти, которые зачастую относится к классу показателей ликвидности, а не конкретных показателей финансовой устойчивости.

. Еще один критерий заключается в том, что для получения значения FS "неустойчивое" и "кризисное" необходимо, чтобы один из показателей и два и больше показателей соответственно имели значения "bad". Данные состояния финансовой устойчивости компании должны исключать возможность наличия показателей со значениями "good". Данный критерий по своей сути аналогичен первому критерию только для значения FS "кризисное" и "неустойчивое".

Далее, учитывая вышеупомянутые критерии был рассчитан показатель финансовой устойчивости компании для каждого года, рассмотренного в процессе анализа. База правил системы нечеткого вывода:

Если (x1 good или x2 good) и (x4 good или x5 good) и x3 good, то FS absolute.

Если (x1 good или x2 aver) и x4 (good или x5 aver) и x3 good, то FS absolute.

Если x1 aver или x2 aver и x4 good или x5 good и x3 good,то FS absolute.

Если x1 good или x2 good и x4 good или x5 good и x3 aver,то FS absolute.

Если x1 good или x2 good и x4 aver или x5 aver и x3 good, то FS absolute

И так далее. Полная база правил находится в Приложении 1.

Все коэффициенты учитывались в агрегированном показателе с равными весами. В свою очередь, агрегированный показатель финансовой устойчивости компании был дефаззифицирован по методу центра тяжести(центроид площади). При использовании данного метода значение выходной переменной определяется, как значение абсциссы центра тяжести площади, которая ограничена графиком кривой функции принадлежности для каждой лингвистической переменной "на выходе".

Помимо этого, на некоторых этапах приходилось менять угловые точки функций принадлежности, по причине " плохого" массива данных. То есть показатели некоторых компаний значительно превышали, установленные границы коэффициентов. Все показатели пришлось сократить до одного знака после запятой, чтобы " шаг" в модели был не слишком маленьким и программа не очень долго проводила реализацию системы нечеткого вывода.

Реализация данной системы нечеткого вывода была создана на основе алгоритма Мамдани. В программе R написан код, реализующий вышеописанную систему нечеткого вывода.

Некоторые показатели финансовой устойчивости компаний, которые по причине установленных критериев не были определены, были определены автором вручную с использованием программного обеспечения FIS(Fuzzy Inference System) Pro 3.5. В данном программном обеспечении есть возможность выбрать вид функций принадлежности, создать базу правил для системы нечеткого вывода и задать показатели каждого из параметров. Тем не менее, данное программное обеспечение работает только с заданными вручную параметрами и не подразумевает возможности считывания показателей из файла с данными.

 

.3 Результаты системы нечеткого вывода.


После реализации системы нечеткого вывода получилось около 40 NaN показателей в каждом году, то есть по причинам, которые не удалось установить, программное решение системы нечеткого вывода не смогло определить показатели финансовой устойчивости по некоторым компаниям, в связи с чем пришлось прибегнуть к помощи программного обеспечения FIS Pro 3.5 и посчитать показатели финансовой устойчивости компаний вручную. Помимо всего прочего, ниже приведена таблица со средними показателями финансовой устойчивости по каждому году в выборке.

Таблица 2. Средние показатели финансовой устойчивости за каждый год. Источник: составлено автором

Период

2014

2013

2012

2011

2010

2009

2008

2007

Показатель финансовой устойчивости

2,469823

2,62638

2,446689

2,834958

3,268781

3,12755

3,088345

2,881381


По большей части, можно отметить, что для компаний данной отрасли характерно превышение заемных средств над собственными. Скорее всего, данный факт обусловлен тем, что после проведения реструктуризации данной отрасли, многие компании перестали получать крупные государственные дотации, поэтому данным компаниям пришлось прибегнуть к крупным займам у различных кредиторов.

Помимо всего прочего, исходя из показателей финансовой устойчивости можно предположить, что в большинстве компаний проводится не очень эффективное управление активами.

В целом, можно заметить, что по большей части показатель финансовой устойчивости компаний отрасли добычи каменного угля, бурого угля и торфа имеют уровень ниже, чем в остальных периодах, в 2012- 2014 годах. Тем не менее, в период с 2008-2010, когда на Россию обрушилась волна мирового экономического кризиса, показатели финансовой устойчивости во многих компаниях были выше, чем за остальные периоды. Основная масса "хороших" показателей находится в диапазоне 2007- 2011 год. В большинстве случаев, показатели финансовой устойчивости компаний в последующих годах ухудшались.

В целом можно сказать, что средний показатель финансовой устойчивости компаний в данной отрасли ближе к категории неустойчивого финансового состояния. Данный факт соотносится с проведенными исследованием Шульгиной. О.В. [15], а работе которой также средний показатель финансовой устойчивости по отрасли добычи каменного угля, бурого угля и торфа определен как "ниже среднего". В работе Шульгиной рассматривается период только до 2011 года, поэтому можно сделать вывод, что тенденция к улучшению ситуации, отмеченная Шульгиной О.В., оказалась не верна, и на самом деле к 2014 году показатели только ухудшились.

Заключение


В работе рассмотрены базовые моменты теории нечеткой логики. Также рассмотрены основные методики оценки финансовой устойчивости организаций. Помимо этого, более подробно разобраны различные алгоритмы нечеткого вывода.

В дальнейшем подробно описана созданная система нечеткого вывода. Построенная система нечеткого вывода отвечает заявленным требованиям. Одним из недостатков построенной системы является достаточно большое количество значений, которые программное решение не смогло определить. Причина кроется в не очень качественных исходных данных.

Разработанная система нечеткого вывода позволяет проводить оценку финансовой устойчивости в различных отраслях. Алгоритм нечеткого вывода обеспечивает гибкость системы принятия решений, поэтому по ходу оценки есть возможность корректировать правила вывода и критерии оценки, как таковые.

Более того, по ходу исследования были определены показатели финансовой устойчивости для компаний отрасли добычи каменного угля, бурого угля и торфа. А также приведены средние показатели финансовой устойчивости по годам. Подобные данные позволяют определить " слабые " временные промежутки для данной отрасли и увидеть тенденцию укрепления или ослабления финансовой устойчивости компаний в отрасли добычи каменного угля, бурого угля и торфа. Средний показатель финансовой устойчивости по отрасли свидетельствует о финансовой неустойчивости компаний, что соотносится с результатами, полученными в других исследовательских работах, с помощью других методов. Важно выделить, что наблюдается тенденция к ухудшению средних показателей по отрасли, хотя в более ранних исследовательских работах прогнозировалось улучшение финансового состояния отрасли.

Список литературы

 

1.       Абгарян М.В Построение нечеткой модели для оценки финансовой устойчивости предприятия. // Горный информационно-аналитический бюллетень (научно-технический журнал). 2011.№ 12

.        Бердникова Т. Б. Анализ и диагностика финансово-хозяйственной деятельности предприятия. М.: Инфра-М, 2011. - 224c.

.        .Заде Л. Понятие лингвистической переменной и его применение к принятию приближенных решений. М.: Мир, 1976.

.        Капанадзе Г.Д. Оценка финансовой устойчивости: методы и проблемы их применения // «Российское предпринимательство». 2013. №4.

.        Карпова, Н.А. Аналитическое обеспечение оценки финансовой устойчивости консолидированной группы компаний . // Управленческий учет. 2014. №7/2014.С. 44-52.

.        Крайнова К. А., Кулина Е. А., Сатушкина В. С. Методика анализа финансовой устойчивости предприятия в условиях кризиса // Молодой ученый . 2015. №11.3.

.        Круглов В. В., Дли М. И., Голунов Р. Ю. Нечеткая логики и искусственные нейронные сети: Учеб, пособие. М.: Издательство Физико-математической литературы, 2001.

.        Масленкова О.Ф. Оценка стоимости предприятия (бизнеса) : Учеб, пособие . М. : КНОРУС, 2011. 288 с.

.        Недосекин А.О. Применение нечетких множеств в бизнесе, экономике и финансах. М.: Типография Сизам, 2002.

.        Погостинская Н.Н. Инновационный подход к оценке финансовой устойчивости предприятия. //Финансы. Деньги. Инвестиции: аналитический журнал. 2013. №1(45). С. 10-16.

.        Рогозин О.В.Метод нечеткого вывода в задаче подбора программного обеспечения на основе качественных характеристик этого обеспечения как объекта инвестиций// Приборы, методы и технологии. 2009. №3. С. 43-45.

.        Ротштейн А.П., Штовба С.Д. Влияние методов дефаззификации на скорость настройки нечеткой модели // Кибернетика и системный анализ. 2002. №5. С.169-176

.        Фомина О. А. Анализ современного состояния угольных компаний и экономической среды их функционирования // Горный информационно-аналитический бюллетень (научно-технический журнал). 2010. №1.

.        Шубина Т.В., Хоминич И.П. Финансовое состояние и оценка финансовой устойчивости хозяйственных структур: учеб.пособие. М. : [б. и.], 1997. - 99 с.

.        Шульгина О.В. Анализ финансового состояния угольной промышленности и теоритические аспекты управления финансовыми потоками угольных компаний. //Горный информационно-аналитический бюллетень (научно-технический журнал).2011.№ 11.

16.     Kosko B. Fuzzy Thinking: The New Science of Fuzzy Logic. Hyperion , 1994.4. Zadeh L.A. Fuzzy sets // Information and Control. 1965. №8.

.        Mamdani E. H. & Assilian, S. (1975). An experiment in linguistic synthesis with a fuzzy logic controller, Int. J. Man-machine Studies 7.

.        Tanaka H., Uejima S., Asai K. Linear Regression Analysis with Fuzzy Model // IEEE Transactions on Systems, Man and Cybernetics. 1982. Vol. 12. No. 6. P. 903-907.

.        Zadeh L.A. Fuzzy Sets // Information and Control. 1965. P.338-353

Приложение

 

Список компаний отрасли добычи каменного угля, бурого угля и торфа, по которым рассчитывались показатели финансовой устойчивости.

 

Название компании

1.

JOINT STOCK COMPANY COAL COMPANY KUZBASSRAZREZUGOL

2.

OTKRYTOE AKTSIONERNOE OBSHCHESTVO OByEDINENNAYA UGOLNAYA KOMPANIYA YUZHKUZBASSUGOL

3.

UGOLNAYA KOMPANIYA YUZHNYI KUZBASS

4.

JSC VORKUTAUGOL

5.

OJSHC YAKUTUGOL

6.

CHERNIGOVETS JOINT-STOCK COMPANY

7.

Shakhta Listvyazhnaya

8.

RAZREZ BEREZOVSKII

9.

LIMITED LIABILITY COMPANY VOSTSIBUGOL

10.

JOINT STOCK COMPANY THE CENTRAL PREPARATION PLANT BEREZOVSKAYA

11.

OJSC MINE ZARECHNAYA

12.

PUBLIC MINING CORPORATION OBUKHOVSKAYA

13.

RAZREZ KISELEVSKII

14.

Kuzbassrazrezugol-Vzryvprom

15.

JOINT STOCK COMPANY KRASNOYARSKKRAYUGOL

16.

ZAKRYTOE AKTSIONERNOE OBSHCHESTVO RAZREZ RASPADSKII

17.

SIBENERGOUGOL

18.

SHAKHTA BUTOVSKAYA

19.

JOINT STOCK COMPANY BY EXTRACTION, PROCESSING OF COAL AND CONSTRUCTION OF MAINS COAL'S COMPANY DONSKOI UGOL

20.

SHAKHTA CHERTINSKAYA-KOKSOVAYA

21.

BARZAS COMPANY

22.

JOINT STOCK COMPANY RASPADSKAYA-KOKSOVAYA

23.

AKTSIONERNOE OBSHCHESTVO AMURSKII UGOL

24.

SHAKHTA KOSTROMOVSKAYA

25.

OTKRYTOE AKTSIONERNOE OBSHCHESTVO RAZREZ SHESTAKI

26.

OOO TD SIBIR

27.

JOINT STOCK COA I COMPANY SOUTHERN

28.

SHAKHTA №12

29.

JOINT STOCK COMPANY KUZNETSKAYA INVESTITSIONNO-STROITELNAYA COMPANY

30.

UGOLNYI RAZREZ

31.

UCHASTOK KOKSOVYI

32.

JOINT STOCK COMPANY PREPARATION PLANT RASPADSKAYA

33.

DONALYANS

34.

INVEST-UGLESBYT

35.

JOINT STOCK COMPANY MEZHDURECHENSKAYA COAL COMPANY - 96

36.

LIMITED LIABILITY COMPANY GORNYAK-1

37.

JOINT STOCK COMPANY SHAHTOUPRAVLENIE TALDINSKOE-JUZHNOE

38.

Razrez Permyakovskii

39.

TOMUSINSKY OPEN-PIT MINE

40.

OTKRYTOE AKTSIONERNOE OBSHCHESTVO TSENTRALNAYA OBOGATITELNAYA FABRIKA KUZNETSKAYA

41.

JOINT STOCK COMPANY SHAHTOUPRAVLENIE TALDINSKOE-KYRGAISKOE

42.

SHAKHTA BAIKAIMSKAYA

43.

JSC TSOF BELOVSKAYA

44.

PUBLIC COMPANY DON-ANTHRACITE

45.

Razrez im. V.I. Cheremnova

46.

VYATKA TORF LTD.

47.

OJSC MINE ALEKSIEVSKAYA

48.

Shakhta Kusheyakovskaya

49.

BOSHNYAKOVSKII UGOLNYI RAZREZ

50.

OTKRYTOE AKTSIONERNOE OBSHCHESTVO PO DOBYCHE UGLYA CHELYABINSKAYA UGOLNAYA KOMPANIYA

51.

IRBEISKII RAZREZ

52.

Razrez Sayano-Partizanskii

53.

RAZREZ YUZHNYI

54.

OTKRYTOE AKTSIONERNOE OBSHCHESTVO SHAKHTA UGOLNAYA

55.

56.

OBOGATITELNAYA FABRIKA PROKOPYEVSKUGOL

57.

ZAKRYTOE AKTSIONERNOE OBSHCHESTVO TSOF SHCHEDRUKHINSKAYA

58.

SHAKHTA GRAMOTEINSKAYA

59.

AKTSIONERNOE OBSHCHESTVO ZYRYANSKII UGOLNYI RAZREZ

60.

OTKRYTOE AKTSIONERNOE OBSHCHESTVO VOLCHANSKII UGOL

61.

OTKRYTOE AKTSIONERNOE OBSHCHESTVO TSENTRALNAYA OBOGATITELNAYA FABRIKA ABASHEVSKAYA

62.

SHAKHTA CHERTINSKAYA - YUZHNAYA

63.

RAZREZ STEPANOVSKII

64.

AKTSIONERNOE OBSHCHESTVO GORNO-OBOGATITELNYI KOMPLEKS DENISOVSKII

65.

OPTOVO-ROZNICHNOE PREDPRIYATIE BAKALEYA

66.

SAKHALINUGOL-3 LLC

67.

AKTSIONERNOE OBSHCHESTVO TSENTRALNAYA OBOGATITELNAYA FABRIKA GUKOVSKAYA

68.

AKTSIONERNOE OBSHCHESTVO RAZREZ SEREULSKII

69.

FEDERAL STATE UNITARY ENTERPRISE STATE TRUST ARCTICUGOL

70.

OBOGATITELNAYA FABRIKA TAIBINSKAYA

71.

Torfozavod Agrotorf

72.

OTKRYTOE AKTSIONERNOE OBSHCHESTVO SHAKHTA NAGORNAYA

73.

Pelgorskoe-M

74.

VELTORF

75.

OBOGATITELNAYA FABRIKA ANZHERSKAYA

76.

MOSBASUGOL

77.

TSENTRALNAYA UGOLNAYA KOMPANIYA

78.

RESURSPROMSNAB

79.

Ugolnaya kompaniya Mezhegeiugol

80.

GEOLPROMTEK

81.

Shakhta Yubileinaya

82.

PALANA-UGOL

83.

SURGUTRAITORF MUNITSIPALNOGO OBRAZOVANIYA SURGUTSKII RAION

84.

EREL LTD

85.

JOINT STOCK COMPANY CAST COAL MINE KANSKY

86.

RAZREZ PORECHENSKII

87.

OTKRYTOE AKTSIONERNOE OBSHCHESTVO SHATURATORF

88.

TORFMASH GORODSKOGO OKRUGA VERKHNYAYA PYSHMA

89.

UGOL ASO

90.

SEVERNAYA POLYANA

91.

TORFO

92.

ZABUGOL

93.

BELNIKOVSKOE

94.

GEOINVEST

95.

OBOGATITELNAYA FABRIKA TAIBINSKAYA

96.

KIROVSKII UGOLNYI RAZREZ

97.

UGLESORTIROVOCHNOE PREDPRIYATIE SPETSUGLETEKH

98.

TESOVSKOE

99.

ALEKSEE-NIKOLSKII UGOLNYI RAZREZ

100.

OTKRYTOE AKTSIONERNOE OBSHCHESTVO MOKEIKHA - ZYBINSKOE

101.

LLC CONSTRUCTION, CONSULTING AND AUTHORIAL TECHNOLOGIES

102.

KUSHAVERATORF

103.

AKTSIONERNOE OBSHCHESTVO TORFPROMEKSPORT

104.

LIMITED LIABILITY COMPANY BIOTEHNOLOGY

105.

MUNAISKII RAZREZ

106.

OOO TAIMYRCOAL

107.

ZAPLYUSSKOE

108.

KRASNYI MOKH

109.

AKTSIONERNOE OBSHCHESTVO OBOGATITELNAYA FABRIKA CHERTINSKAYA

110.

SULINUGOL

111.

TIMCHISHIN

112.

KAREL-VAPO

113.

OTKRYTOE AKTSIONERNOE OBSHCHESTVO TARMANSKOE-TSENTRALNOE

114.

SALEDY-1

115.

TALINSKII UGOLNYI RAZREZ

116.

YUG

117.

Dolguchan

118.

OTKRYTOE AKTSIONERNOE OBSHCHESTVO BORRESURSY

119.

KHAIRYUZOVSKII UGOLNYI RAZREZ

120.

OOO SHAKHTA SIBIRSKAYA

121.

SHAKHTA TAILEPSKAYA

122.

Biznes-Tsentr+

123.

JOINT STOCK COMPANY RAZREZ TULUNSKY

124.

CHERNUSHKA-VOZHOIKA

125.

LESFORVARD LIMITED LIABILITY COMPANY

126.

CHAROIT LIMITED LIABILITY COMPANY

127.

TOPLIVNO-ENERGETICHESKAYA KOMPANIYA TVERREGIONTORF

128.

BIAGRO

129.

VOLOKOLAMSKTORF

130.

BEZHANITSKII TORFOBRIKETNYI ZAVOD

131.

OTKRYTOE AKTSIONERNOE OBSHCHESTVO AYATSKOE TORFOPREDPRIYATIE

132.

KARYER USHUMUNSKII

133.

ZAKRYTOE AKTSIONERNOE OBSHCHESTVO KORYAKUGOL

134.

TORFOPRODUKT

135.

GORELOVSKII UGOLNYI RAZREZ

136.

PROFITKOM

137.

Baikalinvestenergo

138.

BALAKHTINSKII UGOL

139.

BEISKII RAZREZ

140.

BIOTEKS-TORF

141.

DEMETRA LTD

142.

DizelTekhnika AG

143.

EKOTEKH

144.

JOINT STOCK COMPANY INTECH SYNTHESIS

145.

JOINT STOCK COMPANY MINE ILINSKAYA

146.

KAPITALSTROI

147.

KARYER INSKOI

148.

KUZNETSKINVEST

149.

LLC VOSTSIBRESURS

150.

MINERALSTANDART LIMITED

151.

NTES-K

152.

Omskii torf

153.

OTKRYTOE AKTSIONERNOE OBSHCHESTVO SELKHOZTORFENERGO

154.

PROMENERGOSERVIS

155.

RAZREZ ILYINSKII

156.

RESURS-UGOL

157.

SAKHALINUGOL-7 LLC

158.

SHAKHTA EGOZOVSKAYA

159.

SHAKHTA PLOTNIKOVSKAYA

160.

SHAKHTA SADKINSKAYA-SEVERNAYA

161.

SHAKHTA SADKINSKAYA-VOSTOCHNAYA

162.

SHAKHTERSK-UGOL

163.

SORT

164.

STROIPROM

165.

SULINANHTRACITE COMPANY OF LIMITED RESPONSIBILITY

166.

Torfyanaya regionalnaya kompaniya

167.

TORGOVOPROMYSHLENNAYA KOMPANIYA

168.

ULUGKHEMCOAL LIMITED LIABILITY COMPANY

169.

Vostsibregion

170.

VREMENA GODA LTD.

171.

YUG-RESURS

172.

ZODCHII


База правил, используемых в системе нечеткого вывода.

Если (x1 good или x2 good) и (x4 good или x5 good) и x3 good, то FS absolute

Если (x1 good или x2 aver) и x4 (good или x5 aver) и x3 good,absolute

Если x1 aver или x2 aver и x4 good или x5 good и x3 good,absolute),

Если x1 good или x2 good и x4 good или x5 good и x3 aver,absolute),

Если x1 good или x2 good и x4 aver или x5 aver и x3 good,absolute),

Если x1 aver или x2 aver и x4 aver или x5 aver и x3 aver,normal),

Если x1 good или x2 aver и x4 aver или x5 aver и x3 aver,normal),

Если x1 aver или x2 good и x4 aver или x5 aver и x3 aver,normal),

Если x1 aver или x2 aver и x4 aver или x5 aver и x3 good,normal),

Если x1 aver или x2 aver и x4 good или x5 good и x3 good,normal),

Если x1 aver или x2 aver и x4 good или x5 aver и x3 aver,normal),

Если x1 aver или x2 aver и x4 aver или x5 good и x3 aver,normal),

Если x1 aver или x2 aver и x4 good или x5 good и x3 aver,normal),

Если x1 aver или x2 aver и x4 aver или x5 bad и x3 bad, unsustain),

Если x1 aver или x2 aver и x4 bad или x5 aver и x3 bad,unsustain),

Если x1 aver или x2 bad и x4 aver или x5 aver и x3 bad, unsustain),

Если x1 bad или x2 aver и x4 aver или x5 aver и x3 bad,unsustain),

Если x1 aver или x2 aver и x4 bad или x5 bad и x3 aver, unsustain),

Если x1 bad или x2 bad и x4 aver или x5 aver и x3 aver, unsustain),

Если x1 aver или x2 aver и x4 bad или x5 bad и x3 bad, crisis),

Если x1 bad или x2 bad и x4 aver или x5 aver и x3 bad, crisis),

Если x1 bad или x2 bad и x4 bad или x5 bad и x3 aver, crisis),

Если x1 bad или x2 bad и x4 bad или x5 bad и x3 bad, crisis),

Если x1 aver или x2 bad и x4 bad или x5 bad и x3 bad,crisis),

Если x1 bad или x2 aver и x4 bad или x5 bad и x3 bad,crisis),

Если x1 aver или x2 bad и x4 bad или x5 bad и x3 bad, crisis),

Если x1 bad или x2 bad и x4 bad или x5 aver и x3 bad, crisis),

Если x1 bad или x2 bad и x4 aver или x5 bad и x3 bad,crisis)

Похожие работы на - Модель оценки финансовой устойчивости организаций по добыче угля

 

Не нашли материал для своей работы?
Поможем написать уникальную работу
Без плагиата!
Без нейросетей!