Поведение частицы в поле Кулона-Дирака
Содержание
Введение
. Квантовое
усреднение
. Когерентное
преобразование
. Построение
ВКБ-асимптотики
. Решение
многоточечной спектральной задачи. Вычисление поправки в спектральной серии
. Вычисление
нормы. Формулировка итоговой теоремы
Заключение
Список литературы
Введение
В данной работе рассматривается поведение
частицы в поле Кулона-Дирака, возмущенном однородными магнитными и
неоднородными электрическими полями. Необходимо исследовать задачу на
собственные значения в гильбертовом пространстве
для
следующего гамильтониана частицы:
, (1)
где гамильтониан
задается
соотношением
,
-
малый параметр, характеризующий напряженность поля и заряд частицы; функция
определяет
аксиальное возмущение данного поля Кулона-Дирака, причем
.
На магнитный заряд
накладывается
условие квантования
, где
,
.
Известно [1], что алгебра, возникающая при
рассмотрении данной задачи, является алгеброй с квадратичными коммутационными
соотношениями. Каждому представлению полученной алгебры можно поставить в
соответствие спектральный кластер около уровня энергии невозмущенной частицы.
Состояния системы (1) вблизи границ спектральных кластеров требуют
дополнительного исследования, так как к ним невозможно применить стандартные
интегральные представления.
Метод нахождения асимптотики спектра вблизи
границ спектральных кластеров был предложен в работах [2], [3], где
рассматривалась спектральная задача для двумерного возмущенного осциллятора [4]
и задача о спектре атома водорода [5]. Этот метод был применен в данной работе
для нахождения асимптотики спектра вблизи нижних границ спектральных кластеров
для задачи (1) . Кроме того, формула, полученная для асимптотики собственной
функции, будет глобальной.
Цель данной работы - найти асимптотику решения
спектральной задачи
,
(2)
в области отрицательных энергий
.
Введя предположение, что
,
и произведя регуляризацию задача (2) сводится к спектральной задаче
(3)
в гильбертовом пространстве
,
в котором скалярное произведение определяется следующим равенством:
(4)
где
-
скалярное произведение в
. Для
определяется
оператор «действие»
, где
.
Оператор
задается
формулой
.
Спектр оператора
в
гильбертовом пространстве
составлен из чисел
где собственные значения
кратны
.
Так как собственные числа оператора
-
арифметическая прогрессия, то его название оператор «действия» является
корректным.
. Квантовое усреднение
В работах [1], [6]
описана схема квантового усреднения. Следуя ей, находим обратимый оператор
и
операторы
с точностью
,
которые задаются следующими формулами:
Получившийся оператор
называется
усредненным оператором. Так как оператор
коммутативен
старшей части
, то решение
спектральной задачи для оператора
с
точностью
можно свести к
решению спектральной задачи для оператора
на
собственных подпространствах оператора
.
Для первого приближения по
справедливо:
где
В итоге спектральная задача (3) с точностью
приводится
к новой спектральной задаче
Причем,
.
Собственные значения задачи (3) удовлетворяют следующему равенству
,
а связь между ее собственными функциями
и
собственными функциями
задачи (4)
определяется как
. Здесь операторы
,
задаются
явными формулами.
Следует отметить, что по построению операторы
и
коммутируют.
Операторы
и
оба
коммутируют с оператором момента
,
откуда вытекает, что
коммутирует с
.
В итоге, в задаче возникает операторная алгебра Карасева-Новиковой
[1],
в которой находятся все операторы, коммутирующие с
и
.
Образующие
этой алгебры
подчиняются следующим коммутационным соотношениям:
Запишем усредненный оператор
,
как функцию, зависящую от образующих
операторной
алгебры
:
,
при условии, что
.
Задачу (4) можно рассматривать отдельно на
каждом собственном подпространстве
операторов
и
.
Тогда все сводится к задаче
(5)
, где n,m
- квантовые числа.
2. Когерентное преобразование
Для решения полученной задачи (5) необходимо
использовать когерентное преобразование


,(6)
где
-
это гипергеометрическое когерентное состояние, которое определяется следующим
образом 
.
-
функция Бесселя [7], а весовая функция
выражается
через гипергеометрическую функцию определенным образом.
Пусть k,m,n
- целые числа,
. Введена функция
Где F-гипергеометрический
ряд [7]
Операция
определяется
формулой
,
а
-
нормировочная константа:
А именно, весовая функция
-
это решение следующего гипергеометрического уравнения:
Когерентное преобразование взаимно-однозначно
отображает пространство
на пространство 𝒫
антиголоморфных полиномов над ℂ степени не
выше
с
нормой
.
Таким образом, после когерентного преобразования
образующие
,
,
,
,
становятся
дифференциальными операторами первого и второго порядка, которые удовлетворяю
следующим соотношениям:
Также необходимо, чтобы соблюдалось условие
Формула когерентного преобразования ( 6)
позволяет точно найти решения первых двух уравнений (5) при любых амплитудах Φ
.
Таким образом, достаточно решить лишь третье уравнение системы (5), которое
после когерентного преобразования в пространстве 𝒫
имеет вид:
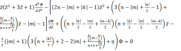
(8)
Здесь
3. Построение ВКБ-асимптотики
Полученное уравнение (8) является уравнением
Гойна. Оно принадлежит классу уравнений Фукса [8], и все его особые точки
являются регулярными особыми точками. В рассматриваемой задаче четыре особые
точки, три из них конечные особые точки и бесконечность:
,
.
Предположим, что :
,
.
При
эти
параметры удовлетворяют неравенствам
.
Пусть
.
Тогда числа b,c
имеют порядок 1,а
Будем искать решение уравнения (8) в виде
, (9)
где
,
,
где
-
множество антиголоморфных в окрестности нуля функций.
Заданный оператор на множестве
является
проектором на пространстве 𝒫
.
В правую часть формулы (9) подставляется асимптотическое решение уравнения (8),
а не асимптотическое решение уравнения
-ого
порядка, в которое преобразуется (8) под действием преобразования (9). Такая
замена возможна, потому что аналогично [3] доказывается, что возникающие
дополнительные слагаемые в уравнении вносят экспоненциально малый вклад в
невязку.
При построении асимптотических решений уравнения
(8) существенную роль играет их поведение вблизи особых точек. Исследуем
многоточечную спектральную задачу вместе со спектральной задачей (8), (7). Ее
суть заключается в поиске собственных значений
,
при которых у уравнения (8) существуют ненулевые антиголоморфные решения,
характеристические показатели которых в особых точках равны нулю, а в особой
точке
показатель
равен
.
Предположив, что собственные значения - это
число
,
а функция
- асимптотическое
решение такой многоточечной спектральной задачи, то при подстановке
в
правую часть формулы (9) получаем многочлен
-
асимптотическое решение уравнения (8) из пространства 𝒫
.
Из условия нормировки (7) для
можно найти
константу, содержащуюся в
. Таким образом,
число
и
многочлен
являются
асимптотическим решением исходной спектральной задачи (8), (7).
Запишем уравнение (8) в виде:
.
,
Теперь будем строить асимптотическое решение
уравнения (8). Представим решение Ф в виде
(10)
и найдем его производные первого и второго порядка.
,
,
,
, (10)
Найдем
:
для этого посчитаем интеграл
с помощью метода
неопределенных коэффициентов.
,
c учетом замен и
разложения в ряд Тейлора:
,
,
В итоге, нашли Е:
(11)
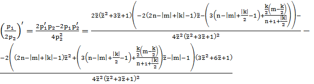
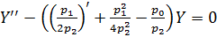
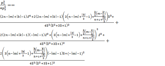
Уравнение (8) можно представить в виде:
(12)
, исключив из него первую производную.
,
,
,
,
Сделаем замену:
,
, (12)
Сделаем замены
Лемма 1. Справедливо равенство:
Выделяем слагаемые порядка
(14)
Выделяем слагаемые порядка
(15)
Затем решаем систему:
,
чтобы найти кратные точки поворота и главный член разложения
вблизи
этой точки.
Представим
в
виде:
.
Тогда
Получаем новую систему:
,
,
,
,
,
где
В рассматриваемой задаче
.
Тогда точка
будет точкой
поворота кратности два.
Сначала, устанавливаем связь между
коэффициентами c и b:
,
Отсюда получаем, что
(16)
Замечание: данное условие (16) носит технический
характер и требуется затем, чтобы кратная точка поворота, расположенная в точке
-0.1 имела простой вид. Иначе, эта точка является корнем уравнения четвертого
порядка.
Далее ищем
,
Получаем выражение для
(17)
Числитель
(обозначим
его
)-
многочлен четвертой степени, с точкой поворота
кратности
два, а также простыми точками поворота
Тогда
его можно представить в виде
Найдем коэффициенты D,
A, B
разложения.
Учитывая найденную ранее связь между
коэффициентами a и b,
искомые коэффициенты квадратного многочлена принимают вид:
(18)
(19)
Теперь будем строить ВКБ-приближение для решения
уравнения (12) или
. Они верны около
малых окрестностей точек поворота и вычисляются по следующей формуле [9],[10]:
(20),
где С-константа Необходимо посчитать,
возникающие в (20) интегралы. Их вычисление проводим с помощью табличных
интегралов [11] и метода неопределенных коэффициентов.
Вычислим первый интеграл из формулы (22):
Вычислим второй интеграл из формулы (22):
(24)
Вычислим третий интеграл из формулы (22):

Таким образом, можем посчитать общий интеграл
(21), используя (22)-(25):
(26)
Теперь посчитаем следующий интеграл из формулы
(20):
(27)
Решаем интеграл (27) с помощью метода
неопределенных коэффициентов:
С помощью замены сведем интеграл к табличному
[11] и вычислим его:
(29)
Вычислим второй интеграл из формулы (28):
Вычислим третий интеграл из формулы (28):
Находим общий интеграл с помощью формул (28),
(29)- (31):
Итак, найдем ВКБ-приближение решений уравнения
(8)



(34)
Итак, мы нашли асимптотику решения
рассматриваемой задачи во всей комплексной плоскости вне малых окрестностей
точек
,
.
Теорема 1:
ВКБ-приближение для уравнения (8) имеет вид
(33), (34).
4. Решение многоточечной спектральной задачи.
Вычисление поправки в спектральной серии
Следующим этапом является построение
асимптотического решения вблизи точек поворота
.
Найдем точки поворота
,
как корни квадратного многочлена с коэффициентами, заданными формулой (18).
(35)
(36)
Из уравнения (12) следует, что около точек
поворота
(37)
Из этого вытекает, что главные члены
асимптотических разложений вблизи (35),(36) записываются через функции Эйри
[12]:
, (38)

А
,
-
константы.
Лемма 1 .
Вблизи точек
асимптотическое
решения уравнения (12) имеют вид (38). Следовательно, решение задачи (8) вблизи
точек поворота будет иметь вид:
,
Затем необходимо построить решение уравнения
(12) вблизи точки поворота
и найти
спектральную поправку
.
Пусть
.
Разложим в ряд Тейлора
в окрестности
.
Сделав замены, уравнение (39) можно представить
в следующем виде:
(40)
Асимптотическое решение уравнения (40) будем
искать в виде:
(41)
Сделаем замену
. (42)
Тогда уравнение(40) принимает вид :
(43)
Главный член асимптотики находится из следующего
уравнения:
(44)
Задаем коэффициент
так,
чтобы уравнение (44) приняло вид Вебера [7]:
. (45)
(46)
Теперь ищем
.
(47)
В итоге, получаем уравнение Вебера для главных
членов асимптотики
(48)
Известно [7], что его общее решение выражается
через функции параболического цилиндра
(49)
Линии Стокса [9],[10] для уравнения (12) имеют
следующий вид
Поскольку линии Стокса для для уравнения (12)
имеют такой вид, то после согласования найденной асимптотики разложения,
которые призводятся аналогично работе [3], приходим к условию:
(50)
Кроме того, получаем, что из (49)
α2=0 и из (38) α2±=0.
Известно [12], что гамма-функция имеет полюсы
только при 
(51)
Лемма 2. Спектральная поправка
удовлетворяют
следующему равенству
(52)
Из формул (49), (50) следует, что
(53)
Функции параболического цилиндра можно выразить
через многочлены Эрмита [7]:
(54)
Теперь необходимо найти второй член в разложении
(41). Из (40), (50),(53) следует, что
удовлетворяет
уравнению:
(55)
Предположим, что частное решение этого уравнения
можно представить в следующем виде:
(56)
Тогда общее решение уравнения (55) имеет вид:
,(57)
где
.
из-за
условия согласования функции с ВКБ-приближением. Пусть
,
при условии, что поправка порядка
входит
.
Найдем частное решение путем непосредственного
дифференцирования.
Получили систему уравнений для коэффициентов
Таким образом, общее решение
принимает
следующий вид:
(58)
Или решение можно выразить посредством полиномов
Эрмита:
(59)
Лемма 2.
Асимптотическое решение вблизи
имеет
вид (41), где
задается формулой
(54), а
задается
формулой (59).
Следующим шагом вычисляется норма решения. Для
этого необходимо разложить функцию
по
степеням
,
с учетом замены (42) из-за справедливости равенства (10).
определено
формулой (11), для удобства проведём такие замены, что
(60)
(61)
Далее ищем разложение
,
где
определено
соотношением (41), а
- это решение (8)
вблизи -0.1, и получаем:
, (62)
(63)
(64)
Лемма 3.
Асимптотическое решение многоточечной
спектральной задачи вблизи точки поворота
имеет
вид (62).
. Вычисление нормы. Формулировка итоговой
теоремы
Весовая функция
задает
меру в формуле скалярного произведения (4).
(65)
(66)
Коэффициент
находится
из условия нормировки
по следующей
формуле (67):
(67)
Разложим функцию
по
степеням
(68)
Введем следующие замены:
(69)
Через эти замены (69) выразим следующие
переменные:
(70)
Тогда весовая функция удовлетворяет равенству
(71)
(72)
Теперь вычислим
:
(73)
Затем ищем норму по формуле
:
(74)
где
определяются
из формул(73), (72).
Введем вещественные переменные
такие,
что
(75)
(76)
и норма (74) принимает следующий вид:
(77)
где константа
определяется
из формул (74), (76).
В формуле (77) слагаемые порядка
являются
интегралами от нечетных функций в симметричных пределах. Следовательно, они
равны нулю. спектральный многочлен
когерентный
Таким образом, находим
.
(78)
Таким образом, приходим к основной теореме.
Теорема 2: Пусть
,
определено
формулами (17), (52), а многочлен
определен
формулой (9), где
- решение
многоточечной спектральной задачи, такое что
имеет
вид (78). Тогда
и
являются
асимптотическим собственным значением и асимптотической собственной функцией
задачи (8), (7) при
в пространстве
.
Более точно, если
определено (17),
(52), то многочлен
удовлетворяет
уравнению (8) с точностью
с оценкой невязки
в норме
,
а также условию нормировки (7) с точностью
.
Заключение
В итоге, найдена квазиклассическая асимптотика
спектра вблизи нижних границ спектральных кластеров для задачи, описывающей
частицу в аксиально-симметричном поле Кулона-Дирака. В работе была найдена
асимптотика собственных значений Е исходной задачи (2) с точностью до членов
четвертого порядка малости по магнитному полю. Найденные формулы описывают
расщепление спектра, то есть эффект Зеемана для данной задачи.
При построении асимптотических собственных
функций было использовано интегральное представление (9), предложенное в работе
[2]. Полученные в выпускной работе результаты могут быть использованы в
квантовой теории при изучении атомов и молекул.
Список литературы
1. Карасев М. В., Новикова Е.
М. Алгебра с квадратичными коммутационными соотношениями для
аксиально-возмущенного поля Кулона-Дирака // ТМФ, 2004, Т. 141, №3, С. 424-454
2. Перескоков А. В.
Асимптотика спектра и квантовых средних вблизи границ спектральных кластеров
для возмущенного двумерного осциллятора // Мат. заметки, 2012, Т. 92, №4, С.
583-596
. Шифф Л. Квантовая механика.
М., ИЛ, 1959.
. Лисица В. С. Новое в
эффектах Штарка и Зеемана для атома водорода // УФН. 1987. Т. 153,№3. С.
379-421. (атом водорода)
6. Карасев М. В., Новикова Е.
М. Представление точных и квазиклассических собственных функций через
когерентные состояния. Атом водорода в магнитном поле // ТМФ. 1996.Т. 108, №3.
С. 339-387.
7. Бейтмен Г., Эрдейи А.
Высшие трансцендентные функции. В 2-x т. М., Наука, 1973, 1974.
. Голубев В. В. Лекции по
аналитической теории дифференциальных уравнений. М., Л., Гостехиздат, 1950.
9. Олвер Ф. Асимптотика и
специальные функции. М., Наука, 1990.
. Федорюк М. В.
Асимптотические методы для линейных обыкновенных дифференциальных уравнений.
М., Наука, 1983.
11. Градштейн И. С., Рыжик И. М.
Таблицы интегралов, сумм, рядов и произведений. М., Наука, 1975.
. Справочник по специальным функциям
с формулами, графиками и математическими таблицами / Под ред. М. Абрамовиц, И.
Стиган. М., Наука, 1979.